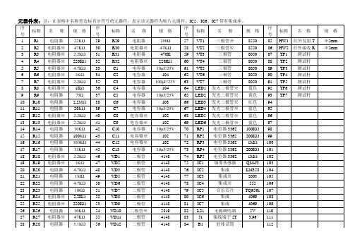
电子元件清单
- 格式:docx
- 大小:70.75 KB
- 文档页数:37
版本号发行日期修订号修改日期一.目的为确保产品质量,防止错用物料发生,使生产流畅、品质保证。
二.范围三.职责1.装料员依照《上料清单》,核对物料编号(CPN、MPN),并将物料装在相应的供料器。
记录《SMD装料核对表》并签名。
2.全能工核对后在《SMD装料核对表》签名。
3.组长、拉长或PE确认后,在《SMD装料核对表》签名,并通知技术员运行贴片机开始生产。
四.内容1.Model NO:40G6731-0062.上料清单:QTY 52文件名称: 40G6731A2013/8/28上料清单(A拉)适用于SMT机,型号:SS-H2F生产。
Cassette NOCPN MPN501021087TCL21B104KBCNNC 521020244WR06X101JTL 21111541020247-1MCR03EZPJ103561020341ZXM61N03FTA 581022340RC0805FR-072R37601022341-1WR08W3R24FTL 6230561081206L012WR编写审核批准版本号发行日期修订号修改日期一.目的为确保产品质量,防止错用物料发生,使生产流畅、品质保证。
二.范围三.职责1.装料员依照《上料清单》,核对物料编号(CPN、MPN),并将物料装在相应的供料器。
记录《SMD装料核对表》并签名。
2.全能工核对后在《SMD装料核对表》签名。
3.组长、拉长或PE确认后,在《SMD装料核对表》签名,并通知技术员运行贴片机开始生产。
四.内容1.Model NO:40G6731-0062.上料清单:QTY 1文件名称: 40G6731A2013/8/28上料清单(A拉)适用于SMT机,型号:SS-U2生产。
Cassette NOCPN MPN101022339TL4242DRJR编写审核批准。
1、基本仪器清单
20MHz普通示波器(双通道,外触发输入,有X轴输入)
60MHz双通道数字示波器
低频信号发生器(1Hz~1MHz)
标准高频信号发生器(1MHz~30MHz,可输出1mV小信号)函数发生器(10 MHz,DDS)
低频毫伏表
高频毫伏表
100 MHz频率计
失真度测试仪
直流稳压电源
秒表
量角器
100℃温度计
四位半数字万用表
单片机开发系统及PLD开发系统
扫频仪(20MHz)
2、主要元器件清单
单片机最小系统板
A/D、D/A转换器
运算放大器、电压比较器
可编程逻辑器件及其下载板
显示器件
小型电动车
小型继电器
小型步进电机
漆包线
电子开关
高频磁芯
滑线变阻器(100Ω/2A、10Ω/5A)
变容二极管(2pF~30pF)
光电传感器
角度传感器
超声传感器
大功率电阻(2Ω/36W、10Ω/36W等)
无线收发模块
红外收发管
小型直流风扇。
第8周光控自动照明灯名称+ 规格数量名称规格数量LED 3mm 5 三极管9013 1 精密电位器500k 1 光敏电阻 1第9周人体反应速度测试器名称规格数量名称规格数量电阻1M 3 电阻470Ω10 电阻10K 2 电阻200K 1电解电容 4.7μF 2 瓷片电容104(0.1μF) 3LED(红)3mm 10 IN4148 1 CD4069 14P 2 CD4001 14P 1 CD4015 16P 1 DIP座子14P 3 DIP座子16P 1 波动开关 1激动开关 1 螺丝(螺帽)3mm 4对第10周倒车雷达名称规格数量名称规格数量电阻10M 1 电阻22K 1 电阻27K 2 电阻15K 4 电阻1K 2 电阻47K 1电阻270K 1 电阻10K 1电解电容 4.70μF 2 瓷片电容12PF 2瓷片电容104(0.1μF)代替3 瓷片电容10μF 2电解电容103μF 1 CD4060 16P 1 CD4020 16P 1 CD4068 14P 1 CD4093 14P 1 CD4049 16P 1 TL074 14P 1 DIP座子14P 3 DIP座子16P 3 三极管BC547B 1可调电阻470(用200K代替)1 传感器SENS1、SENS21对螺丝(螺帽)3mm 4对蜂鸣器12V 1排针6颗晶体5MHZ 1第11周单片机小系统名称规格数量名称规格数量89C51 12MHZ 1 石英振荡晶体12MHZ 1电解电容10μF/25V 1 陶瓷电容30pF 2电阻10kΩ 1 按钮开关a接点 1螺丝(螺帽)3mm 4 储存器引脚 1外部存储器控制引脚1 时钟脉冲12MHZ 1第12周使用集成电路放LM 324制作正弦波发生器名称规格数量名称规格数量振荡电流器 4 11第13周单片机LED和蜂鸣器(编程)名称规格数量名称规格数量驱动蜂鸣器 1 驱动继电器 1数码管 1 1螺丝(螺帽)3mm 4第14周数码管显示及中断程序(编程)17段LED数码管第15周立体LED走马灯名称规格数量名称规格数量1 万用表5cm*7cm 1单片机20脚STC11FO2电阻470Ω9 微动按键 2红绿蓝LED 9 裸露铜线若干排线若干第10周倒车雷达名称规格数量名称规格数量电阻10M 1 电阻22K 1电阻27K 2 电阻15K 4电阻1K 2 电阻47K 1电阻270K 1 电阻10K 1电解电容470μF 2 瓷片电容12PF 2瓷片电容100nF 2 瓷片电容22nF 1电解电容10μF 1 CD4060 16P 1 CD4020 16P 1 CD4068 14P 1 CD4093 14P 1 CD4049 16P 1 TL074 14P 1 DIP座子14P 3 DIP座子16P 3 三极管BC547B 1可调电阻470(用200K代替)1 传感器SENS1、SENS21对螺丝(螺帽)3mm 4 蜂鸣器12V 1排针6颗晶体5MHZ 1晶振6M 1 瓷片电容10nF 3第12周使用集成电路放LM 324制作正弦波发生器名称规格数量名称规格数量振荡电流器 4 11第13周单片机LED和蜂鸣器(编程)名称规格数量名称规格数量驱动蜂鸣器 1 驱动继电器 1数码管 1 1螺丝(螺帽)3mm 4第14周数码管显示及中断程序(编程)7段LED数码管1第15周立体LED走马灯名称规格数量名称规格数量单片机20脚STC11FO21 万用表5cm*7cm 1电阻470Ω9 微动按键 2红绿蓝LED 9 裸露铜线若干排线若干第10周倒车雷达名称规格数量名称规格数量电阻10M 1个电阻22K 1个电阻27K 2个电阻15K 4个电阻1K 2个电阻47K 1个电阻270K 1个电阻10K 1个电解电容470μF 2个瓷片电容12PF 2个瓷片电容100nF 2个瓷片电容22nF 1个电解电容10μF 1个CD4060 16P 1个CD4020 16P 1个CD4068 14P 1个CD4093 14P 1个CD4049 16P 1个TL074 14P 1个DIP座子14P 3个DIP座子16P 3个三极管BC547B 1个可调电阻470(用200K代替)1个传感器SENS1、SENS21对螺丝(螺帽)3mm 4个蜂鸣器12V 1个排针6颗晶体5MHZ 1个晶振6M 1个瓷片电容10nF 3个杜邦线6根。
元件清单序号名称单价(元/个)1贴片 STC89C52RC-40I-LQFP44 3.32全新石英晶振 圆柱 晶振 12M0.235V 有源蜂鸣器 电磁式 长声 12*9.5MM 0.354LM2940S-5.0 TO-263封装 智能车 稳压芯片 1.55适配器 9V/1A(足1A) 0.068KG 8.568.5X8.5MM 8.5*8.5MM 自锁开关 按键开关 0.17DC插头 大电源插头 对应座子5.5*2.1mm DC005插头0.258DC005 5.5-2.5mmDC座子 电源插座 电源接口0.119优质直插电解电容 25V 100UF 100UF/25V 6*11mm 0.0510直插铝电解电容 50V 10uF 体积5*7MM 0,0411AMS1117-3.3V原装稳压芯片 电源IC 降压IC 0.0712轻触开关 贴片小按键 3*6*2.5mm 贴片按键开关 0.0713MFRC-522 RC522 RFID射频 IC卡感应模块 8.214单面覆铜板 10*15CM 实验板/万用板/万能板/PCS板 1.615发光管 直径5MM F5 红发红 红色灯体 红光 LED0.035 160805 贴片电阻 10K 代码1002 精度1% 0.015 170805 贴片电阻 10K 代码1001 精度1% 0.015 180805 贴片电容 0805电容 103PF 10%0.015 190805 贴片电容 303PF 30NF 10% X7R0.0220直插 AT24C02 存储器/EEPROM 2.7-5.5V 2K DIP-8 0.25 2140P彩色杜邦线 母对母 40根一排 1.7221X40PIN 40脚 2.54mm单排针 长11.2mm单排直针 0.123摇臂MG995 遥控车 55G金属铜齿轮舵机16.224热熔胶 6MM 左右直径 胶棒 胶条 长约29CM左右 0.525红黑并线 国标1007 24#线材 电线 电子线 0.4/米0.426铜柱 隔离柱 接线铜柱M3x20mm+6 (配螺母)327铝合金 电源模块散热器 IC散热叶 散热片带胶贴 0.35总价数量(个)总价(元)1 3.310.210.351 1.518.510.120.520.2210.0510,0410.0730.2118.21 1.620.0710.01510.01510.01520.0410.251 1.710.1116.2213 1.21310.3548.755。
大陆进口台湾电子元器件清单
电子元器件是一种重要的产品,是加工成电子电气系统的关键部件。
台湾电子元器件在全球市场上有着重要的地位,其产品质量、效率、性价比得到业界的广泛赞誉,不仅在我国
大陆市场受到欢迎,在世界市场上也大受欢迎。
台湾可以生产各种电子元器件,大多数电子元器件都可以定制,经济实惠,性能卓越,工艺卓越,能满足用户的特定需求。
大多数台湾电子元器件采用先进的技术,具有卓越的耐热性,耐腐蚀性和耐久性,能满足各种电子设备的多种需求。
其中,大陆进口台湾电子元器件最受欢迎。
元器件中包括台湾生产的TO-263散热片、
TO-220焊锡散热片、TO-220锁扣散热片、LED封装金属散热器、连接器丝印件、连接器插片、封装插头连接器等,采用先进的工艺和设备,可以满足用户的不同要求。
台湾电子元器件广泛用于家用电器、汽车电子、电子消费产品、通讯网络系统及电子出版
等诸多领域。
台湾元器件具有良好的性能,稳定性高,价格优惠,深受大陆消费者的喜爱,是大陆电子行业的重要来源之一。
大陆进口台湾电子元器件的出现丰富了中国市场的产品选择,提高了消费者的购买种类,
刺激了市场的竞争。
未来,台湾电子元器件将在大陆市场继续受到欢迎,受到更多消费者
的青睐。
八音电子琴原件清单
电气工程学院11级自动化(2)班
组员:严昌洲P111813870
于喜庆P111813868
韦闪佳P111813872
序号元件名称数量序号元件名称数量
1
8欧0.25w小喇叭1
9 小按键
8
2
8050三极管2
10 自锁开关
1
3
10k电阻2
11 DC电源座
1
4
30欧姆电阻1
12 12m晶振
1
5
40脚座1
13 7*9万用板
1
6
STC89c51 1
14 导线
若干
7
10uf电容1
15 usb电源线
1
8
30pf电容2
16 DC电源插头
1
设计意义:本次课程设计是通过STC89c51单片机制作而成,通过本次课程设计,我们熟悉了单片机的一些原理,对单片机有了更多的了解,单片机对自动化专业而言,有很重要的作用。
通过这次课程设计提高了我们的动手能力、思考能力,以及团队合作能力,为我们以后的工作打下了扎实的基础。
其中许多理论知识与实践的结果也让我们明白了“动手”的重要性,只有多实践才能使我们学到的知识巩固。
大陆进口台湾电子元器件清单
台湾电子元器件清单始于2006年,是中国大陆进口中台湾电子元器件的唯一清单。
自2006年以来,清单中一直在变化,并经过不断的重大调整,且在2008年更新了最新的清单。
清单中的电子元器件主要来自台湾,其中包括硅片、半导体、电路板、电容器、晶体管、LED、连接器、开关、微机和其他仪表等。
他们具有良好的可靠性,质量较高,价格也较为合理,受到了全国市场的普遍认可。
在清单中,主要厂家有台湾元驰、哈斯加尼斯特、兆邦电子、思蓓仕特,等等。
这些厂家的电子元器件具有良好的功能特性,除了在航空航天、船舶造船、汽车、计算机、电力等行业备受青睐,也被广泛用于其他行业。
此外,还有一些在人们生活中能够看到的台湾高新技术电子元器件,如手机、MPS技术芯片等,其质量可靠,制作精细,功能稳定,受到了消费者的一致认可。
总之,通过国内进口中台湾电子元器件清单的不断完善,消费者能够更好的了解和选择更多电子元器件,为创新型电子元器件的发展,提供了充分的市场空间。