电路分析基础第四版答案8
- 格式:pdf
- 大小:3.68 MB
- 文档页数:18
电路分析基础试题及答案一、选择题(每题2分,共20分)1. 电路中电流的参考方向与实际方向相反,电流的计算结果为:A. 正值B. 负值C. 零D. 无法确定答案:B2. 在电路分析中,理想电压源的内阻为:A. 0欧姆B. 无穷大欧姆C. 1欧姆D. 任意值答案:A3. 欧姆定律的公式是:A. V = IRB. I = VRC. R = VID. V = RI答案:A4. 电路中并联电阻的总电阻值与各并联电阻的关系是:A. 总电阻等于最小电阻B. 总电阻大于任一并联电阻C. 总电阻小于任一并联电阻D. 总电阻等于所有并联电阻之和答案:C5. 基尔霍夫电流定律(KCL)表明:A. 进入节点的电流之和等于离开节点的电流之和B. 离开节点的电流之和等于进入节点的电流之和C. 进入节点的电流之和不等于离开节点的电流之和D. 离开节点的电流之和不等于进入节点的电流之和答案:A6. 基尔霍夫电压定律(KVL)表明:A. 沿着任意闭合回路的电压之和等于零B. 沿着任意闭合回路的电压之和大于零C. 沿着任意闭合回路的电压之和小于零D. 沿着任意闭合回路的电压之和可以是任意值答案:A7. 在RLC串联电路中,当电阻R、电感L和电容C的阻抗相等时,电路处于:A. 谐振状态B. 并联谐振状态C. 串联谐振状态D. 非谐振状态答案:C8. 电感元件的电压与电流的关系是:A. V = L(di/dt)B. V = L(di/dt)^2C. V = L(di/dt)^-1D. V = L(di/dt)^1/2答案:A9. 电容元件的电压与电流的关系是:A. V = 1/C ∫i dtB. V = C ∫i dtC. V = 1/C iD. V = C di/dt答案:A10. 理想变压器的变比为:A. 原副线圈匝数之比B. 原副线圈匝数之和C. 原副线圈匝数之差D. 原副线圈匝数的倒数答案:A二、填空题(每题2分,共20分)1. 当电路中的电阻R为10欧姆,电流I为0.2A时,电压V等于________V。
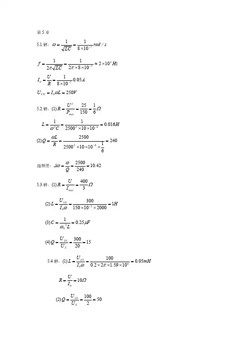
第5章5.1解:s /rad LC 710811-⨯==ωHz LC f 571021082121⨯≈⨯⨯==-ππA .R U I 050108170-⨯==V L I U CO 2500==ω5.2解:(1)Ω61150252===max P U R H .C L 01601010250011622=⨯⨯==-ω(2)2406110102500250062=⨯⨯⨯==-R L Q ω通频带: 42102402500.Q ===ωω∆5.3解:(1)Ω3400==max I U R (2)H I U L L 1200010150300300=⨯⨯==-ω(3)F .L C μω250120==(4)15203000===S L U U Q 5.4解:(1)mH ...I U L L 05010591220100600=⨯⨯⨯==πω Ω100==I U R (2)5021000===S L U U Q(3)4010183⨯==.Qf f ∆5.5解:(1)MHz LC f 221==π (2)2402010641022660.R L Q =⨯⨯⨯⨯==-πω(3)A .R U I s 202040===(4)V .QU U S C 81600==5.6解:(1)Ωk R 51010503=⨯=- (2)F .U I C C C μω2505000501060300=⨯⨯==- (3)H ..C L 16010250500011622=⨯⨯==-ω (4)2560.CR Q ==ω5.7解:电流表读数为零,说明发生了并联谐振。
(1)F .L C μω530103002500113220=⨯⨯==-(2)︒∠=︒∠⨯==605339602555./R I U (3)︒∠==60255/I I R ︒-∠=⨯⨯︒∠==-3053010300250060533930.j .L j U I L ω ︒-∠-=-=30530.I I L C 5.8解:s/rad LC 5100010==ω 5100.CR Q ==ω s /rad Q 40010==ωω∆5.9解:(1)501020101360=⨯⨯==f f Q ∆(2)H .Q R L 183501021010630≈⨯⨯⨯==πω(3)F R Q C μπω796101010250360≈⨯⨯⨯==5.10解:(1)Ω010*********.I P R S ≈⨯==-(2)V ..R I U S 0202010=⨯==(3)nH ..I U L L 05010220002060≈⨯⨯==ω(4)mF .U I C L 510202020060≈⨯⨯==ω5.11 解:(1) 247pF 。
电路第四版课后习题答案第一章:电路基础1. 确定电路中各元件的电压和电流。
- 根据基尔霍夫电压定律和电流定律,我们可以列出方程组来求解未知的电压和电流值。
2. 计算电路的等效电阻。
- 使用串联和并联电阻的计算公式,可以求出电路的等效电阻。
3. 应用欧姆定律解决实际问题。
- 根据欧姆定律 \( V = IR \),可以计算出电路中的电压或电流。
第二章:直流电路分析1. 使用节点电压法分析电路。
- 选择一个参考节点,然后对其他节点应用基尔霍夫电流定律,列出方程组并求解。
2. 使用网孔电流法分析电路。
- 选择电路中的网孔,对每个网孔应用基尔霍夫电压定律,列出方程组并求解。
3. 应用叠加定理解决复杂电路问题。
- 将复杂电路分解为简单的子电路,然后应用叠加定理计算总的电压或电流。
第三章:交流电路分析1. 计算交流电路的瞬时值、有效值和平均值。
- 根据交流信号的表达式,可以计算出不同参数。
2. 使用相量法分析交流电路。
- 将交流信号转换为复数形式,然后使用复数运算来简化电路分析。
3. 计算RLC串联电路的频率响应。
- 根据电路的阻抗,可以分析电路在不同频率下的响应。
第四章:半导体器件1. 分析二极管电路。
- 根据二极管的伏安特性,可以分析电路中的电流和电压。
2. 使用晶体管放大电路。
- 分析晶体管的共发射极、共基极和共集电极放大电路,并计算放大倍数。
3. 应用场效应管进行电路设计。
- 根据场效应管的特性,设计满足特定要求的电路。
第五章:数字逻辑电路1. 理解逻辑门的工作原理。
- 描述不同逻辑门(如与门、或门、非门等)的逻辑功能和电路实现。
2. 使用布尔代数简化逻辑表达式。
- 应用布尔代数的规则来简化复杂的逻辑表达式。
3. 设计组合逻辑电路。
- 根据给定的逻辑功能,设计出相应的组合逻辑电路。
第六章:模拟集成电路1. 分析运算放大器电路。
- 根据运算放大器的特性,分析电路的增益、输入和输出关系。
2. 设计滤波器电路。
第八章 相量法求解电路的正弦稳态响应,在数学上是求非齐次微分方程的特解。
引用相量法使求解微分方程特解的运算变为复数的代数运运算,从儿大大简化了正弦稳态响应的数学运算。
所谓相量法,就是电压、电流用相量表示,RLC 元件用阻抗或导纳表示,画出电路的相量模型,利用KCL,KVL 和欧姆定律的相量形式列写出未知电压、电流相量的代数方程加以求解,因此,应用相量法应熟练掌握:(1)正弦信号的相量表示;(2)KCL,KVL 的相量表示;(3)RLC 元件伏安关系式的相量形式;(4)复数的运算。
这就是用相量分析电路的理论根据。
8-1 将下列复数化为极坐标形式:(1)551j F --=;(2)342j F +-=;(3)40203j F +=; (4)104j F =;(5)35-=F ;(6)20.978.26j F +=。
解:(1)a j F =--=551θ∠ 25)5()5(22=-+-=a 13555arctan-=--=θ(因1F 在第三象限) 故1F 的极坐标形式为 135251-∠=F(2) 13.1435)43arctan(3)4(34222∠=-∠+-=+-=j F (2F 在第二象限) (3) 43.6372.44)2040arctan(40204020223∠=∠+=+=j F (4) 9010104∠==j F (5) 180335∠=-=F(6) 19.7361.9)78.220.9arctan(20.978.220.978.2226∠=∠+=+=j F注:一个复数可以用代数型表示,也可以用极坐标型或指数型表示,即θθj ae a ja a F =∠=+=21,它们相互转换的关系为:2221a a a += 12arctan a a =θ和 θcos 1a a = θsin 2a a =需要指出的,在转换过程中要注意F 在复平面上所在的象限,它关系到θ的取值及实部1a 和虚部2a 的正负。
电路分析基础课后答案1-1 在图题1-1所示电路中。
元件A 吸收功率30W ,元件B 吸收功率15W ,元件C 产生功率30W ,分别求出三个元件中的电流I 1 、I 2 、I 3。
解 61=I A ,32-=I A ,63=I A1-5 在图题1-5所示电路中,求电流I 和电压U AB 。
解 1214=--=I A ,39442103=⨯+⨯+=AB U V1-6 在图题1-6所示电路中,求电压U 。
解 U +⨯-=253050,即有 30=U V1-8 在图题1-8所示电路中,求各元件的功率。
解 电阻功率:123223=⨯=ΩP W ,82/422==ΩP W电流源功率:0)6410(22=--=A P , 4141-=⨯-=A P W 电压源功率:2021010-=⨯-=V P W , 4)221(44=-+=V P W2-7 电路如图题2-7所示。
求电路中的未知量。
解 1262=⨯=S U V349122==I A112/12/33===S U P I A 3/1313/420=++=I A Ω==121123RΩ2-+-+V 50A3U 3W123=PΩ===13363/13120I U R S eq2-9 电路如图题2-9所示。
求电路中的电流1I 。
解 从图中可知,2Ω与3Ω并联, 由分流公式,得1123553I I I =⨯=1113==I A所以,有131321+=+=I I I I 解得 5.01-=I A2-8 电路如图题2-8所示。
已知213I I =,求电路中的电阻R 。
解 KCL :6021=+I I 213I I =解得 451=I mA, 152=I mA. R 为 6.615452.2=⨯=R k Ω解 (a)由于有短路线,Ω=6AB R , (b) 等效电阻为Ω=+=++=1.15.25.15.01//)1//11(1//1AB R2-12 电路如图题2-12所示。
第1章习题解析一.填空题:1.电路通常由电源、负载和中间环节三个部分组成。
2.电力系统中,电路的功能是对发电厂发出的电能进行传输、分配和转换。
3. 电阻元件只具有单一耗能的电特性,电感元件只具有建立磁场储存磁能的电特性,电容元件只具有建立电场储存电能的电特性,它们都是理想电路元件。
4. 电路理论中,由理想电路元件构成的电路图称为与其相对应的实际电路的电路模型。
5. 电位的高低正负与参考点有关,是相对的量;电压是电路中产生电流的根本原因,其大小仅取决于电路中两点电位的差值,与参考点无关,是绝对的量6.串联电阻越多,串联等效电阻的数值越大,并联电阻越多,并联等效电阻的数值越小。
7.反映元件本身电压、电流约束关系的是欧姆定律;反映电路中任一结点上各电流之间约束关系的是KCL定律;反映电路中任一回路中各电压之间约束关系的是KVL定律。
8.负载上获得最大功率的条件是:负载电阻等于电源内阻。
9.电桥的平衡条件是:对臂电阻的乘积相等。
10.在没有独立源作用的电路中,受控源是无源元件;在受独立源产生的电量控制下,受控源是有源元件。
二.判断说法的正确与错误:1.电力系统的特点是高电压、大电流,电子技术电路的特点是低电压,小电流。
(错)2.理想电阻、理想电感和理想电容是电阻器、电感线圈和电容器的理想化和近似。
(对)3. 当实际电压源的内阻能视为零时,可按理想电压源处理。
(对)4.电压和电流都是既有大小又有方向的电量,因此它们都是矢量。
(错)5.压源模型处于开路状态时,其开路电压数值与它内部理想电压源的数值相等。
(对)6.电功率大的用电器,其消耗的电功也一定比电功率小的用电器多。
(错)7.两个电路等效,说明它们对其内部作用效果完全相同。
(错)8.对电路中的任意结点而言,流入结点的电流与流出该结点的电流必定相同。
(对)9.基尔霍夫电压定律仅适用于闭合回路中各电压之间的约束关系。
(错)10.当电桥电路中对臂电阻的乘积相等时,则该电桥电路的桥支路上电流必为零。
第2部分课后习题详解说明:本部分对李瀚荪编写的《电路分析基础》(第4版)教材每一章的课后习题进行了详细的分析和解答,并对个别知识点进行了扩展。
课后习题答案经过多次修改,质量上乘,非常标准,特别适合应试作答和临考冲刺。
第1章集总参数电路中电压、电流的约束关系§1-2电路变量电流、电压及功率1-1接在图1-1所示电路中电流表A的读数随时间变化的情况如图中所示。
试确定t =1s、2s及3s时的电流i。
图1-1解:因图中以箭头所示电流i的参考方向是从电流表负端到正端,所以t=1s,i=-1At=2s,i=0At=3s,i=1A1-2设在图1-2所示元件中,正电荷以5C/s的速率由a流向b。
(1)如电流的参考方向假定为由a至b,求电流。
(2)如电流的参考方向假定为由b至a,求电流。
(3)如流动的电荷为负电荷,(1)、(2)答案有何改变?图1-2解:(1)根据电流的定义,5C/s=5A,实际流动方向为a→b,若参考方向假定为a→b,两者吻合,该电流应记为i=5A(2)若参考方向假定为b→a,而电流实际流向为a→b,两者不吻合,该电流应记为i=-5A(3)以上均系指正电荷而言,若流动的是负电荷,则(1)、(2)的答案均须改变符号。
1-3各元件的情况如图1-3所示。
(1)若元件A吸收功率10W,求(2)若元件B吸收功率10W,求(3)若元件C吸收功率-10W,求(4)试求元件D吸收的功率;(5)若元件E提供的功率为10W,求(6)若元件F提供的功率为-10W,求(7)若元件G提供的功率为10mW,求(8)试求元件H提供的功率。
图1-3解:元件A、C、E、G的u和i为关联参考方向,在取关联参考方向前提下,可以使用P=ui,功率为正表示这段电路吸收功率,功率为负表示该段电路提供功率。
而元件B、D、F、H的u和i为非关联参考方向,应注意在使用的公式中加负号,即使用P=-ui。
(该元件吸收功率为-20μw,即提供功率20μw);(该元件提供功率为4mW)。
2023电路分析基础第四版下册(李瀚荪著)课后答案下载电路分析基础第四版下册(李瀚荪著)内容简介下册第三篇动态电路的相量分析法和s域分析法第八章阻抗和导纳8—1 变换方法的概念8—2 复数8—3 振幅相量8—4 相量的线性性质和基尔霍夫定律的相量形式8—5 三种基本电路元件VCR的相量形式8—6 VCR相量形式的统一——阻抗和导纳的引入8—7 弦稳态电路与电阻电路分析方法的类比——相量模型的引入8—8 正弦稳态混联电路的分析8—9 相量模型的网孔分析和节点分析8—10 相量模型的等效8—11 有效值有效值相量8—12 两类特殊问题相量图法习题第九章正弦稳态功率和能量三相电路 9—1 基本概念9—2 电阻的平均功率9—3 电感、电容的平均储能9—4 单口网络的`平均功率9—5 单口网络的无功功率9—6 复功率复功率守恒9—7 弦稳态最大功率传递定理9—8 三相电路习题第十章频率响应多频正弦稳态电路 10一1 基本概念10—2 再论阻抗和导纳10—3 正弦稳态网络函数10—4 正弦稳态的叠加10—5 平均功率的叠加10—6 R1C电路的谐振习题第十一章耦合电感和理想变压器11—1 基本概念11—2 耦合电感的VCR耦合系数11—3 空心变压器电路的分析反映阻抗11—4 耦合电感的去耦等效电路11—5 理想变压器的VCR11—6 理想变压器的阻抗变换性质11—7 理想变压器的实现11—8 铁心变压器的模型习题第十二章拉普拉斯变换在电路分析中的应用 12一1 拉普拉斯变换及其几个基本性质12—2 反拉普拉斯变换——赫维赛德展开定理 12—3 零状态分析12—4 网络函数和冲激响应12—5 线性时不变电路的叠加公式习题附录A 复习、检查用题附录B 复习大纲部分习题答案(下册)索引结束语电路分析基础第四版下册(李瀚荪著)目录《电路分析基础》(下高等学校教材)第4版下册讲授动态电路的相量分析法和s域分析法。
具体内容有:阻抗和导纳、正弦稳态功率和能量/三相电路、频率响应/多频正弦稳态电路、耦合电感和理想变压器、拉普拉斯变换在电路分析中的应用。
电路分析基础知到章节测试答案智慧树2023年最新桂林电子科技大学绪论单元测试1.同一型号的灯泡,单个灯泡接220V电源与两个灯泡串联接220V电源,灯泡的亮度有什么变化?()参考答案:变暗第一章测试1.下图为连接甲乙两地的输电线路,若甲地工作于800kV,电流为1.8kA,则功率由( )地输送至( )地,其值为 ( )MW。
参考答案:甲,乙,14402.电压电流参考方向如图中所标,有关A、B两部分电路电压电流参考方向是否关联描述正确的是()。
参考答案:A部分电压、电流参考方向非关联;B部分电压、电流参考方向关联。
3.电路如图所示, 其中电阻的值应分别为( ) Ω。
参考答案:100 , 1004.在集总假设条件下,对实际电路元件加以理想化,只能用一个表征该元件主要性质的模型来表示该元件。
参考答案:错5.在非关联的参考方向下,欧姆定律可以写成u=-iR。
其中R表示电阻,u为电阻两端的电压,i为流过电阻两端的电流。
参考答案:对6.电流和电压的参考方向可任意选定,选定后,在电路的分析和计算过程中也能改变。
参考答案:错7.对于集总参数电路中的任一节点,在任一瞬间,流向该节点的电流的代数和恒等于零。
参考答案:对8.独立电源可能产生功率,也可能吸收功率。
参考答案:对9.理想电压源的端电压u与外接电路有关。
参考答案:错10.理想电流源的端电压u由外电路确定。
参考答案:对11.实验中可以把电压源短路。
参考答案:错12.受控源是描述电子器件中某一支路对另一支路控制作用的理想模型,本身不直接起“激励”作用。
参考答案:对13.图示电路中,i1=i2。
参考答案:对14.图中所示电路中电流I等于_____A。
参考答案:null15.试求图中U AC为_____V。
参考答案:null16.图中 R1=500Ω,R3=200Ω, R2为500Ω的电位器。
输入电压为U1=12V , 输出电压U2的变化范围为{ }V~{ }V。
参考答案:null17.电路如图所示,电压US等于_____V 。