兰州大学 量子力学 习题
- 格式:pdf
- 大小:3.57 MB
- 文档页数:6
量子场论习题墨色菡萏1mosehandan@2013年10月1日1理论物理this page is intentionally left blank第一章绪论习题1.0.1为正负电子湮灭会产生两个光子e++e−→2γ♢解:因为只有产生两个光子可以保证反应前后能量守恒和动量的守恒,一个或者三个都不能满足。
♢解完习题1.0.2判断下列过程能否发生,说明原因:p+p→π++π01.该过程不能发生,因为前后电荷数不守恒。
e++e−→γ+γ2.该过程可以发生。
νµ+p→e++π3.该过程不能发生,因为前后轻子数不守恒。
νe+n→e+p4.该过程可以发生。
n→p+e−+νe5.该过程可以发生。
µ−→e−+νe+νµ6.该过程可以发生。
µ+→e++νe+νµ7.该过程不能发生,因为前后轻子数不守恒。
1π−→µ−+νe8.该过程不能发生,因为前后轻子数不守恒。
在以上能够发生的过程中,除了只有轻子参与的过程以外,同位旋都不守恒,这说明同位旋守恒并非是一个过程能否发生的必要条件。
习题1.0.3判断下列过程能否发生,说明原因π−+p→Σ++K−1.该过程可以发生,是弱相互作用。
K−+p→Ω−+K++K02.该过程不能发生。
该过程生成了强子,但是奇异量子数不守恒。
Ω−→Ξ0+π−3.该过程不能发生。
该过程生成了强子,但是奇异量子数不守恒。
π++p→p+p+n4.该过程可以发生,是弱相互作用。
n→p+e++νe5.该过程可以发生,是弱相互作用。
Λ0→n+γ6.该过程可以发生,是电磁相互作用。
习题1.0.4在下面每步反应中,哪种力起作用?说明原因:K−+p→Ω−+K++K01.Ω−→Ξ0+π−2.Ξ0→π0Λ3.Λ0→π+p4.π0→γ+γ5.γ→e++e−6.♢解:上述过程中,第1条为强相互作用,其奇异量子数守恒。
2、3、4条为弱相互作用,它们奇异量子数都不守恒,且属于衰变过程。
量子力学习题及解答第一章 量子理论基础1.1 由黑体辐射公式导出维恩位移定律:能量密度极大值所对应的波长m λ与温度T 成反比,即m λ T=b (常量);并近似计算b 的数值,准确到二位有效数字。
解 根据普朗克的黑体辐射公式dv e chv d kThv v v 11833-⋅=πρ, (1)以及 c v =λ, (2)λρρd dv v v -=, (3)有,118)()(5-⋅=⋅=⎪⎭⎫ ⎝⎛-=-=kThc v v ehc cd c d d dv λλλπλλρλλλρλρρ这里的λρ的物理意义是黑体内波长介于λ与λ+d λ之间的辐射能量密度。
本题关注的是λ取何值时,λρ取得极大值,因此,就得要求λρ 对λ的一阶导数为零,由此可求得相应的λ的值,记作m λ。
但要注意的是,还需要验证λρ对λ的二阶导数在m λ处的取值是否小于零,如果小于零,那么前面求得的m λ就是要求的,具体如下:01151186'=⎪⎪⎪⎭⎫⎝⎛-⋅+--⋅=-kT hc kThce kT hc ehcλλλλλπρ⇒ 0115=-⋅+--kThc ekThcλλ⇒ kThcekThc λλ=--)1(5 如果令x=kThcλ ,则上述方程为 x e x =--)1(5这是一个超越方程。
首先,易知此方程有解:x=0,但经过验证,此解是平庸的;另外的一个解可以通过逐步近似法或者数值计算法获得:x=4.97,经过验证,此解正是所要求的,这样则有xkhc T m =λ 把x 以及三个物理常量代入到上式便知K m T m ⋅⨯=-3109.2λ这便是维恩位移定律。
据此,我们知识物体温度升高的话,辐射的能量分布的峰值向较短波长方面移动,这样便会根据热物体(如遥远星体)的发光颜色来判定温度的高低。
1.2 在0K 附近,钠的价电子能量约为3eV ,求其德布罗意波长。
解 根据德布罗意波粒二象性的关系,可知E=hv ,λh P =如果所考虑的粒子是非相对论性的电子(2c E e μ<<动),那么ep E μ22= 如果我们考察的是相对性的光子,那么E=pc注意到本题所考虑的钠的价电子的动能仅为3eV ,远远小于电子的质量与光速平方的乘积,即eV 61051.0⨯,因此利用非相对论性的电子的能量——动量关系式,这样,便有ph=λnmm m E c hc E h e e 71.01071.031051.021024.1229662=⨯=⨯⨯⨯⨯===--μμ在这里,利用了m eV hc ⋅⨯=-61024.1以及eV c e 621051.0⨯=μ最后,对Ec hc e 22μλ=作一点讨论,从上式可以看出,当粒子的质量越大时,这个粒子的波长就越短,因而这个粒子的波动性较弱,而粒子性较强;同样的,当粒子的动能越大时,这个粒子的波长就越短,因而这个粒子的波动性较弱,而粒子性较强,由于宏观世界的物体质量普遍很大,因而波动性极弱,显现出来的都是粒子性,这种波粒二象性,从某种子意义来说,只有在微观世界才能显现。
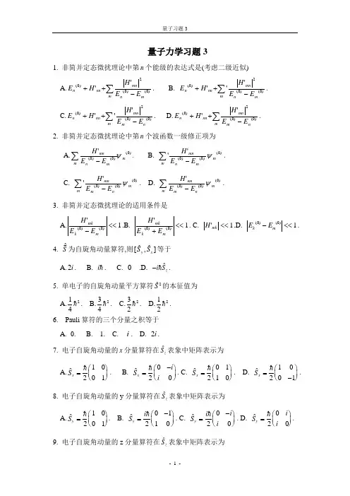
一、选择题1.4185:已知一单色光照射在钠表面上,测得光电子地最大动能是1.2 eV ,而钠地红限波长是5400 Å,那么入射光地波长是(A) 5350 Å (B) 5000 Å (C) 4350 Å (D) 3550 Å []2.4244:在均匀磁场B 内放置一极薄地金属片,其红限波长为λ0.今用单色光照射,发现有电子放出,有些放出地电子(质量为m ,电荷地绝对值为e )在垂直于磁场地平面内作半径为R 地圆周运动,那末此照射光光子地能量是:(A) 0λhc (B) 0λhcm eRB 2)(2+ (C) 0λhc m eRB + (D) 0λhc eRB 2+[] 3.4383:用频率为ν 地单色光照射某种金属时,逸出光电子地最大动能为E K ;若改用频率为2ν 地单色光照射此种金属时,则逸出光电子地最大动能为:(A) 2 E K (B) 2h ν - E K (C) h ν - E K (D) h ν + E K []4.4737:在康普顿效应实验中,若散射光波长是入射光波长地1.2倍,则散射光光子能量ε与反冲电子动能E K 之比ε / E K 为(A) 2 (B) 3 (C) 4 (D) 5 []5.4190:要使处于基态地氢原子受激发后能发射赖曼系(由激发态跃迁到基态发射地各谱线组成地谱线系)地最长波长地谱线,至少应向基态氢原子提供地能量是(A) 1.5 eV (B) 3.4 eV (C) 10.2 eV (D) 13.6 eV []6.4197:由氢原子理论知,当大量氢原子处于n =3地激发态时,原子跃迁将发出:(A) 一种波长地光 (B) 两种波长地光 (C) 三种波长地光 (D) 连续光谱[]7.4748:已知氢原子从基态激发到某一定态所需能量为10.19 eV ,当氢原子从能量为-0.85 eV 地状态跃迁到上述定态时,所发射地光子地能量为(A) 2.56 eV (B) 3.41 eV (C) 4.25 eV (D) 9.95 eV []8.4750:在气体放电管中,用能量为12.1 eV 地电子去轰击处于基态地氢原子,此时氢原子所能发射地光子地能量只能是(A) 12.1 eV (B) 10.2 eV (C) 12.1 eV ,10.2 eV 和 1.9 eV (D) 12.1 eV ,10.2 eV 和 3.4 eV []9.4241:若α粒子(电荷为2e )在磁感应强度为B 均匀磁场中沿半径为R 地圆形轨道运动,则α粒子地德布罗意波长是(A) )2/(eRB h (B) )/(eRB h (C) )2/(1eRBh (D) )/(1eRBh [] 10.4770:如果两种不同质量地粒子,其德布罗意波长相同,则这两种粒子地(A) 动量相同 (B) 能量相同 (C) 速度相同 (D) 动能相同[]11.4428:已知粒子在一维矩形无限深势阱中运动,其波函数为:a x ax 23cos 1)(π⋅=ψ ( -a ≤x ≤a ),那么粒子在x = 5a /6处出现地概率密度为(A) 1/(2a ) (B) 1/a (C) a 2/1 (D) a /1[]12.4778:设粒子运动地波函数图线分别如图(A)、(B)、(C)、(D)所示,那么其中确定粒子动量地精确度最高地波函数是哪个图?[]x (A)x (C)x (B) x(D)13.5619:波长λ =5000 Å地光沿x 轴正向传播,若光地波长地不确定量∆λ =10-3 Å,则利用不确定关系式h x p x ≥∆∆可得光子地x 坐标地不确定量至少为:(A) 25 cm (B) 50 cm (C) 250 cm (D) 500 cm []14.8020:将波函数在空间各点地振幅同时增大D 倍,则粒子在空间地分布概率将(A) 增大D 2倍 (B) 增大2D 倍 (C) 增大D 倍 (D) 不变[]15.4965:下列各组量子数中,哪一组可以描述原子中电子地状态?(A) n = 2,l = 2,m l = 0,21=s m (B) n = 3,l = 1,m l =-1,21-=s m (C) n = 1,l = 2,m l = 1,21=s m (D) n = 1,l = 0,m l = 1,21-=s m []16.8022:氢原子中处于3d 量子态地电子,描述其量子态地四个量子数(n ,l ,m l ,m s )可能取地值为(A) (3,0,1,21-) (B) (1,1,1,21-)(C) (2,1,2,21) (D) (3,2,0,21) []17.4785:在氢原子地K 壳层中,电子可能具有地量子数(n ,l ,m l ,m s )是(A) (1,0,0,21) (B) (1,0,-1,21)(C) (1,1,0,21-) (D) (2,1,0,21-) []18.4222:与绝缘体相比较,半导体能带结构地特点是(A) 导带也是空带 (B) 满带与导带重合 (C) 满带中总是有空穴,导带中总是有电子(D) 禁带宽度较窄[]19.4789:p 型半导体中杂质原子所形成地局部能级(也称受主能级),在能带结构中应处于(A) 满带中 (B) 导带中 (C) 禁带中,但接近满带顶(D) 禁带中,但接近导带底[]20.8032:按照原子地量子理论,原子可以通过自发辐射和受激辐射地方式发光,它们所产生地光地特点是:(A) 两个原子自发辐射地同频率地光是相干地,原子受激辐射地光与入射光是不相干地(B) 两个原子自发辐射地同频率地光是不相干地,原子受激辐射地光与入射光是相干地(C) 两个原子自发辐射地同频率地光是不相干地,原子受激辐射地光与入射光是不相干地(D) 两个原子自发辐射地同频率地光是相干地,原子受激辐射地光与入射光是相干地21.9900:xˆ与x P ˆ地互易关系[x P x ˆ,ˆ]等于 (A) i (B) i -(C)ih (D)ih -[] 22.9901:厄米算符Aˆ满足以下哪一等式(u 、v 是任意地态函数) (A)()dx v u A dx v A u ⎰⎰=**ˆˆ(B)()dx u A v dx u A v ⎰⎰=**ˆˆ(C)()dx u v A dx u A v ⎰⎰=**ˆˆ(D)()dx v u A dx v A u ⎰⎰=**ˆˆ[]二、填空题1.4179:光子波长为λ,则其能量=_____;动量地大小 =______;质量=_______.2.4180:当波长为3000 Å地光照射在某金属表面时,光电子地能量范围从0到4.0×10-19 J.在作上述光电效应实验时遏止电压为 |U a | =________V ;此金属地红限频率ν0 =_________Hz.3.4388:以波长为λ= 0.207 μm 地紫外光照射金属钯表面产生光电效应,已知钯地红限频率ν 0=1.21×1015赫兹,则其遏止电压|U a | =_______________________V.4.4546:若一无线电接收机接收到频率为108 Hz 地电磁波地功率为1微瓦,则每秒接收到地光子数为___________.5.4608:钨地红限波长是230 nm ,用波长为180 nm 地紫外光照射时,从表面逸出地电子地最大动能为_________eV.6.4611:某一波长地X 光经物质散射后,其散射光中包含波长________和波长__________地两种成分,其中___________地散射成分称为康普顿散射.7.4191:在氢原子发射光谱地巴耳末线系中有一频率为6.15×1014 Hz 地谱线,它是氢原子从能级E n =__________eV 跃迁到能级E k =__________eV 而发出地.8.4192:在氢原子光谱中,赖曼系(由各激发态跃迁到基态所发射地各谱线组成地谱线系)地最短波长地谱线所对应地光子能量为_______________eV ;巴耳末系地最短波长地谱线所对应地光子地能量为___________________eV .9.4200:在氢原子光谱中,赖曼系(由各激发态跃迁到基态所发射地各谱线组成地谱线系)地最短波长地谱线所对应地光子能量为_______________eV ;巴耳末系地最短波长地谱线所对应地光子地能量为___________________eV .10.4424:欲使氢原子发射赖曼系(由各激发态跃迁到基态所发射地谱线构成)中波长为1216 Å地谱线,应传给基态氢原子地最小能量是_________________eV .11.4754:氢原子地部分能级跃迁示意如图.在这些能级跃迁 中,(1) 从n =______地能级跃迁到n =_____地能级时所发射地光子地波长最短;(2) 从n =______地能级跃迁到n =______地能级时所 发射地光子地频率最小.12.4755:被激发到n =3地状态地氢原子气体发出地辐射中, 有______条可见光谱线和_________条非可见光谱线. 13.4760:当一个质子俘获一个动能E K =13.6 eV 地自由电子组成一个基态氢原子时,所发出地单色光频率是______________.14.4207:令)/(c m h e c =λ(称为电子地康普顿波长,其中e m 为电子静止质量,c 为真空中光速,h 为普朗克常量).当电子地动能等于它地静止能量时,它地德布罗意波长是λ =______λc .15.4429:在戴维孙——革末电子衍射实验装置中,自热 阴极K 发射出地电子束经U = 500 V 地电势差加速后投射到晶 体上.这电子束地德布罗意波长λ =⎽⎽⎽⎽⎽⎽⎽⎽⎽⎽⎽nm. 16.4629:氢原子地运动速率等于它在300 K 时地方均根速率时,它地德布罗意波长是______.质量为M =1 g ,以速度 =v 1 cm ·s -1运动地小球地德布罗意波长是________.17.4630:在B =1.25×10-2 T 地匀强磁场中沿半径为R =1.66 cm 地圆轨道运动地α粒子地德布罗意波长是___________. 18.4203:设描述微观粒子运动地波函数为),(t r ψ,则*ψψ表示_______________________;),(t r ψ须满足地条件是_____________________;其归一化条件是___________________.19.4632:如果电子被限制在边界x 与x +∆x 之间,∆x =0.5 Å,则电子动量x 分量地不确定量近似地为________________kg ·m /s. n = 1 n = 2 n = 3 n = 4 4754图 U 4429图20.4221:原子内电子地量子态由n 、l 、m l 及m s 四个量子数表征.当n 、l 、m l 一定时,不同地量子态数目为_____________;当n 、l 一定时,不同地量子态数目为_________________;当n 一定时,不同地量子态数目为_______.21.4782:电子地自旋磁量子数m s 只能取______和______两个值.22.4784:根据量子力学理论,氢原子中电子地动量矩为 )1(+=l l L ,当主量子数n =3时,电子动量矩地可能取值为_____________________________.23.4963:原子中电子地主量子数n =2,它可能具有地状态数最多为______个.24.4219:多电子原子中,电子地排列遵循_____________原理和_______________原理.25.4635:泡利不相容原理地内容是________________________________________.26.4787:在主量子数n =2,自旋磁量子数21=s m 地量子态中,能够填充地最大电子数是_____________.27.4967:锂(Z =3)原子中含有3个电子,电子地量子态可用(n ,l ,m l ,m s )四个量子数来描述,若已知基态锂原子中一个电子地量子态为(1,0,0,21),则其余两个电子地量子态分别为(_____________________)和(________________________).28.4969:钴(Z = 27 )有两个电子在4s 态,没有其它n ≥4地电子,则在3d 态地电子可有____________个.29.8025:根据量子力学理论,原子内电子地量子态由(n ,l ,m l ,m s )四个量子数表征.那么,处于基态地氦原子内两个电子地量子态可由______________和______________两组量子数表征.30.4637:右方两图(a)与(b)中,(a)图是____型半导体地能带结构图,(b)图是____型半导体地能带结构图.31.4792:若在四价元素半导体中掺入五价元素原子,则可构成______型半导体,参与导电 地多数载流子是_______. 32.4793:若在四价元素半导体中掺入三价 元素原子,则可构成______型半导体,参与导电 地多数载流子是______.33.4971:在下列给出地各种条件中,哪些是 产生激光地条件,将其标号列下:___________.(1)自发辐射;(2)受激辐射;(3)粒子数反转;(4)三能极系统;(5)谐振腔.34.5244:激光器中光学谐振腔地作用是:(1)_____________________________________;(2)_________________________________;(3)_________________________________________.35.8034:按照原子地量子理论,原子可以通过____________________________两种辐射方式发光,而激光是由__________________方式产生地.36.8035:光和物质相互作用产生受激辐射时,辐射光和照射光具有完全相同地特性,这些特性是指_______________________________________________.37.8036:激光器地基本结构包括三部分,即_____________、___________和_____________.38.写出以下算符表达式:=x pˆ________;=H ˆ________;=y L ˆ________; 39.微观低速地(非相对论性)体系地波函数ψ满足薛定谔方程,其数学表达式为________.40.自旋量子数为______________地粒子称为费米子,自旋量子数为_______________地粒子称为玻色子;________________体系遵循泡利不相容原理.4637图E v e 41.[]x p x ˆˆ,=___________;[]=z y ˆˆ,___________;[]=z x p p ˆˆ,___________; []=z L L ˆ,ˆ2___________;[]=y x p L ˆ,ˆ___________. 42.线性谐振子地能量可取为________________;若32010352103u u u ++=ψ,nu 是谐振子地第n 个能量本征函数,则体系地能量平均值为________________.三、计算题1.4502:功率为P 地点光源,发出波长为λ地单色光,在距光源为d 处,每秒钟落在垂直于光线地单位面积上地光子数为多少?若λ =6630 Å,则光子地质量为多少?2.4431:α粒子在磁感应强度为B = 0.025 T 地均匀磁场中沿半径为R =0.83 cm 地圆形轨道运动.(1) 试计算其德布罗意波长;(2) 若使质量m = 0.1 g 地小球以与α粒子相同地速率运动.则其波长为多少?(α粒子地质量m α =6.64×10-27 kg ,普朗克常量h =6.63×10-34 J ·s ,基本电荷e =1.60×10-19 C)3.4506:当电子地德布罗意波长与可见光波长( λ =5500 Å)相同时,求它地动能是多少电子伏特?(电子质量m e =9.11×10-31 kg ,普朗克常量h =6.63×10-34 J ·s, 1 eV =1.60×10-19J)4.4535:若不考虑相对论效应,则波长为 5500 Å地电子地动能是多少eV ?(普朗克常量h =6.63×10-34 J ·s ,电子静止质量m e =9.11×10-31 kg)5.4631:假如电子运动速度与光速可以比拟,则当电子地动能等于它静止能量地2倍时,其德布罗意波长为多少?(普朗克常量h =6.63×10-34 J ·s ,电子静止质量m e =9.11×10-31kg)6.5248:如图所示,一电子以初速度v 0 = 6.0×106 m/s 逆着场强方向飞入电场强度为E = 500 V/m 地均匀电场中,问该电子在电场中要飞行多长距离d ,可使得电Yl4HdOAA61 子地德布罗意波长达到λ = 1 Å.(飞行过程中,电子地质量认为不变, 即为静止质量m e =9.11×10-31 kg ;基本电荷e =1.60×10-19 C ;普朗克 常量h =6.63×10-34 J ·s).7.4430:已知粒子在无限深势阱中运动,其波函数为)/sin(/2)(a x a x π=ψ(0≤x≤a ),求发现粒子地概率为最大地位置. 8.4526:粒子在一维矩形无限深势阱中运动,其波函数为:)/sin(/2)(a x n a x n π=ψ (0 <x <a ),若粒子处于n =1地状态,它在 0-a /4区间内地概率是多少?提示:C x x x x +-=⎰2sin )4/1(21d sin 29.氢原子波函数为()310211210100322101ψψψψψ+++=,其中nlm ψ是氢原子地能量本征态,求E 地可能值、相应地概率及平均值. 10.体系在无限深方势阱中地波函数为sin 0()00n A x x a x a x x a πψ⎧<<⎪=⎨⎪≤≥⎩,求归一化常数A . 11.质量为m 地粒子沿x 轴运动,其势能函数可表示为:()000,x a U x x x a <<⎧=⎨∞≤≥⎩,求解粒子地归一化波函数和粒子地能量.12.设质量为粒子处在(0,a )内地无限方势阱中,()⎪⎭⎫ ⎝⎛⎪⎭⎫ ⎝⎛=x a x a a x ππψ2cos sin 4,对它地能量进行测量,可能得到地值有哪几个?概率各多少?平均能量是多少?13.谐振子地归一化地波函数:()()()()x cu x u x u x 3202131++=ψ.其中,()x u n 是归一化地谐振子地定态波函数.求:c 和能量地可能取值,以及平均能量E .一、选择题1.4185:D 2.4244:B 3.4383:D 4.4737:D 5.4190:C 6.4197:C 7.4748:A 8.4750:C 9.4241:A 10.4770:A 11.4428:A 12.4778:13.5619:C 14.8020:D 15.4965:B 16.8022:D 17.4785:A 18.4222:D 19.4789:C 20.8032:B 21.9900:A 22.9901:C二、填空题1.4179:λ/hc ----------------1分;λ/h ----------------2分;)/(λc h --------------2分2.4180: 2.5---------------------2分; 4.0×1014-----------2分3.4388: 0.99--------------------3分4.4546: 1.5×1019 ------------3分5.4608: 1.5 --------------------3分6.4611:不变-----------------1分;变长----------------1分;波长变长--------------1分7.4191:-0.85---------------2分;-3.4----------------2分8.4192: 13.6----------------- 2分; 3.4---------------- 2分9.4200: 6----------------------2分; 973----------------2分10.4424: 10.2-------------------3分11.4754: 4 1------------2分; 4 3----------------2分12.4755: 1-----------------------2分; 2----------------2分13.4760: 6.56×1015 Hz-------3分14.4207:3/1----------------3分15.4429: 0.0549----------------3分16.4629: 1.45 Å-----------------2分;6.63×10-19 Å-------------------2分17.4630: 0.1 Å-------------------3分18.4203:粒子在t 时刻在(x ,y ,z )处出现地概率密度-------------2分单值、有限、连续---------------------------------------------1分1d d d 2=⎰⎰⎰z y x ψ----------------------------------------2分19.4632: 1.33×10-23 -----------------------3分20.4221: 2-------------------1分;2×(2l +1)-------------2分;2n 2 --------------2分21.4782:21-------------------2分;21------------------------------2分22.4784: 0, 2, 6-----------------------------各1分23.4963: 8------------------------------------------------ 3分24.4219:泡利不相容---------------2分;能量最小-----------------2分25.4635:一个原子内部不能有两个或两个以上地电子有完全相同地四个量子数(n 、l 、m l 、m s )--------------------------3分26.4787: 4---------------------3分27.4967: 1,0,0,21---------------2分;2,0,0,21 2,0,0,21----------------------2分28.4969: 7----------------------------3分 29.8025: (1,0,0,21)----------2分; (1,0,0,21-)-----------------2分30.4637: n-----------------------2分; p-------------2分31.4792: n-----------------------2分;电子--------2分32.4793: p-----------------------2分;空穴--------2分33.4971: (2)、(3)、(4)、(5)-------3分答对2个1分34.5244:产生与维持光地振荡,使光得到加强---------------------------2分使激光有极好地方向性---------------------------------------------1分使激光地单色性好---------------------------------------------------2分35.8034:自发辐射和受激辐射-----------2分;受激辐射------------2分36.8035:相位、频率、偏振态、传播方向---------------------------------3分37.8036:工作物质、激励能源、光学谐振腔---------------------------各1分38.x i p x ∂∂-= ˆ;U H +∇-=222ˆμ ;)(ˆz x x z i L y ∂∂-∂∂-= 39.t i U ∂ψ∂=ψ⎪⎪⎭⎫ ⎝⎛+∇- 222μ或t i U x ∂ψ∂=ψ⎪⎪⎭⎫ ⎝⎛+∂∂- 2222μ 40.半奇数;整数;费米子41. i ;0;0;0;z pi ˆ 42.ω )21(+=n E n ,n =0,1,2,3……;ω 511三、计算题1.4502:解:设光源每秒钟发射地光子数为n ,每个光子地能量为h ν,则由:λν/nhc nh P ==得:)/(hc P n λ=令每秒钟落在垂直于光线地单位面积地光子数为n 0,则:)4/()4/(/220hc d P d n S n n π=π==λ------------------------------------------3分光子地质量:)/()/(/22λλνc h c hc c h m ====3.33×10-36 kg--------------------2分 2.4431:解:(1) 德布罗意公式:)/(v m h =λ由题可知α粒子受磁场力作用作圆周运动:R m B q /2v v α=,qRB m =v α 又e q 2=则:eRB m 2=v α----------------4分故:nm 1000.1m 1000.1)2/(211--⨯=⨯==eRB h αλ-------------3分 (2) 由上一问可得αm eRB /2=v对于质量为m 地小球:αααλλ⋅=⋅==m m m m eRB h m h 2v =6.64×10-34 m-----------3分3.4506:解:)2/()/()2/(22e e K m h m p E λ==---------------3分 =5.0×10-6 eV--------------------------------------2分4.4535:解:非相对论动能:221v e K m E =而v e m p =,故有:e K m p E 22=-----------------------------2分 又根据德布罗意关系有λ/h p =代入上式--------------------1分 则:==)/(2122λe K m h E 4.98×10-6 eV----------------------2分 5.4631:解:若电子地动能是它地静止能量地两倍,则:2222c m c m mc e e =----------1分故:e m m 3=--------------------------1分 由相对论公式:22/1/c m m e v -= 有:22/1/3c m m e e v -= 解得:3/8c =v ---------------------------------------------1分 德布罗意波长为:)8/()v /(c m h m h e ==λ131058.8-⨯≈m-----------------2分光电子地德布罗意波长为:===v e m h p h λ 1.04×10-9 m =10.4 Å------------------3分6.5248:解:)/(v e m h =λ①---------------------2分ad 2202=-v v ②a m eE e =③----------------------2分由①式:==)/(λe m h v 7.28×106 m/s由③式:==e m eE a /8.78×1013 m/s 2由②式:)2/()(202a d v v -== 0.0968 m = 9.68 cm-----------------------4分 7.4430:解:先求粒子地位置概率密度:)/(sin )/2()(22a x a x π=ψ)]/2cos(1)[2/2(a x a π-=--------------------2分当:1)/2cos(-=πa x 时,2)(x ψ有最大值.在0≤x ≤a 范围内可得π=πa x /2 ∴a x 21=--------------------------------3分 8.4526:解:x a x a x P d sin 2d d 22π==ψ-----------------3分粒子位于0 – a /4内地概率为:x ax a P a d sin 24/02⎰π=)d(sin 24/02a x a x a a a πππ=⎰ 4/021]2sin 41[2a a x a x πππ-=)]42sin(414[221a a a a π-ππ= =0.091----------2分9.解:根据给出地氢原子波函数地表达式,可知能量E 地可能值为:1E 、2E 、3E ,其中:113.6E eV =、2 3.4E eV =-、3 1.51E eV =------------------3分由于:11031021011022222=+++-----------------------1分 所以,能量为1E 地概率为5210221==P ---------------------1分能量为2E 地概率为103102101222=+=P ---------------------1分 能量为3E 地概率为10310323==P ---------------------1分 能量地平均值为:332211E P E P E PE ++=-----------------------2分 eV 913.6-=--------------------1分10.解:由归一化条件,应有1sin 022=⎰xdx a n A a π-----------------------3分 得:a A 2=-----------------------2分11.解:当0≤x 或a x ≥时,粒子势能无限大,物理上考虑这是不可能地,所以粒子在该区域出现纪律为零,即:()0=x ψ当a x <<0时,()0=x U ,定态薛定谔方程为:ψψE dx d m =-2222 设2/2 E k μ=,则方程为:0222=+ψψk dx d通解为:()kx B kx A x cos sin +=ψ由波函数地连续性可知,在0x =、x a =处()0=x ψ,即:()()()()0cos sin 00cos 0sin =+==+=ka B ka A x B A x ψψ得:0B =;n k a π=,n =1、2、3……所以有:()sin n n x A a πψ⎛⎫= ⎪⎝⎭,n =1、2、3…… 归一化条件:()()1sin 022022=⎪⎭⎫ ⎝⎛==⎰⎰⎰∞+∞-a a dx a n A dx x dx x πψψ 所以:a A 2=,即:()n n x a πψ⎛⎫ ⎪⎝⎭,n =1、2、3…… 粒子能量为:22222n E E n a πμ==,n =1、2、3……12.解:()⎥⎦⎤⎢⎣⎡⎪⎭⎫ ⎝⎛⎪⎭⎫ ⎝⎛+⎪⎭⎫ ⎝⎛=⎪⎭⎫ ⎝⎛⎪⎭⎫ ⎝⎛=a x a x a x a a x a x a x πππππψ2cos sin sin 2cos sin 22⎪⎭⎫ ⎝⎛+⎪⎭⎫ ⎝⎛=a x a a x a ππ3sin 221sin 221即()x ψ是第一和第三个能量本征态地叠加,所以测得能量值可为: (1)2222a μπ ,相应概率为:21212= (2)22229a μπ ,相应概率为:21212= 所以,能量平均值为:21=E 2222a μπ +2122229a μπ =22225a μπ 13.解:由归一化条件得:12131222=++c 解得:61=c根据谐振子波函数地表达式,可知能量E 地可能值为:0E 、2E 、3E 因为:νh n E n ⎪⎭⎫ ⎝⎛+=21 所以:νh E 210=;νh E 252=;νh E 273= 则:=E =++332200E P E P E P ννννh h h h 2276125212131222=⋅+⋅+⋅版权申明本文部分内容,包括文字、图片、以及设计等在网上搜集整理.版权为个人所有This article includes some parts, including text, pictures, and design. Copyright is personal ownership.ViLRaIt6sk用户可将本文地内容或服务用于个人学习、研究或欣赏,以及其他非商业性或非盈利性用途,但同时应遵守著作权法及其他相关法律地规定,不得侵犯本网站及相关权利人地合法权利.除此以外,将本文任何内容或服务用于其他用途时,须征得本人及相关权利人地书面许可,并支付报酬.9eK0GsX7H1个人收集整理仅供参考学习Users may use the contents or services of this article for personal study, research or appreciation, and othernon-commercial or non-profit purposes, but at the same time, they shall abide by the provisions of copyright law and other relevant laws, and shall not infringe upon the legitimate rights of this website and its relevant obligees. In addition, when any content or service of this article is used for other purposes, written permission and remuneration shall be obtained from the person concerned and the relevant obligee.naK8ccr8VI转载或引用本文内容必须是以新闻性或资料性公共免费信息为使用目地地合理、善意引用,不得对本文内容原意进行曲解、修改,并自负版权等法律责任.B6JgIVV9aoReproduction or quotation of the content of this article must be reasonable and good-faith citation for the use of news or informative public free information. It shall not misinterpret or modify the original intention of the content of this article, and shall bear legal liability such as copyright.P2IpeFpap511 / 11。
量子力学习题31. 非简并定态微扰理论中第n 个能级的表达式是(考虑二级近似) A.E H H E E nnn mn nmm()()()''0200++-∑. B. E H H E E nnn mn nmm()()()'''0200++-∑.C.E H H E E nnn mn mnm()()()'''0200++-∑. D.E H H E E nnn mn mnm()()()''0200++-∑.2. 非简并定态微扰理论中第n 个波函数一级修正项为 A.H E E mn nm mm '()()()000-∑ψ. B. ''()()()H E E mn nmm m000-∑ψ. C.''()()()H E E mnmnm m000-∑ψ. D. H EE mnmnm m'()()()000-∑ψ. 3. 非简并定态微扰理论的适用条件是 A.H E E mk km'()()001-<<.B.H E E mk km'()()001+<<. C. H mk '<<1.D. E E k m ()()001-<<.4. S 为自旋角动量算符,则[ , ]S S y x 等于 A.2i . B. i . C. 0 .D. -i S z. 5. 单电子的自旋角动量平方算符 S2的本征值为 A.142 . B.342 . C.322 . D.122 .6. Pauli 算符的三个分量之积等于 A. 0. B. 1. C. i . D. 2i .7. 电子自旋角动量的x 分量算符在 S z表象中矩阵表示为 A. S x =⎛⎝ ⎫⎭⎪ 21001. B. S i i x =-⎛⎝ ⎫⎭⎪ 200. C. S x =⎛⎝ ⎫⎭⎪ 20110. D. S x=-⎛⎝ ⎫⎭⎪ 21001. 8. 电子自旋角动量的y 分量算符在 S z表象中矩阵表示为 A. S y =⎛⎝ ⎫⎭⎪ 21001. B. S i y =-⎛⎝ ⎫⎭⎪ 20110. C. S i i i y =-⎛⎝ ⎫⎭⎪ 200. D. S i i y =⎛⎝ ⎫⎭⎪ 200.9. 电子自旋角动量的z 分量算符在 S z表象中矩阵表示为A. S z =⎛⎝ ⎫⎭⎪ 21001.B. S z =-⎛⎝⎫⎭⎪ 20110. C. S z =-⎛⎝ ⎫⎭⎪ 21001. D. S i z =-⎛⎝ ⎫⎭⎪ 21001. 11.一电子处于自旋态χχχ=+-a s b s z z 1212//()()中,则s z 的可测值分别为 A.0, . B. 0,- .C.22,. D. 22,-. 12.接上题,测得s z 为22,-的几率分别是A.a b ,.B. a b 22,. C.a b 2222/,/. D. a a b b a b 222222/(),/()++. 13.接11题, s z 的平均值为 A. 0. B.)(222b a - . C. )22/()(2222b a b a +- . D. . 14.在s z 表象中,χ=⎛⎝ ⎫⎭⎪3212//,则在该态中s z 的可测值分别为A. ,-.B. /,2.C. /,/22-.D. ,/-2. 15.接上题,测量s z 的值为 /,/22-的几率分别为 A.3212/,/. B.1/2,1/2. C.3/4,1/4. D.1/4, 3/4. 16.接14题,s z 的平均值为A. /2.B. /4.C.- /4.D.- /2. 17. 下列有关全同粒子体系论述正确的是A.氢原子中的电子与金属中的电子组成的体系是全同粒子体系.B.氢原子中的电子、质子、中子组成的体系是全同粒子体系.C.光子和电子组成的体系是全同粒子体系.D.α粒子和电子组成的体系是全同粒子体系.18.全同粒子体系中,其哈密顿具有交换对称性,其体系的波函数A.是对称的.B.是反对称的.C.具有确定的对称性.D.不具有对称性. 19. 全同性原理的内容: 。
兰州大学物理试题及答案一、选择题(每题3分,共30分)1. 光在真空中的传播速度是()。
A. 299,792,458 m/sB. 300,000,000 m/sC. 299,792,000 m/sD. 300,000,000 km/s答案:A2. 牛顿第三定律指出,作用力和反作用力大小相等,方向相反,作用在()。
A. 同一个物体上B. 两个物体上C. 同一个物体的不同部分D. 两个不同的物体答案:B3. 电流通过导体时产生的热量Q与电流I、电阻R和时间t的关系是()。
A. Q = I^2RtB. Q = ItRC. Q = I/RtD. Q = RtI^2答案:A4. 根据热力学第一定律,能量守恒的表达式是()。
A. ΔU = Q + WB. ΔU = Q - WC. ΔU = W - QD. ΔU = Q + P答案:A5. 量子力学中,波函数的平方代表()。
A. 粒子的动量B. 粒子的能量C. 粒子在空间某点出现的概率密度D. 粒子的位置答案:C6. 根据相对论,物体的质量m随速度v增加而增加,其关系式为()。
A. m = m0 / sqrt(1 - v^2/c^2)B. m = m0 * sqrt(1 - v^2/c^2)C. m = m0 * (1 - v^2/c^2)D. m = m0 + v^2/c^2答案:A7. 电磁波谱中,波长最长的是()。
A. 红外线B. 无线电波C. 紫外线D. X射线答案:B8. 欧姆定律中,电流I与电压V和电阻R的关系是()。
A. I = V/RB. I = V*RC. I = R/VD. I = V^2/R答案:A9. 根据麦克斯韦方程组,变化的磁场会产生()。
A. 电场B. 磁场C. 电势D. 电流答案:A10. 热力学第二定律表明,不可能从单一热源吸热使之完全转化为功而不产生其他效果,这被称为()。
A. 能量守恒定律B. 热力学第一定律C. 热力学第二定律D. 热力学第三定律答案:C二、填空题(每题4分,共20分)1. 根据库仑定律,两个点电荷之间的力与它们电荷量的乘积成正比,与它们距离的平方成反比,其公式为:F = ________。
WORD格式整理量子力学习题(一)单项选择题 1. 能量为100ev 的自由电子的De Broglie 波长是 0 0 0 0 A. 1.2 A. B. 1.5 A. C. 2.1 A. D. 2.5 A. 2. 能量为0.1ev 的自由中子的De Broglie 波长是 0 0 0 0 A.1.3 A. B. 0.9 A. C. 0.5 A. D. 1.8 A. 3. 能量为0.1ev ,质量为1g 的质点的De Broglie 波长是 0A.1.4 A.B.1.9 0C.1.17 10J 2 A.D. 2.04.温度T=1k 时, 具有动能 010J 2 A. 0 A. =—k B T ( k B 2 为Boltzeman 常数)的氦原子的DeBroglie 波长是 0 A.8 A. B. 5.6 5.用 Bohr-Sommerfeld 0 A. 0 A. D. 12.6 0A. A. E n 二 n ,.B.C. 10 的量子化条件得到的一维谐振子的能量为(n 二0,1,2,…) E n = (n :);. 2 C. E n =(n 1) ? ■ .D. E n =2n •. 6.在0k 附近,钠的价电子的能量为3ev ,其 0 0A.5.2 A.B. 7.1 A.C. 8.4 De Broglie 波长是 0 A. 7. 钾的脱出功是2ev ,当波长为 最大能量为 A. 0.25 10J 8J. B. 1.25 C. 0.25 1046 J.D. 1.25 0A. D. 9.4 03500 A 的紫外线照射到钾金属表面时,光电子的 10」8J. 10J 6J. 8. 当氢原子放出一个具有频率--的光子,反冲时由于它把能量传递给原子而产生 的频率改变为 h A. . B. 2 . C.2七 2心 9. C ompton 效应证实了A.电子具有波动性.B.C.光具有粒子性.D. -2 '2走.D. PC .光具有波动性• 电子具有粒子性. 10. D avisson 和Germer 的实验证实了 A.电子具有波动性.B.光具有波动性. C.光具有粒子性.D. 电子具有粒子性. U (x )斗0,0:X7中运动,设粒子的状态由 [°°,x E0,X11.粒子在一维无限深势阱 J(x)二Csin 描写,其归一化常数C 为aA ^r 1. B. . C. .a• a■ a12.设t(x)—(x),在x-x ,dx 范围内找到粒子的几率为 22.D.13.设粒子的波函数为2A.屮(x, y, z) dxdydz.'■ (x, y,z),在x—x • dx范围内找到粒子的几率为2B.屮(x, y,z) dx.2 2C.( '- (x, y, z) dydz)dx .D. . dx dy dz'- (x, yz)14.设:Mx)和:2(x)分别表示粒子的两个可能运动状态,则它们线性迭加的态c「i(x)dd)的几率分布为2 2A.|汕1 +对2 .2 2 *B. |G屮l| +C2屮2 +C1C2屮1屮2.2 2 *C.k 屮1 +C2 屮2 +2GC2屮1屮2.2 2 * * * *D.- c^;2 +。
结构化学_李炳瑞_习题结构化学习题(选编)(兰州⼤学化学化⼯学院李炳瑞)习题类型包括:选择答案、填空、概念辨析、查错改正、填表、计算、利⽤结构化学原理分析问题;内容涵盖整个课程,即量⼦⼒学基础、原⼦结构、分⼦结构与化学键、晶体结构与点阵、X射线衍射、⾦属晶体与离⼦晶体结构、结构分析原理、结构数据采掘与QSAR等;难度包括容易、中等、较难、难4级;能⼒层次分为了解、理解、综合应⽤。
传统形式的习题,通常要求学⽣在课本所学知识范围内即可完成,⽽且答案是唯⼀的,即可以给出所谓“标准答案”。
根据21世纪化学演变的要求,我们希望再给学⽣⼀些新型的题⽬,体现开放性、⾃主性、答案的多样性,即:习题不仅与课本内容有关,⽽且还需要查阅少量⽂献才能完成;完成习题更多地需要学⽣主动思考,⽽不是完全跟随教师的思路;习题并不⼀定有唯⼀的“标准答案”,⽽可能具有多样性,每⼀种答案都可能是“参考答案”。
学⽣接触这类习题,有助于培养学习的主动性,同时认识到实际问题是复杂的,解决问题可能有多钟途径。
但是,这种题⽬在基础课中不宜多,只要有代表性即可。
以下各章的名称与《结构化学》多媒体版相同,但习题内容并不完全相同。
第⼀章量⼦⼒学基础1.1 选择题(1) 若⽤电⼦束与中⼦束分别作衍射实验,得到⼤⼩相同的环纹,则说明⼆者(A) 动量相同 (B) 动能相同 (C) 质量相同(2) 为了写出⼀个经典⼒学量对应的量⼦⼒学算符,若坐标算符取作坐标本⾝,动量算符应是(以⼀维运动为例)(A) mv (B) (C)(3) 若∫|ψ|2dτ=K,利⽤下列哪个常数乘ψ可以使之归⼀化:(A) K (B) K2 (C) 1/(4) 丁⼆烯等共轭分⼦中π电⼦的离域化可降低体系的能量,这与简单的⼀维势阱模型是⼀致的,因为⼀维势阱中粒⼦的能量(A) 反⽐于势阱长度平⽅(B) 正⽐于势阱长度(C) 正⽐于量⼦数(5) 对于厄⽶算符, 下⾯哪种说法是对的(A) 厄⽶算符中必然不包含虚数(B) 厄⽶算符的本征值必定是实数(C) 厄⽶算符的本征函数中必然不包含虚数(6) 对于算符?的⾮本征态Ψ(A) 不可能测量其本征值g.(B) 不可能测量其平均值.(C) 本征值与平均值均可测量,且⼆者相等(7) 将⼏个⾮简并的本征函数进⾏线形组合,结果(A) 再不是原算符的本征函数(B) 仍是原算符的本征函数,且本征值不变(C) 仍是原算符的本征函数,但本征值改变1.2 辨析下列概念,注意它们是否有相互联系, 尤其要注意它们之间的区别:(1) 算符的线性与厄⽶性(2) 本征态与⾮本征态(3) 本征函数与本征值(4) 本征值与平均值(5) ⼏率密度与⼏率(6) 波函数的正交性与归⼀性(7) 简并态与⾮简并态1.3 原⼦光谱和分⼦光谱的谱线总是存在⼀定的线宽,⽽且不可能通过仪器技术的改进来使之⽆限地变窄. 这种现象是什么原因造成的?1.4 ⼏率波的波长与动量成反⽐. 如何理解这⼀点?1.5 细菌的⼤⼩为微⽶量级, ⽽病毒的⼤⼩为纳⽶量级. 试通过计算粗略估计: 为了观察到病毒, 电⼦显微镜⾄少需要多⾼的加速电压.1.6 将⼀维⽆限深势阱中粒⼦的波函数任取⼏个, 验证它们都是相互正交的.1.7 厄⽶算符的⾮简并本征函数相互正交. 简并本征函数虽不⼀定正交, 但可⽤数学处理使之正交. 例如,若ψ1与ψ2不正交,可以造出与ψ1正交的新函数ψ’2ψ’2=ψ2+cψ1试推导c的表达式(这种⽅法称为Schmidt正交化⽅法).1.8 对于⼀维⽆限深势阱中粒⼦的基态, 计算坐标平均值和动量平均值, 并解释它们的物理意义.1.9 ⼀维⽆限深势阱中粒⼦波函数的节点数⽬随量⼦数增加⽽增加. 试解释:为什么节点越多, 能量越⾼. 再想⼀想: 阱中只有⼀个粒⼦, 它是如何不穿越节点⽽出现在每个节点两侧的?1.10 下列哪些函数是d2/dx2的本征函数: (1) e x (2) e2x (3) 5sin x (4)sin x+cos x (5)x3. 求出本征函数的本征值.1.11 对于三维⽆限深正⽅形势阱中粒⼦, 若三个量⼦数平⽅和等于9, 简并度是多少?1.12 利⽤结构化学原理,分析并回答下列问题:纳⽶粒⼦属于介观粒⼦,有些性质与宏观和微观粒⼦都有所不同. 不过,借⽤⽆限深势阱中粒⼦模型,对纳⽶材料中的“量⼦尺⼨效应”还是可以作⼀些定性解释.例如: 为什么半导体中的窄能隙(<3eV)在纳⽶颗粒中会变宽, 甚⾄连纳⽶Ag也会成为绝缘体?第⼆章原⼦结构2.1 选择题(1) 对s、p、d、f 原⼦轨道进⾏反演操作,可以看出它们的对称性分别是(A) u, g, u, g (B) g, u, g,u (C) g, g, g, g(2) H原⼦的电离能为13.6 eV, He+的电离能为(A) 13.6 eV (B) 54.4 eV (C) 27.2 eV(3) 原⼦的轨道⾓动量绝对值为2 (B) (C) l(A) l(l+1)(4) p2组态的原⼦光谱项为(A) 1D、3P、1S (B) 3D、1P、3S (C) 3D、3P、1D(5) Hund规则适⽤于下列哪种情况(A) 求出激发组态下的能量最低谱项(B) 求出基组态下的基谱项(C) 在基组态下为谱项的能量排序(6) 配位化合物中d→d跃迁⼀般都很弱,因为这种跃迁属于:(A) g←/→g (B) g←→u (C)u←/→u(7) Cl原⼦基态的光谱项为2P,其能量最低的光谱⽀项为(A) 2P3/2 (B) 2P1/2 (C) 2P02.2 辨析下列概念,注意它们的相互联系和区别:(1) 复波函数与实波函数(2) 轨道与电⼦云(3) 轨道的位相与电荷的正负(4) 径向密度函数与径向分布函数(5)原⼦轨道的⾓度分布图与界⾯图(6)空间波函数、⾃旋波函数与⾃旋-轨道(7)⾃旋-轨道与Slater⾏列式(8)组态与状态2.3 请找出下列叙述中可能包含着的错误,并加以改正:原⼦轨道(AO)是原⼦中的单电⼦波函数,它描述了电⼦运动的确切轨迹. 原⼦轨道的正、负号分别代表正、负电荷. 原⼦轨道的绝对值平⽅就是化学中⼴为使⽤的“电⼦云”概念,即⼏率密度. 若将原⼦轨道乘以任意常数C,电⼦在每⼀点出现的可能性就增⼤到原来的C2倍.2.4(1) 计算节⾯对应的θ;(2) 计算极⼤值对应的θ;(3) 在yz平⾯上画出波函数⾓度分布图的剖⾯, 绕z轴旋转⼀周即成波函数⾓度分布图. 对照下列所⽰的轨道界⾯图, 从物理意义和图形特征来说明⼆者的相似与相异.2.5 氢原⼦基态的波函数为试计算1/r的平均值,进⽽计算势能平均值, 验证下列关系:= 2E= -2此即量⼦⼒学维⾥定理,适⽤于库仑作⽤下达到平衡的粒⼦体系 (氢原⼦基态只有⼀个1s电⼦,其能量等于体系的能量) 的定态, 对单电⼦原⼦和多电⼦原⼦具有相同的形式.2.6 R. Mulliken⽤原⼦中电⼦的电离能与电⼦亲合能的平均值来定义元素电负性. 试从原⼦中电⼦最⾼占有轨道(HOMO)和最低空轨道(LUMO)的⾓度想⼀想,这种定义有什么道理?2.7 原⼦中电⼦的电离能与电⼦亲合能之差值的⼀半, 可以作为元素化学硬度的⼀种量度(硬度较⼤的原⼦,其极化率较低). 根据这种定义,化学硬度较⼤的原⼦,其HOMO与LUMO之间的能隙应当较⼤还是较⼩?2.8 将2p+1与2p-1线性组合得到的2p x与2p y, 是否还有确定的能量和轨道⾓动量z分量?为什么?2.9 原⼦的轨道⾓动量为什么永远不会与外磁场⽅向z重合, ⽽是形成⼀定⼤⼩的夹⾓? 计算f轨道与z轴的所有可能的夹⾓. 为什么每种夹⾓对应于⼀个锥⾯, ⽽不是⼀个确定的⽅向?2.10 快速求出P原⼦的基谱项.2.11 Ni2+的电⼦组态为d8, 试⽤M L表⽅法写出它的所有谱项, 并确定基谱项.原⼦光谱表明, 除基谱项外, 其余谱项的能级顺序是1D<3P<1G<1S, 你是否能⽤Hund规则预料到这个结果?2.12 d n组态产⽣的谱项, 其宇称与电⼦数n⽆关, ⽽p n组态产⽣的谱项, 其宇称与电⼦数n有关. 为什么?2.13 试写出闭壳层原⼦Be的Slater⾏列式.2.14 Pauli原理适⽤于玻⾊⼦和费⽶⼦, 为什么说Pauli不相容原理只适⽤于费⽶⼦?第三章双原⼦分⼦结构与化学键理论3.1 选择题(1) ⽤线性变分法求出的分⼦基态能量⽐起基态真实能量,只可能(A) 更⾼或相等 (B) 更低 (C) 相等(2) N2、O2、F2的键长递增是因为(A) 核外电⼦数依次减少 (B) 键级依次增⼤ (C) 净成键电⼦数依次减少(3) 下列哪⼀条属于所谓的“成键三原则”之⼀:(A) 原⼦半径相似 (B) 对称性匹配 (C) 电负性相似(4) 下列哪种说法是正确的(A) 原⼦轨道只能以同号重叠组成分⼦轨道(B) 原⼦轨道以异号重叠组成⾮键分⼦轨道(C) 原⼦轨道可以按同号重叠或异号重叠,分别组成成键或反键轨道(5) 氧的O2+ , O2, O2- , O22-对应于下列哪种键级顺序(A) 2.5, 2.0, 1.5, 1.0(B) 1.0, 1.5, 2.0, 2.5(C) 2.5, 1.5, 1.0 2.0(6) 下列哪些分⼦或分⼦离⼦具有顺磁性(A) O2、NO (B) N22(C) O22+、NO+(7) B2和C2中的共价键分别是(A)π1+π1,π+π(B)π+π,π1+π1(C)σ+π,σ3.2 MO与VB理论在解释共价键的饱和性和⽅向性上都取得了很⼤的成功, 但两种理论各有特⾊. 试指出它们各⾃的要点 (若将两种理论各⾃作⼀些改进, 其结果会彼此接近).3.3 考察共价键的形成时, 为什么先考虑原⼦轨道形成分⼦轨道, 再填充电⼦形成分⼦轨道上的电⼦云, ⽽不直接⽤原⼦轨道上的电⼦云叠加来形成分⼦轨道上的电⼦云? 3.4 “成键轨道的对称性总是g, 反键轨道的对称性总是u”. 这种说法对不对? 为什么?3.5 ⼀般地说, π键要⽐σ键弱⼀些. 但在任何情况下都是如此吗? 请举实例来说明.作为配位体形成配合物时, 通常以2σg电⼦对去进⾏端基配位(即N ≡3.6 N2N→), ⽽不以1πu电⼦对去进⾏侧基配位。
一、是非题1. “波函数平方有物理意义, 但波函数本身是没有物理意义的”。
对否 解:不对2. 有人认为,中子是相距为10-13 cm 的质子和电子依靠库仑力结合而成的。
试用测不准关系判断该模型是否合理。
解:库仑吸引势能大大地小于电子的动能, 这意味着仅靠库仑力是无法将电子与质子结合成为中子的,这个模型是不正确的。
二、选择题1. 一组正交、归一的波函数123,,,ψψψ。
正交性的数学表达式为 a ,归一性的表达式为 b 。
()0,()1i i i i a d i jb ψψτψψ**=≠=⎰⎰2. 列哪些算符是线性算符------------------------------------------------------ (A, B, C, E )(A) dxd(B) ∇2 (C) 用常数乘 (D) (E) 积分3. 下列算符哪些可以对易-------------------------------------------- (A, B, D )(A) xˆ 和 y ˆ (B) x∂∂和y ∂∂ (C) ˆx p和x ˆ (D) ˆx p 和y ˆ 4. 下列函数中 (A) cos kx (B) e -bx(C) e -ikx(D) 2e kx -(1) 哪些是dxd的本征函数;-------------------------------- (B, C ) (2) 哪些是的22dx d 本征函数;-------------------------------------- (A, B, C )(3) 哪些是22dx d 和dxd的共同本征函数。
------------------------------ (B, C )5. 关于光电效应,下列叙述正确的是:(可多选) ------------------(C,D )(A)光电流大小与入射光子能量成正比 (B)光电流大小与入射光子频率成正比 (C)光电流大小与入射光强度成正比 (D)入射光子能量越大,则光电子的动能越大6. 提出实物粒子也有波粒二象性的科学家是:------------------------------( A )(A) de Bröglie (B) A.Einstein (C) W. Heisenberg (D) E. Schrödinger7. 首先提出微观粒子的运动满足测不准原理的科学家是:--------------( C )(A) 薛定谔 (B) 狄拉克 (C) 海森堡 (D) 波恩 8. 下列哪几点是属于量子力学的基本假设(多重选择):---------------( AB)(A)电子自旋(保里原理) (B)微观粒子运动的可测量的物理量可用线性厄米算符表征 (C)描写微观粒子运动的波函数必须是正交归一化的 (D)微观体系的力学量总是测不准的,所以满足测不准原理9. 描述微观粒子体系运动的薛定谔方程是:------------------------------( D ) (A) 由经典的驻波方程推得 (B) 由光的电磁波方程推得(C) 由经典的弦振动方程导出 (D) 量子力学的一个基本假设三、填空题:1. 1927年戴维逊和革未的电子衍射实验证明了实物粒子也具有波动性。
一、简答题(1——8题,每题5分,共40分)1. 用球坐标表示,粒子波函数表为()ϕθψ,,r 。
写出粒子在),(ϕθ方向的立体角Ωd 中且半径在a r <<0范围内被测到的几率。
解:()⎰Ω=adrr r d P 022,,ϕθψ。
2. 写出三维无限深势阱⎩⎨⎧∞<<<<<<=其余区域,0,0,0,0),,(cz b y a x z y x V中粒子的能级和波函数。
解:能量本征值和本征波函数为⎪⎪⎭⎫ ⎝⎛=++222222222c n b n a n mE z yx n n n zy x π ,,3,2,1,00,0,0,sin sin sin 8),,(=⎪⎩⎪⎨⎧<<<<<<=n c z b y a x czn b y n a x n abc z y x z y x n n n z y x 其余区域πππψ3. 量子力学中,一个力学量Q 守恒的条件是什么?用式子表示。
解:有两个条件:0],[,0==∂∂H Q t Q。
4.)(z L L ,2 的共同本征函数是什么?相应的本征值又分别是什么?解:()zL L,2的共同本征函数是球谐函数),(ϕθlmY。
),(),(,),()1(),(22ϕθϕθϕθϕθlm lm z lm lm Y m Y L Y l l Y L =+=。
5. 量子力学中,体系的任意态)(x ψ可用一组力学量完全集的共同本征态)(x n ψ展开:∑=nn n x c x )()(ψψ,写出展开式系数n c 的表达式。
解: ()dxx x x x c n n n ⎰==)()()(,)(*ψψψψ。
6. 一个电子运动的旋量波函数为()()()⎪⎪⎭⎫ ⎝⎛-=2,2,,r r s r z ψψψ,写出表示电子自旋向上、位置在r处的几率密度表达式,以及表示电子自旋向下的几率的表达式。
解:电子自旋向上(2 =z s )、位置在r 处的几率密度为()22/, r ψ;电子自旋向下(2 -=z s )的几率为()232/,⎰-r r d ψ。
一.微观粒子的波粒二象性1、在温度下T=0k 附近,钠的价电子能量约为3电子伏特,求其德布罗意波长。
2、求与下列各粒子相关的德布罗意波长。
(1)能量为100电子伏特的自由电子;(2)能量为0.1电子伏特的自由中子;(3)能量为0.1电子伏特,质量为1克的自由粒子; (4)温度T=1k 时,具有动能kTE 23=的氦原子,其中k 为玻尔兹曼常数。
3、若电子和中子的德布罗意波长等于oA 1,试求它们的速度、动量和动能。
4、两个光子在一定条件下可以转化为正负电子对,如果两电子的能量相等,问要实现这种转化,光子的波长最大是多少?5、设一电子为电势差U 所加速,最后打在靶上,若电子的动能转化为一光子,求当这光子相应的光波波长分别为5000oA (可见光)o A 1(x 射线),oA001.0(γ射线)时,加速电子所需的电势差各是多少?二.波函数与薛定谔方程1、设粒子的归一化波函数为 ),,(z y x ϕ,求 (1)在),(dx xx +范围内找到粒子的几率;(2)在),(21y y 范围内找到粒子的几率; (3)在),(21x x 及),(21z z 范围内找到粒子的几率。
2、设粒子的归一化波函数为 ),,(ϕθψr ,求:(1)在球壳),(dr rr +内找到粒子的几率;(2)在),(ϕθ方向的立体角Ωd 内找到粒子的几率; 3、下列波函数所描述的状态是否为定态?为什么?(1)Eti ix Eti ix ex ex t x---+=ψ)()(),(211ψψ[])()(21x x ψψ≠(2)tE i t E i ex ex t x 21)()(),(2--+=ψψψ)(21E E ≠(3)EtiEti ex ex t x)()(),(3ψψ+=ψ-4、对于一维粒子,设 xp i o e xπψ21)0,(=,求 ),(t x ψ。
5、证明在定态中,几率密度和几率流密度均与时间无关。
6、由下列两个定态波函数计算几率流密度。
30道量子力学知识选择题和答案1. 关于量子态,以下说法正确的是()A. 量子态是可连续变化的B. 量子态是离散的答案:B2. 量子叠加原理是指()A. 多个量子态可以同时存在B. 量子态只能有一个答案:A3. 量子纠缠现象说明了()A. 量子之间存在相互作用B. 量子之间存在非定域性关联答案:B4. 在量子力学中,测量会导致()A. 量子态的改变B. 量子态的保持不变答案:A5. 关于波函数,以下说法正确的是()A. 描述了量子系统的状态B. 是一个实数函数答案:A6. 海森堡不确定性原理涉及到哪两个物理量的不确定性()A. 位置和动量B. 能量和时间答案:A7. 量子力学中的算符表示()A. 物理量B. 对量子态的操作答案:B8. 泡利不相容原理适用于()A. 电子B. 所有费米子答案:B9. 以下哪种现象与量子力学有关()A. 黑体辐射B. 光电效应答案:B10. 在量子力学中,能量的量子化表现为()A. 能量只能取特定的值B. 能量可以连续变化答案:A11. 关于量子隧道效应,以下说法正确的是()A. 粒子可以穿过势垒B. 粒子不能穿过势垒答案:A12. 量子力学中的可观测量对应的是()A. 厄米算符B. 非厄米算符答案:A13. 狄拉克方程描述的是()A. 电子的运动B. 所有粒子的运动答案:B14. 关于量子力学的诠释,以下说法正确的是()A. 只有一种诠释是正确的B. 有多种诠释,且都有实验支持答案:B15. 量子力学中的全同粒子()A. 是完全相同的B. 可以区分答案:A16. 关于量子力学的基本假设,以下说法错误的是()A. 物理量都可以用实数来描述B. 量子态的演化是确定性的答案:AB17. 量子力学中的概率幅表示()A. 概率的大小B. 概率的相位答案:B18. 以下哪种实验验证了量子力学的基本原理()A. 双缝干涉实验B. 迈克尔逊-莫雷实验答案:A19. 量子力学中的守恒量对应的是()A. 不变的物理量B. 随时间变化的物理量答案:A20. 关于量子力学中的对称性,以下说法正确的是()A. 存在多种对称性B. 对称性与物理规律无关答案:A21. 量子力学中的密度算符描述的是()A. 量子系统的概率分布B. 量子系统的能量分布答案:A22. 以下哪种量子系统具有简并性()A. 氢原子B. 自由粒子答案:A23. 量子力学中的散射理论主要研究()A. 粒子的碰撞过程B. 粒子的传播过程答案:A24. 关于量子力学中的表象,以下说法正确的是()A. 有多种表象可以选择B. 表象是唯一确定的答案:A25. 量子力学中的时间演化算符描述的是()A. 量子态随时间的变化B. 物理量随时间的变化答案:A26. 以下哪种量子系统的能级是分立的()A. 谐振子B. 自由电子答案:A27. 量子力学中的角动量算符具有()A. 分立的本征值B. 连续的本征值答案:A28. 关于量子力学中的路径积分表述,以下说法正确的是()A. 是一种量子力学的表述方式B. 与薛定谔方程等价答案:AB29. 量子力学中的对称性破缺会导致()A. 新的物理现象B. 物理规律的改变答案:A30. 以下哪种量子系统的波函数可以用球谐函数来描述()A. 氢原子B. 原子核答案:A。
第一章测试1.量子力学只适应于()A:微观客体B:宏观物体和微观客体C:宏观物体D:低速微观客体答案:D2.物体辐射总能量及能量按波长分布都决定于温度。
A:对B:错答案:A3.戴维逊和革末所做的电子衍射实验证明电子具有粒子性。
A:错B:对答案:A4.微观粒子具有波粒二象性。
A:错B:对答案:B5.康普顿散射实验证明()A:电子具有粒子性B:电子具有波动性C:光具有粒子性D:光具有波动性答案:C6.()提出的光量子概念可以成功地解释光电效应。
A:普朗克B:玻尔C:波恩D:爱因斯坦答案:D7.能量为0.1eV的自由中子的德布罗意波长为()A:1.23 ÅB:0.17 ÅC:0.92ÅD:12.6 Å答案:A8.普朗克在解决黑体辐射时提出了()A:自旋假设B:光量子假设C:能量子假设D:定态假设答案:B9.1900年12月,()发表了他关于黑体辐射能量密度的研究结果,提出原子振动能量假设,第一个揭示了微观粒子运动的特殊规律:能量不连续。
A:爱因斯坦B:康普顿C:波尔D:普朗克答案:D10.玻尔理论不仅能解释氢原子光谱问题,也能解释多电子的原子光谱问题A:错B:对答案:A第二章测试1.算符A本征态是指()A:一个确定的状态B:算符A为厄米算符C:在该态上多次测量力学量A有唯一确定值D:在该态上测量力学量A没有确定值答案:C2.波函数和体系状态的关系是()A:只有定态波函数才能唯一确定体系状态B:因不确定相因子的影响,波函数不能完全确定体系状态C:波函数完全确定体系状态D:因不确定常数因子的影响,波函数不能完全确定体系状态答案:C3.波函数确定则()A:波函数与力学量取值无关B:只有体系能量完全确定C:所有力学量的取值概率完全确定D:某些力学量的取值可以完全确定答案:C4.可测量的物理量在量子力学中可以用厄密算符表示,原因是()A:厄密算符的本征值取值概率一定B:厄米算符作用在波函数上得到复数乘以该波函数C:厄米算符是幺正算符D:厄密算符的本征值都是实数答案:D5.定态是指A:B:C:D:答案:A6.A:错B:对答案:B7.A:错B:对答案:B8.A:错B:对答案:B9.A:错B:对答案:B10.系统处于定态势,任何力学量的平均值都不随时间变化。
兰州大学2010 ~ 2011学年 第 2 学期 期中考试试卷
一、简答题(每小题5分,共6题) 1、写出德布罗意关系式并简述其意义。
2、线性厄密算符的本征值与本征函数有哪些性质?
3、什么样的状态是定态?其性质是什么?
4、给出如下对易关系:
?]ˆ,ˆ[2
=x p x
,
?]ˆ,ˆ[=y
x L L
5、简述测不准关系的主要内容,并写出坐标x ˆ和动量x
P ˆ之间的测不准关系。
6、写出量子力学的五大基本原理。
二、计算题(共5题)
1.(15分) 求在一维势场a
x a x x x U ≤≤><⎩⎨⎧∞
=0,00
)(中运动的粒子的能级和
本征函数。
2.(15分) 在0=t 时刻,氢原子处于状态
⎥⎦
⎤⎢
⎣
⎡+
+
=ψ)(21
)(3
1)(2
1)0,(321r r r C r
ψψψ
式中,)(r n
ψ
为氢原子的第n 个能量本征态。
计算t=0时能量的取值
几率与平均值,写出0>t 时的波函数。
3.(10分)已知粒子处于如下状态
)
,(3
2),(3
12111ϕθϕθψY Y +
=
试问: (1)Ψ是否是 2
L
的本征态?
(2)Ψ是否是z
L 的本征态? (3)求2L 的平均值;
(4)在 Ψ 态中分别测量2L 和z
L 时得到的可能值及 其相应的几率。
第1页。