世界各国工作时间表
- 格式:pdf
- 大小:116.10 KB
- 文档页数:5
世界各国客户上班时间查询注:世界各国客户上班时间(以9:00上班为准)在中国的时间对应表,仅供参考。
北美电话区号国家(英文)国家(中文)对应中国时间1 USA 美国22:00:001 Canada 加拿大22:00:00南美电话区号国家(英文)国家(中文)对应中国时间54 Argentina 阿根廷20:00:00591 Bolivia 玻利维亚21:00:0056 Chile 智利21:00:0057 Colombia 哥伦比亚22:00:00 593 Ecuador 厄瓜多尔22:00:0058 Venezuela 委内瑞拉22:00:00拉美电话区号国家(英文)国家(中文)对应中国时间501 Belize 伯利兹23:00:0055 Brazil 巴西20:00:0056 Chile 智利21:00:0053 Cuba 古巴22:00:00 502 Guatemala 危地马拉23:00:00592 Guyana 圭亚那20:00:00 509 Haiti 海地22:00:00504 Honduras 洪都拉斯23:00:00 1809 Jamaica 牙买加21:00:0052 Mexico 墨西哥23:00:00 507 Panama 巴拿马22:00:0051 Peru 秘鲁22:00:00 589 Uruguay 乌拉圭20:00:00澳洲电话区号国家(英文)国家(中文)对应中国时间61 Australia 澳大利亚7:00:00676 Togo 汤加4:00:00 674 Nauru 瑙鲁5:00:00亚洲电话区号国家(英文)国家(中文)对应中国时间973 Bahrain 巴林14:00:0095 Burma 缅甸10:30:00 82 South Korea 韩国8:00:0081 Japan 日本8:00:00 850 D.P.R.Korea 朝鲜8:00:0091 India 印度12:00:00 62 Indonesia 印度尼西亚10:00:0098 Iran 伊朗14:00:00 964 Iraq 伊拉克14:00:00 972 Israel 以色列15:00:00 962 Jordan 约旦15:00:00 965 Kuwait 科威特14:00:00 856 Laos 老挝10:00:00 961 Lebanon 黎巴嫩15:00:00 60 Malaysia 马来西亚9:00:00960 Maldives 马尔代夫11:30:00 674 Nauru 瑙鲁5:00:00977 Nepal 尼泊尔12:00:00 968 Nepal 阿曼13:00:0092 Pakistan 巴基斯坦12:00:00 63 Philippines 菲律宾9:00:00974 Qatar 卡塔尔14:00:00 966 Saudi Arabia 沙特阿拉伯14:00:0065 Singapore 新加坡9:30:0094 Srilanka 斯里兰卡12:00:00 963 Syria 叙利亚15:00:00 66 Thailand 泰国10:00:00 967 Yemen 也门14:00:00 90 Turkey 土耳其15:00:00 971 U.A.E 阿联酋14:00:00 84 Vietnam 越南10:00:00 880 Bangladesh 孟加拉国11:00:00欧洲电话区号国家(英文)国家(中文)对应中国时间355 Albania 阿尔巴尼亚16:00:00 376 Andorra 安道尔17:00:00 43 Austria 奥地利16:00:0032 Belgium 比利时16:00:00 359 Bulgaria 保加利亚15:00:00 357 Cyprus 塞浦路斯15:00:00 42 Czech 捷克16:00:0045 Denmark 丹麦16:00:00 1809 Dominica 多米尼加22:00:00 358 Finland 芬兰15:00:00 33 France 法国16:00:0049 Germany 德国16:00:00 30 Greece 希腊15:00:0036 Hungary 匈牙利16:00:00 354 Iceland 冰岛16:00:00 353 Ireland 爱尔兰17:00:00 39 Italy 意大利16:00:00 4175 Liechtenstein 列支敦士登16:00:00 352 Luxemburg 卢森堡16:00:00 356 Malta 马耳他16:00:00 3393 Monaco 摩纳哥16:00:0031 Netherlands Holland 荷兰16:00:0047 Norway 挪威16:00:0048 Poland 波兰16:00:00 351 Portugal 葡萄牙17:00:0040 Romania 罗马尼亚15:00:00 42 Slovakia 斯洛伐克16:00:0034 Spain 西班牙16:00:00 46 Sweden 瑞典16:00:0044 U.K 英国17:00:00 39 Vatican 梵蒂冈16:00:0038 Yugoslavia 南斯拉夫16:00:00非洲电话区号国家(英文)国家(中文)对应中国时间213 Algeria 阿尔及利亚16:00:00 244 Angola 安哥拉16:00:00 257 Burundi 布隆迪15:00:00 237 Cameroon 喀麦隆16:00:00 235 Chad 乍得16:00:00 242 Congo 刚果16:00:00 20 Egypt 埃及15:00:00 224 Guinea 几内亚17:00:00 254 Kenya 肯尼亚14:00:00 231 Liberia 利比里亚17:00:00 218 Libya 利比亚15:00:00 261 Madagascar 马达加斯加14:00:00 223 Mali 马里17:00:00 230 Mauritius 毛里求斯13:00:00 212 Morocco 摩洛哥15:00:00 227 Niger 尼日尔17:00:00 234 Nigeria 尼日利亚16:00:00 221 Senegal 塞内加尔17:00:00 252 Somali 索马里14:00:00 249 Sudan 苏丹15:00:00255 Tanzania 坦桑尼亚14:00:00 228 Togo 多哥17:00:00 216 Tunisia 突尼斯16:00:00 243 Zaire 扎伊尔16:00:00 260 Zambia 赞比亚15:00:00 263 Zimbabwe 津巴布韦15:00:00。
外商时间表世界各国客户上班时间表(希望对做外贸的朋友有些帮助)我黑夜你白天:世界各国客户上班时间表世界各国客户上班时间(以8:00上班为准)在中国的时间对应表国家(英文)国家代码对应中国时间亚洲Bahrain 巴林 973 13:00Burma 缅甸 95 9:30D.P.R.Korea 朝鲜 850 7:00India 印度 91 11:00Indonesia 印度尼西亚62 9:00Iran 伊朗 98 13:00Iraq 伊拉克 964 13:00Israel 以色列 972 14:00Japan 日本 81 7:00Jordan 约旦 962 14:00Kuwait 科威特 965 13:00Laos 老挝 856 9:00Lebanon 黎巴嫩 961 14:00Malaysia 马来西亚 60 8:00Maldives 马尔代夫 960 10:30 Nauru 瑙鲁 674 4:00Nepal 尼泊尔 977 11:00Oman 阿曼 968 12:00 Pakistan 巴基斯坦 92 11:00 Philippines 菲律宾 63 8:00Qatar 卡塔尔 974 13:00Saudi Arabia 沙特阿拉伯 966 13:00 Singapore 新加坡 65 8:30 South Korea韩国 82 7:00 Srilanka 斯里兰卡 94 11:00 Syria 叙利亚 963 14: 00 Thailand 泰国 66 9:00Yemen 也门 967 13:00Turkey 土耳其 90 14:00U.A.E 阿联酋 971 13:00 Vietnam 越南 84 9:00欧洲Albania 阿尔巴尼亚 355 15:00 Andorra 安道尔 376 16:00Austria 奥地利 43 15:00 Belgium 比利时 32 15:00 Bulgaria 保加利亚 359 14:00 Cyprus 塞浦路斯 357 14:00 Czech 捷克42 15:00 Denmark 丹麦45 15:00 Dominica 多米尼加 1809 21:00 Finland 芬兰358 14:00France 法国33 15:00 Germany 德国49 15:00 Greece 希腊30 14:00 Hungary 匈牙利 36 15:00 Iceland 冰岛354 5:00 Ireland 爱尔兰 353 16:00Italy 意大利39 15:00 Liechtenstein 列支敦士登 4175 15:00 Luxemburg 卢森堡 352 15:00 Malta 马耳他` 356 15:00 Monaco 摩纳哥3393 14:00 Netherlands Holland荷兰 31 15:00 Norway 挪威47 15:00 Poland 波兰48 15:00Portugal 葡萄牙351 16:00 Romania 罗马尼亚40 14:00 Slovakia 斯洛伐克42 15:00 Spain 西班牙34 15:00 Sweden瑞典46 15:00U.K. 英国44 16:00 Vatican 梵蒂冈39 15:00 Yugoslavia 南斯拉夫38 15:00北美国家(英文)国家代码应中国时间USA 美国 1 21:00 Canada 加拿大 1 21:00拉美Belize 伯利兹 501 22:00Brazil 巴西55 19:00Chile 智利56 20:00Cuba 古巴53 21:00 Guatemala 危地马拉 502 22:00Guyana 圭亚那 592 19:00 Haiti 海地509 21:00 Honduras 洪都拉斯 504 22:00 Jamaica 牙买加1809 20:00 Mexico 墨西哥52 22:00 Panama 巴拿马 507 21:00 Peru 秘鲁51 21:00 Uruguay 乌拉圭 589 19:00南美Argentina 阿根廷54 19:00 Bolivia 玻利维亚 591 20:00 Chile 智利56 20:00 Colombia 哥伦比亚57 21:00 Ecuador 厄瓜多尔 593 21:00 Venezuela 委内瑞拉58 21:00澳洲Australia 澳大利亚61 6:00 Togo 汤加676 3:00Nauru 瑙鲁674 4:00非洲Algeria 阿尔及利亚 213 15:00 Angola 安哥拉 244 15:00 Burundi 布隆迪 257 14:00 Cameroon 喀麦隆 237 15:00 Chad 乍得 235 15:00Congo 刚果 242 15:00Egypt 埃及 20 14:00 Guinea 几内亚 224 16:00 Kenya 肯尼亚 254 13:00 Liberia 利比里亚 231 16:00 Libya 利比亚 218 14:00 Madagascar 马达加斯加261 13:00 Mali 马里 223 16:00 Mauritius 毛里求斯 230 12:00 Morocco 摩洛哥 212 14:00 Niger 尼日尔 227 16:00 Nigeria 尼日利亚 234 15:00 Senegal 塞内加尔 221 16:00Somali 索马里 252 13:00 Sudan 苏丹 249 14:00 Tanzania 坦桑尼亚 255 13:00 Togo 多哥 228 16:00 Tunisia 突尼斯 216 15:00 Zaire 扎伊尔 243 15:00 Zambia 赞比亚 260 14:00 Zimbabwe 津巴布韦 263 14:00。
世界各国上班时间表世界各国上班时间表世界各国上班时间表亚洲国家(英文)国家代码对应中国时间Bahrain 巴林973 13:00 Burma 缅甸95 9:30D.P.R.Korea 朝鲜850 7:00India 印度91 11:00 Indonesia 印度尼西亚62 9:00Iran 伊朗98 13:00Iraq 伊拉克964 13:00Israel 以色列972 14:00 Japan 日本81 7:00Jordan 约旦962 14:00 Kuwait 科威特965 13:00Laos 老挝856 9:00 Lebanon 黎巴嫩961 14:00 Malaysia 马来西亚60 8:00 Maldives 马尔代夫960 10:30 Nauru 瑙鲁674 4:00Nepal 尼泊尔977 11:00 Oman 阿曼968 12:00 Pakistan 巴基斯坦92 11:00 Philippines 菲律宾63 8:00Qatar 卡塔尔974 13:00 SaudiArabia 沙特阿拉伯966 13:00 Singapore 新加坡65 8:30 SouthKorea 韩国82 7:00 Srilanka 斯里兰卡94 11:00Syria 叙利亚963 14:00 Thailand 泰国66 9:00Y emen 也门967 13:00 Turkey 土耳其90 14:00U.A.E 阿联酋971 13:00 Vietnam 越南84 9:00欧洲国家(英文)国家代码对应中国时间Albania 阿尔巴尼亚355 15:00 Andorra 安道尔376 16:00 Austria 奥地利43 15:00 Belgium 比利时32 15:00 Bulgaria 保加利亚359 14:00 Cyprus 塞浦路斯357 14:00 Czech 捷克42 15:00 Denmark 丹麦45 15:00 Dominica 多米尼加1809 21:00 Finland 芬兰358 14:00 France 法国33 15:00 Germany 德国49 15:00 Greece 希腊30 14:00 Hungary 匈牙利36 15:00 Iceland 冰岛354 15:00 Ireland 爱尔兰353 16:00 Italy 意大利39 15:00 Liechtenstein 列支敦士登4175 15:00 Luxemburg 卢森堡352 15:00 Malta 马耳他356 15:00 Monaco 摩纳哥3393 14:00 Holland 荷兰31 15:00 Norway 挪威47 15:00 Poland 波兰48 15:00 Portugal 葡萄牙351 16:00 Romania 罗马尼亚40 14:00 Slovakia 斯洛伐克42 15:00 Spain 西班牙34 15:00 Sweden 瑞典46 15:00 U.K. 英国44 16:00 V atican 梵蒂冈39 15:00 Y ugoslavia 南斯拉夫38 15:00北美国家(英文)国家代码对应中国时间USA 美国 1 21:00 Canada 加拿大 1 21:00拉美国家(英文)国家代码对应中国时间Belize 伯利兹501 22:00 Brazil 巴西55 19:00 Chile 智利56 20:00 Cuba 古巴53 21:00 Guatemala 危地马拉502 22:00 Guyana 圭亚那592 19:00 Haiti 海地509 21:00 Honduras 洪都拉斯504 22:00 Jamaica 牙买加1809 20:00 Mexico 墨西哥52 22:00 Panama 巴拿马507 21:00 Peru 秘鲁51 21:00 Uruguay 乌拉圭589 19:00南美国家(英文)国家代码对应中国时间Argentina 阿根廷54 19:00 Bolivia 玻利维亚591 20:00 Chile 智利56 20:00 Colombia 哥伦比亚57 21:00 Ecuador 厄瓜多尔593 21:00 V enezuela 委内瑞拉58 21:00澳洲国家(英文)国家代码对应中国时间Australia 澳大利亚61 6:00 Togo 汤加676 3:00 Nauru 瑙鲁674 4:00非洲国家(英文)国家代码对应中国时间Algeria 阿尔及利亚213 15:00 Angola 安哥拉244 15:00 Burundi 布隆迪257 14:00 Cameroon 喀麦隆237 15:00 Chad 乍得235 15:00 Congo 刚果242 15:00 Egypt 埃及20 14:00 Guinea 几内亚224 16:00 Kenya 肯尼亚254 13:00 Liberia 利比里亚231 16:00 Libya 利比亚218 14:00 Madagascar 马达加斯加261 13:00 Mali 马里223 16:00 Mauritius 毛里求斯230 12:00 Morocco 摩洛哥212 14:00 Niger 尼日尔227 16:00 Nigeria 尼日利亚234 15:00 Senegal 塞内加尔221 16:00 Somali 索马里252 13:00 Sudan 苏丹249 14:00 Tanzania 坦桑尼亚255 13:00 Togo 多哥228 16:00 Tunisia 突尼斯216 15:00 Zaire 扎伊尔243 15:00 Zambia 赞比亚260 14:00 Zimbabwe 津巴布韦263 14:00。
世界各国国家代码/上班时间表及与中国时差国家(英文)国家代码对应中国时间亚洲Bahrain 巴林 973 13:00 Burma 缅甸 95 9:30 D.P.R.Korea 朝鲜 850 7:00India 印度 91 11:00 Indonesia 印度尼西亚 62 9:00 Iran 伊朗 98 13:00 Iraq 伊拉克964 13:00 Israel 以色列972 14:00 Japan 日本 81 7:00 Jordan 约旦 962 14:00 Kuwait 科威特965 13:00 Laos 老挝 856 9:00 Lebanon 黎巴嫩961 14:00 Malaysia 马来西亚 60 8:00 Maldives 马尔代夫 960 10:30 Nauru 瑙鲁 674 4:00 Nepal 尼泊尔977 11:00 Oman 阿曼 968 12:00 Pakistan 巴基斯坦 92 11:00 Philippines 菲律宾63 8:00 Qatar 卡塔尔974 13:00 Saudi Arabia 沙特阿拉伯 966 13:00 Singapore 新加坡65 8:30 South Korea 韩国 82 7:00 Srilanka 斯里兰卡 94 11:00 Syria 叙利亚963 14:00 Thailand 泰国 66 9:00 Yemen 也门 967 13:00 Turkey 土耳其90 14:00 U.A.E 阿联酋971 13:00 Vietnam 越南 84 9:00欧洲Albania 阿尔巴尼亚 355 15:00 Andorra 安道尔 376 16:00 Austria 奥地利 43 15:00 Belgium 比利时 32 15:00 Bulgaria 保加利亚359 14:00Czech 捷克 42 15:00 Denmark 丹麦 45 15:00 Dominica 多米尼加1809 21:00 Finland 芬兰 358 14:00 France 法国 33 15:00 Germany 德国 49 15:00 Greece 希腊 30 14:00 Hungary 匈牙利 36 15:00 Iceland 冰岛 354 15:00 Ireland 爱尔兰 353 16:00 Italy 意大利 39 15:00 Liechtenstein 列支敦士登 4175 15:00 Luxemburg 卢森堡 352 15:00 Malta 马耳他` 356 15:00 Monaco 摩纳哥 3393 14:00 Holland 荷兰 31 15:00 Norway 挪威 47 15:00 Poland 波兰 48 15:00 Portugal 葡萄牙 351 16:00 Romania 罗马尼亚40 14:00 Slovakia 斯洛伐克42 15:00 Spain 西班牙 34 15:00 Sweden瑞典 46 15:00 U.K. 英国 44 16:00 Vatican 梵蒂冈 39 15:00 Yugoslavia 南斯拉夫38 15:00北美USA 美国 1 21:00 Canada 加拿大 1 21:00拉美Belize 伯利兹 501 22:00 Brazil 巴西 55 19:00 Chile 智利 56 20:00 Cuba 古巴 53 21:00 Guatemala 危地马拉502 22:00 Guyana 圭亚那 592 19:00 Haiti 海地 509 21:00 Honduras 洪都拉斯504 22:00 Jamaica 牙买加 1809 20:00Panama 巴拿马 507 21:00 Peru 秘鲁 51 21:00 Uruguay 乌拉圭 589 19:00南美Argentina 阿根廷54 19:00 Bolivia 玻利维亚 591 20:00 Chile 智利 56 20:00 Colombia 哥伦比亚 57 21:00 Ecuador 厄瓜多尔 593 21:00 Venezuela 委内瑞拉 58 21:00澳洲Australia 澳大利亚 61 6:00 Togo 汤加 676 3:00 Nauru 瑙鲁 674 4:00非洲Algeria 阿尔及利亚 213 15:00 Angola 安哥拉244 15:00 Burundi 布隆迪257 14:00 Cameroon 喀麦隆237 15:00 Chad 乍得 235 15:00 Congo 刚果 242 15:00 Egypt 埃及 20 14:00 Guinea 几内亚224 16:00 Kenya 肯尼亚254 13:00 Liberia 利比里亚 231 16:00 Libya 利比亚218 14:00 Madagascar 马达加斯加 261 13:00 Mali 马里 223 16:00 Mauritius 毛里求斯 230 12:00 Morocco 摩洛哥212 14:00 Niger 尼日尔227 16:00 Nigeria 尼日利亚 234 15:00 Senegal 塞内加尔 221 16:00Sudan 苏丹 249 14:00 Tanzania 坦桑尼亚 255 13:00 Togo 多哥 228 16:00 Tunisia 突尼斯216 15:00 Zaire 扎伊尔243 15:00 Zambia 赞比亚260 14:00 Zimbabwe 津巴布韦 263 14:00。
各国上班时间点正常情况下上午10:00-11:30,下午14:00-16:00是一天中工作效率最高的时间点,一般正常上班时间是从早上9:00开始,周一到周五。
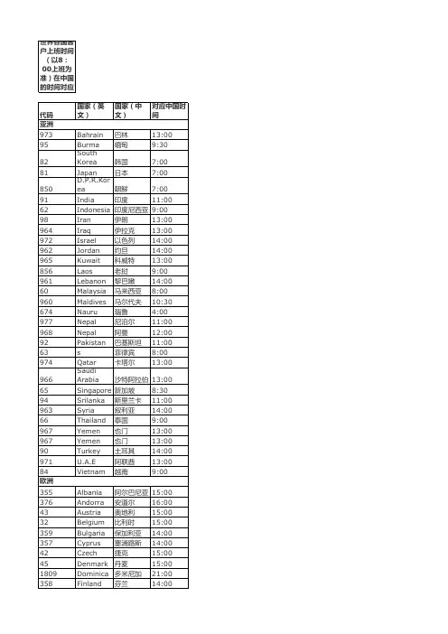
各国时间9:00为例,对应的中国时间如下:亚洲973 Bahrain 巴林 13:0095 Burma 缅甸 9:3082 South Korea 韩国 7:0081 Japan 日本 7:00850 D.P.R.Korea 朝鲜 7:0091 India 印度 11:0062 Indonesia 印度尼西亚 9:0098 Iran 伊朗 13:00964 Iraq 伊拉克 13:00972 Israel 以色列 14:00962 Jordan 约旦 14:00965 Kuwait 科威特 13:00856 Laos 老挝 9:00961 Lebanon 黎巴嫩 14:0060 Malaysia 马来西亚 8:00960 Maldives 马尔代夫 10:30674 Nauru 瑙鲁 4:00977 Nepal 尼泊尔 11:00968 Nepal 阿曼 12:0092 Pakistan 巴基斯坦 11:0063 Philippines 菲律宾 8:00974 Qatar 卡塔尔 13:00966 Saudi Arabia 沙特阿拉伯 13:00 65 Singapore 新加坡 8:3094 Srilanka 斯里兰卡 11:00963 Syria 叙利亚 14:0066 Thailand 泰国 9:00967 Yemen 也门 13:00967 Yemen 也门 13:0090 Turkey 土耳其 14:00971 U.A.E 阿联酋 13:0084 Vietnam 越南 9:00欧洲355 Albania 阿尔巴尼亚 15:00376 Andorra 安道尔 16:0043 Austria 奥地利 15:0032 Belgium 比利时 15:00359 Bulgaria 保加利亚 14:00357 Cyprus 塞浦路斯 14:0042 Czech 捷克 15:0045 Denmark 丹麦 15:001809 Dominica 多米尼加 21:00358 Finland 芬兰 14:0033 France 法国 15:0049 Germany 德国 15:0030 Greece 希腊 14:0036 Hungary 匈牙利 15:00354 Iceland 冰岛 15:00353 Ireland 爱尔兰 16:0039 Italy 意大利 15:004175 Liechtenstein 列支敦士登 15:00 352 Luxemburg 卢森堡 15:00356 Malta 马耳他 15:003393 Monaco 摩纳哥 14:0031 Netherlands Holland 荷兰 15:0047 Norway 挪威 15:0048 Poland 波兰 15:00351 Portugal 葡萄牙 16:0040 Romania 罗马尼亚 14:0042 Slovakia 斯洛伐克 15:0034 Spain 西班牙 15:0046 Sweden 瑞典 15:0044 U.K 英国 16:0039 Vatican 梵蒂冈 15:0038 Yugoslavia 南斯拉夫 15:00北美1 USA 美国 21:001 Canada 加拿大 21:00拉美501 Belize 伯利兹 22:0055 Brazil 巴西 19:0056 Chile 智利 20:0053 Cuba 古巴 21:00502 Guatemala 危地马拉 22:00592 Guyana 圭亚那 19:00509 Haiti 海地 21:00504 Honduras 洪都拉斯 22:001809 Jamaica 牙买加 20:0052 Mexico 墨西哥 22:00507 Panama 巴拿马 21:0051 Peru 秘鲁 21:00589 Uruguay 乌拉圭 19:00南美54 Argentina 阿根廷 19:00591 Bolivia 玻利维亚 20:0056 Chile 智利 20:0057 Colombia 哥伦比亚 21:00593 Ecuador 厄瓜多尔 21:0058 Venezuela 委内瑞拉 21:00澳洲61 Australia 澳大利亚 6:00676 Togo 汤加 3:00674 Nauru 瑙鲁 4:00非洲213 Algeria 阿尔及利亚 15:00 244 Angola 安哥拉 15:00257 Burundi 布隆迪 14:00237 Cameroon 喀麦隆 15:00235 Chad 乍得 15:00242 Congo 刚果 15:0020 Egypt 埃及 14:00224 Guinea 几内亚 16:00254 Kenya 肯尼亚 13:00231 Liberia 利比里亚 16:00218 Libya 利比亚 14:00261 Madagascar 马达加斯加 13:00 223 Mali 马里 16:00230 Mauritius 毛里求斯 12:00 212 Morocco 摩洛哥 14:00227 Niger 尼日尔 16:00234 Nigeria 尼日利亚 15:00 221 Senegal 塞内加尔 16:00 252 Somali 索马里 13:00249 Sudan 苏丹 14:00255 Tanzania 坦桑尼亚 13:00 228 Togo 多哥 16:00216 Tunisia 突尼斯 15:00243 Zaire 扎伊尔 15:00260 Zambia 赞比亚 14:00263 Zimbabwe 津巴布韦 14:00。
中国工作时间与国外工作时间对照表工作时间一般都是9:00------17:00北京时间对应外国其它城市工作时间德国:7.8.9月轮休.法国:7月最后一个星期至8月意大利:8月1日至9月3日波兰:7月初至7月底荷兰:7月初至8月初比利时:7月中旬至8月初捷克:7月初至8月底(轮休一般,7月12至8月8日)挪威:7月至9月轮休(一般7月14至9月1)西班牙:7月7日至8月4日葡萄牙:7月14至7月27瑞士:7月初至7月底丹麦:一般7月底休完匈牙利:7月初至8月底斯洛文尼亚:7月1日到9月希腊:8月初至8月底一下补充:1/3时间在休假的“法国”:”:在德国,每年可有30个工作日的假期,而且这些假期不允许被任何形式的经济补偿所替代。
德国除了圣诞节和新年,德国比较长的假日应该算是复活节,但是也只有2到3天。
所以,德国人一般会选择在冬夏两个季节外出度假,许多人会选择到欧洲南部阳光充足的地方,但不会在某一固定时间扎堆儿休假旅游。
由于英国文化多元,所以英国人可以享受到的大节日就有106个。
虽然,英国没有超过3天的节假日,但是很多人喜欢把自己的私人假期与公共假期连在一起休,这样时间更长。
英国人出游的习惯和中国人有一定不同,他们往往很早就制定计划。
比如现在是9月,就已经开始了圣诞节的计划。
在英国,越早订车票、飞机票越便宜,临近节假日时票价会上涨3到4倍,有的甚至达到了10倍。
度假“狂热”的“墨西哥”:墨西哥的节日可谓数不胜数,几乎每个月都有一两个节日。
除作为天主教国家所必须过的传统宗教节日外,各种纪念日也被列为法定假日。
墨西哥人喜欢过节可用“狂热”来形容,每逢过节,人们都会聚集在一起举行各式活动。
而英国人则相对理性一些,他们会根据财力、时间以及工作安排,慎重地安排自己休假方式以及出行地点,或去海滩享受日光浴,或去风景如画的乡村放松心情。
代码国家(英文)国家(中文)亚洲973Bahrain巴林95Burma缅甸82South Korea韩国81Japan日本850 D.P.R.Korea朝鲜91India印度62Indonesia印度尼西亚98Iran伊朗964Iraq伊拉克972Israel以色列962Jordan约旦965Kuwait科威特856Laos老挝961Lebanon黎巴嫩60Malaysia马来西亚960Maldives马尔代夫674Nauru瑙鲁977Nepal尼泊尔968Nepal阿曼92Pakistan巴基斯坦63Philippines菲律宾974Qatar卡塔尔966Saudi Arabia沙特阿拉伯65Singapore新加坡94Srilanka斯里兰卡963Syria叙利亚66Thailand泰国967Yemen也门967Yemen也门90Turkey土耳其971U.A.E阿联酋84Vietnam越南欧洲355Albania阿尔巴尼亚376Andorra安道尔43Austria奥地利32Belgium比利时359Bulgaria保加利亚357Cyprus塞浦路斯42Czech捷克45Denmark丹麦1809Dominica多米尼加358Finland芬兰33France法国49Germany德国30Greece希腊36Hungary匈牙利354Iceland冰岛353Ireland爱尔兰39Italy意大利4175Liechtenstein列支敦士登352Luxemburg卢森堡356Malta马耳他3393Monaco摩纳哥31Netherlands Holland荷兰47Norway挪威48Poland波兰351Portugal葡萄牙40Romania罗马尼亚42Slovakia斯洛伐克34Spain西班牙46Sweden瑞典44U.K英国39Vatican梵蒂冈38Yugoslavia南斯拉夫北美1USA美国1Canada加拿大拉美501Belize伯利兹55Brazil巴西56Chile智利53Cuba古巴502Guatemala危地马拉592Guyana圭亚那509Haiti海地504Honduras洪都拉斯1809Jamaica牙买加52Mexico墨西哥507Panama巴拿马51Peru秘鲁589Uruguay乌拉圭南美54Argentina阿根廷591Bolivia玻利维亚56Chile智利57Colombia哥伦比亚593Ecuador厄瓜多尔58Venezuela委内瑞拉澳洲61Australia澳大利亚676Togo汤加674Nauru瑙鲁非洲213Algeria阿尔及利亚244Angola安哥拉257Burundi布隆迪237Cameroon喀麦隆235Chad乍得242Congo刚果20Egypt埃及224Guinea几内亚254Kenya肯尼亚231Liberia利比里亚218Libya利比亚261Madagascar马达加斯加223Mali马里230Mauritius毛里求斯212Morocco摩洛哥227Niger尼日尔234Nigeria尼日利亚221Senegal塞内加尔252Somali索马里249Sudan苏丹255Tanzania坦桑尼亚228Togo多哥216Tunisia突尼斯243Zaire扎伊尔260Zambia赞比亚263Zimbabwe津巴布韦对应中国时间13:009:307:007:007:0011:009:0013:0013:0014:0014:0013:009:0014:008:0010:304:0011:0012:0011:008:0013:0013:008:3011:0014:009:0013:0013:0014:0013:009:0015:0016:0015:0015:0014:0014:0015:0015:0021:0014:0015:0015:0015:00 15:00 16:00 15:00 15:00 15:00 15:00 14:00 15:00 15:00 15:00 16:00 14:00 15:00 15:00 15:00 16:00 15:00 15:0021:00 21:0022:00 19:00 20:00 21:00 22:00 19:00 21:00 22:00 20:00 22:00 21:00 21:00 19:0019:00 20:00 20:00 21:00 21:00 21:006:00 3:0015:00 15:00 14:00 15:00 15:00 15:00 14:00 16:00 13:00 16:00 14:00 13:00 16:00 12:00 14:00 16:00 15:00 16:00 13:00 14:00 13:00 16:00 15:00 15:00 14:00 14:00。
电话以及电子邮件联系世界各国客户最佳时间表
Some Sweet Tips:
★ 数据表明,65%的客户在上班的前三个小时处理邮件,这个时间段发送的邮件,被阅读和回复的几率更大★ 打电话的时候,除了考虑上下班时间之外,还应该考虑和避开客户的正常用餐,以免找不到人
★ 时差10个小时以上的国家,如果等不到客户上班,可以使用邮件定时功能,让客户一上班就看到你的邮件★ 欧洲和中东的一些国家,人们生活悠闲,上班"晚出早归",联系客户时不可太早或者太晚
为了尽量节省纸张,本表已经完美排版,需要的童鞋可以直接打印出来,日常时时作为参考.。
中国工作时间与国外工作时间对照表工作时间一般都是9:00------17:00北京时间对应外国其它城市工作时间德国:7.8.9月轮休.法国:7月最后一个星期至8月意大利:8月1日至9月3日波兰:7月初至7月底荷兰:7月初至8月初比利时:7月中旬至8月初捷克:7月初至8月底(轮休一般,7月12至8月8日) 挪威:7月至9月轮休(一般7月14至9月1)西班牙:7月7日至8月4日葡萄牙:7月14至7月27瑞士:7月初至7月底丹麦:一般7月底休完匈牙利:7月初至8月底斯洛文尼亚:7月1日到9月希腊:8月初至8月底一下补充:1/3时间在休假的“法国”:”:在德国,每年可有30个工作日的假期,而且这些假期不允许被任何形式的经济补偿所替代。
德国除了圣诞节和新年,德国比较长的假日应该算是复活节,但是也只有2到3天。
所以,德国人一般会选择在冬夏两个季节外出度假,许多人会选择到欧洲南部阳光充足的地方,但不会在某一固定时间扎堆儿休假旅游。
由于英国文化多元,所以英国人可以享受到的大节日就有106个。
虽然,英国没有超过3天的节假日,但是很多人喜欢把自己的私人假期与公共假期连在一起休,这样时间更长。
英国人出游的习惯和中国人有一定不同,他们往往很早就制定计划。
比如现在是9月,就已经开始了圣诞节的计划。
在英国,越早订车票、飞机票越便宜,临近节假日时票价会上涨3到4倍,有的甚至达到了10倍。
度假“狂热”的“墨西哥”:墨西哥的节日可谓数不胜数,几乎每个月都有一两个节日。
除作为天主教国家所必须过的传统宗教节日外,各种纪念日也被列为法定假日。
墨西哥人喜欢过节可用“狂热”来形容,每逢过节,人们都会聚集在一起举行各式活动。
而英国人则相对理性一些,他们会根据财力、时间以及工作安排,慎重地安排自己休假方式以及出行地点,或去海滩享受日光浴,或去风景如画的乡村放松心情。
假期最具灵活性的“美国”:美国上岗满月即可享受带薪休假,随着工龄的增长,休假时间也会相应地调整,有的公司甚至以小时休假。
世界各国工作时间表区域打电话时先拨国家英文国家中文上班时间下班时间亚洲00973Bahrain巴林13:0021:00亚洲0095Burma缅甸9:3017:30亚洲0082South Korea韩国7:0015:00亚洲0081Japan日本7:0015:00亚洲00850 D.P.R.Korea朝鲜7:0015:00亚洲0091India印度11:0019:00亚洲0062Indonesia印度尼西亚9:0017:00亚洲0098Iran伊朗13:0021:00亚洲00964Iraq伊拉克13:0021:00亚洲00972Israel以色列14:0022:00亚洲00962Jordan约旦14:0022:00亚洲00965Kuwait科威特13:0021:00亚洲00856Laos老挝9:0017:00亚洲00961Lebanon黎巴嫩14:0022:00亚洲0060Malaysia马来西亚8:0016:00亚洲00960Maldives马尔代夫10:3018:30亚洲00674Nauru瑙鲁4:0012:00亚洲00977Nepal尼泊尔11:0019:00亚洲00968Nepal阿曼12:0020:00亚洲0092Pakistan巴基斯坦11:0019:00亚洲0063Philippines菲律宾8:0016:00亚洲00974Qatar卡塔尔13:0021:00亚洲00966Saudi Arabia沙特阿拉伯13:0021:00亚洲0065Singapore新加坡8:3016:30亚洲0094Srilanka斯里兰卡11:0019:00亚洲00963Syria叙利亚14:0022:00亚洲0066Thailand泰国9:0017:00亚洲00967Yemen也门13:0021:00亚洲0090Turkey土耳其14:0022:00亚洲00971U.A.E(United Arab Emirates)阿联酋13:0021:00亚洲00880Bangladesh孟加拉国10:0019:00亚洲0093Afghanistan阿富汗11:0020:00亚洲0084Vietnam越南9:0017:00亚洲00855Kampuchea(Cambodia)柬埔寨9:0017:00亚洲00975Bhutan不丹10:0018:00亚洲00673Brunei文莱8:0016:00亚洲00976Mongolia蒙古8:0016:00欧洲00355Albania阿尔巴尼亚15:0023:00欧洲00376Andorra安道尔16:000:00欧洲0043Austria奥地利15:0023:00欧洲0032Belgium比利时15:0023:00欧洲00359Bulgaria保加利亚14:0022:00欧洲00357Cyprus塞浦路斯14:0022:00欧洲0042Czech捷克15:0023:00欧洲0045Denmark丹麦15:0023:00欧洲001809Dominica多米尼加21:005:00欧洲00358Finland芬兰14:0022:00欧洲0033France法国15:0023:00欧洲0049Germany德国15:0023:00欧洲0030Greece希腊14:0022:00欧洲0036Hungary匈牙利15:0023:00欧洲00354Iceland冰岛16:000:00欧洲00353Ireland爱尔兰16:000:00欧洲0039Italy意大利15:0023:00欧洲004175Liechtenstein列支敦士登15:0023:00欧洲00352Luxemburg卢森堡15:0023:00欧洲00356Malta马耳他15:0023:00欧洲003393Monaco摩纳哥14:0022:00欧洲0031Netherlands Holland荷兰15:0023:00欧洲0047Norway挪威15:0023:00欧洲0048Poland波兰15:0023:00欧洲00351Portugal葡萄牙16:000:00欧洲0040Romania罗马尼亚14:0022:00欧洲0042Slovakia斯洛伐克15:0023:00欧洲0034Spain西班牙15:0023:00欧洲0046Sweden瑞典15:0023:00欧洲0044U.K英国16:000:00欧洲0039Vatican梵蒂冈15:0023:00欧洲0038Yugoslavia南斯拉夫15:0023:00欧洲007Russia俄罗斯13:0021:00欧洲00350Gibraltar直布罗陀16:000:00欧洲0041Switzerland瑞士15:0023:00欧洲00370Lithuania立陶宛13:0021:00欧洲00371Latvia拉脱维亚13:0021:00欧洲00372Estonia爱沙尼亚13:0021:00欧洲00386Slovenia斯洛文尼亚14:0022:00欧洲00338Serbia塞尔维亚14:0022:00北美001USA美国21:005:00北美001Canada加拿大21:005:00北美001808Midway Islands中途岛20:004:00北美001808Wake Islands威克岛20:004:00北美001808Hawaii夏威夷20:004:00北美001809Virgin Islands维尔京群岛20:004:00北美001809Puerto Rico波多黎各20:004:00北美001809Bahamas巴哈马20:004:00北美001809Anguilla安圭拉岛20:004:00北美001809Saint Lucia圣卢西亚20:004:00北美001809Jamaica牙买加21:005:00北美001809Barbados巴巴多斯20:004:00北美001907Alaska阿拉斯加20:004:00拉美00501Belize伯利兹22:006:00拉美0055Brazil巴西19:003:00拉美0053Cuba古巴21:005:00拉美00502Guatemala危地马拉22:006:00拉美00592Guyana圭亚那19:003:00拉美00594French Guiana法属圭亚那20:004:00拉美00509Haiti海地21:005:00拉美00504Honduras洪都拉斯22:006:00拉美001809Jamaica牙买加20:004:00拉美0052Mexico墨西哥22:006:00拉美00507Panama巴拿马21:005:00拉美0051Peru秘鲁21:005:00拉美00589Uruguay乌拉圭19:003:00南美0054Argentina阿根廷19:003:00南美00591Bolivia玻利维亚20:004:00南美0056Chile智利20:004:00南美0057Colombia哥伦比亚21:005:00南美00593Ecuador厄瓜多尔21:005:00南美0058Venezuela委内瑞拉21:005:00南美00500Falkland Islands(Islas Malvinas)福克兰群岛20:004:00南美00596Martinique马提尼克20:004:00南美00503El Salvador萨尔瓦多22:006:00南美00505Nicaragua尼加拉瓜22:006:00南美00595Paraguay巴拉圭20:004:00南美00597Suriname苏里南19:303:30澳洲0061Australia澳大利亚6:0014:00澳洲00676Togo汤加3:0011:00澳洲00674Nauru瑙鲁4:0012:00澳洲00671Guam关岛6:0014:00澳洲006723Norfolk Island诺福克岛4:3012:30澳洲00677Solomon Is所罗门群岛5:0013:00澳洲00679Fiji斐济4:0012:00澳洲00683Niue纽埃岛4:0012:00澳洲00685Samoa Western西萨摩亚4:0012:00澳洲00684Samoa Eastern(American Samoa)东萨摩亚(美)4:0012:00澳洲00688Tuvalu图瓦卢4:0012:00澳洲0064New Zealand新西兰4:0012:00澳洲006722Cocos Islands科科斯岛9:3017:30澳洲006724Christmas Island圣诞岛9:0017:00澳洲00678Vanuatu瓦努阿图5:0013:00澳洲00682Cook Islands科克群岛6:0014:00澳洲00686Kiribati基里巴斯6:0014:00非洲00213Algeria阿尔及利亚15:0023:00非洲00244Angola安哥拉15:0023:00非洲00257Burundi布隆迪14:0022:00非洲00237Cameroon喀麦隆15:0023:00非洲00235Chad乍得15:0023:00非洲00242Congo刚果15:0023:00非洲0020Egypt埃及14:0022:00非洲00224Guinea几内亚16:000:00非洲00254Kenya肯尼亚13:0021:00非洲00231Liberia利比里亚16:000:00非洲00218Libya利比亚14:0022:00非洲00261Madagascar马达加斯加13:0021:00非洲00223Mali马里16:000:00非洲00230Mauritius毛里求斯12:0020:00非洲00212Morocco摩洛哥14:0022:00非洲00227Niger尼日尔16:000:00非洲00234Nigeria尼日利亚15:0023:00非洲00221Senegal塞内加尔16:000:00非洲00252Somali索马里13:0021:00非洲00249Sudan苏丹14:0022:00非洲00255Tanzania坦桑尼亚13:0021:00非洲00228Togo多哥16:000:00非洲00216Tunisia突尼斯15:0023:00非洲00243Zaire扎伊尔15:0023:00非洲00260Zambia赞比亚14:0022:00非洲00263Zimbabwe津巴布韦14:0022:00非洲00225Ivory Coast科特迪瓦14:0022:00非洲00229Benin贝宁12:0020:00非洲00233Ghana加纳16:000:00非洲00239Sao Tome and Principe圣多美和普林西比16:000:00非洲00240Equatorial Guinea赤道几内亚16:000:00非洲00247Ascension阿森松16:000:00非洲00251Ethiopia埃塞俄比亚13:0021:00非洲00253Djibouti吉布提13:0021:00非洲00262Reunion留尼旺岛12:0020:00非洲00264Namibia纳米比亚15:0023:00非洲00266Lesotho莱索托14:0022:00非洲00268Swaziland斯威士兰14:0022:00非洲0027South Africa南非14:0022:00非洲00297Aruba阿鲁巴岛20:004:00非洲00220Gambia冈比亚16:000:00非洲00222Mauritania毛里塔尼亚16:000:00非洲00226Burkina-faso布基拉法索16:000:00非洲00232Sierra Leone塞拉利昂16:000:00非洲00236Central African Republic中非15:0023:00非洲00238Cape Verde佛得角17:001:00非洲00239Sao Tome and Principe普林西比16:000:00非洲00241Gabon加蓬15:0023:00非洲00245Guinea-Bissau几内亚比绍16:000:00非洲00248Seychelles塞舌尔12:0020:00非洲00250Rwanda卢旺达14:0022:00非洲00256Uganda乌干达13:0021:00非洲00258Mozambique莫桑比克14:0022:00非洲00265Malawi马拉维14:0022:00非洲00267Botswana博茨瓦纳14:0022:00非洲00269Comoros科摩罗13:0021:00非洲00290Saint Helena圣赫勒拿16:000:00非洲00298Faroe Islands法罗群岛16:000:00★数据表明,65%的客户在上班的前三个小时处理邮件,这个时间段发送的邮件,被阅读和回复的几率更大。