水力学第6章 明渠恒定均匀流
- 格式:ppt
- 大小:999.00 KB
- 文档页数:42
第六章 明渠恒定均匀流6-1 有一梯形断面渠道,已知底宽b=8m,正常水深h o=2m,边坡系数m=1.5,粗糙系数n=0.0225,底坡i=0.0002,试求断面的平均流速及其流量。
6-2 一梯形土渠,按均匀流设计。
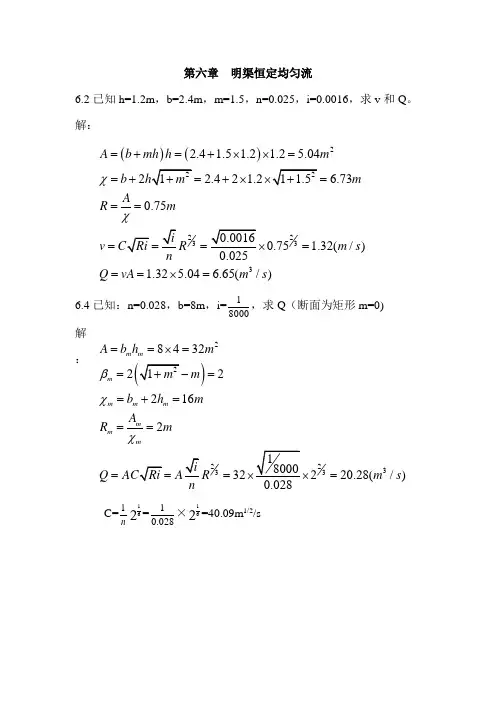
已知水深h为1.2m,底宽b为2.4m,边坡系数m为1.5,粗糙系数n为0.025,底坡i为0.0016.求流速υ和流量Q。
6-3 某水库泄洪隧道,断面为圆形,直径d为8m,底坡i为0.002,粗糙系数n为0.014,水流为无压均匀流,当洞内水深h为6.2m时,求泄洪流量Q。
6-4 红旗渠某段长而顺直,渠道用浆砌条石筑成(n为0.028),断面为矩形,渠道按水力最佳断面设计,底宽b为8m,底坡i为1/8000,试求通过流量。
6-5 已知流量Q=3m3/s,i0=0.002,m=1.5,n=0.025,试按水力最佳断面设计梯形渠道断面尺寸。
6-6 一梯形渠道,按均匀流设计。
已知Q为23 m3/s,h为1.5m,b为10m,m为1.5及i为0.0005,求n及υ。
6-7 一引水渡槽,断面为矩形,槽宽b为1.5m,槽长l为116.5m,进口处槽底高程为52.06m,槽身壁面为净水泥抹面,水流在渠中做均匀流动。
当通过设计流量Q为7.65 m3/s时,槽中水深h应为1.7m,求渡槽底坡i及出口处槽底高程。
6-8 有一浆砌石砌护的矩形断面渠道,已知底宽b=3.2m,渠道中均匀流水深h0=1.6m,粗糙系数n=0.025,通过的流量Q=6 m3/s,,试求渠道的底坡i。
6-9 有一棱柱体渠道,断面为梯形,底宽b=7.0m,边坡m=1.5m,为收集该渠道粗糙系数n值,实测渠道流量Q=9.45 m3/s,均匀流水深h0=1.2m,流段长l=200m内的水面降落△z=0.16m,试确定该渠道的粗糙系数n。
6-10 有一土渠,断面为梯形,底宽b=5m,边坡系数m=1.0,粗糙系数n=0.020,底坡i=0.0004,今已知渠道中的流量Q=10 m3/s,试分别用试算法和迭代法求渠道中的正常水深h。
《水力学》形考任务:第6章明渠均匀流一、单选题(共5题,每题8分,共40分)1.明渠均匀流可能发生在()。
A. 平坡渠道中B. 逆坡渠道中C. 正坡、平坡及逆坡渠道都能发生D. 正坡渠道中正确答案是:正坡渠道中2.在明渠渐变流中()。
A. 水面线与底坡线平行B. 测压管水头线与自由水面一致C. 总水头线一定平行于底坡线D. 总水头线与自由水面相重合正确答案是:测压管水头线与自由水面一致3.矩形断面明渠水力最佳断面的宽深比βm等于()。
A. 4B. 1C. 2D. 3正确答案是:24.在明渠中不可以发生的流动是()。
A. 非恒定非均匀流B. 恒定非均匀流C. 非恒定均匀流D. 恒定均匀流正确答案是:非恒定均匀流5.在缓坡渠道上不能发生()。
A. 均匀缓流B. 均匀急流C. 非均匀缓流D. 非均匀急流正确答案是:均匀急流2021年12月15日14:48二、多选题(共3题,每题5分,共15分)6.明渠流渠道底坡的类型有()。
A. 平坡B. 逆坡C. 临界坡D. 顺坡正确答案是:顺坡, 平坡, 逆坡7.明渠均匀流的水力特征有()。
A. 总水头线、测压管水头线(即水面线)和渠底线三者互相平行B. 过流断面的形状、尺寸和水深沿流程不变C. 过流断面上的流速和流速分布不随时间变化D. 过流断面上的流速和流速分布沿流程不变,所以流速水头沿程不变正确答案是:过流断面的形状、尺寸和水深沿流程不变, 过流断面上的流速和流速分布沿流程不变,所以流速水头沿程不变, 总水头线、测压管水头线(即水面线)和渠底线三者互相平行8.明渠均匀流的形成条件有()。
A. 渠道是长而直的棱柱体明渠,其断面形状和大小沿程不变;B. 所研究的渠段内水流不受水工建筑物的局部干扰C. 明渠中的水流为恒定流,流量沿程不变,无支流的汇入和分出;D. 必须是正坡明渠(i>0),且底坡和粗糙系数沿程不变;正确答案是:明渠中的水流为恒定流,流量沿程不变,无支流的汇入和分出;, 渠道是长而直的棱柱体明渠,其断面形状和大小沿程不变;, 必须是正坡明渠(i >0),且底坡和粗糙系数沿程不变;, 所研究的渠段内水流不受水工建筑物的局部干扰三、判断题(共6题,每题5分,共30分)9.两条明渠的断面形状、尺寸、糙率和通过的流量完全相等,但底坡不同,因此它们的均匀流水深不等。
水力学教案第六章明槽恒定流动【教学基本要求】1、了解明槽水流的分类与特征,了解棱柱体渠道的概念,掌握明槽底坡的概念与梯形断面明渠的几何特征与水力要素。
2、了解明槽均匀流的特点与形成条件,熟练掌握明槽均匀流公式,并能应用它来进行明渠均匀流水力计算。
3、理解水力最佳断面与允许流速的概念,掌握水力最佳断面的条件与允许流速的确定方法,学会正确选择明渠的糙率n值。
4、掌握明槽均匀流水力设计的类型与计算方法,能进行过流能力与正常水深的计算,能设计渠道的断面尺寸。
5、掌握明渠水流三种流态(急流、缓流、临界流)的运动特征与判别明渠水流流态的方法,理解佛汝德数Fr的物理意义。
6、理解断面比能、临界水深、临界底坡的概念与特性,掌握矩形断面明渠临界水深h k的计算公式与其它形状断面临界水深的计算方法。
7、了解水跃与水跌现象,掌握共轭水深的计算,特别就是矩形断明渠面共轭水深计算。
8、能进行水跃能量损失与水跃长度的计算。
9、掌握棱柱体渠道水面曲线的分类、分区与变化规律,能正确进行水面线定性分析,了解水面线衔接的控制条件。
10、能进行水面线定量计算。
11、了解缓流弯道水流的运动特征。
【内容提要与教学重点】这一章就是工程水力学部分内容最丰富也就是实际应用最广泛的一章。
本章有4个重点:明渠均匀流水力计算;明渠水流三种流态的判别;明渠恒定非均匀渐变流水面曲线分析与计算,这部分也就是本章的难点;水跃的特性与共轭水深计算。
学习中应围绕这4个重点,掌握相关的基本概念与计算公式。
明渠水流的复杂性在于有一个不受边界约束的自由表面,自由表面能随上下游的水流条件与渠道断面周界形状的变化而上下变动,相应的水流运动要素也发生变化,形成了不同的水面形态。
6、1 明槽与明槽水流的几何特征与分类(1)明槽水流的分类明槽恒定均匀流明槽恒定非均匀流(包括渐变流与急变流)明槽非恒定流明槽非恒定流一定就是非均匀流。
明槽非均匀流根据其流线不平行与弯曲的程度,又可以分为渐变流与急变流。
明渠恒定流计算公式明渠恒定流是水力学中的一个重要概念,涉及到一系列的计算公式。
这些公式在水利工程、给排水工程等领域有着广泛的应用。
咱先来说说明渠恒定均匀流的计算公式。
这里面有个关键的东西叫谢才公式,它的表达式是:$V = C \sqrt{RJ}$ 。
这里的$V$表示流速,$C$是谢才系数,$R$是水力半径,$J$是水力坡度。
那啥是水力半径呢?简单说,就是过水断面面积除以湿周。
给您讲个我亲身经历的事儿哈。
有一次我去一个小山村,那里要修一条灌溉渠。
村民们找我帮忙看看怎么设计能让水流得又快又稳。
我就拿着工具去实地测量,那沟沟坎坎的,可不好走。
我仔细测量了渠道的横断面形状和尺寸,计算出水力半径。
然后根据地形坡度,估算出了水力坡度。
用谢才公式算出合适的流速,这样就能确定渠道的尺寸啦。
再来说说明渠恒定非均匀流的情况。
这时候就得用到伯努利方程的扩展形式了。
在非均匀流中,水流的能量会在不同位置发生变化。
比如说,在一个有坡度变化的明渠中,上游水流比较平缓,下游突然有个陡坡。
这时候,水流的速度、水深都会发生变化。
通过计算不同位置的能量,就能知道水流的状态。
还有个曼宁公式也得提一下,$V =\frac{1}{n}R^{\frac{2}{3}}J^{\frac{1}{2}}$ ,这里的$n$是糙率。
糙率这个东西可不好确定,得根据渠道的材料、平整度啥的来判断。
我还记得有一回,碰到一个渠道的设计问题。
设计人员用错了公式,结果算出来的渠道尺寸根本不符合实际需求。
水流要么太慢,灌溉不到远处的农田;要么太快,冲坏了渠道。
这可让大家头疼了好一阵。
后来经过仔细的分析和重新计算,才把问题解决了。
总之,明渠恒定流的计算公式虽然看起来有点复杂,但只要咱掌握了原理,结合实际情况,多动手算算,就能在实际工程中派上大用场。
可别小瞧这些公式,它们能让水流乖乖听话,为咱们的生产生活服务呢!。
第六章 明渠恒定均匀流6.2已知h=1.2m ,b=2.4m ,m=1.5,n=0.025,i=0.0016,求v 和Q 。
解:6.4已知:n=0.028,b=8m ,i=80001,求Q (断面为矩形m=0) 解:C=n1261=028.01×261=40.09m 1/2/s()()2223332.4 1.5 1.2 1.2 5.042 2.42 1.2 6.730.750.75 1.32(/)0.0251.32 5.04 6.65(/)A b mh h m b mAR mv R m s n Q vA m s χχ=+=+⨯⨯==+=+⨯⨯======⨯===⨯=)222333843222216232220.28(/)0.028m m m m m m mm mA b h m m b h mA R mQ A R m s n βχχ==⨯==-==+======⨯=6.7已知:矩形渡槽,b=1.5m,l=116.5m,Q=7.65m3/s,D进口=52.06m h=1.7m,求i及D出口解:6.12已知:梯形渠道,Q=1.0m3/s,m=1.0, n=0.030,i=0.0022,最大允许不冲流速v’=0.8m/s,试根据不冲流速设计断面尺寸。
解:根据设计流速计算断面面积:取2'11.250.8QA mv===161C Rnv==33220.3661.253.4150.366R mAmRχ======2() 1.272 3.415A b mh h mb mχ⎧=+=⎪⎨=+=⎪⎩()22221116622222220.0131.5 1.72.552 1.52 1.7 4.92.550.524.9110.5269/0.0137.650.0036352.55690.52=-52.060.003635116.551.64 nQQi A bh mA C Rb h mAR mC R m snQiA C Ril m χχ=====⨯==+=+⨯======⨯====⨯⨯∇∇=-⨯=出口进口取考虑到第一方案底宽为负,舍掉。
第六章明渠恒定均匀流人工渠道、天然河道以及未充满水流的管道等统称为明渠。
明渠流(Open Channel Flow)是一种具有自由表面的流动,自由表面上各点受当地大气压的作用,其相对压强为零,所以又称为无压流动。
与有压管流不同,重力是明渠流的主要动力,而压力是有压管流的主要动力。
明渠水流根据其水力要素是否随时间变化分为恒定流和非恒定流动。
明渠恒定流动又根据流线是否为平行直线分为均匀流和非均匀流。
明渠流动与有压管流的一个很大区别是:明渠流的自由表面会随着不同的水流条件和渠身条件而变动,形成各种流动状态和水面形态,在实际问题中,很难形成明渠均匀流。
但是,在实际应用中,如在铁路、公路、给排水和水利工程的沟渠中,其排水或输水能力的计算,常按明渠均匀流处理。
此外,明渠均匀流理论对于进一步研究明渠非均匀流也具有重要意义。
§6-1 概述1.明渠的分类由于过水断面形状、尺寸与底坡的变化对明渠水流运动有重要影响,因此在水力学中把明渠分为以下类型。
(1)棱柱形渠道和非棱柱形渠道凡是断面形状及尺寸沿程不变的长直渠道,称为棱柱形渠道,否则为非棱柱形渠道。
前者的过水断面面积A仅随水深h变化,即A=f(h);后者的过水断面面积不仅随水深变化,而且还随着各断面的沿程位置而变化,即A=f(h,s),s为过水断面距其起始断面的距离。
(2)顺坡(正坡)、平坡和逆坡(负坡)渠道明渠渠底线(即渠底与纵剖面的交线)上单位长度的渠底高程差,称为明渠的底坡(Bottom slope),用i表示,如图6-1a,1-1和2-2两断面间,渠底线长度为Δs,该两断面间渠底高程差为(a1-a2)=Δa,渠底线与水平线的夹角为θ,则底坡i为。
图6-1θsin 21=∆∆=∆-=sas a a i (6-1-1) 在水力学中,规定渠底高程顺水流下降的底坡为正,因此,以导数形式表示时应为dsdai -= (6-1-2) 当渠底坡较小时,例如i <0.1或θ<6°时,因两断面间渠底线长度Δs ,与两断面间的水平距离Δl ,近似相等,Δs ≈Δl ,则由图6-1a 可知θtan =∆∆≈∆∆=la s a ii=sin θ≈tg θ (6-1-3) 所以,在上述情况下,两断面间的距离Δs 可用水平距离Δl 代替,并且,过水断面可以看作铅垂平面,水深h 也可沿铅垂线方向量取。