东北师范大学地理科学学院2019年硕士研究生招生拟录取名单
- 格式:pdf
- 大小:117.86 KB
- 文档页数:3
拟录取专业序号考生编号姓名复试总成绩初试总成绩最终成绩拟录取结果备注课程与教学论1102009211307282程雪202348550拟录取课程与教学论2102009211307273孙月199333532拟录取课程与教学论3102009211307281冯上津192332524拟录取课程与教学论4102009211307261杜欣垚178345523拟录取课程与教学论5102009211307264杨行健185338523拟录取课程与教学论6102009211307271姜宇宏179340519拟录取课程与教学论7106359305044723李道星173352525拟录取调剂课程与教学论106359316154145胡春梅346加试不合格学科教学(物理)1102009211307357陈赵琦209390599拟录取学科教学(物理)2102009211307327林航220373593拟录取学科教学(物理)3102009211307360袁军210374584拟录取学科教学(物理)4102009211307401赵昕211370581拟录取学科教学(物理)5102009211307454郭若男205372577拟录取学科教学(物理)6102009211307460王维202374576拟录取学科教学(物理)7102009211307414王舰203368571拟录取学科教学(物理)8102009211307354张宁宁202368570拟录取学科教学(物理)9102009211307443张紫辉203357560拟录取学科教学(物理)10102009211307301张颖珍204355559拟录取学科教学(物理)11102009211307348张可心192365557拟录取学科教学(物理)12102009211307433冯雨佳197353550拟录取学科教学(物理)13102009211307304任冉冉204345549拟录取学科教学(物理)14102009211307421邓旭189354543拟录取学科教学(物理)15102009211307397史常玲191352543拟录取学科教学(物理)16102009211307475项睿杰182359541拟录取学科教学(物理)17102009211307365魏月194346540拟录取学科教学(物理)18102009211307371孙小昭177360537拟录取学科教学(物理)19102009211307387褚敏188346534拟录取学科教学(物理)102009211307375冯雪梅189344533学科教学(物理)102009211307380王钰淇183342525学科教学(物理)102009211307351杨帅177347524学科教学(物理)102009211307353冯天姝171343514学科教学(物理)102009211307285孙镜荃351加试不合格学科教学(物理)102009211307468唐芙蓉348加试不合格学科教学(物理)102009211307316田宇驰347加试不合格学科教学(物理)102009211307417徐海英344加试不合格学科教学(物理)102009211307333傅格格189333522拟录取辽宁少民计划学科教学(物理)102009231300044姚慧慧197289486拟录取单独考试学科教学(物理)102009231300046任军209266475拟录取单独考试理论物理1102009211307507于宏伟204388592拟录取理论物理2102009211307492朱一子195388583拟录取理论物理3102009211307504李晓童176403579拟录取理论物理4102009211307497王师然191376567拟录取理论物理5102009211307499刘霄196371567拟录取理论物理6102009211307484邱爽177388565拟录取理论物理7102009211307482于宁175373548拟录取理论物理8102009211307512宋宇航180366546拟录取理论物理9102009211307502栾天泽202342544拟录取理论物理10102009211307496陈佳敏197346543拟录取理论物理11102009211307505曹子妍181359540拟录取理论物理12102009211307506倪双媛189350539拟录取理论物理13102009211307483辛丽177353530拟录取理论物理14102009211307510李嘉琳178347525拟录取理论物理15102009211307498张梦欣181335516拟录取理论物理16102009211307503翁铭竹191325516拟录取理论物理17102009211307494张佳丽187328515拟录取理论物理18102009211307481陈阳172319491拟录取理论物理19102009211307515王翼鑫176309485拟录取理论物理20102009211307500赵诗卿176307483拟录取理论物理21102009211307513李文莉169313482拟录取理论物理22102009211307487霍达161311472拟录取理论物理102009211307480周越149329478复试不合格理论物理102009211307495安美儒134322456复试不合格粒子物理与原子核物理1102009211307524何德东202370572拟录取粒子物理与原子核物理2102009211307523龚克206306512拟录取粒子物理与原子核物理3102009211307519史广宇173327500拟录取凝聚态物理1102009211307583姜珊207405612拟录取凝聚态物理2102009211307565李济修206388594拟录取凝聚态物理3102009211307547韩嘉琦198394592拟录取凝聚态物理4102009211307589孙丽瑶200383583拟录取凝聚态物理5102009211307590李静玉201378579拟录取凝聚态物理6102009211307540倪艳萍201378579拟录取凝聚态物理7102009211307602吴茜211364575拟录取凝聚态物理8102009211307535卢怡曼202372574拟录取凝聚态物理9102009211307609赵洋187385572拟录取凝聚态物理10102009211307593周佳惠200370570拟录取凝聚态物理11102009211307611卞景垚205364569拟录取凝聚态物理12102009211307572徐帆212356568拟录取凝聚态物理13102009211307601黄蕊187381568拟录取凝聚态物理14102009211307615王晶晶208359567拟录取凝聚态物理15102009211307571孟祥婧205359564拟录取凝聚态物理16102009211307594王雁芹200363563拟录取凝聚态物理17102009211307603张艺佳195367562拟录取凝聚态物理18102009211307622姜雪202360562拟录取凝聚态物理19102009211307566朱晓楠212346558拟录取凝聚态物理20102009211307586赵玉娇191365556拟录取凝聚态物理21102009211307579苏日雅205350555拟录取凝聚态物理22102009211307588陈凤191362553拟录取凝聚态物理23102009211307597杜怡明210341551拟录取凝聚态物理24102009211307570孙雨191358549拟录取凝聚态物理25102009211307610张莹秋196350546拟录取凝聚态物理26102009211307556杨秋萍190352542拟录取凝聚态物理27102009211307553王波195346541拟录取凝聚态物理28102009211307569刘淑宁195344539拟录取凝聚态物理29102009211307624王玉杰196342538拟录取凝聚态物理30102009211307549杨竹薇183354537拟录取凝聚态物理31102009211307600张艳梅198339537拟录取凝聚态物理32102009211307599鞠仲实185351536拟录取凝聚态物理33102009211307550朱匡宇176358534拟录取凝聚态物理34102009211307551张萌萌198335533拟录取凝聚态物理102009211307568王哲198334532凝聚态物理102009211307539王一茜181346527凝聚态物理102009211307528丁婧蕾193330523凝聚态物理102009211307537史慧敏188329517凝聚态物理102009211307527张敬伟175329504凝聚态物理102009211307575莫秋实175326501凝聚态物理102009211307619薛风英171326497凝聚态物理102009211307581马魁芳181312493光学1102009211307637卢美莹189413602拟录取光学2102009211307643王雪190347537拟录取光学3102009211307639吕昊175345520拟录取光学4102009211307640顾宇晴175343518拟录取光学5102009211307631邱程程177302479拟录取光学102009211307638刘畅172365537复试不合格光学100559333317723张翔宇170371541复试不合格应用物理1102009211307644路方207343550拟录取应用物理2102009211307652刘聪189353542拟录取应用物理3102009211307649李佳宸207329536拟录取应用物理4102009211307650王瑾192334526拟录取应用物理102009211307648王淼173301474复试不合格材料科学与工程1102009211307658卢一萱191284475拟录取材料科学与工程2102009211307657孙红影165309474拟录取材料科学与工程3101839214313344于春宇186328514拟录取调剂材料科学与工程4100059410509381宋仁静187306493拟录取调剂材料科学与工程5104229510912831张志伟185302487拟录取调剂材料科学与工程6100069210503377张芳184290474拟录取调剂材料科学与工程7100089210006600蒋晗涛165305470拟录取调剂材料科学与工程102489121911247李天一153297450复试不合格材料科学与工程101839214302547张涛178333511复试不合格材料科学与工程101839214308125涂焕碌339加试不合格控制科学与工程1102009211307661王宏旭218378596拟录取控制科学与工程2144309146000112吴鑫211351562拟录取调剂电子与通信工程1102009211307670陈相全164312476拟录取电子与通信工程2102009211307669张琳166301467拟录取电子与通信工程3100559333314552陈磊205373578拟录取调剂电子与通信工程4104869212021825谢晖189387576拟录取调剂电子与通信工程5100569019419929郑璐瑶215357572拟录取调剂电子与通信工程6100569003512635张超192366558拟录取调剂电子与通信工程7100559333318650姜玉凯190364554拟录取调剂电子与通信工程8103599210007183孙龙飞180370550拟录取调剂电子与通信工程9100079000011787陈俊宇181362543拟录取调剂电子与通信工程10102849212313256黄嘉航176362538拟录取调剂电子与通信工程102009211307668时梦瑶163291454复试不合格电子与通信工程101459000010477林振善184387571复试不合格电子与通信工程104869212021861许世浩152376528复试不合格电子与通信工程101839215311723于清涵158359517复试不合格电子与通信工程100059371308838宁一凡151352503复试不合格。
拟录取专业最终排名考生编号考生姓名初试成绩复试总分(250分)复试总成绩(取整)最终成绩(取整)备注(少民、调剂等)专业课笔试成绩(100分)外语听力、口语测试(50分)综合能力面试(100分)课程与教学论 1 102009211508482任蕴3727545.287.8 208 580学科教学(生物)1 102009211508681杨婕38786 43.491.3 221 6082 102009211508530孙越3948244.485.3 212 6063 102009211508684李新泽3898544.885.5 215 6044 102009211508584黄晴395784283.8 204 5995 102009211508639温胜男3748645.490.0 221 5955 102009211508683单晓彤3808442.688.0 215 5957 102009211508701王婷婷392804082.0 202 5948 102009211508596任静媛3778344.487.8 215 5929 102009211508544闫宇3678743.490.5 221 58810 102009211508589房佳钰377754389.0 207 58411 102009211508594韩慧364864188.3 215 57912 102009211508568赵丹莉357834791.3 221 57813 102009211508682蒋美慧3757943.280.3 202 57713 102009211508670卢坤3687645.687.5 209 57713 102009211508528潘俊道366794190.5 211 57716 102009211508668袁金月3658443.683.5 211 57616 102009211508720林琅365794685.5 211 57618 102009211508503牟昕35886 44 87.0 217 57519 102009211508712唐飞芳3598742.684.5 214 57319 102009211508690张彤3707942.281.5 203 57319 102009211508515房美婧369874373.5 204 573生理加试成绩90分,遗传学加试成绩89分22 102009211508640李思蕊368744386.5 204 57223 102009211508656张关元3587846.686.8 211 56923 102009211508646艾忻3578644.881.5 212 56923 102009211508606朱梓玉3587246.293.0 211 569拟录取专业最终排名考生编号考生姓名初试成绩复试总分(250分)复试总成绩(取整)最终成绩(取整)备注(少民、调剂等)专业课笔试成绩(100分)外语听力、口语测试(50分)综合能力面试(100分)植物学1 102009211508739王子阳4127541.890.0 207 6192 102009211508729沈文玥336874285.8 215 551 3102009211508742苏瑜350604088.4 188 538 4 102009211508723李绿昊3307942.480.2 202 532 5 102009211508737李兴茹3246141.277.4 180 504 6 102009211508744张腾蛟3027842.678.8 199 501 7 102009211508725许金玲3097444.471.2 190 499 8 102009211508740韩宇3036744.671.6 183 486 动物学1 102009211508757李青青3868944.292.0 225 611 2102009211508768赵莹3857344.890.8 209 594 3 102009211508753白露368904386.4 219 587 4 102009211508761段明祎374774488.2 209 583 5 102009211508750尤杨3497644.490.6 211 560 6 102009211508763于忠波3606040.683.4 184 544 7 102009211508771田佼2936033.685.4 179 472 少民计划微生物学1 102009211508795王雨萌3858243.694.5 220 605 2102009211508809李美娇3718341.892.5 217 588 3 102009211508802王杰3787741.488.8 207 585 4 102009211508806卢凯文370824189.8 213 583 5 102009211508808郭娇339844394.5 222 561 6 102009211508810刘洋348834186.3 210 558 7102009211508827张乐354 674080.7 188 542 生化与分子物学 1 102009211509044刘盈3697842.694.3 215 584 2 102009211509066王娜335724089.7 202 537 3 102009211509039张雯露315814292.3 215 530 4 102009211509042赵海玲3227539.691.2 206 528拟录取专业最终排名考生编号考生姓名初试成绩复试总分(250分)复试总成绩(取整)最终成绩(取整)备注(少民、调剂等)专业课笔试成绩(100分)外语听力、口语测试(50分)综合能力面试(100分)生理学1 102009211508775陈思3787940.691.0 211 5892 102009211508786武亦天3647839.693.0 211 5753 102009211508776赵玉东3746439.482.8 186 5604 102009211508782毕远平3437139.890.2 201 5445 102009211508779郑雪飞3347539.888.3 203 5376 102009211508783时小双3327039.687.5 197 5297 102009211508780袁月2947443.487.2 205 4998 102009211508790白菲菲3126137.886.2 185 497生态学1 102009211509110钱欣3798441.892.4 218 5972 102009211509100刘思彤3848644.280.2 210 5943 102009211509107初丽爽3748638.287.0 211 5854 102009211509099陈俊达376814381.8 206 5825 102009211509098张存婷373 7639.288.8 204 5776 102009211509071栗亚楠3528639.685.6 211 563 6 102009211509091崔楠346874486.0 217 5638 102009211509086郭嫱361753887.8 201 5629 102009211509105刘馨元357784185.0 204 56110 102009211509093齐天明3587439.289.0 202 56011 102009211509125郑小娜3537941.882.4 203 55612 102009211509083钱芮3487845.483.8 207 555草学1102009211509133王亚楠3636942.482.2 194 557 2102009211509141闫言3486041.487.2 189 537 3102009211509143杨林3486135.689.8 186 534 4102009211509139段新宇3128040.688.0 209 521 5102009211509132杜智鑫3316038.682.4 181 512 6102009211509137李佳鸿3127334.686.8 194 506拟录取专业最终排名考生编号考生姓名初试成绩复试总分(250分)复试总成绩(取整)最终成绩(取整)备注(少民、调剂等)专业课笔试成绩(100分)外语听力、口语测试(50分)综合能力面试(100分)遗传学1 102009211508853梁娣3967839.488.5 206 6022 102009211508846董丽妍3868240.889.2 212 5983 102009211508865王晗376864288.2 216 5924 102009211508848康颖3668739.290.0 216 5825 102009211508839孙月3707439.888.8 203 5736 102009211508868罗婷3598042.490.9 213 5727 102009211508850张佳3557941.490.5 211 566 7 102009211508857佟妍3538143.288.7 213 5669 102009211508880安琪3467946.285.4 211 55710 102009211508844陈熙3537640.683.3 200 55311 102009211508859方悦3537438.283.9 196 549 11 102009211508872孔培儒3427941.486.7 207 54913 102009211508888王秋月3566738.483.4 189 54514 102009211508870林饶3547138.281.1 190 54415 102009211508847王雅楠3447736.285.3 199 54316 102009211508878王辰3418041.476.0 197 53817 102009211508854于莉娜3317642.686.6 205 536拟录取专业最终排名考生编号考生姓名初试成绩复试总分(250分)复试总成绩(取整)最终成绩(取整)备注(少民、调剂等)专业课笔试成绩(100分)外语听力、口语测试(50分)综合能力面试(100分)细胞生物学1 102009211508989姜舒379864187.0 214 5932 102009211508949梁佳楠3718443.687.2 215 5863 102009211508924乔汕汕3648442.489.2 216 5804 102009211509011刘妍363814391.2 215 578 5 102009211509008商梦洁3608243.890.8 217 577 6102009211509009朱丽润357874287.8 217 574 7 102009211508990刘瑶3508944.288.6 222 572 8 102009211508901杨天明3588542.286.2 213 571 8 102009211508945付兴月3637144.492.2 208 571 10 102009211508953朱思燕364 6744.287.0 198 562 11 102009211509020杜冬妮3458443.488.2 216 561 12 102009211508987周欣宇3607440.885.4 200 560 13 102009211508938郝梦迪3478041.687.4 209 556 14 102009211508937王洋350754386.8 205 555 15 102009211508910姚彦亮3428341.284.2 208 550 16 102009211508896李园欣351664386.6 196 547 17102009211508946刘洋3437841.882.4 202 545 细胞生物学(国家工程实验室)1102009211509031李晓丽3858543.291.4 220 605 2102009211509034张潇325703987.6 197 522 3102009211509027郑艳萍3146038.488.2 187 501 4102009211509037刘涵3026240.288.4 191 493。
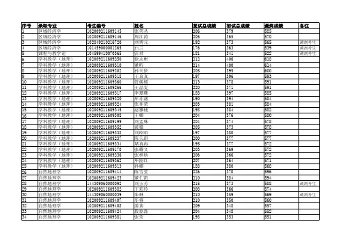
017|地理科学学院(盖章)制表日期:2019-04-19学院复试领导小组组长签名:序号考生编号姓名考试方式志愿类别专项计划初试成绩复试成绩最终成绩是否拟录取拟录取专业学习方式录取类别备注1105749105740189沈嘉琳推荐免试非专项计划93.5是(040102)课程与教学论全日制非定向2105749105740186卢碧妍推荐免试非专项计划93.2是(040102)课程与教学论全日制非定向3105749105740185卢丹琳推荐免试非专项计划91.7是(040102)课程与教学论全日制非定向4105749105740188何宇靖推荐免试非专项计划90.7是(040102)课程与教学论全日制非定向5105749105740187王珏晓推荐免试非专项计划87.7是(040102)课程与教学论全日制非定向6105749105740190郑佩宜推荐免试非专项计划86.3是(040102)课程与教学论全日制非定向7105749101840191周雨琦推荐免试非专项计划88.5是(045110)学科教学(地理)全日制非定向8105749000019881林芸菲全国统考第一志愿无专项计划37586.480.7是(045110)学科教学(地理)全日制非定向就业9105749000019503周世伟全国统考第一志愿无专项计划38084.580.25是(045110)学科教学(地理)全日制非定向就业10105749000019795邓妍敏全国统考第一志愿无专项计划36386.579.55是(045110)学科教学(地理)全日制非定向就业11105749000019571汤芊沛全国统考第一志愿无专项计划36985.179.45是(045110)学科教学(地理)全日制非定向就业12105749000019780刘淼滢全国统考第一志愿无专项计划39479.379.05是(045110)学科教学(地理)全日制非定向就业13105749000019955陈杉洁全国统考第一志愿无专项计划39080.079.0是(045110)学科教学(地理)全日制非定向就业14105749000019842谭丽萍全国统考第一志愿无专项计划36982.678.2是(045110)学科教学(地理)全日制非定向就业15105749000019878钟仕萍全国统考第一志愿无专项计划36683.278.2是(045110)学科教学(地理)全日制非定向就业16105749000019964常佳丽全国统考第一志愿无专项计划38179.477.8是(045110)学科教学(地理)全日制非定向就业17105749000019783陆翠月全国统考第一志愿无专项计划36282.777.55是(045110)学科教学(地理)全日制非定向就业18105749000019693张婷宇全国统考第一志愿无专项计划37180.777.45是(045110)学科教学(地理)全日制非定向就业19105749000019848蓝泳杰全国统考第一志愿无专项计划37380.177.35是(045110)学科教学(地理)全日制非定向就业20105749000019821蔡明英全国统考第一志愿无专项计划36282.277.3是(045110)学科教学(地理)全日制非定向就业21105749000019665叶泓全国统考第一志愿无专项计划38377.977.25是(045110)学科教学(地理)全日制非定向就业22105749000019940刘婷全国统考第一志愿无专项计划40572.676.8是(045110)学科教学(地理)全日制非定向就业23105749000019856骆杰森全国统考第一志愿无专项计划37977.676.7是(045110)学科教学(地理)全日制非定向就业24105749000019939汪璐全国统考第一志愿无专项计划37578.476.7是(045110)学科教学(地理)全日制非定向就业25105749000019962晏自平全国统考第一志愿无专项计划38975.276.5是(045110)学科教学(地理)全日制非定向就业26105749000019468郭俐全国统考第一志愿无专项计划39374.376.45是(045110)学科教学(地理)全日制非定向就业27105749000019907龙芝杏全国统考第一志愿无专项计划36280.576.45是(045110)学科教学(地理)全日制非定向就业28105749000019797李悦平全国统考第一志愿无专项计划36080.376.15是(045110)学科教学(地理)全日制非定向就业29105749000019974吴敏全国统考第一志愿无专项计划38076.176.05是(045110)学科教学(地理)全日制非定向就业30105749000019694陈旭纯全国统考第一志愿无专项计划37976.276.0是(045110)学科教学(地理)全日制非定向就业017|地理科学学院(盖章)制表日期:2019-04-19学院复试领导小组组长签名:序号考生编号姓名考试方式志愿类别专项计划初试成绩复试成绩最终成绩是否拟录取拟录取专业学习方式录取类别备注31105749000019892陈起凤全国统考第一志愿无专项计划36079.875.9是(045110)学科教学(地理)全日制非定向就业32105749000019934秦俊鸽全国统考第一志愿无专项计划38374.875.7是(045110)学科教学(地理)全日制非定向就业33105749000019471黄晶全国统考第一志愿无专项计划39173.175.65是(045110)学科教学(地理)全日制非定向就业34105749000019956曾荷君全国统考第一志愿无专项计划39173.175.65是(045110)学科教学(地理)全日制非定向就业35105749000019938陈香玉全国统考第一志愿无专项计划39371.975.25是(045110)学科教学(地理)全日制非定向就业36105749000019942丁乾宇全国统考第一志愿无专项计划38972.375.05是(045110)学科教学(地理)全日制非定向就业37105749000019558商盛全国统考第一志愿无专项计划36976.174.95是(045110)学科教学(地理)全日制非定向就业38105749000019483李嘉嘉全国统考第一志愿无专项计划37075.774.85是(045110)学科教学(地理)全日制非定向就业39105749000019883林银斌全国统考第一志愿无专项计划37174.474.3是(045110)学科教学(地理)全日制非定向就业40105749000019516盛莉全国统考第一志愿无专项计划36475.574.15是(045110)学科教学(地理)全日制非定向就业41105749000019785官睿旖全国统考第一志愿无专项计划36375.774.15是(045110)学科教学(地理)全日制非定向就业42105749000019444贾圆圆全国统考第一志愿无专项计划37473.474.1是(045110)学科教学(地理)全日制非定向就业联合培养43105749000019658倪婉玲全国统考第一志愿无专项计划37488.981.85是(045110)学科教学(地理)非全日制定向就业44105749000019875解光霞全国统考第一志愿无专项计划37579.577.25是(045110)学科教学(地理)非全日制定向就业45105749000019681张捷全国统考第一志愿无专项计划33783.075.2是(045110)学科教学(地理)非全日制定向就业46105749000019874张晓敏全国统考第一志愿无专项计划32982.874.3是(045110)学科教学(地理)非全日制定向就业47105749000019714李静思全国统考第一志愿无专项计划32982.574.15是(045110)学科教学(地理)非全日制定向就业48105749000019450孟钰伶全国统考第一志愿无专项计划33279.673.0是(045110)学科教学(地理)非全日制定向就业49105749000019526王文娇全国统考第一志愿无专项计划35069.269.6是(045110)学科教学(地理)非全日制定向就业50105749000019636高丽花全国统考第一志愿无专项计划34062.065.0是(045110)学科教学(地理)非全日制定向就业51105749000019587杨国圣全国统考第一志愿无专项计划28568.662.8是(045110)学科教学(地理)非全日制定向就业少数民族照顾政策52105589370110269李成雷全国统考校外调剂无专项计划36469.070.9是(045110)学科教学(地理)非全日制定向就业53105749000019620黄祝惠全国统考校内调剂无专项计划34170.769.45是(045110)学科教学(地理)非全日制定向就业54105749000019789李铭枢全国统考校内调剂无专项计划34366.067.3是(045110)学科教学(地理)非全日制定向就业55105749000019482高钰舒全国统考校内调剂无专项计划32768.466.9是(045110)学科教学(地理)非全日制定向就业56102319045110051徐爽全国统考校外调剂无专项计划35560.065.5是(045110)学科教学(地理)非全日制定向就业57105749000019459常璐全国统考第一志愿无专项计划36475.173.95否(045110)学科教学(地理)全日制候补58105749000019506陈志晖全国统考第一志愿无专项计划37572.973.95否(045110)学科教学(地理)全日制候补59105749000019912谢诗菁全国统考第一志愿无专项计划38670.673.9否(045110)学科教学(地理)全日制候补60105749000019540李征全国统考第一志愿无专项计划37871.573.55否(045110)学科教学(地理)全日制候补017|地理科学学院(盖章)制表日期:2019-04-19学院复试领导小组组长签名:序号考生编号姓名考试方式志愿类别专项计划初试成绩复试成绩最终成绩是否拟录取拟录取专业学习方式录取类别备注61105749000019536张燕燕全国统考第一志愿无专项计划36873.473.5否(045110)学科教学(地理)全日制候补62105749000019948肖巧慧全国统考第一志愿无专项计划36473.773.25否(045110)学科教学(地理)全日制候补63105749000019489严曼全国统考第一志愿无专项计划36174.173.15否(045110)学科教学(地理)全日制候补64105749000019601张干滔全国统考第一志愿无专项计划36872.673.1否(045110)学科教学(地理)全日制候补65105749000019804李文静全国统考第一志愿无专项计划36073.972.95否(045110)学科教学(地理)全日制候补66105749000019618钟伙娣全国统考第一志愿无专项计划36373.072.8否(045110)学科教学(地理)全日制候补67105749000019975冯爱全国统考第一志愿无专项计划39367.072.8否(045110)学科教学(地理)全日制候补68105749000019490谢东芸全国统考第一志愿无专项计划37071.172.55否(045110)学科教学(地理)全日制候补69105749000019495余抒晗全国统考第一志愿无专项计划36472.272.5否(045110)学科教学(地理)全日制候补70105749000019622谭晓雄全国统考第一志愿无专项计划36072.872.4否(045110)学科教学(地理)全日制候补71105749000019791胡冲全国统考第一志愿无专项计划36172.572.35否(045110)学科教学(地理)全日制候补72105749000019846徐瑞萍全国统考第一志愿无专项计划36471.572.15否(045110)学科教学(地理)全日制候补73105749000019509沈祖仁全国统考第一志愿无专项计划36770.872.1否(045110)学科教学(地理)全日制候补74105749000019617蔡彩珍全国统考第一志愿无专项计划37169.972.05否(045110)学科教学(地理)全日制候补75105749000019958罗静全国统考第一志愿无专项计划36171.571.85否(045110)学科教学(地理)全日制候补76105749000019695刘裕梅全国统考第一志愿无专项计划36570.671.8否(045110)学科教学(地理)全日制候补77105749000019575王杰全国统考第一志愿无专项计划37867.971.75否(045110)学科教学(地理)全日制候补78105749000019862郑裕勋全国统考第一志愿无专项计划36469.871.3否(045110)学科教学(地理)全日制候补79105749000019688陈雪东全国统考第一志愿无专项计划37267.771.05否(045110)学科教学(地理)全日制候补80105749000019463王龙飞全国统考第一志愿无专项计划37367.070.8否(045110)学科教学(地理)全日制候补81105749000019569刘莎全国统考第一志愿无专项计划36568.370.65否(045110)学科教学(地理)全日制候补82105749000019725温露露全国统考第一志愿无专项计划36667.270.2否(045110)学科教学(地理)全日制候补83105749000019823张惠文全国统考第一志愿无专项计划36265.468.9否(045110)学科教学(地理)全日制候补84105749000019517刘雪纯全国统考第一志愿无专项计划36354.463.5否(045110)学科教学(地理)全日制85105749000019480冯豫曦全国统考第一志愿无专项计划3610.036.1否(045110)学科教学(地理)全日制86110789045110031蒋紫云全国统考校外调剂无专项计划33360.863.7否(045110)学科教学(地理)非全日制87105749000019539曾家宜全国统考校内调剂无专项计划33757.762.55否(045110)学科教学(地理)非全日制88105749000019864龙芳苏全国统考校内调剂无专项计划3380.033.8否(045110)学科教学(地理)非全日制89105119114411572陈玲玲全国统考校外调剂无专项计划3360.033.6否(045110)学科教学(地理)非全日制90105119114411729黄雨全国统考校外调剂无专项计划3350.033.5否(045110)学科教学(地理)非全日制017|地理科学学院(盖章)制表日期:2019-04-19学院复试领导小组组长签名:序号考生编号姓名考试方式志愿类别专项计划初试成绩复试成绩最终成绩是否拟录取拟录取专业学习方式录取类别备注91103199320807117刘子祎全国统考校外调剂无专项计划3340.033.4否(045110)学科教学(地理)非全日制92105749116580192文嫱推荐免试非专项计划90.5是(070501)自然地理学全日制非定向93105749000019414程彩玉全国统考第一志愿无专项计划34684.476.8是(070501)自然地理学全日制非定向就业94144309060000037薛梅梅全国统考校外调剂无专项计划37685.580.35是(070501)自然地理学全日制非定向就业95100279218270039王小军全国统考校外调剂无专项计划34984.877.3是(070501)自然地理学全日制非定向就业96102849212719172王炳香全国统考校外调剂无专项计划34185.276.7是(070501)自然地理学全日制非定向就业97144309057000004王淦全国统考校外调剂无专项计划34583.976.45是(070501)自然地理学全日制非定向就业98144309060000042贾虹全国统考校外调剂无专项计划34282.775.55是(070501)自然地理学全日制非定向就业99100279218390304马欣璐全国统考校外调剂无专项计划32285.975.15是(070501)自然地理学全日制非定向就业100144309060000172李宁全国统考校外调剂无专项计划32285.975.15是(070501)自然地理学全日制非定向就业101102849212721762彭婷全国统考校外调剂无专项计划35177.773.95是(070501)自然地理学全日制非定向就业102144309060000030张丽容全国统考校外调剂无专项计划34078.773.35是(070501)自然地理学全日制非定向就业103105749000012171覃长雄全国统考校内调剂无专项计划34078.073.0是(070501)自然地理学全日制非定向就业104100279218390291梁敏琪全国统考校外调剂无专项计划33279.272.8是(070501)自然地理学全日制非定向就业105822019370100195李岐岐全国统考校外调剂无专项计划30783.772.55是(070501)自然地理学全日制非定向就业106144309060000029周梦涛全国统考校外调剂无专项计划32578.971.95是(070501)自然地理学全日制非定向就业107100279218270049田梦圆全国统考校外调剂无专项计划35472.671.7否(070501)自然地理学全日制候补108102849212702931施佳凤全国统考校外调剂无专项计划32970.468.1否(070501)自然地理学全日制候补109105749000012135任芳语全国统考校内调剂无专项计划34466.967.85否(070501)自然地理学全日制候补110144309060000041杨莉婷全国统考校外调剂无专项计划32967.966.85否(070501)自然地理学全日制候补111144309060000039朱琳全国统考校外调剂无专项计划3590.035.9否(070501)自然地理学全日制112144309057000019李鸿威全国统考校外调剂无专项计划3540.035.4否(070501)自然地理学全日制113144309057000009涂田云全国统考校外调剂无专项计划3490.034.9否(070501)自然地理学全日制114102849212724247孟丽泽全国统考校外调剂无专项计划3270.032.7否(070501)自然地理学全日制115105749105740194任建造推荐免试非专项计划89.0是(070502)人文地理学全日制非定向116105749105640193李彤彤推荐免试非专项计划88.2是(070502)人文地理学全日制非定向117105749000011532且之全国统考第一志愿无专项计划31579.071.0是(070502)人文地理学全日制非定向就业118105749000011519李晓璇全国统考第一志愿无专项计划32172.968.55是(070502)人文地理学全日制非定向就业119102849212702911周林焱全国统考校外调剂无专项计划36573.973.45是(070502)人文地理学全日制非定向就业120102849212712210顾伟刚全国统考校外调剂无专项计划37071.972.95是(070502)人文地理学全日制非定向就业017|地理科学学院(盖章)制表日期:2019-04-19学院复试领导小组组长签名:序号考生编号姓名考试方式志愿类别专项计划初试成绩复试成绩最终成绩是否拟录取拟录取专业学习方式录取类别备注121102849212722277陈海秋全国统考校外调剂无专项计划34575.372.15是(070502)人文地理学全日制非定向就业122102849212722731胡寻寻全国统考校外调剂无专项计划34874.472.0是(070502)人文地理学全日制非定向就业123102849212714638毛源远全国统考校外调剂无专项计划33375.871.2是(070502)人文地理学全日制非定向就业124102849212723997张敏全国统考校外调剂无专项计划34370.969.75是(070502)人文地理学全日制非定向就业125102849212719618董青全国统考校外调剂无专项计划33073.069.5是(070502)人文地理学全日制非定向就业126102849212720949曹慧玲全国统考校外调剂无专项计划32770.367.85是(070502)人文地理学全日制非定向就业127144309060000147肖润琦全国统考校外调剂无专项计划31472.667.7是(070502)人文地理学全日制非定向就业128102849212720384乔志强全国统考校外调剂无专项计划33368.367.45是(070502)人文地理学全日制非定向就业129107309021003584孙靓全国统考校外调剂无专项计划32668.266.7是(070502)人文地理学全日制非定向就业130144309060000113王路全国统考校外调剂无专项计划32367.365.95是(070502)人文地理学全日制非定向就业131105749000011493姜婧姮全国统考第一志愿无专项计划34957.763.75否(070502)人文地理学全日制132105749000011513罗海军全国统考第一志愿无专项计划30359.460.0否(070502)人文地理学全日制133105749000011491高龙洋全国统考第一志愿无专项计划31955.759.75否(070502)人文地理学全日制134102849212708104冯天琪全国统考校外调剂无专项计划32969.267.5否(070502)人文地理学全日制考生放弃135102849212721894杨春萍全国统考校外调剂无专项计划30669.165.15否(070502)人文地理学全日制136102849212712913陈和凤全国统考校外调剂无专项计划37954.164.95否(070502)人文地理学全日制137102849212716936刘心全国统考校外调剂无专项计划35957.364.55否(070502)人文地理学全日制138102849212718028赵梓伊全国统考校外调剂无专项计划35656.663.9否(070502)人文地理学全日制139144309060000077尹世燕全国统考校外调剂无专项计划33056.561.25否(070502)人文地理学全日制140102849212707763李香颖全国统考校外调剂无专项计划33150.958.55否(070502)人文地理学全日制141144309060000067吕王亦庄全国统考校外调剂无专项计划29631.645.4否(070502)人文地理学全日制142105749000012167谢笑艳全国统考校内调剂无专项计划3350.033.5否(070502)人文地理学全日制143100279218390228高凯全国统考校外调剂无专项计划3340.033.4否(070502)人文地理学全日制144144309070000198韩柯柯全国统考校外调剂无专项计划3240.032.4否(070502)人文地理学全日制145105749000012160樊凯旋全国统考第一志愿无专项计划36080.476.2是(070503)地图学与地理信息系统全日制非定向就业146105749000012158王梓璇全国统考第一志愿无专项计划39372.875.7是(070503)地图学与地理信息系统全日制非定向就业147105749000012186陈进钊全国统考第一志愿无专项计划38075.375.65是(070503)地图学与地理信息系统全日制非定向就业148105749000012163王彬全国统考第一志愿无专项计划38673.175.15是(070503)地图学与地理信息系统全日制非定向就业149105749000012192韦钦桦全国统考第一志愿无专项计划38072.374.15是(070503)地图学与地理信息系统全日制非定向就业150105749000012182伍健恒全国统考第一志愿无专项计划34978.374.05是(070503)地图学与地理信息系统全日制非定向就业017|地理科学学院(盖章)制表日期:2019-04-19学院复试领导小组组长签名:序号考生编号姓名考试方式志愿类别专项计划初试成绩复试成绩最终成绩是否拟录取拟录取专业学习方式录取类别备注151105749000012157刘婷全国统考第一志愿无专项计划39562.470.7是(070503)地图学与地理信息系统全日制非定向就业152105749000012201刘国庆全国统考第一志愿无专项计划35467.969.35是(070503)地图学与地理信息系统全日制非定向就业153105749000012174韩政卓全国统考第一志愿无专项计划34767.568.45是(070503)地图学与地理信息系统全日制非定向就业154105749000012138王欣宇全国统考第一志愿无专项计划34766.768.05是(070503)地图学与地理信息系统全日制非定向就业155105749000012152刘贤全国统考第一志愿无专项计划36762.267.8否(070503)地图学与地理信息系统全日制候补156105749000012143陈冉冉全国统考第一志愿无专项计划38358.067.3否(070503)地图学与地理信息系统全日制157105749000012180梁淑欣全国统考第一志愿无专项计划36260.166.25否(070503)地图学与地理信息系统全日制候补158105749000012193顾海雁全国统考第一志愿无专项计划34760.564.95否(070503)地图学与地理信息系统全日制候补159105749000012141王烁烁全国统考第一志愿无专项计划36449.661.2否(070503)地图学与地理信息系统全日制160105749000012198巩凡溪全国统考第一志愿无专项计划35947.959.85否(070503)地图学与地理信息系统全日制161105749000012188孙学超全国统考校内调剂无专项计划32481.273.0是(0705Z1)景观生态规划与管理全日制非定向就业162105749000011492黄志琴全国统考校内调剂无专项计划32977.371.55是(0705Z1)景观生态规划与管理全日制非定向就业163144309070000265李晓全国统考校外调剂无专项计划35867.669.6是(0705Z1)景观生态规划与管理全日制非定向就业164100199036015220陈敏全国统考校外调剂无专项计划30070.965.45是(0705Z1)景观生态规划与管理全日制非定向就业165102479340812445王星星全国统考校外调剂无专项计划30152.056.1否(0705Z1)景观生态规划与管理全日制166144309060000157梁雨廷全国统考校外调剂无专项计划3250.032.5否(0705Z1)景观生态规划与管理全日制167105749105640195黄佳敏推荐免试非专项计划87.83是(0705Z2)城市与区域规划全日制非定向168102849212708242董剑彬全国统考校外调剂无专项计划30978.169.95是(0705Z2)城市与区域规划全日制非定向就业169105749000012181刘明明全国统考校内调剂无专项计划31274.668.5是(0705Z2)城市与区域规划全日制非定向就业170104869619024389刘木青全国统考校外调剂无专项计划32758.962.15否(0705Z2)城市与区域规划全日制171105749000012206钱欣丽全国统考校内调剂无专项计划30656.558.85否(0705Z2)城市与区域规划全日制172104869619010526肖雄全国统考校外调剂无专项计划29853.256.4否(0705Z2)城市与区域规划全日制。
地理学一级学科硕士研究生培养方案(一级学科•地理学0705)适用专业:070501自然地理学、070502人文地理学、070503地图学与地理信息系统070520湿地科学一、培养目标培养适应国家和地方经济与社会发展需要的学术型、应用型地理科学专门人才。
具体要求是:1.树立爱国主义和集体主义思想,具有良好的突出的公民意识、社会责任感和事业心,能立志为祖国的建设和发展服务。
2.掌握系统的地理学基础理论和专门知识;具有地理科学研究的创新意识和独立工作的专门技术水平;能够熟练运用地理学理论和技术解决实际问题;具有使用第一外国语进行国际交流的能力,熟练地阅读本学科的外文文献,并具有初步撰写外文科研论文的能力。
3.具有健康的体魄和较强的心理素质。
二、研究方向(一)自然地理学专业1.综合自然地理2.生物地理3.气候变化与区域响应4.土壤地理5.全新世演变与自然灾害6.水资源与水环境(二)人文地理学专业1.区域经济地理与区域开发2.城市地理与城乡规划3.文化地理与区域旅游开发4.经贸地理与物流(三)地图学与地理信息系统1.遥感信息分析与应用模型2.GIS理论与应用开发3.定量遥感4.地理系统建模与应用5.现代地图学(四)湿地科学专业1.湿地植被生态2.湿地资源3.湿地环境三、修业年限修业年限为2-3年。
全日制硕士生基本修业年限为2年,非全日制硕士生基本修业年限为3年。
非全日制硕士生允许学生提前毕业,但最低修业年限不得少于2.5年,而且在学期间应至少有一篇公开发表的学术论文。
四、毕业学分和授予的学位课程学习的总学分不低于27学分。
完成规定的文献阅读、课程学习和毕业论文等环节并考核合格,准予毕业,授予理学硕士学位。
五、培养方式1.培养环节(1)文献阅读充分发挥文献阅读在夯实硕士生本学科基础知识和基本理论中的作用。
地理学各专业的硕士研究生必读的经典文献如下,阅读和考核要求是通过通读,能够对地理学发展过程中的主要人物、主要事件、主要观点和理论脉络有基本了解,并对其中的重要内容有独立思考。
主要致力于经济地理学理论与区域开发研究,长期从事区域发展战略与图们江地区开发研究。
主要著述有:《经济地理学基础》、《区域经济地学原理》、《东北亚区域合作与图们江地区开发》等,并发表论文70余篇。
1991年荣获国务院特殊津贴。
教师简介Introduction教师简介Introduction教师简介Introduction地理科学学院全职硕导教师简介长期从事人文地理学基础理论与方法的研究,近年侧重于地理分形和地理系统的空间复杂性研究。
2007年至今,主持国家自然科学基金委和教育部项目6项;主编或参与著作26部,独撰或合撰论文170余篇。
获得东北师范大学第七届社会科学研究优秀著作奖特等奖、吉林省教学成果省二等奖等多项奖励。
主要从事经济地理和区域经济研究,尤其以东北地区区域经济研究为重点,侧重区域发展研究、区域资源型城市研究和区域人地关系研究。
对东北的资源型城市的发展与布局,区域农业与区域生态环境等开展了长期的研究。
教师简介Introduction主要研究方向为区域与城市地理学、地缘政治学关系。
代表性论著有《日本萨摩藩入侵琉球与东亚地缘政治格局变迁》、《关于琉球群岛人类起源的研究综述》、《中山世谱校注本》、《陈侃使琉球录译注本》等。
中国区域科学协会常务理事,国土规划专业委员会副主任委员,吉林省农业系统工程学会常务理事,吉林省跨世纪中轻年农业学术骨干。
主持或参与各类项目20余项,完成或参与著作12部,发表论文100余篇,获得中国地理学会2008年学术年会青年优秀论文优秀奖、2013年吉林省自然科学学术成果奖优秀奖等多项奖励。
东北师大城市地理学重点学科负责人(PI),兼任中国地理学会人文地理专业委员会副主任,住建部城镇化专家委员会委员,《中国地理科学》、《人文地理》编委。
主要研究领域涉及东北地区城市与区域系统演化、城市空间扩展蔓延及城市安全、“流空间”视角的城市与区域结构等方面,曾主持国家自然科学基金课题4项,发表论文100余篇,出版专著3部。