半导体器件物理(第二版)第二章答案
- 格式:pdf
- 大小:241.21 KB
- 文档页数:20
第二章 半导体中的载流子及其输运性质1、对于导带底不在布里渊区中心,且电子等能面为旋转椭球面的各向异性问题,证明每个旋转椭球内所包含的动能小于(E -E C )的状态数Z 由式(2-20)给出。
证明:设导带底能量为C E ,具有类似结构的半导体在导带底附近的电子等能面为旋转椭球面,即⎪⎪⎭⎫ ⎝⎛++=-l t C m k m k k E k E 23222122)( 与椭球标准方程2221122221k k k a b c++= 相比较,可知其电子等能面的三个半轴a 、b 、c 分别为212])(2[ c t E E m b a -== 212])(2[c l E E m c -= 于是,K 空间能量为E 的等能面所包围的体积即可表示为232122)()8(3434C t l E E m m abc V -==ππ因为k 空间的量子态密度是V/(4π3),所以动能小于(E -E C )的状态数(球体内的状态数)就是2/332/122)()8(31C t l E E m m V Z -=π2、利用式(2-26)证明当价带顶由轻、重空穴带简并而成时,其态密度由式(2-25)给出。
证明:当价带顶由轻、重空穴带简并而成时,其态密度分别由各自的有效质量m p 轻和m p 重表示。
价带顶附近的状态密度应为这两个能带的状态密度之和。
即:2/132/321)()2(2)(E E m V E g V p V -=轻π 2/132/322)()2(2)(E E m V E g V p V -=重π价带顶附近的状态密度 =)(E g V 1)(E g V 2)(E g V +即:=)(E g V 2/132/32)()2(2E E m V V p - 轻π+2/132/32)()2(2E E m V V p -重π ]2)2[()(223232212)(重轻p P V m m E E V +-=π 只不过要将其中的有效质量m p *理解为3/22/32/3*)(重轻p p p m m m +=则可得:])2)2[()2(2/32323*重轻(p p p m m m +=带入上面式子可得: 2/132/3*2)()2(2)(E E m V E g V p V -=π 3、完成本章从式(2-42)到(2-43)的推演,证明非简并半导体的空穴密度由式(2-43)决定。
半导体物理与器件习题目录半导体物理与器件习题 (1)一、第一章固体晶格结构 (2)二、第二章量子力学初步 (2)三、第三章固体量子理论初步 (2)四、第四章平衡半导体 (3)五、第五章载流子输运现象 (5)六、第六章半导体中的非平衡过剩载流子 (5)七、第七章pn结 (6)八、第八章pn结二极管 (6)九、第九章金属半导体和半导体异质结 (7)十、第十章双极晶体管 (7)十一、第十一章金属-氧化物-半导体场效应晶体管基础 (8)十二、第十二章MOSFET概念的深入 (9)十三、第十三章结型场效应晶体管 (9)一、第一章固体晶格结构1.如图是金刚石结构晶胞,若a 是其晶格常数,则其原子密度是。
2.所有晶体都有的一类缺陷是:原子的热振动,另外晶体中常的缺陷有点缺陷、线缺陷。
3.半导体的电阻率为10-3~109Ωcm。
4.什么是晶体?晶体主要分几类?5.什么是掺杂?常用的掺杂方法有哪些?答:为了改变导电性而向半导体材料中加入杂质的技术称为掺杂。
常用的掺杂方法有扩散和离子注入。
6.什么是替位杂质?什么是填隙杂质?7.什么是晶格?什么是原胞、晶胞?二、第二章量子力学初步1.量子力学的三个基本原理是三个基本原理能量量子化原理、波粒二相性原理、不确定原理。
2.什么是概率密度函数?3.描述原子中的电子的四个量子数是:、、、。
三、第三章固体量子理论初步1.能带的基本概念◼能带(energy band)包括允带和禁带。
◼允带(allowed band):允许电子能量存在的能量范围。
◼禁带(forbidden band):不允许电子存在的能量范围。
◼允带又分为空带、满带、导带、价带。
◼空带(empty band):不被电子占据的允带。
◼满带(filled band):允带中的能量状态(能级)均被电子占据。
导带:有电子能够参与导电的能带,但半导体材料价电子形成的高能级能带通常称为导带。
价带:由价电子形成的能带,但半导体材料价电子形成的低能级能带通常称为价带。
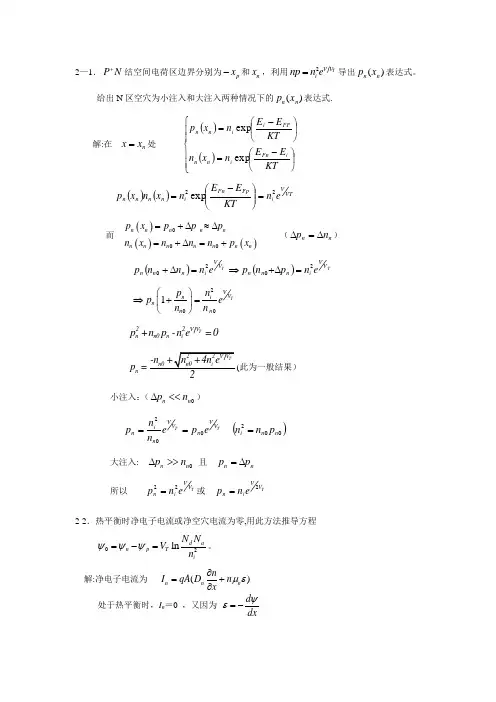
2—1.P N +结空间电荷区边界分别为p x -和n x ,利用2T V Vi np n e =导出)(n n x p 表达式。
给出N 区空穴为小注入和大注入两种情况下的)(n n x p 表达式.解:在n x x =处 ()()⎪⎪⎩⎪⎪⎨⎧⎪⎭⎫ ⎝⎛-=⎪⎭⎫⎝⎛-=KT E E n x n KT E E n x p i Fn in n FP i i nn exp exp()()VT V i Fp Fn i n n n n e n KT E E n x n x p 22exp =⎪⎪⎭⎫ ⎝⎛-= 而()()()000n n n n nn n n n n n n p x p p p n x n n n p x =+∆≈∆=+∆=+ (n n n p ∆=∆)()()TTV V in n n V V in n n en p n p e n n n p 2020=∆+⇒=∆+2001TV V n i n n n p n p e n n ⎛⎫⇒+=⎪⎝⎭ T V V 22n n0n i p +n p -n e =0n p =(此为一般结果) 小注入:(0n n n p <<∆)T T V V n V V n i n e p e n n p 002== ()002n n i p n n =大注入: 0n n n p >>∆ 且 n n p p ∆= 所以 TV V inen p 22=或 TV Vi n en p 2=2-2.热平衡时净电子电流或净空穴电流为零,用此方法推导方程20lni ad T p n n N N V =-=ψψψ。
解:净电子电流为()n nn nI qA D n xμε∂=+∂ 处于热平衡时,I n =0 ,又因为 d dxψε=-所以nn d n n D dx x ψμ∂=∂,又因为n T nDV μ=(爱因斯坦关系) 所以dn nV d T=ψ, 从作积分,则2002ln ln ln ln ln i a d n p T n T po T d T T a in N NV n V n V N V V N n ψψψ=-=-=-=2-3.根据修正欧姆定律和空穴扩散电流公式证明,在外加正向偏压V 作用下,PN 结N 侧空穴扩散区准费米能级的改变量为qV E FP =∆。
半导体器件物理(第⼆版)第⼆章答案解析2-1.P N +结空间电荷区边界分别为p x -和n x ,利⽤2TV V i np n e=导出)(n n x p 表达式。
给出N 区空⽳为⼩注⼊和⼤注⼊两种情况下的)(n n x p 表达式。
解:在n x x =处 ()()??-=??-=KT E E n x n KT E E n x p i Fn in n FP i i nn exp exp()()VT V i Fp Fn i n n n n e n KT E E n x n x p 22exp =-= ⽽()()()000n n n n nn n n n n n n p x p p p n x n n n p x =+?≈?=+?=+ (n n n p ?=?)()()TTV Vin n n V V in n n en p n p e n n n p 2020=?+?=?+2001TV V n i n n n p n p e n n +=T V V 22n n0n i p +n p -n e =0n p =(此为⼀般结果)⼩注⼊:(0n n n p <2== ()002n n i p n n =⼤注⼊: 0n n n p >>? 且 n n p p ?= 所以 TV V ine n p 22=或 TV Vi n en p 2=2-2.热平衡时净电⼦电流或净空⽳电流为零,⽤此⽅法推导⽅程20lniad T p n n N N V =-=ψψψ。
解:净电⼦电流为()n nn nI qA D n xµε?=+?处于热平衡时,I n =0 ,⼜因为d dxψε=-所以nnd nn D dx xψµ?=?,⼜因为n T n D V µ=(爱因斯坦关系)所以dn nV d T=ψ,从作积分,则2002ln ln ln ln ln i a d n p T n T po T d T T a in N NV n V n V N V V N n ψψψ=-=-=-=2-3.根据修正欧姆定律和空⽳扩散电流公式证明,在外加正向偏压V 作⽤下,PN 结N 侧空⽳扩散区准费⽶能级的改变量为qV E FP =?。
西安电子科技大学考试时间120 分钟《半导体物理2》试题考试形式:闭卷;考试日期:年月日本试卷共二大题,满分100分。
班级学号姓名任课教师一、问答题(80分)1.什么是N型半导体?什么是P型半导体?如何获得?答:①依靠导带电子导电的半导体叫N型半导体,主要通过掺诸如P、Sb等施主杂质获得;②依靠价带空穴导电的半导体叫P型半导体,主要通过掺诸如B、In等受主杂质获得;③掺杂方式主要有扩散和离子注入两种;经杂质补偿半导体的导电类型取决于其掺杂浓度高者。
2.简述晶体管的直流工作原理(以NPN晶体管为例)答:根据晶体管的两个PN结的偏置情况晶体管可工作在正向放大、饱和、截止和反向放大模式。
实际运用中主要是正向放大模式,此时发射结正偏,集电结反偏,以NPN晶体管为例说明载流子运动过程;①射区向基区注入电子;正偏的发射结上以多子扩散为主,发射区向基区注入电子,基区向发射区注入空穴,电子流远大于空穴流;②基区中自由电子边扩散边复合。
电子注入基区后成为非平衡少子,故存在载流子复合,但因基区很薄且不是重掺杂,所以大部分电子能到达集电结边缘;③集电区收集自由电子:由于集电结反偏,从而将基区扩散来的电子扫入集电区形成电子电流,另外还存在反向饱和电流,主要由集电区空穴组成,但很小,可以忽略。
第1页共6页3.简述MOS场效应管的工作特性(以N沟增强型MOS为例)答:把MOS管的源漏和衬底接地,在栅极上加一足够高的正电压,从静电学的观点来看,这一正的栅极电压将要排斥栅下的P 型衬底中的可动的空穴电荷而吸引电子。
电子在表面聚集到一定浓度时,栅下的P 型层将变成N 型层,即呈现反型。
N 反型层与源漏两端的N 型扩散层连通,就形成以电子为载流子的导电沟道。
如果漏源之间有电位差,将有电流流过。
而且外加在栅极上的正电压越高,沟道区的电子浓度也越高,导电情况也越好。
如果加在栅极上的正电压比较小,不足以引起沟道区反型,则器件仍处在不导通状态。
2-1.P N +结空间电荷区边界分别为p x -和n x ,利用2TV V i np n e=导出)(n n x p 表达式。
给出N 区空穴为小注入和大注入两种情况下的)(n n x p 表达式。
解:在n x x =处 ()()⎪⎪⎩⎪⎪⎨⎧⎪⎭⎫ ⎝⎛-=⎪⎭⎫⎝⎛-=KT E E n x n KT E E n x p i Fn in n FP i i nn exp exp()()VT V i Fp Fn i n n n n e n KT E E n x n x p 22exp =⎪⎪⎭⎫ ⎝⎛-= 而()()()000n n n n nn n n n n n n p x p p p n x n n n p x =+∆≈∆=+∆=+ (n n n p ∆=∆)()()TTV Vin n n V V in n n en p n p e n n n p 2020=∆+⇒=∆+2001TV V n i n n n p n p e n n ⎛⎫⇒+=⎪⎝⎭ T V V 22n n0n i p +n p -n e =0n p =(此为一般结果)小注入:(0n n n p <<∆)T TV V n V V n i n e p e n n p 002== ()002n n i p n n =大注入: 0n n n p >>∆ 且 n n p p ∆= 所以 TV V ine n p 22=或 TV Vi n en p 2=2-2.热平衡时净电子电流或净空穴电流为零,用此方法推导方程20lniad T p n n N N V =-=ψψψ。
解:净电子电流为()n nn nI qA D n xμε∂=+∂处于热平衡时,I n =0 ,又因为d dxψε=-所以nnd nn D dx xψμ∂=∂,又因为n T n D V μ=(爱因斯坦关系) 所以dn nV d T=ψ, 从作积分,则2002ln ln ln ln ln i a d n p T n T po T d T T a in N NV n V n V N V V N n ψψψ=-=-=-=2-3.根据修正欧姆定律和空穴扩散电流公式证明,在外加正向偏压V 作用下,PN 结N 侧空穴扩散区准费米能级的改变量为qV E FP =∆。
第一章半导体中的电子状态例1.证明:对于能带中的电子,K状态和-K状态的电子速度大小相等,方向相反。
即:v(k)= -v(-k),并解释为什么无外场时,晶体总电流等于零。
解:K状态电子的速度为:(1)同理,-K状态电子的速度则为:(2)从一维情况容易看出:(3)同理有:(4)(5)将式(3)(4)(5)代入式(2)后得:(6)利用(1)式即得:v(-k)= -v(k)因为电子占据某个状态的几率只同该状态的能量有关,即:E(k)=E(-k)故电子占有k状态和-k状态的几率相同,且v(k)=-v(-k)故这两个状态上的电子电流相互抵消,晶体中总电流为零。
例2.已知一维晶体的电子能带可写成:式中,a为晶格常数。
试求:(1)能带的宽度;(2)能带底部和顶部电子的有效质量。
解:(1)由E(k)关系(1)(2)令得:当时,代入(2)得:对应E(k)的极小值。
当时,代入(2)得:对应E(k)的极大值。
根据上述结果,求得和即可求得能带宽度。
故:能带宽度(3)能带底部和顶部电子的有效质量:习题与思考题:1 什么叫本征激发?温度越高,本征激发的载流子越多,为什么?试定性说明之。
2 试定性说明Ge、Si的禁带宽度具有负温度系数的原因。
3 试指出空穴的主要特征。
4 简述Ge、Si和GaAs的能带结构的主要特征。
5 某一维晶体的电子能带为其中E0=3eV,晶格常数a=5×10-11m。
求:(1)能带宽度;(2)能带底和能带顶的有效质量。
6原子中的电子和晶体中电子受势场作用情况以及运动情况有何不同?原子中内层电子和外层电子参与共有化运动有何不同?7晶体体积的大小对能级和能带有什么影响?8描述半导体中电子运动为什么要引入“有效质量”的概念?用电子的惯性质量描述能带中电子运动有何局限性?9 一般来说,对应于高能级的能带较宽,而禁带较窄,是否如此?为什么?10有效质量对能带的宽度有什么影响?有人说:“有效质量愈大,能量密度也愈大,因而能带愈窄。
《半导体器件物理》试卷(二)标准答案及评分细则一、填空(共24分,每空2分)1、PN 结电击穿的产生机构两种;答案:雪崩击穿、隧道击穿或齐纳击穿。
2、双极型晶体管中重掺杂发射区目的;答案:发射区重掺杂会导致禁带变窄及俄歇复合,这将影响电流传输,目的为提高发射效率,以获取高的电流增益。
3、晶体管特征频率定义;答案:随着工作频率f 的上升,晶体管共射极电流放大系数β下降为1=β时所对应的频率T f ,称作特征频率。
4、P 沟道耗尽型MOSFET 阈值电压符号;答案:0>T V 。
5、MOS 管饱和区漏极电流不饱和原因;答案:沟道长度调制效应和漏沟静电反馈效应。
6、BV CEO 含义;答案:基极开路时发射极与集电极之间的击穿电压。
7、MOSFET 短沟道效应种类;答案:短窄沟道效应、迁移率调制效应、漏场感应势垒下降效应。
8、扩散电容与过渡区电容区别。
答案:扩散电容产生于过渡区外的一个扩散长度范围内,其机理为少子的充放电,而过渡区电容产生于空间电荷区,其机理为多子的注入和耗尽。
二、简述(共20分,每小题5分)1、内建电场;答案:P 型材料和N 型材料接触后形成PN 结,由于存在浓度差,N 区的电子会扩散到P 区,P 区的空穴会扩散到N 区,而在N 区的施主正离子中心固定不动,出现净的正电荷,同样P 区的受主负离子中心也固定不动,出现净的负电荷,于是就会产生空间电荷区。
在空间电荷区内,电子和空穴又会发生漂移运动,它的方向正好与各自扩散运动的方向相反,在无外界干扰的情况下,最后将达到动态平衡,至此形成内建电场,方向由N 区指向P 区。
2、发射极电流集边效应;答案:在大电流下,基极的串联电阻上产生一个大的压降,使得发射极由边缘到中心的电场减小,从而电流密度从中心到边缘逐步增大,出现了发射极电流在靠近基区的边缘逐渐增大,此现象称为发射极电流集边效应,或基区电阻自偏压效应。
3、MOSFET 本征电容;答案:即交流小信号或大信号工作时电路的等效电容,它包括栅漏电容和栅源电容,栅漏电容是栅源电压不变、漏源电压变化引起沟道电荷的变化与漏源电压变化量之间的比值,而栅源电容是指栅压变化引起沟道电荷与栅源电压变化量之间的比值。
第五章 金属-半导体接触1、 用不同波长的光照射置于真空中的金、银、铜三种金属和施主浓度皆为1×1016cm -3的锗、硅、砷化镓三种半导体的清洁表面,欲使其向真空发射电子,求各自的激发光临界波长。
计算时需要的相关参数见表5-1和5-2(下同)。
解:根据能量与波长关系:λγchh E ==可得Ehc =λ 金、银、铜三种金属的功函数分别为5.20eV 4.42eV 4.59eV 施主浓度皆为1×1016cm -3的锗、硅、砷化镓三种半导体的功函数分别为 4.31eV 4.25eV 4.17eV对于金:nm E hc 239106.120.51031062.619834=⨯⨯⨯⨯⨯==--λ 对于银:nm E hc 281106.142.41031062.619834=⨯⨯⨯⨯⨯==--λ对于铜:nm E hc 270106.159.41031062.619834=⨯⨯⨯⨯⨯==--λ 对于锗:nm E hc 288106.131.41031062.619834=⨯⨯⨯⨯⨯==--λ 对于硅:nm E hc 292106.125.41031062.619834=⨯⨯⨯⨯⨯==--λ对于砷化镓:nm E hc 298106.117.41031062.619834=⨯⨯⨯⨯⨯==--λ 2、 计算N D = 5×1016cm -3 的n-Si 室温下的功函数。
将其分别与铝、钨、铂三种金属的清洁表面相接触,若不考虑表面态的影响,形成的是阻挡层还是反阻挡层?分别画出能带图说明之。
解:设室温下杂质全部电离,则其费米能级由n 0=N D =5⨯1015cm -3求得:17C C C 19C 10ln 0.026ln 0.15 eV 2.810D F NE E kT E E N =+=+=-⨯ 其功函数即为:C () 4.050.15 4.20V SF W E E e χ=+-=+=若将其与功函数较小的Al (W Al =4.18eV )接触,则形成反阻挡层,若将其与功函数较大的Au (W Au =5.2eV )和Mo (W Mo =4.21eV )则形成阻挡层。
半导体物理学第2章习题及答案1. 实际半导体与理想半导体间的主要区别是什么?答:(1)理想半导体:假设晶格原子严格按周期性排列并静止在格点位置上,实际半导体中原子不是静止的,而是在其平衡位置附近振动。
(2)理想半导体是纯净不含杂质的,实际半导体含有若干杂质。
(3)理想半导体的晶格结构是完整的,实际半导体中存在点缺陷,线缺陷和面缺陷等。
2. 以As掺入Ge中为例,说明什么是施主杂质、施主杂质电离过程和n型半导体。
As有5个价电子,其中的四个价电子与周围的四个Ge原子形成共价键,还剩余一个电子,同时As原子所在处也多余一个正电荷,称为正离子中心,所以,一个As 原子取代一个Ge原子,其效果是形成一个正电中心和一个多余的电子.多余的电子束缚在正电中心,但这种束缚很弱,很小的能量就可使电子摆脱束缚,成为在晶格中导电的自由电子,而As原子形成一个不能移动的正电中心。
这个过程叫做施主杂质的电离过程。
能够施放电子而在导带中产生电子并形成正电中心,称为施主杂质或N型杂质,掺有施主杂质的半导体叫N型半导体。
3. 以Ga掺入Ge中为例,说明什么是受主杂质、受主杂质电离过程和p型半导体。
Ga有3个价电子,它与周围的四个Ge原子形成共价键,还缺少一个电子,于是在Ge 晶体的共价键中产生了一个空穴,而Ga原子接受一个电子后所在处形成一个负离子中心,所以,一个Ga原子取代一个Ge原子,其效果是形成一个负电中心和一个空穴,空穴束缚在Ga原子附近,但这种束缚很弱,很小的能量就可使空穴摆脱束缚,成为在晶格中自由运动的导电空穴,而Ga原子形成一个不能移动的负电中心。
这个过程叫做受主杂质的电离过程,能够接受电子而在价带中产生空穴,并形成负电中心的杂质,称为受主杂质,掺有受主型杂质的半导体叫P型半导体。
4. 以Si在GaAs中的行为为例,说明IV族杂质在III-V族化合物中可能出现的双性行为。
Si 取代GaAs 中的Ga 原子则起施主作用; Si 取代GaAs 中的As 原子则起受主作用。
2-1.结空间电荷区边界分别为和,利用导出表达式。
给P N +p x -n x 2TV V i np n e=)(n n x p 出N 区空穴为小注入和大注入两种情况下的表达式。
)(n n x p 解:在处n x x =()()⎪⎪⎩⎪⎪⎨⎧⎪⎭⎫ ⎝⎛-=⎪⎭⎫⎝⎛-=KT E E n x n KT E E n x p i Fn in n FP i i nn exp exp ()()VT V i FpFn i n n n n e n KT E E n x n x p 22exp =⎪⎪⎭⎫ ⎝⎛-=而()()()()000n n n n nn n n n n n n p x p p p n x n n n p x =+∆≈∆=+∆=+n n n p ∆=∆ ()()TTV Vin n n V V in n n en p n p en n n p 2020=∆+⇒=∆+2001TV V n i n n n p n p e n n ⎛⎫⇒+=⎪⎝⎭T V V 22n n0n i p +n p -n e =0(此为一般结果)n p =小注入:()0n n n p <<∆T TV V n V V n i n e p e n n p 002==()02n n i p n n = 大注入: 且 0n n n p >>∆n n p p ∆=所以或 TV Vin en p 22=TV Vi n en p 2=2-2.热平衡时净电子电流或净空穴电流为零,用此方法推导方程。
20lni ad T p n n N N V =-=ψψψ解:净电子电流为()n nn nI qA D n xμε∂=+∂处于热平衡时,I n =0 ,又因为 d dxψε=-所以,又因为(爱因斯坦关系)nnd nn D dx x ψμ∂=∂n T n D V μ=所以,dn nV d T=ψ从作积分,则2002ln ln ln ln ln i a dn p T n T po T d T T a in N NV n V n V N V V N n ψψψ=-=-=-=2-3.根据修正欧姆定律和空穴扩散电流公式证明,在外加正向偏压作用下,结侧V PN N 空穴扩散区准费米能级的改变量为。
qV E FP =∆证明:nP PdP J qD (1)dx=-P P P FP P d J (x)dxdE P(2)dxϕσμ=-=(1)(2)=FP P nP n nTn dE qD dP dx P dxdP 1qV P dxμ-==-从积分:12x x →n 2n 1P (x )FP T nP (x )E qV ln P ∆=-将代入Tn 2n0V /V 1n0P (x )P Pn(x )P e=⎧⎪⎨=⎪⎩得FP E qV∆=2-4. 硅突变结二极管的掺杂浓度为:,,在室温下计算:31510-=cm N d 320104-⨯=cm N a (a )自建电势(b )耗尽层宽度 (c )零偏压下的最大内建电场。
解:(a )自建电势为V n N N V i d a T p n 913.01025.210410ln 026.0ln 20201520=⨯⨯⨯==-=ψψψ(b )耗尽层宽度为14114002219152211.88.854100.913(() 1.09101.61010n d k W x cm qN εψ---⨯⨯⨯⨯====⨯⨯⨯(с) 零偏压下最大内建电场为191544140 1.61010 1.0910 1.6710V/cm 11.88.85410d n m qN x k εε---⨯⨯⨯⨯=-=-=⨯⨯⨯2–5.若突变结两边的掺杂浓度为同一数量级,则自建电势和耗尽层宽度可用下式表示)(2)(020d a p n d a N N K x x N qN ++=εψ⎥⎦⎤⎢⎣⎡+=)(200d a a a n N N qN N K x ψε2100)(2⎥⎦⎤⎢⎣⎡+=d aa d p N N qN N K x ψε试推导这些表示式。
解:由泊松方程得:()()220220p an d d x qN dxk d x qN dx k ψεψε⎧=⎪⎪⎨⎪=-⎪⎩()()n px x x x≤≤≤≤-00 积分一次得()()12p an d d x qN x c dxk d x qNx c dx k ψεψε=+=-+()()n px x x x≤≤≤≤-00由边界条件()()00pn p x x n x x d x dx d x dx ψψ=-=⎧=⎪⎪⎪⎨⎪=⎪⎪⎩⇒1020a p d nqN c x k qN c x k εε⎧=⎪⎪⎪⎨⎪⎪=⎪⎩所以()()()()00p ap n d n d x qN x x dxk d x qN x xdx k ψεψε⎧=+⎪⎪⎨⎪=--⎪⎩()()n p x x x x ≤≤≤≤-00 再积分一次得()()()()21022022a p p d n n qN x x x D k qN x x x D k ψεψε⎧=++⎪⎪⎨⎪=--+⎪⎩()()n p x x o x x ≤≤≤≤-0 令()()00p p n n x x ψψψ⎧-=⎪⎨=⎪⎩ 得:,10D =20D ψ=于是()()()()2020022a p p d nn qN x x x k qN x x x k ψεψψε⎧=+⎪⎪⎨⎪=--+⎪⎩()()n p x x o x x ≤≤≤≤-0 再由电势的连续性,当x =0时 , :()()00p n ψψ= 所以()22002a p d n q N x N x k ψε=+ 再由 得⎪⎩⎪⎨⎧=+=n d pa np x N x N x x W ⎪⎪⎩⎪⎪⎨⎧+=+=d a d p da a n N N W N x N N W N x故 ()()()22222020022a d n p a dd a a d a d qN N x x N N W N N W q k k N N N N ψεε⎡⎤++==⎢⎥++⎢⎥⎣⎦将 代入上式,得p a n dx N x N =()12002d p a ad k N x qN N N εψ⎡⎤=⎢⎥+⎣⎦()12002a n d a d k N x qN N N ψε⎡⎤=⎢⎥+⎣⎦2–6.推导出线性缓变结的下列表示式:(a )电场(b )电势分布(c )耗尽层宽度(d )PN 自建电势。
解:在线性缓变结中,耗尽层内空间电荷分布可表示为 N d -N a =ax a 为杂质浓度斜率设 2Wx x p n ==由泊松方程得积分为22d qax dx k ψε=-22d qa x A dx k ψε=-+当 时 =0, 即2Wx ±=ε20W x d dxψ=±=⇒028εk qaW A =所以()22048d qax W dx k ψε=--且()()2222max 0448qa x W x W k εεε=-=-max 08qak εε=对式再积分一次得d dxψ320483qa x W x B k ψε⎛⎫=--+ ⎪⎝⎭33320003332000481624481624W n x W x qaW qaW qaW B Bk k k qaW qaW qaW B B k k k ψεεεψεεε==⎧=-++=+⎪⎪⎪⎨⎪⎪=-+=-+⎪⎩⇒30012n p qaWk ψψψε=-=⇒310012⎪⎪⎭⎫ ⎝⎛=qa k W ϕε 因为02lnln ln a d a a T T i i i N N N N V V n n n ψ⎛⎫==+ ⎪⎝⎭ 当 时 , 2W x x n ==a WN ax N N d a d 2=⇒=- 当 时 , 2W x x p -=-=2WN a =故2202ln 2ln 42T Ti ia W aWV V n n ψ==2-7.推导出结(常称为高低结)内建电势表达式。
N N +解:结中两边掺杂浓度不同(),于是区中电子向区扩散,在结+N N d1d2N >N +N N 附近区形成,区出现多余的电子。
二种电荷构成空间电荷,热平衡时:+N +d N N d1n1T 2i N =V ln n ψd2n2T 2i N =V lnn ψn1n2>ψψ令 则0n1n2ψψψ≡-d10T d2N V lnN ψ=即空间电荷区两侧电势差。
0ψ2-8.(a )绘出图2-6a 中的扩散结的杂质分布和耗尽层的草图。
解释为何耗31410-=cm N BC 尽层的宽度和的关系曲线与单边突变结的情况相符。
R V(b )对于的情况,重复(a )并证明这样的结在小的行为像线性结,31810-=cm N m R V 在大时像突变结。
R V 2-9. 对于图2-6(b )的情况,重复习题2-8。
2–10.(a )结的空穴注射效率定义为在PN处的,证明此效率可写成0=x 0/I I p np p n p L L II σσγ/11+==(b )在实际的二极管中怎样才能使接近1。
γ证明(a ): ()⎥⎦⎤⎢⎣⎡-⎪⎪⎭⎫ ⎝⎛=1exp 0T pn p n p V VL p qAD x I ⎥⎦⎤⎢⎣⎡-⎪⎪⎭⎫ ⎝⎛⎪⎪⎭⎫ ⎝⎛+=1exp 0Tpno p n p n V VL p qAD L n qAD I而,0011p n p p p n n I In L p L γμμ==+q n n p n μσ0=qp p n p μσ0=所以np p n p L L II σσγ+==11(b )则1→γ1n pn p p np nL L L L σσσσ⇒ 因为 ,p T p p p p V D L τμτ==nT n n n n V D L τμτ==而,,q n n p n μσ0=q p p n p μσ0=pn ττ≈ 所以即p n n p所以 ,即,00p n n p d a N N 即 受主杂质浓度远大与施主杂质浓度。
2-11.长结二极管处于反偏压状态,求:PN (1)解扩散方程求少子分布和,并画出它们的分布示意图。
)(x n p )(x p n (2)计算扩散区内少子贮存电荷。
(3)证明反向电流为结扩散区内的载流子产生电流。
0I I -=PN 解:(1)n nx x w ≤≤2n n0n p 2pp p d p D 0dx τ--=其解为(1)pp-x L x L n n012p -p =K e+K e边界条件:n n n n n0x =x , p =0x =w ,p -p =0⎧⎨⎩有 px L n n012p -p K e (K 0)-== n p-x L n01-p =K e 将代入(1):n px L 1n0K =-p e(2)n p-(x-x )L n n0n0p -p =-p e此即少子空穴分布。