上海应用技术学院-《线性代数A》期末复习题及答案
- 格式:pdf
- 大小:1.46 MB
- 文档页数:9
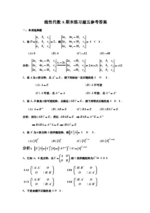
线性代数期末复习题及参考答案复习题之判断题(√)1. 若行列式的每一行元素之和全为零,则行列式的值等于零. ( )2. 设A ,B 为n 阶矩阵,则22))((B A B A B A −=−+. (√)3. 方阵A 可逆的充要条件是A E ~.( )4. 若n 阶矩阵A 相似于对角矩阵,则A 必有n 个互不相同的特征值. (√)5. 二次型222123123(,,)4f x x x x x x =++是正定二次型. (√ )6. 若B A 、为n 阶方阵,则AB BA =. ( )7. 设A 为任意n 阶矩阵,则A —A T 为对称阵. ( )8. 若n 阶矩阵A 能对角化, 则A 必有n 个不同的特征值. (√)9. 实对称矩阵A 对应不同特征值的特征向量必正交. (√)10. 设AB=0,若A 为列满秩矩阵,则B=0.( )11. 对于任何矩阵Amxn ,不能经过有限次初等列变换把它变为列阶梯形矩阵和列最简形矩阵.( )12. 奇排列变成标准排列的对换次数为偶数.( )13. 在秩是r 的矩阵中,存在等于0的r-1阶子式,但是不存在等于0的r+1阶子式.复习题之填空题1.设向量()1,0,3,Tαλ=−,()4,2,0,1Tβ=−−,若α与β正交,则λ= - 4 . 2. 当A 为任意的n 阶矩阵时,下列矩阵A A T +;T A A −;T AA ;A A T 中, 对称矩阵是T T T A A AA A A +,,,反对称矩阵是T A A −. 3. 设00B A C⎛⎫=⎪⎝⎭,B ,C 均为可逆矩阵,则1A −=1100C B−−⎛⎫⎪⎝⎭.4.设A 是n 阶矩阵(2n ≥),且A 的行列式det 2A =, 则它的伴随矩阵*A 的行列式*det A =12n −5.矩阵⎪⎪⎪⎭⎫⎝⎛−−−=466353331A 的所有特征值之和等于0.6. 设,A B 为n 阶对称矩阵,则AB 是对称矩阵的充分必要条件AB=BA.7.设向量11,,0,132Tα⎛⎫=−− ⎪⎝⎭,()3,2,1,1T β=−−,则α与β的内积为 1 .8.设方阵A 满足2240A A E −+=,且A E +可逆,则1()A E −+=37A E−−. 9. 设n 阶矩阵A 的伴随矩阵为*A ,若0A =,则*A =0.10.设向量()1,2,0,1T α=−,()3,1,1,2Tβ=−−,则α与β的内积为 -1 . 11.设方阵A 满足220A A E −−=,且A 可逆,则1A −=2A E−.12.矩阵⎪⎪⎪⎭⎫ ⎝⎛−−−=269643932A 的所有特征值之和等于0 .13.2103111113423122−−−−的代数余子式之和31323334-2A A A A ++= -33 ___ .14. 设n 阶矩阵A 满足0322=+−E A A ,则()12−−E A=3A −15. 若4阶方阵A 的行列式A =3, *A 是A 的伴随矩阵,则*A = 27 ___ . 16 向量α=()1,1,1,5T−−−与()4,2,1,Tβλ=−−正交,则λ=-1.17. 二次型2221231231223(,,)4324f x x x x x x x x x x =−+−+−对应的对称矩阵是110142023A −⎛⎫ ⎪=− ⎪ ⎪−−⎝⎭_________________.18.3023111110560122−−−−−的代数余子式之和31323334A A A A +++= 0 .19. 设n 阶矩阵A 满足02A 2=−−E A ,则1)3(A −−E =2A E +−.20. 设A 是4阶方阵,4A =−,则*A =-64.21. 向量(2,2,3),(3,3,)T T t αβ=−=−−与正交,则t = 0 .22. 二次型22123131223(,,)224f x x x x x x x x x =++−对应的对称矩阵是110102022A ⎛⎫ ⎪=− ⎪ ⎪−⎝⎭.复习题之计算题1a .设3111131111311113A ⎛⎫⎪⎪= ⎪ ⎪⎝⎭, 122212221B ⎛⎫ ⎪=− ⎪ ⎪−⎝⎭.(1)计算矩阵A 的行列式.(2)求矩阵B 的逆. 1a.(1)解:=D 31111311113111136111631161316113=11111311611311113=11110200600200002==48.(2).解:()122100************A E ⎛⎫ ⎪=− ⎪ ⎪−⎝⎭122100036210063201⎛⎫⎪→−−− ⎪ ⎪−−−⎝⎭122100036210009221⎛⎫ ⎪→−−− ⎪ ⎪−⎝⎭12211021012033221001999⎛⎫ ⎪⎪→− ⎪⎪ ⎪−⎝⎭122100999212010999221001999⎛⎫⎪ ⎪→− ⎪ ⎪ ⎪−⎝⎭ 从而有112212129221A −⎛⎫ ⎪=− ⎪ ⎪−⎝⎭。
A卷2019-2020-1《线性代数》期末试卷(A)答案及评分标准《线性代数》期末试卷答案(32学时必修)专业班级姓名学号开课系室应用数学系考试日期 2016年1月15日题号一二三四五六七总分本题满分15 15 21 16 12 14 7本题得分阅卷人注意事项:1.请用黑色或蓝色笔在试卷正面答题(请勿用铅笔答题),反面及附页可作草稿纸;2.答题时请注意书写清楚,保持卷面清洁;3.本试卷共七道大题,满分100分;试卷本请勿撕开,否则作废;4. 本试卷正文共7页。
说明:试卷中的字母E 表示单位矩阵;*A 表示矩阵A 的伴随矩阵;)(A R 表示矩阵A 的秩;1-A 表示可逆矩阵A 的逆矩阵.一、填空题(请从下面6个题目中任选5个小题,每小题3分;若6个题目都做,按照前面5个题目给分)1.5阶行列式中,项4513523124a a a a a 前面的符号为【 负 】.2.设1352413120101311--=D ,)4,3,2,1(4=i A i 是D 的第4行元素的代数余子式,则4443424122A A A A +-+ 等于【 0 】.3.设102020103B ⎛⎫ ⎪= ⎪ ⎪-⎝⎭,A 为34⨯矩阵,且()2A =R ,则()AB =R 【 2 】.4.若向量组123(1,1,0),(1,3,1),(5,3,)t ==-=ααα线性相关,则=t 【 1 】.5.设A 是3阶实的对称矩阵,⎪⎪⎪⎭⎫ ⎝⎛-=1m m α是线性方程组0=Ax 的解,⎪⎪⎪⎭⎫⎝⎛-=m m 11β是线性方程组0)(=+x E A 的解,则常数=m 【 1 】.6.设A 和B 是3阶方阵,A 的3个特征值分别为0,3,3-,若AB B E =+,则行列式=+-|2|1E B 【 -8 】.二、选择题(共5个小题,每小题3分)1. 设A 为3阶矩阵,且21||=A ,则行列式|2|*-A 等于【 A 】.(A) 2-; (B) 21-; (C) 1-; (D) 2.2. 矩阵110120001⎛⎫ ⎪⎪ ⎪⎝⎭的逆矩阵为【 A 】.(A) 210110001-⎛⎫ ⎪- ⎪ ⎪⎝⎭; (B)210110001⎛⎫⎪ ⎪ ⎪⎝⎭; (C) 110120001-⎛⎫ ⎪- ⎪ ⎪⎝⎭; (D) 110110001⎛⎫⎪ ⎪ ⎪⎝⎭.3.设A 是n 阶非零矩阵,满足2A A =,若A E ≠,则【 A 】.(A) ||0A =; (B) ||1A =; (C) A 可逆; (D) A 满秩.4. 设300300026,110,001342A B ⎛⎫⎛⎫⎪ ⎪==- ⎪ ⎪⎪ ⎪--⎝⎭⎝⎭1-=AB C ,则1C -的第3行第1列的元素为【D 】.(A) 4; (B) 8; (C) 0; (D) 1-.5.设323121232221321222222),,(x ax x ax x ax x x x x x x f +++++=,a 是使二次型),,(321x x x f 正定的正整数,则必有【 B 】.(A) 2=a ; (B) 1=a ; (C) 3=a ; (D) 以上选项都不对.三、求解下列各题(共3小题,每小题7分)1. 若,,αβγ线性无关,2,αβ+2k βγ+,3βγ+线性相关,求k . 解:因为2,αβ+2k βγ+与3βγ+线性相关,所以必定存在不全为零的数321,,λλλ,使得0=3+++2+2+321)()()(γβλγβλβαλk ----------2分 整理得:0=3+++2+2+323211γλλβλλλαλ)()(k 由于,,αβγ线性无关,因此可得=3+0=+2+20=323211λλλλλλk 由于321,,λλλ不全为零,即上述齐次线性方程组有非零解,因此0=30122001k ,由此得k = 6. ----------7分 2. 设()011201-⎪⎪⎪⎭⎫ ⎝⎛=A ,⎪⎪⎪⎭⎫ ⎝⎛--=03112211a B ,若2)(=+B AB R ,求a .解:由2)(=+B AB R 可知0=+B AB ,由此可得 0=+B E A又 02=122010012=+≠--E A----------2分因此 0=B因此可得 5=-a . ----------7分3. 设矩阵2001000240021603,A a B t -⎛⎫⎛⎫ ⎪ ⎪==- ⎪ ⎪ ⎪ ⎪⎝⎭⎝⎭,且,A B 相似,求a 与t 的值.解:由,A B 相似可知,A B 的特征值相同,而易知B 的特征值为 -1,t ,3,因此A 的特征值也为 -1,t ,3 利用特征值的性质可得21132(4)3t a t a ++=-++⎧⎨-=-⎩ ----------5分 解得12a t ==,. ----------7分四、(共2小题,每小题8分)1.求向量组123410311301,,,217242140⎛⎫⎛⎫⎛⎫⎛⎫ ⎪ ⎪ ⎪ ⎪-- ⎪ ⎪ ⎪ ⎪==== ⎪ ⎪ ⎪ ⎪ ⎪ ⎪ ⎪ ⎪⎝⎭⎝⎭⎝⎭⎝⎭αααα的一个最大无关组,并将其余向量用这一最大无关组表示出来.解:令()123410311301,,,217242140A αααα⎛⎫ ⎪--⎪== ⎪ ⎪⎝⎭, 把A 进行行变换,化为行最简形, ()123410300110~00010000A C ββββ⎛⎫⎪⎪== ⎪⎪⎝⎭----------6分则421,,βββ是C 的列向量组的一个最大无关组,且421303ββββ++=, 故421,,ααα是A 的列向量组的一个最大无关组,且421303αααα++=.----------8分2. 问a 满足什么条件,才能使得21403003A a ⎛⎫ ⎪= ⎪ ⎪⎝⎭共有两个线性无关的特征向量?解:由0=30030412=λλλλ----a E A ,得A 的特征值:3==2=321λλλ, 要使A 有两个线性无关的特征向量,则特征值3对应一个线性无关的特征向量, 即0=)3(x E A -的解空间的维数为1,则2=)3(E A R -, ----------6分而114300000A E a -⎛⎫⎪-= ⎪ ⎪⎝⎭,因此可知0≠a . ----------8分五、问λ为何值时,线性方程组13123123,4226423x x x x x x x x +=⎧⎪++=+⎨⎪++=+⎩λλλ无解,有无穷多解,并在有无穷多解时求出其通解.解:记方程组的增广矩阵为,则101412261423B ⎛⎫ ⎪=+ ⎪ ⎪+⎝⎭λλλ,对其进行行变换,化为行阶梯形:101012320001B λλλ⎛⎫ ⎪→--+ ⎪ ⎪-+⎝⎭,易知,当1≠λ时,3)(2)(=≠=B R A R ,方程组无解;当1=λ时,2)()(==B R A R ,方程组有无穷多解; ----------6分当1=λ时,101101210000B ⎛⎫⎪→-- ⎪ ⎪⎝⎭,与原方程组同解的方程组为1323121x x x x =-+⎧⎨=-⎩,由此可得原方程组的通解为()123112110x x k k R x -⎛⎫⎛⎫⎛⎫⎪ ⎪ ⎪=+-∈ ⎪ ⎪ ⎪⎪ ⎪ ⎪⎝⎭⎝⎭⎝⎭. ----------12分六、求实二次型32312123222132184444),,(x x x x x x x x x x x x f -+-++=的秩,并求正交变换Py x =,化二次型为标准形.解:记二次型的矩阵为⎪⎪⎪⎭⎫ ⎝⎛----=442442221A ,122~000,000A -⎛⎫⎪ ⎪ ⎪⎝⎭ 故二次型f 的秩为1. ----------4分由0442442221=-------=-λλλλE A ,可得:0,9321===λλλ,当,91=λ求解0)9(=-x E A 的一个基础解系:⎪⎪⎪⎪⎪⎭⎫ ⎝⎛=11-211ξ,单位化:⎪⎪⎪⎪⎪⎪⎪⎭⎫⎝⎛=3232-311p ,当,032==λλ求解0=Ax 的一个基础解系:⎪⎪⎪⎭⎫ ⎝⎛=⎪⎪⎪⎭⎫ ⎝⎛=102-,01232ξξ,正交化:[][]⎪⎪⎪⎪⎪⎪⎪⎭⎫ ⎝⎛==⎪⎪⎪⎭⎫ ⎝⎛==15452--,012222323322ηηηξηξηξη,单位化:⎪⎪⎪⎪⎪⎪⎪⎭⎫ ⎝⎛=⎪⎪⎪⎪⎪⎪⎪⎭⎫ ⎝⎛=⎪⎪⎪⎭⎫ ⎝⎛=3515541552-15452-35,0125132p p , ----------12分令()321p p p P =,则可得正交变换Py x =,二次型的标准形为:232221321009),,(y y y y y y f ++=. ----------14分七、(请从下面2个题目中任选1个,若2个题目都做,按照第1题给分)1. “设A 是n 阶实的反对称矩阵,则对于任何n 维实的列向量α,α和αA 正交,且E A -可逆”.您认为该结论成立吗?请说明理由. 解:该结论成立。
线性代数期末试题及参考答案一、单项选择题<每小题3分,共15分)1.下列矩阵中,<)不是初等矩阵。
<A )001010100 (B>100000010 (C>10002001(D>100012012.设向量组123,,线性无关,则下列向量组中线性无关的是<)。
<A )122331,,<B )1231,,<C )1212,,23<D)2323,,23.设A 为n 阶方阵,且250AA E。
则1(2)A E <)(A> A E (B>EA (C>1()3A E (D>1()3A E 4.设A 为n m 矩阵,则有<)。
<A )若n m,则b Ax 有无穷多解;<B )若n m,则0Ax 有非零解,且基础解系含有m n个线性无关解向量;<C )若A 有n 阶子式不为零,则b Ax 有唯一解;<D )若A 有n 阶子式不为零,则0Ax仅有零解。
5.若n 阶矩阵A ,B 有共同的特征值,且各有n 个线性无关的特征向量,则< )<A )A 与B 相似<B )AB ,但|A-B|=0<C )A=B<D )A 与B 不一定相似,但|A|=|B|二、判断题(正确填T ,错误填F 。
每小题2分,共10分>1.A 是n 阶方阵,R ,则有A A。
< )2.A ,B 是同阶方阵,且0AB ,则111)(A B AB 。
< )3.如果A 与B 等价,则A 的行向量组与B 的行向量组等价。
( >4.若B A,均为n 阶方阵,则当B A 时,B A,一定不相似。
( >5.n 维向量组4321,,,线性相关,则321,,也线性相关。
< )三、填空题<每小题4分,共20分)1.0121n n。
2.A 为3阶矩阵,且满足A3,则1A=______,*3A。
《线性代数》期末考试题及答案一、单项选择题(每小题3分,共24分).1.设行列式1112132122233132331a a a a a a a a a =,则111112132121222331313233234234234a a a a a a a a a a a a --=-( ). A. 6; B. -6; C. 8; D. -8.2.设B A ,都是n 阶矩阵,且0=AB , 则下列一定成立的是( ).A. 0A =或0B =;B. 0A =且0B =;C. 0=A 或0=B ;D. 0=A 且0=B .3.设A ,B 均为n 阶可逆矩阵,则下列各式中不正确...的是( ). A. ()T T T A B A B +=+; B . 111()A B A B ---+=+; C. 111()AB B A ---= ; D. ()T T T AB B A =.4.设12,αα是非齐次线性方程组Ax b =的解,是β对应的齐次方程组0Ax =的解,则Ax b =必有一个解是( ).A .21α+α;B .21α-α;C . 21α+α+β ;D .121122βαα++.5.齐次线性方程组123234 020x x x x x x ++=⎧⎨--=⎩的基础解系所含解向量的个数为( ).A. 1;B. 2;C. 3;D. 4. 6.向量组12,,αα…,s α(2)s ≥线性无关的充分必要条件是( ).A. 12,,αα…,s α都不是零向量;B. 12,,αα…,s α任意两个向量的分量不成比例;C. 12,,αα…,s α每一个向量均不可由其余向量线性表示;D. 12,,αα…,s α至少有一个向量不可由其余向量线性表示. 7.若( ),则A 相似于B .A. A B = ; B . 秩(A )=秩(B );C. A 与B 有相同的特征多项式;D. n 阶矩阵A 与B 有相同的特征值,且n 个特征值各不相同. 8.正定二次型1234(,,,)f x x x x 的矩阵为A ,则( )必成立.A. A 的所有顺序主子式为非负数;B. A 的所有顺序主子式大于零;C. A 的所有特征值为非负数;D. A 的所有特征值互不相同.二、填空题(每小题3分,共18分)1.设3阶矩阵100220333A ⎛⎫ ⎪= ⎪ ⎪⎝⎭,*A 为A 的伴随矩阵,则*A A =_____________.2.1111n⎛⎫⎪⎝⎭=__________________(n 为正整数). 3.设a b A c d ⎛⎫= ⎪⎝⎭,且det()0A ad bc =-≠,则1A -=________________.4.已知4阶方阵A 的秩为2,则秩(*A )=_________________.5.已知向量组123(1,3,1),(0,1,1),(1,4,)a a a k ===线性相关,则k =____________.6.3阶方阵A 的特征值分别为1,-2,3,则1A -的特征值为_________.三、计算题(10分,共44分)1.(7分)计算行列式01231000100001x x a a a a ---2.(7分)设矩阵121348412363A a -⎛⎫ ⎪=- ⎪ ⎪-⎝⎭,问a 为何值时,(1) 秩(A )=1; (2) 秩(A )=2.3.(15分)给定向量组12103a -⎛⎫ ⎪ ⎪ ⎪ ⎪ ⎪⎝⎭=,21324a ⎛⎫⎪- ⎪ ⎪ ⎪ ⎪⎝⎭=,33021a ⎛⎫ ⎪ ⎪ ⎪ ⎪ ⎪-⎝⎭=,40149a ⎛⎫ ⎪- ⎪ ⎪ ⎪ ⎪⎝⎭=,试判断4a 是否为123,,a a a 的线性组合;若是,则求出组合系数4.(15分)λ取何实值时,线性方程组12233414x x x x x x x x λλλλλλλλ-=⎧⎪-=⎪⎨-=⎪⎪-+=⎩有唯一解、无穷多解、无解?在有无穷多解的情况求通解。
线代期末试题及答案一、选择题(每题3分,共30分)1. 在三维向量空间中,以下向量中线性无关的是:A) (1, 0, 0)B) (0, 1, 0)C) (0, 0, 1)D) (1, 1, 1)答案:D2. 设矩阵A = [a b; c d],若行列式det(A) = 0,则以下哪个等式成立?A) ad - bc = 0B) ab - bc = 0C) ac - bd = 0D) ad - bd = 0答案:A3. 给定矩阵A = [1 2 3; 4 5 6; 7 8 9],则A的逆矩阵为:A) [-1/6 -1/3 1/6; -1/6 2/3 -1/6; 1/6 -1/3 1/6]B) [-1 -2 -3; -4 -5 -6; -7 -8 -9]C) [1/6 1/3 -1/6; 1/6 -2/3 1/6; -1/6 1/3 -1/6]D) [1 2 3; 4 5 6; 7 8 9]答案:A4. 给定矩阵A = [2 0; 0 3],B = [1 2; 3 4],则A与B的乘积为:A) [2 4; 6 8]B) [2 0; 0 3]C) [1 2; 9 12]D) [4 6; 6 12]答案:B5. 给定向量a = (1, 2, 3)和b = (4, 5, 6),则a与b的内积为:A) 32B) 22C) 14D) 6答案:C6. 若向量a = (1, 2, 3),b = (4, -2, 5),c = (3, 1, -2),则以下哪个等式成立?A) a × b = cB) b × c = aC) c × a = bD) a × c = b答案:B7. 给定矩阵A = [1 2; 3 4],则A的特征值为:A) 1, 2B) 2, 3C) 3, 4D) 4, 5答案:A8. 设向量a = (1, 2, 3),b = (4, 5, 6),c = (2, 1, 3),则向量集合{a, b, c}的维数为:A) 1B) 2C) 3D) 4答案:C9. 给定矩阵A = [1 2; 3 4],A的转置矩阵为:A) [1 3; 2 4]B) [4 3; 2 1]C) [1 2; 3 4]D) [3 4; 1 2]答案:A10. 设矩阵A = [2 1; 3 4],则A的伴随矩阵为:A) [4 -1; -3 2]B) [2 -1; 3 4]C) [-4 1; 3 -2]D) [-2 1; -3 -4]答案:A二、计算题(共70分)1. 设矩阵A = [1 2; 3 4],求A的逆矩阵。
2 线性代数(必修) A 卷(答案写在答题纸上,写在试题纸上无效)一、填空题(每小题3分,共15分) 1. .已知行列式12121a a b b =,12123a a c c =,则121122a abc b c --=______.2. 设A 为2阶矩阵,且3=A ,则13--A =______.3. 齐次线性方程组123230x x x ++=的基础解系所含解向量的个数为______.4. 设3阶矩阵A 的特征值为-1,0,2,则|A |=______.5. 设向量α=(3,-4)T ,则α的长度||α||=______. 二、选择题(每小题3分,共15分)1. 设a ,b 为实数,且000101abb a -=--,则必有( )(A )a =0,b =0 (B) a =1,b =0 (C) a =0,b =1 (D) a =1,b =1 2. 设4阶矩阵A 的元素均为3,则r(A )= ( )(A )1 (B )2 (C )3 (D ).4 3. 设A 为m ×n 矩阵,A 的秩为r ,则( )A. r =m 时,Ax =0必有非零解B. r =n 时,Ax =0必有非零解C. r <m 时,Ax =0必有非零解D. r <n 时,Ax =0必有非零解 4. 下列命题中错误..的是( ) (A )只含一个零向量的向量组线性相关;(B )由3个2维向量组成的向量组线性相关; (C )由一个非零向量组成的向量组线性相关; (D )两个成比例的向量组成的向量组线性相关5. 若向量α=(1,1,t )与β=(1,1,1)正交,则t =( ) A. 0 B. -1 C. -2 D. 1 三、 计算题(本题60分)1.(10分)计算4阶行列式1234234134124123D =。
课程考试试题学期 学年拟题人:校对人:拟题学院(系): 适 用 专 业:2.(10分)已知矩阵112012435A ⎡⎤⎢⎥=⎢⎥⎢⎥⎣⎦,112210B --⎡⎤=⎢⎥⎣⎦ (1)求1A -;(2)解矩阵方程XA B =。
线性代数试题A答案[大全5篇]第一篇:线性代数试题A答案2006-2007学年第二学期线性代数试题A卷参考答案及评分标准一.填空题(本题满分12分,每小题3分)⎛1-20 0 -25 -111、1;2、-3;3、A=00 3 1 00-3⎝0⎫⎪0⎪2⎪;4、2 ⎪3⎪1⎪⎪3⎭二、选择题(本题满分12分,每小题3分,.在每小题给出的四个选项中,只有一项是符合题目要求的,把所选项前的字母填在题后的括号内)1.C;2.C;3.A;4、B 三.计算行列式(本题满分6分)解 1 10Dn=001-110010Λ00-111000-11=100010100200Λ03ΛΛ1Λ00Λ0100Λ00n3-1ΛΛ011ΛΛΛΛΛΛΛΛΛΛΛΛ分Λn-1=n3分解2 10Dn=001-110010Λ00-111000=Dn-1+13分-1ΛΛ011ΛΛΛΛΛΛΛΛ-11=n3分四.(本题满分12分)解:⑴ 由等式A+B=AB,得A+B-AB+E=E,即(A-E)(B-E)=E3分因此矩阵A-E可逆,而且(A-E)=B-E.2分-1⑵ 由⑴知,A-E=(B-E),即A=(B-E)+E-1-1A=(B-E)+E或A=B(B-E)-12分-1⎛0-10-30100⎛⎫⎛⎫⎪⎪1=200⎪+010⎪=-3 001⎪001⎪0⎝⎭⎝⎭⎝⎛1 1=-3 0 ⎝1210⎫0⎪⎪0⎪ 2分⎪2⎪⎪⎭1200⎫0⎪100⎫⎪⎛⎪0⎪+010⎪3分⎪⎪1⎪⎝001⎭⎪⎭五.(本题满分14分)解:110⎤⎡1⎡11⎢01⎥⎢0221⎥→⎢A=⎢⎢0-1a-3-2b⎥⎢0⎢⎥⎢321a-1⎣⎦⎣01110⎤1221⎥⎥4分0a-10b+1⎥⎥00a-10⎦所以,⑴ 当a≠1时,rA=r(A)=4,此时线性方程组有唯一解.2分⑵ 当a=1,b≠-1时,r(A)=2,rA=3,此时线性方程组无解.2分⑶ 当a=1,b=-1时,rA=r(A)=2,此时线性方程组有无穷多组解.2分此时,原线性方程组化为()()()⎧x1+x2+x3+x4=0 ⎨⎩x2+2x3+2x4=1因此,原线性方程组的通解为⎧x1=x3+x4-1⎪x=-2x-2x+1⎪234 ⎨x=x3⎪3⎪x4⎩x4=或者写为⎡x1⎤⎡1⎤⎡1⎤⎡-1⎤⎢x⎥⎢-2⎥⎢-2⎥⎢1⎥2⎢⎥=k⎢⎥+k⎢⎥+⎢⎥4分⎢x3⎥1⎢1⎥2⎢0⎥⎢0⎥⎢⎥⎢⎥⎢⎥⎢⎥⎣0⎦⎣1⎦⎣0⎦⎣x3⎦六.(本题满分12分)3-λ解 A-λE=-101202-λ1=(2-λ)(3-λ),2分03-λ所以得特征值λ1=2,λ2=λ3=32分⎛101⎫⎪对λ1=2,解方程组(A-2E)x=0,由A-2E=-101⎪,得特征向量001⎪⎝⎭⎛0⎫⎪ξ1=1⎪0⎪⎝⎭⎛0⎫⎪所以对应λ1=2的全部特征向量为c1 1⎪,c1≠03分0⎪⎝⎭⎛0 1对λ2=λ3=3,解方程组(A-3E)x=0,由A-3E=-0⎝01⎫1⎛10⎪r 1-1⎪−−→0 0100⎪0 ⎭⎝00⎫⎪⎪,⎪⎭⎛1⎫⎛1⎫⎪⎪得特征向量ξ2=-1⎪,全部特征向量为c2 -1⎪,c2≠03分0⎪0⎪⎝⎭⎝⎭A没有三个线性无关的特征向量,所以不能对角化.2分七.(本题满分12分)⎛1λ解:f的矩阵为A=λ4 -12⎝-1⎫⎪2⎪.…………2分 4⎪⎭因此,二次型f为正定二次型.⇔矩阵A为正定矩阵.⇔矩阵A的各阶顺序主子式全大于零.…………2分而矩阵A的各阶顺序主子式分别为D1=1>0,D2=1λ=4-λ2,…………2分λ41D3=A=λλ-12=-4(λ-1)(λ+2).…………2分 44-12所以,二次型f 为正定二次型.⇔D2=4-λ2>0,且D3=-4(λ-1)(λ+2)>0由 D2=4-λ2>0,得-2<λ<2 .由 D3=-4(λ-1)(λ+2)>0,得-2<λ<1 .因此,得-2<λ<1 .即,二次型f为正定二次型.⇔-2<λ<1…………4分八.(本题满分8分)已知三维向量空间的一组基为α1=(1,1,0),α2=(1,0,1),α3=(0,1,1)求向量β=(2,0,0)在上述基下的坐标.解:设向量β在基(α1,α2,α3)下的坐标为(x1,x2,x3),则有x1α1+x2α2+x3α3=β,2分写成线性方程组的形式,有⎛1⎫⎛1⎫⎛0⎫⎛2⎫⎪⎪⎪⎪x1 1⎪+x2 0⎪+x3 1⎪=0⎪2分 0⎪1⎪1⎪0⎪⎝⎭⎝⎭⎝⎭⎝⎭即⎧x1+x2=2⎪⎨x1+x3=0,⎪x+x=03⎩2得唯一解x1=1,x2=1,x3=-1,3分,1,-1).1分因此所求坐标为(1九.(本题满分12分)证法1:记A=(α1,α2,Λ,αm),B=(α1,α2,Λ,αm,β),显然r(A)≤r(B).1°因为α1,α2,Λ,αm线性无关,知r(A)=m1分2°因为α1,α2,Λ,αm,β线性相关,知r(B)<m+1 1分因此r(B)=m,1分Ax=(α1,α2,Λ,αm)x=b有解且唯一。
线性代数a期末考试题及答案一、选择题(每题5分,共20分)1. 以下哪个矩阵是可逆的?A. 零矩阵B. 单位矩阵C. 对角矩阵D. 奇异矩阵答案:B2. 矩阵的秩是指:A. 矩阵的行数B. 矩阵的列数C. 矩阵中非零行的最大数目D. 矩阵中非零列的最大数目答案:C3. 如果一个矩阵A的行列式为0,则:A. A是可逆的B. A是不可逆的C. A是正定的D. A是负定的答案:B4. 以下哪个选项不是线性方程组解的性质?A. 唯一性B. 存在性C. 零解D. 非零解答案:D二、填空题(每题5分,共20分)1. 矩阵的________是矩阵中所有元素的和。
答案:迹2. 如果一个向量组线性无关,则该向量组的________等于向量的个数。
答案:秩3. 对于一个n阶方阵A,如果存在一个非零向量x使得Ax=0,则称x为矩阵A的________。
答案:零空间4. 一个矩阵的________是指矩阵中所有行向量或列向量的最大线性无关组的个数。
答案:秩三、解答题(每题10分,共60分)1. 已知矩阵A=\[\begin{pmatrix} 1 & 2 \\ 3 & 4 \end{pmatrix}\],求A的行列式。
答案:\[ \text{det}(A) = 1*4 - 2*3 = 4 - 6 = -2 \]2. 设A=\[\begin{pmatrix} 1 & 2 \\ 3 & 4 \end{pmatrix}\],B=\[\begin{pmatrix} 2 & 0 \\ 1 & 3 \end{pmatrix}\],求AB。
答案:\[ AB = \begin{pmatrix} 1*2 + 2*1 & 1*0 + 2*3 \\ 3*2 +4*1 & 3*0 + 4*3 \end{pmatrix} = \begin{pmatrix} 4 & 6 \\ 10 & 12 \end{pmatrix} \]3. 已知矩阵A=\[\begin{pmatrix} 2 & 1 \\ 1 & 2 \end{pmatrix}\],求A的特征值。
《线性代数》期末试卷A答案及评分标准A卷2015—2016学年第一学期《线性代数》期末试卷答案(32学时必修)专业班级姓名学号开课系室应用数学系考试日期 2016年1月15日注意事项:1.请用黑色或蓝色笔在试卷正面答题(请勿用铅笔答题),反面及附页可作草稿纸;2.答题时请注意书写清楚,保持卷面清洁;3.本试卷共七道大题,满分100分;试卷本请勿撕开,否则作废;4. 本试卷正文共7页。
说明:试卷中的字母E 表示单位矩阵;*A 表示矩阵A 的伴随矩阵;)(A R 表示矩阵A 的秩;1-A 表示可逆矩阵A 的逆矩阵.一、填空题(请从下面6个题目中任选5个小题,每小题3分;若6个题目都做,按照前面5个题目给分)1.5阶行列式中,项4513523124a a a a a 前面的符号为【负】.2.设1352413120101311--=D ,)4,3,2,1(4=i A i 是D 的第4行元素的代数余子式,则4443424122A A A A +-+ 等于【 0 】.3.设102020103B ??= ? ?-??,A 为34?矩阵,且()2A =R ,则()AB =R 【 2 】. 4.若向量组123(1,1,0),(1,3,1),(5,3,)t ==-=ααα线性相关,则=t 【 1 】.5.设A 是3阶实的对称矩阵,????? ??-=1m m α是线性方程组0=Ax 的解,-=m m 11β是线性方程组0)(=+x E A 的解,则常数=m 【 1 】.6.设A 和B 是3阶方阵,A 的3个特征值分别为0,3,3-,若AB B E =+,则行列式=+-|2|1E B 【 -8 】.二、选择题(共5个小题,每小题3分)1. 设A 为3阶矩阵,且21||=A ,则行列式|2|*-A 等于【 A 】.(A) 2-; (B) 21-; (C) 1-; (D) 2.2. 矩阵110120001??的逆矩阵为【 A 】.(A) 210110001-?? ?- ? ;(B) 210110001?? ? ? ???; (C) 110120001-??- ? ?;110110001??.3.设A 是n 阶非零矩阵,满足2A A =,若A E ≠,则【 A 】.(A) ||0A =; (B) ||1A =; (C) A 可逆; (D) A 满秩.4. 设300300026,110,001342A B==- ? ?--1-=AB C ,则1C -的第3行第1列的元素为【D 】.(A) 4; (B) 8; (C) 0; (D) 1-.5.设323121232221321222222),,(x ax x ax x ax x x x x x x f +++++=,a 是使二次型),,(321x x x f 正定的正整数,则必有【 B 】.(A) 2=a ; (B) 1=a ; (C) 3=a ; (D) 以上选项都不对.三、求解下列各题(共3小题,每小题7分)1. 若,,αβγ线性无关,2,αβ+2k βγ+,3βγ+线性相关,求k . 解:因为2,αβ+2k βγ+与3βγ+线性相关,所以必定存在不全为零的数321,,λλλ,使得0=3+++2+2+321)()()(γβλγβλβαλk----------2分整理得:0=3+++2+2+323211γλλβλλλαλ)()(k 由于,,αβγ线性无关,因此可得由于321,,λλλ不全为零,即上述齐次线性方程组有非零解,因此0=30122001k ,由此得k = 6. ----------7分 2. 设()011201-????? ??=A ,--=03112211a B ,若2)(=+B AB R ,求a .解:由2)(=+B AB R 可知0=+B AB ,由此可得 0=+B E A又 02=12201012=+≠--E A----------2分因此 0=B因此可得 5=-a . ----------7分3. 设矩阵2001000240021603,A a B t -==- ? ? ? ?????,且,A B 相似,求a 与t 的值.解:由,A B 相似可知,A B 的特征值相同,而易知B 的特征值为 -1,t ,3,因此A 的特征值也为 -1,t ,3 利用特征值的性质可得21132(4)3t a t a ++=-++??-=-?----------5分解得12a t ==,. ----------7分四、(共2小题,每小题8分) 1.求向量组的一个最大无关组,并将其余向量用这一最大无关组表示出来. 解:令()123410311301,,,217242140A αααα?? ?--== ?, 把A 进行行变换,化为行最简形,()123410300110~00010000A C ββββ??== ? ?----------6分则421,,βββ是C 的列向量组的一个最大无关组,且421303ββββ++=,故421,,ααα是A 的列向量组的一个最大无关组,且421303αααα++=.----------8分2. 问a 满足什么条件,才能使得21403003A a ??= ? ???共有两个线性无关的特征向量?解:由0=30030412=λλλλ----a E A ,得A 的特征值:3==2=321λλλ,要使A 有两个线性无关的特征向量,则特征值3对应一个线性无关的特征向量,即0=)3(x E A -的解空间的维数为1,则2=)3(E A R -, ----------6分而114300000A E a -?? ?-= ? ???,因此可知0≠a . ----------8分五、问λ为何值时,线性方程组13123123,4226423x x x x x x x x +=??++=+??++=+?λλλ无解,有无穷多解,并在有无穷多解时求出其通解.解:记方程组的增广矩阵为,则101 412261423B ?? ?=+ ? ?+??λλλ,对其进行行变换,化为行阶梯形:101 012320001B λλλ?? ?→--+ ? ?-+??,易知,当1≠λ时,3)(2)(=≠=B R A R ,方程组无解;当1=λ时,2)()(==B R A R ,方程组有无穷多解; ----------6分当1=λ时,101101210000B ??→-- ? ?,与原方程组同解的方程组为1323121x x x x =-+??=-?,由此可得原方程组的通解为()123112110x x k k R x -=+-∈ ? ? ?. ----------12分六、求实二次型32312123222132184444),,(x x x x x x x x x x x x f -+-++=的秩,并求正交变换Py x =,化二次型为标准形.解:记二次型的矩阵为----=442442221A ,122~000,000A -??故二次型f的秩为----------4分由0442442221=-------=-λλλλE A ,可得:0,9321===λλλ,当,91=λ求解0)9(=-x E A 的一个基础解系:??=11-211ξ,单位化:?=3232-311p ,当,032==λλ求解0=Ax 的一个基础解系:=????? ??=102-,01232ξξ,正交化:[][]==?==15452--,012222323322ηηηξηξηξη,单位化:?===3515541552-15452-35,0125132p p , ----------12分令()321p p p P =,则可得正交变换Py x =,二次型的标准形为:232221321009),,(y y y y y y f ++=. ----------14分七、(请从下面2个题目中任选1个,若2个题目都做,按照第1题给分)1. “设A 是n 阶实的反对称矩阵,则对于任何n 维实的列向量α,α和αA 正交,且E A -可逆”.您认为该结论成立吗?请说明理由. 解:该结论成立。
2011-2012学年第一学期期末考试《线性代数》试卷 (A )评阅人:_____________ 总分人:______________一、单项选择题。
(本大题共10小题,每小题3分,共30分) 1.设1111011x x x xx x++=+,则实数x =A .1 ;B .-1;C .0;D .4. 2.设A 为n 阶方阵,则kA =A .A k n; B. A k ; C. A k ; D. nA k )(. 3.设B A ,均为n 阶矩阵,且AB =O ,则下列命题中一定成立的是( ) A. A =O 或B =O ; B. A ,B 都不可逆;C. A +B =O ;D. A ,B 至少有一个不可逆.4.下列矩阵中与矩阵123218001A ⎛⎫⎪= ⎪ ⎪⎝⎭同秩的矩阵是 A .()456; B.123456⎛⎫⎪⎝⎭; C.12111011⎛⎫ ⎪- ⎪ ⎪⎝⎭; D.122101402⎛⎫ ⎪ ⎪ ⎪⎝⎭. 5.设A 是正交矩阵,则下列结论错误的是( ) A. A 2必为1; B. A 必为1; C. T A A=-1; D. A 的行(列)向量组是正交单位向量组.6.设非齐次线性方程组Ax =b 的导出组为Ax =0,则下列结论中正确的是( )A.若Ax =0仅有零解,则Ax =b 有唯一解;B.若Ax =0有非零解,则Ax =b 有无穷多解;C.若Ax =b 有无穷多解,则Ax =0仅有零解;D.若Ax =b 有唯一解,则Ax =0仅有零解。
__________________系__________专业___________班级 姓名_______________ 学号_______________………………………………(密)………………………………(封)………………………………(线)………………………………27.已知λ=3是可逆矩阵A 的一个特征值,则1-A 有一特征值是( )A.49; B. 94; C. 13; D. 19 .8.设n 维向量α与β满足α,β()=0,则有( )A. α,β 全为零向量;B. α,β中至少有一个是零向量;C. α与β的对应分量成比例;D. α与β 正交. 9.设向量组A 与向量组B 等价,则有( )A. B A R R <B. B A R R >C. B A R R =D. 不能确定A R 和B R 的大小.10.设齐次线性方程组0AX =的系数矩阵A 为m n ⨯矩阵,()()R A s s n =<,则此方程组基础解系的秩为A .m s - ; B. s n - ; C. n s - ; D. m n -.二、填空题。
XXX 学年期末考试试卷《线性代数》期末考试题及详细答案(本科A 、B 试卷)A 卷一、填空题 (将正确答案填在题中横线上。
每小题2分,共10分)。
1、设1D =3512, 2D =345510200,则D =12DD OO=_____________。
2、四阶方阵A B 、,已知A =116,且=B ()1-12A 2A --,则B =_____________。
3、三阶方阵A 的特征值为1,-1,2,且32B=A -5A ,则B 的特征值为_____________。
4、若n 阶方阵A 满足关系式2A -3A-2E O =,若其中E 是单位阵,那么1A -=_____________。
5、设()11,1,1α=,()21,2,3α=,()31,3,t α=线性相关,则t=_____________。
二、单项选择题 (每小题仅有一个正确答案,将正确答案的番号填入下表内,每小题2分,共20分)。
1、若方程13213602214x x xx -+-=---成立,则x 是:课程代码: 适用班级:命题教师:任课教师:(A )-2或3; (B )-3或2; (C )-2或-3; (D )3或2; 2、设A 、B 均为n 阶方阵,则下列正确的公式为: (A )()332233A B+3AB +B A B A +=+; B )()()22A B A+B =A B --; (C )()()2A E=A E A+E --; (D )()222AB =A B ; 3、设A 为可逆n 阶方阵,则()**A=?(A )A E ; (B )A ; (C )nA A ; (D )2n A A -;4、下列矩阵中哪一个是初等矩阵:(A )100002⎛⎫ ⎪⎝⎭; (B )100010011⎛⎫⎪⎪ ⎪⎝⎭; (C )011101001-⎛⎫ ⎪- ⎪ ⎪⎝⎭; (D )010002100⎛⎫⎪- ⎪ ⎪⎝⎭;5、下列命题正确的是:(A )如果有全为零的数1,k 2k 3,,,m k k 使1122m m k k k αααθ+++=,则1,α2α,,m α 线性无关; (B )向量组1,α2α,,m α 若其中有一个向量可由向量组线性表示,则1,α2α,,m α线性相关;(C )向量组1,α2α,,m α 的一个部分组线性相关,则原向量组本身线性相关; (D )向量组1,α2α,,m α线性相关,则每一个向量都可由其余向量线性表示。
线代A期末考试题及答案一、选择题(每题4分,共20分)1. 向量组 \(\alpha_1, \alpha_2, \ldots, \alpha_n\) 线性无关的充分必要条件是:A. 向量组中任意向量不能由其他向量线性表示B. 向量组中任意向量不能由其他向量线性组合得到C. 向量组中任意向量不能由其他向量线性组合得到,且向量组中向量个数等于空间的维数D. 向量组中向量个数等于空间的维数答案:A2. 矩阵 \(A\) 可逆的充分必要条件是:A. \(A\) 的行列式不为零B. \(A\) 的秩等于其行数C. \(A\) 的秩等于其列数D. \(A\) 的秩等于其行数且等于其列数答案:D3. 对于实对称矩阵 \(A\),下列说法正确的是:A. \(A\) 一定可以对角化B. \(A\) 一定可以正交对角化C. \(A\) 的所有特征值都是实数D. \(A\) 的所有特征值都是正数答案:C4. 矩阵 \(A\) 和 \(B\) 相似的充分必要条件是:A. \(A\) 和 \(B\) 有相同的特征多项式B. \(A\) 和 \(B\) 有相同的特征值C. \(A\) 和 \(B\) 有相同的秩D. \(A\) 和 \(B\) 有相同的迹答案:B5. 矩阵 \(A\) 为正定矩阵的充分必要条件是:A. \(A\) 的所有特征值都大于零B. \(A\) 的所有特征值都大于等于零C. 对于任意非零向量 \(x\),都有 \(x^TAx > 0\)D. 对于任意非零向量 \(x\),都有 \(x^TAx \geq 0\)答案:C二、填空题(每题4分,共20分)6. 若向量 \(\alpha = (1, 2, 3)^T\) 和 \(\beta = (4, 5, 6)^T\),则向量 \(\alpha + \beta\) 等于 \(\boxed{(5, 7, 9)^T}\)。
7. 矩阵 \(A = \begin{pmatrix} 1 & 2 \\ 3 & 4 \end{pmatrix}\)的行列式为 \(\boxed{-2}\)。
上海应用技术学院2009—2010学年第一学期《线性代数A 》期(末)(A )试卷课程代码: XXXXXX 学分: 2 考试时间: 100 分钟 课程序号: XXXXXXX 班级: 学号: 姓名:我已阅读了有关的考试规定和纪律要求,愿意在考试中遵守《考场规则》,如有违反将愿接受相应的处理。
试卷共 5 页,请先查看试卷有无缺页,然后答题。
一、填空题(本大题共10小题,每小题3分,共计30分) 1、七阶行列式a a ij =,则-=a ij __________。
2、三阶行列式a a ij =,则a A a A a A 113112321333++=________,其中A ij 是代数余子式。
3、010100001143201120⎛⎝ ⎫⎭⎪⎪⎪=---⎛⎝ ⎫⎭⎪⎪⎪X ,则X =____________________。
4、已知300030003A ⎛⎫⎪= ⎪ ⎪⎝⎭,满足AB A B =+,则B =_______________。
5、设1200210000120011A ⎛⎫⎪⎪= ⎪⎪⎝⎭,则=-1A ____________________。
6、设A 为5阶方阵,且12A =,则()1*3A --=______________。
7、设A 为3阶方阵,且2A =,则1*A A -+=______________。
8、含有零向量的向量组必线性_________(填写相关或无关)。
9、设1(1,0,1)=-α,2(0,2,0)=α,3(2,0,)t =α,则t =_______时,线性相关。
10、n 阶矩阵A 的秩为1n -,则线性方程组AX O =的基础解系中含有______个线性无关的解向量。
二、计算题(本大题共6小题,共计64分)1、计算n 阶行列式12000012000001220001n D =。
(本题10分)2、设有3阶方阵⎪⎪⎪⎭⎫⎝⎛=333222111d c a d c a d c a A ,⎪⎪⎪⎭⎫ ⎝⎛=333222111d c b d c b d c b B ,且已知2=A ,21=B ,求B A +。
线性代数试题 2011-7(A )一.选择及填空 (3’x10)1. 一个三阶行列式D 第二行元素依次为 1, 2,1-, ;而三个余子式4;1;2232221===M M M ,行列式为8,则=D2. 设3332312322211312111a a a a a a a a a =2, 则 232221233322322131131211222a a a a a a a a a a a a a +++= ;3.若三阶行列式 3=A ,则 =--*12A A4.⎪⎪⎭⎫⎝⎛=1011A , =4A5.向量组 ,211⎪⎪⎪⎭⎫ ⎝⎛-=λα,132⎪⎪⎪⎭⎫ ⎝⎛-=a α ,1203⎪⎪⎪⎭⎫ ⎝⎛=α 若向量组的秩为2,则=λ选择6.设 A 为nxs 矩阵, BA 为 rxs 矩阵则, B 为 ( )A. nxsB. nxrC. rxnD. sxn7. 已知n 阶方阵 ⎪⎪⎭⎫⎝⎛=-0101n E A , 则 =A ( )A.n+1,B. n-1C. ()11--n D. ()n1-8. 向量组 :A m ααα.......,21为线性相关的向量组,若在A 组中添加向量β,构成 :Bβααα,.......,21m ,则 ( )A. B 向量组必定线性相关B. B 向量组必定线性无关C. β必定可由A 向量组线性表示D. β必定可由A 向量组线性表示,且表示方式唯一 9. 若A 为n 阶方阵,且 0≠A , 0≠k 为常数,则 ( ) A . A k kA = B. A k kA = C. ()11--=kA kA D. 11--=A A10. 若 21,αα 均为非齐次线性方程组 b x A =的两个解,而其导出齐次方程为0=x A则 ( )A. 21,αα 为0 =x A 的解B. 21αα-为0 =x A 的解 C 21αα+为b x A =的解 D. 21ααk +为b x A =的通解二.计算 (10’x6)1. 计算行列式4222232222222221=D 2. 设⎪⎪⎪⎪⎪⎭⎫ ⎝⎛------------=1111111111111111A , 求 2A 及 12+k A3. 解矩阵方程C B AX =+2其中 ⎪⎪⎪⎭⎫ ⎝⎛-=⎪⎪⎪⎭⎫ ⎝⎛-=⎪⎪⎪⎭⎫ ⎝⎛-=490174,130121,112011111C B A4. 求向量组的最大无关组,并求出剩余向量用最大无关组的线性表示⎪⎪⎪⎪⎪⎭⎫ ⎝⎛-=02111α, ⎪⎪⎪⎪⎪⎭⎫ ⎝⎛=12022α, ⎪⎪⎪⎪⎪⎭⎫ ⎝⎛=22133α, ⎪⎪⎪⎪⎪⎭⎫ ⎝⎛-=16244α5. 求齐次方程的一组基础解向量,并求出通解⎪⎪⎩⎪⎪⎨⎧=+-+=++-=+-=+-04630324020243214321321431x x x x x x x x x x x x x x6. 设非齐次方程 b AX = 有解,其中⎪⎪⎪⎪⎪⎭⎫⎝⎛--=1345621040121111A , ⎪⎪⎪⎪⎪⎭⎫⎝⎛=λ31k b 求 λ,k ,并求出通解。
《线性代数》期末考试卷(2020—2021学年第一学期)一、 单项选择题(每题3分,共18分)1.设A 、B 为n 阶方阵,当( )时,22()()A B A B A B +-=-不成立。
A . A E = B. ,AB 为任意矩阵C . AB BA =D .A B = 2.下列命题正确的是 ( )。
A .如果有全为零的数12,,,n k k k 使得11220n n k k k ααα+++=,则12,,,n ααα线性无关 B. 向量组12,,,n ααα,若其中有一个向量可由该向量组线性表示,则12,,,n ααα线性相关C .向量组12,,,n ααα的一个部分组线性相关,则原向量组线性相关D .向量组12,,,n ααα线性相关,则每一个向量都可由其余向量线性表示3.若方程13213602214x x xx -+-=---,则x =( )。
A. 2-或3B.3-或2C.2-或3-D.2或3 4.设A 是n 阶可逆矩阵,则()**A =( )。
A.n A EB. AC. nA A D. 2n AA -5.设A 为m n ⨯矩阵,则n 元齐次方程组0Ax =有非零解的充分必要条件是( )。
A. A 的行向量组线性相关 B. A 的列向量组线性相关 C. A 的行向量组线性无关 D. A 的列向量组线性无关6.下列( )是初等矩阵。
A.100002⎛⎫ ⎪⎝⎭B. 100010011⎛⎫ ⎪ ⎪ ⎪⎝⎭C. 011101001-⎛⎫ ⎪- ⎪ ⎪⎝⎭D. 010002100⎛⎫⎪- ⎪ ⎪⎝⎭二、 填空题(每题3分,共24分)1. 排列975824361的逆序数为__________。
2. 行列式222111ab c a b c =__________。
3. 设()33ijA a ⨯=,且2A =-,则22112112221323212122222323()()a A a A a A a A a A a A ++++++ 2312132223323()a A a A a A ++=__________。