2017年电大电大___微积分初步形成性考核册答案
- 格式:doc
- 大小:983.00 KB
- 文档页数:15
18.下列各函数对中,()中的两个函数相等.答案:D A .2)()(x x f =,x x g =)( B .2)(xx f =,x x g =)(C .2ln )(x x f =,x x g ln 2)(=D .3ln )(x x f =x x g ln 3)(= 提示:两个函数相等,必须是对应的规则相同,定义域相同。
上述答案中,A 定义域不同;B 对应的规则不同;C 定义域不同;D 对应的规则相同,定义域相同9.当0→x 时,下列变量中为无穷小量的是( )答案:C.A .x 1B .xx sin C .)1ln(x +D .2xx提示:以0为极限的变量称为无穷小量。
上述答案中,当0→x 时,A 趋向∞;B 的极限为1;C 的极限为0;D 趋向∞。
10.当=k ( )时,函数⎩⎨⎧=≠+=0,,1)(2x k x x x f ,在0=x处连续. 答案:BA .0B .1C .2D .1-提示:当)()(lim 00x f x f x x =→时,称函数)(x f 在0x 连续。
因1)1(lim )(lim20=+=→→x x f x x k f ==)0(,所以当=k 1时,函数⎩⎨⎧=≠+=0,,1)(2x k x x x f ,在0=x 处连续11.当=k ( )时,函数⎩⎨⎧=≠+=0,0,2)(x k x e x f x 在0=x 处连续 答案:DA .0B .1C .2D .3提示:当)()(lim 00x f x f x x =→时,称函数)(x f 在0x 连续。
因为3)2(lim )(lim=+=→→x x x e x f k f ==)0(,所以当=k 3时,函数⎩⎨⎧=≠+=0,,2)(x k x e x f x ,在0=x 处连续12.函数233)(2+--=x x x x f 的间断点是( )答案:A A .2,1==x xB .3=xC .3,2,1===x x xD .无间断点提示:若)(x f 在0x 有下列三种情况之一,则)(x f 在0x 间断:①在0x 无定义;②在0x 极限不存在;③在0x 处有定义,且)(lim 0x f x x →存在,但)()(lim 00x f x f x x ≠→。
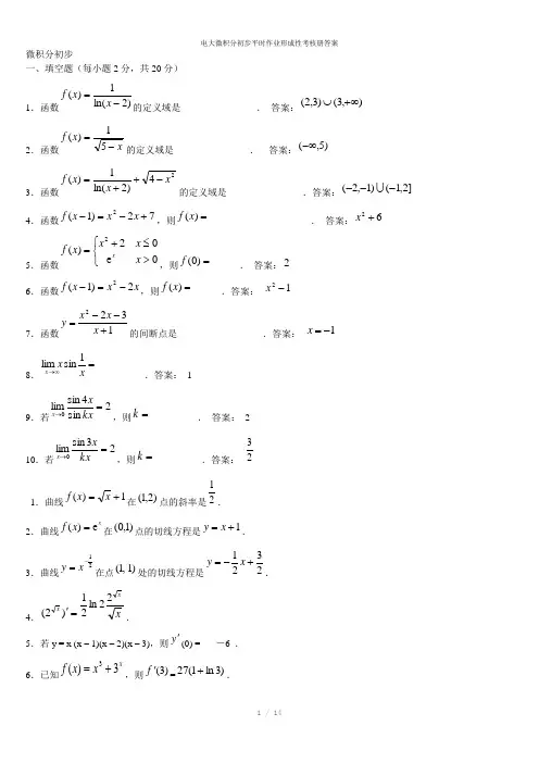
《微积分初步》形成性考核册题修改正式版一、填空题(每小题2分,共20分)1.函数)2ln(1)(-=x x f 的定义域是 . 答案:),3()3,2[+∞Y 提示:关于)2ln(1-x ,要求分母不能为0,即0)2ln(≠-x ,也确实是3≠x ; 关于)2ln(-x ,要求02>-x ,即2>x ;因此函数)2ln(1)(-=x x f 的定义域是),3()3,2[+∞Y 2.函数xx f -=51)(的定义域是 . 答案:)5,(-∞ 提示:关于x-51,要求分母不能为0,即05≠-x ,也确实是5≠x ; 关于x -5,要求05≥-x ,即5≤x ;因此函数xx f -=51)(的定义域是)5,(-∞3.函数24)2ln(1)(x x x f -++=的定义域是 . 答案:]2,1()1,2(---Y 提示:关于)2ln(1+x ,要求分母不能为0,即0)2ln(≠+x ,也确实是1-≠x ; 关于)2ln(+x ,要求02>+x ,即2->x ; 关于24x -,要求042≥-x ,即2≤x 且2-≥x ;因此函数24)2ln(1)(x x x f -++=的定义域是]2,1()1,2(---Y4.函数72)1(2+-=-x x x f ,则=)(x f. 答案:62+x 提示:因为6)1(72)1(22+-=+-=-x x x x f ,因此6)(2+=x x f5.函数⎩⎨⎧>≤+=0e02)(2x x x x f x,则=)0(f . 答案:2 提示:因为当0=x 是在0≤x 区间,应选择22+x 进行运算,即220)0(2=+=f6.函数x x x f 2)1(2-=-,则=)(x f . 答案: 12-x 提示:因为1)1(2)1(22--=-=-x x x x f ,因此1)(2-=x x f7.函数1322+--=x x x y 的间断点是 . 答案: 1-=x提示:若)(x f 在0x 有下列三种情形之一,则)(x f 在0x 间断:①在0x 无定义;②在0x 极限不存在;③在0x 处有定义,且)(lim 0x f xx → 存在,但)()(lim 00x f x f x x ≠→。
最新资料,word文档,可以自由编辑!!精品文档下载【本页是封面,下载后可以删除!】⒈下列各函数对中,(C )中的两个函数相等.A. 2)()(x x f =,x x g =)(B. 2)(x x f =,x x g =)( C. 3ln )(x x f =,x x g ln 3)(= D. 1)(+=x x f ,11)(2--=x x x g ⒉设函数)(x f 的定义域为),(+∞-∞,则函数)()(x f x f -+的图形关于(C )对称.A. 坐标原点B. x 轴C. y 轴D. x y =⒊下列函数中为奇函数是(B ).A. )1ln(2x y +=B. x x y cos =C. 2xx a a y -+= D. )1ln(x y += ⒋下列函数中为基本初等函数是(C ).A. 1+=x yB. x y -=C. 2x y =D. ⎩⎨⎧≥<-=0,10,1x x y ⒌下列极限存计算不正确的是(D ).A. 12lim 22=+∞→x x x B. 0)1ln(lim 0=+→x x C. 0sin lim=∞→x x x D. 01sin lim =∞→xx x ⒍当0→x 时,变量(C )是无穷小量.A. xx sin B. x 1 C. x x 1sin D. 2)ln(+x ⒎若函数)(x f 在点0x 满足(A ),则)(x f 在点0x 连续。
A. )()(lim 00x f x f x x =→ B. )(x f 在点0x 的某个邻域内有定义 C. )()(lim 00x f x f x x =+→ D. )(lim )(lim 00x f x f x x x x -+→→=(二)填空题 ⒈函数)1ln(39)(2x x x x f ++--=的定义域是()+∞,3. 22⒊=+∞→x x x)211(lim 21e . ⒋若函数⎪⎩⎪⎨⎧≥+<+=0,0,)1()(1x k x x x x f x ,在0=x 处连续,则=k e .⒌函数⎩⎨⎧≤>+=0,sin 0,1x x x x y 的间断点是0=x . ⒍若A x f x x =→)(lim 0,则当0x x →时,A x f -)(称为时的无穷小量0x x →。
微积分初步形成性考核作业【原体+答案】一、填空题(每小题2分,共20分) 1.函数)2ln(1)(-=x x f 的定义域是.解:020)2ln({>-≠-x x , 23{>≠x x所以函数)2ln(1)(-=x x f 的定义域是),3()3,2(+∞⋃2.函数xx f -=51)(的定义域是.解:05>-x ,5<x所以函数xx f -=51)(的定义域是)5,(-∞3.函数24)2ln(1)(x x x f -++=的定义域是.解:⎪⎩⎪⎨⎧≥->+≠+04020)2ln(2x x x ,⎪⎩⎪⎨⎧≤≤-->-≠2221x x x 所以函数24)2ln(1)(x x x f -++=的定义域是]2,1()1,2(-⋃-- 4.函数72)1(2+-=-x x x f ,则=)(x f .解:72)1(2+-=-x x x f 6)1(61222+-=++-=x x x所以=)(x f 62+x5.函数⎩⎨⎧>≤+=0e02)(2x x x x f x ,则=)0(f .解:=)0(f 2202=+6.函数x x x f 2)1(2-=-,则=)(x f .解:x x x f 2)1(2-=-1)1(11222+-=-+-=x x x ,=)(x f 12+x7.函数1322+--=x x x y 的间断点是.解:因为当01=+x ,即1-=x 时函数无意义 所以函数1322+--=x x x y 的间断点是1-=x8.=∞→xx x 1sinlim . 解:=∞→x x x 1sinlim 111sinlim =∞→xx x9.若2sin 4sin lim0=→kxxx ,则=k .解: 因为24sin 44sin lim 4sin 4sin lim 00===→→kkxkx x xk kx x x x所以2=k10.若23sin lim0=→kxxx ,则=k . 解:因为2333lim 33lim00===→→kx x sim k kx x sim x x 所以23=k 二、单项选择题(每小题2分,共24分)1.设函数2e e xx y +=-,则该函数是( ).A .奇函数B .偶函数C .非奇非偶函数D .既奇又偶函数解:因为y e e e e x y x x x x =+=+=-----22)()( 所以函数2e e xx y +=-是偶函数。
中央电大《微积分初步》形成性考核册参考答案微积分初步作业1 参考答案1、函数、极限和连续一、填空题(每小题2分,共20分)1.()()3,+∞2,3 或填{}23x x x >≠且; 2.(),5-∞或填{}5x x <;3.()(]2,11,2--⋃-或填{}121x x x -<≤≠-且; 4.26x +; 5.2; 6.21x -; 7.1x =-; 8.1; 9.2; 10.32.二、单项选择题(每小题2分,共24分)1.B2.A3.D4.C5.D6.D7.C8.D9.C 10.B 11.D 12.A三、解答题(每小题7分,共56分) 1.解:原式=()()()()221211limlim .2224x x x x x x x x →→---==+-+ 2.解:原式=()()()()126167lim lim .1112x x x x x x x x →→+-+==+-+ 3.解:原式=()()()()323333limlim .1312x x x x x x x x →→+-+==+-+ 4.解:原式=()()()()422422lim lim .1413x x x x x x x x →→---==--- 5.解:原式=()()()()22244limlim 2.233x x x x x x x x →→---==--- 6.解:原式=111.2x x →→==-7.解:原式=111.8x x →→==-8.解:原式=()()0sin 4242lim16.x x x x x→→⋅⋅==微积分初步作业2 参考答案2、导数与微分3、导数的应用一、填空题(每小题2分,共20分)1.12; 2.10x y -+=; 3.230x y +-=; 41; 5.6-; 6.()271ln3+;7.21x-; 8.2-; 9.()1,+∞; 10. 0a >.二、单项选择题(每小题2分,共24分)1.D2.C3.C4.B5.D6.C7.C8.C9.A 10.B 11.B 12.A三、解答题(每小题7分,共56分)1.解:()111221221xxx y xe x e x e x ⎛⎫'=+-=- ⎪⎝⎭.2.解:24cos43sin cos y x x x '=-. 3.解:21y x '=-. 4.解:sin tan cos x y x x '==. 5.解:方程两边同时对x 求微分,得()()2202222xdx ydy xdy ydx x y dx x y dyx ydy dxx y+--=-=--∴=-6. 解: 原方程可化为()21x y +=1,1x y y x ∴+=±=-±1,y dy dx '∴=-=-7. 解:方程两边同时对x 求微分,得20x y y e dx e dy xe dx xdx +++=()2y x y xe dy e e x dx =-++2x y ye e xdy dx xe++∴=-. 8. 解:方程两边同时对x 求微分,得()()sin 0y x y dx dy e dy -+++=()()sin sin yx y dy dx e x y +∴=-+ 微积分初步作业3 参考答案4、不定积分、极值应用问题一、填空题(每小题2分,共20分)1.2ln 2x x x c -+; 2.24x e --; 3.()1x x e +; 4.2cos 2x ; 5.1x;6.4cos 2x -;7.2x e dx -; 8.sin x c +; 9.()1232F x c -+; 10. ()2112F x c--+.二、单项选择题(每小题2分,共16分) 1.A 3.A 4.A 5.A 6.A 7.C 8.B三、解答题(每小题7分,共35分)1.解:原式=32sin 3ln cos 3x dx x x c x⎛⎫=-+ ⎪⎝⎭⎰.2.解:原式=()()()()10111121212121221122x d x x c x c --=⨯-+=-+⎰.3.解:原式=111sin cos d c x x x⎛⎫-=+ ⎪⎝⎭⎰. 4.解:原式=11111cos 2cos 2cos 2cos 2sin 222224xd x x x xdx x x x c -=-+=-++⎰⎰. 5.解:原式=()1x x x x x x xde xe e dx xe e c x e c -------=-+=--+=-++⎰⎰.四、极值应用题(每小题12分,共24分)1.解: 设矩形ABCD 的一边AB x =厘米,则60BC x =-厘米, 当它沿直线AB 旋转一周后,得到圆柱的体积()()260,060V x x x π=-<<令()()2602600V x x x π⎡⎤'=---=⎣⎦得20x = 当()0,20x ∈时,0V '>;当()20,60x ∈时,0V '<.20x ∴=是函数V的极大值点,也是最大值点.此时6040x -=答:当矩形的边长分别为20厘米和40厘米时,才能使圆柱体的体积最大. 2. 解:设成矩形有土地的宽为x 米,则长为216x米, 于是围墙的长度为()4323,0L x x x=+> 令243230L x'=-=得()12x =取正易知,当12x =时,L 取得唯一的极小值即最小值,此时21618x= 答:这块土地的长和宽分别为18米和12米时,才能使所用的建筑材料最省. 五、证明题(本题5分)()()()()1 0, 01 0, 0,0.x x f x e x e x f x f x x e '=-<<<'∴<>=--∞证:当时当时从而函数在区间是单调增加的微积分初步作业4 参考答案5、定积分及应用一、填空题(每小题2分,共20分)1.23-; 2.2; 3.3221633y x =-; 4.4; 5.24a π; 6.0;7.12;8.x y e =; 9.3x y ce -=; 10. 4.二、单项选择题(每小题2分,共20分)1.A2.A3.A4.D5.D6.B7.B8.D9.C 10.B三、计算题(每小题7分,共56分)1.解:原式=()()()2ln 23ln 20011911133xx x ed e e ++=+=-⎰. 2.解:原式=()()()21111715ln 15ln 15ln 5102e ex d x x ++=+=⎰. 3.解:原式=()111100011x x x xxde xe e dx e e e e =-=-=--=⎰⎰.4.解:原式=02cos 2cos 4sin 4222x x x xd x ππ⎡⎤-=-+=⎢⎥⎣⎦⎰.5.解:原式=22220000cos cos cos 0sin 1xd x x x xdx x ππππ-=-+=+=⎰⎰.6. 解:()()21,1P x Q x x x==+()()()()()()112ln 2ln 342 1 11 111 42P x dx P x dx dx dx x x x xy e Q x e dx c e x e dx c e x e dx c x x dx c x x x c x ---⎡⎤⎰⎰=+⎢⎥⎣⎦⎡⎤⎰⎰=++⎢⎥⎣⎦⎡⎤=++⎣⎦⎡⎤=++⎣⎦⎡⎤=++⎢⎥⎣⎦⎰⎰⎰⎰通解即通解31142c y x x x=++ 7. 解:()()1,2sin 2P x Q x x x x=-=()()()()11ln ln 2sin 2 2sin 21 2sin 2 cos 2P x dx P x dx dx dx x xx x y e Q x e dx c e x xedx c e x xe dx c x x x dx c x x x c ---⎡⎤⎰⎰∴=+⎢⎥⎣⎦⎡⎤⎰⎰=+⎢⎥⎣⎦⎡⎤=+⎣⎦⎡⎤=⋅+⎢⎥⎣⎦=-+⎰⎰⎰⎰通解即通解为()cos2y x x c =-+.四、证明题(本题4分)()()()()()()()()()()()000000aaaaaaaa af x dx f x dxf x dx f x dxf x d x f x dx f x dx f x dxf x f x dx ----+=-+=---+=-+=-+=⎡⎤⎣⎦⎰⎰⎰⎰⎰⎰⎰⎰⎰证:左边=右边。
电大资料整理电大微积分初步考试小抄一、填空题 ⒈函数xx f -=51)(的定义域是→x <5⒉∞→xx x sin lim1sin lim =∞→x x ,01→∞→x 时, ⒊已知xx f 2)(=,则)(x f ''⒋若⎰+=c x F x xf )(d )(,则⎰-x x f d )32(⒌微分方程x y y x =+'''e sin )(y '''6.函数)2ln(1)(+=x x f }{}{}122-1ln )2(ln 2-x 02ln 0≠+⇒≠+⇒≠+x x x x ,>,>,>∴{}1- 2-x |≠且>x7.→xx x 2sin lim 0 211212lim 2sin lim 00=⋅=→→x x x x x x 21:222sin lim0==→x x x 8.若y = x (x – 1)(x – 2)(x – 3),则y '(0) y=x(x-1)(x-2)(x-3)=(x 2-x)(x 2-5x+6)=x 4-5x 3+6x x 2-6x=x 4-6x 3+11x 2-6x , 622184y 23x -+-='x x⇐(把0带入X ),6)0(-='∴y9.⎰-x x d ed 2)()(x f dx x f ='⎰)(或dx x f dx xf d )())((=⎰ 10.微分方程1)0(,=='y y y y y ='y dxdy= ⎰⎰==∴dx dy dx y dy y 两边积分 ec x y +=∴又y(0)=1 (x=0 , y=1) c x y +=∴ln 010==∴+c e c,11.函数24)2ln(1)(x x x f -++=的定义域是⎩⎨⎧-≠≤-⇒⎩⎨⎧≠+≤-⇒⎪⎩⎪⎨⎧≠+≤≤⇒⎪⎪⎩⎪⎪⎨⎧≠++≥-122122x 21ln )2ln(2-2x 2-0)2(ln 02042x x x x x x x x <<>>12.若函数⎪⎩⎪⎨⎧=≠+=0,0,13sin )(x k x xx x f ,在0=x 处连续,则k )()(lim00x x f x f x =→ ()(x f 在x 0处连续) ∵k f =)0( 113sin 0lim )13sin (0lim =+⋅→=+→∴x x x x x x (无穷小量x 有界函数)13.曲线x y =在点)1,1(处的切线方程是x x y 2== , x y 2121-=' 切k y ==='∴211x | 2121y )1(11y +=⇒-=-∴∴x x 方程 14.'⎰x x s d )in (15.微分方程y y x y sin 4)(5=+''16.函数)2ln()(-=x xx f {}3x 2x |122)2ln(20)2ln(02≠⇒⎩⎨⎧≠-⇒⎩⎨⎧≠-⇒⎩⎨⎧≠--且>>>>x xx nx x x x17.∞→xxx 2sin lim 18.已知x x f 3)(+=,则)3(f '3ln 3)(2xx f +=' 3ln 2727)3(+='∴f19.⎰2de x 20.微分方程x y xyy sin 4)(7)4(=+ 二、单项选择题⒈设函数2e e xx y +=-,则该函数是(偶函数).∵所以是偶函数)(2e e )(x f x f xx =+=--⒉函数233)(2+--=x x x x f 的间断点是(2,1==x x )分母无意义的点是间断点∴2,1,0232===+-x x x x电大资料整理⒊下列结论中()(x f 在0x x =处不连续,则一定在0x 处不可导)正确.可导必连续,伹连续并一定可导;极值点可能在驻点上,也可能在使导数无意义的点上⒋如果等式+-=c x x f xx 11ed e )(,则=)(x f )()1()()(,1u )(),()(,)()(111'-∙='-∙'='∴=-=='∴='∴+=⎰---x e xe e e y xe xf x F C x F dx x f u u x u x,令22112121)()()(x x f x e ex f x e x e xxxu =∴=∴=∙=----⒌下列微分方程中,(x yx y y sin =+' )是线性微分方程.6.设函数2e e xx y --=,则该函数是(奇函数).7.当=k (2 )时,函数⎩⎨⎧=≠+=0,,2)(2x k x xx f 在0=x 处连续.8.下列函数在指定区间(,)-∞+∞上单调减少的是(x -3).9.10.11.设1)1(2-=+x xf ,则(x f 12.若函数f (x )在点x 0处可导,但)(0x f A ≠)是错误的.13.函数2)1(+=x y 在区间)2,2(-是(先减后增) 14.=''⎰x x f x d )((c x f x f x +-')()() 16.17.当=k (2)时,函数⎩⎨⎧=≠+=0,0,1e )(x k x x f x 在0=x 处连续.18.函数12+=x y 在区间)2,2(-是(先单调下降再单调上升)19.在切线斜率为2x 的积分曲线族中,通过点(1, 4)的曲线为(y = x 2+ 3).20.微分方程1)0(,=='y y y 的特解为(xy e =).三、计算题⒈计算极限423lim 222-+-→x x x x .解:41)2()1(lim 2)2(1(lim22=+-=---→→x x x x x x x ) ⒉设x x y x+=-2e ,求y d .解:xe x exx 23221x2-+=⨯+-e y x21-=e y u=1,u= -2x)(11e y u =′·(-2x)′=e u·(-2)= -2·e-2x∴y ′= -2e -2x+x 2123∴dy=(-2·e -2x+x 2123)dx⒊计算不定积分x x xd sin ⎰解:令u=x 21x =,u ′=xx 212121=-∴dx xd u 21=∴u sin ·2du=⎰udu sin 2=2(-cos)+cc x x xde 210x∴⎰1u v ′dx=uv x vd u -110|'⎰1)(0111110|||=-'-=-=-⋅=∴⎰⎰e eee e e e e x dxx dx x x x xx x∴原式=25.计算极限9152lim 223--+→x x x x34353lim )3)(3()3)(5(3lim =++→=+--+→x x x x x x x x电大资料整理6.设x x x y cos ln +=,求y d 解:x x x y xxcos ln cos ln 2321+=+⋅=y 1=lncosxy 1=lnu1,u=cosx ∴xx x u x u ycos sin )sin (1)(cos )(ln 11-=-⋅='⋅'=y 1=xx x cos sin 2321-∴dy=(xx x cos sin 2321-)dx7.计算不定积分x x d )21(9⎰-解:dx x ⎰-)21(9令u=1-2x , u ′= -2 ∴du dx x du 212-=⇒-=c c dudu x u u u+-=++⋅-=-=-⋅-⎰⎰20192121)21()21(1010998.计算定积分x x xd e 10⎰-解:u=x,e e xxv v ---==', )()(11111|x d dxx dx x e e e e e x xx x--=--⋅-=⋅⎰⎰⎰-----=1)11(1|11=--=---ee e e x9.计算极限4586lim 224+-+-→x x x x x3212lim )4)(1()4)(2(lim44=--=----→→x x x x x x x x10.设x y x3sin 2+=,求y d y 1=sin3x y 1=sinu , u=3x ,x y3cos 3x 3sinu 1='⋅'=')()(∴y ′=2xln2+3cos3x ∴dy=(2xln2+3cos3x)dx 11.计算不定积分x x x d cos ⎰⎰xdx x cos u=x , v ′=cosx , v=sinx ⎰⎰+--=-⋅=cx x x xdx x x xdx x )cos (sin sin sin cos12.计算定积分x x x d ln 51e1⎰+⎰⎰⎰⎰+=+=+e e eedxxx dxx x x dxx x dx x 11e111ln 51ln 5ln ln 51|令u=lnx, u ′=x1, du=x 1dx , 1≤x ≤e 0≤lnx ≤1 ∴2121ln |102101===⎰⎰u udu dx x x e ∴原式=1+5·21=2713.计算极限623lim 222-++-→x x x x x解:5131lim )2)(3x ()1)(2(lim22=+-=-+--→→x x x x x x x14.设xx y 12e =,求y '解:ex xy 12⋅=(e yx11=) , e y u=1, xu 1=, xe x e e y xuux 21211)1()1()(-=-⋅='⋅'=)ee xe x e e x e x x1x12x 12x1x12x122)(2)()(y -=-⋅+='⋅+⋅'='∴x x15.计算不定积分x x d )12(10⎰-解:dx x ⎰-)12(10u=2x-1 ,d '=2 du=2dx∴c du dudx u uu x +⋅=⋅=⋅=⎰⎰⎰-1121212111101010)12(c x +=-)(121121 16.计算定积分⎰1d e x x x解:dx x e x⎰⋅1u=x , e xv =' , e xv =1)1(1110|=--=-⋅=⎰⎰e e dx x dx x e e e xx x四、应用题(本题16分)电大资料整理用钢板焊接一个容积为43m 的底为正方形的无盖水箱,已知钢板每平方米10元,焊接费40元,问水箱的尺寸如何选择,可使总费最低?最低总费是多少? 解:设水箱的底边长为x ,高为h,表面积为s ,且有h=x24所以S(x)=x 2+4xh=x 2+x16'xx S 2162-='令S '(x )=0,得x=2因为本问题存在最小值,且函数的驻点唯一,所以x=2,h=1时水箱的表面积最小。
微积分初步形成性考核作业题解作业(一)————函数,极限和连续一、填空题(每小题2分,共20分) 1.函数)2ln(1)(-=x x f 的定义域是.答案:),3()3,2[+∞提示:对于)2ln(1-x ,要求分母不能为0,即0)2ln(≠-x ,也就是3≠x ;对于)2ln(-x ,要求02>-x ,即2>x ; 所以函数)2ln(1)(-=x x f 的定义域是),3()3,2[+∞2.函数xx f -=51)(的定义域是.答案:)5,(-∞提示:对于x-51,要求分母不能为0,即05≠-x ,也就是5≠x ;对于x -5,要求05≥-x ,即5≤x ; 所以函数xx f -=51)(的定义域是)5,(-∞3.函数24)2ln(1)(x x x f -++=的定义域是.答案:]2,1()1,2(---提示:对于)2ln(1+x ,要求分母不能为0,即0)2ln(≠+x ,也就是1-≠x ;对于)2ln(+x ,要求02>+x ,即2->x ; 对于24x -,要求042≥-x ,即2≤x 且2-≥x ;所以函数24)2ln(1)(x x x f -++=的定义域是]2,1()1,2(---4.函数72)1(2+-=-x x x f ,则=)(x f . 答案:62+x提示:因为6)1(72)1(22+-=+-=-x x x x f ,所以6)(2+=x x f5.函数⎩⎨⎧>≤+=0e2)(2x x x x f x ,则=)0(f .答案:2提示:因为当0=x 是在0≤x 区间,应选择22+x 进行计算,即220)0(2=+=f6.函数x x x f 2)1(2-=-,则=)(x f . 答案:12-x提示:因为1)1(2)1(22--=-=-x x x x f ,所以1)(2-=x x f7.函数1322+--=x x x y 的间断点是.答案:1-=x提示:若)(x f 在0x 有下列三种情况之一,则)(x f 在0x 间断:①在0x 无定义;②在0x 极限不存在;③在0x 处有定义,且)(lim 0x f x x →存在,但)()(lim 00x f x f x x ≠→。
国家开放大学电大专科《微积分初步》期末试题标准题库及答案(试卷号:2437)国家开放大学电大专科《微积分初步》期末试题标准题库及答案(试卷号:2437)盗传必究题库一一、单项选择题(每小题4分,本题共20分)二、填空题(每小题4分,本题共20分)三、计算题(每小题11分,本题共44分)四、应用题(本题16分)15.欲做一个底为正方形,容积为108立方米的长方体开口容器,怎样做法用料最省?试题答案及评分标准(仅供参考)一、单项选择曩(每小曩4分,本曩共20分l1.D2.C3.B4.C5.A二、填空题(每小曩4分,本题共20分)题库二一、单项选择题(每小题4分,本题共20分)二、填空题(每小题4分,本题共20分)三、计算题(本题共44分,每小题11分)四、应用题(本题16分)15.欲做一个底为正方形,容积为32立方米的长方体开口容器,怎样做法用料最省?试题答案及评分标准(仅供参考)一、单项选择题(每小题4分,本题共20分)1.C2.B3.A4.B5.D二、填空题(每小题4分,本题共20分)题库三一、单项选择题(每小题4分,本题共20分)二、填空题(每小题4分,本题共20分)三、计算题(本题共44分,每小题11分)四、应用题【本题16分)15.用钢板焊接一个容积为4tr13的底为正方形的无盖水箱,已知钢板每平方米10元,焊接费40元,问水箱的尺寸如何选择,可使总费用最低?最低总费用是多少?试题答案及评分标准(仅供参考)一、单项选择题(每小题4分,本题共20分)1.D2.A3.B4.C5.D二、填空题(每小题4分,本题共20分)题库四二、单项选择题《每小题4分,本题共20分)二、填空题(每小题4分,本题共20分)三、计算题(每小题11分,本题共44分)四、应用题(本题16分)15.欲做一个底为正方形,容积为32立方米的长方体开口容器,怎样做法用料最省?试题答案及评分标准(仅供参考)一、单项选择题(每小题4分,本题共20分)1.C2.B3.D4.A5.C二、填空题(每小题4分,本题共20分)三、计算题(每小题11分,本题共44分)四、应用题(本题16分)题库五一、单项选择题I每小题4分,本题共20分)二、填空题(每小题4分,本题共20分)三、计算题(本题共44分,每小题11分)四、应用题(本题16分)15.欲做一个底为正方形,容积为108立方米的长方体开口容器,怎样做法用料最省?试题答案及评分标准(仅供参考)国家开放大学电大专科《物业管理法规》2026期末试题及答案(试卷号:2224)国家开放大学电大专科《物业管理法规》2026期末试题及答案(试卷号:2224)盗传必究一、选择题(在所给出的四个选择项中选出一个以上的正确答案,然后将其序号填写在题后的括号内。
微积分初步 作业1 学 号:得 分: 教师签名:————函数,极限和连续一、填空题(每小题2分,共20分) 1.函数)2-ln(1)(x x f =的定义域是)∞,3(∪)3,2(+2.函数xx f -51)(=的定义域是)5,-3.函数2-4)2ln(1)(x x x f ++=的定义域是]2,1-(∪)1-,2-(4.函数72-)1-(+=x x x f ,则=)(x f 62+x5.函数>+=0e≤2)(2x x x x f x,则=)0(f 2 . 6.函数x x x f 2-)1-(2=,则=)(x f 1-2x7.函数13-2-2+=x x x y 的间断点是1-=x8.=xx x 1sin lim ∞→ 1 .9.若2sin 4sin lim 0→=kxxx ,则=k 2 . 10.若23sin lim0→=kxxx ,则=k 23 二、单项选择题(每小题2分,共24分) 1.设函数2e exxy +=,则该函数是(B ). A .奇函数 B .偶函数 C .非奇非偶函数 D .既奇又偶函数 2.设函数x x y sin 2=,则该函数是(A ).A .奇函数B .偶函数C .非奇非偶函数D .既奇又偶函数3.函数222)(xx xx f +=的图形是关于(D )对称.A .x y =B .x 轴C .y 轴D .坐标原点 4.下列函数中为奇函数是( C ).A .x x sinB .x lnC .)1ln(2x x ++D .2x x + 5.函数)5ln(41+++=x x y 的定义域为( D ). A .5->x B .4-≠xC .5->x 且0≠xD .5->x 且4-≠x6.函数)1-ln(1)(x x f =的定义域是(D ). A . )∞,1(+ B .)∞,1(∪)1,0(+C .)∞,2(∪)2,0(+D .)∞,2(∪)2,1(+7.设1-)1(2x x f =+,则=)(x f ( C ) A .)1(+x x B .2x C .)2-(x x D .)1-)(2(x x + 8.下列各函数对中,(D )中的两个函数相等.A .2)()(x x f =,x x g =)(B .2)(x x f =,x x g =)(C .2ln )(x x f =,9.当0→x 时,下列变量中为无穷小量的是( C ). A .x1B .x x sin C .)1ln(x + D .2xx10.当=k ( B )时,函数=+=,≠,1)(2x k x x x f ,在0=x 处连续. A .0 B .1 C .2 D .111.当=k ( D )时,函数=+=,≠,2)(x k x e x f x 在0=x 处连续.。
国家开放大学《微积分基础》形成性考核作业1-4参考答案形成性考核作业1一、填空题(每小题2分,共20分)1.函数的定义域是 (2,3)U (3,+∞) .2.函数的定义域是 (-∞,5) .3.函数的定义域是 (-2,-1)U (-1,2] .4.函数,则 f(x)=x 2+6 .5.函数,则 2 .6.函数,则 x 2―1 .7.函数的间断点是 x=-1 .8. 1 .9.若,则 2 .10.若,则 3/2 .二、单项选择题(每小题2分,共24分)1.设函数,则该函数是(B ).A .奇函数B .偶函数C .非奇非偶函数D .既奇又偶函数2.设函数,则该函数是(A ).)2ln(1)(-=x x f xx f -=51)(24)2ln(1)(x x x f -++=72)1(2+-=-x x x f =)(x f ⎩⎨⎧>≤+=0e 02)(2x x x x f x =)0(f x x x f 2)1(2-=-=)(x f 1322+--=x x x y =∞→xx x 1sinlim 2sin 4sin lim 0=→kxxx =k 23sin lim 0=→kxxx =k 2e e xx y +=-x x y sin 2=A .奇函数B .偶函数C .非奇非偶函数D .既奇又偶函数3.函数的图形是关于(D )对称.A .B .轴C .轴D .坐标原点4.下列函数中为奇函数是(C ).A .B .C .D . 5.函数的定义域为(D ). A . B . C .且 D .且 6.函数D ). A . B . C . D .222)(xx x x f -+=x y =x y x x sin x ln )1ln(2x x ++2x x +)5ln(41+++=x x y 5->x 4-≠x 5->x 0≠x 5->x 4-≠x 1()ln(1)f x x =-(1,225⋃)(,)(1,225]⋃)(,(5]-∞,),2()2,1(+∞⋃7.设,则(C )A .B .C .D .8.下列各函数对中,(D )中的两个函数相等.A .,B .,C .,D .,9.当时,下列变量中为无穷小量的是(C ).A .B .C .D .10.当(B )时,函数,在处连续.A .0B .1C .D .11.当(D )时,函数在处连续.A .0B .12(1)+21f x x x +=-=)(x f 21x -22x -2+1x 22x +2)()(x x f =x x g =)(2)(x x f =x x g =)(2ln )(x x f =x x g ln 2)(=3ln )(x x f =x x g ln 3)(=0→x x 1xx sin )1ln(x +2x x =k ⎩⎨⎧=≠+=0,,1)(2x k x x x f 0=x 21-=k e 2,0(),0x x f x k x ⎧+≠=⎨=⎩0=xC .D . 12.函数的间断点是(A ) A . B . C . D .无间断点三、解答题(每小题7分,共56分)⒈计算极限=(X ―1)(X ―2)(X +2)(X ―2)=x ―1x +2=142.计算极限=lim x→1(x +6)(x ―1)(x +1)(x ―1)=lim x→1(x +6)(x +1)=72 3.=lim x→3(x +3)(x ―3)(x ―3)(x +1)=lim x→3(x +3)(x +1)=324.计算极限=lim x→4(x ―2)(x ―4)(x ―1)(x ―4)=lim x→4(x ―2)(x ―1)=235.计算极限=lim x→2(x ―2)(x ―4)(x ―2)(x ―3)=lim x→2(x ―4)(x ―3)=26.计算极限=limx→0(1―x ―1)(1―x +1)x(1―x +1)=lim x→0―x x (1―x +1)=lim x→0―1(1―x +1)=―12 7.计算极限=limx→0(1―x ―1)(1―x +1)sin4x(1―x +1)=―188.计算极限=limx→0sin4x(x +4+2)x=16形成性考核作业2一、填空题(每小题2分,共20分)23233)(2+--=x x x x f 2,1==x x 3=x 3,2,1===x x x 42lim 222---→x x x x 165lim 221--+→x x x x 329lim 223---→x x x x 4586lim 224+-+-→x x x x x 6586lim 222+-+-→x x x x x x x x 11lim 0--→x x x 4sin 11lim 0--→244sin lim-+→x x x1.曲线在点的斜率是 1/2 . 2.曲线在点的切线方程是 y=x+1 . 3.曲线在点处的切线方程是 y =―12x +32 .4.2x ln22x.5.若y = x (x – 1)(x – 2)(x – 3),则(0) = -6 . 6.已知,则= 27+3x ln3 . 7.已知,则=―1x 2 8.若,则-2 .9.函数的单调增加区间是 [1,+∞) .10.函数在区间内的驻点为1 .二、单项选择题(每小题2分,共24分) 1.函数在区间是(D ) A .单调增加B .单调减少C .先增后减D .先减后增2.满足方程的点一定是函数的(C ).A .极值点B .最值点C .驻点D .间断点3.若,则=(C ).A . 2B . 1C . -11)(+=x x f )2,1(x x f e )(=)1,0(21-=x y )1,1(=')2(xy 'x x x f 3)(3+=)3(f 'x x f ln )(=)(x f ''()sin f x x x =()2f π''=2)1(3-=x y 31()3f x x x =-(0,2)x =2)1(+=x y )2,2(-0)(='x f )(x f y =x x f x cos e )(-=)0(f 'D . -24.设,则(B ). A . B .C .D .5.设是可微函数,则(D ).A .B .C .D .6.曲线在处切线的斜率是(C ).A .B .C .D .7.若,则(C ).A .B .C .D .8.若,其中是常数,则(C ).x y 2lg ==y dx xd 21x x d 10ln 1x xd 10ln x xd 1)(x f y ==)2(cos d x f x x f d )2(cos 2'x x x f d22sin )2(cos 'x x x f d 2sin )2(cos 2'x x x f d22sin )2(cos '-1e 2+=x y 2=x 4e 2e 42e 2x x x f cos )(=='')(x f x x x sin cos +x x x sin cos -x x x cos sin 2--x x x cos sin 2+3sin )(a x x f +=a ='')(x fA .B .C .D .9.下列结论中(A )不正确.A .在处连续,则一定在处可微.B .在处不连续,则一定在处不可导.C .可导函数的极值点一定发生在其驻点上.D .若在[a ,b ]内恒有,则在[a ,b ]内函数是单调下降的. 10.若函数f (x )在点x 0处可导,则(B )是错误的.A .函数f (x )在点x 0处有定义B .,但C .函数f (x )在点x 0处连续D .函数f (x )在点x 0处可微11.下列函数在指定区间上单调下降减少的是(B ). A .sin x B .e x C .x 2 D .3 - x12.下列结论正确的有(A ).A .x 0是f (x )的极值点,且(x 0)存在,则必有(x 0) = 0B .x 0是f (x )的极值点,则x 0必是f (x )的驻点C .若(x 0) = 0,则x 0必是f (x )的极值点D .使不存在的点x 0,一定是f (x )的极值点 三、解答题(每小题7分,共56分)⒈设,求. 23cos a x +a x 6sin +x sin -x cos )(x f 0x x =0x )(x f 0x x =0x )(x f 0)(<'x f A x f x x =→)(lim 0)(0x f A ≠),(+∞-∞f 'f 'f ')(x f '3223++=x x y y '2.设,求.3.设,求.4.设,求.5.设,求.6.设是由方程确定的隐函数,求.7.设是由方程确定的隐函数,求.8.设,求.x x y 2cos +=y'x y x2sin e 1+=yd x x x y cos ln +=yd xx x y -++=1)1sin(2yd )(x y y =422=-+xy y x y')(x y y =4e e 2=++x x y x yd 1e )cos(=++y y x y d形成性考核作业3一、填空题(每小题2分,共20分)1.若的一个原函数为,则 1/x 。
《微积分初步》形成性考核作业(一)参考答案——函数,极限和连续一、填空题(每小题2分,共20分)1.()()3,+∞ 2,3 或填{}23x x x >≠且; 2.(),5-∞或填{}5x x <;3.()(]2,11,2--⋃-或填{}121x x x -<≤≠-且;4.26x +; 5.2; 6.21x -; 7.1x =-; 8.1; 9.2; 10.32.二、单项选择题(每小题2分,共24分)1.B2.A3.D4.C5.D6.D7.C8.D9.C 10.B 11.D 12.A三、解答题(每小题7分,共56分)1.解:原式=()()()()221211lim lim .2224x x x x x x x x →→---==+-+ 2.解:原式=()()()()126167limlim .1112x x x x x x x x →→+-+==+-+ 3.解:原式=()()()()323333lim lim .1312x x x x x x x x →→+-+==+-+ 4.解:原式=()()()()422422lim lim .1413x x x x x x x x →→---==---5.解:原式=()()()()22244limlim 2.233x x x x x x x x →→---==--- 6.解:原式=111.2x x →→==-7.解:原式=111.8x x →→==- 8.解:原式=)00sin 4242lim16.x x x x x→→⋅⋅==《微积分初步》形成性考核作业(二)参考答案——导数、微分及应用一、填空题(每小题2分,共20分)1.12; 2.10x y -+=; 3.230x y +-=; 41; 5.6-; 6.()271ln3+;7.21x -; 8.2-; 9.()1,+∞; 10. 0a >.二、单项选择题(每小题2分,共24分)1.D2.C3.C4.B5.D6.C7.C8.C9.A 10.B 11.B 12.A三、解答题(每小题7分,共56分)1.解:()111221221xxx y xe x e x e x ⎛⎫'=+-=- ⎪⎝⎭.2.解:24cos43sin cos y x x x'=-. 3.解:21y x'=-. 4.解:sin tan cos x y x x '==. 5.解:方程两边同时对x 求微分,得()()2202222xdx ydy xdy ydx x y dx x y dyx ydy dxx y+--=-=--∴=-6. 解: 原方程可化为()21x y +=1,1x y y x ∴+=±=-±1,y dy dx '∴=-=-7. 解:方程两边同时对x 求微分,得20x y y e dx e dy xe dx xdx +++=()2y x y xe dy e e x dx =-++2x y ye e xdy dx xe++∴=-. 8. 解:方程两边同时对x 求微分,得()()sin 0y x y dx dy e dy -+++=()()sin sin y x y dy dx e x y +∴=-+《微积分初步》形成性考核作业(三)参考答案——不定积分、极值应用问题一、填空题(每小题2分,共20分)1.2ln 2x x x c -+; 2.24x e --; 3.()1x x e +; 4.2cos 2x ; 5.1x;6.4cos 2x -;7.2x e dx -; 8.sin x c +; 9.()1232F x c -+; 10. ()2112F x c--+.二、单项选择题(每小题2分,共16分) 1.A 3.A 4.A 5.A 6.A 7.C 8.B三、解答题(每小题7分,共35分)1.解:原式=32sin 3ln cos 3x dx x x c x⎛⎫=-+ ⎪⎝⎭⎰.2.解:原式=()()()()101111111121212121221122x d x x c x c --=⨯-+=-+⎰. 3.解:原式=111sin cos d c x x x⎛⎫-=+ ⎪⎝⎭⎰. 4.解:原式=11111cos 2cos 2cos 2cos 2sin 222224xd x x x xdx x x x c -=-+=-++⎰⎰. 5.解:原式=()1x x x x x x xde xe e dx xe e c x e c -------=-+=--+=-++⎰⎰.四、极值应用题(每小题12分,共24分)1.解: 设矩形ABCD 的一边AB x =厘米,则60BC x =-厘米, 当它沿直线AB 旋转一周后,得到圆柱的体积()()260,060V x x x π=-<<令()()2602600V x x x π⎡⎤'=---=⎣⎦得20x = 当()0,20x ∈时,0V '>;当()20,60x ∈时,0V '<.20x ∴=是函数V的极大值点,也是最大值点.此时6040x -=答:当矩形的边长分别为20厘米和40厘米时,才能使圆柱体的体积最大.2. 解:设成矩形有土地的宽为x 米,则长为216x米, 于是围墙的长度为()4323,0L x x x=+> 令243230L x '=-=得()12x =取正易知,当12x =时,L 取得唯一的极小值即最小值,此时21618x=答:这块土地的长和宽分别为18米和12米时,才能使所用的建筑材料最省.五、证明题(本题5分)()()()()1 0, 01 0, 0,0.x x x f x e x e x f x f x x e '=-<<<'∴<>=--∞ 证:当时当时从而函数在区间是单调增加的《微积分初步》形成性考核作业(四)参考答案——定积分及应用、微分方程一、填空题(每小题2分,共20分)1.23-; 2.2; 3.3221633y x =-; 4.4; 5.24a π; 6.0;7.12;8.x y e =; 9.3x y ce -=; 10. 4.二、单项选择题(每小题2分,共20分)1.A2.A3.A4.D5.D6.B7.B8.D9.C 10.B三、计算题(每小题7分,共56分)1.解:原式=()()()2ln 23ln 20011911133x xx e d e e ++=+=-⎰.2.解:原式=()()()21111715ln 15ln 15ln 5102e ex d x x ++=+=⎰. 3.解:原式=()111100011x x x xxde xe e dx e e e e =-=-=--=⎰⎰.4.解:原式=02cos 2cos 4sin 4222x x x xd x ππ⎡⎤-=-+=⎢⎥⎣⎦⎰.5.解:原式=22220cos cos cos 0sin 1xd x x x xdx xππππ-=-+=+=⎰⎰.6. 解:()()21,1P x Q x x x==+()()()()()()112ln 2ln 342 1 11 111 42P x dx P x dx dx dx x x x xy e Q x e dx c e x e dx c e x e dx c x x dx c x x x c x ---⎡⎤⎰⎰=+⎢⎥⎣⎦⎡⎤⎰⎰=++⎢⎥⎣⎦⎡⎤=++⎣⎦⎡⎤=++⎣⎦⎡⎤=++⎢⎥⎣⎦⎰⎰⎰⎰通解即通解31142c y x x x=++ 7. 解:()()1,2sin 2P x Q x x x x=-=()()()()11ln ln 2sin 2 2sin 21 2sin 2 cos 2P x dx P x dx dx dx x x x x y e Q x e dx c e x xe dx c e x xe dx c x x x dx c x x x c ---⎡⎤⎰⎰∴=+⎢⎥⎣⎦⎡⎤⎰⎰=+⎢⎥⎣⎦⎡⎤=+⎣⎦⎡⎤=⋅+⎢⎥⎣⎦=-+⎰⎰⎰⎰通解即通解为()cos2y x x c =-+.四、证明题(本题4分)()()()()()()()()()()()000000aaaaaaaa af x dx f x dxf x dx f x dxf x d x f x dx f x dx f x dxf x f x dx ----+=-+=---+=-+=-+=⎡⎤⎣⎦⎰⎰⎰⎰⎰⎰⎰⎰⎰证:左边=右边最新资料,word 文档,可以自由编辑!!精品文档下载【本页是封面,下载后可以删除!】。
微积分初步考试试题1、填空题 (1)函数)2ln(1)(-=x x f 的定义域是 .答案:2>x 且3≠x . (2)函数24)2ln(1)(x x x f -++=的定义域是 .答案:]2,1()1,2(-⋃--(3)函数74)2(2++=+x x x f ,则=)(x f.答案:3)(2+=x x f(4)若函数⎪⎩⎪⎨⎧≥<+=0,0,13sin )(x k x xx x f 在0=x 处连续,则=k .答案:1=k(5)函数x x x f 2)1(2-=-,则=)(x f . 答案:1)(2-=x x f(6)函数1322+--=x x x y 的间断点是 .答案:1-=x (7)=∞→xx x 1sinlim . 答案:1 (8)若2sin 4sin lim0=→kxxx ,则=k .答案:2=k (9)曲线1)(+=x x f 在)2,1(点的切斜率是 .答案:21 (10)曲线xx f e )(=在)1,0(点的切线方程是 . 答案:e x y +=(11)已知x x x f 3)(3+=,则)3(f '= .答案:3ln 33)(2x x x f +=')3(f '=27()3ln 1+(12)已知x x f ln )(=,则)(x f ''= .答案:x x f 1)(=',)(x f ''=21x- (13)若x x x f -=e )(,则='')0(f.答案:x x x x f --+-=''e e 2)(='')0(f 2-(14)函数y x =-312()的单调增加区间是 . 答案:),1(+∞(15)函数1)(2+=ax x f 在区间),0(∞+内单调增加,则a 应满足 . 答案:0>a(16)若)(x f 的一个原函数为2ln x ,则=)(x f . 答案:x2 (17)若⎰+=c x x x f 2sin d )(,则)(x f . 答案:x 2cos 2(18)若______________d os ⎰=x x c 答案:c x +sin (19)=⎰-2de x.答案:c x +-2e(20)='⎰x x d )(sin.答案:c x +sin (21)若⎰+=c x F x x f )(d )(,则⎰=-x x f d )32( .答案:c x F +-)32(21(22)若⎰+=c x F x x f )(d )(,则⎰=-x x xf d )1(2 .答案:c x F +--)1(212 (23).______d )2cos (sin 112=+-⎰-x x x x x答案:32- (24)=+⎰e 12d )1ln(d d x x x. 答案:0 (25)x x d e 02⎰∞-= .答案:21 (26)已知曲线)(x f y =在任意点x 处切线的斜率为x1,且曲线过)5,4(,则该曲线的方程是 .答案:12+=x y (27)由定积分的几何意义知,x x a ad 022⎰-= .答案:42a π(28)微分方程1)0(,=='y y y 的特解为 . 答案:xy e =(29)微分方程03=+'y y 的通解为 . 答案:x c y 3e-=(30)微分方程x y xy y sin 4)(7)4(3=+''的阶数为 .答案:42.单项选择题(1)设函数2e e xx y +=-,则该函数是( ).A .奇函数B .偶函数C .非奇非偶函数D .既奇又偶函数答案:B(2)下列函数中为奇函数是().A .x x sinB .2e e x x +- C .)1ln(2x x ++ D .2x x +答案:C(3)函数)5ln(4+++=x x xy 的定义域为( ). A .5->x B .4-≠x C .5->x 且0≠x D .5->x 且4-≠x答案:D(4)设1)1(2-=+x x f ,则=)(x f ( ) A .)1(+x x B .2x C .)2(-x x D .)1)(2(-+x x 答案:C(5)当=k ( )时,函数⎩⎨⎧=≠+=0,,2)(x k x e x f x 在0=x 处连续.A .0B .1C .2D .3 答案:D(6)当=k ( )时,函数⎩⎨⎧=≠+=0,,1)(2x k x x x f ,在0=x 处连续.A .0B .1C .2D .1- 答案:B (7)函数233)(2+--=x x x x f 的间断点是( ) A .2,1==x xB .3=xC .3,2,1===x x xD .无间断点 答案:A (8)若x x f xcos e)(-=,则)0(f '=( ). A. 2 B. 1 C. -1 D. -2答案:C(9)设y x =lg 2,则d y =( ).A .12d x x B .1d x x ln10 C .ln10xx d D .1d x x答案:B(10)设)(x f y =是可微函数,则=)2(cos d x f ( ). A .x x f d )2(cos 2' B .x x x f d22sin )2(cos ' C .x x x f d 2sin )2(cos 2' D .x x x f d22sin )2(cos '- 答案:D(11)若3sin )(a x x f +=,其中a 是常数,则='')(x f ( ).A .23cos a x + B .a x 6sin + C .x sin - D .x cos 答案:C(1)函数2)1(+=x y 在区间)2,2(-是( ) A .单调增加 B .单调减少 C .先增后减 D .先减后增 答案:D(12)满足方程0)(='x f 的点一定是函数)(x f y =的( ). A .极值点 B .最值点 C .驻点 D . 间断点 答案:C(13)下列结论中( )不正确. A .)(x f 在0x x =处连续,则一定在0x 处可微. B .)(x f 在0x x =处不连续,则一定在0x 处不可导. C .可导函数的极值点一定发生在其驻点上.D .函数的极值点可能发生在不可导点上. 答案:A(14)下列函数在指定区间(,)-∞+∞上单调增加的是( ). A .x sin B .xe C .2x D .x -3 答案:B(15)下列等式成立的是( ). A .)(d )(d x f x x f =⎰ B .)(d )(x f x x f ='⎰C .)(d )(d dx f x x f x =⎰D .)()(d x f x f =⎰ 答案:C(16)以下等式成立的是( )A . )1d(d ln xx x = B .)(cos d d sin x x x =C .x xxd d = D .3ln 3d d 3xxx =答案:D(17)=''⎰x x f x d )(( )A. c x f x f x +-')()(B. c x f x +')(C.c x f x +')(212D. c x f x +'+)()1( 答案:A(18)下列定积分中积分值为0的是( ).A .x xx d 2e e 11⎰--- B .x xx d 2e e 11⎰--+ C .x x x d )cos (3⎰-+ππD .x x x d )sin (2⎰-+ππ答案:A(19)设)(x f 是连续的奇函数,则定积分=⎰aax x f -d )(( )A .0B .⎰-d )(ax x f C .⎰ax x f 0d )( D .⎰0-d )(2ax x f答案:A(20)下列无穷积分收敛的是( ). A .⎰∞+0d in x x s B .⎰∞+1d 1x xC .⎰∞+1d 1x xD .⎰∞+-02d e x x答案:D(21)微分方程0='y 的通解为( ).A .Cx y =B .C x y += C .C y =D .0=y 答案:C(22)下列微分方程中为可分离变量方程的是( )A. y x x y +=d d ;B. y xy x y +=d d ;C. x xy x y sin d d +=;D. )(d d x y x xy += 答案:B 3、计算题(1)423lim 222-+-→x x x x . 解:4121lim )2)(2()1)(2(lim 423lim 22222=+-=+---=-+-→→→x x x x x x x x x x x x (2)329lim 223---→x x x x解:234613lim )1)(3()3)(3(lim 329lim 33223==++=+-+-=---→→→x x x x x x x x x x x x(3)4586lim 224+-+-→x x x x x解:3212lim )1)(4()2)(4(lim 4586lim 44224=--=----=+-+-→→→x x x x x x x x x x x x x(4)设xx y 12e =,求y '.解: )1(e e 22121xx x y xx -+=')12(e 1-=x x(5)设x x y 3cos 4sin +=,求y '.解:)sin (cos 34cos 42x x x y -+='x x x 2c o s s i n 34c o s4-= (6)设xy x 2e 1+=+,求y '. 解:2121(21exx y x -+='+ (7)设x x x y cos ln +=,求y '.解:)sin (cos 12321x x x y -+=' x x tan 2321-=(8)x x d )12(10⎰-解:c x x x x x +-=--=-⎰⎰111010)12(221)1d(2)12(21d )12( (9)x x x d 1sin2⎰解:c x x x x x x +=-=⎰⎰1cos 1d 1sin d 1sin2(10)x x x d )e 4(e 22ln 0+⎰解:)e d(4)e 4(d )e 4(e 22ln 022ln 0x x x x x ++=+⎰⎰=3152)64216(31)e 4(2ln 03=-=+x (11)x xxd ln 51e1⎰+ 解:27)136(101)ln 51(101)ln 51()ln 51(51d ln 51121e1=-=+=++=+⎰⎰ee x x d x x x x(12)x x x d e 10⎰解:1ee d e ed e 101101=-=-=⎰⎰x xx xx x x x(13)⎰π20d sin x x x解:1sin d cos cos d sin 20202020==+-=ππππ⎰⎰xx x x x x x x4、应用题(1)欲做一个底为正方形,容积为108立方米的长方体开口容器,怎样做法用料最省? 解:设底边的边长为x ,高为h ,用材料为y ,由已知22108,108xh h x == x x x x x xh x y 432108442222+=⋅+=+=令043222=-='x x y ,解得6=x 是唯一驻点,且04322263>⨯+=''=x x y , 说明6=x 是函数的极小值点,所以当6=x ,361082==h 用料最省. (2)用钢板焊接一个容积为43m 的正方形的水箱,已知钢板每平方米10元,焊接费40元,问水箱的尺寸如何选择,可使总费最低?最低总费是多少? 解:设水箱的底边长为x ,高为h ,表面积为S ,且有24xh = 所以,164)(22xx xh x x S +=+= 2162)(x x x S -=' 令0)(='x S ,得2=x ,因为本问题存在最小值,且函数的驻点唯一,所以,当1,2==h x 时水箱的面积最小. 此时的费用为 1604010)2(=+⨯S (元)。
微积分初步形成性考核作业(一)————函数,极限和连续一、填空题(每小题2分,共20分) 1.函数)2ln(1)(-=x x f 的定义域是 .解:020)2ln({>-≠-x x , 23{>≠x x 所以函数)2ln(1)(-=x x f 的定义域是),3()3,2(+∞⋃2.函数xx f -=51)(的定义域是 .解:05>-x ,5<x所以函数xx f -=51)(的定义域是)5,(-∞3.函数24)2ln(1)(x x x f -++=的定义域是 .解:⎪⎩⎪⎨⎧≥->+≠+04020)2ln(2x x x ,⎪⎩⎪⎨⎧≤≤-->-≠2221x x x 所以函数24)2ln(1)(x x x f -++=的定义域是]2,1()1,2(-⋃-- 4.函数72)1(2+-=-x x x f ,则=)(x f.解:72)1(2+-=-x x x f 6)1(61222+-=++-=x x x所以=)(x f 62+x5.函数⎩⎨⎧>≤+=0e02)(2x x x x f x ,则=)0(f .解:=)0(f 2202=+6.函数x x x f 2)1(2-=-,则=)(x f .解:x x x f 2)1(2-=-1)1(11222+-=-+-=x x x ,=)(x f 12+x7.函数1322+--=x x x y 的间断点是 .解:因为当01=+x ,即1-=x 时函数无意义所以函数1322+--=x x x y 的间断点是1-=x8.=∞→xx x 1sinlim .解:=∞→x x x 1sinlim 111sinlim =∞→xx x9.若2sin 4sin lim0=→kxxx ,则=k .解: 因为24sin 44sin lim 4sin 4sin lim00===→→kkxkx x xk kx x x x 所以2=k10.若23sin lim 0=→kxxx ,则=k .解:因为2333lim 33lim 00===→→kx x sim k kx x sim x x所以23=k 二、单项选择题(每小题2分,共24分)1.设函数2e e xx y +=-,则该函数是( ).A .奇函数B .偶函数C .非奇非偶函数D .既奇又偶函数解:因为y e e e e x y xx x x =+=+=-----22)()( 所以函数2e e xx y +=-是偶函数。
微积分初步形成性考核作业(一)解答————函数,极限和连续一、填空题(每小题2分,共20分) 1.函数)2ln(1)(-=x x f 的定义域是 .解:020)2ln({>-≠-x x , 23{>≠x x所以函数)2ln(1)(-=x x f 的定义域是),3()3,2(+∞⋃2.函数xx f -=51)(的定义域是 .解:05>-x ,5<x 所以函数xx f -=51)(的定义域是)5,(-∞3.函数24)2ln(1)(x x x f -++=的定义域是 .解:⎪⎩⎪⎨⎧≥->+≠+04020)2ln(2x x x ,⎪⎩⎪⎨⎧≤≤-->-≠2221x x x 所以函数24)2ln(1)(x x x f -++=的定义域是]2,1()1,2(-⋃-- 4.函数72)1(2+-=-x x x f ,则=)(x f.解:72)1(2+-=-x x x f 6)1(61222+-=++-=x x x 所以=)(x f 62+x5.函数⎩⎨⎧>≤+=0e2)(2x x x x f x ,则=)0(f .解:=)0(f 2202=+6.函数x x x f 2)1(2-=-,则=)(x f .解:x x x f 2)1(2-=-1)1(11222+-=-+-=x x x ,=)(x f 12+x7.函数1322+--=x x x y 的间断点是 .解:因为当01=+x ,即1-=x 时函数无意义所以函数1322+--=x x x y 的间断点是1-=x8.=∞→xx x 1sinlim .解:=∞→x x x 1sinlim 111sinlim =∞→xx x9.若2sin 4sin lim0=→kxxx ,则=k .解: 因为24sin 44sin lim 4sin 4sin lim00===→→kkxkx x xk kx x x x 所以2=k10.若23sin lim 0=→kxxx ,则=k .解:因为2333lim 33lim 00===→→kx x sim k kx x sim x x所以23=k 二、单项选择题(每小题2分,共24分)1.设函数2e e xx y +=-,则该函数是( ).A .奇函数B .偶函数C .非奇非偶函数D .既奇又偶函数解:因为y e e e e x y xx x x =+=+=-----22)()( 所以函数2e e xx y +=-是偶函数。
故应选B2.设函数x x y sin 2=,则该函数是( ).A .奇函数B .偶函数C .非奇非偶函数D .既奇又偶函数 解:因为y x x x x x y -=-=--=-sin )sin()()(22所以函数x x y sin 2=是奇函数。
故应选A3.函数222)(xx x x f -+=的图形是关于( )对称.A .x y =B .x 轴C .y 轴D .坐标原点解:因为)(222222)()()(x f x x x f x x x x -=+-=+⋅-=----- 所以函数222)(xx x x f -+=是奇函数从而函数222)(xx x x f -+=的图形是关于坐标原点对称的 因此应选D4.下列函数中为奇函数是().A .x x sinB .x lnC .)1ln(2x x ++D .2x x + 解:应选C5.函数)5ln(41+++=x x y 的定义域为( ). A .5->x B .4-≠x C .5->x 且0≠x D .5->x 且4-≠x解:⎩⎨⎧>+≠+0504x x ,⎩⎨⎧->-≠54x x ,所以应选D6.函数)1ln(1)(-=x x f 的定义域是( ).A . ),1(+∞B .),1()1,0(+∞⋃C .),2()2,0(+∞⋃D .),2()2,1(+∞⋃解:⎩⎨⎧>-≠-010)1ln(x x ,⎩⎨⎧>≠12x x ,函数)1ln(1)(-=x x f 的定义域是),2()2,1(+∞⋃,故应选D7.设1)1(2-=+x x f ,则=)(x f ( )A .)1(+x xB .2x C .)2(-x x D .)1)(2(-+x x 解:1)1(2-=+x x f ]2)1)[(1()1)(1(-++=-+=x x x x )2()(-=x x x f ,故应选C8.下列各函数对中,()中的两个函数相等.A .2)()(x x f =,x x g =)( B .2)(x x f =,x x g =)(C .2ln )(x x f =,x x g ln 2)(= D .3ln )(x x f =,x x g ln 3)(= 解:两个函数相等必须满足①定义域相同②函数表达式相同,所以应选D9.当0→x 时,下列变量中为无穷小量的是( ). A .x 1 B .x x sin C .)1ln(x + D .2xx 解:因为0)1ln(lim 0=+→x x ,所以当0→x 时,)1ln(x +为无穷小量,所以应选C10.当=k ( )时,函数⎩⎨⎧=≠+=0,0,1)(2x k x x x f ,在0=x 处连续.A .0B .1C .2D .1- 解:因为1)1(lim )(lim 2=+=→→x x f x x ,k f =)0(若函数⎩⎨⎧=≠+=0,0,1)(2x k x x x f ,在0=x 处连续,则)(lim )0(0x f f x →=,因此1=k 。
故应选B11.当=k ( )时,函数⎩⎨⎧=≠+=0,,2)(x k x e x f x 在0=x 处连续.A .0B .1C .2D .3 解:3)2(lim )(lim )0(0=+===→→xx x e x f f k ,所以应选D12.函数233)(2+--=x x x x f 的间断点是( ) A .2,1==x xB .3=xC .3,2,1===x x xD .无间断点解:当2,1==x x 时分母为零,因此2,1==x x 是间断点,故应选A 三、解答题(每小题7分,共56分)⒈计算极限423lim 222-+-→x x x x .解:423lim222-+-→x x x x 4121lim )2)(2()2)(1(lim 22=+-=-+--=→→x x x x x x x x 2.计算极限165lim 221--+→x x x x解:165lim221--+→x x x x 2716lim )1)(1()6)(1(lim 11=++=-++-=→→x x x x x x x x 3.329lim 223---→x x x x解:329lim 223---→x x x x 234613lim )3)(1()3)(3(lim 33==++=-+-+=→→x x x x x x x x 4.计算极限4586lim 224+-+-→x x x x x解:4586lim 224+-+-→x x x x x 3212lim )4)(1()4)(2(lim 44=--=----=→→x x x x x x x x 5.计算极限6586lim 222+-+-→x x x x x .解:6586lim 222+-+-→x x x x x 234lim )3)(2()4)(2(lim 22=--=----=→→x x x x x x x x 6.计算极限xx x 11lim--→. 解:x x x 11lim--→)11(lim )11()11)(11(lim 00+--=+-+---=→→x x xx x x x x x 21111lim-=+--=→x x7.计算极限xx x 4sin 11lim--→解:x x x 4sin 11lim--→)11(4sin )11)(11(lim 0+-+---=→x x x x x 81)11(44sin 1lim 41)11(4sin lim00-=+--=+--=→→x xx x x xx x8.计算极限244sin lim-+→x x x .解:244sin lim-+→x x x )24)(24()24(4sin lim++-+++=→x x x x x16)24(44[lim 4)24(4sin lim 00=++=++=→→x xxsim x x x x x微积分初步形成性考核作业(二)解答(除选择题)————导数、微分及应用一、填空题(每小题2分,共20分) 1.曲线1)(+=x x f 在)2,1(点的斜率是 .解:xx f 21)(=',斜率21)1(='=f k 2.曲线xx f e )(=在)1,0(点的切线方程是 . 解:xe xf =')( ,斜率1)0(0=='=e f k所以曲线xx f e )(=在)1,0(点的切线方程是:1+=x y 3.曲线21-=xy 在点)1,1(处的切线方程是.解:2321--='x y ,斜率21211231-=-='==-=x x x y k所以曲线21-=xy 在点)1,1(处的切线方程是:)1(211--=-x y ,即:032=-+y x 4.=')2(x. 解:=')2(x xxxx22ln 22ln 212=⋅5.若y = x (x – 1)(x – 2)(x – 3),则y '(0) =.解:6)3)(2)(1()0(-=---='y6.已知x x x f 3)(3+=,则)3(f '=.解:3ln 33)(2xx x f +=',)3(f '3ln 2727+=7.已知x x f ln )(=,则)(x f ''= .解:x x f 1)(=',21)(xx f -='' 8.若xx x f -=e )(,则='')0(f .解:x xxe ex f ---=')(,x x x x x xe e xe e e x f -----+-=---=''2)()(, ='')0(f 2-9.函数y x =-312()的单调增加区间是 .解:0)1(6≥-='x y ,1≥x ,所以函数y x =-312()的单调增加区间是),1[+∞ 10.函数1)(2+=ax x f 在区间),0(∞+内单调增加,则a 应满足 .解:02)(≥='ax x f ,而0>x ,所以0≥a 二、单项选择题(每小题2分,共24分) 1.函数2)1(+=x y 在区间)2,2(-是( D ) A .单调增加 B .单调减少C .先增后减D .先减后增2.满足方程0)(='x f 的点一定是函数)(x f y =的( C ). A .极值点 B .最值点 C .驻点 D . 间断点 3.若x x f xcos e)(-=,则)0(f '=( C ).A . 2B . 1C . -1D . -2 4.设y x =lg2,则d y =( B ). A .12d x x B .1d x x ln10 C .ln10x x d D .1d xx 5..设)(x f y =是可微函数,则=)2(cos d x f ( D ).A .x x f d )2(cos 2'B .x x x f d22sin )2(cos 'C .x x x f d 2sin )2(cos 2'D .x x x f d22sin )2(cos '- 6.曲线1e2+=xy 在2=x 处切线的斜率是( C ).A .4e B .2e C .42e D .2 7.若x x x f cos )(=,则='')(x f ( C ).A .x x x sin cos +B .x x x sin cos -C .x x x cos sin 2--D .x x x cos sin 2+ 8.若3sin )(a x x f +=,其中a 是常数,则='')(x f ( C ).A .23cos a x + B .a x 6sin + C .x sin - D .x cos9.下列结论中( B )不正确. A .)(x f 在0x x =处连续,则一定在0x 处可微. B .)(x f 在0x x =处不连续,则一定在0x 处不可导. C .可导函数的极值点一定发生在其驻点上.D .若)(x f 在[a ,b ]内恒有0)(<'x f ,则在[a ,b ]内函数是单调下降的. 10.若函数f (x )在点x 0处可导,则( B )是错误的.A .函数f (x )在点x 0处有定义B .A x f x x =→)(lim 0,但)(0x f A ≠C .函数f (x )在点x 0处连续D .函数f (x )在点x 0处可微11.下列函数在指定区间(,)-∞+∞上单调增加的是( B ). A .sin x B .e x C .x 2 D .3 - x 12.下列结论正确的有( A ).A .x 0是f (x )的极值点,且f '(x 0)存在,则必有f '(x 0) = 0B .x 0是f (x )的极值点,则x 0必是f (x )的驻点C .若f '(x 0) = 0,则x 0必是f (x )的极值点D .使)(x f '不存在的点x 0,一定是f (x )的极值点三、解答题(每小题7分,共56分)⒈设xx y 12e =,求y '.解:x x xx e xe xe x xe y 1121212)1(2-=-+='x e x 1)12(-=2.设x x y 3cos 4sin +=,求y '. 解:x x x y sin cos 34cos 42-=' 3.设xy x 1e 1+=+,求y '. 解:211121x ex y x -+='+ 4.设x x x y cos ln +=,求y '. 解:x x x x x y tan 23cos sin 23-=-+=' 5.设)(x y y =是由方程422=-+xy y x 确定的隐函数,求y d . 解:两边微分:0)(22=+-+xdy ydx ydy xdx xdx ydx xdy ydy 22-=- dx xy xy dy --=226.设)(x y y =是由方程1222=++xy y x 确定的隐函数,求y d . 解:两边对1222=++xy y x 求导,得:0)(222='++'+y x y y y x 0='++'+y x y y y x ,)()(y x y y x +-='+,1-='y dx dx y dy -='=7.设)(x y y =是由方程4e e 2=++x x y x 确定的隐函数,求y d . 解:两边微分,得:02=+++xdx dy xe dx e dx e yyxdx x e e dy xe yxy)2(++-=,dx xexe e dy yy x 2++-= 8.设1e )cos(=++yy x ,求y d . 解:两边对1e )cos(=++yy x 求导,得: 0)sin()1(='++'+-y e y y x y 0)sin()sin(='++'-+-ye y y x y y x )sin()]sin([y x y y x e y+='+- )sin()sin(y x e y x y y+-+=' dx y x e y x dx y dy y)sin()sin(+-+='=微积分初步形成性考核作业(三)解答(填空题除外)———不定积分,极值应用问题一、填空题(每小题2分,共20分)1.若)(x f 的一个原函数为2ln x ,则=)(x f 2ln 2x x x c -+ 。