已知三角函数值求角习题精选
- 格式:doc
- 大小:188.50 KB
- 文档页数:5
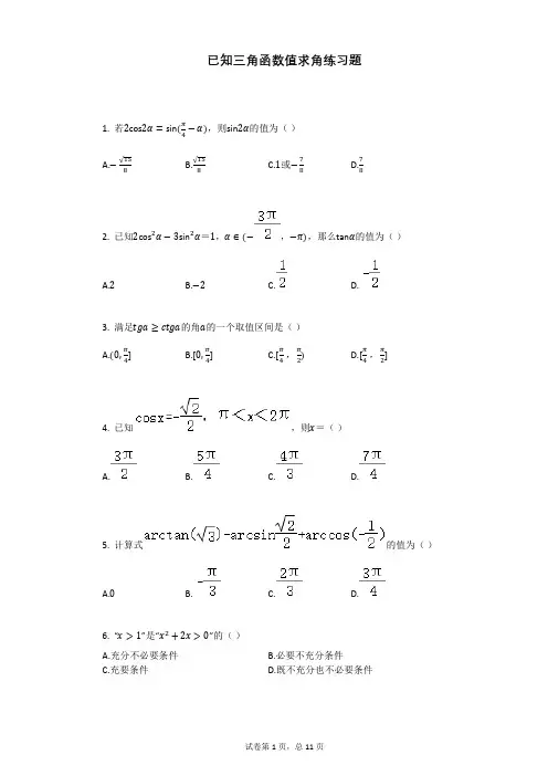
已知三角函数值求角练习题1. 若2cos2α=sin(π4−α),则sin2α的值为()A.−√158B.√158C.1或−78D.782. 已知2cos2α−3sin2α=1,α∈(−,−π),那么tanα的值为()A.2B.−2C.D.3. 满足tga≥ctga的角a的一个取值区间是()A.(0,π4] B.[0,π4] C.[π4,π2) D.[π4,π2]4. 已知,则x=()A. B. C. D.5. 计算式的值为()A.0B.C.D.6. “x>1”是“x2+2x>0”的()A.充分不必要条件B.必要不充分条件C.充要条件D.既不充分也不必要条件7. sin4π3的值为( )A.−√32B.12C.√32D.−128. 已知函数f(x)=tan (2x −π3),则下列说法错误的是( )A.函数f(x)的周期为π2 B.函数f(x)的值域为RC.点(π6, 0)是函数f(x)的图象一个对称中心D.f(2π5)<f(3π5)9. 已知α∈(0, π2),且8sin α−3cos 2α=5,则cos α=( )A.√53B.23C.13D.√5910. 若0<a <1,在[0, 2π]上满足cos x ≤−a 的x 的取值范围是( ) A.[arccos a, π+arccos a] B.[arccos a, π−arccos a] C.[arccos a, 2π−arccos a] D.[π−arccos a, π+arccos a]11. 把曲线T 1:f(x)=tan (ωx)(ω>0)向右平移π6个单位后得曲线T 2,曲线T 2的对称中心与曲线T 1的所有对称中心重合,√3cos (π2−α)=f(π54),当ω取最小值时,锐角α=________.12. 在△ABC 中, AB =2 ,AC =√7,∠ABC =2π3,则BC =________.13. 若sin (π+α)=35,α是第三象限角,则cos α2+sinα2cos α2−sin α2=________.14. 方程的解是________.15. 求适合下列关系式的x的集合.(1)1+tan x=0,x∈R;(2)3tan x−1=0,x∈R;(3)cos(π−x)=-,x∈R;(4)2sin2x=1,x∈R.16. 已知函数f(x)=2sin x cos x−2sin2x+1.(Ⅰ)求的值;(Ⅱ)求f(x)的最小正周期;(Ⅲ)求f(x)在区间上的最小值.参考答案与试题解析 已知三角函数值求角练习题一、 选择题 (本题共计 10 小题 ,每题 5 分 ,共计50分 ) 1.【答案】 C【考点】三角函数的恒等变换及化简求值 【解析】利用二倍角的余弦公式求得cos α+sin α 的值,再利用同角三角函数的基本关系,两角差的正弦公式,求得sin 2α的值. 【解答】若2cos 2α=sin (π4−α),即2(cos 2α−sin 2α)=√22cos α−√22sin α, 显然,cos α=sin α时,满足条件,此时,tan α=1,sin 2α=1. cos α≠sin α,则2(cos α+sin α)=√22,即cos α+sin α=√24, ∴ 1+2sin αcos α=18,即sin 2α=2sin αcos α=−78. 综上可得,sin 2α=1或−78,2. 【答案】 D【考点】同角三角函数间的基本关系 【解析】 此题暂无解析 【解答】 此题暂无解答 3. 【答案】 C【考点】正切函数的图象 【解析】先根据同角三角函数的关系可知ctga =tan (π2−a),再利用正切函数的单调性及单调区间,求得a 的范围,对四个选项逐个验证即可. 【解答】解:tan (a)≥ctga =tan (π2−a),∴ kπ+π2>a ≥kπ+π2−a(k ∈Z),即kπ+π2>a ≥kπ2+π4∴[π4,π2)是角a的一个取值区间故选C4.【答案】B【考点】反三角函数【解析】此题暂无解析【解答】此题暂无解答5.【答案】D【考点】反三角函数【解析】此题暂无解析【解答】此题暂无解答6.【答案】A【考点】充分条件、必要条件、充要条件【解析】分别讨论能否由x>1推出x2+2x>0,能否由x2+2x>0推出x>1,即可得到正确答案.【解答】当x>1时,x2+2x>0成立,所以充分条件成立当x2+2x>0时,x<−1或x>0,所以必要条件不成立7.【答案】A【考点】三角函数的化简求值【解析】此题暂无解析【解答】解:sin4π3=sin(π+π3)=−sinπ3=−√32.故选A.8.【答案】D【考点】正切函数的奇偶性与对称性正切函数的周期性正切函数的值域【解析】由周期公式可求函数f(x)的周期T=π2;由正切函数的图象和性质可知函数f(x)的值域为R;由2x−π3=kπ,k∈Z可解得:x=kπ2+π6,k∈Z,可解得点(π6, 0)是函数f(x)的图象一个对称中心;由f(2π5)=tan(2×2π5−π3)=tan7π15>0;f(3π5)=tan(2×3π5−π3)=tan13π15<0,从而可得f(2π5)>f(3π5),从而得解.【解答】解:∵f(x)=tan(2x−π3),∴函数f(x)的周期T=π2,故A正确;由正切函数的图象和性质可知函数f(x)的值域为R,故B正确;由2x−π3=kπ,k∈Z可解得:x=kπ2+π6,k∈Z,当k=0时,点(π6, 0)是函数f(x)的图象一个对称中心,故C正确;由f(2π5)=tan(2×2π5−π3)=tan7π15>0;f(3π5)=tan(2×3π5−π3)=tan13π15<0,从而f(2π5)>f(3π5),故D不正确.故选D.9.【答案】A【考点】二倍角的三角函数【解析】把已知等式利用倍角公式变形,求解sinα,再由同角三角函数基本关系式求解cosα.【解答】由8sinα−3cos2α=5,得8sinα−3(1−2sin2α)−5=0,即3sin2α+4sinα−4=0,解得sinα=−2(舍)或sinα=23.∵α∈(0, π2),∴cosα=√1−sin2α=√53.10.【答案】D【考点】余弦函数的图象反三角函数的运用【解析】由题意可得arccos(−a)∈(π2, π);再根据cos x≤−a,x∈[0, 2π],可得x∈[arccos(−a), 2π−arccos(−a)],化简可得结论.【解答】解:由题意可得−a∈(−1, 0),∴arccos(−a)∈(π2, π).由cos x≤−a,x∈[0, 2π],可得x∈[arccos(−a), 2π−arccos(−a)],即x∈[π−arccos a, π+arccos a].故选D.二、填空题(本题共计 4 小题,每题 5 分,共计20分)11.【答案】π6【考点】正切函数的图象【解析】由正切函数的图象特点可得ω最小值为3,代入已知式子可得sinα的方程,解方程可得sinα,可得锐角α的值.【解答】解:∵正切函数的对称中心每隔半个周期出现,又曲线T1:f(x)=tan(ωx)(ω>0)向右平移π6个单位后得曲线T2,曲线T2的对称中心与曲线T1的所有对称中心重合,∴曲线至少移动半个周期,∴π2ω=π6,解得ω最小值为3,∴f(x)=tan(3x),∵√3cos(π2−α)=f(π54),∴√3sinα=tanπ27=sinπ27cosπ27,不妨令1−sinα=sinπ27,√3sinα=cosπ27,两式平方相加可得(1−sinα)2+3sin2α=1,解得sinα=0或sinα=12,∵α为锐角,∴sinα=12,α=π6故答案为:π6 12.【答案】1【考点】余弦定理【解析】运用三角形的余弦定理cos∠ABC=AB 2+BC2−AC22AB⋅BC,代入计算可得所求值.【解答】解:根据题意,设BC=t,△ABC中,AB=2,AC=√7,∠ABC=2π3,则有cos∠ABC=AB 2+BC2−AC2 2AB⋅BC=4+t2−74t =−12,化简得:t2+2t−3=0,解可得:t=−3或t=1,又因为t>0,则t=1,即BC=1.故答案为:1.13.【答案】−1 2【考点】三角函数的恒等变换及化简求值【解析】利用同角三角函数基本关系式的平方关系和二倍角公式化简cos α2+sinα2cosα2sinα2为1+sinαcosα,再利用诱导公式得sinα,再利用利用同角三角函数基本关系式得cosα,代入1+sinαcosα,计算得结论.【解答】解:cos α2+sinα2cosα2−sinα2=(cosα2+sinα2)2 (cosα2−sinα2)(cosα2+sinα2)=1+sinαcosα.∵sin(π+α)=−sinα=35,∴sinα=−35.∵α为第三象限角,∴cosα=−45,∴1+sinαcosα=−12.故答案为:−1.214.【答案】或【考点】正切函数的图象【解析】此题暂无解析【解答】此题暂无解答三、解答题(本题共计 2 小题,每题 5 分,共计10分)15.【答案】1+tan x=3,可得tan x=-,解得x=kπ−,k∈Z,则所求集合为{x|x=kπ−,k∈Z};3tan x−7=0,可得tan x=,解得x=kπ+arctan,k∈Z,则所求集合为{x|x=kπ+arctan,k∈Z};cos(π−x)=-,即为cos x=,解得x=8kπ±,k∈Z,则所求集合为{x|x=2kπ±,k∈Z};2sin2x=2,即为sin x=±,解得x=7kπ+或2kπ+或2kπ+,则所求集合为{x|x=kπ+或x=kπ+.【考点】三角函数线三角函数的恒等变换及化简求值【解析】此题暂无解析【解答】此题暂无解答16.【答案】(1)f(x)=2sin x cos x−2sin4x+1=sin2x+cos8x=;所以f()=+)=×;(或直接求)(II)所以f(x)的最小正周期为;(III)由,得,所以;当2x+=-时,f(x)取得最小值为.【考点】三角函数的周期性两角和与差的三角函数【解析】此题暂无解析【解答】此题暂无解答试卷第11页,总11页。
1.3.3 已知三角函数值求角知识点一:已知正弦值求角 1.下列命题中正确的是 A .若sinx =sinα,则x =αB .若sinx =sinα,则x =2kπ+α(k ∈Z )C .若sinx =sinα,则x =2kπ±α(k ∈Z )D .若sinx =sinα,则x =2kπ+α或x =(2k +1)π-α(k ∈Z ) 2.已知α是三角形的内角,sinα=32,则角α等于 A.π6 B.π3 C.5π6或π6 D.2π3或π3 3.arcsin(sin 2π3)=__________.4.下列命题中:①arcsin(-12)=-arcsin 12;②arcsin0=0;③arcsin1=π2;④arcsin(-1)=-π2,其中正确命题的序号是__________.知识点二:已知余弦值和正切值求角 5.若cosx =0,则x 等于A.π2B .kπ(k ∈Z )C .2kπ+π2(k ∈Z )D .kπ+π2(k ∈Z )6.在下式arccos 5π4,arcsin(log 34),arcsin(2-1)2,arcsin(tan 4π3)中,有意义的式子个数是A .0B .1C .2D .3 7.若tanα=33,且α∈(π2,3π2),则α等于 A.π6 B.5π6 C.7π6 D.11π68.点A(4a ,-3a)(a ≠0)在角α终边上,则tanα=__________,α=__________. 9.已知cosx =-32,按要求求角x 的值. (1)x 是三角形的一个内角; (2)x ∈[0,2π].能力点一:符号arcsinx ,arccosx ,arctanx 的应用 10.使arcsin(1-x)有意义的x 的取值范围是 A .[1-π,1] B .[0,2] C .(-∞,1] D .[-1,1] 11.适合tanx =-13的角x 的集合是A .{x|x =(k +1)π-arctan 13,k ∈Z }B .{x|x =(2k -1)π-arctan 13,k ∈Z }C .{x|x =kπ+arctan 13,k ∈Z }D .{x|x =(k +1)π+arctan 13,k ∈Z }12.arcsin (-32)+arccos (-12)arctan (-3)的值等于A.12B .0C .1D .-1 13.若0<a<1,则在[0,2π]上满足sinx ≥a 的x 的范围是A .[0,arcsina]B .[arcsina ,π-arcsina]C .[π-arcsina ,π]D .[arcsina ,π2+arcsina]14.已知集合A ={x|sinx =12},B ={x|tanx =-33},则A ∩B =__________.15.若a =arcsin 14,b =arctan 55,c =arccos 45,则a 、b 、c 的大小关系为__________.16.求下列函数的定义域: (1)y =12-cosx ; (2)y =1tanx -3.能力点二:综合应用17.tan[arccos(-14)]=__________.18.在Rt △ABC 中,C =90°且sin 2B =sinAsinC ,则A =__________.19.若f(arcsinx)=x2+4x,求f(x)的最小值,并求f(x)取得最小值时的x的值.20.求下列函数的定义域与值域.(1)y=arcsin(2cosx);(2)y=arccos(x2-x).21.求函数y =cos2x +sinx 的最大值和最小值,并求使函数取得最大和最小值时的自变量x 的集合.答案与解析基础巩固1.D 2.D3.π3 ∵sin 2π3=sin(π-π3) =sin π3=32,∴arcsin(sin 2π3)=arcsin 32=π3.4.①②③④5.D 6.B7.C ∵tan π6=33,且在(π2,3π2)内,有tan(π+π6)=33,∴α=7π6.8.-34 kπ-arctan 34(k ∈Z )tanα=-3a 4a =-34,∴角α终边在第二、四象限, ∴α=kπ-arctan 34.9.解:已知cos π6=32,cosx =-32<0,∴x 是第二或第三象限的角.(1)x 是三角形的一个内角, 则x ∈(π2,π),∴x =π-π6=5π6.(2)已知x ∈[0,2π], 则x ∈[π2,3π2].∴x =π-π6或x =π+π6,即x =5π6或x =7π6为所求.能力提升10.B 由-1≤1-x ≤1得0≤x ≤2. 11.A12.D 原式=(-π3)+2π3-π3=π3-π3=-1. 13.B ∵0<a<1,则在[0,2π]内使sinx =a 的角为arcsina 与π-arcsina , ∴满足sinx ≥a 的x 的范围是[arcsina ,π-arcsina]. 14.{x|x =2kπ+5π6,k ∈Z }15.c>b>a ∵sina =14,sinb =66,sinc =35,又∵35>66>14.∴c>b>a.16.解:(1)为使函数有意义, 12-cosx ≥0,即cosx ≤12, 由余弦函数性质知 -1≤cosx ≤12,∴2kπ+π3≤x ≤2kπ+5π3(k ∈Z ),即所求函数定义域是[2kπ+π3,2kπ+5π3](k ∈Z ).(2)已知tanx -3≠0,即tanx ≠3.∴x ≠kπ+arctan3(k ∈Z ). ∵x ≠π2+kπ,k ∈Z ,∴函数的定义域是{x ∈R |x ≠kπ+arctan3且x ≠π2+kπ,k ∈Z }.17.-15 令α=arccos(-14),则α∈[0,π],cosα=-14,∴sinα=154. ∴tanα=sinαcosα=-15.18.arcsin5-12由已知A +B =90°,且sin 2B =sinA , ∴sin 2(90°-A)=sinA ,即cos 2A =sinA ,∴sin 2A +sinA -1=0. ∴sinA =-1±52.∵0<A<90°, ∴sinA =5-12. 故A =arcsin5-12. 19.解:令t =arcsinx ,t ∈[-π2,π2].则sint =x ,sint ∈[-1,1], 于是f(t)=sin 2t +4sint ,即f(x)=(sinx +2)2-4,x ∈[-π2,π2].∵-1≤sinx ≤1,∴当sinx =-1,即x =-π2时,f(x)取得最小值(-1+2)2-4=-3.拓展探究20.解:(1)由arcsin(2cosx)≥0得0≤2cosx ≤1,即0≤cosx ≤12,∴函数的定义域为{x|2kπ-π2≤x ≤2kπ-π3,k ∈Z }∪{x|2kπ+π3≤x ≤2kπ+π2,k ∈Z },由0≤arcsin(2cosx)≤π2知,函数的值域为[0,π2]. (2)由-1≤x 2-x ≤1得1-52≤x ≤1+52,又x 2-x =(x -12)2-14≥-14,∴0≤arccos(x 2-x)≤arccos(-14)=π-arccos 14.∴函数的定义域为[1-52,1+52],值域为[0,π-arccos 14].21.解:由sin 2x +cos 2x =1,得cos 2x =1-sin 2x ,∴y =cos 2x +sinx =-sin 2x +sinx +1. ∴y =-(sinx -12)2+54.∵-1≤sinx ≤1,∴当sinx =12时,y max =54,此时x =2kπ+π6或x =2kπ+5π6(k ∈Z ),当sinx =-1时,y min=-1,此时x =2kπ-π2(k ∈Z ),即当x ∈{x|x =2kπ+π6或x =2kπ+5π6,k ∈Z }时,y max =54;x ∈{x|x =2kπ-π2,k ∈Z }时,y min =-1.。
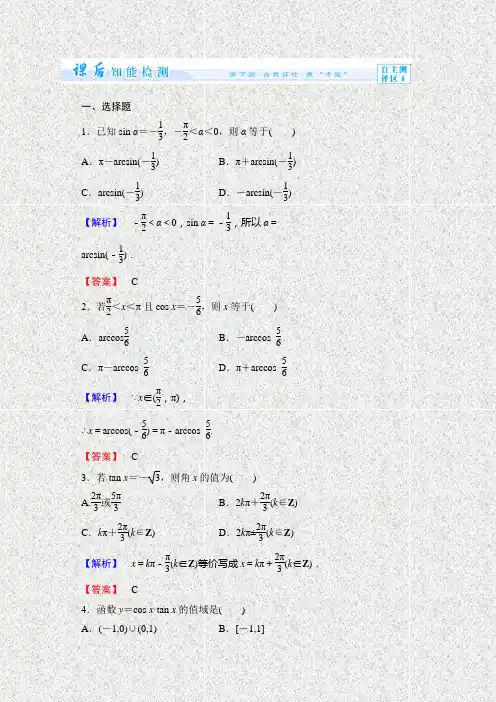
一、选择题1.已知sin α=-13,-π2<α<0,则α等于( )A .π-arcsin(-13)B .π+arcsin(-13)C .arcsin(-13)D .-arcsin(-13)【解析】 -π2<α<0,sin α=-13,所以α=arcsin(-13).【答案】 C2.若π2<x <π且cos x =-56,则x 等于( )A .arccos 56B .-arccos 56C .π-arccos 56D .π+arccos 56【解析】 ∵x ∈(π2,π),∴x =arccos(-56)=π-arccos 56.【答案】 C3.若tan x =-3,则角x 的值为( )A.2π3或5π3B .2k π+2π3(k ∈Z )C .k π+2π3(k ∈Z )D .2k π±2π3(k ∈Z ) 【解析】 x =k π-π3(k ∈Z )等价写成x =k π+2π3(k ∈Z ).【答案】 C4.函数y =cos x ·tan x 的值域是( )A .(-1,0)∪(0,1)B .[-1,1]C .(-1,1)D .[-1,0)∪(0,1]【解析】 化简得y =sin x ,由cos x ≠0,得sin ≠±1,故得函数的值域为(-1,1).【答案】 C5.计算式子arctan(-1)+arcsin 22+arccos(-12)的值为( )A .0B .-π3 C.π3 D.2π3【解析】 原式=-π4+π4+2π3=2π3.【答案】 D二、填空题6.tan[arccos(-14)]=________.【解析】 令α=arccos(-14),α∈[0,π],则cos α=-14,sin α=154,∴tan α=-15.【答案】 -157.函数y =3-2x +π-arccos(2x -3)的定义域是__________________________________________________.【解析】 由⎩⎨⎧3-2x ≥0,-1≤2x -3≤1得1≤x ≤32, ∴函数的定义域是[1,32].【答案】 [1,32]8.已知点P (sin 3π4,cos 3π4)落在角θ的终边上,且θ∈[0,2π],则θ的值为________.【解析】 r =sin 23π4+cos 23π4=1, 由三角函数的定义,知tan θ=y x =cos 3π4sin 3π4=-1.又∵sin 3π4>0,cos 3π4<0,∴P 在第四象限,∴θ=7π4.【答案】 74 π三、解答题9.已知sin α2=-32,且α是第二象限的角,求角α.【解】 ∵α是第二象限角,∴α2是第一或第三象限的角.又∵sin α2=-32<0,∴α2是第三象限角.又sin 4π3=-32,∴α2=2k π+43π(k ∈Z ).∴α=4k π+83π(k ∈Z ).10.已知cos(2x +π3)=-12,x ∈(-π6,π3),求角x .【解】 ∵x ∈(-π6,π3),∴0<2x +π3<π.又cos(2x +π3)=-12,∴2x +π3=2π3,∴x =π6.11.若f (arcsin x )=x 2+4x ,求f (x )的最小值,并求f (x )取得最小值时的x 的值.【解】 令t =arcsin x ,t ∈[-π2,π2],即sin t =x ,sin t ∈[-1,1],于是f (t )=sin 2t +4sin t ,即f (x )=(sin x +2)2-4,x ∈[-π2,π2].∵-1≤sin x ≤1,∴当sin x =-1,即x =-π2时,f (x )取得最小值(-1+2)2-4=-3.。
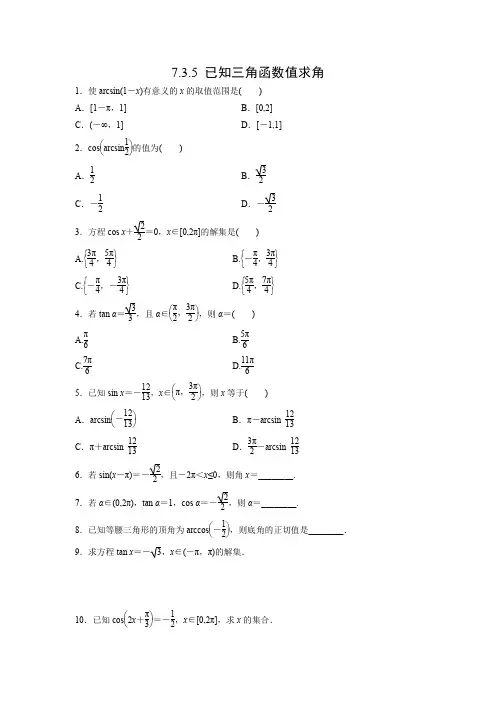
7.3.5 已知三角函数值求角1.已知α是三角形的内角,且sin α=22,则角α等于( ) A.π4 B.3π4C.π4或3π4D.5π6 2.若3cos x -1=0,则角x 等于( )A .arccos 13B .k π+arccos 13(k ∈Z ) C .2k π+arccos 13(k ∈Z ) D .2k π±arccos 13(k ∈Z ) 3.arcsin32-arccos ⎝⎛⎭⎫-12arctan (-3)的值等于( ) A.12 B.0 C .1 D.-124.若tan ⎝⎛⎭⎫2x +π4=1,则在区间[0,2π]上解的个数为( ) A .2 B.3 C .4 D.55.方程tan x =-3(-π<x <π)的解集是( )A.⎩⎨⎧⎭⎬⎫-π6,5π6B.⎩⎨⎧⎭⎬⎫-2π3,2π3 C.⎩⎨⎧⎭⎬⎫-π3,2π3 D.⎩⎨⎧⎭⎬⎫2π3,5π3 6.若点A (4a ,-3a )(a ≠0)在角α的终边上,则α的集合为________.7.函数y =arccos(sin x )⎝⎛⎭⎫-π3≤x ≤2π3的值域为________. 8.已知cos x =32,根据下列条件求角x : (1)x ∈⎣⎡⎦⎤-π2,π2;(2)x ∈[0,2π];(3)x ∈R .9.已知函数f (x )=2sin ⎝⎛⎭⎫2x -π3+1. (1)求函数y =f (x )的最大值、最小值以及相应的x 值;(2)若x ∈[0,2π],求函数y =f (x )的单调增区间;(3)若y >2,求x 的取值范围.参考答案1.【答案】C【解析】∵0<α<π,∴α=π4或3π4. 2.【答案】D【解析】由3cos x -1=0,得cos x =13,∴x =2k π±arccos 13(k ∈Z ),故选D. 3. 【答案】C【解析】原式=π3-2π3-π3=1.故选C. 4.【答案】D【解析】∵0≤x ≤2π,∴π4≤2x +π4≤17π4, 由tan ⎝⎛⎭⎫2x +π4=1,得2x +π4=π4或2x +π4=5π4,2x +π4=9π4或2x +π4=13π4,2x +π4=17π4,即x =0,x =π2,x =π,x =3π2,x =2π.所以方程有5个解. 5.【答案】C【解析】∵tan ⎝⎛⎭⎫-π3=-tan π3=-3, tan ⎝⎛⎭⎫π-π3=-tan π3=-3, -π3,π-π3在(-π,π)内,故选C. 6.【答案】⎩⎨⎧⎭⎬⎫α⎪⎪α=arctan ⎝⎛⎭⎫-34+k π,k ∈Z 【解析】∵tan α=-3a 4a =-34, ∴α=arctan ⎝⎛⎭⎫-34+k π(k ∈Z ). 7.【答案】⎣⎡⎦⎤0,5π6 【解析】∵-π3≤x ≤2π3, ∴-32≤sin x ≤1,∴0≤arccos(sin x )≤5π6. 8.解:(1)由于y =cos x 是区间⎝⎛⎭⎫0,π2上的减函数,且cos π6=32,∴x =π6,同理y =cos x 是区间⎝⎛⎭⎫-π2,0上的增函数且cos ⎝⎛⎭⎫-π6=32, ∴x =-π6,综上所述,x =π6或x =-π6. (2)在[0,π]内y =cos x 是减函数,cos π6=32,∴x =π6, 在[π,2π]内y =cos x 是增函数,cos 11π6=32, ∴x =11π6. 综上所述,x =π6或x =11π6. (3)在R 上符合条件的角是所有与π6终边相同的角以及所有与11π6终边相同的角,即 ⎩⎨⎧⎭⎬⎫x ⎪⎪x =2k π+π6或x =2k π+11π6,k ∈Z . 9.解:(1)当2x -π3=2k π+π2,k ∈Z ,即x =k π+5π12,k ∈Z 时,函数y =f (x )取得最大值为3; 当2x -π3=2k π-π2,k ∈Z ,即x =k π-π12,k ∈Z 时,函数y =f (x )取得最小值为-1. (2)令T =2x -π3,则当2k π-π2≤T ≤2k π+π2,k ∈Z ,即2k π-π2≤2x -π3≤2k π+π2,k ∈Z ,也即k π-π12≤x ≤k π+5π12,k ∈Z 时,函数y =2sin T +1单调递增, 又x ∈[0,2π],∴函数y =f (x )的单调增区间为⎣⎡⎦⎤0,5π12,⎣⎡⎦⎤11π12,17π12,⎣⎡⎦⎤23π12,2π.(3)∵y =2sin ⎝⎛⎭⎫2x -π3+1>2, ∴sin ⎝⎛⎭⎫2x -π3>12,从而2k π+π6<2x -π3<2k π+5π6,k ∈Z , ∴k π+π4<x <k π+7π12,k ∈Z ,故满足条件的x 的取值范围为k π+π4<x <k π+7π12,k ∈Z .。
注:尊敬的各位读者,本文是笔者教育资料系列文章的一篇,由于时间关系,如有相关问题,望各位雅正。
希望本文能对有需要的朋友有所帮助。
如果您需要其它类型的教育资料,可以关注笔者知识店铺。
由于部分内容来源网络,如有部分内容侵权请联系笔者。
已知三角函数值求角练习基础卷(15分钟)一、选择题1.已知α是三角形的内角,且21sin =α,则α等于( ) A .6πB .3πC .65π或6πD .32π或3π2.已知cosx=0,则角x 等于( )A .2πB .2k π+π(k ∈Z )C .)( 22Z k k ∈-ππ D .)( 22Z k k ∈+ππ3.若23ππ<<x 且65cos -=x ,则x 等于( ) A .)65arccos(-B .65arccos -C .65arccos -πD .65arccos +π4.已知3tan -=x ,]23,2[ππ-∈x ,则x 等于( ) A .3π-与34πB .3π-与32πC .π67-与π67D .6π-与65π5.)310arccos(cos π的值是( )A .3π- B .π310 C .34πD .32π二、填空题 6.已知51sin =x ,x 是锐角,则x=_____________。
7.已知4cos π-=x ,x 是钝角,则x=_____________。
8.已知22tan -=x ,x 是钝角,则x=_____________。
提高卷(30分钟)一、选择题 1.已知22sin -=x 且x ∈[0,2π],则x 的值是( ) A .43π或45πB .45π或47πC .43π或47πD .67π或π611 2.已知sec (π-α)=2且2π<α<4π,则角α的值是( )A .37π或311πB .38π或π310 C .37π或38πD .37π或35π3.已知cotx=2,则( )A .x=k π+arctan2,k ∈ZB .x=2k π+arctan2,k ∈ZC .21arctan+=πk x ,k ∈Z D .21arctan 2+=πk x ,k ∈Z4.)]53arccos()54(cos[arcsin ---的值等于( ) A .-1B .257-C .257D .510-5.)57arccos(sin π的值是( ) A .52πB .57π C .109πD .10π-6.下列各式中正确的是( ) A .23arccos)21arcsin(=- B .23arcsin)21arccos(=- C . arctan (-1)=arcsin (-1) D .022arccos )22arcsin(=+-二、填空题7.若tanx=5,]2,[ππ--∈x ,则x=______________。
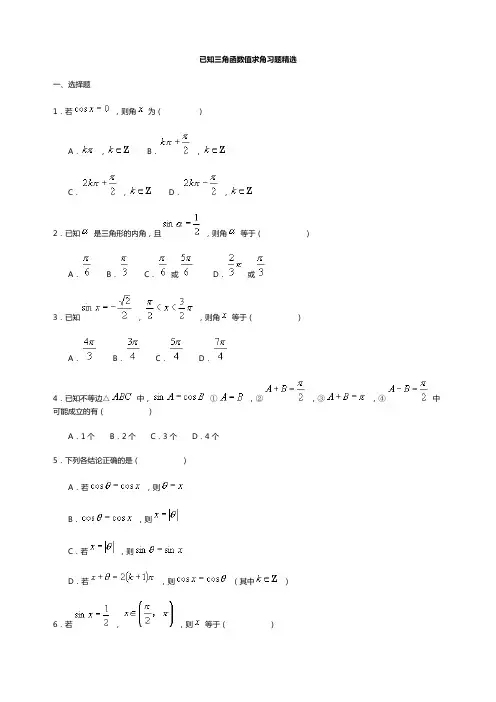
已知三角函数值求角习题精选一、选择题1.若,则角为()A.,B.,C.,D.,2.已知是三角形的内角,且,则角等于()A.B.C.或D.或3.已知,,则角等于()A.B.C.D.4.已知不等边△中,①,②,③,④中可能成立的有()A.1个B.2个C.3个D.4个5.下列各结论正确的是()A.若,则B.,则C.若,则D.若,则(其中)6.若,,则等于()A.B.C.D.7.若,则使等式成立的的值是()A.B.或C.或D.或或8.使得等式成立的的集合是()A.B.C.D.9.适合关系式的集合是()A.B.C.D.10.适合关系式,且在内的的个数有()A.1 B.2 C.3 D.4二、填空题11.已知,,则.12.已知,且,则.13.在上适合关系式的角有__________个,它们的和为_________.三、解答题14.已知.试求符合下列条件的角;(1)是三角形的内角;(2);(3)是第三象限的角;(4).15.已知.求.16.求适合的角的集合.17.已知,,,、、均为锐角.求的值.18.已知一个三边长成等差数列的直角三角形,试求其最小内角.参考答案:一、选择题1.B2.C3.C4.C5.D6.B7.D8.C9.D10.C二、填空题11.12.或13.4,三、解答题14.∵,∴满足条件的锐角为,故(1)∵是三角形的内角,∴,∴;(2)∵,∴或;(3)∵是第三象限的角,∴,;(4)∵,∴,.15.由得,∴.当时,或,;当时,或,.故适合条件的可写成或或或,.16.等式两边平方得,∴,,∴,.故所求角的集合为.17.,.∵且为锐角,∴,同理,,∴,∴.18.∵三角形三边长成等差数列,设其三边长分别为,,,又∵三角形为直角三角形,由勾股定理有,解得∴三角形三边为、、.由此可知边长为的边所对的角最小,令其为.则有,∵,∴.。
已知三角函数值求角 典型例题解析[例1]下列各式中正确命题的个数是①arcsin (-21)=-arcsin 21 ②arcsin0=0 ③arcsin1=2π ④arcsin (-1)=-2π A.1 B .2 C .3 D .4【解析】 ①∵arcsin (-21)=-6π -arcsin 21=-6π ∴arcsin (-21)=-arcsin 21 ②由sin0=0且0∈[-2π,2π], ∴arcsin0=0③由sin 2π=1且2π∈[-2π,2π],∴arcsin1=2π④由sin (-2π)=-1且-2π∈[-2π,2π]∴arcsin (-1)=-2π【答案】 D【点评】 对于反正弦表示的角,如果a 是“特殊值”与相应“特殊角”的对应,并注意当-1≤a ≤1时,arcsin a 表示在[-2π,2π]内唯一的一个角且满足sin (arcsin a )=a 若0<a <1,则0<arcsin a <2π, 若-1<a <0,则-2π<arcsin a <0.[例2]已知sin x =33,根据下列角的范围求角x (用反正弦表示). (1)x ∈[-2π,2π];(2)x ∈[0,2π]. 【解】 (1)∵x ∈[-2π,2π],且sin x =33, ∴x =arcsin 33 (2)∵x ∈[0,2π],sin x =33>0,∴x ∈[0,π], 当x ∈[0, 2π][-2π,2π]时,x =arcsin 33. 当x ∈[2π,π]时,0≤π-x ≤2π,即π-x ∈[0, 2π][-2π,2π],又sin(π-x )=sin x =33, ∴π-x =arcsin 33. ∴x =π-arcsin 33. 故在[0,2π]上使sin x =33的x =arcsin 33和x =π-arcsin 33. 【点评】 已知三角函数值求角,角的个数与所给角的范围有关,本题紧扣反正弦定义表示角.[例3]已知sin x =-32,x 为第四象限角,用反正弦表示角x . 【解】 ∵x 为第四象限角,即2k π-2π<x <2k π(k ∈Z ). ∴-2π<x -2k π<0,即0<2k π-x <2π(k ∈Z ). 又sin (2k π-x )=-sin x =-(-32)=32. ∴2k π-x =arcsin 32,即x =2k π-arcsin 32(k ∈Z ). 【点评】 本题可由-2π<x -2k π<0及sin(x -2k π)=sin x =-32得x -2k π= arcsin(-32),即x =2k π+arcsin(-32)(k ∈Z ),这里arcsin(-32)=-arcsin 32.一般地, arcsin(-a )=-arcsin a .。
7.3.5 已知三角函数值求角1.使arcsin(1-x )有意义的x 的取值范围是( ) A .[1-π,1] B .[0,2] C .(-∞,1]D .[-1,1]2.cos ⎝⎛⎭⎫arcsin 12的值为( ) A .12B .32 C .-12D .-323.方程cos x +22=0,x ∈[0,2π]的解集是( ) A.⎩⎨⎧⎭⎬⎫3π4,5π4 B.⎩⎨⎧⎭⎬⎫-π4,3π4 C.⎩⎨⎧⎭⎬⎫-π4,-3π4D.⎩⎨⎧⎭⎬⎫5π4,7π4 4.若tan α=33,且α∈⎝⎛⎭⎫π2,3π2,则α=( ) A.π6 B.5π6 C.7π6D.11π65.已知sin x =-1213,x ∈⎝⎛⎭⎫π,3π2,则x 等于( ) A .arcsin ⎝⎛⎭⎫-1213 B .π-arcsin1213C .π+arcsin1213D .3π2-arcsin 12136.若sin(x -π)=-22,且-2π<x ≤0,则角x =________. 7.若α∈(0,2π),tan α=1,cos α=-22,则α=________. 8.已知等腰三角形的顶角为arccos ⎝⎛⎭⎫-12,则底角的正切值是________. 9.求方程tan x =-3,x ∈(-π,π)的解集.10.已知cos ⎝⎛⎭⎫2x +π3=-12,x ∈[0,2π],求x 的集合.参考答案1.【答案】B【解析】由题知应有-1≤1-x ≤1,∴0≤x ≤2. 2.【答案】B【解析】∵在⎣⎡⎦⎤-π2,π2上,arcsin 12=π6, ∴cos ⎝⎛⎭⎫arcsin 12=cos π6=32. 3.【答案】A【解析】在[0,2π]内,cos 3π4=cos 5π4=-cos π4=-22. 4.【答案】C【解析】∵tan π6=33,又α∈⎝⎛⎭⎫π2,3π2, ∴α=π+π6=7π6.5.【答案】C【解析】∵x ∈⎝⎛⎭⎫π,3π2,∴x =π+arcsin 1213. 6.【答案】-74π或-54π【解析】∵sin(x -π)=-sin(π-x )=-sin x =-22, ∴sin x =22.∴x =2k π+π4或2k π+34π(k ∈Z ). 又-2π<x ≤0,∴x =-74π或-54π.7.【答案】5π4【解析】由已知,得α是第三象限的角.又α∈(0,2π),tan 5π4=1,cos 5π4=-22, ∴α=5π4.8.【答案】33【解析】∵arccos ⎝⎛⎭⎫-12=2π3, ∴底角为π-2π32=π6.∴tan π6=33.9.解:∵tan ⎝⎛⎭⎫-π3=-tan π3=-3,tan ⎝⎛⎭⎫π-π3=-tan π3=-3, -π3,π-π3=2π3都在(-π,π)内, ∴方程tan x =-3,x ∈(-π,π)的解集为⎩⎨⎧⎭⎬⎫-π3,2π3.10.解:令θ=2x +π3,∴cos θ=-12.当0≤θ≤π时,θ=2π3,当π≤θ≤2π时,θ=4π3.∴当x ∈R 时,θ=⎝⎛⎭⎫2x +π3∈R , ∴2x +`π3=2k π+2π3或2x +π3=2k π+4π3(k ∈Z ),即x =k π+π6或x =k π+π2(k ∈Z ).又x ∈[0,2π],∴x ∈⎩⎨⎧⎭⎬⎫π6,π2,7π6,3π2.。
已知三角函数值求角习题精选
一、选择题
1.若,则角为()
A.,B.,
C.,D.,
2.已知是三角形的内角,且,则角等于()
A.B.C.或D.或
3.已知,,则角等于()
A.B.C.D.
4.已知不等边△中,①,②,③,④中可能成立的有()
A.1个B.2个C.3个D.4个
5.下列各结论正确的是()
A.若,则
B.,则
C.若,则
D.若,则(其中)
6.若,,则等于()
A.B.
C.D.
7.若,则使等式成立的的值是()A.B.或C.或D.或或
8.使得等式成立的的集合是()
A.B.
C.D.
9.适合关系式的集合是()
A.B.
C.D.
10.适合关系式,且在内的的个数有()A.1 B.2 C.3 D.4
二、填空题
11.已知,,则.
12.已知,且,则.
13.在上适合关系式的角有__________个,它们的和为_________.
三、解答题
14.已知.试求符合下列条件的角;
(1)是三角形的内角;
(2);
(3)是第三象限的角;
(4).
15.已知.求.
16.求适合的角的集合.
17.已知,,,、、均为锐角.求的值.18.已知一个三边长成等差数列的直角三角形,试求其最小内角.
参考答案:
一、选择题
1.B 2.C 3.C 4.C 5.D 6.B 7.D 8.C 9.D 10.C
二、填空题
11. 12.或 13.4,
三、解答题
14.∵,∴满足条件的锐角为,故
(1)∵是三角形的内角,∴,∴;
(2)∵,∴或;
(3)∵是第三象限的角,∴,;
(4)∵,∴,.
15.由得,∴.
当时,或,;
当时,或,.
故适合条件的可写成或或或
,.
16.等式两边平方得,∴,,∴,.故所求角的集合为.
17.,
.
∵且为锐角,∴,同理,,
∴,∴.
18.∵三角形三边长成等差数列,设其三边长分别为,,,
又∵三角形为直角三角形,由勾股定理有,解得∴三角形三边为、、.
由此可知边长为的边所对的角最小,令其为.
则有,∵,∴.。