最新概率论第一章习题答案资料
- 格式:doc
- 大小:67.00 KB
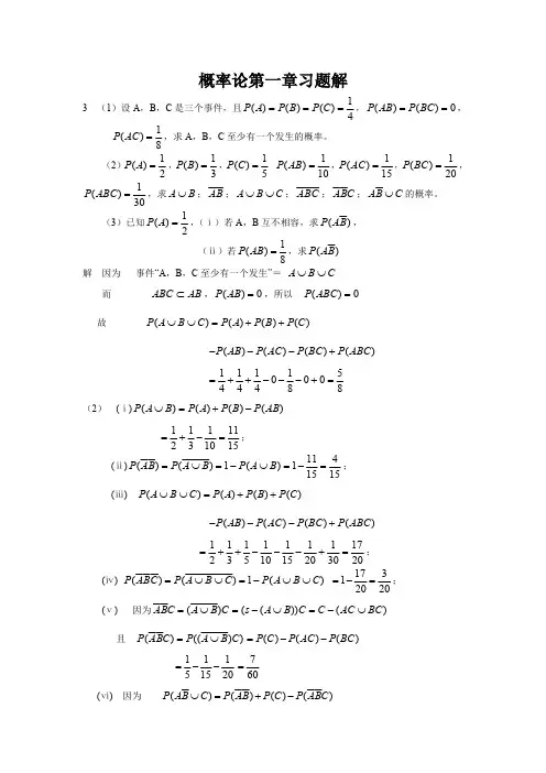
- 文档页数:9
概率论与数理统计 第一部份 习题第一章 概率论基本概念一、填空题1、设A ,B ,C 为3事件,则这3事件中恰有2个事件发生可表示为 。
2、设3.0)(,1.0)(=⋃=B A P A P ,且A 与B 互不相容,则=)(B P 。
3、口袋中有4只白球,2只红球,从中随机抽取3只,则取得2只白球,1只红球的概率为 。
4、某人射击的命中率为0.7,现独立地重复射击5次,则恰有2次命中的概率为 。
5、某市有50%的住户订晚报,有60%的住户订日报,有80%的住户订这两种报纸中的一种,则同时订这两种报纸的百分比为 。
6、设A ,B 为两事件,3.0)(,7.0)(==B A P A P ,则=)(B A P 。
7、同时抛掷3枚均匀硬币,恰有1个正面的概率为 。
8、设A ,B 为两事件,2.0)(,5.0)(=-=B A P A P ,则=)(AB P 。
9、10个球中只有1个为红球,不放回地取球,每次1个,则第5次才取得红球的概率为 。
10、将一骰子独立地抛掷2次,以X 和Y 分别表示先后掷出的点数,{}10=+=Y X A{}Y X B >=,则=)|(A B P 。
11、设B A ,是两事件,则B A ,的差事件为 。
12、设C B A ,,构成一完备事件组,且,7.0)(,5.0)(==B P A P 则=)(C P ,=)(AB P 。
13、设A 与B 为互不相容的两事件,,0)(>B P 则=)|(B A P 。
14、设A 与B 为相互独立的两事件,且4.0)(,7.0)(==B P A P ,则=)(AB P 。
15、设B A ,是两事件,,36.0)(,9.0)(==AB P A P 则=)(B A P 。
16、设B A ,是两个相互独立的事件,,4.0)(,2.0)(==B P A P 则=)(B A P 。
17、设B A ,是两事件,如果B A ⊃,且2.0)(,7.0)(==B P A P ,则=)|(B A P 。
《概率论与数理统计》第一章习题及答案习题1.11. 将一枚均匀的硬币抛两次,事件C,分别表示“第一次出现A,B正面”,“两次出现同一面”,“至少有一次出现正面”。
试写出样本空间及事件C,中的样本点。
A,B解:{=Ω(正,正),(正,反),(反,正),(反,反)} {=A(正,正),(正,反)};{=B(正,正),(反,反)} {=C(正,正),(正,反),(反,正)}2. 在掷两颗骰子的试验中,事件D,,分别表示“点数之和为A,BC偶数”,“点数之和小于5”,“点数相等”,“至少有一颗骰子的点数为3”。
试写出样本空间及事件D-+,-,,中AB-,ABCABCBCA的样本点。
解:{})6,6(,=Ω;),2,6(),1,6(,),2,1(),1,1(),6,2(,),2,2(),1,2(),6,1(,{})1,3(),2,2(),3,1(),1,1(AB;={})1,2(),2,1(),6,6(),4,6(),2,6(,+BA;=),5,1(),3,1(),1,1(A;C=Φ{})2,2(),1,1(BC;={})4,6(),2,6(),1,5(),6,4(),2,4(),6,2(),4,2(),5,1(BA-DC-=-3. 以C,分别表示某城市居民订阅日报、晚报和体育报。
试用A,B,表示以下事件:A,BC(1)只订阅日报;(2)只订日报和晚报;(3)只订一种报; (4)正好订两种报; (5)至少订阅一种报; (6)不订阅任何报; (7)至多订阅一种报; (8)三种报纸都订阅; (9)三种报纸不全订阅。
解:(1)C B A ; (2)C AB ;(3)C B A C B A C B A ++; (4)BC A C B A C AB ++;(5)C B A ++; (6)C B A ;(7)C B A C B A C B A C B A +++或C B C A B A ++ (8)ABC ; (9)C B A ++4. 甲、乙、丙三人各射击一次,事件321,,A A A 分别表示甲、乙、丙射中。
习题1-21. 选择题(1) 设随机事件A ,B 满足关系A B ⊃,则下列表述正确的是( ).(A) 若A 发生, 则B 必发生. (B) A , B 同时发生.(C) 若A 发生, 则B 必不发生. (D) 若A 不发生,则B 一定不发生.解 根据事件的包含关系, 考虑对立事件, 本题应选(D).(2) 设A 表示“甲种商品畅销, 乙种商品滞销”, 其对立事件A 表示( ).(A) 甲种商品滞销, 乙种商品畅销. (B) 甲种商品畅销, 乙种商品畅销.(C) 甲种商品滞销, 乙种商品滞销.(D) 甲种商品滞销, 或者乙种商品畅销.解 设B 表示“甲种商品畅销”,C 表示“乙种商品滞销”,根据公式B C B C =I U ,本题应选(D).2. 写出下列各题中随机事件的样本空间:(1) 一袋中有5只球, 其中有3只白球和2只黑球, 从袋中任意取一球, 观察其颜色;(2) 从(1)的袋中不放回任意取两次球, 每次取出一个, 观察其颜色;(3) 从(1)的袋中不放回任意取3只球, 记录取到的黑球个数;(4) 生产产品直到有10件正品为止, 记录生产产品的总件数.解 (1) {黑球,白球}; (2) {黑黑,黑白,白黑,白白}; (3) {0,1,2};(4) 设在生产第10件正品前共生产了n 件不合格品,则样本空间为{10}.|0,1,2,n n +=L 3. 设A, B, C 是三个随机事件, 试以A, B, C 的运算关系来表示下列各事件:(1) 仅有A 发生;(2) A , B , C 中至少有一个发生;(3) A , B , C 中恰有一个发生;(4) A , B , C 中最多有一个发生;(5) A , B , C 都不发生;(6) A 不发生, B , C 中至少有一个发生.解 (1) ABC ; (2) ; (3) A B C U U ABC ABC ABC U U ; (4) ABC ABC ABC ABC U U U ; (5) ABC ; (6) ()A B C U .4. 事件A i 表示某射手第i 次(i =1, 2, 3)击中目标, 试用文字叙述下列事件:(1) A 1∪A 2; (2)A 1∪A 2∪A 3; (3)3A ; (4) A 2-A 3; (5)2A A U 3; (6)12A A . 解 (1) 射手第一次或第二次击中目标;(2) 射手三次射击中至少击中目标;(3) 射手第三次没有击中目标;(4) 射手第二次击中目标,但是第三次没有击中目标;(5) 射手第二次和第三次都没有击中目标;(6) 射手第一次或第二次没有击中目标.习题1-31. 选择题(1) 设A, B 为任二事件, 则下列关系正确的是( ).(A)()()()P A B P A P B −=−. (B)()()()P A B P A P B =+U .(C)()()()P AB P A P B =. (D)()()()P A P AB P AB =+.解 由文氏图易知本题应选(D).(2) 若两个事件A 和B 同时出现的概率P (AB )=0, 则下列结论正确的是( ).(A) A 和B 互不相容. (B) AB 是不可能事件.(C) AB 未必是不可能事件. (D) P (A )=0或P (B )=0.解 本题答案应选(C).2. 设P (AB )=P (AB ), 且P (A )=p ,求P (B ).解 因 ()1()1()()()()P AB P A B P A P B P AB P AB =−=−−+=U ,故. 于是()()1P A P B +=()1.P B p =−3. 已知()0.4P A =,,()0.3P B =()0P A B .4=U , 求()P AB .解 由公式()()()()P A B P A P B P AB =+−U 知()0.P AB 3=. 于是()()()0.1P AB P A P AB =−=..34. 设A , B 为随机事件,,()0.7P A =()0P A B −=, 求()P AB .解 由公式()()(P A B P A P AB )−=−可知,()0.4P AB =. 于是()0.6P AB =.5. 已知1()()()4P A P B P C ===,()0P AB =, 1()()12P AC P BC ==, 求A , B , C 全不发生的概率.解 因为,所以=0, 即有=0.ABC AB ⊂0()P ABC P AB ≤≤()()P ABC 由概率一般加法公式得()()()()()()()()7.12P A B C P A P B P C P AB P AC P BC P ABC =++−−−+=U U 由对立事件的概率性质知A ,B , C 全不发生的概率是5()()1()12P ABC P A B C P A B C ==−U U U U =.习题1-41. 选择题 在5件产品中, 有3件一等品和2件二等品. 若从中任取2件, 那么以0.7为概率的事件是( ).(A) 都不是一等品. (B) 恰有1件一等品.(C) 至少有1件一等品. (D) 至多有1件一等品.解 至多有一件一等品包括恰有一件一等品和没有一等品, 其中只含有一件一等品的概率为113225C C C ×, 没有一等品的概率为023225C C C ×, 将两者加起即为0.7.答案为(D ).2. 从由45件正品、5件次品组成的产品中任取3件. 求: (1) 恰有1件次品的概率; (2) 恰有2件次品的概率; (3) 至少有1件次品的概率; (4) 至多有1件次品的概率; (5) 至少有2件次品的概率.解 (1) 恰有1件次品的概率是12545350C C C ;(2) 恰有2件次品的概率是21545350C C C ; (3 )至少有1件次品的概率是1-03545350C C C ; (4) 至多有1件次品的概率是03545350C C C +12545350C C C ; (5) 至少有2件次品的概率是21545350C C C +30545350C C C . 3. 袋中有9个球, 其中有4个白球和5个黑球. 现从中任取两个球. 求:(1) 两个球均为白球的概率;(2) 两个球中一个是白的, 另一个是黑的概率;(3)至少有一个黑球的概率.解 从9个球中取出2个球的取法有种,两个球都是白球的取法有种,一黑一白的取法有种,由古典概率的公式知道29C 24C 1154C C (1) 两球都是白球的概率是2924C C ; (2) 两球中一黑一白的概率是115429C C C ; (3) 至少有一个黑球的概率是12924C C −. 习题1-51. 选择题(1) 设随机事件A , B 满足P (A |B )=1, 则下列结论正确的是( )(A) A 是必然事件. (B) B 是必然事件.(C) AB B =. (D)()(P AB P B )=.解 由条件概率定义可知选(D).(2) 设A , B 为两个随机事件, 且0()P A 1<<, 则下列命题正确的是( ).(A) 若((P AB P A =), 则A , B 互斥.(B) 若()P B A 1=, 则()0P AB =.(C) 若()()P AB P AB +1=, 则A , B 为对立事件.(D) 若(|)1P B A =, 则B 为必然事件.解 由条件概率的定义知选(B ).2. 从1,2,3,4中任取一个数, 记为X , 再从1,2,…,X 中任取一个数, 记为Y ,求P {Y =2}.解 解 P {Y =2}=P {X =1}P {Y =2|X =1}+P {X =2}P {Y =2|X =2}+P {X =3}P {Y =2|X =3}+P {X =4}P {Y =2|X =4}=41×(0+21+31+41)=4813. 3. 甲、乙、丙三人同时对某飞机进行射击, 三人击中的概率分别为0.4, 0.5, 0.7. 飞机被一人击中而被击落的概率为0.2, 被两人击中而被击落的概率为0.6, 若三人都击中, 飞机必定被击落. 求该飞机被击落的概率.解 目标被击落是由于三人射击的结果, 但它显然不能看作三人射击的和事件. 因此这属于全概率类型. 设A 表示“飞机在一次三人射击中被击落”, 则表示“恰有i 发击中目标”. (0,1,2,3i B i =)i B 为互斥的完备事件组. 于是没有击中目标概率为,0()0.60.50.30.09P B =××=恰有一发击中目标概率为1()0.40.50.30.60.50.30.60.50.70.36P B =××+××+××=,恰有两发击中目标概率为2()0.40.50.30.60.50.70.40.50.70.41P B =××+××+××=,恰有三发击中目标概率为3()0.40.50.70.14P B =××=.又已知 012(|)0,(|)0.2,(|)0.6,(|)1P A B P A B P A B P A B 3====,所以由全概率公式得到30()()(|)0.360.20.410.60.1410.458.i i i P A P B P A B ===×+×+×=∑4. 在三个箱子中, 第一箱装有4个黑球, 1个白球; 第二箱装有3个黑球, 3个白球; 第三箱装有3个黑球, 5个白球. 现任取一箱, 再从该箱中任取一球.(1) 求取出的球是白球的概率;(2) 若取出的为白球, 求该球属于第二箱的概率.解 (1)以A 表示“取得球是白球”,表示“取得球来至第i 个箱子”,i =1,2,3. i H 则P ()=i H 13, i =1,2,3, 1211(|),(|),(|)52P A H P A H P A H ==358=. 由全概率公式知P (A )=112233()(|)()(|)()(|)P H P A H P H P A H P H P A H ++=12053. (2) 由贝叶斯公式知 P ()=2|H A 222()()(|)20()()53P AH P H P A H P A P A == 5. 某厂甲、乙、丙三个车间生产同一种产品, 其产量分别占全厂总产量的40%, 38%, 22%, 经检验知各车间的次品率分别为0.04, 0.03, 0.05. 现从该种产品中任意取一件进行检查.(1) 求这件产品是次品的概率;(2) 已知抽得的一件是次品, 问此产品来自甲、乙、丙各车间的概率分别是多少?解 设A 表示“取到的是一件次品”, i B (i =1, 2, 3)分别表示“所取到的产品来自甲、乙、丙工厂”. 易知, 123,,B B B 是样本空间S 的一个划分, 且122()0.4,()0.38,()0.22P B P B P B ===,,.12(|)0.04,(|)0.03P A B P A B ==3(|)0.05P A B =(1) 由全概率公式可得112233()(|)()(|)()(|)()P A P A B P B P A B P B P A B P B =++0.40.040.380.030.220.050.0384.=×+×+×=. (2) 由贝叶斯公式可得111(|)()0.40.045(|)()0.038412P A B P B P B A P A ×===, 222(|)()0.380.0319(|)()0.038464P A B P B P B A P A ×===, 333(|)()0.220.0555(|)()0.0384192P A B P B P B A P A ×===. 习题1-61. 选择题(1) 设随机事件A 与B 互不相容, 且有P (A )>0, P (B )>0, 则下列关系成立的是( ).(A) A , B 相互独立. (B) A , B 不相互独立.(C) A , B 互为对立事件. (D) A , B 不互为对立事件.解 用反证法, 本题应选(B).(2) 设事件A 与B 独立, 则下面的说法中错误的是( ).(A) A 与B 独立. (B) A 与B 独立. (C) ()((P AB P A P B =). (D) A 与B 一定互斥.解 因事件A 与B 独立, 故A B 与,A 与B 及A 与B 也相互独立. 因此本题应选(D).(3) 设事件A 与 B 相互独立, 且0<P (B )<1, 则下列说法错误的是( ).(A) . (B) (|)()P A B P A =()()()P AB P A P B =.(C) A 与B 一定互斥. (D).()()()()()P A B P A P B P A P B =+−U 解 因事件A 与B 独立, 故A B 与也相互独立, 于是(B)是正确的. 再由条件概率及一般加法概率公式可知(A)和(D)也是正确的. 从而本题应选(C).2. 设三事件A , B 和C 两两独立, 满足条件:,ABC =∅1()()()2P A P B P C ==<, 且9()16P A B C =U U ,求.()P A 解 根据一般加法公式有()()()()()()()()P A B C P A P B P C P AC P AB P BC P ABC =++−−−+U U . 由题设可知 A , B 和C 两两相互独立, ,ABC =∅ 1()()()2P A P B P C ==<,因此有 2()()()[()],()()0,P AB P AC P BC P A P ABC P ====∅= 从而 29()3()3[()]16P A B C P A P A =−=U U , 于是3()4P A =或1()4P A =, 再根据题设1()2P A <, 故1()4P A =. 3. 甲、乙两人各自向同一目标射击, 已知甲命中目标的概率为 0.7, 乙命中目标的概率为0.8. 求:(1) 甲、乙两人同时命中目标的概率;(2) 恰有一人命中目标的概率;(3) 目标被命中的概率.解 甲、乙两人各自向同一目标射击应看作相互独立事件. 于是(1) ()()()0.70.80.56;P AB P A P B ==×= (2) ()()0.70.20.30.80.38;P AB P AB +=×+×=(3) ()()()()()0.70.80.560.94.P A B P A P B P A P B =+−=+−=U总 习 题 一1. 选择题:设是三个相互独立的随机事件, 且0(,,A B C )P C 1<<, 则在下列给定的四对事件中不相互独立的是( ).(A)A B U 与C . (B)AC 与C . (C) A B −与C . (D) AB 与C .解 由于A , B , C 是三个相互独立的随机事件, 故其中任意两个事件的和、差、交、并与另一个事件或其逆是相互独立的, 根据这一性质知(A), (C), (D)三项中的两事件是相互独立的, 因而均为干扰项, 只有选项(B)正确..2. 一批产品由95件正品和5件次品组成, 先后从中抽取两件, 第一次取出后不再放回.求: (1) 第一次抽得正品且第二次抽得次品的概率; (2) 抽得一件为正品, 一件为次品的概率.解 (1) 第一次抽得正品且第二次抽得次品的概率为9551910099396×=×. (1) 抽得一件为正品,一件为次品的概率为95559519.10099198×+×=× 3. 设有一箱同类型的产品是由三家工厂生产的. 已知其中有21的产品是第一家工厂生产的, 其它二厂各生产41. 又知第一、第二家工厂生产的产品中有2%是次品, 第三家工厂生产的产品中有4%是次品. 现从此箱中任取一件 产品, 求取到的是次品的概率.解 从此箱中任取一件产品, 必然是这三个厂中某一家工厂的产品. 设 A ={取到的产品是次品}, B i ={取到的产品属于第i 家工厂生产}, i =1, 2, 3. 由于B i B j =(i ≠j, i , j =1, 2, 3)且B ∅1∪B 2∪B 3=S , 所以B 1, B 2, B 3是S 的一个划分. 又 P (B 1)=21, P (B 2) =41, P (B 3)=41, P (A | B 1)=1002, P (A | B 2)=1002, P (A | B 3)=1004, 由全概率公式得P (A )=P (B 1)P (A |B 1)+P (B 2)P (A |B 2)+P (B 3)P (A | B 3)=100441100241100221×+×+×=0.025. 4. 某厂自动生产设备在生产前须进行调整. 假定调整良好时, 合格品为90%; 如果调整不成功, 则合格品有30%. 若调整成功的概率为75%, 某日调整后试生产, 发现第一个产品合格. 问设备被调整好的概率是多少?解 设A ={设备调整成功}, B ={产品合格}. 则全概率公式得到()()(|)()(|0.750.90.250.30.75P B P A P B A P A P B A =+=×+×=.由贝叶斯公式可得()0.750.9(|)0.9()0.75()(|)()P AB P A B P B P A P B A P B ×====. 5. 将两份信息分别编码为A 和B 传递出去. 接收站收到时, A 被误收作B 的概率为0.02, 而B 被误收作A 的概率为0.01, 信息A 与信息B 传送的频繁程度为2:1. 若接收站收到的信息是A , 问原发信息是A 的概率是多少?解 以D 表示事件“将信息A 传递出去”,以D 表示事件“将信息B 传递出去”,以R 表示事件“接收到信息A ”,以R 表示事件“接收到信息B ”.已知21()0.02,()0.01,(),()33P R D P R D P D P D ====. 由贝叶斯公式知()()()196()()197()()()()P R D P D P DR P D R P R P R D P D P R D P D ===+.。
概率论与随机过程习题答案标准化工作室编码[XX968T-XX89628-XJ668-XT689N]《概率论与随机过程》第一章习题答案1. 写出下列随机试验的样本空间。
(1) 记录一个小班一次数学考试的平均分数(设以百分制记分)。
解: ⎭⎬⎫⎩⎨⎧⨯=n n nn S 100,,1,0 ,其中n 为小班人数。
(2) 同时掷三颗骰子,记录三颗骰子点数之和。
解:{}18,,4,3 =S 。
(3) 10只产品中有3只是次品,每次从其中取一只(取出后不放回),直到将3只次品都取出,记录抽取的次数。
解: {}10,,4,3 =S 。
(4) 生产产品直到得到10件正品,记录生产产品的总件数。
解: {} ,11,10=S 。
(5) 一个小组有A ,B ,C ,D ,E5个人,要选正副小组长各一人(一个人不能兼二个职务),观察选举的结果。
解: {}ED EC EB EA DE DC DB DA CE CD CB CA BE BD BC BA AE AD AC AB S ,,,,,,,,,,,,,,,,,,,=其中,AB 表示A 为正组长,B 为副组长,余类推。
(6) 甲乙二人下棋一局,观察棋赛的结果。
解: {}210,,e e e S =其中,0e 为和棋,1e 为甲胜,2e 为乙胜。
(7) 一口袋中有许多红色、白色、蓝色乒乓球,在其中任意取4只,观察它们具有哪几种颜色。
解: {}rwb wb rb rw b w r S ,,,,,,=其中,,,,b w r 分别表示红色、白色、蓝色。
(8) 对某工厂出厂的产品进行检查,合格的盖上“正品”,不合格的盖上“次品”,如连续查出二个次品就停止检查,或检查4个产品就停止检查,记录检查的结果。
解: {}1111,1110,1101,0111,1011,1010,1100,0110,0101,0100,100,00=S 其中,0为次品,1为正品。
(9) 有A ,B ,C 三只盒子,a ,b ,c 三只球,将三只球装入三只盒子中,使每只盒子装一只球,观察装球的情况。
第一章思 考 题1.事件的和或者差的运算的等式两端能“移项”吗?为什么?2.医生在检查完病人的时候摇摇头“你的病很重,在十个得这种病的人中只有一个能救活. ”当病人被这个消息吓得够呛时,医生继续说“但你是幸运的.因为你找到了我,我已经看过九个病人了,他们都死于此病,所以你不会死” ,医生的说法对吗?为什么?3.圆周率 1415926.3=π是一个无限不循环小数, 我国数学家祖冲之第一次把它计算到小数点后七位, 这个记录保持了1000多年! 以后有人不断把它算得更精确. 1873年, 英国学者沈克士公布了一个π的数值, 它的数目在小数点后一共有707位之多! 但几十年后, 曼彻斯特的费林生对它产生了怀疑. 他统计了π的608位小数, 得到了下表:675844625664686762609876543210出现次数数字 你能说出他产生怀疑的理由吗?答:因为π是一个无限不循环小数,所以,理论上每个数字出现的次数应近似相等,或它们出现的频率应都接近于0.1,但7出现的频率过小.这就是费林产生怀疑的理由.4.你能用概率证明“三个臭皮匠胜过一个诸葛亮”吗?5.两事件A 、B 相互独立与A 、B 互不相容这两个概念有何关系?对立事件与互不相容事件又有何区别和联系?6.条件概率是否是概率?为什么?习 题1.写出下列试验下的样本空间:(1)将一枚硬币抛掷两次答:样本空间由如下4个样本点组成{(,)(,)(,)(,)Ω=正正,正反,反正,反反 (2)将两枚骰子抛掷一次答:样本空间由如下36个样本点组成{(,),1,2,3,4,5,6}i j i j Ω==(3)调查城市居民(以户为单位)烟、酒的年支出答:结果可以用(x ,y )表示,x ,y 分别是烟、酒年支出的元数.这时,样本空间由坐标平面第一象限内一切点构成 .{(,)0,0}x y x y Ω=≥≥2.甲,乙,丙三人各射一次靶,记-A “甲中靶” -B “乙中靶” -C “丙中靶” 则可用上述三个事件的运算来分别表示下列各事件:(1) “甲未中靶”: ;A(2) “甲中靶而乙未中靶”: ;B A(3) “三人中只有丙未中靶”: ;C AB(4) “三人中恰好有一人中靶”: ;C B A C B A C B A(5)“ 三人中至少有一人中靶”: ;C B A(6)“三人中至少有一人未中靶”: ;C B A 或;ABC(7)“三人中恰有两人中靶”: ;BC A C B A C AB(8)“三人中至少两人中靶”: ;BC AC AB(9)“三人均未中靶”: ;C B A(10)“三人中至多一人中靶”: ;C B A C B A C B A C B A(11)“三人中至多两人中靶”: ;ABC 或;C B A3 .设,A B 是两随机事件,化简事件 (1)()()A B A B (2) ()()A B A B 解:(1)()()A B AB AB AB B B ==, (2) ()()A B A B ()A B A B B A A B B ==Ω=.4.某城市的电话号码由5个数字组成,每个数字可能是从0-9这十个数字中的任一个,求电话号码由五个不同数字组成的概率. 解:51050.302410P P ==. 5.n 张奖券中含有m 张有奖的,k 个人购买,每人一张,求其中至少有一人中奖的概率。
第1章概率论的基本概念§1 .8 随机事件的独立性1. 电路如图,其中A,B,C,D为开关。
设各开关闭合与否相互独立,且每一开关闭合的概率均为p,求L与R为通路(用T表示)的概率。
A BL RC D1.甲,乙,丙三人向同一目标各射击一次,命中率分别为0.4,0.5和0.6,是否命中,相互独立,求下列概率: (1) 恰好命中一次,(2) 至少命中一次。
第1章作业答案§1 .8.1:用A,B,C,D表示开关闭合,于是T = AB∪CD,从而,由概率的性质及A,B,C,D的相互独立性P(T) = P(AB) + P(CD) - P(ABCD)= P(A)P(B) + P(C)P(D) – P(A)P(B)P(C)P(D)422p224-+==pppp-2:(1) 0.4(1-0.5)(1-0.6)+(1-0.4)0.5(1-0.6)+(1-0.4)(1-0.5)0.6=0.38;(2) 1-(1-0.4)(1-0.5)(1-0.6)=0.88.第2章随机变量及其分布0-分布和泊松分布§2.211 某程控交换机在一分钟接到用户的呼叫次数X是服从λ=4的泊松分布,求(1)每分钟恰有1次呼叫的概率;(2)每分钟只少有1次呼叫的概率;(3)每分钟最多有1次呼叫的概率;2 设随机变量X有分布律:X 23 , Y~π(X), 试求:p 0.4 0.6(1)P(X=2,Y≤2);(2)P(Y≤2);(3) 已知Y≤2, 求X=2 的概率。
§2.3贝努里分布2 设每次射击命中率为0.2,问至少必须进行多少次独立射击,才能使至少击中一次的概率不小于0.9 ?§2.6均匀分布和指数分布2 假设打一次所用时间(单位:分)X 服从2.0=α的指数分布,如某人正好在你前面走进亭,试求你等待:(1)超过10分钟的概率;(2)10分钟 到20分钟的概率。
§2.7正态分布1 随机变量X ~N (3, 4), (1) 求 P(2<X ≤5) , P(- 4<X ≤10), P(|X|>2),P(X>3); (1)确定c ,使得 P(X>c) = P(X<c)。
概率论第一章习题解答习题1.11. 写出下列随机试验的样本空间Ω及指定的事件:(1)袋中有3个红球和2个白球,现从袋中任取一个球,观察其颜色;(2)掷一枚硬币,设H 表示“出现正面”,T 表示“出现反面”.现将一枚硬币连掷两次,观察出现正、反面的情况,并用样本点表示事件A =“恰有一次出现正面”;(3)对某一目标进行射击,直到击中目标为止,观察其射击次数,并用样本点表示事件A =“射击次数不超过5次”;(4)生产某产品直到5件正品为止,观察记录生产该产品的总件数;(5)从编号a 、b 、c 、d 的四人中,随机抽取正式和列席代表各一人去参加一个会议,观察选举结果,并用样本点表示事件A =“编号为a 的人当选”.解:(1)Ω = {红色, 白色}; (2)Ω = {(H , H ), (H , T ), (T , H ), (T , T )},A = {(H , T ), (T , H )};(3)Ω = {1, 2, 3, …, n , …},A = {1, 2, 3, 4, 5}; (4)Ω = {5, 6, 7, …, n , …};(5)Ω = {(a , b ), (a , c ), (a , d ), (b , a ), (b , c ), (b , d ), (c , a ), (c , b ), (c , d ), (d , a ), (d , b ), (d , c )},A = {(a , b ), (a , c ), (a , d ), (b , a ), (c , a ), (d , a )}.2. 某射手射击目标4次,记事件A =“4次射击中至少有一次击中”,B =“4次射击中击中次数大于2”.试用文字描述事件A 与B . 解:A 表示4次射击都没有击中,B 表示4次射击中击中次数不超过2.3. 设A , B , C 为三个事件,试用事件的运算关系表示下列事件:(1)A , B , C 都发生;(2)A , B , C 都不发生;(3)A , B , C 中至少有一个发生;(4)A , B , C 中最多有一个发生;(5)A , B , C 中至少有两个发生;(6)A , B , C 中最多有两个发生.解:(1)ABC ; (2)C B A ; (3)A ∪B ∪C ; (4)C B A C B A C B A C B A U U U ;(5)ABC BC A AB U U U ; (6)ABC .4. 在一段时间内,某电话交换台接到呼唤的次数可能是0次,1次,2次,….记事件A n =“接到的呼唤次数小于n ”(n = 1, 2, …),试用事件的运算关系表示下列事件:(1)呼唤次数大于2;(2)呼唤次数在5到10次范围内;(3)呼唤次数与8的偏差大于2.解:(1)3A ; (2)A 11 − A 5; (3)116A A U .5. 证明:(1)Ω=−A B A AB U U )(; (2)AB B A B A B A =))()((U U U .证:(1)Ω==Ω===−A A B A A AB B A AB U U U U U U U U )()(;(2)U U U U U U A B A B B A B A B A B A ())(())()((==∅AB AB A A B A A B A ===U U U )())(.习题1.21. 设P (A ) = P (B ) = P (C ) = 1/4,P (AB ) = P (BC ) = 0,P (AC ) = 1/8,求A 、B 、C 三个事件至少有一个发生的概率.解:因P (AB ) = P (BC ) = 0,且ABC ⊂ AB ,有P (ABC ) = 0, 则8581414141)()()()()()()()(=−++=+−−−++=ABC P BC P AC P AB P C P B P A P C B A P U U . 2. 设P (A ) = 0.4,P (B ) = 0.5,P (A ∪B ) = 0.7,求P (A − B )及P (B − A ).解:因P (AB ) = P (A ) + P (B ) − P (A ∪B ) = 0.4 + 0.5 − 0.7 = 0.2,则P (A − B ) = P (A ) − P (AB ) = 0.4 − 0.2 = 0.2,P (B − A ) = P (B ) − P (AB ) = 0.5 − 0.2 = 0.3.3. 某市有A , B , C 三种报纸发行.已知该市某一年龄段的市民中,有45%的人喜欢读A 报,34%的人喜欢读B 报,20%的人喜欢读C 报,10%的人同时喜欢读A 报和B 报,6%的人同时喜欢读A 报和C 报,4%的人同时喜欢读B 报和C 报,1%的人A , B , C 三种报纸都喜欢读.从该市这一年龄段的市民中任选一人,求下列事件的概率:(1)至少喜欢读一种报纸;(2)三种报纸都不喜欢;(3)只喜欢读A 报;(4)只喜欢读一种报纸.解:分别设A , B , C 表示此人喜欢读A , B , C 报,有P (A ) = 0.45,P (B ) = 0.34,P (C ) = 0.2,P (AB ) = 0.1,P (AC ) = 0.06,P (BC ) = 0.04,P (ABC ) = 0.01,(1)P (A ∪B ∪C ) = P (A ) + P (B ) + P (C ) − P (AB ) − P (AC ) − P (BC ) + P (ABC ) = 0.8;(2)2.0)(1)((=−==C B A P C B A P P U U U U ;(3)3.0)()()()()()()(=+−−=−=ABC P AC P AB P A P B A P B A P C B A P ;(4)因21.0)()()()()()()(=+−−=−=ABC P BC P AB P B P P B P B P ,11.0)()()()()()()(=+−−=−=ABC P BC P AC P C P BC A P C A P C B A P , 故62.0)()()()(=++=++C B A P C B A P C B A P C B A C B A C B A P .4. 连续抛掷一枚硬币3次,求既有正面又有反面出现的概率.解:样本点总数n = 2 3 = 8,事件A 中样本点数62313=+=C C k A ,则75.043)(===n k A P A . 5. 在分别写有2, 4, 6, 7, 8, 11, 12, 13的8张卡片中任取两张,把卡片上的两个数字组成一个分数,求所得分数为既约分数的概率.解:样本点总数2828==C n ,事件A 中样本点数18231315=+=C C C k A ,则6429.0149)(===n k A P A . 6. 一部5卷文集任意地排列在书架上,问卷号自左向右或自右向左恰好为1, 2, 3, 4, 5顺序的概率等于多少?解:样本点总数12055==A n ,事件A 中样本点数k A = 2,则0167.0601)(===n k A P A . 7. 10把钥匙中有3把能打开某一门锁,今任取两把,求能打开某该门锁的概率.解:样本点总数45210==C n ,事件A 中样本点数24231317=+=C C C k A ,则5333.0158)(===n k A P A . 8. 一副扑克牌有52张,进行不放回抽样,每次一张,连续抽取4张,计算下列事件的概率:(1)四张花色各异;(2)四张中只有两种花色. 解:样本点总数270725452==C n ,(1)事件A 1中样本点数285611131131131131==C C C C k A ,则1055.0208252197)(11===n k A P A ; (2)事件A 2表示两种花色各两张,或者一种1张一种3张,样本点数81120)2(113313213213242=+=C C C C C k A ,则2996.041651248)(22===n k A P A . 9. 口袋内装有2个伍分、3个贰分、5个壹分的硬币共10枚,从中任取5枚,求总值超过壹角的概率. 解:样本点总数252510==C n ,事件A 分三种情形:①两枚5分,三枚其它,②一枚5分,三枚2分,一枚1分,③一枚5分,两枚2分,两枚1分,样本点数1262523121533123822=++=C C C C C C C C k A ,则5.021)(===n k A P A . 方法二:10枚硬币总额2角1分,任取5枚若超过1角,那么剩下的5枚将不超过1角,可见事件A 中的样本点与A 中的样本点一一对应,即A k k =,则5.0)()(==A P A P .10.在10个数字0, 1, 2, …, 9中任取4个(不重复),能排成一个4位偶数的概率是多少(最好是更正为:排在一起,恰好排成一个4位偶数的概率是多少)?解:样本点总数5040410==A n ,事件A 的限制条件是个位是偶数,首位不是0,样本点数2296281814281911=+=A A A A A A k A ,则4556.09041)(===n k A P A . 11.一个教室中有100名学生,求其中至少有一人的生日是在元旦的概率(设一年以365天计算). 解:样本点总数n = 365 100,A 的对立事件A 表示所有学生生日都不在元旦,100364=A k , 则2399.036536411(1)(100=⎟⎠⎞⎜⎝⎛−=−=−=n k A P A P A .12.在 [0, 1] 区间内任取两个数,求两数乘积小于1/4的概率.解:设所取得两个数为x , y ,Ω = {(x , y ) | 0 < x < 1, 0 < y < 1},}1,10,10|),{(<<<<=y x y x A 有m (Ω) = 1,4034.042ln 23)41ln 4141(1)ln 41(411()(141141=−=−−=−=−=∫x x dx x A m 则5966.042ln 21)()(1(1)(=+=Ω−=−=m A m P A P . 习题1.31. 一只盒子有3只坏晶体管和7只好晶体管,在其中取二次,每次随机地取一只,作不放回抽样,发现第一只是好的,问另一只也是好的概率是多少?解:设A 表示第一只是好的,B 表示第二只是好的,当第一只是好的时,第二次抽取前有3只是坏的,6只是好的,则6667.03296)|(===A B P . 2. 某商场从生产同类产品的甲、乙两厂分别进货100件、150件,其中:甲厂的100件中有次品4件,乙厂的150件中有次品1件.现从这250件产品中任取一件,从产品标识上看它是甲厂生产的,求它是次品的概率.解:设A 表示甲厂产品,B 表示次品,故04.01004)|(==A B P . 3. 根据抽样调查资料,2000年某地城市职工家庭和农村居民家庭收入按人均收入划分的户数如下:户数 6000元以下 6000 ~ 12000元 12000元以上 合计城市职工 25 125 50 200 农村居民 120 132 48 300 合计 145 257 98 500 现从被调查的家庭中任选一户,已知其人均收入在6000元以下,试问这是一个城市职工家庭的概率是多少?解:设A 表示人均收入在6000元以下,B 表示城市职工家庭,故1724.014525)|(==A B P . 4. 某单位有92%的职工订阅报纸,93%的职工订阅杂志,在不订阅报纸的职工中仍有85%的职工订阅杂志,从单位中任找一名职工,求下列事件的概率:(1)该职工至少订阅报纸或杂志中一种;(2)该职工不订阅杂志,但是订阅报纸. 解:设A 表示订阅报纸,B 表示订阅杂志,有P (A ) = 0.92,P (B ) = 0.93,85.0|(=A B P , 则068.085.008.0)|()()(=×==A B P A P B A P ,862.0068.093.0)()()(=−=−=B A P B P AB P ,(1)P (A ∪B ) = P (A ) + P (B ) − P (AB ) = 0.92 + 0.93 − 0.068 = 0.988;(2)P (A − B ) = P (A ) − P (AB ) = 0.92 − 0.862 = 0.058.5. 某工厂有甲、乙、丙三个车间生产同一种产品,各个车间的产量分别占全厂产量的25%、35%、40%,各车间产品的次品率分别为5%、4%、2%.(1)求全厂产品的次品率;(2)如果从全厂产品中抽取一件产品,恰好是次品,问这件次品是甲、乙、丙车间生产的概率分别是多少?解:(1)任取一件产品,设A 1, A 2, A 3分别表示甲、乙、丙车间产品,B 表示次品,则P (B ) = P (A 1) P (B | A 1) + P (A 2) P (B | A 2) + P (A 3) P (B | A 3)= 0.25 × 0.05 + 0.35 × 0.04 + 0.4 × 0.02 = 0.0345;(2)3623.069250345.005.025.0)()|()()()()|(1111==×===B P A B P A P B P B A P B A P , 4058.069280345.004.035.0)()|()()()()|(2222==×===B P A B P A P B P B A P B A P , 2319.069160345.002.04.0)()|()()()()|(3333==×===B P A B P A P B P B A P B A P . 6. 有三个形状相同的罐,在第一罐中有两个白球和一个黑球;在第二个罐中有三个白球和一个黑球;在第三个罐中有两个白球和两个黑球.某人随机地取一罐,再从该罐中任取一球,试问这球是白球的概率有多少?解:设321,,A A A 分别表示第一、二、三罐,B 表示白球, 则6389.03623423143313231)|()()|()()|()()(332211==×+×+×=++=A B P A P A B P A P A B P A P B P . 7. 三部自动的机器生产同样的汽车零件,其中机器A 生产的占40%,机器B 生产的占25%,机器C 生产的占35%,平均说来,机器A 生产的零件有10%不合格,对于机器B 和C ,相应的百分数分别为5%和1%,如果从总产品中随机地抽取一个零件,发现为不合格,试问:(1)它是由机器A 生产出来的概率是多少?(2)它是由哪一部机器生产的可能性最大?解:设A 1, A 2, A 3分别表示机器A , B , C 生产的零件,D 表示不合格的零件,(1))|()()|()()|()()|()()()()|(3322111111A D P A P A D P A P A D P A P A D P A P D P D A P D A P ++== 7143.075056.004.001.035.005.025.01.04.01.04.0===×+×+××=; (2)2232.011225056.00125.0056.005.025.0)()()|(22===×==D P D A P D A P ,0625.01127056.00035.0056.001.035.0)()()|(33===×==D P D A P D A P , 则由机器A 生产的概率最大.8. 设P (A ) > 0,试证:)()(1)|(A P B P A B P −≥. 证:)()(1)()(11)(1)()()()()()()()()|(A P B P A P B P A P B P A P A P B A P B P A P A P AB P A B P −=−−=−+≥−+==U . 习题1.41. 一个工人看管三台机床,在一小时内机床不需要工人看管的概率分别为0.9、0.8、0.7,求在一小时内3台机床中最多有一台需要工人看管的概率.解:设A 1, A 2, A 3分别表示一小时内第一、二、三台机床不需要工人照管,可以认为A 1, A 2, A 3相互独立, 则概率为)()()()()(321321321321321321321321A A A P A A A P A A A P A A A P A A A A A A A A A A A A P +++=U U U)()()()()()()()()()()()(321321321321A P A P A P A P A P A P A P A P A P A P A P A P +++== 0.9 × 0.8 × 0.7 + 0.9 × 0.8 × 0.3 + 0.9 × 0.2 × 0.7 + 0.1 × 0.8 × 0.7 = 0.902.2. 电路由电池A 与两个并联的电池B 及C 串联而成,设电池A , B ,电路发生断电的概率. 解:设A , B , C 分别表示电池A , B , C 损坏,电路断电为事件A ∪BC ,则概率为P (A ∪BC ) = P (A ) + P (BC ) − P (ABC ) = P (A ) + P (B ) P (C ) − P (A ) P (B ) P (C ) = 0.3 + 0.2 × 0.2 − 0.3 × 0.2 × 0.2 = 0.328.方法二:设A , B , C 分别表示电池A , B , C 正常工作,系统正常工作为事件A (B ∪C ) = AB ∪AC , 则概率为1 − P (AB ∪AC ) = 1 − P (AB ) − P (AC ) + P (ABC )= 1 − P (A ) P (B ) − P (A ) P (C ) + P (A ) P (B ) P (C )= 1 − 0.7 × 0.8 − 0.7 × 0.8 + 0.7 × 0.8 × 0.8 = 0.328.3. 加工某一零件共需经过四道工序.设第一、二、三、四道工序的次品率分别为2%, 3%, 5%, 3%,假定各道工序是互不影响的,求加工出来的零件的次品率.解:设A 1, A 2, A 3, A 4分别表示第一、二、三、四道工序加工出合格品,有A 1, A 2, A 3, A 4相互独立,则概率为1 − P (A 1A 2A 3A 4) = 1 − P (A 1) P (A 2) P (A 3) P (A 4) = 1 − 0.98 × 0.97 × 0.95 × 0.97 = 0.1240.4. 抛掷一枚质地不均匀的硬币8次,设正面出现的概率为0.6,求下列事件的概率:(1)正好出现3次正面;(2)至多出现2次正面;(3)至少出现2次正面.解:将每次掷硬币看作一次试验,出现正面A ,反面A ;独立;P (A ) = 0.6.伯努利概型,n = 8,p = 0.6.(1)1239.04.06.0)3(53388=××=C P ; (2)0498.04.06.04.06.04.06.0)2()1()0(622871188008888=××+××+××=++C C C P P P ;(3)9915.04.06.04.06.01)1()0(17118800888=××−××−=−−C C P P .5. 设每次射击时命中率为0.2,问至少必须进行多少次独立射击才能使至少击中一次的概率不小于0.9?解:将每次射击看作一次试验,击中A ,没击中A ;独立;P (A ) = 0.2.伯努利概型,n 次试验,p = 0.2,则9.08.018.02.01)0(100≥−=××−=−n n n n C P ,即0.8 n ≤ 0.1,故32.108.0lg 1.0lg =≥n ,取n = 11.6. 一大批产品的优质品率为60%,从中任取10件,求下列事件的概率:(1)取到的10件产品中恰有5件优质品;(2)取到的10件产品中至少有5件优质品;(3)取到的10件产品中优质品的件数不少于4件且不多于8件.解:将取每件产品看作一次试验,优质品A ,非优质品A ;独立;P (A ) = 0.6.伯努利概型,n = 10,p = 0.6.(1)2007.04.06.0)5(5551010=××=C P ;(2)P 10 (5) + P 10 (6) + P 10 (7) + P 10 (8) + P 10 (9) + P 10 (10)288103771046610555104.06.04.06.04.06.04.06.0××+××+××+××=C C C C8338.04.06.04.06.0010101019910=××+××+C C ;(3)P 10 (4) + P 10 (5) + P 10 (6) + P 10 (7) + P 10 (8)28810377104661055510644104.06.04.06.04.06.04.06.04.06.0××+××+××+××+××=C C C C C= 0.8989;7. 证明:若)|()|(B A P B A P =,则事件A 与B 独立. 证:因)(1)()()(1)()()()|()()()|(B P AB P A P B P B A P P B A P B A P B P AB P B A P −−=−−====, 则P (AB )[1 − P (B )] = P (B )[P (A ) − P (AB )],即P (AB ) − P (AB ) P (B ) = P (B ) P (A ) − P (B ) P (AB ), 故P (AB ) = P (A ) P (B ),A 与B 相互独立.复习题一1. 设P (A ) = 0.5,P (B ) = 0.6,问:(1)什么条件下P (AB )可以取最大值,其值是多少?(2)什么条件下P (AB )可以取得最小值,其值是多少?解:(1)当A ⊂ B 时P (AB ) 最大,P (AB ) = P (A ) = 0.5;(2)当A ∪B = Ω 时P (AB ) 最小,P (AB ) = P (A ) + P (B ) − P (A ∪B ) = 0.5 + 0.6 − 1 = 0.1.2. 一电梯开始上升时载有5名乘客,且这5人等可能地在8层楼的任何一层出电梯,求:(1)每层至多一人离开的概率;(2)至少有两人在同一层离开的概率;(3)只有一层有两人离开的概率.解:样本点总数是8取5次的可重排列,即n = 8 5 = 32768,(1)事件A 1中样本点数6720581==A k A ,则2051.0512105)(11===nk A P A ; (2)事件A 2是A 1的对立事件,则7949.0512407)(1)(12==−=A P A P ; (3)事件A 3表示有两人在同一层离开,而另外三人分别在3个不同楼层或者都在同一层离开,样本点数17360)(33173725183=+=C A A C A k A ,则5298.020481085)(33===n k A P A . 3. 从5副不同的手套中任取4只手套,求其中至少有两只手套配成一副的概率.解:样本点总数210410==C n ,A 的对立事件表示4只手套都不配套,801212121245==C C C C C k A , 则6190.021131(1)(==−=−=n k A P A P A . 4. 从1, 2, …, n 中任取两数,求所取两数之和为偶数的概率. 解:样本点总数为)1(212−=n n C n ,事件A 表示取得两个偶数或两个奇数,当n 为偶数时,共有2n 个偶数和2n 个奇数, 样本点数)2(41)12(22222−=−=+=n n n n C C k n n A ,则)1(22)(2−−==n n C k A P n A ; 当n 为偶数时,共有21−n 个偶数和21+n 个奇数, 样本点数2221221)1(41212121232121−=−⋅+⋅+−⋅−⋅=+=+−n n n n n C C k n n A ,则n n C k A P nA 21)(2−==. 5. 在中国象棋的棋盘上任意地放上一只红“车”及一只黑“车”,求它们正好可以一只吃掉另一只的概率.解:样本点总数4005290==C n ,事件A 中样本点数7652911021019=+=C C C C k A ,则1910.08917)(===n k A P A . 6. 某货运码头仅能容一船卸货,而甲、乙两船在码头卸货时间分别为1小时和2小时.设甲、乙两船在24小时内随时可能到达,求它们中任何一船都不需等待码头空出的概率.解:Ω = {(x , y ) | 0 ≤ x < 24, 0 ≤ y < 24},A = {(x , y ) | 0 ≤ x < 24, 0 ≤ y < 24, x − y > 2或y − x > 1},有m (Ω) = 24 2 = 576,5.50622212321)(22=×+×=A m , 则8793.05765.506)()()(==Ω=m A m A P . 7. 从区间 [0, 1] 中任取三个数,求三数和不大于1的概率.解:Ω = {(x , y , z ) | 0 ≤ x , y , z ≤ 1},A = {(x , y , z ) | 0 ≤ x , y , z ≤ 1, x + y + z ≤ 1},有m (Ω) = 1,A 是一个三棱锥,6112131)(=××=A m ,则1667.061)()()(==Ω=m A m A P . 8. 已知5%的男人和0.25%的女人是色盲,现随机地挑选一人,此人恰为色盲,问此人是男人的概率是多少?(假设男人和女人各占人数的一半.)解:设A 1, A 2分别表示男人和女人,B 表示色盲,则9524.021200025.05.005.05.005.05.0)|()()|()()|()()()()|(22111111==×+××=+==A B P A P A B P A P A B P A P B P B A P B A P . 9. 发报台分别以0.7和0.3的概率发出信号0和1(例如:分别用低电频和高电频表示).由于随机干扰的影响,当发出信号0时,接收台不一定收到0,而是以概率0.8和0.2收到信号0和1;同样地,当发报台发出信号1时,接收台以概率0.9和0.1收到信号1和0.试求:(1)接收台收到信号0的概率;(2)当接收台收到信号0时,发报台确是发出信号0的概率.解:设A 0, A 1分别表示发出信号0, 1,B 0, B 1表示收到信号0, 1,(1)P (B 0) = P (A 0) P (B 0 | A 0) + P (A 1) P (B 0 | A 1) = 0.7 × 0.8 + 0.3 × 0.1 = 0.59;(2)9492.0595659.08.07.0)()|()()()()|(000000000==×===B P A B P A P B P B A P B A P . 10.设A , B 独立,AB ⊂ D ,D B A ⊂,证明P (AD ) ≥ P (A ) P (D ).证:因AB ⊂ D ,有AB ⊂ AD ,则P (AD ) − P(AB ) = P (AD − AB ),B D ΩA因B A ⊂=U ,有D ⊂ A ∪B ,D − B ⊂ A ∪B − B ⊂ A ,则AD − AB = A (D − B ) = D − B ,故P (AD ) − P (AB ) = P (AD − AB ) = P (D − B ) ≥ P (A ) P (D − B ) ≥ P (A ) [P (D ) − P (B )],由于A , B 独立,有P (AB ) = P (A ) P (B ),故P (AD ) ≥ P (A ) P (D ).11.甲、乙、丙三人同时向一架飞机射击,他们击中目标的概率分别为0.4, 0.5, 0.7.假设飞机只有一人击中时,坠毁的概率为0.2,若2人击中,飞机坠毁的概率为0.6,而飞机被3人击中时一定坠毁.现在如果发现飞机已被击中坠毁,计算它是由三人同时击中的概率.解:结果:设B 表示目标被击毁,原因:设A 0, A 1, A 2, A 3分别表示无人、1人、2人、3人击中目标, 则)|()()|()()|()()|()()|()()()()|(332211003333A B P A P A B P A P A B P A P A B P A P A B P A P B P B A P B A P +++==, 且有P (B | A 0) = 0,P (B | A 1) = 0.2,P (B | A 2) = 0.6,P (B | A 3) = 1,又设C 1, C 2, C 3分别表示甲、乙、丙击中目标, 则09.03.05.06.0)()()()()(3213210=××===C P C P C P C C C P A P ,)()(3213213211C C C C C C C C C P A P U U =)()()()()()()()()(321321321C P P P P C P P P P C P ++== 0.4 × 0.5 × 0.3 + 0.6 × 0.5 × 0.3 + 0.6 × 0.5 × 0.7 = 0.36,)()(3213213212C C C C C C C C C P A P U U =)()()()()()()()()(321321321C P C P P C P P C P P C P C P ++== 0.4 × 0.5 × 0.3 + 0.4 × 0.5 × 0.7 + 0.6 × 0.5 × 0.7 = 0.41,P (A 3) = P (C 1C 2C 3) = P (C 1) P (C 2) P (C 3) = 0.4 × 0.5 × 0.7 = 0.14, 故3057.0458.014.0114.06.041.02.036.0009.0114.0)|(3==×+×+×+××=B A P . 12.已知某种疾病患者的痊愈率为25%,为试验一种新药是否有效,把它给10个病人服用,且规定若10个病人中至少有4人治好则认为这种药有效,反之则认为无效.试求:(1)虽然新药有效,且把痊愈率提高到35%,但通过试验被否定的概率;(2)新药完全无效,但通过试验被认为有效的概率. 解:将每人服药看作一次试验,痊愈A ,没有痊愈A ;独立;(1)新药有效,痊愈率为0.35,即P (A ) = 0.35,伯努利概型,n = 10,p = 0.35,故概率为P 10 (0) + P 10 (1) + P 10 (2) + P 10 (3) 5138.065.035.065.035.065.035.065.035.0733108221091110100010=××+××+××+××=C C C C .(2)新药完全无效,痊愈率为0.25,即P (A ) = 0.25,伯努利概型,n = 10,p = 0.25,故所求概率为1 − P 10 (0) − P 10 (1) − P 10 (2) − P 10 (3)2241.075.025.075.025.075.025.075.025.01733108221091110100010=××−××−××−××−=C C C C .。
《概率论与数理统计》第一章参考解答(仅供参考,不妥之处及时指出)习题1.1(略)习题1.21.解 141414185()()()()()()()()000P A B C P A P B P C P AB P AC P BC P ABC ++=++−−−+=++−−−+=.2.解 ,()()()()0.40.50.70.2P AB P A P B P A B =+−=+−=∪()()()0.40.20.2P A B P A P AB −=−=−=,()()()0.50.20.3P B A P B P AB −=−=−=。
3.解 用、A B 、分别表示任选的一位该年龄段的市民喜欢读报、C A B 报、C 报,依题设 ()0.45,()0.34,()0.20,P A P B P C ===()0.10,()0.06,()0.04,()0.01P AB P AC P BC P ABC ====)。
(1) 任选的一位该年龄段的市民至少喜欢读一种报纸的概率()()()()()()()(0.450.340.200.100.060.040.010.80.P A B C P A P B P C P AB P AC P BC P ABC ++=++−−−+=++−−−+= (2) 任选的一位该年龄段的市民三种报纸都不喜欢读的概率()()1()10.800.20.P ABC P A B C P A B C =++=−++=−=(3) 任选的一位该年龄段的市民只喜欢读报的概率 A ()()()()()[()()]0.450.100.060.010.30P ABC P AB P ABC P A P AB P AC P ABC =−=−−−=−−+=。
(4) 同理可以求得:任选的一位该年龄段的市民只喜欢读B 报的概率()()()()()[()()]0.340.100.040.010.21,P ABC P AB P ABC P B P AB P BC P ABC =−=−−−=−−+= 任选的一位该年龄段的市民只喜欢读报的概率 C ()()()()()[()()]0.200.060.040.010.11,P ABC P AC P ABC P C P AC P BC P ABC =−=−−−=−−+= 故任选的一位该年龄段的市民只喜欢读一种报报的概率()()()()0.300.210.110.62P ABC ABC ABC P ABC P ABC P ABC ++=++=++=。
1第一章 随机事件及其概率1.解:(1){}67,5,4,3,2=S (2){} ,4,3,2=S (3){} ,,,TTH TH H S =(4){}6,5,4,3,2,1,,T T T T T T HT HH S = 2.解:81)(,21)(,41)(===AB P B P A P\)()()()(AB P B P A P B A P -+= 85812141=-+=)()()(AB P B P B A P -==838121=-= 87811)(1)(=-=-=AB P AB P)])([(AB B A P )]()[(AB B A P -=)()(AB P B A P -= )(B A AB Ì 218185=-=3.解:用A 表示事件“取到的三位数不包含数字1” 2518900998900)(191918=´´==C C C A P4、解:用A 表示事件“取到的三位数是奇数”,用B 表示事件“取到的三位数大于330330””(1)455443)(2515141413´´´´==A C C C C A P =0.482)455421452)(251514122512´´´´+´´=+=A C C C A C B P =0.485、解:用A 表示事件“表示事件“44只中恰有2只白球,只白球,11只红球,只红球,11只黑球”, 用B 表示事件“表示事件“44只中至少有2只红球”, 用C 表示事件“表示事件“44只中没有只白球”只中没有只白球” (1)412131425)(C C C C A P ==495120=338(2)4124838141)(C C C C B P +-==16567495201= 或16567)(4124418342824=++=C C C C C C B P(3)99749535)(41247===CC C P6.解:用A 表示事件“某一特定的销售点得到k 张提货单”张提货单” nkn k n MM C A P --=)1()(7、解:用A 表示事件“表示事件“33只球至少有1只配对”,用B 表示事件“没有配对”表示事件“没有配对” (1)3212313)(=´´+=A P 或321231121)(=´´´´-=A P(2)31123112)(=´´´´=B P8、解、解 1.0)(,3.0)(,5.0)(===AB P B P A P(1)313.01.0)()()(===B P AB P B A P ,515.01.0)()()(===A P AB P A B P7.01.03.05.0)()()()(=-+=-+=AB P B P A P B A P)()()()()()]([)(B A P AB P B A P AB A P B A P B A A P B A A P ===757.05.0==717.01.0)()()()])([()(====B A P AB P B A P B A AB P B A AB P1)()()()]([)(===AB P AB P AB P AB A P AB A P(2)设{}次取到白球第i A i = 4,3,2,1=i则)()()()()(32142131214321A A A A P A A A P A A P A P A A A A P =0408.020592840124135127116==´´´=9、解: 用A 表示事件表示事件“取到的两只球中至少有“取到的两只球中至少有1只红球”,用B 表示事件表示事件“两只都是红球”“两只都是红球”方法1651)(2422=-=C C A P ,61)(2422==C C B P ,61)()(==B P AB P516561)()()(===A P AB P A B P方法2 在减缩样本空间中计算在减缩样本空间中计算在减缩样本空间中计算 51)(=A B P1010、解:、解:A 表示事件“一病人以为自己得了癌症”,用B 表示事件“病人确实得了癌症”表示事件“病人确实得了癌症” 由已知得,%40)(%,10)(%,45)(%,5)(====B A P B A P B A P AB P (1)B A AB B A AB A 与,=互斥互斥5.045.005.0)()()()(=+=+==\B A P AB P B A AB P A P同理同理15.01.005.0)()()()(=+=+==B A P AB P B A AB P B P (2)1.05.005.0)()()(===A P AB P A B P(3)2.05.01.0)()()(,5.05.01)(1)(====-=-=A P B A P A B P A P A P(4)17985.045.0)()()(,85.015.01)(1)(====-=-=B P B A P B A P B P B P(5)3115.005.0)()()(===B P AB P B A P1111、解:用、解:用A 表示事件“任取6张,排列结果为ginger ginger””92401)(61113131222==A A A A A A P1212、、解:用A 表示事件“A 该种疾病具有症状”,用B 表示事件“B 该种疾病具有症状”由已知2.0)(=B A P3.0)(=B A P 1.0)(=AB P (1),B A AB B A B A S=且B A AB B A B A ,,,互斥互斥()6.01.03.02.0)()()(=++=++=\AB P B A P B A P B A P4.06.01)(1)()(=-=-==B A P B A P B A P ()()()4.0)(1=---=AB P B A P B A P B A P(2)()()()6.01.03.02.0)(=++=++=AB P B A P B A P AB B A B A P(3)B A AB B =, B A AB ,互斥互斥4.03.01.0)()()()(=+=+==B A P AB P B A AB P B P )()()(])[()(B P AB P B P B AB P B AB P ==414.01.0==1313、解:用、解:用i A 表示事件“讯号由第i 条通讯线输入”,,4,3,2,1=i B 表示“讯号无误差地被接受”接受”;2.0)(,1.0)(,3.0)(,4.0)(4321====A P A P A P A P9998.0)(1=A B P ,9999.0)(2=A B P ,,9997.0)(3=A B P 9996.0)(4=A B P 由全概率公式得由全概率公式得9996.02.09997.01.09999.03.09998.04.0)()()(41´+´+´+´==å=ii iA B P A P B P99978.0=1414、、解:用A 表示事件“确实患有关节炎的人”,用B 表示事件“检验患有关节炎的人”由已知由已知1.0)(=A P ,85.0)(=A B P ,04.0)(=A B P , 则9.0)(=A P ,85.0)(=A B P ,96.0)(=A B P , 由贝叶斯公式得由贝叶斯公式得 017.096.09.015.01.015.01.0)()()()()()()(=´+´´=+=A B P A P A B P A P A B P A P B A P1515、解:用、解:用A 表示事件“程序交与打字机A 打字”,B 表示事件“程序交与打字机B 打字”, C 表示事件“程序交与打字机C 打字”;D 表示事件“程序因计算机发生故障被打坏”坏”由已知得由已知得6.0)(=A P ,3.0)(=B P ,1.0)(=C P ; 01.0)(=A D P ,05.0)(=B D P ,04.0)(=C D P由贝叶斯公式得由贝叶斯公式得)()()()()()()()()(C D P C P B D P B P A D P A P A D P A P D A P ++=24.025604.01.005.03.001.06.001.06.0==´+´+´´=)()()()()()()()()(C D P C P B D P B P A D P A P B D P B P D B P ++=6.05304.01.005.03.001.06.005030==´+´+´´=)()()()()()()()()(C D P C P B D P B P A D P A P C D P C P D A P ++=16.025604.01.005.03.001.06.004.01.0==´+´+´´=1616、解:用、解:用A 表示事件“收到可信讯息”,B 表示事件“由密码钥匙传送讯息”表示事件“由密码钥匙传送讯息”由已知得由已知得 95.0)(=A P ,05.0)(=A P ,1)(=A B P ,001.0)(=A B P由贝叶斯公式得由贝叶斯公式得999947.0001.005.0195.0195.0)()()()()()()(»´+´´=+=A B P A P A B P A P A B P A P B A P1717、解:用、解:用A 表示事件“第一次得H ”,B 表示事件“第二次得H ”, C 表示事件“两次得同一面”表示事件“两次得同一面”则,21)(,21)(==B P A P ,21211)(2=+=C P ,4121)(2==AB P ,4121)(2==BC P ,4121)(2==AC P )()()(),()()(),()()(C P A P AC P C P B P BC P B P A P AB P ===\C B A ,,\两两独立两两独立而41)(=ABC P ,)()()()(C P B P A P ABC P ¹C B A ,,\不是相互独立的不是相互独立的1818、解:用、解:用A 表示事件“运动员A 进球”,B 表示事件“运动员B 进球”, C 表示事件“运动员C 进球”,由已知得由已知得5.0)(=A P ,7.0)(=B P ,6.0)(=C P 则5.0)(=A P ,3.0)(=B P ,4.0)(=C P (1){})(C B A C B A C B A P P =恰有一人进球)()()(C B A P C B A P C B A P ++= (C B A C B A C B A ,,互斥)互斥) )()()()()()()()()(C P B P A P C P B P A P C P B P A P ++=相互独立)C B A ,,(29.06.03.05.04.07.05.04.03.05.0=´´+´´+´´=(2){})(C B A BC A C AB P P =恰有二人进球)()()(C B A P BC A P C AB P ++= (C B A BC A C AB ,,互斥)互斥) )()()()()()()()()(C P B P A P C P B P A P C P B P A P ++= 相互独立)C B A ,,(44.06.03.05.06.07.05.04.07.05.0=´´+´´+´´= (3){})(C B A P P =至少有一人进球)(1C B A P -= )(1C B A P -=)()()(1C P B P A P -=相互独立)C B A ,,( 4.03.05.01´´-=94.0= 1919、解:用、解:用i A 表示事件“第i 个供血者具有+-RHA 血型”, ,3,2,1=iB 表示事件“病人得救”表示事件“病人得救”,4321321211A A A A A A A A A A B=4321321211,,,A A A A A A A A A A 互斥,i A ( ,3,2,1=i )相互独立)相互独立 ()()(1P A P B P +=\+)21A A )()(4321321A A A A P A A A P +8704.04.06.04.06.04.06.04.032=´+´+´+=2020、解:设、解:设i A 表示事件“可靠元件i ” i=1,2,3,4,5 ,B 表示事件“系统可靠”由已知得p A P i =)(1,2,3,4,5)(i = 54321,,,,A A A A A 相互独立相互独立法1:54321A A A A A B =)()(54321A A A A A P B P =\()()()()()()542154332154321A A A A P A A A P A A A P A A P A P A A P ---++=()54321A A A A A P +543322p p p p p p p +---++= ()相互独立54321,,,,A A A A A543222p p p p p +--+=法2:)(1)(54321A A A A A P B P -=)()()(154321A A P A P A A P -= ()相互独立54321,,,,A A A A A()()]1][1)][(1[154321A A P A P A A P ----=()()()]1][1)][()(1[154321A P A P A P A P A P ----=()相互独立54321,,,,A A A A A()()()221111pp p----=543222p p p p p +--+=2121、解:令、解:令A :“产品真含杂质”,A :“产品真不含杂质”“产品真不含杂质” 则4.0)(=A P ,6.0)(=A P2.08.0)|(223´´=C A B P 9.01.0)|(223´´=C A B P \)()|()()|()(A P A B P A P A B P B P +=6.09.01.04.02.08.0223223´´´+´´´=C C\)()|()()|()()|()()()|(A P A B P A P A B P A P A B P B P AB P B A P +==905.028325660901********.02.08.0223223223»=´´´+´´´´´´=C C C第二章习题答案 1、{}()4.04.011´-==-k k Y Pk=1,2,… 2、用个阀门开表示第i A i))()()()()(())((}0{32321321A P A P A P A P A P A A A P X P -+=== 072.0)2.02.02.02.0(2.0=´-+=23213218.02.0)04.02.02.0(8.0])([}1{´+-+===A A A A A A P X P416.0=512.08.0)(}2{3321====A A A P X P 3、()2.0,15~b X{}kkk C k X P -´==15158.02.0 k=0,1,2,……,15(1){}2501.08.02.03123315=´==C X P(2){}8329.08.02.08.02.01214115150015=´-´-=³C C X P(3){}6129.08.02.08.02.08.02.031123315132215141115=´+´+´=££C C C X P(4){}0611.08.02.01551515=´-=>å=-k kkk C X P4、用X 表示5个元件中正常工作的个数个元件中正常工作的个数9914.09.01.09.01.09.0)3(54452335=+´+´=³C C X P5、设X={}件产品的次品数8000 则X~b(8000,0.001)由于n 很大,P 很小,所以利用)8(p 近似地~X {}3134.0!8768==<å=-k k k eX P6、(1)X~p (10){}{}0487.09513.01!101151151510=-=-=£-=>\å=-k k k eX P X P (2)∵ X~p ( l ) {}{}!01010210ll --==-=>=\e X P X P{}210==\X P21=\-le7.02ln ==\l {}{}1558.08442.01!7.0111217.0=-=-=£-=³\å=-k k k eX P X P或{}{}{}2ln 2121!12ln 21110122ln -=--==-=-=³-e X P X P X P 7、)1( )2(~p X 1353.0!02}0{22====--e e X P )2( 00145.0)1()(24245=-=--eeC p)3( 52)!2(å¥=-=k kk e p8、(1) 由33)(11312k x k dx kx dx x f ====òò¥+¥- 3=\k(2){}()2713331331231====£òò¥-xdx x dx x f X P(3)64764181321412141321412=-===þýüîí죣òxdx x X P(4)271927813)(321323132232=-====þýüîíì>òò¥+xdx x dx x f X P9、方程有实根04522=-++X Xt t ,则,则 0)45(4)2(2³--=D X X 得.14£³X X 或 有实根的概率有实根的概率937.0003.0003.0}14{104212=+=£³òòdx x dx x X X P10、)1( 005.01|100}1{200110200200122»-=-==<---òeedx ex X P x x)2(=>}52{X P 0|100200525220020052222»-=-=-¥--¥òeedx exx x)3( 25158.0}20{}26{}20|26{200202002622==>>=>>--ee X P X P X X P 11、解:、解: (1){}()275271942789827194491)(12132121=+--=÷øöçèæ-=-==>òò¥+x x dx x dx x f X P(2)Y~b(10,275){}kk kC k Y P -÷øöçèæ´÷øöçèæ==10102722275k=0,1,2,……,10(3){}2998.027*******2210=÷øöçèæ´÷øöçèæ==C Y P{}{}{}1012=-=-=³Y P Y P Y P 5778.027222752722275191110100210=÷øöçèæ÷øöçèæ-÷øöçèæ´÷øöçèæ-=C C 12(1)由()()òòò++==-+¥¥-10012.02.01dy cy dy dy y f24.0)22.0(2.01201c y c y y +=++=-2.1=\c ()ïîïíì£<+£<-=\其它102.12.0012.0y yy y f ()()ïïïïîïïïïíì³+<£++<£--<==òòòòòò--¥-¥-12.12.0102.12.02.0012.010)()(100011y dyy y dy y dy y dt y dtdt t f y F y yyyYïïîïïíì³<£++<£-+-<=11102.02.06.0012.02.0102y y y y y y y{}()()25.02.05.06.05.02.02.005.05.002=-´+´+=-=££F F Y P {}()774.01.06.01.02.02.011.011.02=´-´--=-=>F Y P {}()55.05.06.05.02.02.015.015.02=´-´+-=-=>F Y P{}{}{}{}{}7106.0774.055.01.05.01.01.0,5.01.05.0==>>=>>>=>>\Y P Y P Y P Y Y P Y Y P(2) ()()ïïïîïïïíì³<£+<£<==òòòò¥-41428812081002200x x dtt dt x dt x dt t f x F xxxïïïîïïïíì³<£<£<=4142162081002x x x x xx{}()()167811691331=-=-=££F F X P{}()16933==£F X P{}{}{}9716916733131==£££=£³\X P X P X X P 13、解:{}111,-´===n nj Y i X Pn j i j i ,¼¼=¹,2,1,,{}0,===i Y i X P 当n=3时,(X ,Y )联合分布律为)联合分布律为14、)1(2.0}1,1{===Y X P ,}1,1{}0,1{}1,0{}0,0{}1,1{==+==+==+===££Y X P Y X P Y X P Y X P Y X P42.020.004.008.010.0=+++= )2( 90.010.01}0,0{1=-===-Y X P)3(}2,2{}1,1{}0,0{}{==+==+====Y X P Y X P Y X P Y X P60.030.020.010.0=++= }0,2{}1,1{}2,0{}2{==+==+====+Y X P Y X P Y X P Y X P28.002.020.006.0=++= 15、()()()88104242c ee cdxdy ce dx x f yx y x =-×-===+¥-+¥-+¥+¥+-+¥¥-òòò8=\c{}()()()4402042228,2-+¥-+¥-+¥+-+¥>=-×-===>òòòòe ee dy edxdxdy y x f X P yyxx y x xY X 1 2 31 0 1/6 1/62 1/6 0 1/6 31/6 1/6 0D :xy x ££¥<£00{}()òò>=>yx dxdy y x f Y X P ,()()dx e e dy edxx yx xy x 0402042028-+¥-+-+¥-×==òòò()ò¥++¥----=÷øöçèæ-=+-=2626323122x x xxe e dx eeD :xy x -££££101{}()dy edxY X P xyx òò-+-=<+10421081 ()()òò------=-=1422101042222dx eedx eex xx yx()()22104221----=--=e e ex x16、(1)61)2(122=-=òdx x x s , îíìÎ=其他,0),(,6),(G y x y x f(2)îíì<<==ò其他,010,36)(2222x x dy x f x xXïïïîïïíì<£-=<<-==òò其他,0121),1(66210),2(66),(12y y yY y y dx y y y dx y x f17、(1)Y X0 1 2 P{X=x i } 0 0.10 0.08 0.06 0.24 1 0.04 0.20 0.14 0.38 20.02 0.06 0.300.38 P{Y=y i } 0.16 0.34 0.501(2)D :+¥<£+¥<£y x x 0或:yx y <£+¥<£00()()ïîïíì£>==\òò+¥-¥+¥-00,x x dye dy y xf x f xy Xîíì£>=-00x x e x()()ïîïíì£>==òò-¥+¥-00,0y y dxe dx y xf y f yy Yîíì£>=--00y y ye y22、(1)Y 1 Y 2 -11-14222qq q =×()q q-124222qq q =×()q q-12()21q -()q q-1214222qq q =×()q q-124222qq q =×且{}{}{}{}1,10,01,121212121==+==+-=-===Y Y P Y Y P Y Y P Y YP()12234142222+-=+-+=q qqqq(2){}10.00,0===Y X P{}{}0384.000==×=Y P X P 又 {}0,0==Y X P {}{}00=×=¹Y P X P∴X 与Y 不相互独立不相互独立23、()1,0~U X ()ïîïíì<<=其它2108y yy f Y且X 与Y 相互独立相互独立则()()()ïîïíì<<<<=×=其它0210,108,y x yy f x f y x f Y XD :1210<£<£x y y32|)384()8(8}{21032212=-=-==>òòò>y y dy y y ydxdy Y X P yx24X-2-11 3 k p51 61 51151301112+=X Y 52 1 2 10Y 12 510k p5115161+513011即Y 12 5 10 k p5130751301125、U=|X|,当0)|(|)()(0=£=£=<y X P y Y P y F y U时,1)(2)()()()|(|)()(0-F =--=££-=£=£=³y y F y F y X y P y X P y Y P y F y X X U 时,当故ïîïíì<³==-0,00,2)(||22y y e y f X U y U p的概率概率密度函数为26、(1)X Y =,当0)()()(0=£=£=<y X P y Y P y F y Y 时,)()()()()(022y F y X P y X P y Y P y F y X Y =£=£=£=³时,当故 ïîïíì<³==-0,00,2)(2y y ye y f X Y y Y 的概率概率密度函数为(2))21(+=X Y ,当0)21()()(0=£+=£=£y X P y Y P y F y Y 时,1)(1)12()12()21()()(01=³-=-£=£+=£=>>y F y y F y X P y X P y Y P y F y Y X Y 时,当时,当故 ïîïíì>>=+=其他的概率概率密度函数为,001,21)(21y y f X Y Y(3)2X Y =,当0)()()(02=£=£=£y X P y Y P y F y Y 时,)()()()()()(02y F y F y X y P y XP y Y P y F y X X Y --=££-=£=£=>时,当故 ïîïíì£>==-0,00,21)(22y y e yy f X Y y Y p 的概率概率密度函数为27、()()ïîïíì<<+=其它201381x x x f X()()p p 4,02,02Î=ÞÎx y x 当y 0£时,()0=y F Yp 40<<y (){}þýüîí죣-=£=p p p y X yP y X P y F Y2()()òò+==-pppyyyx dx x dx x f 01381p 4³y()()113812=+=þýüîí죣-=òdx x y X yP y F Y p p时当p 4,0¹¹\y y ()()ïîïíì><<<×÷÷øöççèæ+×==pp p p 4,0040211381'y y y y yy F y f Y Y()ïîïíì<<+=\其它40161163p p p y yy f Y28、因为X 与 Y 相互独立,且服从正态分布),0(2s N2222221)()(),(sp sy x Y X ey f x f y x f +-==由知,22Y XZ+=0)(0=£z f z Z 时,当时,当0>z òò----=xxx z x z Z z F 2222)(2222221spsy x e+-dydx=2222220202121sspq p sz r zedr rd e---=òòïîïíì³=-其他,0,)()2(222z ez z f z Z ss29、ïîïíì<<-=其他,011,21)(x x f X))1arctan()1(arctan(21)1(21)()()(112--+=+=-=òò+-¥¥-z z dy y dy y f y z f z f z z Y X Z pp30、0)(0=£z f z Z时,当时当0>z2)()()(2302)(z e dy ye edy y f y z f z f zyzyz YX Zll l l l l ----¥¥-==-=òò31、îíì<<=其他,010,1)(x x f X , íì<<=其他,010,1)(y y f Y ,ïïîïïí죣-=<£==-=òòò-¥¥-其他,021,210,)()()(110z zY X Z z z dy z z dy dy y f y z f z f32 解(1)()()îíì£>=ïîïíì£>==---¥+¥-òò00030023,3203x x e x x dye dy y xf x fxxX()()ïîïí죣=ïîïí죣==òò¥+-¥+¥-其它其它20212023,03y y dx e dx y x f y f xY(2)()()îíì>-£=ïîïíì>£==--¥-òò100030303x e x x dt e x dt t f x F xx txX X()()ïïîïïíì³<£<=ïïîïïíì³<£<==òò¥-21202121202100y y yy y y dt y dt t f y F y yY Y ()(){}()()Z F Z F Z Y X P Z FY X ×=£=\,max max ()ïïîïïíì³-<£-<=--21201210033z e z z ez Z z(3)()÷øöçèæ-=þýüîíìì£<211121max max F F Z P ()21121121233×÷÷øöççèæ---=--e e 233412141--+-=ee33、(1)ïîïíì<<=其他率密度为)上服从均匀分布,概,在(,00,1)(10l x lx f X X(2)两个小段均服从上的均匀分布),0(l ,ïîïíì<<=其他,010,1)(1x lx f X),m i n (21X X Y =, 2)1(1)(ly y F Y --=ïîïíì<<-=其他,00,)(2)(2l y l y l y f Y 34、(1)U 的可能取值是0,1,2,31201}2,3{}1,3{}0,3{}3{12029}2,1{}2,0{}2,2{}1,2{}0,2{}2{32}1,1{}0,1{}1,0{}1{121}0,0{}0{===+==+=======+==+==+==+=======+==+=========Y X P Y X P Y X P U P Y X P Y X P Y X P Y X P Y X P U P Y X P Y X P y X P U P Y X P U P U 0 1 2 3 P12132120291201(2) V 的可能取值为0,1,2}2{4013}1,3{}1,2{}2,1{}1,1{}1{4027}0,3{}0,2{}0,1{}2,0{}1,0{}0,0{}0{=====+==+==+=======+==+==+==+==+====V P Y X P Y X P Y X P Y X P V P Y X P Y X P Y X P Y X P Y X P Y X P V PV 0 1 2 P40274013(3) W 的可能取值是0,1,2,3,4,5 0}5{}4{121}2,1{}1,2{}0,3{}3{125}2,0{}1,1{}0,2{}2{125}1,0{}0,1{}1{121}0,0{}0{=======+==+=======+==+=======+=========W P W P Y X P Y X P Y X P W P Y X P Y X P Y X P W P Y X P Y X P W P Y X P W PW 0 1 2 3 P121125125121概率统计第三章习题解答1、52}7{,51}6{}5{}4{========X P X P X P X P529)(=X E2、2914}7{,296}6{,295}5{,294}4{========Y P Y P Y P Y P29175)(=Y E 3、设X 为取到的电视机中包含的次品数,为取到的电视机中包含的次品数, 2,1,0,}{3123102===-k CC C k X P kkX 0 1 2 p k 221222922121)(=X E4、设X 为所得分数为所得分数 5,4,3,2,1,61}{===k k X P 12,11,10,9,8,7,361}{===k k X P1249)(=X E5、(1)由}6{}5{===X P X P ,则,则l l l l --=e e !6!565 解出6=l ,故6)(==l X E(2)由于åå¥=-¥=--=-11212211)1(66)1(k k k k kkkpp 不是绝对收敛,则)(X E 不存在。
概率论与数理统计课后习题答案第一章总习题1.填空题(1)假设B A ,是两个随机事件,且B A AB ⋅=,则()A B =U ,()=AB ;解:AB A B AB A B =⋅⇔= 即AB 与A B U 互为对立事件,又AB A B ⊂U 所以()(),.AB A B A B AB A B AB Ω==∅==(2)假设B A ,是任意两个事件,则()()()()()P A B A B A B A B ⎡⎤=⎣⎦ .解:()()()()()()P A⎡=⎣()()0P B==.(3).已知41)()()(===C P B P A P , 0)(=AB P , 161)()(==BC P AC P 。
则事件A 、B 、C 全不发生的概率为解:所求事件的概率即为()P ABC ,又,ABC AB ⊂从而()()00,P ABC P AB ≤≤=则()0P ABC =,所以()()()1P ABC P A B C P A B C ==-()()()()()()()31311.488P A P B P C P AB P AC P BC P ABC =---+++-=-+=2.选择题(1)设8.0)(=A P ,7.0)(=B P ,()8.0=B A P ,则下列结论正确的是().(A )事件A 与事件B 相互独立;(B )事件A 与事件B 互逆; (C )A B ⊃;(D )()()()P A B P A P B =+ .解:因为()56.0)()(==B A P B P AB P ,而56.0)()(=B P A P ,即)()()(B P A P AB P =,所以事件A 与事件B 相互独立,选(A ).(2)设B A ,为两个互逆的事件,且0)(>A P ,0)(>B P ,则下列结论正确的是().(A )()0>A B P ;(B )())(A P B A P =;(C )()0=B A P ;(D ))()()(B P A P AB P =. 解:因为B A ,为两个互逆的事件,所以当事件B 发生时,事件A 是不会发生的,故()0=B A P .选(C ).(3)设1)(0<<A P ,1)(0<<B P ,()()1=+B A P B A P ,则下列结论正确的是().(A )事件A 与事件B 互不相容;(B )事件A 与事件B 互逆; (C )事件A 与事件B 不互相独立;(D )事件A 与事件B 互相独立.解:因为()()()()()()()()()()1111P A B P A B P AB P AB P A B P A B P B P B P B P B⋅+=⇔+=⇔+=-()()()()()()()()()()111111P AB P A B P AB P A P B P AB P B P B P B P B ---+⇔+=⇔+=⇔-- ()()[]()()()()[]()()[]⇔-=+--+-B P B P AB P B P A P B P B P AB P 111)()()(B P A P AB P =,所以事件A 与事件B 互相独立.选(D ).3.从五双不同的鞋子中任取四只,求取得的四只鞋子中至少有两只配成一双的概率. 解:此题考虑逆事件求解比较方便,即取得的四只鞋子中不能配成一双.设A 表示“取得的四只鞋子中至少有两只配成一双”,则()4101212124511)(C C C C C A P A P -=-=2113=.4.(找次品问题)盒中有4只次品晶体管,6只正品晶体管,随机地抽取一只进行测试,直到4只次品晶体管都找到为止,求第4次品晶体管在第五次测试中被发现的概率.解:设i A 表示“第i 次找到次品晶体管”()5,4,3,2,1=i ,则所求概率为:()54321543215432154321A A A A A A A A A A A A A A A A A A A A P ⋅⋅⋅⋅+⋅⋅⋅⋅+⋅⋅⋅⋅+⋅⋅⋅⋅()()()()()432153214213121A A A A A P A A A A P A A A P A A P A P ⋅⋅⋅⋅⋅⋅=()()()()()432153214213121A A A A A P A A A A P A A A P A A P A P ⋅⋅⋅⋅⋅⋅+ ()()()()()432153214213121A A A A A P A A A A P A A A P A A P A P ⋅⋅⋅⋅⋅⋅+ ()()()()()432153214213121A A A A AP A A A AP A A A P A A P A P ⋅⋅⋅⋅⋅⋅+61768293104617286931046172839610461728394106⨯⨯⨯⨯+⨯⨯⨯⨯+⨯⨯⨯⨯+⨯⨯⨯⨯=1052617283941064=⎪⎭⎫⎝⎛⨯⨯⨯⨯=.5.(讨论奖金分配的公平性问题)在一次羽毛球比赛中,设立奖金1000元.比赛规定:谁先胜三盘,谁获得全部奖金.设甲、乙两人的球技相当,现已打了三盘,甲2胜1负.由于特殊原因必须中止比赛.问这1000元应如何分配才算公平?解:应以预期获胜的概率为权重来分配这笔奖金,于是求出甲、乙两人获胜的预期概率即可.比赛采取的应是五局三胜制,比赛已打三盘,甲胜两盘,甲若再胜一盘即可获胜.甲获胜的预期概率为:()()()()43212121544544=⨯+=+=+A P A P A P A A A P .于是,甲应分得1000元奖金中的750100043=⨯元,乙分得250元.6.(彩票问题) 一种福利彩票称为幸福35选7,即从01,02,…,35中不重复地开出7个基本号码和一个特殊号码.中奖规则如下表所示.(1)试求各等奖的中奖概率(1,2,,7);i p i = (2) 试求中奖的概率.解:(1) 因为不重复地选号码是一种不放回抽样,所以样本空间Ω含有735C 个样本点.要中奖应把抽样看成是在三种类型中抽取:第一类号码:7个基本号码; 第二类号码:1个特殊号码; 第三类号码:27个无用号码。
00第一章 随机事件与概率I 教学基本要求1、了解随机现象与随机试验,了解样本空间的概念,理解随机事件的概念,掌握事件之间的关系与运算;2、了解概率的统计定义、古典定义、几何定义和公理化定义,会计算简单的古典概率和几何概率,理解概率的基本性质;3、了解条件概率,理解概率的乘法公式、全概率公式、贝叶斯公式,会用它们解决较简单的问题;4、理解事件的独立性概念.II 习题解答A 组1、写出下列随机试验的样本空间(1) 抛掷两颗骰子,观察两次点数之和; (2) 连续抛掷一枚硬币,直至出现正面为止; (3) 某路口一天通过的机动车车辆数; (4) 某城市一天的用电量.解:(1) {2,3,,12}Ω=L ;(2) 记抛掷出现反面为“0”,出现正面为“1”,则{(1),(0,1),(0,0,1),}Ω=L ; (3) {0,1,2,}Ω=L ; (4) {|0}t t Ω=≥.2、设A 、B 、C 为三个事件,试表示下列事件: (1) A 、B 、C 都发生或都不发生; (2) A 、B 、C 中至少有一个发生; (3) A 、B 、C 中不多于两个发生.解:(1) ()()ABC ABC U ; (2) A B C U U ; (3) ABC 或A B C U U .3、在一次射击中,记事件A 为“命中2至4环”、B 为“命中3至5环”、C 为“命中5至7环”,写出下列事件:(1) AB ;(2) A B U ;(3) ()A B C U ;(4) ABC .解:(1) AB 为“命中5环”;(2) A B U 为“命中0至1环或3至10环”; (3) ()A B C U 为“命中0至2环或5至10环”;(4) ABC 为“命中2至4环”.4、任取两正整数,求它们的和为偶数的概率?解:记取出偶数为“0”,取出奇数为“1”,则其出现的可能性相同,于是任取两个整数的样本空间为{(0,0),(0,1),(1,0),(1,1)}Ω=.设A 为“取出的两个正整数之和为偶数”,则{(0,0),(1,1)}A =,从而1()2p A =. 5、从一副52张的扑克中任取4张,求下列事件的概率:(1) 全是黑桃;(2) 同花;(3) 没有两张同一花色;(4) 同色?解:从52张扑克中任取4张,有452C 种等可能取法.(1) 设A 为“全是黑桃”,则A 有413C 种取法,于是413452()C p A C =;(2) 设B 为“同花”,则B 有4134C 种取法,于是4134524()C p B C =;(3) 设C 为“没有两张同一花色”,则C 有413种取法,于是445213()p C C =;(4) 设D 为“同色”,则D 有4262C 种取法,于是4264522()C p D C =.6、把12枚硬币任意投入三个盒中,求第一只盒子中没有硬币的概率?解:把12枚硬币任意投入三个盒中,有123种等可能结果,记A 为“第一个盒中没有硬币”,则A 有122种结果,于是122()()3p A =.7、甲袋中有5个白球和3个黑球,乙袋中有4个白球和6个黑球,从两个袋中各任取一球,求取到的两个球同色的概率?解:从两个袋中各任取一球,有11810C C ⨯种等可能取法,记A 为“取到的两个球同色”,则A 有11115436C C C C⨯+⨯种取法,于是111154361181019()40C C C C p A C C ⨯+⨯==⨯. 8、把10本书任意放在书架上,求其中指定的三本书放在一起的概率?解:把10本书任意放在书架上,有10!种等可能放法,记A 为“指定的三本书放在一起”,则A 有3!8!⨯种放法,于是3!8!1()10!15p A ⨯==. 9、5个人在第一层进入十一层楼的电梯,假若每个人以相同的概率走出任一层(从第二层开始),求5个人在不同楼层走出的概率?解:5个人从第二层开始走出电梯,有510种等可能结果,记A 为“5个人在不同楼层走出”,则A 有510P 种结果,于是5105()10P p A =.10、n 个人随机地围一圆桌而坐,求甲乙两人相邻而坐的概率?解:设甲已坐好,只考虑乙的坐法,则乙有1n -种坐法,记A 为“甲乙两人相邻而坐”,则A 有2种坐法,于是2()1p A n =-. 11、甲乙两艘轮船驶向一个不能同时停泊两艘轮船的码头,它们在一昼夜内到达的时间是可能的,若甲船的停泊时间为一小时,乙船的停泊时间为两小时,求它们中任何一艘都不需要等候码头空出的概率?解:设x 、y 分别为甲、乙两艘轮船到达码头的时间,则{(,)|0,24}x y x y Ω=≤≤,其面积224S Ω=,记A 为“它们中任何一艘都不需要等候码头空出”,于是{(,)|12}A x y y x x y =-≥-≥或,其面积221(2322)2A S =+,从而2222322()0.879224A S p A S Ω+===⨯. 12、在区间(0,1)中随机地取两个数,求事件“两数之和小于6/5”的概率?解:设x 、y 分别为取出的两个数,则{(,)|0,1}x y x y Ω=≤≤,其面积1S Ω=,记A 为“两数之和小于6/5”,于是6{(,)|}5A x y x y =+<,其面积2141()25A S =-,从而17()0.6825A S p A S Ω===. 13、设0a >,有任意两数x 、y ,且0,x y a <<.试求24a xy <的概率?解:由题意知{(,)|0,}x y x y a Ω=<<,其面积2S a Ω=,记2{(,)|}4a A x y xy =<,则其面积从而3ln 4()10.596644A S p A S Ω==-+=. 14、从0、1、2、…、9这十个数字中任选三个不同的数字,试求下列事件的概率:(1) 1A 为“三个数字中不含0和5”; (2) 2A 为“三个数字中不含0或5”; (3) 3A 为“三个数字中含0但不含5”?解:记A 为“三个数字不含0”、B 为“三个数字不含5”,则393107()10C p A C ==、393107()10C p B C ==、383107()15C p AB C ==于是有(1) 17()()15p A p AB ==; (2) 27714()()()()()2101515p A p A B p A p B p AB ==+-=⨯-=U ; (3) 3777()()()()101530p A p AB p B p AB ==-=-=. 15、某工厂的一个车间有男工7人、女工4人,现要选出3个代表,求选出的3个代表中至少有1个女工的概率?解:设A 为“选出的3个代表中至少有1个女工”,则726()1()13333p A p A ⇒=-=-=. 16、从数字1、2、…、9中重复地取n 次,求n 次所取数字的乘积能被10整除的概率?解:记A 为“至少取到一次5”、B 为“至少取到一次偶数”,则8()9n n p A =、5()9n n p B =、4()9nn p AB =于是,所求概率为854()1()1()()()1999n n nn n n p AB p A B p A p B p AB =-=--+=--+U .17、已知事件A 、B 满足()()p AB p AB =,记()p A p =,求()p B ?解:由()()()1()1()()()p AB p AB p A B p A B p A p B p AB ===-=--+U U()1()1p B p A p ⇒=-=-.18、已知()0.7p A =,()0.3p A B =-,求()p AB ?解:由()()()0.3p A B p A p AB =-=-和()0.7p A =()1()0.6p AB p AB ⇒=-=.19、设1()()2p A p B ==,试证:()()p AB p AB =. 证明:由1()()2p A p B ==()1()1()()()()p AB p A B p A p B p AB p AB ⇒=-=--+=U .20、某班级在一次考试中数学不及格的学生占15%,英语不及格的学生占5%,这两门课都不及格的学生占3%.(1) 已知一个学生数学不及格,他英语也不及格的概率是多少; (2) 已知一个学生英语不及格,他数学也不及格的概率是多少? 解:记A 为“数学不及格”、B 为“英语不及格”,则()0.15p A =、()0.05p B =、()0.03p AB =(1) ()0.03(|)0.2()0.15p AB p B A p A ===; (2) ()0.03(|)0.6()0.05p AB p A B p B ===. 21、掷两颗骰子,以A 记事件“两颗点数之和为10”,以B 记事件“第一颗点数小于第二颗点数”,求(|)p A B 和(|)p B A ?解:掷两颗骰子的样本空间为由于{(4,6),(5,5),(6,4)}A =、(1,2)(1,3)(1,4)(1,5)(1,6)(2,3)(2,4)(2,5)(2,6)(3,4)(3,5)(3,6)(4,5)(4,6)(5,6)B ⎧⎫⎪⎪=⎨⎬⎪⎪⎩⎭、{(4,6)}AB =,于是3()36p A =、15()36p B =、1()36p AB = ()1(|)()15p AB p A B p B ⇒==、()1(|)()3p AB p B A p A ⇒==. 22、设10件产品中有4件不合格品,从中任取二件,已知其中一件是不合格品,求另一件也是不合格的概率?解:记i A 为“第i 次取出不合格品”(1,2)i =,B 为“有一件不合格品”,C 为“另一件也是不合格品”,则121212()()()B A A A A A A =U U ,于是()1(|)()5p BC p C B p B ⇒==. 23、已知()0.3p A =、()0.4p B =、()0.5p AB =,求(|)p B A B U ?解:由()0.3p A =、()0.4p B =、()0.5p AB =再由()()()0.7()0.5p AB p A p AB p AB =-=-=()0.2p AB ⇒= 从而(())()0.21(|)()()0.84p B A B p AB p B A B p A B p A B ====U U U U .24、两台车床加工固焊零件,第一台出次品的概率是0.03,第二台出次品的概率为0.06,加工出来的零件放在一起且已知第一台加工的零件比第二台加工的零件多一倍.(1) 求任取一个零件是合格品的概率;(2) 如果取出的零件是不合格品,求它是由第二台车床加工的概率? 解:记A 为“取到第一台车床加工的零件”、B 为“取到合格品”,则2()3p A =、(|)0.97p B A =、(|)0.94p B A = (1) 21()()(|)()(|)0.970.940.9633p B p A p B A p A p B A =+=⨯+⨯=;(2) 10.06()()(|)13(|)()1()0.042p AB p A p B A p A B p B p B ⨯====-.25、已知男人中有5%是色盲患者,女人中有0.25%是色盲患者,现从男女人数相等的人群中随机挑选一人,发现恰好是色盲患者,问此人是男人的概率是多少?解:记A 为“选到色盲患者”、B 为“选到男人”,则1()2p B =、(|)5%p A B =、(|)0.25%p A B = 于是,所求概率为()(|)0.50.05(|)0.9524()(|)()(|)0.50.050.50.0025p B p A B p B A p B p A B p B p A B ⨯===+⨯+⨯.26、证明:()(|)1()p B p B A p A ≥-,其中()0p A >. 证明:由于()()()()()()1()()p AB p A p B p A B p A p B p A p B =+-≥+-=-U()()()()(|)1()()()p AB p A p B p B p B A p A p A p A -=≥=-. 27、设A 、B 为任意两个事件,且A B ⊂、()0p B >,证明:()(|)p A p A B ≤.证明:由A B ⊂得()()(|)()()()p AB p A p A B p A p B p B ==≥. 28、甲乙两人独立地对同一目标射击一次,其命中率分别为0.6和0.7,已知目标被击中,求它是甲击中的概率?解:记A 为“目标被击中”、1B 为“甲击中目标”、2B 为“乙击中目标”,则 再由1B A ⊂可得所求概率为111()()0.6(|)0.682()()0.88p B A p B p B A p A p A ====.29、设电路由A 、B 、C 三个元件组成,若元件A 、B 、C 发生故障的概率分别是0.3、0.2、0.2,各元件独立工作,求下列三种情况下电路发生故障的概率.(1) A 、B 、C 三个元件串连; (2) A 、B 、C 三个元件并联; (3) B 与C 并联后再与A 串联?解:记A 、B 、C 分别表示元件A 、B 、C 发生故障. (1) 所求概率为()1()1()()()10.70.80.80.552p A B C p ABC p A p B p C =-=-=-⨯⨯=U U ;(2) 所求概率为()()()()0.30.20.20.012p ABC p A p B p C ==⨯⨯=;(3) 所求概率为0.30.20.20.30.20.20.328=+⨯-⨯⨯=.30、若()0.4p A =、()0.7p A B =U ,在下列情况下求()p B .(1) A 、B 不相容; (2) A 、B 独立; (3) A B ⊂?解:(1) 由于A 、B 不相容,从而()()()p A B p A p B =+U ,于是()()()0.70.40.3p B p A B p A =-=-=U ;(2) 由于A 、B 独立,从而()()()()()p A B p A p B p A p B =+-U ,于是()0.5p B ⇒=;(3) 由于A B ⊂,从而A B B =U ,于是()()0.7p B p A B ==U .B 组1、一个书架上有6本数学书和4本物理书,求指定的3本数学书放在一起的概率?解:6本数学书和4本物理书在书架上有10!种等可能放法,记A 为“指定的3本数学书放在一起”,则A 有3!8!⨯种放法,于是3!8!1()10!15p A ⨯==. 2、设有n 个人,每个人都等可能地被分配到N 个房间中的任一间去住()n N ≤,求下列事件的概率.(1) 指定的n 间房间里各有一个住; (2) 恰有n 间房各住一人?解:将n 个人分配到N 个房间中去住,有nN 种等可能分法.(1) 记A 为“指定的n 间房间里各有一个住”,则A 有!n 种分法,于是!()n n p A N=;(2) 记B 为“恰有n 间房各住一人”,则B 有!n NC n 种分法,于是!()n N nC n p B N =.3、公安人员在某地发现一具尸体,经分析认为凶手还在该地的概率为0.4,乘车外逃的概率为0.5,自首的概率为0.1,现派人追捕,在该地抓到凶手的概率为0.9,若外逃则抓到凶手的概率为0.5,问此次凶手在该地或外逃被抓到的概率是多少?解:记1A 为“凶手还在该地”、2A 为“凶手已乘车外逃”、B 为“凶手被抓到”,则1()0.4p A =、2()0.5p A =、1(|)0.9p B A =、2(|)0.5p B A =,于是所求概率为0.40.90.50.50.61=⨯+⨯=.4、有两箱零件,第一箱装50件,其中10件是一等品;第二箱装30件,其中18件是一等品,现从两箱中任取一箱,然后从该箱中先后取出两个零件,试求在第一次取到一等品的条件下,第二次取出的零件仍是一等品的概率?解:记i A 为“第i 次取到一等品”、B 为“取到第一箱”,则 于是12211()0.19423(|)0.4856()0.4p A A p A A p A ===.5、掷均匀硬币n m +次,已知至少出现一次正面,求第一次正面出现在第n 次实验的概率?解:记A 为“至少出现一次正面”、B 为“第一次正面出现在第n 次实验”,则再由B A ⊂可得所求概率为()()(0.5)(|)()()1(0.5)nn mp AB p B p B A p A p A +===-. 6、甲、乙、丙三人进行比赛,规定每局两个人比赛,胜者再与第三人比,依次循环,直至有一人连胜二局为止,此人即为冠军,假设每次比赛双方取胜的概率均为0.5,若甲、乙两人先比,求甲得冠军的概率?解:记A 为“甲得冠军”;i A 、i B 、i C 分别为“第i 局中甲、乙、丙获胜”,则24330.50.5510.510.514=+=--. 7、乒乓球单打比赛采用五局三胜制,甲、乙两名运动员在每局比赛中获胜的概率各为0.6和0.4,当比赛进行完二局时,甲以2:0领先,求在以后的比赛中甲获胜的概率?解:记B 为“甲获胜”、i A 为“甲在第i 局比赛中获胜”,由于甲以2:0领先,因而20.60.40.60.40.60.936=+⨯+⨯=.8、保险公司把被保险人分为“谨慎”、“一般”、“冒失”三类,统计资料表明上述三种人在一年中发生事故的概率分别是0.05、0.15、0.3;如果“谨慎”的被保险人占20%,“一般”的被保险人占50%,“冒失”的被保险人占30%,现知某保险人在一年内发生了事故,则他是属“谨慎”客户的概率是多少?解:记1A 为“谨慎客户”、2A 为“一般客户”、3A 为“冒失客户”、B 为“保险人在一年内发生事故”,则1()0.2p A =、2()0.5p A =、3()0.3p A =、1(|)0.05p B A =、2(|)0.15p B A =、3(|)0.3p B A =,于是11131()(|)0.20.052(|)0.20.050.50.150.30.335()(|)iii p A p B A p A B p A p B A =⨯===⨯+⨯+⨯∑.。
概率论第一章习题解答一、填空题:1.设,()0.1,()0.5,A B P A P B ⊂==则()P AB = ,()P A B = , ()P A B = 。
分析:()(,)0.1;A P B P AB A ==⊂()()0.5;P A B P B ==()()()1()0.9P A B P A B P AB P AB ===-=2.设在全部产品中有2%是废品,而合格品中有85%是一级品,则任抽出一个产品是一级品的概率为 。
分析:设A 为抽正品事件,B 为抽一级品事件,则条件知()1()0.98P A P A =-=,()0.85P B A =,所求为()()()0.980.850.833P B P A P B A ==⨯=;3.设A ,B ,C 为三事件且P(A)=P(B)=P(C)=41,81)(,0)()(===AC P BC P AB P ,则A,B,C 中至少有一个发生的概率为 .分析:,()()0,()0ABC AB P ABC P AB P ABC ⊆≤=∴= 所求即为5()()()()()()()()8P A B C P A P B P C P AB P BC P AC P ABC =++---+=; 4.一批产品共有10个正品和2个次品,不放回的抽取两次,则第二次取到次品的概率 为 .分析:第二次取到次品的概率为112111211C C ⨯或者为111110*********C C C C +=⨯ 5. 设A ,B 为两事件, ()0.4,()0.7,P A P A B == 当A ,B 不相容时, ()P B = 当A ,B 相互独立时, ()P B = 。
分析: (1)当A ,B 不相容时, ()0P AB =;()()()()P A B P A P B P AB =+- 由;则()()()()0.3P B P A B P A P AB =⋃-+=;(2)当A ,B 相互独立时, ()()()()()()()P AB P A P B P A B P A P B P AB =⎧⎨=+-⎩ ;则()(()(()))P A B P A P P P B B A =+- 由,代入求得()0.5P B =二.、选择题2.每次试验成功的概率为p (0< p <1),进行重复试验,直到第10次试验才取得4次成功的概率为( )。
概率论第二版习题答案概率论是一门研究随机现象的数学分支,它在统计学、金融学、工程学等多个领域都有广泛的应用。
第二版的概率论教材通常会在第一版的基础上进行修订和补充,以反映最新的研究成果和教学方法。
以下是一些概率论习题的答案示例,这些答案仅供参考,具体习题的答案可能会根据教材的不同而有所变化。
第一章:概率空间1. 习题1:描述一个概率空间的基本元素。
- 答案:一个概率空间由三个基本元素组成:样本空间(Ω),事件集合(F),以及概率测度(P)。
样本空间包含了所有可能的结果,事件集合是样本空间的子集,概率测度为每个事件分配一个介于0和1之间的实数,表示事件发生的可能性。
2. 习题2:证明如果事件A和事件B互斥,那么P(A∪B) = P(A) +P(B)。
- 答案:由于A和B互斥,即A∩B = ∅,根据概率测度的性质,P(A∪B) = P(A) + P(B) - P(A∩B)。
由于A和B互斥,P(A∩B) = 0,因此P(A∪B) = P(A) + P(B)。
第二章:随机变量及其分布1. 习题1:定义离散型随机变量和连续型随机变量。
- 答案:离散型随机变量是其取值可以列举的随机变量,其概率分布可以用概率质量函数来描述。
连续型随机变量是其取值无法一一列举的随机变量,其概率分布可以用概率密度函数来描述。
2. 习题2:如果X是一个随机变量,求E(X)和Var(X)。
- 答案:期望E(X)是随机变量X的平均值,定义为E(X) = ∑x *P(X = x)(对于离散型随机变量)或E(X) = ∫x * f(x) d x(对于连续型随机变量)。
方差Var(X)是随机变量X的离散程度的度量,定义为Var(X) = E[(X - E(X))^2]。
第三章:多维随机变量及其分布1. 习题1:描述联合分布函数和边缘分布函数的关系。
- 答案:联合分布函数给出了两个或多个随机变量同时取特定值的概率,而边缘分布函数是通过对联合分布函数进行积分或求和得到的,它给出了单个随机变量的分布。
习 题 一(A ) 1. 写出下列事件的样本空间:)1(把一枚硬币连续抛掷两次; )2(掷两颗骰子;)3(连续抛一枚硬币,直至出现正面为止; )4(在某十字路口,一小时内通过的机动车辆数; )5(某城市一天内的用电量.解 )1(1{(,),(,),(,)}H H H T T T Ω=,其中H 表示正面,T 表示反面. )2()}6,6(),5,6(),4,6(),3,6(),2,6(),1,6(),6,5(),5,5(),4,5(),3,5(),2,5(),1,5(),6,4(),5,4(),4,4(),3,4(),2,4(),1,4(),6,3(),5,3(),4,3(),3,3(),2,3(),1,3(),6,2(),5,2(),4,2(),3,2(),2,2(),1,2(),6,1(),5,1(),4,1(),3,1(),2,1(),1,1{(2=Ω)3(}),,,,(),,,(),,(),{(3 H T T T H T T H T H =Ω)4(},2,1,0{4 =Ω )5(}0,{5≥=Ωt t2.C B A ,,为三个事件,试将下列事件用C B A ,,表示出来: )1(仅A 发生;)2(均发生;)3(均不发生; )4(A 发生而C B ,至少有一个不发生; )5(A 不发生而C B ,至少有一个发生;)6(不全发生;)7(最多有2个发生;)8(至少有2个发生; )9(最多有一个发生;)10(恰有2个发生.解 )1(C B A ; )2(ABC ; )3(C B A 或C B A ++; )4(BC A ; )5(A C B -+)(; )6(ABC 或C B A ++;)7(ABC 或C B A ++;)8(AC BC AB ++; )9(C B A C B A C B A C B A +++; )10(BC A C B A C AB ++;3.掷一颗骰子的试验,观察其出现的点数,事件=A "偶数点",=B "奇数点",=C "点数小于5",=D "小于5的偶数点",讨论上述各事件间的关系.解 }6,5,4,3,2,1{=Ω,}6,4,2{=A ,}5,3,1{=B ,}4,3,2,1{=C ,}4,2{=D .A 与B 为对立事件,即A B =;B 与D 互不相容;DCD A ⊃⊃,.4.事件i A 表示某个生产单位第i 车间完成生产任务,3,2,1=i ,B 表示至少有两个车间完成生产任务,C 表示最多只有两个车间完成生产任务,说明事件B 及C B -的含义,并且用i A )3,2,1(=i 表示出来.解 B 表示最多有一个车间完成生产任务,即至少有两个车间没有完成生产任务.323121A A A A A A B ++=321A A A C B =-表示三个车间均完成生产任务.5.抛两枚硬币,求至少出现一个正面的概率.解 设事件A 表示"两枚硬币中至少出现一个正面".若用"H "表示正面,"T "表示反面,其出现是等可能的.则样本空间含有四个等可能样本点:},,,{HH HT TH TT =Ω,由于事件A 含有其中3个样本点.故43)(=A P .6.抛掷一枚硬币,连续3次,求既有正面又有反面出现的概率. 解 设事件A 表示"三次中既有正面又有反面出现", 则A 表示"三次均为正面或三次均为反面出现",其所包含的样本点数为2.而抛掷三次硬币共有8种不同的等可能结果,故样本空间的样本点总数为8,因此43821)(1)(=-=-=A P A P .7.掷两颗骰子,求下列事件的概率: )1(点数之和为7; )2(点数之和不超过5;)3(两个点数中一个恰是另一个的两倍. 解)}6,6(),5,6(),4,6(),3,6(),2,6(),1,6(),6,5(),5,5(),4,5(),3,5(),2,5(),1,5(),6,4(),5,4(),4,4(),3,4(),2,4(),1,4(),6,3(),5,3(),4,3(),3,3(),2,3(),1,3(),6,2(),5,2(),4,2(),3,2(),2,2(),1,2(),6,1(),5,1(),4,1(),3,1(),2,1(),1,1{(=Ω=A "点数之和为7")}1,6(),2,5(),3,4(),4,3(),5,2(),6,1{(=, =B "点数之和不超过5")}1,4(),2,3(),1,3(),3,2(),2,2(),1,2(),4,1(),3,1(),2,1(),1,1{(=,=C "两个点数中一个恰是另一个的两倍")}3,6(),6,3(),2,4(),4,2(),1,2(),2,1{(=.所以)1(61)(=A P ; )2(185)(=B P ; )3(61)(=C P .8.10把钥匙中有3把能打开一个门锁,今任取两把,求能打开门锁的概率.解 设事件A 表示"门锁能被打开".则事件A 发生就是取的两把钥匙都不能打开门锁.1581)(1)(21027=-=-=C C A P A P .9.袋内装有5个白球,3个黑球,从中一次任取两个,求取到的两个球颜色不同的概率及两个球中有黑球的概率.解 记事件A 表示"取到的两个球颜色不同".则有利于事件A 的样本点数为1315C C .而组成试验的样本点总数为235+C ,由古典概型概率公式有2815)(281315==C C C A P .设事件B 表示"取到的两个球中有黑球",则有利于事件B 的样本点数为25C .1491)(1)(2825=-=-=C C B P B P .10. 从一副52张的扑克牌中任取4张,求下列事件的概率:)1(全是黑桃; )2(同花; )3(没有两张同一花色; )4(同色.解 52张牌中任取4张,共有452C 种等可能的取法.)1(用事件A 表示"任取4张全是黑桃",由于4张黑桃只能从13张黑桃中取出共有413C 种取法,所以 002641.0)(452413==C C A P . )2(用事件B 表示"取出的4张牌同花",由于共有4种花色,而"4张同花"只能从同一花色的13张牌中取出,所以共有4134C 种取法,于是010564.04)(452413==CC B P . )3(用事件C 表示"取出的4张牌没有两张同一花色",4张牌只能从各种花色(13张牌)中各取1张,共有413种取法,于是 105498.013)(4524==CC P . )4(用事件D 表示"取出的4张牌同色",共有2种颜色,而每种颜色只能从同一颜色的26张牌中任取4张,共有4262C 种取法,于是 110444.02)(452426==CC D P .11. 口袋内装有2个伍分、3个贰分、5个壹分的硬币共10枚,从中任取5枚,求总值超过壹角的概率.解 设事件A 表示"取出的5枚硬币总值超过壹角".则样本点总数为252510=C ,事件A 所包含的样本点数为126)(25231533123822=++C C C C C C C .21252126)(==A P . 12. 袋中有红、白、黑色球各一个,每次任取一球,有放回地抽取三次,求下列事件的概率:=A "三次都是红球"即"全红",=B "全白",=C "全黑",=D "无红",=E "无白",=F "无黑",=G "三次颜色全相同",=H "颜色全不相同",=I "颜色不全相同".解 样本点总数为2733=;事件A 、事件B 、事件C 所包含的样本点数为1;事件D 、事件E 、事件F 所包含的样本点数为823=;事件G 所包含的样本点数为事件A 、事件B 、事件C 样本点数之和3;事件H 所包含的样本点数为6!3=;事件I 所包含的样本点数为总样本点数减去事件G 所包含的样本点数24327=-. 所以有 271)()()(===C P B P A P ; 278)()()(===F P E P D P ;91273)(==G P ;92276)(==H P ;982724)(==I P .13.一间宿舍内住有6位同学,求他们中有4个人的生日在同一个月份的概率.解 设事件A 表示"有4个人的生日在同一个月份".样本点总数为612,C事件A 所包含的样本点数2178011211246=C C ,0073.01221780)(6==A P .14. 从6,5,4,3,2,1,0,七个数字中任取4个排成一列,求下列事件的概率:(按不重复和可重复取分别计算) )1(可构成四位数; )2(可构成四位偶数; )3(可被5整除的四位数;)4(2不在千位、4在十位的四位数; )5(数字各不相同的四位数.解 设)1(,)2(,)3(,)4(,)5(分别为事件A ,B ,C ,D ,E . 不重复选取时总的样本点数为840456747=⨯⨯⨯=A .)1(A 包含的样本点数为72045663616=⨯⨯⨯=A A (先在六个非零数字中任取1个排在千位,再在六个数字中任取三个排在百位、十位和个位).所以 857.0840720)(473616≈==A A A A P .)2(B 包含的样本点数为420300120345545613251536=+=⨯⨯⨯+⨯⨯=+A A A A (将偶数分为两类:一类0作个位的有36A 个,另一类是2、4或6作个位的有132515A A A 个).所以 5.0840420)(4713251536==+=AA A A AB P .)3(C 包含的样本点数为220100120455456251536=+=⨯⨯+⨯⨯=+A A A (将能被5整除的数分为两类:一类是以0作个位的有36A 个,另一类是5作个位的有2515A A 个).所以 262.0840220)(47251536≈=+=AA A A C P .)4(D 包含的样本点数为804542514=⨯⨯=A A (4在十位,千位不能取2和0,共14A 个取法,剩下的百位和个位共有25A 个取法).所以 095.084080)(472514≈==AA A D P .)5(同)1(.857.0840720)(473616≈==A A A E P .重复选取时总的样本点数为240174=.)1(A 包含的样本点数为20587673316=⨯=A (先在六个非零数字中任取1个排在千位,其余三位可在7个数字中重复选取).所以 857.02401205877)(4316≈==A A P .)2(B 包含的样本点数为117688229437767767713216216=+=⨯⨯⨯+⨯⨯=+A A A (将偶数分成两类:一类是以0作个位的,在六个非零数字中选取一个排在千位,百位和十位的数字在七个数字中重复选取).所以 49.024011176777)(413216216≈=+=A A AB P .)3(C 包含的样本点数为588776272216=⨯⨯⨯=A (将能被5整除的数分为两类,一类是以0作个位,一类是以5作个位,都是共有2167A 个).所以 245.02401588772)(4216≈==A C P .)4(D 包含的样本点数为2457757215=⨯⨯=A (4在十位,千位不能取2和0,共15A 个取法,剩下的百位和个位共有27个取法).所以 102.0240124577)(4215≈==A D P .)5(E 包含的样本点数为72045663616=⨯⨯⨯=A A .所以 2999.024017207)(43616≈==A A E P .15. 有两本外语书,3本数学书,4本政治书,放到书架上排成一排,求下列事件的概率:)1(两本外语书恰排在两侧(一侧一本); )2(3本数学书排在一起; )3(某指定一本书恰好排在中间; )4(4本政治书一侧两本.解 设)1(,)2(,)3(,)4(分别为事件A ,B ,C ,D . 总样本点数为99A .)1(A 包含的样本点数为7722A A (两本外语书在两侧有22A 种排法,其余7本书在中间有77A 种排法).所以 0278.0722)(997722≈==AA A A P .)2(B 包含的样本点数为7733A A (把3本数学书看成一本,与其余6本书共有77A 种排法.3本数学书共有33A 种排法).所以 083.0726)(997733≈==A A AB P .)3(C 包含的样本点数为88A (指定书排在中间,其余8本书在8个位置上共有88A 种排法).所以 111.091)(9988≈==A A C P .)4(D 包含的样本点数为225524A A A (4本政治书中先取2本排在一侧有24A种排法,剩余人两本排在另一侧有22A 种排法,其余5本书在中间共有55A 种排法).所以 008.0302424)(99225524≈==A A A A D P .16. 5封信随机地投到3个信筒中,求下列事件的概率: )1(第一个信筒恰有两封信; )2(第一个信筒至少有两封信; )3(第一个信筒最多有两封信.解 设)1(,)2(,)3(分别为事件A ,B ,C . 总样本点数为24335=.)1(A 包含的样本点数为802325=C (5封信中取两封信投入第一个信筒,共有25C 种投法,剩下3封信投入两个信筒中有32种投法).所以 329.02438032)(5325≈==C A P .)2(B 包含的样本点数为3122341555=--C (总样本点数减去第一个信筒中没有信有52种投法,再减去第一个信筒中有一封信有4152C 种投法).所以 539.0243313223)(541555≈=--=C B P .)3(C 包含的样本点数为1922223254155=++C C (第一个信筒中没有信有52种投法,第一个信筒中有一封信有4152C 种投法,第一个信筒中有两封信有3252C 种投法).所以 79.02431923222)(53254155≈=++=C C C P .17. 将5个人等可能地分配到十个房间去住,求下列事件的概率: )1(某指定5个房间各住1人; )2(5人被分配到5个不同的房间; )3(5人被分配到同一个房间; )4(某个指定房间恰住2人.解 设)1(,)2(,)3(,)4(分别为事件A ,B ,C ,D . 总样本点数为510.)1(A 包含的样本点数为55A .所以 0012.01012010)(5555===A A P .)2(B 包含的样本点数为55510A C (先选出5个房间共510C 种选法,这5个房间各住一人有55A 种住法).所以 3024.010302410)(4555510===A C B P .)3(C 包含的样本点数为1.所以 5510101)(-==C P .)4(D 包含的样本点数为3259C (先选出两人住指定房间有25C 种住法,其余3人分配到剩下的9个房间,有39种分配方法).所以 0729.010729109)(45325===C D P .18. 在区间)1,0(中随机地取两个数,求事件“两数之和小于5/6”的概率. 解 这个概率可用几何方法确定.在区间)1,0(中随机地取两个数分别记为x 和y ,则),(y x 的可能取值形成如下单位正方形Ω,其面积为1=ΩS .而事件A "两数之和小于5/6"可表示为}5/6{<+=y x A ,其区域为图1.1中的阴影部分.图1.1 所以由几何方法得 68.02517)54(211)(2==-==ΩS S A P A . 19. 甲、乙两艘轮船驶向一个不能同时停泊两艘轮船的码头,它们在一昼夜内到达的时间是等可能的.如果甲船停泊时间是1小时,乙船停泊时间是2小时,求它们中任何一艘都不需要等候码头的概率.解 这个概率可用几何方法确定.记x 和y 分别为甲乙两艘轮船到达码头的时间,则),(y x 的可能取值形成边长为24的正方形Ω,其面积为224=ΩS .而事件A "不需要等候码头空出"有两种可能情况:一种情况是甲船先到,则乙船在一小时之后到达,即满足1≥-x y ;另一种情况是乙船先到,则甲船在两小时之后到达,即满足2≥-y x .所以事件A 可表示为}21:),{(≥--≤-=y x y x y x A 或.所以事件A 的区域形成了图1.2中的阴影部分,其面积为)2223(2122+=A S ,所以由几何方法得879.024)2223(21)(222=+==ΩS S A P A .图1.220. 事件A 与B 互不相容,计算)(B A P +. 解 由于A 与B 互不相容,有Φ=AB ,0)(=AB P1)(1)()(=-==+AB P AB P B A P .21. 已知a A P =)(,b B P =)(,)3.0(0a b ab >≠,a B A P 7.0)(=-,求)(A B P +,)(A B P -,)(A B P +.解 由于B A -与AB 互不相容,且AB B A A +-=)(,因此有 a B A P A P AB P 3.0)()()(=--=b a AB P B P A P B A P +=-+=+7.0)()()()( a b AB P B P A B P 3.0)()()(-=-=- a AB P A B P 3.01)(1)(-=-=+22. 50个产品中有46个合格品与4个废品,从中一次抽取三个,计算取到废品的概率.解 记事件A 为"取到废品".总样本点数为350C ,事件A 包含的样本点数为346C .所以2255.07745.011176009108011)(1)(350346=-≈-=-=-=C C A P A P .23. 一个教室中有100名学生,求其中至少有一人的生日是在元旦的概率(设一年以365天计算).解 设事件A 表示"100名学生的生日都不在元旦",则有利于A 的样本点数目为100364,而样本空间中样本点数总数为100365,所求概率为2399.03653641)(1)(100100≈-=-=A P A P .24. 有5副规格不同的手套,现从中任取4只,求至少能配成一副的概率. 解 设事件A 表示"取出的四只手套至少有两只配成一副",则A 表示"四只手套中任何两只均不能配成一副".21080)(4101212121245==C C C C C C A P ,62.0)(1)(=-=A P A P .25. 设事件B A ,至少有一个发生的概率为31,A 发生而B 不发生的概率为91,求)(B P .解 由已知条件知31)(=+B A P ,91)()(])[()(=-+=+=B P B A P B B A P B A P ,则 929131)()()(=-=-+=B A P B A P B P .26. 某单位有%92的职工订阅报纸,%93的人订阅杂志,在不订阅报纸的人中仍有%85的职工订阅杂志,从单位中任找一名职工求下列事件的概率:)1(该职工至少订阅一种报纸或期刊; )2(该职工不订阅杂志,但是订阅报纸.解 设事件A 表示"任找一名职工订阅报纸",B 表示"订阅杂志",依题意92.0)(=A P , 93.0)(=B P , 85.0)|(=A B P .则 )1()|()()()()()(A B P A P A P B A P A P B A P +=+=+988.085.008.092.0=⨯+=.)2(058.093.0988.0)()()(=-=-+=B P B A P B A P .27. 分析学生们的数学与外语两科考试成绩,抽查一名学生,记事件A 表示数学成绩优秀,B 表示外语成绩优秀,若4.0)()(==B P A P ,28.0)(=AB P ,求)|(B A P ,)|(A B P ,)(B A P +.解 7.04.028.0)()()|(===B P AB P B A P ,7.0)()()|(==A P AB P A B P ,52.0)()()()(=-+=+AB P B P A P B A P .28. 为了防止意外,在矿内同时设有两种报警系统A 与B ,各系统单独使用时,其有效的概率系统A 为92.0,系统B 为93.0,在A 失灵条件下,B 有效的概率为85.0,求)1(发生意外时,至少有一个系统有效的概率; )2(在B 失灵的条件下,A 有效的概率.解 用事件A 表示"报警系统A 有效",用事件B 表示"报警系统B 有效",依题意 92.0)(=A P ,93.0)(=B P ,85.0)|(=A B P .)1(068.085.008.0)|()()(=⨯==A B P A P B A P ,988.092.0068.0)()()(=+=+=+A P B A P B A P .)2(058.093.0988.0)()()(=-=-+=B P B A P B A P .829.093.01058.0)()()|(≈-==B P B A P B A P .29. 袋中装有8个球,其中3个红球,5个白球,3个人依次摸球(不返样).证明3人摸到红球的概率相等.证明 用事件A 表示"第一个人摸到红球",事件B 表示"第二个人摸到红球",事件C 表示"第三个人摸到红球". 83)(1813==CC A P ,)|()()|()()()()(A B P A P A B P A P B A P AB P B P +=+=8373857283=⨯+⨯=,)|()()|()()(B A C P B A P AB C P AB P C P +=)|()()|()(B A C P B A P B A C P B A P ++而5667283)|()()(=⨯==A B P A P AB P , 56157385)|()()(=⨯==A B P A P B A P , 56157583)|()()(=⨯==A B P A P B A P , 56207485)|()()(=⨯==A B P A P B A P ,61)|(=AB C P , 62)|(=B A C P , 62)|(=B A C P ,63)|(=B AC P ,所以 8363562062561562561561566)(=⨯+⨯+⨯+⨯=C P .30. 设B A ,为二事件,4.0)(=A P ,7.0)(=+B A P ,当B A ,互不相容时,求)(B P .当B A ,独立时,求)(B P . 解 当B A ,互不相容时)()()(B P A P B A P +=+,所以 3.0)()()(=-+=A P B A P B P . 当B A ,独立时,)()()()()()()()(B P A P B P A P AB P B P A P B A P -+=-+=+, )(4.0)(4.07.0B P B P -+=,5.0)(=B P .31. 某种电子元件的寿命在1000小时以上的概率为8.0,求3个这种元件使用1000小时后,最多只坏了一个的概率.解 设事件i A 表示"使用1000小时后第i 个元件没有坏",3,2,1=i ,显然321,,A A A 相互独立,事件A 表示"三个元件中最多只坏了一个",则321321321321A A A A A A A A A A A A A +++=.上式右边是四个两两互不相容的事件的和,且8.0)()()(321===A P A P A P)()]([3)]([)(12131A P A P A P A P +=896.02.08.038.023=⨯⨯+=.32. 加工某种零件,需经过三道工序,假定第一、二、三道工序的废品率分别为3.0,2.0,2.0,并且任何一道工序是否出废品与其他各道工序无关,求零件的合格率.解 设事件A 表示"任取一个零件为合格品",依题意A 表示三道工序都合格.448.0)2.01)(2.01)(3.01()(=---=A P .33. 某单位电话总机的占线率为4.0,其中某车间分机的占线率为3.0,假定二者独立,现在从外部打电话给该车间,求一次能打通的概率;第二次才能打通的概率以及第m 次才能打通的概率(m 为任何正整数). 解 设事件i A 表示"第i 次能打通",m i ,,2,1 =,则42.0)3.01)(4.01()(1=--=A P , 2436.042.058.0)(2=⨯=A P ,42.058.0)(1⨯=-m m A P .34. 在一定条件下,每发射一发炮弹击中飞机的概率是6.0,现有若干门这样的炮独立地同时发射一发炮弹,问欲以%99的把握击中飞机,至少需要配置多少门这样的炮?解 设需配置n 门这样的炮,用i A 表示"第i 门炮击中飞机",n i ,,2,1 =.则击中飞机的概率为nn n A P A P A P A A A P 4.01)()()(1)(12121-=-=- 由 99.04.01≥-n可得 026.5≥n所有至少需要配置6门这样的炮.35. 一间宿舍中有4位同学的眼镜都放在书架上,去上课时,每人任取一副眼镜,求每个人都没有拿到自己眼镜的概率.解 设i A 表示"第i 人拿到自己眼镜",4,3,2,1=i .41)(=i A P ,设事件B 表示"每个人都没有拿到自己的眼镜".显然B 则表示"至少有一个拿到自己眼镜".且4321A A A A B +++=. )()(4321A A A A P B P +++=)()()()(4321414141A A A A P A A AP A AP A P k j i k j ij i j ii i-+-=∑∑∑≤<<≤≤<≤=)41(1213141)|()()(≤<≤=⨯==j i A A P A P A A P i j i j i ,)|()|()()(j i k i j i k j i A A A P A A P A P A A A P = )41(241213141≤<<≤=⨯⨯=k j i ,)|()|()|()()(32142131214321A A A A P A A A P A A P A P A A A A P =2411213141=⨯⨯⨯=,85241241121414)(3424=-⨯+⨯-⨯=C C B P ,83)(1)(=-=B P B P .36. 甲、乙、丙三人在同一时间内独立地破一份密码,如果这三人能译出的概率依次为2.0,35.0,25.0,求该密码能译出的概率.解 用事件C B A ,,分别表示甲、乙、丙三人能译出密码,事件E 表示"该密码能被译出",则)()()(1)(1)(C P B P A P C B A P E P -=-=61.039.0175.065.08.01=-=⨯⨯-=.37. 甲乙两射手,每次射击命中目标的概率分别为8.0和7.0,射击是独立进行的,求)1(各射击1次,恰有1人命中目标的概率; )2(各射击1次,至少有1人命中目标的概率; )3(各射击2次,恰有2次命中目标的概率.解 用事件B A ,分别表示一次射击中甲、乙击中目标,则8.0)(=A P ,7.0)(=B P .用事件F E D ,,分别表示)1(,)2(,)3()1(38.07.02.03.08.0)()()(=⨯+⨯=+=B A P B A P D P . )2(94.038.07.08.0)()()(=+⨯=+=D P AB P E P . )3(用事件i A 表示"甲第i 次击中目标",2,1=i .用事件i B 表示"乙第i 次击中目标",2,1=i . 则8.0)()()(21===A P A P A P , 7.0)()()(21===B P B P B P ,所以)()()()(212121212121B B A A P B B A A P B B A A P F P ++=)()()(212121212121B B A A P B B A A P B B A A P +++ 7.07.02.02.03.03.08.08.0⨯⨯⨯+⨯⨯⨯= 7.03.02.08.04⨯⨯⨯⨯+2116.01344.00196.00576.0=++=.38. 设C B A ,,三事件独立,试证B A -与C 独立. 证明 )()(])[(ABC AC P BC AC P C B A P -=-=-)()()()()()()(C P B P A P C P A P ABC P AC P -=-= )()]()([)()]()()([C P AB P A P C P B P A P A P -=-= )()()()(C P B A P C P AB A P -=-=所以B A -与C 独立.39. 四重伯努利试验中,事件A 至少发生一次的概率为8704.0,求下列事件的概率:)1(一次试验中A 发生的概率;)2(4次试验A 恰好发生2次的概率.解 )1(设一次试验中A 发生的概率为p ,则依题意可得 8704.0)1(14=--p , 1296.0)1(4=-p ,6.01=-p , 4.0=p .)2(用事件B 表示"4次试验中事件A 恰好发生2次", 3456.0)6.0()4.0()(2224==C B P .40. 有8门炮,每门炮命中目标的概率均为2.0,各射一炮,求下列事件的概率)1(目标被命中3弹; )2(目标至少被命中2弹; )3(目标至多被命中2弹;解 设)1(,)2(,)3(分别为事件A ,B ,C .)1(1468.032768.0008.056)8.0()2.0()(5338≈⨯⨯==C A P ;)2(4967.0)8.0)(2.0()8.0(1)(7188≈--=C B P ;)3(7969.0)8.0()2.0()8.0)(2.0()8.0()(62287188≈++=C C C P .41. 甲、乙二人轮流投篮,甲先开始,假定他们的命中率分别为4.0及5.0,问谁先投中的概率较大,为什么?解 设事件n n B A 212,-分别表示"甲在第12-n 次投中"与"乙在第n 2次投中",显然 ,,,,4321B A B A 相互独立.设事件A 表示"甲先投中". +++=)()()()(543213211A B A B A P A B A P A P A P 743.014.04.0)5.06.0(4.05.06.04.02=-=+⨯⨯+⨯⨯+= .计算得知5.0)(>A P ,5.0)(<A P ,因此甲先投中的概率较大. 42. 某高校新生中,北京考生占%30,京外其他各地考生占%70,已知在北京学生中,以英语为第一外语的占%80,而京外学生以英语为第一外语的占%95,今从全校新生中任选一名学生,求该生以英语为第一外语的概率.解 设事件A 表示"任选一名学生为北京考生",B 表示"任选一名学生以英语为第一外语".依题意3.0)(=A P ,7.0)(=A P ,8.0)|(=A B P ,95.0)|(=A B P .由全概率公式有)|()()|()()(A B P A P A B P A P B P +=905.095.07.08.03.0=⨯+⨯=.43. A 地为甲种疾病多发区,该地共有南、北、中三个行政小区,其人口比为4:7:9,据统计资料,甲种疾病在该地三个小区内发病率依次为004.0,002.0,005.0,求A 地的甲种疾病的发病率.解 设事件321,,A A A 分别表示从A 地任选一名居民其为南、北、中行政小区,易见321,,A A A 两两互不下容,其和为Ω.设事件B 表示"任选一名居民其患有甲种疾病",依题意:,45.0)(1=A P 35.0)(2=A P ,2.0)(3=A P ,004.0)|(1=A B P , 002.0)|(2=A B P , 005.0)|(3=A B P005.02.0002.035.0004.045.0)|()()(31⨯+⨯+⨯==∑=ii iA B P A P B P0035.0=.44. 一个机床有三分之一的时间加工零件A ,其余时间加工零件B ,加工零件A 时,停机的概率为3.0,加工零件B 时的停机的概率为4.0,求这个机床停机的概率.解 设事件A 表示"机床加工零件A ",则A 表示"机床加工零件B ",设事件B 表示"机床停工".37.0324.0313.0)|()()|()()(=⨯+⨯=+=A B P A P A B P A P B P .45. 市场供应的灯泡中有%40是甲厂生产的,%60是乙厂生产的,若甲、乙两厂生产的灯泡次品率分别为02.0和03.0,求 )1(顾客不加选择的买一个灯泡为正品的概率;)2(已知顾客买的一个灯泡为正品,它是甲厂生产的概率.解 设事件A 表示"顾客买一个灯泡是甲厂生产的",则A 表示"顾客买一个灯泡是乙厂生产的",设事件B 表示"顾客买一个灯泡是正品". )1()|()()|()()(A B P A P A B P A P B P += 974.097.06.098.04.0=⨯+⨯=. )2()|()()|()()|()()|(A B P A P A B P A P A B P A P B A P +=4025.0974.0392.097.06.098.04.098.04.0≈=⨯+⨯⨯=.46. 甲袋中装有4个红球,2个白球;乙袋中装有2个红球,4个白球,求下列事件的概率:)1(从甲袋任取1球放入乙袋,再从乙袋中任取1球,该球为红球; )2(从甲袋任取2球放入乙袋,再从乙袋中任取1球,该球为红球; )3(从甲袋中任取1球放入乙袋,再从乙袋中任取1球放回甲袋,最后从甲袋中任取一球,该球为红球.解 )1(设事件A 表示"第一次取出红球",事件A 表示"第一次取出白球",事件B 表示"第二次取出红球".381.021872627364)|()()|()()(≈=⨯+⨯=+=A B P A P A B P A P B P .)2(设事件1A 表示"第一次取出的两球都是红球",2A 表示"第二次取出的两球都是白球",3A 表示"第一次取出的两球一红一白",事件B 表示"第二次取出红球".)|()()|()()|()()(332211A B P A P A B P A P A B P A P B P ++= 18132614121812262218142624C C C C C C C C C C C C C ⋅+⋅+⋅=4167.0831588215184156≈⨯+⨯+⨯=.)3(设事件A 表示"第一次取出的是红球",A 表示"第一次取出的是白球",事件B 表示"第二次取出的是红球",B 表示"第二次取出的是白球",事件C 表示"第三次取出的是红球".)|()()|()()(B A C P B A P AB C P AB P C P +=)|()()|()(B A C P B A P B A C P B A P ++)|()()|()|()()|(A B P A P B A C P A B P A P AB C P += )|()()|()|()()|(A B P A P B A C P A B P A P B A C P ++ 756264646463726265736464⨯⨯+⨯⨯+⨯⨯+⨯⨯=619.02113≈=. 47. 有编号为)1(、)2(、)3(的3个口袋,其中)1(号袋内装有两个1号球,1个2号球和1个3号球,)2(号袋内装有两个1号球和1个3号球,)3(号袋内装有3个1号球和两个2号球,现在先从)1(号袋内随机地抽取一个球,放入与球上号数相同的口袋中,第二次从该口袋中任取一个球,计算第二次取到几号球的概率最大?为什么?解 设事件i A 表示"第一次取到i 号球",i B 表示"第二次取到i 号球",3,2,1=i .依题意,321,,A A A 构成一个完全事件组.21)(1=A P , 41)()(32==A P A P ,21)|(11=A B P ,41)|()|(1312==A B P A B P , 21)|(21=A B P ,41)|()|(2322==A B P A B P ,21)|(31=A B P ,31)|(32=A B P ,61)|(33=A B P ,应用全概率公式)|()()(31i j i i j A B P A P B P ∑==可依次计算出21)(1=B P ,4813)(2=B P ,4811)(3=B P ,因此第二次取到1号球的概率最大.48. 甲、乙、丙三个机床加工一批同一种零件,其各机床加工的零件数量之比为2:3:5,各机床所加工的零件合格率,依次为%94,%90,%95,现在从加工好的整批零件中检查出一个废品,判断它不是甲机床加工的概率.解 设事件321,,A A A 分别表示"受检零件为甲机床加工","乙机床加工","丙机床加工".B 表示"废品",应用贝叶斯公式有 ∑==31111)|()()|()()|(i iiA B P A P A B P A P B A P7305.02.01.03.006.05.006.05.0=⨯+⨯+⨯⨯=,74)|(1)|(11=-=B A P B A P .49. 某人外出可以乘坐飞机、火车、轮船、汽车4种交通工具,其概率分别为%5,%15,%30,%50,乘坐这几种交通工具能如期到达的概率依次为%100,%70,%60与%90,已知该旅行者误期到达,求他是乘坐火车的概率.解 设事件4321,,,A A A A 分别表示外出人"乘坐飞机","乘坐火车","乘坐轮船",乘坐汽车",B 表示"外出人如期到达".∑==41222)|()()|()()|(i iiA B P A P A B P A P B A P21.01.05.04.03.03.015.0005.03.015.0≈⨯+⨯+⨯+⨯⨯=.50. 设发报台分别以6.0和4.0的概率发出"-"和"∙"信号.由于干扰作用,发"-"信号时,收报台以9.0的概率收到"-",以1.0的概率收到"∙";发"∙"信号时,收报台收到"∙""-""不清"的概率分别为8.0,1.0和1.0,求下列事件的概率. )1(收报台收到"-"信号; )2(收报台收到"∙"信号;)3(收报台收到"-"信号,确系发的"-"; )4(收报台收到"∙"信号,确系发的"∙".解 设事件21,A A 分别表示"发出"-""和"发出"∙"",事件321,,B B B 分别表示"收到"-"","收到"∙"","收到"不清"".依题意 6.0)(1=A P ,4.0)(2=A P ; 9.0)|(11=A B P ,1.0)|(12=A B P ;1.0)|(21=A B P ,8.0)|(22=A B P ,1.0)|(23=A B P . )1()|()()|()()(2121111A B P A P A B P A P B P += 58.01.04.09.06.0=⨯+⨯=.)2()|()()|()()(2221212A B P A P A B P A P B P += 38.08.04.01.06.0=⨯+⨯=.)3(58.054.0)|()()|()()|()()|(11211111111=+=A B P A P A B P A P A B P A P B A P931.0≈. )4()|()()|()()|()()|(22212122222A B P A P A B P A P A B P A P B A P +=842.038.032.08.04.01.06.08.04.0==⨯+⨯⨯=.51. 某企业采取三项深化改革措施,预计各项改革措施成功的可能性分别为6.0,7.0和8.0,设三项措施中有一项、两项、三项成功可取得明显经济效益的概率分别为4.0,7.0和9.0,若各项措施成功与否相互独立,求 )1(企业可取得明显经济效益的概率;)2(企业已取得经济效益,是由于有两项措施成功而引起的概率.(假定三项均不成功不会取得明显经济效益)解 设企业采取甲、乙、丙三项改革措施,用事件C B A ,,分别表示甲、乙、丙三项改革措施成功,则6.0)(=A P ,7.0)(=B P ,8.0)(=C P ,用事件D 表示“企业可取得明显经济效益”,用事件G F E ,,分别表示有一项、二项、三项措施成功,则 )()(C AB C B A BC A P E P ++=)()()()()()()()()(C P B P A P C P B P A P C P B P A P ++= 188.08.03.04.02.07.04.02.03.06.0=⨯⨯+⨯⨯+⨯⨯=, )()(C AB BC A C AB P F P ++=)()()()()()()()()(C P B P A P C P B P A P C P B P A P ++= 452.08.03.06.08.07.04.02.07.06.0=⨯⨯+⨯⨯+⨯⨯=, 336.08.07.06.0)()()()()(=⨯⨯===C P B P A P ABC P G P ,4.0)|(=E D P ,7.0)|(=F D P ,9.0)|(=G D P . )1()|()()|()()|()()(G D P G P F D P F P E D P E P D P ++=694.09.0336.07.0452.04.0188.0=⨯+⨯+⨯=. )2()|()()|()()|()()|()()|(G D P G P F D P F P E D P E P F D P F P D F P ++=456.0694.03164.0≈=.52. 一条生产线正常生产的时间为%95,不正常生产的时间为%5.正常运转时,产品%90为合格品,%10为不合格品;不正常运转时,产品合格品只占%40,从产品中任取1件检查,求下列事件的概率: )1(取出的产品为合格品;)2(取出的是合格品,它是正常运转时生产的; )3(取出的是合格品,它是不正常运转时生产的.解 用事件21,A A 分别表示生产线正常生产与不正常生产,用事件21,B B 分别表示取出一件产品为合格品与不合格品.依题意 95.0)(1=A P ,05.0)(2=A P ; 9.0)|(11=A B P ,1.0)|(12=A B P ; 4.0)|(21=A B P ,6.0)|(22=A B P .)1()|()()|()()(2121111A B P A P A B P A P B P +=875.04.005.09.095.0=⨯+⨯=;)2(977.0875.0855.0)()()|()()|()()|(21211111111≈=+=A B P A P A B P A P A B P A P B A P .53. 某种零件可以用两种工艺方法加工制造,第一种方法需三道工序,其中各道工序出现废品的概率分别是1.0,2.0和3.0;第二种方法需两道工序,每道工序出现废品的概率均为3.0.设在合格品中得到优等品的概率分别为9.0和8.0.比较哪种方法得到优等品的概率较大?解 用事件A 表示"用第一种方法生产出合格品",用事件B 表示"用第二种方法生产出合格品".用事件21,C C 分别表示用第一、第二种方法生产出优等品.依题意504.07.08.09.0)(=⨯⨯=A P , 49.07.07.0)(=⨯=B P , 9.0)|(1=A C P , 8.0)|(2=B C P .4536.09.0504.0)|()()(11=⨯==A C P A P C P , 392.08.049.0)|()()(22=⨯==B C P B P C P . 所以第一种方法得到优等品的概率较大. 54. 设一条昆虫生产n 个卵的概率为 λλ-=en p nn !, ,2,1,0=n ,其中0>λ.又设一个虫卵能孵化成昆虫的概率等于)10(<<p p .如果卵的孵化是互相独立的.问此虫的下一代有k 条的概率是多少? 解 设事件=n A "一个虫产下几个卵", ,2,1,0=n .=R B "该虫下一代有k 条虫", ,2,1,0=k .依题意λλ-==en p A P nn n !)(,⎩⎨⎧≤≤>=-nk qp C n k A B P kn k k n n k 00)|(其中p q -=1.应用全概率公式有)|()()|()()(0n k kn nn k n nk A B P AP A B P AP B P ∑∑∞=∞===∑∑∞=----∞=-=-=kn kn k kn k kn nk n q ek p qp k n k n en )!()(!)()!(!!!λλλλλ由于qk n kn kn kn ek n q k n q λλλ=-=-∑∑∞=--∞=-0)!()()!()(,所以有ppqkk ekp eek p B P λλλλλ--==)(!)()(, ,2,1,0=k .(B )1. 对于任意二事件A 和B ,与B B A =⋃不等价的是:)(a B A ⊂ )(b A B ⊂ )(c Φ=B A )(d Φ=B A解 )(dΦ=⇔⊂⇔⊂⇔=⋃B A A B B A B B A ,而B A B A ⊃⇔Φ=.2. 设B A ,为两个随机事件,且1)|(,0)(=>B A P B P ,则必有: )(a )()(A P B A P >⋃ )(b )()(B P B A P >⋃ )(c )()(A P B A P =⋃ )(d )()(B P B A P =⋃ 解 )(c由题设条件可得1)()()|(==B P AB P B A P ,所以)()(B P AB P =,即B A ⊃,于是 A B A =⋃,故有)()(A P B A P =⋃.3. 当事件A 与B 同时发生时,事件C 必发生,则必有: )(a )()(AB P C P = )(b )()(B A P C P ⋃=)(c 1)()()(-+≤B P A P C P )(d 1)()()(-+≥B P A P C P 解 )(d当事件A 与B 同时发生时,事件C 发生AB C ⊃⇔,所有,)(a 非正确答案.虽然AB C ⊃,但可能有C B A ⊃⋃,所以,)(b 非正确答案. 显然,01)()(<-+B P A P 可能成立,所有,)(c 非正确答案. 4. 设a A P =)(,b B P =)(,c B A P =+)(,则_______)(=B A P . )(a b a - )(b b c - )(c )1(b a - )(d )1(c a - 解 )(b)()()()]([)(AB P A P AB A P B A P B A P -=-=-Ω=,c AB P B P A P B A P =-+=+)()()()(,即c AB P b a =-+)(,所以c b a AB P -+=)(,于是得 b c c b a a AB P A P B A P -=-+-=-=)()()()(.5. 设C B A ,,三个事件两两独立,则C B A ,,相互独立的充分必要条件是: )(a A 与BC 独立 )(b AB 与C A ⋃独立 )(c AB 与AC 独立 )(d B A ⋃与C A ⋃独立 解 )(aC B A ,,相互独立C B A ,,⇔两两独立且)()()()(C P B P A P ABC P =.由题设条件已经知道了C B A ,,两两独立,因此C B A ,,相互独立)()()()(C P B P A P ABC P =⇔.对于)(a ,因为B 与C 已经相互独立,所以A 与BC 独立 )()()()()()()(C P B P A P ABC P BC P A P ABC P =⇔=⇔, 故应选)(a .6. 将一枚硬币独立地掷两次,引进事件:=1A {掷第一次出现正面}, =2A {掷第二次出现正面}, =3A {正、反面各出现一次}, =4A {正面出现两次} 则事件( ))(a 321,,A A A 相互独立 )(b 432,,A A A 相互独立 )(c 321,,A A A 两两独立 )(d 432,,A A A 两两独立 解 )(c21)(1=A P , 21)(2=A P , 21)(3=A P , 41)(4=A P .Φ=321A A A , Φ=432A A A , Φ=43A A ,所以)(a ,)(b ,)(d 非正确答案.)()(41)()(21421A P A P A P A A P ===,)()(31二次出现反面掷第一次出现正面,第P A A P =)()(4131A P A P ==,)()(32二次出现正面掷第一次出现反面,第P A A P =)()(4132A P A P ==,所以)(c 正确.7. 某人向同一目标独立重复射击,每次射击命中目标的概率为)10(<<p p ,则此人第4次射击恰好第2次命中目标的概率为( ). )(a 2)1(3p p - )(b 2)1(6p p - )(c 22)1(3p p - )(d 22)1(6p p -解 )(c前3次射击恰好1次命中目标的概率为2213)1(3)1(p p p p C -=-,第4次命中目标的概率为p ,再由独立性可得第4次射击恰好第2次命中目标的概率为22)1(3p p -.8. 把n 个"0"与n 个"1"随机地排列,求没有两个"1"连在一起的概率.解 考虑n 个"1"的放法:n 2个位置上"1"占有n 个位置,所有共有nn C 2种放法.而"没有两个1连在一起",相当于在n 个"0"之间及两头(共1+n 个位置)去放"1",这共有nn C 1+种放法. 所以没有两个"1"连在一起的概率为n nn nnn Cn CC 2211+=+.9. 从数字9,,2,1 中可重复地任取n 次,求n 次所取数字的乘积能被10整除的概率.解 记事件A 为"至少取到一次5",事件B 为"至少取到一次偶数",则所求概率为)(AB P .因为nn A P 98)(=, nn B P 95)(=, nn B A P 94)(=⋂,所以)()()(1)(1)(B A P B P A P B A P AB P ⋂+--=⋃-=nnn n 94581-+-=.10. 考虑一元二次方程02=++C Bx x ,其中C B ,分别是将一枚骰子接连掷两次先后出现的点数,求该方程有实根的概率p 和有重根的概率q . 解 C B ,均可取值6,5,4,3,2,1,而且取每一个值的概率均为61.一枚骰子接连掷两次,其基本事件总数为36=n ,且这36个基本事件是等可能的,所以,这是一个古典概型问题.当C B 42≥时方程有实根;C B 42=时方程有重根.关键的问题是求出满足C B 42≥和C B 42=的基本事件数.用表格列出分析结果:由此可得,使方程有实根的基本事件数为1966421=++++, 所以3619=p .使方程有重根的基本事件数为2个,所有181362==q .11. 已知事件B A ,满足)()(B A P AB P ⋂=,记p A P =)(,试求)(B P . 解 因为)(1)()()(B A P B A P B A P AB P ⋃-=⋃=⋂=)()()(1AB P B P A P ---=, 由此得 0)()(1=--B P A P , 所以 p A P B P -=-=1)(1)(.。
概率论
11、甲、乙两艘轮船驶向一个不能同时停泊两艘船的码头停泊.它们在一昼夜内到达码头的时刻是等可能的.如果甲船停泊的时间是一小时,乙船停泊的时间是两小时,求这两艘船都不等候码头的概率. 解:
分别用x、y表示甲、乙船到达时刻,在直角坐标系下作直线x=24、y=24,它们与x轴及y轴围成一个正方形,点(x,y)总是落入这个正方形的;
作直线y=x+1与y=x-2,如果点(x,y)落入两直线所夹以外区域就不需要等待,所以不需要等待的概率为:
p=(22*22/2+23*23/2)/(24*24)=1013/1152≈0.879340277777778
25、已知男人中5%是色盲患者,女人中有0.25%;今从男女人数相等的人群中随机挑选一人,恰好是色盲患者,问此人是男人的概率是多少?
解:
可以算出色盲的人占总人数的比率是5%x50%+0.25%x50%=2.625%,而在2.625%的人中,男的占5%x50%,所以是男的几率为5%x50%除以2.625%=20/21
第一章随机事件与概率
1.设A,B,C为三个事件,试用A、B、C表示下列事件,并指出其中哪俩个事件是互逆事件:1)仅有一个事件发生;2)至少有一个事件发生;3)三个事件都发生;4)至多有两个事件发生;5)三个事件都不发生;6)恰好两个事件发生。
用a,b,c分别表示A,B,C的补事件,那么有
1)
abC∪aBc∪Abc
2)
1-abc
3)
ABC
4)
1-ABC
5)
abc
6)
ABc∪AbC∪aBC
其中(2)和(5) (3)和(4) 是互逆事件
2.设对于事件A,B,C,有P(A)=P(B)=P(C)=1/4,P(AC)=1/8,P(AB)=P(BC)=0,求A、B、C至少出现一个的概率。
因为P(AB)=0,所以P(ABC)=0,所以P(A+B+C)=PA+PB+PC-PAB-PAC-PBC+PABC=5/8
3.设A,B为随机事件,P(A)=0.7,P(A-B)=0.3,求P(AB(—))。
因为P(A-B)=P(A)-P(AB),
所以P(AB)=P(A)-P(A-B)=0.7-0.3=0.4
4.若事件A、B满足P(AB)=P(A(—)∩B(—)),且P(A)=1/3,求P(B)。
P(AB)=P(非A∩非B)
=P[非(A∪B)]
=1-P(A∪B)
=1-[P(A)+P(B)-P(AB)]
整理得P(A)+P(B)=1
P(B)=1-P(A)
=2/3
5.一个袋中有5个红球2个摆球,从中任取一球,看过颜色后就放回袋中,然后再从袋中任取一球。
求:1)第一次和第二次都取到红球的概率;2)第一次取到红球,第二次取到白球的概率。
(1)、5/7*5/7=25/49, (2)、5/7*2/7=10/49
6.一批产品有8个正品,2个次品,从中任取两次,每次取一个(不放回)。
求:1)两次都取到正品的概率;2)第一次取到正品,第二次取到次品的概率;3)第二次取到次品的概率;4)恰有一次取到次品的概率。
1)取到两个正品有56种取法 10个中取2次有90种取法 56/90=28/45
2)同理,8*2/90=8/45
3)(8*2+2*1)/90=1/5
4)(8*2+2*8)/90=16/45
7.长期统计资料得知,某一地区在4月份下雨(记作事件A)的概率为4/15,刮风(记作事件B)的概率为7/15,刮风又下雨(记作事件C)的概率为1/10,求:P(A|B),P(B|A),P(A∪B)。
8.有两个口袋,甲袋中盛有2个白球1个黑球;乙袋中盛有1个白球2个黑球。
由甲袋任取一球放入乙袋,再从乙袋中取出一球,求取到白球的概率。
2/3*2/4+1/3*1/4=5/12
9。
某专科医院平均接待K型病人50%,L型病人30%,M型病人20%,而治愈率分别为7/10,8/10,9/10。
今有一患者已治愈,问此患者是K型病人的概率是多少?
分子:50%*7/10
分母:50%*7/10+30%*8/10+20%*9/10
=35%/(35%+24%+18%)=5/11
10.若P(A|B)=P(A|B(—)),证明事件A与事件B相互独立。
证明:
P(A|B)=P(AB)/P(B)
P(A|B(—))=P(AB(—))/P(B(—))=[P(A)-P(AB)]/[1-P(B)]
因为P(A|B)=P(A|B(—))所以
P(AB)/P(B)=[P(A)-P(AB)]/[1-P(B)]
P(AB)[1-P(B)]=[P(A)-P(AB)]P(B)
P(AB)-P(AB)P(B)=P(A)P(B)-P(AB)P(B)
所以P(AB)=P(A)P(B)
所以事件A与事件B相互独立
回答人的补充2010-01-07 07:19
11.对某一目标进行射击,直到击中为止。
如果每次射击命中率为p,求射击次数的分布率。
1次 p
2次 (1-P)P
3次 (1-P)(1-p)P
4次...........
所以
N次 (1-P)^(N-1)*P
12.已知Xi(i=1,2)的分布函数为Fi(x)。
设是某一随机变量的分布函数,求常数a。
13.从学校乘汽车到火车站的途中有三个交通岗,假定在各个交通岗遇到红绿信号灯的事件是相互独立的,且遇到红灯的概率都是1/2。
设X表示途中遇到红灯的次数,求X的分布率和分布函数。
X可以取值为0,1,2,3。
P(X=0)=1/2
P(X=1)=1/4
P(X=2)=1/8
P(x=3)=1/8
分布函数:
F(x)=0 当x<0
=1/2 当0小于等于x <1
=3/4 当1小于等于x <2
=7/8 当2小于等于x <3
=1 当x大于等于3
14.设随机变量X的分布函数为:,求:1)P{X≤2},P{X>3};2)X的概率密度。
分布函数的导数就是随机变量的概率密度,当x≤0时,分布函数为0,0也是常数,常数的导数为0.
15.设随机变量X~N(10,22),求P{10<X<13};P{X>13};P{|X-10|<2};P{X<-28};P{X>-15}。
因为随机变量X~N(10,22)即μ=10 σ=2, P{10<X<
13}=F(13)-F(10)=Ф( )-Ф( )=Ф(1.5)-Ф(0)=0.9332-0.5=0.4332 P{X>
13}=1- P{X≤13}=1-F(13)=
1-Ф( )=1-Ф(1.5)=1-0.9332=0.0668 P{|X-10|<2}= P{ <1}=
Ф(1)- Ф(-1)=2Ф(1)-1=2*0.8413-1=0.6826 P{X<-28}=Ф( )=Ф(-19)
=1-Ф(19) P{X>-15}=1- P{X≤-15}=1-F(-15)= F(15)= Ф( )=Ф(2.5)=0.9938
16.在电源电压不超过200,200~240和超过240V三种情况下,某种电子元件损坏的概率分别是0.1,0.001和0.2,假定电源电压X~N(220,252),试求:1)该电子元件被损坏的概率;2)电子元件被损坏时,电源电压在200~240V
的概率。
记事件“电子元件被损坏”为A,已知
P{A|X<=200}=0.1,
P{A|200<X<240}=0.001,
P{A|X>=240}=0.2,
X~N(220,252),
P{X<=200}=P{(X-220)/√252<=-1.26}=0.1038≈0.1,
P{200<X<240}=0.7924≈0.8,
P{X>=240}=0.1038≈0.1,
1)该电子元件被损坏的概率;
P{A}=P{X<=200}P{A|X<=200}+P{200<X<240}P{A|200<X<240}+P{X>=240}P{A|X>= 240}
=0.1*0.1+0.8*0.001+0.1*0.2≈0.03.
2)电子元件被损坏时,电源电压在200~240V的概率。
P{200<X<240|A}= P{200<X<240}P{A|200<X<240}/P{A}=
=0.8*0.001/0.03=0.026.
17.随即向量(X,Y)在矩形区域a≤x≤b,c≤y≤d,内服从均匀分布。
求(X,Y)的分布密度函数及边缘分布密度,并判断X,Y是否独立。
S=(b-a)(d-c)
(X,Y)的分布密度函数f(x,y)
=1/[(b-a)(d-c)] a≤x≤b,c≤y≤d
=0 其他
关于X的边缘分布密度函数f1(x)
=1/(d-c) a≤x≤b,
=0 其他
关于Y的边缘分布密度函数f2(y)
=1/(b-a) c≤y≤d,
=0 其他
f(x,y)=f1(x)*f2(y)
所以X,Y是独立的
18.已知随机变量X~N(-1,1),Y~N(3,1)且X与Y相互独立,设随机变量Z=X-2Y+7,求Z的概率分布。
X,Y均服从正态分布,Z也服从正态分布
E(Z)=E(X-2Y+7)=E(X)-2E(Y)+7=-1-2*3+7=0;
D(Z)=D(X-2Y+7)=D(X)+4D(Y)=1+4*1=5
所以Z~N(0,5)的正态分布。