北京市清华大学附属中学数学一元一次方程单元测试卷(含答案解析)
- 格式:doc
- 大小:1.13 MB
- 文档页数:13
一、填空题1.已知222a b c k b c a c a b===+++,则k =______.1或-2【分析】分类讨论:①当时将等式变形即可求出k 的值;②当时则代入原等式即可求出k 的值【详解】解:①当时∵∴∴∴∴∴;②当时则∴故答案为:1或-2【点睛】此题考查的是等式的基本性质根据等式的基本解析:1或-2【分析】分类讨论:①当0a b c ++≠时,将等式变形,即可求出k 的值;②当0a b c ++=时,则a b c +=-,代入原等式即可求出k 的值.【详解】解:①当0a b c ++≠时, ∵222a b c k b c a c a b===+++, ∴()()()2,2,2a k b c b k a c c k a b =+=+=+,∴()222a b c k b c a c a b ++=+++++,∴()()22a b c k a b c ++=++,∴22k =,∴1k =;②当0a b c ++=时,则a b c +=-. ∴222c c k a b c===-+- 故答案为:1或-2【点睛】 此题考查的是等式的基本性质,根据等式的基本性质将等式变形是解决此题的关键. 2.在甲处工作的有27人,在乙处工作的有19人,现另外调20人去支援,使在甲处工作的人数是乙处的2倍,则往甲处调_____人,乙处调_____人.3【解析】【分析】设调往甲处的人数为x 则调往乙处的人数为20-x 根据甲处的人数是在乙处人数的2倍列方程求解【详解】设应调往甲处x 人依题意得:27+x=2(19+20−x)解得:x=17∴20−x=3解析:3【解析】【分析】设调往甲处的人数为x ,则调往乙处的人数为20-x ,根据甲处的人数是在乙处人数的2倍列方程求解.【详解】设应调往甲处x 人,依题意得:27+x=2(19+20−x),解得:x=17,∴20−x=3,答:应调往甲处17人,调往乙处3人【点睛】此题考查一元一次方程的应用,解题关键在于列出方程.3.把方程|21|5x -=化成两个一元一次方程是___________________.【解析】【分析】数轴上表示数的点到原点的距离叫做这个数的绝对值根据绝对值的性质可得一个数的绝对值是5则这个数是5或-5【详解】根据绝对值的性质将方程方程化成两个一元一次方程是故答案为:【点睛】本题主解析:215x -=,215x -=-【解析】【分析】数轴上表示数的点到原点的距离叫做这个数的绝对值,根据绝对值的性质可得,一个数的绝对值是5,则这个数是5或-5.【详解】根据绝对值的性质,将方程方程|21|5x -=化成两个一元一次方程是215x -=,215x -=-,故答案为: 215x -=,215x -=-.【点睛】本题主要考查绝对值的基本性质,解决本题的关键是要熟练掌握绝对值的基本性质. 4.要使代数式154t +与15()4t -的值互为相反数,则t 的值是_________.【解析】【分析】只有符号不同的两个数是互为相反数且互为相反数的两个数的和等于0根据相反数的性质可列方程求解【详解】因为代数式与的值互为相反数所以+=0解得:t=【点睛】本题主要考查列方程解方程解决本 解析:110【解析】【分析】只有符号不同的两个数是互为相反数,且互为相反数的两个数的和等于0,根据相反数的性质可列方程求解.【详解】 因为代数式154t +与15()4t -的值互为相反数, 所以154t ++15()4t -=0,解得:t =110, 【点睛】 本题主要考查列方程解方程,解决本题的关键是要熟练根据相反数的性质列出方程即可求解. 5.(1)由等式325x x =+的两边都________,得到等式5x =,这是根据____________;(2)由等式1338x -=的两边都______,得到等式x=_____,这是根据__________________.减去2x 等式的性质1;除以等式的性质2【解析】【分析】根据等式的性质即可作答等式的性质1等式两边加同一个数(或式子)结果仍得等式;性质2等式两边乘同一个数或除以一个不为零的数结果仍得等式【详解】(1 解析:减去2x ,等式的性质1;除以13-,98-,等式的性质2. 【解析】【分析】根据等式的性质即可作答.等式的性质1、等式两边加同一个数(或式子)结果仍得等式;性质2、等式两边乘同一个数或除以一个不为零的数,结果仍得等式.【详解】(1)由等式325x x =+的两边都减去2x ,得到等式5x =,这是根据等式的性质1; (2)由等式1338x -=的两边都除以13-,得到等式x=98-,这是根据等式的性质2; 故答案为:减去2x ,等式的性质1;除以13-,98-,等式的性质2. 【点睛】 本题考查了等式的性质.遇到此类题目要先确定等式变形前后用的是性质1还是2,再用相应的方法求解.6.将一个底面直径是10cm 、高为40cm 的圆柱锻压成底面直径为16cm 的圆柱,则锻压后圆柱的高为________cm.625【解析】【分析】利用等量关系:锻压前的圆柱的体积=锻压后的圆柱的体积根据圆柱的体积计算公式表示出体积列出方程解答即可【详解】解:设锻压后圆柱的高为x 厘米由题意得:解得:x=15625答:锻压后解析:625【解析】【分析】利用等量关系:锻压前的圆柱的体积=锻压后的圆柱的体积,根据圆柱的体积计算公式表示出体积列出方程解答即可.【详解】解:设锻压后圆柱的高为x 厘米,由题意得:221016()40()22x ππ⨯=解得:x=15.625.答:锻压后圆柱的高为15.625厘米.故答案为:15.625.【点睛】此题考查一元一次方程的实际运用,关键是掌握体积公式,并找准题中的等量关系. 7.某商店有两种进价不同的计算器都卖了64元,其中一种盈利60%,另一种亏本20%,在这次买卖中,这家商店的盈亏情况为____________.赚了8元【解析】【分析】根据题意设一个价钱为x 元另一个价钱为y 元列出方程求出未知数的值再计算即可【详解】解:设两种计算器进价分别为x 元y 元则x 解得(元)所以赚了8元【点睛】本题主要考查列一元一次方程解析:赚了8元【解析】【分析】根据题意设一个价钱为x 元,另一个价钱为y 元,列出方程,求出未知数的值,再计算即可.【详解】解:设两种计算器进价分别为x 元,y 元,则x (160%)=64+,(120%)64y -=.解得40x =,80y =.4080120x y +=+=. 6421201281208⨯-=-=(元), 所以赚了8元.【点睛】本题主要考查列一元一次方程解决实际问题,解决本题的关键是要熟练掌握根据进价、售价与利润率之间的关系分别求出两种计算机的进价.8.方程3622y y y -+=,左边合并同类项后,得____________.y=6【解析】【分析】先合并同类项再进行化简即可【详解】合并同类项得:y=6【点睛】本题考查合并同类项熟练掌握计算法则是解题关键解析:y=6【解析】【分析】先合并同类项,再进行化简即可.【详解】3622y y y -+= 合并同类项,得:13-1+=622y ⎛⎫⎪⎝⎭ y=6【点睛】本题考查合并同类项,熟练掌握计算法则是解题关键.9.在公式5(32)9c f=-中,已知20c=,则f=_____________.68【解析】【分析】把C=20代入C与f之间的关系式解方程就可以求出f的值【详解】由题意得当C=20时20=180=5f−160−5f=−340f=68故答案为:68【点睛】本题考查解一元一次方程熟解析:68【解析】【分析】把C=20代入C与f之间的关系式5(32)9c f=-,解方程就可以求出f的值.【详解】由题意,得当C=20时,20=5(32) 9f-,180=5f−160,−5f=−340,f=68.故答案为:68.【点睛】本题考查解一元一次方程,熟练掌握运算法则是解题关键.10.如果代数式453m-的值等于5-,那么m的值是_________.【解析】【分析】根据题意列出方程求出方程的解即可得出m的值【详解】由题意得:=去分母得:4m-5=-15解得m=【点睛】本题考查解一元一次方程熟练掌握计算法则是解题关键解析:5 2 -【解析】【分析】根据题意列出方程,求出方程的解即可得出m的值.【详解】由题意得:453m-=5-去分母得:4m-5=-15解得m=52-【点睛】 本题考查解一元一次方程,熟练掌握计算法则是解题关键.11.完成下列的解题过程: 用两种方法解方程:11(31)1(3)43x x -=-+. (1)解法一:去分母,得______________.去括号,得_________________.移项、合并同类项,得________________.系数化为1,得_____________.(2)解法二:去括号,得______________.去分母,得________________.移项、合并同类项,得____________. 系数化为1,得_______________.【解析】【分析】解一元一次方程的一般步骤是:去分母去括号移项合并同类项系数化1但步骤也并不是固定不变的要灵活掌握【详解】两种方法解方程:解法1:去分母得去括号得9x -3=12-4x -12移项合并同类解析:3(31)124(3)x x -=-+, 9312412x x -=--, 133x =, 313x =, 31111443x x -=--, 9312412x x -=--, 133x =, 313x = 【解析】【分析】解一元一次方程的一般步骤是:去分母,去括号,移项合并同类项,系数化1,但步骤也并不是固定不变的,要灵活掌握.【详解】 两种方法解方程:11(31)1(3)43x x -=-+ 解法1:去分母,得3(31)124(3)x x -=-+. 去括号,得9x -3=12-4x -12移项、合并同类项,得13x=3.系数化为1,得313x =. 解法2:去括号,得31111443x x -=-- 去分母,得9312412x x -=--移项、合并同类项,得13x=3系数化为1,得313x =故答案为: (1) 3(31)124(3)x x -=-+(2) 9312412x x -=--(3) 133x = (4) 313x =(5) 31111443x x -=-- (6) 9312412x x -=-- (7) 133x = (8) 313x =. 【点睛】 本题考查解方程,熟练掌握解方程的步骤及计算法则是解题关键.12.喜欢集邮的小惠共有中、外邮票145张,其中中国邮票的张数比外国邮票的张数的2倍少5张,问小惠有中国邮票______张,外国邮票_____张.50【解析】【分析】据题意可得到等量关系式:外国邮票的张数×2-5=中国邮票的张数设外国邮票x 张把未知数和相关数据代入等量关系式进行解答即可得到答案【详解】解:设外国邮票x 张2x-5=145-x3x解析:50【解析】【分析】据题意,可得到等量关系式:外国邮票的张数×2-5=中国邮票的张数,设外国邮票x 张,把未知数和相关数据代入等量关系式进行解答即可得到答案.【详解】解:设外国邮票x 张,2x-5=145-x3x=150x=50中国邮票:145-50=95答:中国邮票95张,外国邮票有50张.【点睛】解答此题的关键是确定等量关系式,然后再列方程解答即可.13.一批玩具,如果3个小朋友玩1个,还剩2个玩具;如果2个小朋友玩1个,还有9人没有分到玩具.若设有x 个玩具,根据题意可列方程______.【解析】【分析】依据题意分析可得等量关系:两总分法实际上球的个数不变【详解】解:若设有个玩具由题意得【点睛】本题考查了一元一次方程的应用解答本题的关键是读懂题意找出等量关系列方程求解解析:3(2)29x x -=+【解析】【分析】依据题意分析,可得等量关系: 两总分法实际上球的个数不变.【详解】解:若设有x 个玩具,由题意得,3(2)29x x -=+【点睛】本题考查了一元一次方程的应用,解答本题的关键是读懂题意,找出等量关系,列方程求解.14.关于x 的方程()232523m a x x -++-=是一元一次方程,则a m +=__________2【解析】【分析】根据一元一次方程的定义分别得到关于a 和关于m 的一元一次方程解之代入a+m 计算求值即可【详解】根据题意得:a+2=0解得:a=−2m−3=1解得:m=4a+m=−2+4=2故答案为:解析:2【解析】【分析】根据一元一次方程的定义,分别得到关于a 和关于m 的一元一次方程,解之,代入a+m ,计算求值即可.【详解】根据题意得:a+2=0,解得:a=−2,m−3=1,解得:m=4,a+m=−2+4=2,故答案为:2【点睛】此题考查一元一次方程的定义,难度不大15.在等式“2×( )-3×( )= -15”的括号中分别填入一个数,使这两个数满足:互为相反数.则这两个数依次是______,____________.-33【分析】先设第一个空填m 则第二个空就填-m 最后形成一个方程接着解出方程进一步求出答案即可【详解】设第一个空填m 则第二个空就填-m ∴解得:∴故答案为:3【点睛】本题主要考查了一元一次方程的运用熟解析:-3, 3【分析】先设第一个空填m ,则第二个空就填-m ,最后形成一个方程,接着解出方程进一步求出答案即可.【详解】设第一个空填m ,则第二个空就填-m ,∴2315m m +=-,解得:3m =-,∴3m -=.故答案为:3-,3.【点睛】本题主要考查了一元一次方程的运用,熟练掌握根据题意设出未知数求解是解题关键. 16.我们规定:若关于x 的一元一次方程ax =b 的解为b +a ,则称该方程为“和解方程“. 例如:方程2x =﹣4的解为x =﹣2,而﹣2=﹣4+2,则方程2x =﹣4为“和解方程”.请根据上述规定解答下列问题:(1)已知关于x 的一元一次方程3x =a 是“和解方程”,则a 的值为_____;(2)已知关于x 的一元一次方程﹣2x =ab +b 是“和解方程“,并且它的解是x =b ,则a +b 的值为_____.【详解】解:(1)解方程3x =a 得x =∵关于x 的一元一次方程3x =a 是和解方程∴=3+a 解得a =﹣;(2)∵方程﹣2x =ab+b 的解是x =b ∴﹣2b =ab+b ∵方程﹣2x =ab+b 是和解方程∴b =a 解析:92- 113- 【详解】解:(1)解方程3x =a 得x =, ∵关于x 的一元一次方程3x =a 是“和解方程”,∴=3+a ,解得a =﹣;(2)∵方程﹣2x =ab +b 的解是x =b ,∴﹣2b =ab +b ,∵方程﹣2x =ab +b 是“和解方程“,∴b =ab +b ﹣2,即b =﹣2b ﹣2,解得b =﹣,∴a =﹣3,∴a +b =﹣3﹣=﹣. 故答案为﹣,﹣.17.对于数a ,b 定义这样一种运算:*2a b b a =-,例如1*3231=⨯-,若()3*11x +=,则x 的值为______.1【分析】根据新定义的运算法则代入计算即可得到答案【详解】解:∵∴∴∴;故答案为:1【点睛】本题考查了新定义的运算法则解题的关键是熟练掌握新定义的运算法则进行运算解析:1【分析】根据新定义的运算法则,代入计算即可得到答案.【详解】解:∵*2a b b a =-,∴()3*12(1)31x x +=+-=,∴211x -=,∴1x =;故答案为:1.【点睛】本题考查了新定义的运算法则,解题的关键是熟练掌握新定义的运算法则进行运算. 18.如图,一个酒瓶的容积为500毫升,瓶子内还剩有一些黄酒.当瓶子正放时,瓶内黄酒的高度为12厘米,倒放时,空余部分的高度为8厘米,则瓶子的底面积为______厘米2.(1毫升=1立方厘米)25【分析】设瓶子的底面积为xcm2根据瓶子中的液体体积相同列出方程求出方程的解即可【详解】设瓶子底面积为xcm2根据题意得:12x=500-8x 解得:x=25故答案为:25【点睛】此题考查了一元一 解析:25【分析】设瓶子的底面积为xcm 2,根据瓶子中的液体体积相同列出方程,求出方程的解即可.【详解】设瓶子底面积为xcm 2,根据题意得:12x=500-8x ,解得:x=25故答案为:25【点睛】此题考查了一元一次方程的应用,弄清题意,找到等量关系是解答本题的关键. 19.某商品每件标价为150元,若按标价打8折后,仍可获利20%,则该商品每件的进价为______元.100【分析】根据利润率(售价进价)进价先利用售价标价折数10求出售价进而代入利润率公式列出关于进价的方程即得【详解】商品每件标价为150元按标价打8折后售价为:(元/件)设该商品每件的进价为元由题解析:100【分析】根据利润率=(售价-进价) ÷进价100%⨯,先利用售价=标价⨯折数÷10求出售价,进而代入利润率公式列出关于进价的方程即得.【详解】商品每件标价为150元∴按标价打8折后售价为:1500.8120⨯=(元/件)∴设该商品每件的进价为x 元由题意得:()120100%20%-⨯=x x解得:100x =答:该商品每件的进价为100元.故答案为:100【点睛】本题考查一元一次方程应用中的销售问题,通常利润率计算公式为销售问题等量关系是解题关键点.20.猪是中国十二生肖排行第十二的动物,对应地支为“亥”.现规定一种新的运算,a 亥b ab b =-,则满足等式123x -亥61=-的x 的值为__________.【分析】原式利用题中的新定义计算即可求出值【详解】根据题中的新定义得亥故答案为:【点睛】本题考查了一元一次方程的解法掌握解一元一次方程的解法是解题的关键 解析:34- 【分析】原式利用题中的新定义计算即可求出值.【详解】根据题中的新定义得123x -亥61=- 126613x -⨯-=- 2461x --=-43x -=34x =- 故答案为:34-. 【点睛】本题考查了一元一次方程的解法,掌握解一元一次方程的解法是解题的关键.21.5个人用5天完成了某项工程的14,如果再增加工作效率相同的10个人,那么完成这项工作前后共用_____天.10【分析】由已知5个人用5天完成了某项工程的那么1个人用的天数为5×5再增加工作效率相同的10个人完成剩下的设用x天则1个人用(5+10)x因为工作效率相同根据题意列方程求解【详解】设增加10人再解析:10【分析】由已知5个人用5天完成了某项工程的14,那么1个人用的天数为5×5,再增加工作效率相同的10个人完成剩下的34,设用x天,则1个人用(5+10)x,因为工作效率相同,根据题意列方程求解.【详解】设增加10人再完成剩余的34为x天,根据题意列方程得:(5+10)x=3×5×5,解得:x=5,5+5=10(天).故答案为:10.【点睛】本题考查的是一元一次方程的应用,解答此题的关键是根据已知找出等量关系,其等量关系是后面的工作量是前面的工作量的3倍.22.定义一种运算:1(1)(1)xa ba b a b*=++++,若设5213*=,则34*=________.【分析】根据定义新运算及求出x的值即可求出的值【详解】解:∵∴∴∴∴故答案为:【点睛】本题主要考查定义新运算的知识解答此题的关键是根据所给出的式子得出x的值再利用新的运算方法解决问题解析:19 35【分析】根据定义新运算及5213*=,求出x的值,即可求出34*的值.【详解】解:∵1(1)(1)xa ba b a b*=++++,5213*=∴15= 21(21)(11)3 ++++x∴=8 x∴18(1)(1)*=++++a b a b a b ∴181934=34(31)(41)35*=++++ 故答案为:1935【点睛】 本题主要考查定义新运算的知识,解答此题的关键是,根据所给出的式子,得出x 的值,再利用新的运算方法解决问题.23.某公司销售,,A B C 三种电子产品,在去年的销售中,产品C 的销售额占总的销售额的60%,由于受新冠肺炎疫情的影响,估计今年,A B 两种产品的销售额都将比去年减少45%,公司将产品C 定为今年销售的重点,要使今年的总销售额与去年持平,那么今年产品C 的销售额应比去年增加__________.【分析】把去年的总销售金额看作整体1设今年产品C 的销售金额应比去年增加x 根据今年的销售总金额和去年的销售总金额相等列出方程再求解即可【详解】解:设今年产品的销售金额应比去年增加由题意得解得:答:今年解析:30%【分析】把去年的总销售金额看作整体1.设今年产品C 的销售金额应比去年增加x ,根据今年的销售总金额和去年的销售总金额相等,列出方程,再求解即可.【详解】解:设今年产品C 的销售金额应比去年增加x ,由题意得,60%(1)(160%)(145%)1x ++--=,解得:30%x =.答:今年产品C 的销售金额应比去年增加30%.故答案为:30%.【点睛】本题考查了一元一次方程的应用,关键在于设未知数,列方程,难点在于涉及百分数,运算易出错.此题注意把去年的总销售额看作整体1,即可分别表示出去年A 和B 的销售金额和C 的销售金额.根据今年的销售总金额和去年的销售总金额相等即可列方程. 24.购买某原料有如下优惠方案:①一次性购买金额不超过1万元不享受优惠;②一次性购买金额超过1万元但不超过3万元给予9折优惠;③一次性购买金额超过3万元,其中3万元给予9折优惠,超过部分给予7折优惠.(1)若某人购该原料付款9900元,则他购买的原料原价是________元;(2)某人分两次购买该原料,第1次付款8000元,第2次付款25200元,若他一次性购买同样数量的原料,可比分两次购买少付________元.9900或110002000【分析】(1)分两种情况讨论可求解;(2)设第2次原料款为x 元列出方程可求x 的值可求两次原料款总额由③方案可求一次性购买同样数量的原料的付款金额即可求解【详解】(1)99解析:9900或11000 2000.【分析】(1)分两种情况讨论,可求解;(2)设第2次原料款为x 元,列出方程可求x 的值,可求两次原料款总额,由③方案可求一次性购买同样数量的原料的付款金额,即可求解.【详解】(1)9900或11000若购买金额不超过1万元,则购买的原料原价为9900元;若购买金额超过1万元但不超过3万元,则99000.911000÷=(元).故答案为:9900或11000.(2)2000设第2次原料原价为x 元.根据题意,可得0.925200x =,解得28000x =.所以两次原料总价为28000800036000+=(元),按照方案③,一次性购买同样数量的原料付款为(3000090%)600070%31200⨯+⨯=(元),所以一次性购买同样数量的原料可比分两次购买少付800025200312002000+-=(元)【点睛】本题考查了一元一次方程的应用,找准等量关系,正确列出一元一次方程是解题的关键. 25.若方程2(2)3m m x x ---=是一元一次方程,则m =________.1或2【分析】利用一元一次方程的定义分和两种情况讨论即可求出m 的值【详解】①当时由题意得且解得;②当时解得综上或2故答案为:或2【点睛】本题考查了一元一次方程的定义以及绝对值熟练掌握一元一次方程的定解析:1或2【分析】利用一元一次方程的定义,分20m -≠和20m -=两种情况讨论,即可求出m 的值.【详解】①当20m -≠时,由题意得|2|1m -=,且210m --≠,解得1m =;②当20m -=时,解得2m =.综上,1m =或2.故答案为:1或2.【点睛】本题考查了一元一次方程的定义以及绝对值,熟练掌握一元一次方程的定义,利用分类讨论思想是解本题的关键.26.一条河的水流速度为3km/h ,船在静水中的速度为xkm/h ,则船在这条河中顺水行驶的速度是____km/h ;x +3【分析】根据顺水速度=静水中的速度+水速即可列出代数式【详解】解:船在这条河中的顺水速度是(x+3)km/h;故答案为:x+3;【点睛】本题考查了行程问题解决问题的关键是读懂题意找到所求的量之解析:x+3【分析】根据顺水速度=静水中的速度+水速,即可列出代数式.【详解】解:船在这条河中的顺水速度是(x+3)km/h;故答案为:x+3;【点睛】本题考查了行程问题,解决问题的关键是读懂题意,找到所求的量之间的关系.27.某商贩卖出两双皮鞋,相比进价,一双盈利30%,另一双亏本10%,两双共卖出200元.商贩在这次销售中要有盈利,则亏本的那双皮鞋的进价必须低于_________元【分析】设亏本的那双皮鞋的进价为x元则亏本的那双皮鞋的售价为(1-10)x元盈利的那双皮鞋的售价为200-(1-10)x元盈利的那双皮鞋的进价为元根据商贩在这次销售中要有盈利即可得出关于x的一元一次解析:150【分析】设亏本的那双皮鞋的进价为x元,则亏本的那双皮鞋的售价为(1-10%)x元,盈利的那双皮鞋的售价为[200-(1-10%)x]元,盈利的那双皮鞋的进价为200(110%)130%x--+元,根据商贩在这次销售中要有盈利,即可得出关于x的一元一次不等式,解之即可得出结论.【详解】解:设亏本的那双皮鞋的进价为x元,则亏本的那双皮鞋的售价为(1-10%)x元,盈利的那双皮鞋的售价为[200-(1-10%)x]元,盈利的那双皮鞋的进价为200(110%)130%x--+元,依题意,得:(1-10%)x-x+[200-(1-10%)x]200(110%)130%x---+>0,解得:x<150.故答案为:150.【点睛】本题考查了一元一次不等式的应用,找准等量关系,正确列出一元一次不等式是解题的关键.28.请阅读下面的诗句:“栖树一群鸦,鸦树不知数,四只栖一树,五只没处去,五只栖一树,闲了一棵树,请你仔细数,鸦树各几何?”诗中谈到的鸦为_____只,树为_____棵.10【分析】本题涉及两种分配方法关键是不管怎么分配鸦的总数是不变的可设树有x棵即可列方程:4x+5=5(x﹣1)求解【详解】解:设树有x棵依题意列方程:4x+5=5(x﹣1)解得:x=10所以树有1解析:10【分析】本题涉及两种分配方法,关键是不管怎么分配鸦的总数是不变的,可设树有x棵,即可列方程:4x+5=5(x﹣1)求解.【详解】解:设树有x棵依题意列方程:4x+5=5(x﹣1)解得:x=10所以树有10棵,鸦的个数为:10×4+5=45故答案为45,10【点睛】本题是典型的分配问题.不管怎么分配鸦的个数是不变的是解题关键.29.已知三个数的比是2:4:7,这三个数的和是169,这三个数分别是____,____,____5291【分析】根据比例设这三个数分别为2x4x7x再根据这三个数的和是169列方程即可求解【详解】设这三个数分别为2x4x7x则2x+4x+7x=169解得x=13所以这三个数分别为265291故解析:52 91【分析】根据比例设这三个数分别为2x,4x,7x,再根据这三个数的和是169列方程即可求解.【详解】设这三个数分别为2x,4x,7x,则2x+4x+7x=169,解得x=13,所以这三个数分别为26,52,91.故答案为:26,52,91.【点睛】此题主要考查列一元一次方程解应用题,根据比例设未知数是解题关键.30.有一旅客携带了30公斤行李从重庆江北国际机场乘飞机去武汉,按民航规定,旅客最多可免费携带20公斤行李,超重部分每公斤按飞机票价格的1.5%购买行李票,现该旅客购买了120元的行李票,则他的飞机票价格是______.800元【分析】该题目中的等量关系:该旅客购买的行李票=飞机票价格×15×超重公斤数根据题意列方程求解【详解】设他的飞机票价格是x元可列方程x⋅15×(30−20)=120解得:x=800则他的飞机解析:800元【分析】该题目中的等量关系:该旅客购买的行李票=飞机票价格×1.5%×超重公斤数,根据题意列方程求解.【详解】设他的飞机票价格是x元,可列方程x⋅1.5%×(30−20)=120解得:x=800则他的飞机票价格是800元.故答案为:800.【点睛】此题考查一元一次方程的应用,解题关键在于理解题意列出方程.。
一、选择题1.在代数式a 2+1,﹣3,x 2﹣2x ,π,1x 中,是整式的有( ) A .2个B .3个C .4个D .5个 2.若2312a b x y +与653a b x y -的和是单项式,则+a b =( ) A .3-B .0C .3D .6 3.单项式21412n a b --与83m ab 是同类项,则57(1)(1)n m +-=( ) A .14 B .14- C .4 D .-4 4.如图,a ,b 在数轴上的位置如图所示:,那么||||a b a b -++的结果是( )A .2b -B .2bC .2a -D .2a5.大于1的正整数m 的三次幂可“裂变”成若干个连续奇数的和,如3235=+,337911=++,3413151719=+++,.若3m “裂变”后,其中有一个奇数是2019,则m 的值是( )A .43B .44C .45D .55 6.已知单项式2x 3y 1+2m 与3x n +1y 3的和是单项式,则m ﹣n 的值是( ) A .3B .﹣3C .1D .﹣1 7.已知 2x 6y 2和﹣3x 3m y n 是同类项,则9m 2﹣5mn ﹣17的值是( )A .﹣1B .﹣2C .﹣3D .﹣4 8.将正整数按如图的规律排列:平移表中的方框,方框中的4个数的和可能是( )A .2010B .2014C .2018D .20229.多项式3336284a a x y x --+中,最高次项的系数和常数项分别为( )A .2和8B .4和8-C .6和8D .2-和8- 10.若252A x x =-+,256B x x =--,则A 与B 的大小关系是( ) A .A B > B .A B = C .A B < D .无法确定 11.某养殖场2018年底的生猪出栏价格为每千克a 元,受市场影响,2019年第一季度出栏价格平均每千克上升15%,到了第二季度平均每千克比第一季度又上升了20%,则第三季度初这家养殖场的生猪出栏价格是每千克( )元A .(115%)(120%)a ++B .(115%)20%a +C .(115%)(120%)a +-D .(120%)15%a + 12.多项式33x y xy +-是( )A .三次三项式B .四次二项式C .三次二项式D .四次三项式二、填空题13.在同一平面中,两条直线相交有一个交点,三条直线两两相交最多有3个交点,四条直线两两相交最多有6个交点……由此猜想,当相交直线的条数为n 时,最多可有的交点数m 与直线条数n 之间的关系式为:m =_____.(用含n 的代数式填空)14.将正偶数按照如下规律进行分组排列,依次为(2),(4,6),(8,10,12),(14,16,18,20)…,我们称“4”是第2组第1个数字,“16”是第4组第2个数字,若2020是第m 组第n 个数字,则m +n =_____.15.合并同类项(1)21123x x x --=____________________;(按字母x 升幂排列) (2)3222232223x y x y y x x y --+=_____________________;(按字母x 降幂排列) (3)222234256a b ab a b =_____________________;(按字母b 降幂排列)16.==,……=m =_____________ 17.已知5a b -=,3c d +=,则()()b c a d +--的值等于______.18.两堆棋子,将第一堆的2个棋子移到第二堆去之后,第二堆棋子数就成了第一堆棋子数的2倍.设第一堆原有a 个棋子,第二堆原有______个棋子.19.多项式234324x x x -+-按x 的降幂排列为______.20.某市出租车的收费标准为:3km 以内为起步价10元,3km 后每千米收费1.8元,某人乘坐出租车()km 3x x >,则应付费______元.三、解答题21.已知有理数a 和b 满足多项式A ,且A=(a ﹣1)x 5+x |b+2|﹣2x 2+bx+b (b≠﹣2)是关于x 的二次三项式,求(a ﹣b )2的值.22.将一个长方形纸片连续对折,对折的次数越多,折痕的条数也就越多,如第一次对折后,有1条折痕,第2次对折后,共有3条折痕.(1)第3次对折后共有多少条折痕?第4次对折后呢?(2)对折多少次后折痕会超过100条?(3)请找出折痕条数与对折次数的对应规律,写出对折n 次后,折痕有多少条?23.用代数式表示:(1)a 的5倍与b 的平方的差;(2)m 的平方与n 的平方的和;(3)x ,y 两数的平方和减去它们积的2倍.24.观察由“※”组成的图案和算式,解答问题(1)请猜想1+3+5+7+9+…+19= ;(2)请猜想1+3+5+7+9+…+(2n-1)+(2n+1)+(2n+3)= ;(3)请用上述计算103+105+107+…+2015+2017的值.25.窗户的形状如图所示(图中长度单位:cm ),其中上部是半圆形,下部是边长相同的四个小正方形. 已知下部小正方形的边长是acm.(1)计算窗户的面积(计算结果保留π).(2)计算窗户的外框的总长(计算结果保留π).(3)安装一种普通合金材料的窗户单价是175元/平方米,当a=50cm 时,请你帮助计算这个窗户安装这种材料的费用(π≈3.14,窗户面积精确到0.1).26.若单项式21425m n x y +--与413n m x y +是同类项,求这两个单项式的积【参考答案】***试卷处理标记,请不要删除一、选择题1.C解析:C【分析】单项式和多项式统称为整式,分母中含有字母的不是整式.【详解】解:a 2+1和 x 2﹣2x 是多项式,-3和π是单项式,1x不是整式,∵单项式和多项式统称为整式,∴整式有4个.故选择C.【点睛】本题考查了整式的定义.2.C解析:C【分析】 要使2312a b x y +与653a b x y -的和是单项式,则2312a b x y +与653a b x y -为同类项; 根据同类项的定义:所含字母相同,并且相同字母的指数也分别相等的项叫做同类项,即可得到关于a 、b 的方程组;结合上述提示,解出a 、b 的值便不难计算出a+b 的值.【详解】解:根据题意可得:26{3a b a b +=-=, 解得:3{0a b ==, 所以303a b +=+=,故选:C .【点睛】本题考查了同类项的定义,掌握同类项的定义是解题的关键.3.B解析:B【分析】直接利用同类项的概念得出n ,m 的值,即可求出答案.【详解】21412n a b --与83m ab 是同类项, ∴21184n m -=⎧⎨=⎩解得:121m n ⎧=⎪⎨⎪=⎩ 则()()5711n m +-=14- 故答案选B.【点睛】本题考查的知识点是同类项,解题的关键是熟练的掌握数轴同类项. 4.A解析:A【分析】根据数轴上点的位置判断出绝对值里边式子的正负,原式利用绝对值的代数意义化简,计算即可得到结果.【详解】解:根据题意得:b <a <0,且|a |<|b |,∴a -b >0,a +b <0,∴原式=a -b -a -b =-2b .故选:A .【点睛】此题主要考查了数轴以及绝对值,熟练掌握绝对值的性质是解本题的关键.5.C解析:C【分析】观察可知,分裂成的奇数的个数与底数相同,然后求出到m 3的所有奇数的个数的表达式,再求出奇数2019的是从3开始的第1008个数,然后确定出1008所在的范围即可得解.【详解】∵底数是2的分裂成2个奇数,底数为3的分裂成3个奇数,底数为4的分裂成4个奇数,∴m 3分裂成m 个奇数,所以,到m 3的奇数的个数为:2+3+4+…+m=()()212m m +-, ∵2n+1=2019,n=1009,∴奇数2019是从3开始的第1009个奇数,当m=44时,()()4424419892+-=, 当m=45时,()()4524511342+-=, ∴第1009个奇数是底数为45的数的立方分裂的奇数的其中一个,即m=45.故选:C .【点睛】本题是对数字变化规律的考查,观察出分裂的奇数的个数与底数相同是解题的关键,还要熟练掌握求和公式.6.D解析:D【分析】根据同类项的概念,首先求出m 与n 的值,然后求出m n -的值.【详解】 解:单项式3122m x y +与133n x y +的和是单项式,3122m x y +∴与133n x y +是同类项,则13 123 nm+=⎧⎨+=⎩∴12mn=⎧⎨=⎩,121 m n∴-=-=-故选:D.【点睛】本题主要考查同类项,掌握同类项定义中的两个“相同”:(1)所含字母相同;(2)相同字母的指数相同,从而得出m,n的值是解题的关键.7.A解析:A【分析】根据同类项是字母相同且相同字母的指数也相同,可得m,n的值,根据代数式求值,可得答案.【详解】由题意,得3m=6,n=2.解得m=2,n=2.9m2﹣5mn﹣17=9×4﹣5×2×2﹣17=﹣1,故选:A.【点睛】本题考查同类项的定义,同类项定义中的两个“相同”:所含字母相同;相同字母的指数相同,是易混点,还有注意同类项定义中隐含的两个“无关”:①与字母的顺序无关;②与系数无关.8.A解析:A【分析】设第二个为x,则第一个,第三个,第四个分别为:x-1,x+1,x+2,总和为:4x+2,分别令代数式为:2010,2014,2018,2022,算出x再判断.【详解】解: 设第二个为x,则第一个,第三个,第四个分别为:x-1,x+1,x+2,总和为:4x+2.当4x+2=2010时,x=502,则x-1=501;当4x+2=2014时,x=503,则x-1=502;当4x+2=2018时,x=504,则x-1=503;当4x+2=2022时,x=505,则x-1=504;由图可知每行有9个数,∵504÷9=56,可以除尽故504为某行的最后一位.表格如下:故选A.【点睛】本题考查找规律的能力,关键在于通过图形找出四个相连数的关系列出方程.9.D解析:D【分析】根据多项式中每个单项式叫做多项式的项,这些单项式中的最高次数,就是这个多项式的次数,以及单项式系数、常数项的定义来解答.【详解】多项式6a-2a3x3y-8+4x5中,最高次项的系数和常数项分别为-2,-8.故选D.【点睛】本题考查了同学们对多项式的项和次数定义的掌握情况.在处理此类题目时,经常用到以下知识:(1)单项式中的数字因数叫做这个单项式的系数;(2)多项式中不含字母的项叫常数项;(3)多项式里次数最高项的次数,叫做这个多项式的次数.10.A解析:A【分析】作差进行比较即可.【详解】解:因为A-B=(x2-5x+2)-( x2-5x -6)=x2-5x+2- x2+5x +6=8>0,所以A>B.故选A.【点睛】本题考查了整式的加减和作差比较法,若A-B>0,则A>B,若A-B<0,则A<B,若A-B=0,则A=B.11.A解析:A【分析】由题意可知:2019年第一季度出栏价格为2018年底的生猪出栏价格的(1+15%),第二季度平均价格每千克是第一季度的(1+20%),由此列出代数式即可.【详解】第三季度初这家养殖场的生猪出栏价格是每千克(1+15%)(1+20%)a元.故选A.【点睛】此题考查列代数式,注意题目蕴含的数量关系,找准关系是解决问题的关键.12.D解析:D【分析】根据多项式的项及次数的定义确定题目中的多项式的项和次数就可以了.【详解】解:由题意,得该多项式有3项,最高项的次数为4,该多项式为:四次三项式.故选:D.【点睛】本题考查了多项式,正确把握多项式的次数与系数确定方法是解题的关二、填空题13.【分析】根据题意3条直线相交最多有3个交点4条直线相交最多有6个交点5条直线相交最多有10个交点而3=1+26=1+2+310=1+2+3+4故可猜想n条直线相交最多有1+2+3+…+(n-1)=个解析:()12 n n-【分析】根据题意,3条直线相交最多有3个交点,4条直线相交最多有6个交点,5条直线相交最多有10个交点.而3=1+2,6=1+2+3,10=1+2+3+4,故可猜想,n条直线相交,最多有1+2+3+…+(n-1)=()12n n-个交点.【详解】解:∵3条直线相交最多有3个交点,4条直线相交最多有6个交点.而3=1+2,6=1+2+3,10=1+2+3+4,∴可猜想,n条直线相交,最多有1+2+3+…+(n-1)=()12 n n-个交点.即()12n nm-=故答案为:()12n n-.【点睛】本题主要考查了相交线,图形的规律探索,此题着重培养学生的观察、实验和猜想、归纳能力,掌握从特殊向一般猜想的方法.14.65【分析】根据题目中数字的特点可知每组的个数依次增大每组中的数字都是连续的偶数然后即可求出2020是多少组第多少个数从而可以得到mn 的值然后即可得到m+n 的值【详解】解:∵将正偶数按照如下规律进行解析:65【分析】根据题目中数字的特点,可知每组的个数依次增大,每组中的数字都是连续的偶数,然后即可求出2020是多少组第多少个数,从而可以得到m 、n 的值,然后即可得到m +n 的值.【详解】解:∵将正偶数按照如下规律进行分组排列,依次为(2),(4,6),(8,10,12),(14,16,18,20)…,∴第m 组有m 个连续的偶数,∵2020=2×1010,∴2020是第1010个偶数,∵1+2+3+ (44)44(441)2⨯+=990,1+2+3+…+45=45(451)2⨯+=1035, ∴2020是第45组第1010-990=20个数,∴m =45,n =20,∴m +n =65.故答案为:65.【点睛】本题考查探索规律,认真观察所给数据总结出规律是解题的关键. 15.【分析】(1)先合并同类项再将多项式按照字母x 的次数由小到大重新排列即可;(2)先合并同类项再将多项式按照字母x 的次数由大到小重新排列即可;(3)先合并同类项再将多项式按照字母b 的次数由大到小重新排 解析:256x x -+ 32222x y x y -- 221022b ab a -- 【分析】 (1)先合并同类项,再将多项式按照字母x 的次数由小到大重新排列即可;(2)先合并同类项,再将多项式按照字母x 的次数由大到小重新排列即可;(3)先合并同类项,再将多项式按照字母b 的次数由大到小重新排列即可.【详解】解:(1)2222111155232366x x x x x x x x x x ⎛⎫--=-+=-=-+ ⎪⎝⎭; 故答案为:256x x -+;(2)解:322223223222232x y x y y x x y x y x y --+=--;故答案为:32222x y x y --;(3)解:222222223425621021022a b ab a b a b ab b ab a +--+=-+-=--; 故答案为:221022b ab a --.【点睛】此题考查整式的降幂及升幂排列,合并同类项法则,将多项式按照某个字母重新排列时注意该项的次数及符号,利用交换律将多项式重新排列.16.9【分析】根据观察可知:将代入即可得出答案【详解】解:……故答案为:【点睛】主要考查了学生的分析总结归纳能力规律型的习题一般是从所给的数据和运算方法进行分析从特殊值的规律上总结出一般性的规律解析:9【分析】3n +,将210n +=代入即可得出答案. 【详解】解:==……,13n +210n +=8n ∴=19m n ∴=+=故答案为:9.【点睛】主要考查了学生的分析、总结、归纳能力,规律型的习题一般是从所给的数据和运算方法进行分析,从特殊值的规律上总结出一般性的规律.17.-2【分析】把原式去括号转化为含有(a-b)和(c+d)的式子然后代入求值即可【详解】故答案为:-2【点睛】本题考查了整式的化简求值把原式转化为含有(a-b)和(c+d)的式子是解决此题的关键解析:-2【分析】把原式去括号转化为含有(a -b )和(c +d )的式子,然后代入求值即可.【详解】()()()()532b c a d b c a d b a c d +--=+-+=-++=-+=-.故答案为:-2.【点睛】本题考查了整式的化简求值,把原式转化为含有(a -b )和(c +d )的式子是解决此题的关键. 18.【分析】根据题意可得第二堆现在的棋子数是2(a-2)因此原来的棋子数为2(a-2)-2【详解】解:由题意可得:现在第二堆有2(a-2)个棋子因此原来第二堆有2(a-2)-2=2a-6个棋子故答案为:解析:()26a -【分析】根据题意可得第二堆现在的棋子数是2(a -2),因此原来的棋子数为2(a -2)-2.【详解】解:由题意可得:现在第二堆有2(a -2)个棋子,因此原来第二堆有2(a -2)-2=2a -6个棋子.故答案为:(2a -6).【点睛】本题考查了整式加减的应用,根据题意列出代数式是解决此题的关键.19.【分析】先分清多项式的各项然后按多项式降幂排列的定义排列【详解】多项式的各项是3x2−2x3−4x4按x 降幂排列为故答案为:【点睛】本题考查了多项式我们把一个多项式的各项按照某个字母的指数从大到小或解析:432432x x x -++-【分析】先分清多项式的各项,然后按多项式降幂排列的定义排列.【详解】多项式234324x x x -+-的各项是3x 2,−2,x 3,−4x 4,按x 降幂排列为432432x x x -++-.故答案为:432432x x x -++-.【点睛】本题考查了多项式.我们把一个多项式的各项按照某个字母的指数从大到小或从小到大的顺序排列,称为按这个字母的降幂或升幂排列.要注意,在排列多项式各项时,要保持其原有的符号.20.【分析】起步价10元加上超过3千米部分的费用即可【详解】解:乘出租x 千米的付费是:10+18(x-3)即18x+46故答案是:18x+46【点睛】本题考查了列代数式正确理解收费标准是关键解析:1.8 4.6x +【分析】起步价10元加上,超过3千米部分的费用即可.【详解】解:乘出租x 千米的付费是:10+1.8(x-3)即1.8x+4.6.故答案是:1.8x+4.6.【点睛】本题考查了列代数式,正确理解收费标准是关键.三、解答题21.16或25【解析】试题分析:根据有理数a 和b 满足多项式A .A =(a ﹣1)x 5+x |b +2|﹣2x 2+bx +b 是关于x 的二次三项式,求得a 、b 的值,然后分别代入计算可得.试题解:∵有理数a 和b 满足多项式A .A =(a ﹣1)x 5+x |b +2|﹣2x 2+bx +b 是关于x 的二次三项式,∴a ﹣1=0,解得:a =1.(1)当|b +2|=2时,解得:b =0或b =4.①当b =0时,此时A 不是二次三项式;②当b =﹣4时,此时A 是关于x 的二次三项式.(2)当|b +2|=1时,解得:b =﹣1(舍)或b =﹣3.(3)当|b +2|=0时,解得:b =﹣2(舍)∴a =1,b =﹣4或a =1,b =﹣3.当a =1,b =﹣4时,(a ﹣b )2=25;当a =1,b =﹣3时,(a ﹣b )2=16.点睛:本题考查了多项式的知识,解题的关键是根据题意求得a 、b 的值,题目中重点渗透了分类讨论思想.22.(1)第3次对折后共有7条折痕,第4次对折后有15条折痕;(2)对折7次后折痕会超过100条;(3)对折n 次后,折痕有21n -条.【分析】(1)动手操作即可得出第3次、第4次对折后的折痕条数;(2)在(1)的基础上,归纳类推出一般规律,再结合67264,2128==即可得出答案;(3)由题(2)已求得.【详解】(1)动手操作可知,第3次对折后的折痕条数为7条,第4次对折后的折痕条数为15条;(2)观察可知,第1次对折后的折痕条数为1121=-条,第2次对折后的折痕条数为2321=-条,第3次对折后的折痕条数为3721=-条,第4次对折后的折痕条数为41521=-条,归纳类推得:第n 次对折后的折痕条数为21n -条,因为67264,2128==,所以对折7次后折痕会超过100条;(3)由(2)已得:对折n 次后的折痕条数为21n -条.【点睛】本题考查了有理数乘方的应用,依据题意,根据前4次对折后的结果,正确归纳类推出一般规律是解题关键.23.(1)5a-b2(2)m2+n2(3)x2+y2-2xy【分析】(1)a的5倍表示为5a,b的平方表示为b2,然后把它们相减即可;(2)m与n平方的和表示为m2+n2;(3)x、y两数的平方和表示为x2+y2,它们积的2倍表示为2xy,然后把两者相减即可;【详解】解:(1)a的5倍与b的平方的差可表示为:5a-b2;(2)m的平方与n的平方的和可表示为:m2+n2;(3)x,y两数的平方和减去它们积的2倍可表示为:x2+y2-2xy.【点睛】本题考查了列代数式:把问题中与数量有关的词语,用含有数字、字母和运算符号的式子表示出来,就是列代数式.列代数式时,要先认真审题,抓住关键词语,仔细辩析词义;分清数量关系;规范地书写.24.(1)102;(2)()22n+;(3)1015480.【分析】(1)由等式可知左边是连续奇数的和,右边是数的个数的平方,由此规律解答即可,此题中一共有10个连续奇数相加,所以结果应为102;(2)一共有(n+2)个连续奇数相加,所以结果应为n2;(3)让从1加到2005这些连续奇数的和,减去从1加到101这些连续奇数的和即可.【详解】(1)由图片知:第1个图案所代表的算式为:1=21;第2个图案所代表的算式为:1+3=4=22;第3个图案所代表的算式为:1+3+5=9=23;…依次类推:第n个图案所代表的算式为:1+3+5+…+(2n-1)=2n;1+3+5+…+19的个数为:191102+=,∴1+3+5+…+19=210;故答案为:210;(2)1+3+5+7+9+…+(2n-1)+(2n+1)+(2n+3)的个数为:23122nn++=+,∴1+3+5+7+9+…+(2n-1)+(2n+1)+(2n+3)=()22n+,故答案为:()22n+;(3)103+105+107+…+2015+2017=(1+3+…+2015+2017)-(1+3+…+99+101)=21009-251=1015480.【点睛】本题考查了数字的变化规律的应用;判断出有几个奇数相加是解决本题的易错点;得到从1开始连续奇数的和的规律是解决本题的关键.25.(1)2214a +a 2π;(2)6a a π+;(3)245.【分析】(1)根据图示,窗户的面积等于4个小正方形的面积加上半径是a 的半圆的面积;(2)根据图示,窗户外框的总长就是用3条长度是2acm 的边的长度加上半径是acm 的半圆的长度;(3)根据窗户的总面积,代入求值即可.【详解】 解:(1)窗户的面积为:()()222214a a 422a a a cm ππ⎛⎫⨯+=+ ⎪⎝⎭ (2)窗户的外框的总长为:()()132a 262a a a cm ππ⨯+⨯=+ (3)当a=50cm ,即:a=0.5m 时, 窗户的总面积为:()2220.540.5128m ππ⎛⎫⨯+=+ ⎪⎝⎭ 取π≈3.14,原式=1+0.3925≈1.4(m 2)安装窗户的费用为:1.4×175=245(元).【点睛】本题考查的知识点是求组合图形的面积与周长,将已知图形分解为所熟悉的简单图形是解此题的关键.26.10453x y - 【分析】根据题意,可得到关于m ,n 的二元一次方程组,求出m ,n 的值,即可求得答案.【详解】∵单项式21425m n x y +--与413n m x y +是同类项, ∴21442m n n m +=+⎧⎨-=⎩, 解得21m n =⎧⎨=⎩,∴21425252441011355533n m m n x y x y x y x y x y ++--⋅-⋅=-= 【点睛】本题主要考查同类项的定义和单项式乘单项式的法则,根据同类项的定义,列出关于m ,n 的二元一次方程组,是解题的关键.。
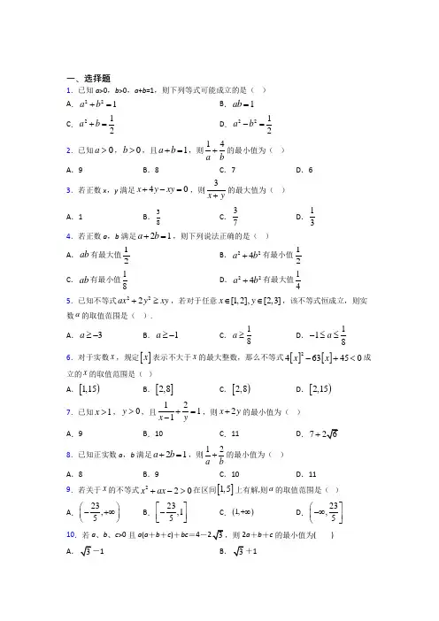
一、选择题1.已知a >0,b >0,a +b =1,则下列等式可能成立的是( ) A .221a b += B .1ab = C .212a b +=D .2212a b -=2.已知0a >,0b >,且1a b +=,则14a b+的最小值为( ) A .9B .8C .7D .63.若正数x ,y 满足40x y xy +-=,则3x y+的最大值为( ) A .1B .38C .37D .134.若正数a ,b 满足21a b +=,则下列说法正确的是( ) A .ab 有最大值12B .224a b +有最小值12C .ab 有最小值18 D .224a b +有最大值145.已知不等式222ax y xy +≥,若对于任意[1,2],[2,3]x y ∈∈,该不等式恒成立,则实数a 的取值范围是( ). A .3a ≥-B .1a ≥-C .18a ≥D .118a -≤≤6.对于实数x ,规定[]x 表示不大于x 的最大整数,那么不等式[][]2463450x x -+<成立的x 的取值范围是( ) A .[)1,15B .[]2,8C .[)2,8D .[)2,15 7.已知1x >,0y >,且1211x y+=-,则2x y +的最小值为( )A .9B .10C .11D .7+8.已知正实数a ,b 满足21a b +=,则12a b+的最小值为( ) A .8B .9C .10D .119.若关于x 的不等式220x ax +->在区间[]1,5上有解,则a 的取值范围是( ) A .23,5⎛⎫-+∞ ⎪⎝⎭B .23,15⎡⎤-⎢⎥⎣⎦C .()1,+∞D .23,5⎛⎤-∞ ⎥⎝⎦10.若a 、b 、c >0且a (a +b +c )+bc =4-,则2a +b +c 的最小值为( )A . 1B .1C . 2D .211.若关于x 的不等式20x px q ++<的解集为{|23}x x <<,则关于x 的不等式22028x px qx x ++>--的解集是( )A .()2,3B .()(),24,-∞-+∞C .()()2,23,4-D .()()(),22,34,-∞-+∞12.若直线20(,1)ax by a b +-=>始终把圆222220x y x y +---=的周长分为1:2.则11a b+的最大值为( )A .4-B .2-C 1D二、填空题13.为了调查盘龙江的水流量情况,需要在江边平整出一块斜边长为13m 的直角三角形空地建水文观测站,该空地的最大面积是______2m .14.已知函数()221f x ax x =+-,若对任意x ∈R ,()0f f x ≤⎡⎤⎣⎦恒成立,则实数a 的取值范围是_______________.15.已知0a b >>,则41a ab a b+++-的最小值为__________. 16.已知32310x x k --+⋅->对任意实数x 恒成立,则实数k 的取值范围是________.17.已知,x y 为正实数,且114x y m x y+=+=,则m 的最小值为___________.18.已知实数0a >,0b >是8a 与2b 的等比中项,则62a b+的最小值是_________. 19.若ad bc ≠,则()()2222a b cd ++__________()2ac bd +.(选“≥”、“≤”、“>”、“<”其一填入) 20.设函数1e exx y a =+-的值域为A ,若[)0,A ⊂+∞,则实数a 的取值范围是________.三、解答题21.选用恰当的证明方法,证明下列不等式.(1)已知实数x ,y 均为正数,求证:)(4925x y x y ⎛⎫++≥ ⎪⎭⎝.(2)已知a ,b 都是正数,并且ab ,求证:552332a b a b a b +>+.22.已知关于x 的不等式()24(4)0()kx k x k --->∈R 的解集为A . (1)写出集合A ;(2)若集合A 中恰有9个整数,求实数k 的取值范围.23.设:p 实数x 满足22430x ax a -+<,:q 实数x 满足31x -<. (1)若1a =,且p q ∧为真,求实数x 的取值范围;(2)若其中0a >且p ⌝是q ⌝的充分不必要条件,求实数a 的取值范围.24.解关于x 的不等式:22(2)20().ax a x a a R -++>∈25.已知0a b c d >>>>,ad bc =. (Ⅰ)证明:a d b c +>+; (Ⅱ)证明:a b c b c a a b c a b c >.26.设矩形()ABCD AD AB >的周长为20,把ADC 沿AC 向ABC 折叠AD 折过去后交BC 于点P .设AD x =,求ABP △的最大面积及相应x 的值.【参考答案】***试卷处理标记,请不要删除一、选择题 1.D 解析:D 【分析】根据已知条件由2()2a b ab +≤可求出2212a b +≥,又由完全平方公式可得221a b +<,即可判断A 、B ;由已知条件可知01b <<,则2b b >,因此22212a b a b +>+≥,可判断C ;由平方差公式可得12a b -=,与1a b +=联立可求出满足条件的a 、b ,故D 可能成立. 【详解】001a b a b >>+=,,2222211()21212()12()222a b a b a b ab ab +∴+=+-=-≥-⋅=-⨯=, 当且仅当12a b ==时等号成立, 又0ab >,222()2121b a b a ab a b +=+-=-<∴,22112a b ≤+<∴,则221a b +=不可能成立;2211()()224a b ab ≤==+,当且仅当12a b ==时等号成立,故1ab =不可能成立;001a b a b >>+=,,,01b ∴<<,2b b ∴>,22212b a b a +>+≥∴(由A 可知),则212a b +=不可能成立; ()()2212a b a b a b a b -=+-=-=,联立112a b a b +=⎧⎪⎨-=⎪⎩,解得31,44a b ==,满足条件,D 成立. 故选:D2.A解析:A 【分析】利用“1”的代换,转化()1414a b a b a b ⎛⎫+=++ ⎪⎝⎭,结合基本不等式即可得解. 【详解】1a b +=,0a >,0b > ()1414455549b a a b a b a b a b ⎛⎫+++=++≥+=+= ⎪⎝⎭∴=, 当且仅当4b a a b =,即13a =,23b =时,等号成立. 14a b ∴+的最小值为9 故选:A. 【点睛】易错点睛:利用基本不等式求最值时,要注意其必须满足的三个条件: (1)“一正”就是各项必须为正数;(2)“二定”就是要求和的最小值,必须把构成和的二项之积转化成定值;要求积的最大值,则必须把构成积的因式的和转化成定值;(3)“三相等”是利用基本不等式求最值时,必须验证等号成立的条件,若不能取等号则这个定值就不是所求的最值,这也是最容易发生错误的地方.3.D解析:D 【分析】 已知等式变形为411x y+=,然后用“1”的代换求出x y +的最小值即可得. 【详解】∵x ,y 均为正数,40x y xy +-=,∴411x y+=,∴414()559y x x y x y x y x y ⎛⎫+=++=++≥+= ⎪⎝⎭,当且仅当4y x x y =,即6,3x y ==时等号成立,∴33193x y ≤=+,所求最大值为13. 故选:D . 【点睛】易错点睛:利用基本不等式求最值时,要注意其必须满足的三个条件: (1)“一正二定三相等”“一正”就是各项必须为正数;(2)“二定”就是要求和的最小值,必须把构成和的二项之积转化成定值;要求积的最大值,则必须把构成积的因式的和转化成定值;(3)“三相等”是利用基本不等式求最值时,必须验证等号成立的条件,若不能取等号则这个定值就不是所求的最值,这也是最容易发生错误的地方4.B解析:B 【分析】利用基本不等式分析22,4ab a b +的最值,注意取等条件的分析,由此得到结果. 【详解】因为21a b +=,所以12a b =+≥18ab ≤,取等号时11,24a b ==, 所以ab 有最大值18,所以A ,C 错误; 又因为()22211241414824a b ab b a ab =+-=-≥-⨯=+,取等号时11,24a b ==, 所以224a b +有最小值12,所以B 正确,D 错误, 故选:B. 【点睛】易错点睛:利用基本不等式求最值时,要注意其必须满足的三个条件: (1)“一正二定三相等”“一正”就是各项必须为正数;(2)“二定”就是要求和的最小值,必须把构成和的二项之积转化成定值;要求积的最大值,则必须把构成积的因式的和转化成定值;(3)“三相等”是利用基本不等式求最值时,必须验证等号成立的条件,若不能取等号则这个定值就不是所求的最值,这也是最容易发生错误的地方.5.B解析:B【分析】 将a 分离出来得22()y ya x x ≥-,然后根据[1x ∈,2],[2y ∈,3]求出y x的范围,令yt x=,则22a t t ≥-在[1,3]上恒成立,利用二次函数的性质求出22t t -的最大值,即可求出a 的范围. 【详解】 解:由题意可知:不等式222ax y xy +≥对于[1,2],[2,3]x y ∈∈恒成立, 即:22()y ya x x≥-,对于[1,2],[2,3]x y ∈∈恒成立, 即:x 2ma 2()yy a xx ⎡⎤⎢⎥⎣⎦≥-,对于[1,2],[2,3]x y ∈∈恒成立,令y t x =,结合图形可知yx的取值范围是(1,3),则13t ≤≤, 22a t t ∴≥-在[1,3]上恒成立,221122()48y t t t =-+=--+,13t ≤≤,∴当1t =时,1max y =-,1a ∴≥-.故选:B.【点睛】关键点点睛:本题考查的是不等式与恒成立的综合类问题,利用分离参数法、换元法和将恒成立问题转化为二次函数最值问题是解题的关键,还需要注意换元时新元的范围,属于中档题.6.A解析:A 【分析】先由不等式[][]2463450x x -+<得出[]x 的取值范围,再由[]x 的定义得出x 的取值范围. 【详解】不等式[][]2463450x x -+<即为[]()[]()43150x x --<,解得[]3154x <<, 则[]{}1,2,3,,14x ∈,因此,115x ≤<,故选A.【点睛】本题考查一元二次不等式的解法,同时也考查了取整函数的定义,解题的关键要结合不等式得出[]x 的取值,考查计算能力,属于中等题.7.B解析:B 【分析】利用“乘1法”将问题转化为求[]12(1)211x y x y ⎛⎫-+++ ⎪-⎝⎭的最小值,然后展开利用基本不等式求解. 【详解】1x >,10x ->,又0y >,且1211x y+=-, 2(1)21x y x y ∴+=-++[]12(1)211x y x y ⎛⎫=-+++ ⎪-⎝⎭22(1)61y x x y-=++- 262x +-10=, 当且仅当22(1)1y x x y-=-,解得4x =,3y =时等号成立, 故2x y +的最小值为10. 故选:B . 【点睛】本题考查利用基本不等式求最和的最值,考查“1”的巧妙运用,难度一般,灵活转化是关键.8.B解析:B 【分析】 由题意,得到121222()(2)5b aa b a b a b a b+=++=++,结合基本不等式,即可求解,得到答案. 【详解】由题意,正实数a ,b 满足21a b +=,则121222()(2)55549b a a b a b a b a b +=++=++≥+=+=, 当且仅当22b a a b =,即13a b ==等号成立, 所以12a b +的最小值为9. 故选:B. 【点睛】本题主要考查了利用基本不等式求解最值问题,其中解答中熟记基本不等式的使用条件,合理构造是解答的关键,着重考查了构造思想,以及推理与运算能,属于据此话题.9.A解析:A 【分析】利用分离常数法得出不等式2a x x >-在[]15x ∈,上成立,根据函数()2f x x x=-在[]15x ∈,上的单调性,求出a 的取值范围【详解】关于x 的不等式220x ax +->在区间[]1,5上有解22ax x ∴>-在[]15x ∈,上有解 即2a x x>-在[]15x ∈,上成立,设函数数()2f x x x=-,[]15x ∈, ()2210f x x∴'=--<恒成立 ()f x ∴在[]15x ∈,上是单调减函数且()f x 的值域为2315⎡⎤-⎢⎥⎣⎦, 要2a x x >-在[]15x ∈,上有解,则235a >- 即a 的取值范围是23,5⎛⎫-+∞ ⎪⎝⎭故选A 【点睛】本题是一道关于一元二次不等式的题目,解题的关键是掌握一元二次不等式的解法,分离含参量,然后求出结果,属于基础题.10.D【解析】由a (a +b +c )+bc =4-得(a +c )·(a +b )=4-∵a 、b 、c >0.∴(a +c )·(a +b )≤22b c 2a ++⎛⎫ ⎪⎝⎭(当且仅当a +c =b +a ,即b =c 时取“=”),∴2a +b +c=1)=-2. 故选D点睛:在利用基本不等式求最值时,要特别注意“拆、拼、凑”等技巧,使其满足基本不等式中“正”(即条件要求中字母为正数)、“定”(不等式的另一边必须为定值)、“等”(等号取得的条件)的条件才能应用,否则会出现错误11.D解析:D 【分析】根据关于x 的不等式20x px q ++<的解集为{|23}x x <<,利用韦达定理得到5,6p q =-=,则不等式22028x px q x x ++>--转化为 2256028x x x x -+>--,再利用穿根法求解.【详解】因为关于x 的不等式20x px q ++<的解集为{|23}x x <<, 所以由韦达定理得:5,6p q =-=,所以22028x px q x x ++>--,即为2256028x x x x -+>--,即为()()()()23042x x x x -->-+,即为()()()()23420x x x x ---+>用穿根法得不等式的解集为:()()(),22,34,-∞-+∞,故选:D 【点睛】本题主要考查一元二次不等式的解集的应用以及穿根法求高次不等式,属于中档题.12.B解析:B 【分析】由圆的方程得圆心和半径,根据圆的周长被分为1:2,可推出圆心到直线的距离为1,即1=,化简整理后,再结合基本不等式的性质可得ab 的最小值,再求出11a b+的最大值.把圆222220x y x y +---=化成标准形式为22(1)(1)4x y -+-=,其中圆心为(1,1),半径为2.设直线与圆交于A 、B 两点,圆心为C , 因为直线把圆的周长分为1:2,所以13601203ACB ∠=⨯︒=︒, 所以圆心(1,1)C 到直线20ax by +-=的距离为12221a b a b+-=+,因为a ,1b >,所以202()a ab b -++=,由基本不等式的性质可知,22()4ab a b ab +=+, 当且仅当a b =时,等号成立,此时有2(22)ab +,所以21(2)1111122222(22)ab a b a b ab ab ab+++===++=+. 所以11a b +的最大值为22- 故选:B . 【点评】本题主要考查直线与圆的综合问题,除圆的标准方程、点到直线的距离公式等基础知识外,还涉及利用基本不等式的性质求最值,考查学生的逻辑推理能力和运算能力,属于中档题.二、填空题13.【分析】设直角三角形的两条直角边分别为则进而根据基本不等式得【详解】解:设直角三角形的两条直角边分别为则所以当且仅当等号成立故答案为:【点睛】易错点睛:利用基本不等式求最值时要注意其必须满足的三个条解析:1694【分析】设直角三角形的两条直角边分别为,a b ,则22169a b +=,进而根据基本不等式得22111692224a b S ab +=≤⨯=. 【详解】解:设直角三角形的两条直角边分别为,a b ,则22169a b +=所以22111692224a b S ab +=≤⨯=,当且仅当2a b ==. 故答案为:1694【点睛】易错点睛:利用基本不等式求最值时,要注意其必须满足的三个条件:(1)“一正二定三相等”“一正”就是各项必须为正数;(2)“二定”就是要求和的最小值,必须把构成和的二项之积转化成定值;要求积的最大值,则必须把构成积的因式的和转化成定值;(3)“三相等”是利用基本不等式求最值时,必须验证等号成立的条件,若不能取等号则这个定值就不是所求的最值,这也是最容易发生错误的地方 14.【分析】根据二次函数的图象和性质分三种情况讨论结合已知条件可得出关于实数的不等式进而可求得实数的取值范围【详解】当时则令解得不满足对任意的恒成立;当时由于二次函数的图象开口向上不满足对任意恒成立;当解析:1,2⎛--∞ ⎝⎦【分析】根据二次函数的图象和性质,分0a =、0a >、0a <三种情况讨论,结合已知条件可得出关于实数a 的不等式,进而可求得实数a 的取值范围.【详解】当0a =时, ()21f x x =-,则()()221143f f x x x =--=-⎡⎤⎣⎦,令()0f f x ≤⎡⎤⎣⎦,解得34x ≤,不满足对任意的x ∈R ,()0f f x ≤⎡⎤⎣⎦恒成立; 当0a >时,()111f x f a a ⎛⎫≥-=-- ⎪⎝⎭, 由于二次函数()f x 的图象开口向上,不满足对任意x ∈R ,()0f f x ≤⎡⎤⎣⎦恒成立; 当0a <时,()1111f x f a a a ⎛⎫≤-=--<- ⎪⎝⎭, 由于二次函数()f x 在区间1,a ⎛⎫-∞-⎪⎝⎭上单调递增,则()221111112110a a f f x f a a a a a --⎛⎫⎛⎫⎛⎫≤--=⋅---+-=≤⎡⎤ ⎪ ⎪ ⎪⎣⎦⎝⎭⎝⎭⎝⎭, 0a <,可得210a a --≥,解得152a .因此,实数a 的取值范围是1,2⎛-∞ ⎝⎦.故答案为:⎛-∞ ⎝⎦. 【点睛】关键点点睛:本题考查利用复合型二次不等式在实数集R 上恒成立求参数,要注意对实数a 的取值进行分类讨论,解题时要确定内层函数的值域结合二次函数的单调性求出()f f x ⎡⎤⎣⎦的最大值来求解.15.【分析】由可知利用基本不等式即可求最值【详解】因为所以当且仅当即时等号成立故答案为:【点睛】易错点睛:利用基本不等式求最值时要注意其必须满足的三个条件:(1)一正二定三相等一正就是各项必须为正数;( 解析:【分析】由0a b >>可知0a b +>,0a b ->,414122a b a b a a b a b a b a b+-++=++++-+-,利用基本不等式即可求最值. 【详解】 因为0a b >>,所以0a b +>,0a b ->,414122a b a b a a b a b a b a b+-++=++++-+-22≥=⨯=当且仅当a b a b ⎧+=⎪⎨-=⎪⎩ 即2a =,b =故答案为:【点睛】易错点睛:利用基本不等式求最值时,要注意其必须满足的三个条件:(1)“一正二定三相等”“一正”就是各项必须为正数;(2)“二定”就是要求和的最小值,必须把构成和的二项之积转化成定值;要求积的最大值,则必须把构成积的因式的和转化成定值;(3)“三相等”是利用基本不等式求最值时,必须验证等号成立的条件,若不能取等号则这个定值就不是所求的最值,这也是最容易发生错误的地方.16.【分析】由题意可得利用基本不等式可求得的最小值由此可求得实数的取值范围【详解】由于不等式对任意实数恒成立则由基本不等式可得当且仅当时即当时等号成立所以因此实数的取值范围是故答案为:【点睛】本题考查利解析:(),1-∞【分析】由题意可得3231x x k -<+⋅-,利用基本不等式可求得3231x x -+⋅-的最小值,由此可求得实数k 的取值范围.【详解】由于不等式32310x x k --+⋅->对任意实数x 恒成立,则3231x x k -<+⋅-,由基本不等式可得323111x x -+⋅-≥=,当且仅当323x x -=⋅时,即当31log 22x =时,等号成立,所以,1k <,因此,实数k 的取值范围是(),1-∞.故答案为:(),1-∞.【点睛】本题考查利用基本不等式求解不等式恒成立问题,考查参变量分离法的应用,考查计算能力,属于中等题. 17.3【分析】利用已知条件结合1代换构造进而应用基本不等式求最值即可求的最小值;【详解】知:当且仅当等号成立∴即有故答案为:3【点睛】本题考查了利用基本不等式求最值根据已知条件构造基本不等式形式求最值然 解析:3【分析】利用已知条件,结合“1”代换构造41154()x y y x m x y m mx my++=++,进而应用基本不等式求最值,即可求m 的最小值;【详解】1140x y m x y+=+=>知:4115459x y y x m m x y m mx mym m ⎛⎫+⎛⎫+=++=≥+= ⎪ ⎪⎝⎭⎝⎭当且仅当2y x =等号成立,∴29m ≥,即有3m ≥,故答案为:3【点睛】本题考查了利用基本不等式求最值,根据已知条件构造基本不等式形式求最值,然后求参数范围;18.32【分析】由是与的等比中项求得化简结合基本不等式即可求解【详解】由题意实数是与的等比中项可得解得所以当且仅当时即时等号成立所以的最小值是故答案为:【点睛】本题主要考查了利用基本不等式求最值以及等比 解析:32【分析】8a 与2b 的等比中项,求得31a b +=,化简626266()(3)20b a a b a b a b a b+=++=++,结合基本不等式,即可求解. 【详解】由题意,实数0a >,0b >8a 与2b 的等比中项,可得23228a b a b +=⨯=,解得31a b +=,所以626266()(3)202032b a a b a b a b a b +=++=++≥+=, 当且仅当66b a a b +时,即14a b ==时,等号成立, 所以62a b+的最小值是32. 故答案为:32.【点睛】本题主要考查了利用基本不等式求最值,以及等比中项公式的应用,其中解答中熟记等比中项公式,合理利用“1”的代换,结合基本不等式求解是解答的关键,着重考查推理与运算能力.19.>【分析】作差分析差的正负即可求解【详解】因为又所以所以故答案为:>【点睛】本题主要考查了比较法判断两个式子的大小考查了运算能力属于中档题解析:>【分析】作差,分析差的正负即可求解.【详解】因为()()()22222a b c d ac bd ++-+ ()()2222222222222a c a d b c b d a c b d acbd +=+++-+ 22222b c a d abcd =+-20(bc ad )=-≥,又ad bc ≠所以2()0bc ad ->所以()()22222()a b c d ac bd ++>+, 故答案为:>【点睛】本题主要考查了比较法判断两个式子的大小,考查了运算能力,属于中档题.20.【解析】因为a 所以则解析:(,2]-∞【解析】 因为1e 2ex x y a =+-≥-a ,所以[)[)2,0,,A a =-+∞⊂+∞则20,2a a -≥≤. 三、解答题21.(1)证明见解析;(2)证明见解析.【分析】(1)化简后利用基本不等式证明即可;(2)利用作差法,()()552332a ba b a b +-+变形为()()()222a b a b a ab b +-++,然后判断符号可得结果【详解】 (1))(4949494913y x y x x y x y x y x y ⎛⎛⎫⎫++=+++=++ ⎪⎪⎭⎭⎝⎝, 又因为0x >,0y >,所以40y x>,90x y >,由基本不等式得,4912y x x y +≥=,当且仅当49y x x y =时,取等号, 即23y x =时取等号,所以)(4925x y x y ⎛⎫++≥⎪⎭⎝. (2)()()552332a b a b a b +-+()()532523a ab b a b =-+- ()()322322a a b b b a =-+-()()2233a b a b =--()()()222a b a b a ab b =+-++ 因为a ,b 都是正数,所以0a b +>,220a ab b ++>又a b ≠,所以()20a b ->,所以()()()2220a b a b a ab b +-++>, 所以()()5523320a ba b a b +-+>,即552332a b a b a b +>+.【点睛】 易错点睛:利用基本不等式求最值时,要注意其必须满足的三个条件:(1)“一正二定三相等”“一正”就是各项必须为正数;(2)“二定”就是要求和的最小值,必须把构成和的二项之积转化成定值;要求积的最大值,则必须把构成积的因式的和转化成定值;(3)“三相等”是利用基本不等式求最值时,必须验证等号成立的条件,若不能取等号则这个定值就不是所求的最值,这也是最容易发生错误的地方22.无23.无24.无25.无26.无。
一、选择题1.如图,是小刚在电脑中设计的一个电子跳蚤,每跳一次包括上升和下降,即由点A —B —C 为一个完整的动作.按照图中的规律,如果这个电子跳蚤落到9的位置,它需要跳的次数为 ( )A .5次B .6次C .7次D .8次2.由于受H7N9禽流感的影响,某市城区今年2月份鸡的价格比1月份下降a %,3月份比2月份下降b %,已知1月份鸡的价格为24元/kg .则3月份鸡的价格为( ) A .24(1-a %-b %)元/kgB .24(1-a %)b % 元/kgC .(24-a %-b % )元/kgD .24(1-a %)(1-b %)元/kg 3.若 3x m y 3 与﹣2x 2y n 是同类项,则( )A .m=1,n=1B .m=2,n=3C .m=﹣2,n=3D .m=3,n=2 4.大于1的正整数m 的三次幂可“裂变”成若干个连续奇数的和,如3235=+,337911=++,3413151719=+++,.若3m “裂变”后,其中有一个奇数是2019,则m 的值是( )A .43B .44C .45D .55 5.下面去括号正确的是( )A .2()2y x y y x y +--=+-B .2(35)610a a a a --=-+C .()y x y y x y ---=+-D .222()2x x y x x y +-+=-+ 6.如图所示,直线AB 、CD 相交于点O ,“阿基米德曲线”从点O 开始生成,如果将该曲线与每条射线的交点依次标记为2,-4,6,-8,10,-12,….那么标记为“-2020”的点在( )A .射线OA 上B .射线OB 上C .射线OC 上D .射线OD 上7.若关于x ,y 的多项式2237654x y mxy xy -++化简后不含二次项,则m =( ) A .17 B .67 C .-67D .0 8.若252A x x =-+,256B x x =--,则A 与B 的大小关系是( ) A .A B >B .A B =C .A B <D .无法确定 9.代数式21a b-的正确解释是( ) A .a 与b 的倒数的差的平方 B .a 与b 的差的平方的倒数C .a 的平方与b 的差的倒数D .a 的平方与b 的倒数的差 10.在3a ,x+1,-2,3b -,0.72xy ,2π,314x -中单项式的个数有( ) A .2个B .8个C .4个D .5个 11.小明乘公共汽车到白鹿原玩,小明上车时,发现车上已有(6a ﹣2b )人,车到中途时,有一半人下车,但又上来若干人,这时车上共有(10a ﹣6b )人,则中途上车的人数为( )A .16a ﹣8bB .7a ﹣5bC .4a ﹣4bD .7a ﹣7b 12.一列数:0,1,2,3,6,7,14,15,30,___,___,___这串数是由小能按照一定规则写下来的,他第一次写下“0,1”,第二次按着写“2,3”,第三次接着写“6,7”第四次接着写“14,15”,就这样一直接着往下写,那么这串数的最后三个数可能是下面的 A .31,63,64 B .31,32,33 C .31,62,63 D .31,45,46二、填空题13.观察下列顺序排列的等式:9×0+1 = 1,9×1+2 = 11,9×2+3=21, 9×3+4=31, 9×4+5=41,……,猜想:第n 个等式(n 为正整数)用n 表示,可表示成_________. 14.在一列数a 1,a 2,a 3,a 4,…a n 中,已知a 1=2,a 2111a =-,a 3211a =-,a 4311a =-,…a n n 111a -=-,则a 2020=___. 15.已知等式:2222233+=⨯,233 3388+=⨯,244 441515+=⨯,…,2a a 1010b b+=⨯(a ,b 均为正整数),则 a b += ___. 16.已知123112113114,,,...,1232323438345415a a a =+==+==+=⨯⨯⨯⨯⨯⨯依据上述规律,则99a =________.17.在多项式422315x x x x 中,同类项有_________________;18.某商店经销一种品牌的洗衣机,其中某一型号的洗衣机每台进价为a 元,商店将进价提高20%后作为零售价进行销售,一段时间后,商店又以9折优惠价促销,这时该型号洗衣机的零售价为__元.19.如图:矩形花园ABCD 中,,AB a AD b ==,花园中建有一条矩形道路LMPQ 及一条平行四边形道路RSTK .若LM RS c ==,则花园中可绿化部分的面积为______.20.某市出租车的收费标准为:3km 以内为起步价10元,3km 后每千米收费1.8元,某人乘坐出租车()km 3x x >,则应付费______元.三、解答题21.奇奇同学发现按下面的步骤进行运算,所得结果一定能被9整除.请你用我们学过的整式的知识解释这一现象.22.若关于x ,y 的多项式my 3+3nx 2y +2y 3-x 2y +y 不含三次项,求2m +3n 的值. 23.列出下列代数式:(1)a 、b 两数差的平方;(2)a 、b 两数平方的差;(3)a 、b 两数的和与a 、b 两数的差的积;(4)a 的相反数与b 的平方的和.24.如图,观察下列图形,可得它们是按一定规律排列的,依照此规律,解决下列问题.(1)第5个图形有_______颗五角星,第6个图形有_______颗五角星;(2)第2020个图形有_______颗五角星,第n个图形有_______颗五角星.25.日历上的规律:下图是2020年元月的日历,图中的阴影区域是在日历中选取的一块九宫格.(1)九宫格中,四个角上的四个数之和与九宫格中央这个数有什么关系?(2)请你自选一块九宫格进行计算,观察四个角上的四个数之和与九宫格中央那个数是否还有这种关系.(3)试说明原理.26.某商店出售一种商品,其原价为m元,现有如下两种调价方案:一种是先提价10%,在此基础上又降价10%;另一种是先降价10%,在此基础上又提价10%.(1)用这两种方案调价的结果是否一样?调价后的结果是不是都恢复了原价?(2)两种调价方案改为:一种是先提价20%,在此基础上又降价20%;另一种是先降价20%,在此基础上又提价20%,这时结果怎样?(3)你能总结出什么规律吗?【参考答案】***试卷处理标记,请不要删除一、选择题1.C解析:C【分析】首先观察图形,得出一个完整的动作过后电子跳骚升高2个格,根据起始点为-5,终点为9,即可得出它需要跳的次数.【详解】解:由图形可得,一个完整的动作过后电子跳骚升高2个格,如果电子跳骚落到9的位置,则需要跳9(5)72--=次.故选C.此题考查数字的规律变化,关键是仔细观察图形,得出一个完整的动作过后电子跳骚升高2个格,难度一般.2.D解析:D【分析】首先求出二月份鸡的价格,再根据三月份比二月份下降b%即可求出三月份鸡的价格.【详解】∵今年2月份鸡的价格比1月份下降a%,1月份鸡的价格为24元/kg,∴2月份鸡的价格为24(1-a%)元/kg,∵3月份比2月份下降b%,∴三月份鸡的价格为24(1-a%)(1-b%)元/kg.故选:D.【点睛】本题主要考查了列代数式,解题的关键是掌握每个月份的数量增长关系.3.B解析:B【分析】根据同类项是字母相同且相同字母的指数也相,可得答案.【详解】33m x y和22nx y﹣是同类项,得m=2,n=3,所以B选项是正确的.【点睛】本题考查了同类项,利用了同类项的定义.4.C解析:C【分析】观察可知,分裂成的奇数的个数与底数相同,然后求出到m3的所有奇数的个数的表达式,再求出奇数2019的是从3开始的第1008个数,然后确定出1008所在的范围即可得解.【详解】∵底数是2的分裂成2个奇数,底数为3的分裂成3个奇数,底数为4的分裂成4个奇数,∴m 3分裂成m 个奇数,所以,到m 3的奇数的个数为:2+3+4+…+m=()()212m m +-, ∵2n+1=2019,n=1009,∴奇数2019是从3开始的第1009个奇数,当m=44时,()()4424419892+-=, 当m=45时,()()4524511342+-=, ∴第1009个奇数是底数为45的数的立方分裂的奇数的其中一个,即m=45.故选:C .【点睛】本题是对数字变化规律的考查,观察出分裂的奇数的个数与底数相同是解题的关键,还要熟练掌握求和公式.5.B解析:B【分析】根据去括号法则对四个选项逐一进行分析,要注意括号前面的符号,以选用合适的法则.【详解】A. 2()2y x y y x y +--=--,故错误;B. 2(35)610a a a a --=-+,故正确;C. ()y x y y x y ---=++,故错误;D. 222()22x x y x x y +-+=-+,故错误;故选:B【点睛】本题考查去括号的方法:去括号时,运用乘法的分配律,先把括号前的数字与括号里各项相乘;括号前是“+”,去括号后,括号里的各项都不改变符号;括号前是“一”,去括号后,括号里的各项都改变符号.6.C解析:C【分析】由图可观察出负数在OC 或OD 射线上,在OC 射线上的数为-4的奇数倍,在OD 射线上的数为-4的偶数倍,即可得出答案.【详解】解:∵由图可观察出负数在OC 或OD 射线上,排除选项A,B ,∵在射线OC 上的数符合:44112432045-=-⨯-=-⨯-=-⨯,,┈在射线OD 上的数符合:84216442446-=-⨯-=-⨯-=-⨯,,┈∵20204505-=-⨯,505为奇数,因此标记为“-2020”的点在射线OC 上.故答案为:C.【点睛】本题是一道探索数字规律的题目,具有一定的挑战性,可以根据已给数字多列举几个,更容易得出每条射线上数字的规律.7.B解析:B【分析】将原式合并同类项,可得知二次项系数为6-7m ,令其等于0,即可解决问题.【详解】解:∵原式=()2236754x y m xy +-+, ∵不含二次项,∴6﹣7m =0, 解得m =67. 故选:B .【点睛】 本题考查了多项式的系数,解题的关键是若不含二次项,则二次项系数6-7m=0. 8.A解析:A【分析】作差进行比较即可.【详解】解:因为A -B =(x 2-5x +2)-( x 2-5x -6)=x 2-5x +2- x 2+5x +6=8>0,所以A >B .故选A .【点睛】本题考查了整式的加减和作差比较法,若A -B >0,则A >B ,若A -B <0,则A <B ,若A -B =0,则A =B .9.D解析:D【分析】说出代数式的意义,实际上就是把代数式用语言叙述出来.叙述时,要求既要表明运算的顺序,又要说出运算的最终结果.【详解】解:代数式21a b-的正确解释是a 的平方与b 的倒数的差. 故选:D.【点睛】 用语言表达代数式的意义,一定要理清代数式中含有的各种运算及其顺序.具体说法没有统一规定,以简明而不引起误会为出发点.10.C解析:C【分析】根据单项式的定义逐一判断即可.【详解】3a中,分母含未知数,是分式,不是单项式, x+1是多项式,不是单项式,-2是单项式,3b -是单项式, 0.72xy 是单项式,2π是单项式, 314x -=3144x -,是多项式, ∴单项式有-2、3b -、0.72xy 、2π,共4个, 故选C.【点睛】本题考查单项式的定义,熟练掌握定义是解题关键. 11.B解析:B【分析】根据题意表示出途中下车的人数,再根据车上总人数即可求得中途上车的人数.【详解】由题意可得:(10a ﹣6b )﹣[(6a ﹣2b )﹣(3a ﹣b )]=10a ﹣6b ﹣6a +2b +3a ﹣b=7a ﹣5b .故选B .【点睛】本题考查了整式加减的应用,根据题意正确列出算式是解决问题的关键.12.C解析:C【分析】本题通过观察可知下一组数的第一个数是前一组数的第二个数的两倍,在同一组数中的前后两个数相差1.由此可写出最后的3个数.【详解】解:本题通过观察可知下一组数的第一个数是前一组数的第二个数的两倍,在同一组数中的前后两个数相差1,所以这串数最后的三个数为31,62,63.故选:C .【点睛】本题是一道找规律的题目,这类题型在中考中经常出现.对于找规律的题目首先应找出哪些部分发生了变化,是按照什么规律变化的.二、填空题13.【分析】根据数据所显示的规律可知:第一数列都是9第2数列开始有顺序且都是所对序号的数减去1加号后的数据有顺序且与所在的序号项吻合等号右端是的规律所以第n 个等式(n 为正整数)应为【详解】根据分析:即第 解析:109n -【分析】根据数据所显示的规律可知:第一数列都是9,第2数列开始有顺序且都是所对序号的数减去1,加号后的数据有顺序且与所在的序号项吻合,等号右端是()10?11n -+的规律,所以第n 个等式(n 为正整数)应为()()9110?11n n n -+=-+.【详解】根据分析:即第n 个式子是()()9110?11109n n n n -+=-+=-.故答案为:109n -.【点睛】本题主要考查了数字类规律探索题.对于找规律的题目首先应找出哪些部分发生了变化,是按照什么规律变化的.通过分析找到各部分的变化规律后直接利用规律求解. 14.【分析】首先分别求出n=234…时的情况观察它是否具有规律再把2020代入求解即可【详解】∵a1=2∴a21;a3;a42;…发现规律:每3个数一个循环所以2020÷3=673…1则a2020=a1解析:【分析】首先分别求出n=2、3、4…时的情况,观察它是否具有规律,再把2020代入求解即可.【详解】∵a 1=2,∴a 2111a ==--1;a 32111a 2==-;a 4311a ==-2;…, 发现规律:每3个数一个循环,所以2020÷3=673…1,则a 2020=a 1=2.故答案为:2.【点睛】本题考查了找规律的题目,这类题型在中考中经常出现.对于找规律的题目首先应找出哪些部分发生了变化,是按照什么规律变化的.而具有周期性的题目,找出周期是解题的关键.15.【分析】先根据已知代数式归纳出(n 为正整数)然后令n=10求得ab 最后求和即可【详解】解:由已知代数式可归纳出(n 为正整数)令n=10则b=102-1=99a=10∴a+b=10+99=109故答案解析:109【分析】 先根据已知代数式归纳出22211+=⨯--n n n n n n (n 为正整数),然后令n=10,求得a 、b ,最后求和即可.【详解】 解:由已知代数式可归纳出22211+=⨯--n n n n n n (n 为正整数), 令n=10,则b=102-1=99,a=10∴a+b=10+99=109.故答案为109.【点睛】 本题考查数字类规律探索,根据已有等式总结出22211+=⨯--n n n n n n 是解答本题的关键. 16.【解析】试题 解析:1009999. 【解析】试题 等号右边第一式子的第一个加数的分母是从1开始,三个连续的数的积,分子是1;第二个加数的分子是1,分母是2,结果的分子是2,分母是1×3=3;等号右边第二个式子的第一个加数的分母是从2开始,三个连续的数的积,分子是1;第二个加数的分子是1,分母是3,结果的分子是3,分母是2×4=8;等号右边第三个式子的第一个加数的分母是从3开始,三个连续的数的积,分子是1;第二个加数的分子是1,分母是4,结果的分子是4,分母是3×5=15.所以a 99=991100991019999+=⨯. 考点:规律型:数字的变化类.17.-2x5x 【分析】根据同类项:所含字母相同并且相同字母的指数也相同进行判断即可【详解】解:-2x与5x是同类项;故答案为:-2x5x【分析】本题考查了同类项的知识解题的关键是掌握同类项的定义解析:-2x,5x【分析】根据同类项:所含字母相同,并且相同字母的指数也相同,进行判断即可.【详解】解: -2x与5x是同类项;故答案为:-2x,5x.【分析】本题考查了同类项的知识,解题的关键是掌握同类项的定义.18.08a【解析】试题分析:根据题意得:a•(1+20)×90=108a;故答案为108a考点:列代数式解析:08a【解析】试题分析:根据题意得:a•(1+20%)×90%=1.08a;故答案为1.08a.考点:列代数式.19.【分析】由长方形的面积减去PQLM与RKTS的面积再加上重叠部分面积即可得到结果【详解】S矩形ABCD=AB•AD=abS道路面积=ca+cb-c2所以可绿化面积=S矩形ABCD-S道路面积=ab-解析:2ab bc ac c--+【分析】由长方形的面积减去PQLM与RKTS的面积,再加上重叠部分面积即可得到结果.【详解】S矩形ABCD=AB•AD=ab,S道路面积=ca+cb-c2,所以可绿化面积=S矩形ABCD-S道路面积=ab-(ca+cb-c2),=ab-ca-cb+c2.故答案为:ab-bc-ac+c2.【点睛】此题考查了整式的混合运算,熟练掌握运算法则是解本题的关键.20.【分析】起步价10元加上超过3千米部分的费用即可【详解】解:乘出租x千米的付费是:10+18(x-3)即18x+46故答案是:18x+46【点睛】本题考查了列代数式正确理解收费标准是关键x+解析:1.8 4.6【分析】起步价10元加上,超过3千米部分的费用即可.解:乘出租x 千米的付费是:10+1.8(x-3)即1.8x+4.6.故答案是:1.8x+4.6.【点睛】本题考查了列代数式,正确理解收费标准是关键.三、解答题21.见解析.【分析】设原来的两位数十位数字为a ,个位数字为b ,表示出原来两位数与新的两位数,相减得到结果,即可得出结果.【详解】解:设原来的两位数十位数字为a ,个位数字为b ,则原来两位数为10a+b ,交换后的新两位数为10b+a ,(10a+b )-(10b+a )=10a+b-10b-a=9a-9b=9(a-b ),则这个结果一定是被9整除.【点睛】此题考查了整式的加减,熟练掌握去括号法则与合并同类项法则是解本题的关键. 22.-3.【分析】先合并同类项,根据已知得出m+2=0,3n-1=0,求出m 、n 的值后代入进行计算即可.【详解】my 3+3nx 2y +2y 3-x 2y +y =(m +2)y 3+(3n -1)x 2y +y ,∵此多项式不含三次项,∴m +2=0,3n -1=0,∴m =-2,n =13, ∴2m +3n =2×(-2)+3×13=-4+1=-3. 【点睛】本题考查了合并同类项和解一元一次方程的应用,关键是求出m 、n 的值.23.(1)2()a b -;(2)22a b -;(3)()()a b a b +-;(4)2a b -+【分析】(1)根据题意先列出a ,b 的差,再表示差的平方,即可得出答案;(2)根据题意先表示出a ,b 平方,再列出差,即可得出答案 ;(3)根据题意先表示出a 与b 两数的和以及这两数的差,再列出它们的积,即可得出答案;(4)利用相反数以及平方的定义得出答案.(1)根据题意可得:2()a b -;(2)根据题意可得:22a b -;(3)根据题意可得:()()a b a b +-;(4)根据题意可得:2a b -+.【点睛】本题考查了列代数式,关键是能够正确运用数学语言,即代数式来表示题意.24.(1)16,19;(2)6061,31n +.【分析】(1)将每一个图案分成两部分,最下面位置处的一个不变,其它的分三条线,每一条线上后一个图形比前一个图形多一个,根据此规律找出第5、6个图形中★的个数; (2)利用(1)中所得规律可得.【详解】解:(1)观察发现,第1个图形★的颗数是134+=,第2个图形★的颗数是1327+⨯=,第3个图形★的颗数是13310+⨯=,第4个图形★的颗数是13413+⨯=,所以第5个图形★的颗数是13516+⨯=,第6个图形★的颗数是13619+⨯=.故答案为:16,19.(2)由(1)知,第2020个图形★的颗数是1320206061+⨯=,第n 个图形★的颗数是31n +.故答案为:6061,31n +.【点睛】本题考查了图形变化规律的问题,把★分成两部分进行考虑,并找出第n 个图形★的个数的表达式是解题的关键.25.(1)四个角上的四个数之和等于九宫格中央这个数的4倍;(2)四个角上的四个数之和等于九宫格中央这个数的4倍,选取九宫格见解析;(3)见解析.【分析】(1)求出四个角上的四个数之和与九宫格中央这个数,从而验证它们的关系. (2)选择如下图的九宫格,验证他们的关系即可.(3)设九宫格中央这个数为a ,列等式进行验证即可.【详解】(1)四个角上的四个数之和等于九宫格中央这个数的4倍.理由如下:6228202828414+++=+=⨯.(2)如图,9112325174+++=⨯,所以四个角上的四个数之和等于九宫格中央这个数的4倍.(选取的九宫格不唯一).(3)设九宫格中央这个数为a ,那么左上角的数为71a --,右上角的数为71a -+,左下角的数为71a +-,右下角的数为71a ++,四个数的和为(71)(71)(71)(71)4a a a a a --+-+++-+++=.即四个角上的四个数之和等于九宫格中央这个数的4倍.【点睛】本题考查了整式的加减应用,掌握整式的加减运算法则是解题的关键.26.(1)这两种方案调价的结果一样,都没有恢复原价;(2)这两种方案调价的结果一样,都没有恢复原价;(3)在原价基础上,先提价百分之多少,在此基础上再降价同样的百分数,与先降价百分之多少,再提价同样的百分数,最后结果一样,但都没有恢复原价..【分析】(1)先提价10%为110m%,再降价10%后价钱为99m%;先降价10%为90m%,再提价10%后价钱为99m%,据此可得答案;(2)先提价20%为120%m ,再降价20%后价钱为96%m ;先降价20%为80%m ,再提价20%后价钱为96%m ,据此可得答案;(3)根据(1)(2)的结果得出规律即可.【详解】解:(1)方案一:先提价10%价钱为()110%110%m m +=,再降价10%后价钱为()110%110%99%m m ⨯-=;方案二:先降价10%价钱为()110%90%m m -=,再提价10%后价钱为()90%110%99%m m ⨯+=,故这两种方案调价的结果一样,都没有恢复原价;(2)方案一:先提价20%价钱为()120%120%m m +=,再降价20%后价钱为()120%120%96%m m ⨯-=;方案二:先降价20%价钱为()120%80%m m -=,再提价20%后价钱为()80%120%96%m m ⨯+=,故这两种方案调价的结果一样,都没有恢复原价;(3)在原价基础上,先提价百分之多少,在此基础上再降价同样的百分数,与先降价百分之多少,再提价同样的百分数,最后结果一样,但都没有恢复原价.【点睛】本题考查了列代数式的知识,解题的关键是能够表示出降价或涨价后的量,难度不大.。
一、选择题1.某养殖场2018年年底的生猪出栏价格是每千克a 元.受市场影响,2019年第一季度出栏价格平均每千克下降了15%,到了第二季度平均每千克比第一季度又上升了20%,则第三季度初这家养殖场的生猪出栏价格是每千克( ) A .(1-15%)(1+20%)a 元 B .(1-15%)20%a 元C .(1+15%)(1-20%)a元D .(1+20%)15%a 元2.如图,下列各三角形中的三个数之间均具有相同的规律,根据此规律,最后一个三角形中y 与n 之间的关系是()A .y=2n+1B .y=2n +nC .y=2n+1+nD .y=2n +n+13.某文具店三月份销售铅笔100支,四、五两个月销售量连续增长.若月平均增长率为x ,则该文具店五月份销售铅笔的支数是( ) A .100(1+x ) B .100(1+x )2 C .100(1+x 2) D .100(1+2x ) 4.已知-25a 2m b 和7b 3-n a 4是同类项,则m +n 的值是( ) A .2 B .3C .4D .6 5.下列计算正确的是( )A .﹣1﹣1=0B .2(a ﹣3b )=2a ﹣3bC .a 3﹣a=a 2D .﹣32=﹣96.观察下列单项式:223344191920202,2,2,2,,2,2,x x x x x x ---,则第n 个单项式是( ) A .2n n xB .(1)2n n n x -C .2n n x -D .1(1)2n n n x +-7.如图,a ,b 在数轴上的位置如图所示:,那么||||a b a b -++的结果是( )A .2b -B .2bC .2a -D .2a8.大于1的正整数m 的三次幂可“裂变”成若干个连续奇数的和,如3235=+,337911=++,3413151719=+++,.若3m “裂变”后,其中有一个奇数是2019,则m 的值是( )A .43B .44C .45D .559.下列各式中,去括号正确的是( ) A .2(1)21x y x y +-=+- B .2(1)22x y x y --=++ C .2(1)22x y x y --=-+ D .2(1)22x y x y --=--10.在3a ,x+1,-2,3b -,0.72xy ,2π,314x -中单项式的个数有( )A .2个B .8个C .4个D .5个11.根据图中数字的规律,则x y +的值是( )A .729B .593C .528D .738 12.长方形一边长为2a +b ,另一边为a -b ,则长方形周长为( )A .3aB .6a +bC .6aD .10a -b二、填空题13.已知123112113114,,,...,1232323438345415a a a =+==+==+=⨯⨯⨯⨯⨯⨯依据上述规律,则99a =________.14.在多项式422315x xx x 中,同类项有_________________;15.将连续正整数按以下规律排列,则位于第 7 行第 7 列的数 x 是________________.? 13 6 10 15 2128 2 5 9 1420 27 ? 4813 19 26 ? ? 7121825 ? ? 1117 24? ? 1623 ??22? ? ? ? ? x?16.有一列数:12,1,54,75,…,依照此规律,则第n 个数表示为____. 17.观察下列式子: 1×3+1=22; 7×9+1=82; 25×27+1=262; 79×81+1=802;…可猜想第2 019个式子为__________. 18.一列数a 1,a 2,a 3…满足条件a 1=12,a n =111n a --(n ≥2,且n 为整数),则a 2019=_____.19.用棋子按下列方式摆图形,依照此规律,第n 个图形比第()1n -个图形多______枚棋子.…第1个 第2个 第3个 20.图中阴影部分的面积为______.三、解答题21.已知31AB x ,且3223A x x ,求代数式B .22.已知230x y ++-=,求152423x y xy --+的值. 23.观察下列单项式:x -,23x ,35x -,47x ,…1937x -,2039x ,…写出第n 个单项式,为了解这个问题,特提供下面的解题思路.()1这组单项式的系数的符号,绝对值规律是什么?()2这组单项式的次数的规律是什么?()3根据上面的归纳,你可以猜想出第n 个单项式是什么? ()4请你根据猜想,请写出第2014个,第2015个单项式.24.已知a+b =2,ab =2,求32231122a b a b ab ++的值. 25.某学生在写作业时,不慎将一滴墨水滴在了数轴上,如下图所示,而此时他要化简并求代数式()()2222352xy xx xy x xy ⎡⎤-----+⎢⎥⎣⎦的值.结果同学告诉他:x 的值是墨迹遮盖住的最大整数,y 的值是墨迹遮盖住的最小整数.请你帮助这位同学化简并求值.26.化简并求值:已知2232A a b ab abc =-+,小明错将“2A B -”看成“2A B +”,算得结果22434C a b ab abc =-+. (1)计算B 的表达式;(2)小强说正确结果的大小与c 的取值无关,对吗?请说明理由. (3)若18a =,15b = ,求正确结果的代数式的值.【参考答案】***试卷处理标记,请不要删除一、选择题 1.A 解析:A 【分析】由题意可知:2019年第一季度出栏价格为2018年底的生猪出栏价格的(1-15%),第二季度平均价格每千克是第一季度的(1+20%),由此列出代数式即可. 【详解】第三季度初这家养殖场的生猪出栏价格是每千克(1-15%)(1+20%)a 元. 故选:A . 【点睛】本题考查列代数式,注意题目蕴含的数量关系,找准关系是解决问题的关键.2.B解析:B 【详解】∵观察可知:左边三角形的数字规律为:1,2,…,n , 右边三角形的数字规律为:2,22,…,2n , 下边三角形的数字规律为:1+2,222+,…,2n n +, ∴最后一个三角形中y 与n 之间的关系式是y=2n +n. 故选B . 【点睛】考点:规律型:数字的变化类.3.B解析:B 【解析】试题分析:设出四、五月份的平均增长率,则四月份的市场需求量是100(1+x ),五月份的产量是100(1+x )2.故答案选B. 考点:列代数式.4.C解析:C 【分析】本题根据同类项的性质求解出m 和n 的值,代入求解即可. 【详解】由已知得:2431m n =⎧⎨-=⎩,求解得:22m n =⎧⎨=⎩,故224m n +=+=; 故选:C . 【点睛】本题考查同类项的性质,按照对应字母指数相同原则列式求解即可,注意计算仔细.5.D解析:D 【分析】根据有理数的减法、去括号、同底数幂的乘方即可解答. 【详解】解:A .﹣1﹣1=﹣2,故本选项错误; B .2(a ﹣3b )=2a ﹣6b ,故本选项错误; C .a 3÷a =a 2,故本选项错误; D .﹣32=﹣9,正确; 故选:D . 【点睛】本题考查了去括号和简单的提取公因式,掌握去括号时符号改变规律是解决此题的关键.6.B解析:B 【分析】要看各单项式的系数和次数与该项的序号之间的变化规律.本题中,奇数项符号为负,偶数项符号为正,数字变化规律是(-1)n 2n ,字母变化规律是x n . 【详解】因为第一个单项式是1112(1)2x x -=-⨯; 第二个单项式是222222(1)2x x =-⨯; 第三个单项式是333332(1)2x x -=-⨯, …,所以第n 个单项式是(1)2nnnx -.故选:B.【点睛】本题考查了单项式的系数和次数的规律探索,确定单项式的系数和次数时,把一个单项式改写成数字因数和字母因式的积,是找准单项式的系数和次数的关键.分别找出单项式的系数和次数的规律也是解决此类问题的关键.7.A解析:A【分析】根据数轴上点的位置判断出绝对值里边式子的正负,原式利用绝对值的代数意义化简,计算即可得到结果.【详解】解:根据题意得:b<a<0,且|a|<|b|,∴a-b>0,a+b<0,∴原式=a-b-a-b=-2b.故选:A.【点睛】此题主要考查了数轴以及绝对值,熟练掌握绝对值的性质是解本题的关键.8.C解析:C【分析】观察可知,分裂成的奇数的个数与底数相同,然后求出到m3的所有奇数的个数的表达式,再求出奇数2019的是从3开始的第1008个数,然后确定出1008所在的范围即可得解.【详解】∵底数是2的分裂成2个奇数,底数为3的分裂成3个奇数,底数为4的分裂成4个奇数,∴m3分裂成m个奇数,所以,到m3的奇数的个数为:2+3+4+…+m=()()212m m+-,∵2n+1=2019,n=1009,∴奇数2019是从3开始的第1009个奇数,当m=44时,()() 4424419892+-=,当m=45时,()() 4524511342+-=,∴第1009个奇数是底数为45的数的立方分裂的奇数的其中一个,即m=45.故选:C.【点睛】本题是对数字变化规律的考查,观察出分裂的奇数的个数与底数相同是解题的关键,还要熟练掌握求和公式.9.C解析:C 【分析】各式去括号得到结果,即可作出判断. 【详解】解:2(1)22x y x y +-=+-,故A 错误;2(1)22x y x y --=-+,故B,D 错误,C 正确.故选:C . 【点睛】此题考查了去括号与添括号,熟练掌握去括号法则是解本题的关键.10.C解析:C 【分析】根据单项式的定义逐一判断即可. 【详解】3a中,分母含未知数,是分式,不是单项式, x+1是多项式,不是单项式, -2是单项式, 3b-是单项式, 0.72xy 是单项式,2π是单项式, 314x -=3144x -,是多项式, ∴单项式有-2、3b -、0.72xy 、2π,共4个, 故选C. 【点睛】本题考查单项式的定义,熟练掌握定义是解题关键.11.B解析:B 【分析】观察题中的数据发现,表格内左下角的数值是上面数的平方加一,右下角的数值是:上面的数×左下角的数+上面的数=右下角的数. 【详解】根据题中的数据可知: 左下角的数=上面的数的平方+1 ∴28165x =+=右下角的值=上面的数×左下角的数+上面的数 ∴888658528y x =+=⨯+= ∴65528593x y +=+= 故选:B. 【点睛】本题主要考查数字的变化规律,关键是找出规律,列出通式.12.C解析:C 【解析】 【分析】根据长方形的周长公式列出算式后化简合并即可. 【详解】∵长方形一边长为2a +b ,另一边为a -b , ∴长方形周长为:2(2a +b +a -b )=6a. 故选C. 【点睛】本题考查了整式的加减的应用,根据长方形的周长公式列出算式是解决问题的关键.二、填空题13.【解析】试题解析:1009999. 【解析】 试题等号右边第一式子的第一个加数的分母是从1开始,三个连续的数的积,分子是1;第二个加数的分子是1,分母是2,结果的分子是2,分母是1×3=3;等号右边第二个式子的第一个加数的分母是从2开始,三个连续的数的积,分子是1;第二个加数的分子是1,分母是3,结果的分子是3,分母是2×4=8;等号右边第三个式子的第一个加数的分母是从3开始,三个连续的数的积,分子是1;第二个加数的分子是1,分母是4,结果的分子是4,分母是3×5=15. 所以a 99=991100991019999+=⨯.考点:规律型:数字的变化类.14.-2x5x 【分析】根据同类项:所含字母相同并且相同字母的指数也相同进行判断即可【详解】解:-2x 与5x 是同类项;故答案为:-2x5x 【分析】本题考查了同类项的知识解题的关键是掌握同类项的定义解析:-2x,5x【分析】根据同类项:所含字母相同,并且相同字母的指数也相同,进行判断即可.【详解】解: -2x与5x是同类项;故答案为:-2x,5x.【分析】本题考查了同类项的知识,解题的关键是掌握同类项的定义.15.【分析】先根据第一行的第一列的数以及第二行的第二列的数第三行的第三列数第四行的第四列数进而得出变化规律由此得出结果【详解】第一行的第一列的数是1;第二行的第二列的数是5=1+4;第三行的第三列的数是解析:85【分析】先根据第一行的第一列的数,以及第二行的第二列的数,第三行的第三列数,第四行的第四列数,进而得出变化规律,由此得出结果.【详解】第一行的第一列的数是 1;第二行的第二列的数是 5=1+4;第三行的第三列的数是 13=1+4+8;第四行的第四列的数是 25=1+4+8+12;......第n行的第n列的数是1+4+8+12+...+4(n-1)=1+4[1+2+3+...+(n+1)]=1+2n(n-1);∴第七行的第七列的数是1+2×7×(7-1)=85;故答案为:85.【点睛】本题考查数字的变化规律,学生通过观察、分析、归纳发现其中的规律,从而利用规律解决问题.16.【分析】根据分母是从2开始连续的自然数分子是从1开始连续的奇数解答即可【详解】这列数可以写为因此分母为从2开始的连续正整数分子为从1开始的奇数故第n个数为故答案为:【点睛】本题考查了数字的变化规律找解析:211nn-+.【分析】根据分母是从2开始连续的自然数,分子是从1开始连续的奇数解答即可.【详解】这列数可以写为12,33,54,75,因此,分母为从2开始的连续正整数,分子为从1开始的奇数,故第n个数为211nn-+.故答案为:211nn-+.【点睛】本题考查了数字的变化规律,找出分子分母的联系,得出运算规律是解决问题的关键.17.(32019-2)×32019+1=(32019-1)2【分析】观察等式两边的数的特点用n表示其规律代入n=2016即可求解【详解】解:观察发现第n个等式可以表示为:(3n-2)×3n+1=(3n-解析:(32 019-2)×32019+1=(32 019-1)2【分析】观察等式两边的数的特点,用n表示其规律,代入n=2016即可求解.【详解】解:观察发现,第n个等式可以表示为:(3n-2)×3n+1=(3n-1)2,当n=2019时,(32019-2)×32019+1=(32019-1)2,故答案为:(32019-2)×32019+1=(32019-1)2.【点睛】此题主要考查数的规律探索,观察发现等式中的每一个数与序数n之间的关系是解题的关键.18.-1【分析】依次计算出a2a3a4a5a6观察发现3次一个循环所以a2019=a3【详解】a1=a2==2a3==﹣1a4=a5==2a6==﹣1…观察发现3次一个循环∴2019÷3=673∴a20解析:-1【分析】依次计算出a2,a3,a4,a5,a6,观察发现3次一个循环,所以a2019=a3.【详解】a1=12,a2=111-2=2,a3=11-2=﹣1,a4=11=1--12(),a5=111-2=2,a6=11-2=﹣1…观察发现,3次一个循环,∴2019÷3=673,∴a2019=a3=﹣1,故答案为﹣1.【点睛】本题考查了数字的规律变化,要求学生通过观察数字,分析、归纳并发现其中的规律,并应用规律解决问题是解题的关键.19.【分析】归纳总结找出第n个图形与第(n-1)个图形中的棋子数相减即可得到结果【详解】解:第1个图形棋子的个数:1;第2个图形1+4;第3个图形1+4+7;第4个图形1+4+7+10;…第n 个图形1+解析:32n -【分析】归纳总结找出第n 个图形与第(n-1)个图形中的棋子数,相减即可得到结果.【详解】解:第1个图形棋子的个数:1;第2个图形,1+4;第3个图形,1+4+7;第4个图形,1+4+7+10;…第n 个图形,1+4+7+…+(3n -2);则第n 个图形比第(n-1)个图形多(3n-2)枚棋子.故答案为:3n-2【点睛】此题主要考查了图形的变化类问题,同时还考查了学生通过特例分析从而归纳总结出一般结论的能力.20.【分析】图中阴影部分面积为半径为R 的半圆面积减去直径为R 的圆的面积进行计算即可【详解】解:【点睛】本题考查圆的面积计算公式熟记公式并根据题意找出阴影部分面积为半径为R 的半圆面积减去直径为R 的圆的面积 解析:21π4R【分析】图中阴影部分面积为半径为R 的半圆面积减去直径为R 的圆的面积,进行计算即可.【详解】 解:2221=()224R R S R πππ-=阴影 【点睛】本题考查圆的面积计算公式,熟记公式并根据题意找出阴影部分面积为半径为R 的半圆面积减去直径为R 的圆的面积是解题关键. 三、解答题21.2322x x -++【分析】将A 代入A-B=x 3+1中计算即可求出B .【详解】解:∵A-B=x 3+1,且A=-2x 3+2x+3,∴B=A-(x 3+1)=-2x 3+2x+3-x 3-1=-3x 3+2x+2.【点睛】本题考查了整式的加减,涉及的知识有:去括号法则,以及合并同类项法则,熟练掌握法则是解题的关键.22.-24.【分析】首先根据绝对值的非负性求出x ,y ,然后代入代数式求值.【详解】解:∵230x y ++-=,∴x+2=0,y-3=0,∴x=-2,y=3, ∴152423x y xy --+ ()()552342323=-⨯--⨯+⨯-⨯ ()5524=-+-24=-.【点睛】本题考查了代数式求值,利用非负数的和为零得出x 、y 的值是解题关键.23.()1 (1)n -(或:负号正号依次出现;),21n -(或:从1开始的连续奇数);()2从1开始的连续自然数;()3第n 个单项式是:()(1)21n n n x --;()4?2014个单项式是20144027x ;第2015个单项式是20154029x -.【分析】(1)根据已知数据得出单项式的系数的符号规律和系数的绝对值规律;(2)根据已知数据次数得出变化规律;(3)根据(1)和(2)中数据规律得出即可;(4)利用(3)中所求即可得出答案.【详解】()1数字为1-,3,5-,7,9-,11,…,为奇数且奇次项为负数,可得规律:()(1)21n n --;故单项式的系数的符号是:(1)n-(或:负号正号依次出现;),绝对值规律是:21n -(或:从1开始的连续奇数); ()2字母因数为:x ,2x ,3x ,4x ,5x ,6x ,…,可得规律:n x ,这组单项式的次数的规律是从1开始的连续自然数.()3第n 个单项式是:()(1)21n n n x --.()4把2014n =、2015n =直接代入解析式即可得到:第2014个单项式是20144027x ;第2015个单项式是20154029x -.【点睛】此题主要考查了数字变化规律,得出次数与系数的变化规律是解题关键.24.4【分析】 根据因式分解,首先将整式提取公因式12ab ,在采用完全平方公式合,在代入计算即可. 【详解】 解:原式=12a 3b +a 2b 2+12ab 3 =12ab (a 2+2ab +b 2) =12ab (a +b )2, ∵a +b =2,ab =2, ∴原式=12×2×4=4. 【点睛】本题主要考查因式分解的代数计算,关键在于整式的因式分解.25.xy ,1-【分析】先把原式进行化简,得到最简代数式,结合x 的值是墨迹遮盖住的最大整数,y 的值是墨迹遮盖住的最小整数,得到x 、y 的值,然后代入计算,即可得到答案.【详解】解:()()2222352xy xx xy x xy ⎡⎤-----+⎢⎥⎣⎦ =22226552xy x x xy x xy ⎡⎤-+--++⎣⎦=22226552xy x x xy x xy -+-+--=xy ; ∵74-<被盖住的数2<, ∴x 的值是墨迹遮盖住的最大整数,∴1x =,∵y 的值是墨迹遮盖住的最小整数,∴1y =-,∴原式=1(1)1⨯-=-.【点睛】本题考查了整式的化简求值,以及利用数轴比较有理数的大小,解题的关键是正确求出x 、y 的值,以及掌握整式的混合运算.26.(1)2222a b ab abc -++;(2)小强的说法对,正确结果的取值与c 无关,理由见解析;(3)0.【分析】(1)由2A+B=C 得B=C-2A ,将C 、A 代入根据整式的乘法计算可得B ;(2)将A 、B 代入2A-B ,根据整式的加减运算法则进行化简,由化简后的代数式中无字母c 可知其值与c 无关;(3)将a 、b 的值代入计算即可.【详解】解:(1)∵2A B C +=,∴2B C A =-.B 22224342(32)a b ab abc a b ab abc =-+--+2222434642a b ab abc a b ab abc =-+-+-2222a b ab abc =-++;(2)222222(32)(22)A B a b ab abc a b ab abc -=-+--++222264222a b ab abc a b ab abc =-++--2285a b ab =-.因正确结果中不含c ,所以小强的说法对,正确结果的取值与c 无关;(3)将18a =, 15b =代入(2)中的代数式,得: 22221111858()5()8585a b ab -=⨯⨯-⨯⨯0= . 【点睛】本题主要考查整式的乘法,熟练掌握整式的乘法法则是解题的关键.。
一、选择题1.某校社团活动课中,手工制作社的同学用一种彩色硬纸板制作某种长方体小礼品的包装盒,每张硬纸板可制作盒身12个,或制作盒底18个,1个盒身与2个盒底配成一套.现有28张这种彩色硬纸板,要使盒身和盒底刚好配套,若设需要x 张做盒身,则下列所列方程正确的是( )A .()182812x x -=B .()1828212x x -=⨯C .()181412x x -=D .()2182812x x ⨯-= 2.下列方程中,解为x=-2的方程是( )A .2x+5=1-xB .3-2(x -1)=7-xC .x -5=5-xD .1-14x=34x 3.小淇在某月的日历中圈出相邻的三个数,算出它们的和是19,那么这三个数的位置可能是( )A .B .C .D .4.新制作的渗水防滑地板是形状完全相同的长方形.如图,三块这样的地板可以拼成一个大的长方形.如果大长方形的周长为150cm ,那么一块渗水防滑地板的面积是( ).A .2450cmB .2600cmC .2900cmD .21350cm 5.把方程10.58160.60.9x x -++=的分母化为整数,结果应为( ) A .1581669x x -++= B .10105801669x x -++= C .101058016069x x -+-= D .15816069x x -++= 6.下列方程变形一定正确的是( )A .由x +3=-1,得x =-1+3B .由7x =-2,得x =-74C .由12x =0,得x =2D .由2=x -1,得x =1+27.一项工程,甲单独做需10天完成,乙单独做需6天完成.现由甲先做2天,乙再加入合做,完成这项工程共需多少天?若设完成这项工程共需x 天,依题意可得方程( )A .106x x +=1 B .22106x x +-+=1 C .2106x x -+=1 D .222106x x x --++=1 8.互联网“微商”经营已成为大众创业新途径,某微信平台上一件商品标价为200元,按标价的五折销售,仍可获利20元,则这件商品的进价为( )A .120元B .100元C .80元D .60元 9.若代数式4x +的值是2,则x 等于( )A .2B .2-C .6D .6- 10.某市为提倡节约用水,采取分段收费.若每户每月用水不超过20m 3,每立方米收费2元;若用水超过20m 3,超过部分每立方米加收1元.小明家5月份交水费64元,则他家该月用水( )m 3.A .38B .34C .28D .44 11.若“△”是新规定的某种运算符号,设x △y=xy+x+y ,则2△m=﹣16中,m 的值为( )A .8B .﹣8C .6D .﹣6 12.下列方程中,其解为﹣1的方程是( ) A .2y=﹣1+yB .3﹣y=2C .x ﹣4=3D .﹣2x ﹣2=4 13.若4a ﹣9与3a ﹣5互为相反数,则a 2﹣2a+1的值为( ) A .1B .﹣1C .2D .0 14.将方程2152132x x -+=-去分母,得( )A .()()211352x x -=-+B .416152x x -=-+C .416152x x -=--D .()()2216352x x -=-+15.如图,正方ABCD 形的边长是2个单位,一只乌龟从A 点出发以2个单位/秒的速度顺时针绕正方形运动,另有一只兔子也从A 点出发以6个单位/秒的速度逆时针绕正方形运动,则第2020次相遇在( )A .点AB .点BC .点CD .点D二、填空题16.若关于x 的方程2mx+3m=-1与3x+6x=-3的解相同,则m 的值为_____.17.解方程213412208x x x -+-= -1,去分母时,方程两边应都乘____,得______________________,这一变形的依据是________________. 18.某学校8个班级进行足球友谊赛,比赛采用单循环赛制(参加比赛的队,每两队之间进行一场比赛),胜一场得3分,平一场得1分,负一场得0分,某班共得15分,并以不败成绩获得冠军,那么该班共胜______场比赛.19.已知一个角的补角是这个角的4倍,那么这个角的度数是_________.20.自来水公司为鼓励节约用水,对水费按以下方式收取:用水不超过10吨,每吨按2元收费;用水超过10吨,超过10吨的部分按每吨3元收费.王老师家三月份水费为50元,则王老师家三月份用水________吨.21.解方程:1225y y -+=. 解:去分母,得____________.去括号,得______________.移项,得_______________.合并同类项,得______________.方程两边同除以3,得_______________.22.方程3622y y y -+=,左边合并同类项后,得____________. 23.小亮用40元钱买了5千克苹果和2千克香蕉,找回4元.已知每千克香蕉的售价是每千克苹果售价的2倍,则每千克苹果的售价是________元.24.一群学生参加夏令营活动,男生戴白色帽子,女生戴红色帽子,休息时他们坐在一起,大家发现了一个有趣的现象:每位男生看到的白色与红色的帽子一样多,而每位女生看到的白色帽子数量是红色的2倍.根据信息,这群学生共有______人.25.有一位工人师傅要锻造底面直径为40cm 的“矮胖”形圆柱,可他手上只有底面直径是10cm 、高为80cm 的“瘦长”形圆柱,若不计损耗,则锻造出的“矮胖”形圆柱的高为________.26.某商品按标价八折出售仍能盈利b 元,若此商品的进价为a 元,则该商品的标价为_________元.(用含a ,b 的代数式表示).三、解答题27.在“五一”期间,小明、小亮等同学随家长一同到某公园游玩,下面是购买门票时,小明与爸爸的对话(如图),请根据图中的信息,解答下列问题:(1)他们共去了几个成人,几个学生?(2)请你帮他们算算,用哪种方式购票更省钱?28.甲、乙两人分别从相距30千米的A ,B 两地骑车相向而行,甲骑车的速度是10千米/时,乙骑车的速度是8千米/时,甲先出发25分钟后,乙骑车出发,问乙出发后多少小时两人相遇?(只列方程)莉莉:设乙出发后x 小时两人相遇.列出的方程为251081030x x ⨯++=.请问莉莉列出的方程正确吗?如果不正确,请说明理由并列出正确的方程.29.如图,在一条不完整的数轴上从左到右有点A ,B ,C ,其中AB =2BC ,设点A ,B ,C 所对应数的和是m .(1)若点C 为原点,BC =1,则点A ,B 所对应的数分别为 , ,m 的值为 ;(2)若点B 为原点,AC =6,求m 的值.(3)若原点O 到点C 的距离为8,且OC =AB ,求m 的值.30.全班同学去划船,如果减少一条船,每条船正好坐9个同学,如果增加一条船,每条船正好坐6个同学,问原有多少条船?。
2022-2023学年初一数学第一学期阶段验收(3)姓名 成绩___________一、选择题(本题共30分,每小题3分) 1.下列方程中,是一元一次方程的是( ) A .243x x -= B .312x x -=C .21x y +=D .35xy -=2.方程122x -=的解是( ) A. 14x =-B. 4x =-C. 14x =D. 4x =3.已知等式325a b =+,则下列等式中不一定成立的是( ) A. 352a b -=B. 3126a b +=+C. 325ac bc =+D. 2533a b =+4. 若关于x 的方程240x a +-=的解是2x =-,则a 的值等于 A . 8-B . 0C. 2D. 85. 一个长方形的周长为26cm ,若这个长方形的长减少1cm ,宽增加2cm ,就可成为一个正方形. 设长方形的长为x cm ,可列方程( ) A. ()1262x x -=-+B. ()1132x x -=-+C. ()1262x x +=--D. ()1132x x +=--6.下列说法正确的是( ) A .由213132x x --=+去分母得()()221133x x -=+- B .由()()221133x x -=+-去括号得42139x x -=++ C .由42139x x -=++移项、合并同类项得12x = D .由142x -=得2x =-7.已知某商店有两个进价不同的计算器都卖了80元,其中一个盈利60%,另一个亏损20%,在这次买卖中,这家商店( ) A .不赢不亏B .盈利10元C .亏损10元D .盈利50元8.定义一种新运算:()()22a b a b a b a b a b ⎧+⎪=⎨->⎪⎩≤☆,例如()212210-=-+⨯=☆,()()313215-=-⨯-=☆.若()216b -=☆,则b 的值是( ) A .9B .-9C .9或-9D .无法确定9. 若不论k 取什么数,关于x 的方程2236kx m x nk +-=+(m n,是常数)的解总是1,则m n +的值为( ) A .52-B .32-C .32D .5210.下列说法正确的有( )个.①关于x 的方程x a =一定有两个解;②关于x 的方程1x a -=-无解;③关于x 的方程1x x a ++=有解,则1a ≥;④关于x 的方程13x x a -++=有解,则42a -≤≤; ⑤关于x 的方程12x a --=有两个解,则0a =. A .1 B .2 C .3 D .4二、填空题(本题共24分,每题4分)11.方程2243x -=的解是________.12.如果方程5443x x +=-的解和关于x 的方程()()2122x m m +-=-的解相同,那么m 的值是________.13.我国元朝朱世杰所著的《算学启蒙》中有一个问题:“良马日行 240 里,驽马日行 150里,驽马先行 12 日,问良马几何追及之 ”.这道题的意思是:跑得快的马每天走 240里,跑得慢的马每天走 150 里,慢马先行十二天,快马几天可以追上慢马?如果快马和慢马从同一地点出发,沿同一路径行走.我们设快马 x 天可以追上慢马,根据题意可列方程为_________.14.用铝片做听装饮料瓶,每张铝片可制成瓶身15个或制成瓶底45个,一个瓶身和两个瓶底可配成一套。
一、选择题1.在《九章算术》方田章“圆田术”中指出:“割之弥细,所失弥少,割之又割,以至于不可割,则与圆周合体而无所失矣”,这里所用的割圆术所体现的是一种无限与有限的转化的思想,比如在234111112222+++++…中,“…”代表按规律不断求和,设234111112222x +++++⋅⋅⋅=.则有112x x =+,解得2x =,故2341111122222+++++⋅⋅⋅=.类似地2461111333++++⋅⋅⋅的结果为( ) A .43B .98C .65D .22.下列方程变形中,正确的是( )A .方程3221x x -=+,移项,得3212x x -=-+B .方程()3251x x -=--,去括号,得3251x x -=--C .方程2332t =,系数化为1,得1t = D .方程110.20.5x x--=,整理得36x = 3.在2019年女排世界杯比赛中,中国队以11场全胜积32分的成绩成为女排世界杯五冠王、女排世界杯比赛积分规则如表所示,若中国队以大比分3:2取胜的场次有x 场,则根据以上信息所列方程正确的是( )A .3x+2x =32B .3(11﹣x )+3(11﹣x )+2x =32C .3(11﹣x )+2x =32D .3x+2(11﹣x )=324.方程2424x x -=-+的解是 ( ) A .x =2B .x =−2C .x =1D .x =05.甲车队有汽车100辆,乙车队有汽车68辆,根据情况需要甲车队的汽车是乙车队的汽车的两倍,则需要从乙队调x 辆汽车到甲队,由此可列方程为( )A .100﹣x =2(68+x)B .2(100﹣x)=68+xC .100+x =2(68﹣x)D .2(100+x)=68﹣x6.一项工程,甲单独做需10天完成,乙单独做需6天完成.现由甲先做2天,乙再加入合做,完成这项工程共需多少天?若设完成这项工程共需x 天,依题意可得方程( )A .106x x +=1 B .22106x x +-+=1 C .2106x x -+=1 D .222106x x x --++=17.关于y 的方程331y k +=与350y +=的解相同,则k 的值为( ) A .-2B .34C .2D .43-8.若4a ﹣9与3a ﹣5互为相反数,则a 2﹣2a+1的值为( ) A .1B .﹣1C .2D .09.“某工厂用如图甲所示的长方形和正方形纸板做成如图乙所示的 A 、B 两种长方体形状的无盖纸盒.现 有正方形纸板 120 张,长方形纸板 360 张,刚好全部用完,问能做成多少个 A 型盒子?”则下列结论 正确的个数是( )①甲同学:设 A 型盒子个数为 x 个,根据题意可得: 4x + 3 ⋅1202x- = 360 ②乙同学:设 B 型盒中正方形纸板的个数为 m 个,根据题意可得: 3 ⋅ 2m+ 4(120 - m ) = 360③A 型盒 72 个④B 型盒中正方形纸板 48 个 A .1B .2C .3D .410.下列说法正确的是( ) A .若a c =bc,则a=b B .若-12x=4y ,则x=-2y C .若ax=bx ,则a=bD .若a 2=b 2,则a=b11.整式mx n +的值随x 的取值不同而不同,下表是当x 取不同值时对应的整式的值.则关于x 的方程8mx n --=的解为( ) x-2 -1 0 1 2 mx n + -12-8-44A .1x =-B .0x =C .1x =D .2x =12.某个体商贩在一次买卖中同时卖出两件上衣,每件售价均为135元,若按成本计算,其中一件盈利25%,一件亏本25%,则在这次买卖中他( ) A .不赚不赔B .赚9元C .赔18元D .赚18元13.已知代数式2x-6与3+4x 的值互为相反数,那么x 的值等于( ) A .2B .12C .-2D .1-214.甲、乙、丙三辆卡车所运货物的质量之比为6:7:4.5,已知甲车比乙车少运货物12吨,则三辆卡车共运货物( ) A .120吨B .130吨C .210吨D .150吨 15.若代数式2x +3的值为6,则x 的值为( ) A .32B .3C .92D .4二、填空题16.关于x 的方程927x kx -=+的解是自然数,则整数k 的值为________.17.学校组织一次数学知识竞赛,共有20道题,每一题答对得5分,答错或不答都倒扣1分,小明最终得到76分,那么他答对了______道题.18.解方程213412208x x x -+-= -1,去分母时,方程两边应都乘____,得______________________,这一变形的依据是________________.19.一条河的水流速度为3km/h ,船在静水中的速度为xkm/h ,则船在这条河中顺水行驶的速度是____km/h ;20.自来水公司为鼓励节约用水,对水费按以下方式收取:用水不超过10吨,每吨按2元收费;用水超过10吨,超过10吨的部分按每吨3元收费.王老师家三月份水费为50元,则王老师家三月份用水________吨.21.某公司销售,,A B C 三种电子产品,在去年的销售中,产品C 的销售额占总的销售额的60%,由于受新冠肺炎疫情的影响,估计今年,A B 两种产品的销售额都将比去年减少45%,公司将产品C 定为今年销售的重点,要使今年的总销售额与去年持平,那么今年产品C 的销售额应比去年增加__________.22.日历中同一竖列相邻三个数的和是63,则这三个数分别是______________. 23.一个长方形周长是44cm ,长比宽的3倍少10cm ,则这个长方形的面积是______. 24.完成下列的解题过程:用两种方法解方程:11(31)1(3)43x x -=-+. (1)解法一:去分母,得______________. 去括号,得_________________.移项、合并同类项,得________________. 系数化为1,得_____________.(2)解法二:去括号,得______________. 去分母,得________________. 移项、合并同类项,得____________. 系数化为1,得_______________.25.把方程|21|5x -=化成两个一元一次方程是___________________.26.我国古代的数学名著《九章算术》中有下列问题:“今有女子善织,日自倍,五日织五尺.问日织几何?”其意思为:今有一女子很会织布,每日加倍增长,5日共织布5尺.问每日各织多少布?根据此问题中的已知条件,可求得该女子第一天织布__________尺.三、解答题27.某圆柱形饮料瓶由铝片加工做成,现有若干张一样大小的铝片,若全部用来做瓶身可做900个,若全部用来做瓶底可做1200个.已知每一张这样的铝片全部做成瓶底比全部做成瓶身多20个.(1)问一张这样的铝片可做几个瓶底? (2)这些铝片一共有多少张?(3)若一个瓶身与两个瓶底配成一套,则从这些铝片中取多少张做瓶身,取多少张做瓶底可使配套做成的饮料瓶最多? 28.解方程:(1)3(26)17x x +=--; (2)4(2)13(1)x x --=-; (3)4(1)5(3)11x x +--=; (4)14(1)(26)112x x --+=. 29.解方程:32122234x x ⎡⎤⎛⎫---= ⎪⎢⎥⎝⎭⎣⎦. 30.青岛、大连两个城市各有机床12台和6台,现将这些机床运往海南10台和厦门8台,每台费用如表一:问题1:如表二,假设从青岛运往海南x 台机床,并且从青岛、大连运往海南机床共花费36万元,求青岛运往海南机床台数.问题2:在问题1的基础上,问从青岛、大连运往海南、厦门的总费用为多少万元?。
一、填空题1.所谓方程的解就是使方程中等号左右两边相等的未知数的值。
观察下面关于未知数x 的方程:221144x x +=+,请写出此方程的解:____________。
x=或【分析】利用然后整理成完全平方公式然后开方求值即可【详解】解:∴两边开方得当时整理得解得当时整理得解得故此方程的解为:x=或【点睛】本题主要考查了完全平方公式的应用根据已知条件得出是解题的关键解析:x=2±或12±【分析】 利用221144x x +=+然后整理成完全平方公式21254x x ⎛⎫+= ⎪⎝⎭,然后开方求值即可. 【详解】 解:221144x x +=+ ∴21254x x ⎛⎫+= ⎪⎝⎭两边开方得152x x ⎛⎫+=± ⎪⎝⎭ 当152x x +=时,整理得22520x x -+=解得121,22x x == 当152x x +=-时,整理得22520x x ++=解得121,22x x =-=- 故此方程的解为:x=2±或12± 【点睛】 本题主要考查了完全平方公式的应用,根据已知条件得出21254x x ⎛⎫+= ⎪⎝⎭是解题的关键. 2.有一位工人师傅要锻造底面直径为40cm 的“矮胖”形圆柱,可他手上只有底面直径是10cm 、高为80cm 的“瘦长”形圆柱,若不计损耗,则锻造出的“矮胖”形圆柱的高为________.5cm 【分析】设矮胖形圆柱的高是xcm 根据锻造前后圆柱体积相等建立方程求解即可【详解】解:设矮胖形圆柱的高是xcm 由题意得π×80=πx 解得:x=5故答案为5cm 【点睛】本题考查一元一次方程的应用熟解析:5cm【分析】设“矮胖”形圆柱的高是xcm ,根据锻造前后圆柱体积相等建立方程求解即可.【详解】解:设“矮胖”形圆柱的高是xcm ,由题意得,210()2π×80=240()2πx , 解得:x=5.故答案为5cm .【点睛】本题考查一元一次方程的应用,熟练掌握并准确计算是解题的关键.3.某次数学测验中有16道选择题,评分办法:答对一道得6分,答错一道扣2分,不答得0分.某学生有一道题未答,那么这个同学至少要答对________道题,成绩才能在60分以上.12【解析】【分析】找到关键描述语进而找到所求的量的等量关系得到不等式6x-2(15-x )>60求解即可【详解】设答对x 道故6x-2(15-x )>60解得:x >所以至少要答对12道题成绩才能在60分解析:12【解析】【分析】找到关键描述语,进而找到所求的量的等量关系.得到不等式6x-2(15-x )>60,求解即可.【详解】设答对x 道.故6x-2(15-x )>60解得:x >908. 所以至少要答对12道题,成绩才能在60分以上.【点睛】考查一元一次不等式组的应用,将现实生活中的事件与数学思想联系起来,读懂题列出不等式关系式即可求解.4.小亮用40元钱买了5千克苹果和2千克香蕉,找回4元.已知每千克香蕉的售价是每千克苹果售价的2倍,则每千克苹果的售价是________元.4【解析】【分析】直接设每千克苹果的售价是x 元则每千克香蕉售价2x 元利用40元钱买了5千克苹果和2千克香蕉找回4元得出方程求出答案【详解】设每千克苹果的售价是x 元则每千克香蕉售价2x 元根据题意可得:解析:4【解析】【分析】直接设每千克苹果的售价是x 元,则每千克香蕉售价2x 元,利用40元钱买了5千克苹果和2千克香蕉,找回4元得出方程求出答案.【详解】设每千克苹果的售价是x 元,则每千克香蕉售价2x 元,,根据题意可得:5×x+2×2x=40-4,解得:x=4.即:每千克香蕉售价4元.故答案为:4.【点睛】此题主要考查了一元一次方程的应用,正确表示出两种水果的价格是解题关键. 5.如图所示的两架天平保持平衡,且每块巧克力的质量相等,每个果冻的质量也相等,则一块巧克力的质量是______g. 17【解析】【分析】由图①可知4块巧克力质量等于2个果冻质量可设一块巧克力质量为xg 则一个果冻质量为2xg 再根据图②列出关于x 的方程求解即可【详解】解:由图①设一块巧克力质量为xg 则一个果冻质量为2解析:17【解析】【分析】由图①可知4块巧克力质量等于2个果冻质量,可设一块巧克力质量为xg ,则一个果冻质量为2xg ,再根据图②列出关于x 的方程求解即可.【详解】解:由图①设一块巧克力质量为xg ,则一个果冻质量为2xg ,由图②可列方程为:x+2x=51,解得x=17.故答案为:17.【点睛】本题主要考查一元一次方程的应用,解此题的关键在于读懂题图巧克力与果冻的质量关系,设出未知数,列出方程求解.6.已知关于x 的方程3223x m -=+的解是x m =,则m 的值为_________.5【解析】【分析】此题用m 替换x 解关于m 的一元一次方程即可【详解】∵x =m ∴3m−2=2m+3解得:m =5故答案为:5【点睛】本题考查一元一次方程的解的定义方程的解就是能够使方程左右两边相等的未知数解析:5【解析】【分析】此题用m 替换x ,解关于m 的一元一次方程即可.【详解】∵x =m ,∴3m−2=2m+3,解得:m =5.故答案为:5.【点睛】本题考查一元一次方程的解的定义.方程的解就是能够使方程左右两边相等的未知数的值.7.将一个底面直径是10cm 、高为40cm 的圆柱锻压成底面直径为16cm 的圆柱,则锻压后圆柱的高为________cm.625【解析】【分析】利用等量关系:锻压前的圆柱的体积=锻压后的圆柱的体积根据圆柱的体积计算公式表示出体积列出方程解答即可【详解】解:设锻压后圆柱的高为x 厘米由题意得:解得:x=15625答:锻压后解析:625【解析】【分析】利用等量关系:锻压前的圆柱的体积=锻压后的圆柱的体积,根据圆柱的体积计算公式表示出体积列出方程解答即可.【详解】解:设锻压后圆柱的高为x 厘米,由题意得:221016()40()22x ππ⨯=解得:x=15.625.答:锻压后圆柱的高为15.625厘米.故答案为:15.625.【点睛】此题考查一元一次方程的实际运用,关键是掌握体积公式,并找准题中的等量关系. 8.解方程:2(1)3x --=-.解:去括号,得__________;移项,得____________;合并同类项,得____________.【解析】【分析】根据解方程的过程方程去括号移项合并把x 系数化为1即可求出解【详解】去括号得;移项得;合并同类项得【点睛】本题考查了解一元一次方程熟练掌握计算法则是解题关键解析:213x -+=-, 321x =--+, 4x =-.【解析】【分析】根据解方程的过程,方程去括号,移项合并,把x 系数化为1,即可求出解.【详解】2(1)3x --=-.去括号,得213x -+=-;移项,得321x =--+;合并同类项,得4x =-【点睛】本题考查了解一元一次方程,熟练掌握计算法则是解题关键.9.小明说小红的年龄比他大两岁,他们的年龄和为18岁,两人年龄各是多少岁?若设小明x 岁,则小红的年龄为__________岁.根据题意,列出的方程是______________________.【解析】【分析】若设小明x 岁则小红的年龄(x+2)岁根据小明和小红的年龄和为18岁可列一元一次方程求解【详解】(1)根据题意设小明岁则小红的年龄为(2)设小明x 岁则可列方程:【点睛】本题考查一元一次解析:(2)x +, (2)18x x ++=【解析】【分析】若设小明x 岁,则小红的年龄 (x+2)岁,根据小明和小红的年龄和为18岁,可列一元一次方程求解.【详解】(1)根据题意,设小明x 岁,则小红的年龄为(2)x +(2)设小明x 岁,则可列方程:(2)18x x ++=【点睛】本题考查一元一次方程的应用,根据题意列出正确的一元一次方程是解题关键. 10.在公式5(32)9c f =-中,已知20c =,则f =_____________.68【解析】【分析】把C=20代入C 与f 之间的关系式解方程就可以求出f 的值【详解】由题意得当C=20时20=180=5f−160−5f=−340f=68故答案为:68【点睛】本题考查解一元一次方程熟解析:68【解析】【分析】把C=20代入C 与f 之间的关系式5(32)9c f =-,解方程就可以求出f 的值. 【详解】由题意,得当C=20时, 20=5(32)9f -, 180=5f−160,−5f=−340,f=68.故答案为:68.【点睛】本题考查解一元一次方程,熟练掌握运算法则是解题关键.11.(1)如果33x y -=,那么x =_________;(2)如果2m n =,那么3m =___________.-y 【解析】【分析】(1)根据等式性质2把等式两边都除以−3即可得到x =−y ;(2)根据等式性质2把等式两边都除以3即可得到【详解】(1)∵−3x =3y ∴x =−y ;故答案为:−y ;(2)∵∴;故答案解析:-y23n 【解析】【分析】(1)根据等式性质2把等式两边都除以−3即可得到x =−y ;(2)根据等式性质2把等式两边都除以3即可得到3m =23n . 【详解】(1)∵−3x =3y ,∴x =−y ;故答案为:−y ;(2)∵2m n =, ∴3m =23n ; 故答案为:23n 【点睛】 本题考查了等式的性质:等式两边加同一个数(或式子)结果仍得等式;等式两边乘同一个数或除以一个不为零的数,结果仍得等式.12.一个长方形周长是44cm ,长比宽的3倍少10cm ,则这个长方形的面积是______.112cm2【分析】根据长方形的特征对边平行且相等长方形的周长=(长+宽)×2已知长是宽的3倍少10cm 也就是长=3宽-10再根据长方形的面积公式s=ab 列式解答【详解】解:设长方形的宽为xcm 则长解析:112cm 2.【分析】根据长方形的特征,对边平行且相等,长方形的周长=(长+宽)×2,已知长是宽的3倍少10cm ,,也就是长=3宽-10,再根据长方形的面积公式s=ab ,列式解答.【详解】解:设长方形的宽为xcm,则长为(3x-10)cm,依题意得:2x+2(3x-10)=44解得:x=8∴长方形的长=38⨯-10=14cm.∴这个长方形的面积=14⨯8=112cm2.故答案为112 cm2.【点睛】此题主要考查长方形的周长公式、面积公式的综合运用.13.开学初,小明到某商场购物,发现商场正在进行购物返券活动,活动规则如下:购物每满100元,返购物券50元,此购物券在本商场通用,且用购物券购买商品不再返券,也不得找零. 小明只购物买了单价别为60元,80元和120元的物品各一件,使用购物券后,他的实际花费为_________元.200元或210元【分析】根据购物顺序不同分类讨论即可【详解】①若先买单价为120元的物品赠送一张50元购物券再去买单价为60元和80元的物品实际花费为:120+60+80-50=210元;②若先买解析:200元或210元【分析】根据购物顺序不同分类讨论即可.【详解】①若先买单价为120元的物品,赠送一张50元购物券,再去买单价为60元和80元的物品,实际花费为:120+60+80-50=210元;②若先买60元和80元的物品,赠送一张50元购物券,再去买120元的物品,实际花费为:60+80+120-50=210元;③若先买60元和120元的物品,赠送一张50元购物券,再去买80元的物品,实际花费为:60+120+80-50=210元;④若先买80元和120元的物品,赠送两张50元购物券,再去买60元的物品,此时购物券可抵扣60元,实际花费为:120+80=200元;故答案为200元或210元.【点睛】此题考查的是分类讨论的数学思想.14.我国古代的数学名著《九章算术》中有下列问题:“今有女子善织,日自倍,五日织五尺.问日织几何?”其意思为:今有一女子很会织布,每日加倍增长,5日共织布5尺.问每日各织多少布?根据此问题中的已知条件,可求得该女子第一天织布__________尺.【解析】【分析】设第一天织布x尺则第二天织布2x尺第三天织布4x尺第四天织布8x尺第五天织布16x尺根据5日共织布5尺列方程求解即可【详解】设第一天织布x尺则第二天织布2x尺第三天织布4x尺第四天织解析:5 31【解析】【分析】设第一天织布x 尺,则第二天织布2x 尺,第三天织布4x 尺,第四天织布8x 尺,第五天织布16x 尺,根据5日共织布5尺列方程求解即可.【详解】设第一天织布x 尺,则第二天织布2x 尺,第三天织布4x 尺,第四天织布8x 尺,第五天织布16x 尺,根据题意可得:x+2x+4x+8x+16x =5, 解得:5x 31=, 即该女子第一天织布531尺, 故答案为531. 【点睛】 本题考查了一元一次方程的应用,弄清题意,找准等量关系列出方程是解题的关键. 15.日历中同一竖列相邻三个数的和是63,则这三个数分别是______________.142128【分析】根据日历同一竖列相邻三个数依次相差7的关系设中间的数为x 则上面的为x-7下面的是x+7然后根据题意列出方程求解进一步计算即可【详解】设中间的数为x 则上面的为x-7下面的是x+7则解析:14,21,28【分析】根据日历同一竖列相邻三个数依次相差7的关系设中间的数为x ,则上面的为x-7,下面的是x+7,然后根据题意列出方程求解进一步计算即可.【详解】设中间的数为x ,则上面的为x-7,下面的是x+7,则:77x x x -+++=63,解得:21x =,∴其余两个数为:14,28.所以答案为14,21,28.【点睛】本题主要考查了一元一次方程的实际运用,掌握日历中竖列相邻数的排列关系是解题关键. 16.我们规定:若关于x 的一元一次方程ax =b 的解为b +a ,则称该方程为“和解方程“. 例如:方程2x =﹣4的解为x =﹣2,而﹣2=﹣4+2,则方程2x =﹣4为“和解方程”.请根据上述规定解答下列问题:(1)已知关于x 的一元一次方程3x =a 是“和解方程”,则a 的值为_____;(2)已知关于x 的一元一次方程﹣2x =ab +b 是“和解方程“,并且它的解是x =b ,则a +b 的值为_____.【详解】解:(1)解方程3x =a 得x =∵关于x 的一元一次方程3x =a 是和解方程∴=3+a 解得a =﹣;(2)∵方程﹣2x =ab+b 的解是x =b ∴﹣2b=ab+b∵方程﹣2x=ab+b是和解方程∴b=a解析:92-113-【详解】解:(1)解方程3x=a得x=,∵关于x的一元一次方程3x=a是“和解方程”,∴=3+a,解得a=﹣;(2)∵方程﹣2x=ab+b的解是x=b,∴﹣2b=ab+b,∵方程﹣2x=ab+b是“和解方程“,∴b=ab+b﹣2,即b=﹣2b﹣2,解得b=﹣,∴a=﹣3,∴a+b=﹣3﹣=﹣.故答案为﹣,﹣.17.某校组织七年级学生参加研学活动,如果单独租用45座车若干辆,则刚好坐满;如果单独租用60座客车,则可少租2辆,并且剩余15座.该校参加研学活动的有_______人.405【分析】设租用45座车x辆则租用60座客车为(x-2)辆根据等量关系列出方程即可求解【详解】设租用45座车x辆则租用60座客车为(x-2)辆根据题意得:45x=60(x-2)-15解得:x=9解析:405【分析】设租用45座车x辆,则租用60座客车为(x-2)辆,根据等量关系,列出方程,即可求解.【详解】设租用45座车x辆,则租用60座客车为(x-2)辆,根据题意得:45x=60(x-2)-15,解得:x=9,45×9=405(人),答:该校参加研学活动的有405人.故答案是:405.【点睛】本题主要考查一元一次方程的实际应用,找出等量关系,列出方程,是解题的关键.18.某商品每件标价为150元,若按标价打8折后,仍可获利20%,则该商品每件的进价为______元.100【分析】根据利润率(售价进价)进价先利用售价标价折数10求出售价进而代入利润率公式列出关于进价的方程即得【详解】商品每件标价为150元按标价打8折后售价为:(元/件)设该商品每件的进价为元由题解析:100【分析】根据利润率=(售价-进价) ÷进价100%⨯,先利用售价=标价⨯折数÷10求出售价,进而代入利润率公式列出关于进价的方程即得.【详解】商品每件标价为150元∴按标价打8折后售价为:1500.8120⨯=(元/件)∴设该商品每件的进价为x 元由题意得:()120100%20%-⨯=x x解得:100x =答:该商品每件的进价为100元.故答案为:100【点睛】本题考查一元一次方程应用中的销售问题,通常利润率计算公式为销售问题等量关系是解题关键点.19.对任意四个有理数a ,b ,c ,d ,定义:a bad bc c d =-,已知24181-=x x ,则x =_____.3【分析】首先看清这种运算规则将转化为一元一次方程2x -(﹣4x)=18然后通过去括号移项合并同类项系数化为1解方程即可【详解】由题意得2x -(﹣4x)=186x =18解得:x =3故答案为:3【点睛解析:3【分析】 首先看清这种运算规则,将24181-=x x 转化为一元一次方程2x -(﹣4x) =18,然后通过去括号、移项、合并同类项、系数化为1,解方程即可.【详解】由题意得,2x -(﹣4x) =186x =18解得:x =3故答案为:3【点睛】本题主要考查解一元一次方程,关键是掌握解一元一次方程的一般步骤:去分母、去括号、移项、合并同类项、系数化为1.20.5个人用5天完成了某项工程的14,如果再增加工作效率相同的10个人,那么完成这项工作前后共用_____天.10【分析】由已知5个人用5天完成了某项工程的那么1个人用的天数为5×5再增加工作效率相同的10个人完成剩下的设用x 天则1个人用(5+10)x 因为工作效率相同根据题意列方程求解【详解】设增加10人再解析:10【分析】由已知5个人用5天完成了某项工程的14,那么1个人用的天数为5×5,再增加工作效率相同的10个人完成剩下的34,设用x天,则1个人用(5+10)x,因为工作效率相同,根据题意列方程求解.【详解】设增加10人再完成剩余的34为x天,根据题意列方程得:(5+10)x=3×5×5,解得:x=5,5+5=10(天).故答案为:10.【点睛】本题考查的是一元一次方程的应用,解答此题的关键是根据已知找出等量关系,其等量关系是后面的工作量是前面的工作量的3倍.21.某区民用电的计费方式为:白天时段的单价为m元/度,晚间时段的单价为n元/度.某户8月份白天时段用电量比晚间时段多50%,9月份白天时段用电量比8月份白天时段用电量少60%,结果9月份的总用电量虽比8月份的总用电量多20%,但9月份的总电费却比8月份的总电费少10%,则mn______.2【分析】设8月份晚间用电量为a度则:8月份白天用电量为(1+50)a=15a度8月份电费为:15ma+na=(15m+n)a元9月份白天用电量为:15a(1-60)=06a度9月份晚间用电量为:(解析:2【分析】设8月份晚间用电量为a度,则:8月份白天用电量为(1+50%)a=1.5a度,8月份电费为:1.5ma+na=(1.5m+n)a元,9月份白天用电量为:1.5a(1-60%)=0.6a度,9月份晚间用电量为:(a+1.5a)(1+20%)-0.6a=2.4a度,9月份电费为:0.6ma+2.4na=(0.6m+2.4n)a元,然后根据题意即可列出方程,求出m与n的比值即可.【详解】解:白天的单价为每度m元,晚间的单价为每度n元,设8月份晚间用电量为a度,则:8月份白天用电量为:(1+50%)a=1.5a度,8月份电费为:1.5ma+na=(1.5m+n)a元,9月份白天用电量为:1.5a(1-60%)=0.6a度,9月份晚间用电量为:(a+1.5a)(1+20%)-0.6a=2.4a度,9月份电费为:0.6ma+2.4na=(0.6m+2.4n)a元,根据题意得:(0.6m+2.4n )a =(1.5m+n )(1-10%)a .整理得:0.75m=1.5n , ∴1.520.75m n ==. 故答案为:2.【点睛】 此题主要考查了一元一次方程的应用,分别表示出8,9月份的用电量是解决问题的关键. 22.自来水公司为鼓励节约用水,对水费按以下方式收取:用水不超过10吨,每吨按2元收费;用水超过10吨,超过10吨的部分按每吨3元收费.王老师家三月份水费为50元,则王老师家三月份用水________吨.20【分析】设王老师家三月份用水x 吨根据水费=10×2+超出10吨的部分×3及水费=50即可得出关于x 的一元一次方程解之即可得出结论【详解】解:设王老师家三月份用水x 吨依题意:解得故答案为20【点睛解析:20【分析】设王老师家三月份用水x 吨,根据水费=10×2+超出10吨的部分×3及水费=50,即可得出关于x 的一元一次方程,解之即可得出结论.【详解】解:设王老师家三月份用水x 吨.依题意:102(10)350x ⨯+-⨯=,解得20x ,故答案为20.【点睛】本题考查了一元一次方程的应用,找准等量关系,正确列出一元一次方程是解题的关键. 23.桐桐的爸爸三年前在银行办理了一份3000元的定期存款,今年到期时的本息和为3243元,请你帮桐桐的爸爸算一算这种储蓄的年利率,若设年利率为x%,则可列方程为________________.(前一年的利息不计入下一年本金)【分析】本利和=本金+利息=本金+本金×年利率×年数把相关数值代入即可【详解】本题相等关系为本金+利息=本息和其中利息=本金×年数×年利率故可列方程为故答案为:【点睛】本题考查了列一元一次方程得到本解析:300030003%3243x +⨯⨯=【分析】本利和=本金+利息=本金+本金×年利率×年数,把相关数值代入即可.【详解】本题相等关系为“本金+利息=本息和”,其中利息=本金×年数×年利率,故可列方程为300030003%3243x +⨯⨯=.故答案为:300030003%3243x +⨯⨯=.【点睛】本题考查了列一元一次方程,得到本利和的等量关系是解决本题的关键.注意本题的利息应算三年的利息.24.已知方程2224m x m +-+=是关于x 的一元一次方程,则方程的解是________.【分析】先求出m 的值再代入求出x 的值即可【详解】因为原方程是关于x 的一元一次方程所以移项得合并同类项得把代入原方程得移项得合并同类项得系数化为1得故答案为:【点睛】本题考查了解一元一次方程的问题掌握解析:3x =-【分析】先求出m 的值,再代入求出x 的值即可.【详解】因为原方程是关于x 的一元一次方程,所以21+=m ,移项,得12m =-.合并同类项,得1m =-.把1m =-代入原方程,得224x --=.移项,得242x -=+.合并同类项,得26x -=.系数化为1,得3x =-.故答案为:3x =-.【点睛】本题考查了解一元一次方程的问题,掌握解一元一次方程的方法是解题的关键. 25.请阅读下面的诗句:“栖树一群鸦,鸦树不知数,四只栖一树,五只没处去,五只栖一树,闲了一棵树,请你仔细数,鸦树各几何?”诗中谈到的鸦为_____只,树为_____棵.10【分析】本题涉及两种分配方法关键是不管怎么分配鸦的总数是不变的可设树有x 棵即可列方程:4x+5=5(x ﹣1)求解【详解】解:设树有x 棵依题意列方程:4x+5=5(x ﹣1)解得:x =10所以树有1解析:10【分析】本题涉及两种分配方法,关键是不管怎么分配鸦的总数是不变的,可设树有x 棵,即可列方程:4x+5=5(x ﹣1)求解.【详解】解:设树有x 棵依题意列方程:4x+5=5(x ﹣1)解得:x =10所以树有10棵,鸦的个数为:10×4+5=45故答案为45,10【点睛】本题是典型的分配问题.不管怎么分配鸦的个数是不变的是解题关键.26.美术馆举办的一次画展中,展出的油画作品和国画作品共有100幅,其中油画作品数量是国画作品数量的2倍多7幅,则展出的油画作品有______________幅.69【详解】设国画为x 幅则油画为(2x+7)幅根据题意可得:x+2x+7=100解得:x=31则2x+7=69即油画作品的数量为69幅考点:一元一次方程的应用解析:69【详解】设国画为x 幅,则油画为(2x+7)幅,根据题意可得:x+2x+7=100,解得:x=31,则2x+7=69,即油画作品的数量为69幅.考点:一元一次方程的应用.27.如果3m -与21m +互为相反数,则m =________.-4【分析】根据互为相反数的两个数的和为0列出方程解方程即可【详解】∵3-m 与2m+1互为相反数∴3-m=-(2m+1)去括号得:3-m=-2m-1移项并合并同类项得:m=-4故答案是:-4【点睛】解析:-4【分析】根据互为相反数的两个数的和为0列出方程,解方程即可.【详解】∵3-m 与2m+1互为相反数,∴3-m=-(2m+1)去括号,得:3-m=-2m-1移项并合并同类项,得:m=-4.故答案是:-4.【点睛】考查了用一元一次方程解决相反数的问题;用到的知识点为:a 的相反数为-a,则它们的和为0.28.为了创建宜居城市,某单位积极响应植树活动,由一人植树要80小时完成.现由一部分人植树5小时,由于单位有紧急事情,再增加2人,4小时后完成植树任务.若这些人的工作效率相同,则先植树的有________人.8【分析】理解题意根据工作总量等于各分量之和设先植树的有x 人可得【详解】设先植树的有x 人可得解得x =8故答案为:8【点睛】考核知识点:一元一次方程应用根据工作量关系列出方程是关键解析:8【分析】理解题意,根据工作总量等于各分量之和,设先植树的有x 人,可得()42518080x x ++=. 【详解】设先植树的有x 人,可得()42518080x x ++=, 解得x =8.故答案为:8【点睛】考核知识点:一元一次方程应用.根据工作量关系列出方程是关键.29.若关于x 的方程2mx+3m=-1与3x+6x=-3的解相同,则m 的值为_____.【分析】分别解出两方程的解两解相等就得到关于m 的方程从而可以求出m 的值【详解】解:由3x+6x=-3可得:x=-由2mx+3m=-1可得:x=所以可得:解得:故答案为:【点睛】本题考查了同解方程本题 解析:37- 【分析】分别解出两方程的解,两解相等,就得到关于m 的方程,从而可以求出m 的值.【详解】解:由3x+6x=-3可得:x=-13, 由2mx+3m=-1可得:x=132m m--, 所以可得:13123m m --=-, 解得:37m =-, 故答案为:37-. 【点睛】本题考查了同解方程,本题解决的关键是能够求解关于x 的方程,要正确理解方程解的含义.30.一般情况下2323m n m n ++=+不成立,但也有数可以使得它成立,例如:m =n =0.使得2323m n m n ++=+成立的一对数m 、n 我们称为“相伴数对”,记为(m ,n ).若(x ,1)是“相伴数对”,则x 的值为_____.﹣【分析】利用新定义相伴数对列出方程解方程即可求出x 的值【详解】解:根据题意得:去分母得:15x+10=6x+6移项合并得:9x =﹣4解得:x =﹣故答案为:﹣【点睛】本题考查解一元一次方程正确理解相解析:﹣49.【分析】利用新定义“相伴数对”列出方程,解方程即可求出x的值.【详解】解:根据题意得:11 235x x,去分母得:15x+10=6x+6,移项合并得:9x=﹣4,解得:x=﹣49.故答案为:﹣49.【点睛】本题考查解一元一次方程,正确理解“相伴数对”的定义是解本题的关键.。
一、解答题1.一项工程,由甲队独做需12个月完工,由乙队独做需15个月完工.现决定由两队合作,且为了加快进度,甲、乙两队都将提高工作效率.若甲队的工作效率提高40%,乙队的工作效率提高25%,,则两队合作,几个月可以完工?解析:5【分析】设两队合作x 个月完成,甲队原来的工作效率为112,将工作效率提高40%以后为112(1+40%),乙队原来的工作效率为115,将工作效率提高25%以后为115(1+25%),根据工作效率×工作时间=工作总量1,列出方程,解方程即可【详解】 解:设两队合作x 个月完成,由题意,得[112(1+40%)+115(1+25%)]x =1, 解得x =5.答:两队合作,5个月可以完工.【点睛】本题考查了一元一次方程的应用,解题关键是要读懂题目的意思,根据题目给出的条件,找出合适的等量关系列出方程.2.已知方程3210x a +-=的解与方程20x a -=的解互为相反数,求a 的值. 解析:14a =- 【分析】先分别求出两个方程的解,再根据解互为相反数列方程计算即可.【详解】3210x a +-=,解得123a x -=; 20x a -=,解得2x a =. 由题意得,12203a a -+=, 解得14a =-. 【点睛】本题考查一元一次方程的解法,解题的关键是根据两个方程的解互为相反数列方程求解. 3.某家具厂生产一种课桌和椅子,课桌每张定价200元,椅子每把定价80元,厂方在开展促销活动期间,向客户提供两种优惠方案:方案一:每买一张课桌就赠送一把椅子;方案二:课桌和椅子都按定价的80%付款.某校计划添置100张课桌和x把椅子.(1)若x=100,请计算哪种方案划算;(2)若x>100,请用含x的代数式分别把两种方案的费用表示出来;(3)若x=300,如果两种方案可以同时使用,请帮助学校设计一种最省钱的方案.解析:(1)方案一省钱;(2)见解析;(3)见解析.【分析】(1)分别按两种方案结合已知数据计算、比较即可得到结论;(2)分别根据两种方案列出对应的表达式并化简即可;(3)按以下三种方式分别计算出各自所需费用并进行比较即可:①全按方案一购买;②全按方案二购买;③先按方案一购买100张课桌,同时送100把椅子,再按方案二购买200把椅子.【详解】(1)当x=100时,按方案一购买所需费用为:100×200=20000(元);按方案二购买所需费用为:100×(200+80)×80%=22400(元),∵20000<22400,∴方案一省钱;(2)当x>100时,按方案一购买所需费用为:100×200+80(x﹣100)=80x+12000(元);按方案二购买所需费用为:(100×200+80x)×80%=64x+16000(元),答:方案一、方案二的费用为:(80x+12000)元、(64x+16000)元;(3)当x=300时,①全按方案一购买:100×200+80×200=36000(元);②全按方案二购买:(100×200+80×300)×80%=35200(元);③先按方案一购买100张课桌,同时送100把椅子;再按方案二购买200把椅子,100×200+80×200×80%=32800(元),∵36000>35200>32800,∴先按方案一购买100张桌子,同时送100把椅子;再按方案二购买200把椅子最省.【点睛】(1)读题题意,弄清各数据间的关系是解答第1、2小题的关键;(2)解第3小题时,需分以下三种情况分别计算所需费用:①全按方案一购买;②全按方案二购买;③先按方案一购买100张课桌,同时送100把椅子,再按方案二购买200把椅子;解题时不要忽略了其中任何一种.4.解下列方程:(1)517 84a-=;(2)22146y y+--=1;(3)2131683x x x -+-= -1 解析:(1)3a =;(2)4y =-;(3)179x =. 【分析】 (1)先方程两边同乘以8去分母,再按照移项、合并同类项、系数化为1的步骤解方程即可得;(2)先方程两边同乘以12去分母,再按照去括号、移项、合并同类项、系数化为1的步骤解方程即可得;(3)先方程两边同乘以24去分母,再按照去括号、移项、合并同类项、系数化为1的步骤解方程即可得.【详解】(1)方程两边同乘以8去分母,得5114a -=,移项,得5141a =+,合并同类项,得515a =,系数化为1,得3a =;(2)方程两边同乘以12去分母,得3(2)2(21)12y y +--=,去括号,得364212y y +-+=,移项,得341262y y -=--,合并同类项,得4y -=,系数化为1,得4y =-;(3)方程两边同乘以24去分母,得4(21)3(31)824x x x --+=-,去括号,得8493824x x x ---=-,移项,得8982443x x x --=-++,合并同类项,得917x -=-,系数化为1,得179x =. 【点睛】本题考查了解一元一次方程,熟练掌握解方程的步骤是解题关键.5.解下列方程:(1)2(x -1)=6;(2)4-x =3(2-x);(3)5(x +1)=3(3x +1)解析:(1)x =4;(2)x =1;(3)x =12【分析】(1)方程去括号,移项合并,将未知数系数化为1,即可求出解;(2)方程去括号,移项合并,将未知数系数化为1,即可求出解;(3)方程去括号,移项合并,将未知数系数化为1,即可求出解;【详解】(1)去括号,得2x-2=6.移项,得2x=8.系数化为1,得x=4.(2)去括号,得4-x=6-3x.移项,得-x+3x=6-4.合并同类项,得2x=2.系数化为1,得x=1.(3)去括号,得5x+5=9x+3.移项,得5x-9x=3-5.合并同类项,得-4x=-2.系数化为1,得x=1 2 .【点睛】此题考查了解一元一次方程,其步骤为:去括号,移项合并,将未知数系数化为1,求出解.6.解下列方程(1)-9x-4x+8x=-3-7;(2)3x+10x=25+0.5x.解析:(1)x=2;(2)x=2【分析】(1)方程移项合并,把x系数化为1,即可求出解;(2)方程移项合并,把x系数化为1,即可求出解.【详解】解:(1)合并同类项,得,-5x=-10系数化为1,得,x=2(2)移项,得3x+10x-0.5x=25合并同类项,得12.5x=25系数化为1,得,x=2【点睛】此题考查了解一元一次方程,熟练掌握运算法则是解本题的关键.7.《孙子算经》是中国传统数学的重要著作之一,其中记载的“荡杯问题”很有趣.《孙子算经》记载“今有妇人河上荡杯.津吏问曰:‘杯何以多?’妇人曰:‘家有客.’津吏曰:‘客几何?’妇人曰:‘二人共饭,三人共羹,四人共肉,凡用杯六十五.’不知客几何?”译文:“2人同吃一碗饭,3人同吃一碗羹,4人同吃一碗肉,共用65个碗,问有多少客人?”解析:x=60【分析】设有x个客人,根据题意列出方程,解出方程即可得到答案.【详解】解:设有x 个客人,则65234x x x ++= 解得:x =60;∴有60个客人.【点睛】 本题考查了由实际问题抽象出一元一次方程,找准等量关系,正确列出一元一次方程是解题的关键.8.市百货商场元月一日搞促销活动,购物不超过200元不给优惠;超过200元,而不足500元按总价优惠10%;超过500元的其中500元按9折优惠,超过部分按8折优惠.某人两次购物分别用了134元和466元.问:(1)此人两次购物其物品如果不打折,两次购物价值_____元和_____元.(2)在此活动中,通过打折他节省了多少钱?(3)若此人将两次购物的钱合起来购相同的商品与两次分别购买是更节省还是亏损?说明你的理由.解析:(1)134元,520元;(2)54元;(3)见解析【分析】(1)先判断两次是否优惠,若优惠,在哪一档优惠;(2)用商品标价减去实际付款可求节省的钱数;(3)先计算两次物品合起来一次购买实际付款,在与134+466比较即可.【详解】解:(1)∵200×90%=180元>134元,∴134元的商品未优惠;∵500×0.9=450元<466元,∴466元的商品的标价超过了500元.设其标价x 元,则500×0.9+(x-500)×0.8=466,解得x=520,所以物品不打折时的分别值134元,520元;故答案为:134元,520元;(2)134+520-134-466=54,所以省了54元;(3)两次物品合起来一次购买更节省.两次合起来一次购买支付500×0.9+(654-500)×0.8=573.2元,573.2<134+466=600,所以两次物品合起来一次购买更节省.【点睛】此题主要考查了一元一次方程的应用中实际生活中的折扣问题,关键是运用分类讨论的思想,分析清楚付款打折的两种情况.9.小丽用的练习本可以从甲乙两家商店购买,已知两家商店的标价都是每本 2 元,甲商店的优惠条件是:购买十本以上,从第 11 本开始按标价的 70%出售;乙商店的优惠条件是:从第一本起按标价的80%出售。
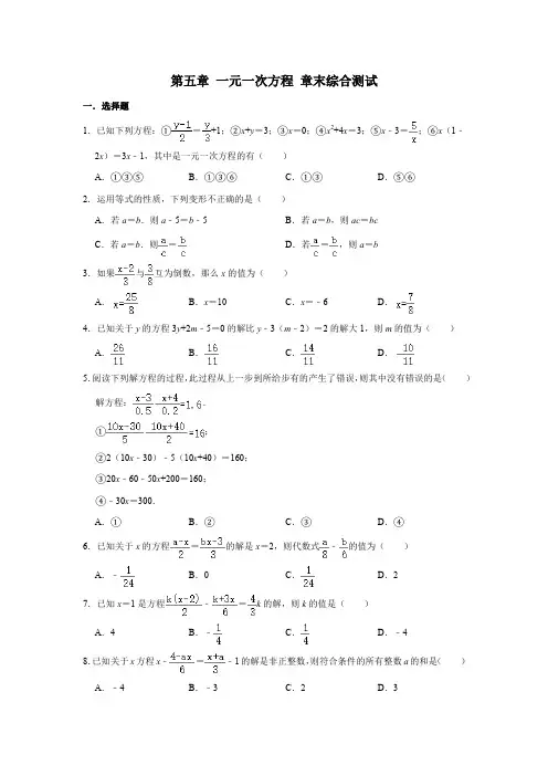
第五章一元一次方程章末综合测试一.选择题1.已知下列方程:①=+1;②x+y=3;③x=0;④x2+4x=3;⑤x﹣3=;⑥x(1﹣2x)=3x﹣1,其中是一元一次方程的有()A.①③⑤B.①③⑥C.①③D.⑤⑥2.运用等式的性质,下列变形不正确的是()A.若a=b.则a﹣5=b﹣5B.若a=b,则ac=bcC.若a=b.则=D.若=,则a=b3.如果与互为倒数,那么x的值为()A.B.x=10C.x=﹣6D.4.已知关于y的方程3y+2m﹣5=0的解比y﹣3(m﹣2)=2的解大1,则m的值为()A.B.C.D.5.阅读下列解方程的过程,此过程从上一步到所给步有的产生了错误,则其中没有错误的是()解方程:.①;②2(10x﹣30)﹣5(10x+40)=160;③20x﹣60﹣50x+200=160;④﹣30x=300.A.①B.②C.③D.④6.已知关于x的方程=的解是x=2,则代数式﹣的值为()A.﹣B.0C.D.27.已知x=1是方程﹣=k的解,则k的值是()A.4B.﹣C.D.﹣48.已知关于x方程x﹣=﹣1的解是非正整数,则符合条件的所有整数a的和是()A.﹣4B.﹣3C.2D.39.七年级某班举行了一次集邮展览,展出的邮票数若平均每人3张多24张,若平均每人4张少26张,则这个班共有()名学生.A.50B.45C.40D.3610.某市出租车收费标准是:起步价8元(即行驶距离不超过3km,付8元车费),超过3km,每增加1km收1.6元(不足1km按1km计),小梅从家到图书馆的路程为xkm,出租车车费为24元,那么x的值可能是()A.10B.13C.16D.18二.填空题11.如果关于x的方程(a+2)x|a|﹣1=﹣2是一元一次方程,那么其解为.12.方程3+=2x,处被墨水盖住了,已知该方程的解是x=0,那么处的数字是.13.若关于x的一元一次方程|a|x+2=0的解是x=﹣2,则a=.14.解方程=2﹣,有下列步骤:①3(3x+1)=12﹣(2x﹣1),②9x+3=12﹣2x+1,③9x﹣2x=12+1+3,④7x=16,⑤x=,其中首先发生错误的一步是.15.代数式3x+2比4﹣x大4,则x=.16.代数式与代数式k+3的值相等时,k的值为.17.已知方程与关于x的方程3n﹣1=3(x+n)﹣2n的解互为相反数,则n的值为.18.若代数式(a、b为常数)的值与字母x、y的取值无关,则方程3ax+b=0的解为.19.规定“△”是一种新的运算法则,满足:a△b=ab﹣3b示例:4△(﹣3)=4×(﹣3)﹣3×(﹣3)=﹣12+9=3.若﹣3△(x+1)=1,则x=.20.一辆客车和一辆卡车同时从A地出发沿同一条公路同方向行驶,客车的行驶速度是70km/h,卡车的行驶速度是60km/h,客车比卡车早1h经过B地.A,B两地间的路程是多少?若设A,B两地相距xkm,可列方程.三.解答题21.阅读理解题:下面是小明将等式x﹣4=3x﹣4进行变形的过程:x﹣4+4=3x﹣4+4,①x=3x,②1=3.③(1)小明①的依据是.(2)小明出错的步骤是,错误的原因是.(3)给出正确的解法.22.解下列方程:(1)﹣2=x+1;(2)5(x﹣5)﹣2(x﹣12)=2;(3)﹣=1;(4)(3x+7)=2﹣x.23.已知关于x的方程3x﹣6(x﹣)=4x和﹣=1有相同的解,求这个解.24.【定义】若关于x的一元一次方程ax=b的解满足x=b+a,则称该方程为“友好方程”,例如:方程2x=﹣4的解为x=﹣2,而﹣2=﹣4+2,则方程2x=﹣4为“友好方程”.【运用】(1)①﹣2x=,②x=﹣1两个方程中为“友好方程”的是(填写序号);(2)若关于x的一元一次方程3x=b是“友好方程”,求b的值;(3)若关于x的一元一次方程﹣2x=mn+n(n≠0)是“友好方程”,且它的解为x=n,则m =,n=.25.如果工程队修一条路,第一天修了70米,正好占全长的,第二天修了余下的,第三天修完,求第三天修了多少米?26.如图,A、B分别为数轴上的两点,A点对应的数为﹣20,B点对应的数为100.(1)请写出与A、B两点距离相等的点M所对应的数;(2)现有一只电子蚂蚁P从B点出发,以5个单位/秒的速度向左运动,同时另一只电子蚂蚁Q恰好从A点出发,以3个单位/秒的速度向右运动,设两只电子蚂蚁在数轴上的C点相遇,你知道C点对应的数是多少吗?(3)若当电子蚂蚁P从B点出发时,以5个单位/秒的速度向左运动,同时另一只电子蚂蚁Q恰好从A点出发,以3个单位/秒的速度也向左运动,请问:当它们运动多少时间时,两只蚂蚁间的距离为40个单位长度?参考答案一.选择题1.解:①=+1属于一元一次方程;②x+y=3属于二元一次方程;③x=0属于一元一次方程;④x2+4x=3属于一元二次方程;⑤x﹣3=属于分式方程;⑥x(1﹣2x)=3x﹣1属于一元二次方程;故选:C.2.解:A、两边都﹣5,等式仍成立,故本选项不符合题意;B、两边都乘以c,等式仍成立,故本选项不符合题意;C、两边都除以c,且c≠0,等式才成立,故本选项符合题意.D、两边都乘以c,等式仍成立,故本选项不符合题意.故选:C.3.解:∵与互为倒数,∴×=1,则x﹣2=8,解得:x=10.故选:B.4.解:解关于y的方程3y+2m﹣5=0得到:y=.解关于y的方程y﹣3(m﹣2)=2得到:y=3m﹣4.根据题意,得﹣1=3m﹣4.解得m=.故选:C.5.解:A、过程①中1.6变成16,错误,本选项不符合题意;B、过程②去分母正确,本选项符合题意;C、过程③去括号时应该为﹣200,错误,本选项不符合题意;D、过程④移项及合并同类项时应该化简为﹣30x=20错误,本选项不符合题意;故选:B.6.解:把x=2代入方程=得=,∴3a﹣6=4b﹣6,∴3a﹣4b=0,∴﹣====0.故选:B.7.解:把x=1代入方程得:﹣k﹣=k,去分母得:﹣4k﹣3=8k,解得:k=﹣.故选:B.8.解:x﹣=﹣1,6x﹣(4﹣ax)=2(x+a)﹣66x﹣4+ax=2x+2a﹣66x+ax﹣2x=2a﹣6+4(a+4)x=2a﹣2x=,∵方程的解是非正整数,∴≤0,解得:﹣4<a≤1,当a=﹣3时,x=﹣8;当a=﹣2时,x=﹣3;当a=﹣1时,x=﹣(舍去);当a=0时,x=﹣(舍去);当a=1时,x=0;则符合条件的所有整数a的和是﹣3﹣2+1=﹣4.故选:A.9.解:设这个班共有x名学生,依题意得:3x+24=4x﹣26,解得:x=50.故选:A.10.解:由题意得,8+(x﹣3)×1.6=24,1.6x﹣4.8+8=24,1.6x=24+4.8﹣8,1.6x=20.8,解得x=13,故选:B.二.填空题11.解:∵关于x的方程(a+2)x|a|﹣1=﹣2是一元一次方程,∴,解得a=2.∴方程为4x=﹣2,解得x=,故答案为:.12.解:把x=0代入方程,得3+▲=0,解得:▲=﹣3.故答案为:﹣3.13.解:根据题意,得﹣2|a|+2=0,且a≠0,解得:a=±1.故答案为:±1.14.解:去分母得:3(3x+1)=12﹣(2x﹣1),去括号得:9x+3=12﹣2x+1,移项得:9x+2x=12+1﹣3,合并得:11x=10,解得:x=,∴首先发生错误的一步是③.故答案为:③.15.解:根据题意得:(3x+2)﹣(4﹣x)=4,去括号得:3x+2﹣4+x=4,移项得:3x+x=4﹣2+4,合并得:4x=6,解得:x=1.5.故答案为:1.5.16.解:根据题意得:=k+3,去分母得:4(2k﹣1)=3k+36,去括号得:8k﹣4=3k+36,移项合并同类项得:5k=40,解得:k=8.故答案为:8.17.解:第一个方程去分母得:3(2x﹣3)=10x﹣45,去括号得:6x﹣9=10x﹣45,移项合并得:﹣4x=﹣36,解得:x=9,把x=﹣9代入第二个方程得:3n﹣1=3(n﹣9)﹣2n,去括号得:3n﹣1=3n﹣27﹣2n,移项合并得:2n=﹣26,解得:n=﹣13.故答案为:﹣1318.解:原式=(1﹣)x2﹣5y+4﹣ax2﹣by﹣8=(﹣a)x2﹣(b+5)y﹣4,由结果与字母x、y的取值无关,得到﹣a=0,b+5=0,解得:a=,b=﹣5,代入方程得:5x﹣5=0,解得:x=1,故答案为:x=119.解:根据题中的新定义得:﹣3(x+1)﹣3(x+1)=1,去括号得:﹣3x﹣3﹣3x﹣3=1,移项合并得:﹣6x=7,解得:x=﹣,故答案为:﹣20.解:设A,B两地相距xkm,根据题意,得﹣=1.故答案是:﹣=1.三.解答题21.解:(1)小明①的依据是等式的两边都加(或减)同一个数(或整式),结果仍得等式;(2)小明出错的步骤是③,错误的原因是等式两边都除以0;(3)x﹣4=3x﹣4,x﹣4+4=3x﹣4+4,x=3x,x﹣3x=0,﹣2x=0,x=0.故答案为:等式的两边都加(或减)同一个数(或整式),结果仍得等式;③;等式两边都除以0.22.解:(1)﹣2=x+1,去分母得:9x﹣24=4x+12,移项得:9x﹣4x=12+24,合并同类项得:5x=36,解得:x=7.2.(2)5(x﹣5)﹣2(x﹣12)=2,去括号得:5x﹣25﹣2x+24=2,移项得:5x﹣2x=2+25﹣24,合并同类项得:3x=3,解得:x=1.(3)﹣=1,去分母得:3(3x+5)﹣4(4x﹣2)=12去括号得:9x+15﹣16x+8=12,移项得:9x﹣16x=12﹣15﹣8,合并同类项得:﹣7x=﹣11,解得:x=.(4)(3x+7)=2﹣x,去分母得:4(3x+7)=28﹣21x,去括号得:12x+28=28﹣21x移项合并得:33x=0,解得:x=0.23.解:∵3x﹣6(x﹣)=4x,∴x=b,∵关于x的方程3x﹣6(x﹣)=4x和﹣=1有相同的解,∴把x=b代入﹣=1得:﹣=1,解得:b=,将b=代入第二个方程,2(3x+b)﹣(1﹣5x)=8,11x=9﹣2b,11x=9﹣2×,解得x=.24.解:(1)①﹣2x=,解得:x=﹣,而﹣=﹣2+,是“友好方程”;②x=﹣1,解得:x=﹣2,﹣2≠﹣1+,不是“友好方程”;故答案是:①;(2)方程3x=b的解为x=.所以=3+b.解得b=﹣;(3)∵关于x的一元一次方程﹣2x=mn+n是“友好方程”,并且它的解是x=n,∴﹣2n=mn+n,且mn+n﹣2=n,解得m=﹣3,n=﹣,故答案为﹣3,﹣.25.解:设第三天修了x米,根据题意,得:70+(70÷××)+x=70÷.解得x=90.答:第三天修了90米.26.解:(1)M点对应的数是(100﹣20)÷2=40,答:点M所对应的数是40;(2)设t秒后相遇,由题意得:5t+3t=120,解得:t=15,所以点C对应的数为﹣20+3×15=25,答:C点对应的数是25;(3)设当它们运动x秒两只蚂蚁间的距离为40个单位长度,相遇前:5x﹣3x=120﹣40,解得:x=40,相遇后:5x﹣3x=120+40,解得:x=80,答:当它们运动40秒或80秒两只蚂蚁间的距离为40个单位长度.。
一、选择题1.由于受H7N9禽流感的影响,某市城区今年2月份鸡的价格比1月份下降a %,3月份比2月份下降b %,已知1月份鸡的价格为24元/kg .则3月份鸡的价格为( ) A .24(1-a %-b %)元/kgB .24(1-a %)b % 元/kgC .(24-a %-b % )元/kgD .24(1-a %)(1-b %)元/kg 2.下面用数学语言叙述代数式1a ﹣b ,其中表达正确的是( ) A .a 与b 差的倒数B .b 与a 的倒数的差C .a 的倒数与b 的差D .1除以a 与b 的差 3.有一组单项式如下:﹣2x ,3x 2,﹣4x 3,5x 4……,则第100个单项式是( ) A .100x 100 B .﹣100x 100 C .101x 100 D .﹣101x 100 4.某文具店三月份销售铅笔100支,四、五两个月销售量连续增长.若月平均增长率为x ,则该文具店五月份销售铅笔的支数是( )A .100(1+x )B .100(1+x )2C .100(1+x 2)D .100(1+2x ) 5.已知5a b +=,4ab =,则代数式()()35834ab a b a ab +++-的值为( ) A .36 B .40 C .44 D .466.如图,a ,b 在数轴上的位置如图所示:,那么||||a b a b -++的结果是( )A .2b -B .2bC .2a -D .2a7.已知有理数1a ≠,我们把11a-称为a 的差倒数,如:2的差倒数是1112=--,1-的差倒数是()11112=--.如果12a =-,2a 是1a 的差倒数,3a 是2a 的差倒数,4a 是3a 的差倒数…依此类推,那么2020a 的值是( )A .2-B .13C .23D .328.小明通常上学时走上坡路,通常的速度为m 千米时,放学回家时,原路返回,通常的速度为n 千米时,则小明上学和放学路上的平均速度为( )千米/时A .2m n +B .mn m n +C .2mn m n +D .m nn m + 9.点O ,A ,B ,C 在数轴上的位置如图所示,其中O 为原点,2BC =,OA OB =,若C 点所表示的数为x ,则A 点所表示的数为( )A .2x -+B .2x --C .2x +D .-2 10.代数式21a b-的正确解释是( )A .a 与b 的倒数的差的平方B .a 与b 的差的平方的倒数C .a 的平方与b 的差的倒数D .a 的平方与b 的倒数的差 11.在3a ,x+1,-2,3b -,0.72xy ,2π,314x -中单项式的个数有( ) A .2个 B .8个 C .4个 D .5个12.下列说法:①在数轴上表示a -的点一定在原点的左边;②有理数a 的倒数是1a ;③一个数的相反数一定小于或等于这个数;④如果a b >,那么22a b >;⑤235x y 的次数是2;⑥有理数可以分为整数、正分数、负分数和0;⑦27m ba -与2abm 是同类项.其中正确的个数为( )A .1个B .2个C .3个D .4个二、填空题13.请观察下列等式的规律:111=11323⎛⎫- ⎪⨯⎝⎭,1111=-35235⎛⎫ ⎪⨯⎝⎭, 1111=-57257⎛⎫ ⎪⨯⎝⎭,1111=-79279⎛⎫ ⎪⨯⎝⎭, …则1111...=133********++++⨯⨯⨯⨯______. 14.观察下列式子:1×3+1=22;7×9+1=82;25×27+1=262;79×81+1=802;…可猜想第2 019个式子为__________. 15.将一列数1,2,3,4,5,6---,…,按如图所示的规律有序排列.根据图中排列规律可知,“峰1”中峰顶位置(C 的位置)是4,那么“峰206”中C 的位置的有理数是______.16.由黑色和白色的正方形按一定规律组成的图形如图所示,从第二个图形开始,每个图形都比前一个图形多3个白色正方形,则第n 个图形中有白色正方形__________个 (用含n 的代数式表示).17.为了鼓励节约用电,某地对用户用电收费标准作如下规定:如果每户用电不超过50度,那么每度电按a 元收费,如果超过50度,那么超过部分按每度()0.5a +元收费,某居民在一个月内用电98度,他这个月应缴纳电费______元.18.多项式234324x x x -+-按x 的降幂排列为______.19.已知22211m mn n ++=,26mn n +=,则22m n +的值为______.20.如图,约定:上方相邻两数之和等于这两数下方箭头共同指向的数.示例:即4+3=7;则上图中m +n+p =_________;三、解答题21.已知230x y ++-=,求152423x y xy --+的值. 22.已知多项式2x 2+4xy ﹣3y 2+x 2+kxy+5y 2,当k 为何值时,它与多项式3x 2+6xy+2y 2是相等的多项式.23.观察下列单项式-2x ,4x 2,-8x 3,16x 4,-32x 5,64x 6,…(1)分别指出单项式的系数和指数是怎样变化的?(2)写出第10个单项式;(3)写出第n 个单项式.24.如图,某市有一块长为(3a+b )米,宽为(2a+b )米的长方形地块,中间是边长为(a+b )米的正方形,规划部门计划将在中间的正方形修建一座雕像,四周的阴影部分进行绿化,(1)绿化的面积是多少平方米?(用含字母a 、b 的式子表示)(2)求出当a =20,b =12时的绿化面积.25.如图,将面积为2a 的小正方形和面积为2b 的大正方形放在同一水平面上(0b a >>)(1)用a 、b 表示阴影部分的面积;(2)计算当3a =,5b =时,阴影部分的面积.26.生活中,有人喜欢把传送的便条折成形状,折叠过程是这样的(阴影部分表示纸条的反面):如果由信纸折成的长方形纸条(图①)长为26cm ,宽为cm x ,分别回答下列问题:(1)为了保证能折成图④的形状(即纸条两端均超出点P ),试求P 的取值范围. (2)如果不但要折成图④的形状,而且为了美观,希望纸条两端超出点P 的长度相等,即最终图形是轴对称图形,试求在开始折叠时起点M 与点P 的距离(用P 表示)【参考答案】***试卷处理标记,请不要删除一、选择题1.D解析:D【分析】首先求出二月份鸡的价格,再根据三月份比二月份下降b%即可求出三月份鸡的价格.【详解】∵今年2月份鸡的价格比1月份下降a%,1月份鸡的价格为24元/kg,∴2月份鸡的价格为24(1-a%)元/kg,∵3月份比2月份下降b%,∴三月份鸡的价格为24(1-a%)(1-b%)元/kg.故选:D.【点睛】本题主要考查了列代数式,解题的关键是掌握每个月份的数量增长关系.2.C解析:C【分析】根据代数式的意义,可得答案.【详解】用数学语言叙述代数式1a﹣b为a的倒数与b的差,故选:C.【点睛】此题考查了代数式,解决问题的关键是结合实际,根据代数式的特点解答.3.C解析:C【分析】由单项式的系数,字母x的指数与序数的关系求出第100个单项式为101x100.【详解】由﹣2x,3x2,﹣4x3,5x4……得,单项式的系数的绝对值为序数加1,系数的正负为(﹣1)n,字母的指数为n,∴第100个单项式为(﹣1)100(100+1)x100=101x100,故选C.【点睛】本题综合考查单项式的概念,乘方的意义,数字变化规律与序数的关系等相关知识点,重点掌握数字的变化与序数的关系.4.B解析:B【解析】试题分析:设出四、五月份的平均增长率,则四月份的市场需求量是100(1+x),五月份的产量是100(1+x)2.故答案选B.考点:列代数式.5.A解析:A【分析】原式去括号整理后,将已知等式代入计算即可求出值.【详解】∵a+b=5,ab=4,∴原式=3ab+5a+8b+3a−4ab=8(a+b)−ab=40−4=36,故选A.【点睛】本题考查的是代数式的求值,熟练掌握先化简再求值是解题的关键.6.A解析:A【分析】根据数轴上点的位置判断出绝对值里边式子的正负,原式利用绝对值的代数意义化简,计算即可得到结果.【详解】解:根据题意得:b<a<0,且|a|<|b|,∴a-b>0,a+b<0,∴原式=a-b-a-b=-2b.故选:A.【点睛】此题主要考查了数轴以及绝对值,熟练掌握绝对值的性质是解本题的关键.7.A解析:A【分析】求出数列的前4个数,从而得出这个数列以-2,13,32依次循环,用2020除以3,再根据余数可求a2020的值.【详解】∵a1=-2,∴2111(3)3a==--,3131213a==-,412312a==--∴每3个结果为一个循环周期∵2020÷3=673⋯⋯1,∴202012a a==-故选:A.【点睛】本题考查了规律型:数字的变化类:通过从一些特殊的数字变化中发现不变的因素或按规律变化的因素,然后推广到一般情况.8.C解析:C【分析】平均速度=总路程÷总时间,题中没有单程,可设从家到学校的单程为1,那么总路程为2.【详解】解:依题意得:1122()2m n mn m n mn m n+÷+=÷=+.故选:C.【点睛】本题考查了列代数式;解决问题的关键是读懂题意,找到关键描述语,进而找到所求的量的等量关系.当题中没有一些必须的量时,为了简便,可设其为1.9.A解析:A【分析】由BC=2,C点所表示的数为x,求出B表示的数,然后根据OA=OB,得到点A、B表示的数互为相反数,则问题可解.【详解】解:∵BC=2,C点所表示的数为x,∴B点表示的数是x-2,又∵OA=OB,∴B点和A点表示的数互为相反数,∴A点所表示的数是-(x-2),即-x+2.故选:A.【点睛】此题考查用数轴上的点表示数的方法和数轴上两点间的距离以及相反数的性质,解答关键是应用数形结合思想解决问题.10.D解析:D【分析】说出代数式的意义,实际上就是把代数式用语言叙述出来.叙述时,要求既要表明运算的顺序,又要说出运算的最终结果.【详解】解:代数式21ab-的正确解释是a的平方与b的倒数的差.故选:D.【点睛】用语言表达代数式的意义,一定要理清代数式中含有的各种运算及其顺序.具体说法没有统一规定,以简明而不引起误会为出发点.11.C解析:C【分析】根据单项式的定义逐一判断即可.【详解】3a中,分母含未知数,是分式,不是单项式, x+1是多项式,不是单项式,-2是单项式,3b -是单项式, 0.72xy 是单项式,2π是单项式, 314x -=3144x -,是多项式, ∴单项式有-2、3b -、0.72xy 、2π,共4个, 故选C.【点睛】本题考查单项式的定义,熟练掌握定义是解题关键. 12.A解析:A【分析】根据字母可以表示任意数可判断①,根据特殊例子0没有倒数可判断②,根据负数的相反数可判断③,根据特殊例子a=1,b=-2,可判断④,根据单项式次数的定义可判断⑤,根据有理数的分类判断⑥,根据同类项的概念判断⑦.【详解】字母可以表示任意数,当a <0时,-a >0,故①错误;0没有倒数,故②错误;负数的相反数是正数,正数大于负数,故③错误;若a=1,b=-2,a b >,但是22a b <,故④错误;235x y 的次数是3,故⑤错误; 0属于整数,故⑥这种分类不正确;27m ba -与2abm 是同类项,⑦正确,故选A.【点睛】本题考查有理数和代数式的相关概念,熟记这类知识点是解题的关键.二、填空题13.【解析】试题解析:50 101【解析】试题1111++++ 133********⨯⨯⨯⨯=11111111111 1)()()() 23235257299101 -+-+-++-(=11111111 1++) 23355799101 ---++-(=11 1) 2101-(=1100 2101⨯=50 101.14.(32019-2)×32019+1=(32019-1)2【分析】观察等式两边的数的特点用n表示其规律代入n=2016即可求解【详解】解:观察发现第n个等式可以表示为:(3n-2)×3n+1=(3n-解析:(32 019-2)×32019+1=(32 019-1)2【分析】观察等式两边的数的特点,用n表示其规律,代入n=2016即可求解.【详解】解:观察发现,第n个等式可以表示为:(3n-2)×3n+1=(3n-1)2,当n=2019时,(32019-2)×32019+1=(32019-1)2,故答案为:(32019-2)×32019+1=(32019-1)2.【点睛】此题主要考查数的规律探索,观察发现等式中的每一个数与序数n之间的关系是解题的关键.15.-1029【分析】由题意根据图中排列规律得出每5个数为一组依次排列所以峰n中峰顶C的位置的有理数的绝对值为以此进行分析即可【详解】解:由图可知每5个数为一组依次排列所以峰n中峰顶C的位置的有理数的绝解析:-1029【分析】由题意根据图中排列规律得出每5个数为一组依次排列,所以“峰n”中峰顶C 的位置的有理数的绝对值为51n -,以此进行分析即可.【详解】解:由图可知,每5个数为一组依次排列,所以“峰n”中峰顶C 的位置的有理数的绝对值为51n -,当206n =时,52061103011029⨯-=-=,因为1029是奇数,所以“峰206”中C 的位置的有理数是1029-.故答案为:1029-.【点睛】本题考查图形的数字规律,熟练掌握根据图中排列规律得出每5个数为一组依次排列,所以“峰n”中峰顶C 的位置的有理数的绝对值为51n -是解题的关键.16.【分析】将每个图形中白色正方形的个数分别表示出来总结规律即可得到答案【详解】图①白色正方形:2个;图②白色正方形:5个;图③白色正方形:8个∴得到规律:第n 个图形中白色正方形的个数为:(3n-1)个 解析:()31-n【分析】将每个图形中白色正方形的个数分别表示出来,总结规律即可得到答案.【详解】图①白色正方形:2个;图②白色正方形:5个;图③白色正方形:8个,∴得到规律:第n 个图形中白色正方形的个数为:(3n-1)个,故答案为:(3n-1).【点睛】此题考查图形类规律的探究,会观察图形的变化用代数式表示出规律是解题的关键. 17.【分析】98度超过了50度应分两段进行计费第一段50每度收费a 元第二段(98-50)度每度收费(a+05)元据此计算即可【详解】解:由题意可得:(元)故答案为:(98a+24)【点睛】本题考查了列代解析:()9824a +【分析】98度超过了50度,应分两段进行计费,第一段50,每度收费a 元,第二段(98-50)度,每度收费(a +0.5)元,据此计算即可.【详解】解:由题意可得:()()5098500.59824a a a +-+=+(元).故答案为:(98a +24).【点睛】本题考查了列代数式,根据题意,列出代数式是解决此题的关键.18.【分析】先分清多项式的各项然后按多项式降幂排列的定义排列【详解】多项式的各项是3x2−2x3−4x4按x 降幂排列为故答案为:【点睛】本题考查了多项式我们把一个多项式的各项按照某个字母的指数从大到小或解析:432432x x x -++-【分析】先分清多项式的各项,然后按多项式降幂排列的定义排列.【详解】多项式234324x x x -+-的各项是3x 2,−2,x 3,−4x 4,按x 降幂排列为432432x x x -++-.故答案为:432432x x x -++-.【点睛】本题考查了多项式.我们把一个多项式的各项按照某个字母的指数从大到小或从小到大的顺序排列,称为按这个字母的降幂或升幂排列.要注意,在排列多项式各项时,要保持其原有的符号.19.5【分析】观察多项式之间的关系可知将已知两式相减再化简即可得到结果【详解】∵∴∴的值为5【点睛】本题考查整式的加减观察得出整式之间的关系再进行去括号化简是解题的关键解析:5【分析】观察多项式之间的关系可知,将已知两式相减,再化简即可得到结果.【详解】∵22211m mn n ++=,26mn n +=,∴()22222222221165mn m mn n m n n mn nm mn n ---=+++=++=-=+, ∴22m n +的值为5.【点睛】本题考查整式的加减,观察得出整式之间的关系再进行去括号化简是解题的关键. 20.4【分析】根据约定的方法求出mnp 即可【详解】解:根据约定的方法可得:;∴;∴∴故答案为4【点睛】本题考查了列代数式和代数式求值解题的关键是掌握列代数式的约定方法解析:4【分析】根据约定的方法求出m ,n ,p 即可.【详解】解:根据约定的方法可得:18n -+= ,81m +=- ;∴7n = ,9m =- ;∴()716p =+-=∴9764m n p ++=-++=故答案为4.【点睛】本题考查了列代数式和代数式求值,解题的关键是掌握列代数式的约定方法.三、解答题21.-24.【分析】首先根据绝对值的非负性求出x ,y ,然后代入代数式求值.【详解】解:∵230x y ++-=,∴x+2=0,y-3=0,∴x=-2,y=3, ∴152423x y xy --+ ()()552342323=-⨯--⨯+⨯-⨯ ()5524=-+-24=-.【点睛】本题考查了代数式求值,利用非负数的和为零得出x 、y 的值是解题关键.22.k=2.【分析】根据两个多项式是相同的多项式,可以直接列等式根据各项前对应系数相等直接列式计算.【详解】解:2x 2+4xy ﹣3y 2+x 2+kxy+5y 2,=3x 2+(4+k )xy+2y 2,因为它与多项式3x 2+6xy+2y 2是相等的多项式,所以4+k=6,解得:k=2.【点睛】本题考查了带系数多项式与已知多项式相等求未知系数,掌握多项式的概念是解决此题的关键.23.(1)见解析;(2)(-2)10x 10=1024x 10;(3)(-2)n x n .【分析】(1)根据单项式的次数与系数定义得出即可;(2)根据单项式系数与次数的变化得出一般性规律得出第10个单项式;(3)根据单项式系数与次数的变化得出一般性规律,进而得出第n 个单项式.【详解】(1)通过观察,系数为:-2,4=(-2)2,-8=(-2)3,16=(-2)4,-32=(-2)5指数分别是:1,2,3,4,5,6(2)第10个单项式为:(-2)10x 10=1024x 10; (3)第n 个单项式为:(-2)n x n .【点睛】本题考查了单项式的系数、次数以及数字变化规律,根据已知得出数字变化规律是解题关键.24.(1)(5a 2+3ab )平方米;(2)2720平方米【分析】(1)根据割补法,用含有a,b 的式子表示出整个长方形的面积,然后用含有a,b 的式子表示出中间空白处正方形的面积,然后两者相减,即可求出绿化部分的面积.(2)将a =20,b =12分别代入(1)问中求出的关系式即可解决.【详解】解:(1)(3a+b )(2a+b )﹣(a+b )2=6a 2+3ab+2ab+b 2﹣(a 2+2ab+b 2)=6a 2+3ab+2ab+b 2﹣a 2﹣2ab ﹣b 2=5a 2+3ab ,答:绿化的面积是(5a 2+3ab )平方米;(2)当a =20,b =12时5a 2+3ab =5×202+3×20×12=2000+720=2720,答:当a =20,b =12时的绿化面积是2720平方米.【点睛】(1)本题考查了割补法,多项式乘多项式和完全平方式的运算法则,解决本题的关键是正确理解题意,能够熟练掌握多项式乘多项式的运算法则.(2)本题考查了整式的化简求值,解决本题的关键是熟练掌握整式的运算法则和步骤. 25.(1)22111222a ab b ++;(2)492 【分析】(1)阴影部分为两个直角三角形,根据面积公式即可计算得到答案;(2)将3a =,5b =代入求值即可.【详解】(1)()21122a ab b ⨯++, 22111222a ab b =++; (2)当3a =,5b =时, 原式221113355222=⨯+⨯⨯+⨯492=. 【点睛】此题考察列式计算,根据图形边长正确列式表示图形的面积即可.26.(1) x<5.2(2) 13-1.5x【详解】分析:(1)按图中方式折叠后可得到除去两端,纸条使用的长度为5x,那么纸条使用的长度应大于0,小于纸条总长度.(2)是轴对称图形,那么AM=AP+x.解答:解:(1)由折纸过程可知0<5x<26,∴0<x<5.2.(2)∵图④为轴对称图形,∴AM=2652x+x=13-1.5x,即点M与点A的距离是(13-1.5x)cm.点评:本题考查学生的动手操作能力,难点是得到纸条除去两端使用的纸条的长度.。
一、选择题1.在《九章算术》方田章“圆田术”中指出:“割之弥细,所失弥少,割之又割,以至于不可割,则与圆周合体而无所失矣”,这里所用的割圆术所体现的是一种无限与有限的转化的思想,比如在234111112222+++++…中,“…”代表按规律不断求和,设234111112222x +++++⋅⋅⋅=.则有112x x =+,解得2x =,故2341111122222+++++⋅⋅⋅=.类似地2461111333++++⋅⋅⋅的结果为( ) A .43B .98C .65D .22.在2019年女排世界杯比赛中,中国队以11场全胜积32分的成绩成为女排世界杯五冠王、女排世界杯比赛积分规则如表所示,若中国队以大比分3:2取胜的场次有x 场,则根据以上信息所列方程正确的是( )A .3x+2x =32B .3(11﹣x )+3(11﹣x )+2x =32C .3(11﹣x )+2x =32D .3x+2(11﹣x )=323.某商贩在一次买卖中,以每件135元的价格卖出两件衣服,其中一件盈利25%,另一件亏损25%,在这次买卖中,该商贩( ) A .不赔不赚B .赚9元C .赔18元D .赚18元4.在三峡大坝截流时,用载重卡车将一堆石料运到围堰龙口,第一次运了这堆石料的13少2万方,第二次运了剩下的12多3万方,此时还剩下12万方未运,若这堆石料共有x 万方,于是可列方程为( )A .x −(13x −2)−[12(x −13x +2)+3]=12 B .x −(13x −2)−[12(x −13x +2)−3]=12 C .x −(13x −2)−[12(x −13x)−3]=12 D .x −(13x −2)−(12x +3)=125.如图,方格中的格子被填上了数,每一行、每一列以及两条对角线中所填的数字之和均相等,则x 的值为( )A .39B .13C .14D .96.下列运用等式的性质对等式进行的变形中,错误的是( ) A .()()2211a x b x +=+若,则a b = B .若a b =,则ac bc = C .若a b =,则22a b c c= D .若x y =,则33x y -=-7.一项工程,甲单独做需10天完成,乙单独做需6天完成.现由甲先做2天,乙再加入合做,完成这项工程共需多少天?若设完成这项工程共需x 天,依题意可得方程( )A .106x x+=1 B .22106x x +-+=1 C .2106x x -+=1 D .222106x x x --++=18.互联网“微商”经营已成为大众创业新途径,某微信平台上一件商品标价为200元,按标价的五折销售,仍可获利20元,则这件商品的进价为( ) A .120元B .100元C .80元D .60元9.一个两位数,十位上的数比个位上的数的3倍大1,个位上的数与十位上的数的和等于9,这个两位数是( ) A .54B .72C .45D .6210.关于y 的方程331y k +=与350y +=的解相同,则k 的值为( )A .-2B .34C .2D .43-11.下列说法正确的是( )A .若a c =bc,则a=bB .若-12x=4y ,则x=-2y C .若ax=bx ,则a=bD .若a 2=b 2,则a=b12.整式mx n +的值随x 的取值不同而不同,下表是当x 取不同值时对应的整式的值.则关于x 的方程8mx n --=的解为( )A .1x =-B .0x =C .1x =D .2x =13.书架上,第一层书的数量是第二层书的数量的2倍,从第一层抽8本书到第二层,这时第一层剩下的书的数量恰好比第二层书的数量的一半多3本.设第二层原有x 本书,则可列方程为( ) A .2x -8=12(x +8)+3 B .2x =12(x +8)+3 C .2x -8=12x +3 D .2x =12x +3 14.甲、乙两个工程队,甲队32人,乙队28人,现在从乙队抽调x 人到甲队,使甲队人数为乙队人数的2倍.则根据题意列出的方程是( ) A .32+x =2(28−x) B .32−x =2(28−x) C .32+x =2(28+x)D .2(32+x)=28−x15.方程−2x +2018=2020的解是( ) A .x =−2018B .x =1C .x =−1D .x =2018二、填空题16.一个“数值转换机”按如图的程序计算,例如:输入的数为36,则经过一次运算即可输出结果106.若输出的结果127是经过两次运算才输出的,则输入的数是_____.17.定义一种运算:1(1)(1)x a b a b a b *=++++,若设5213*=,则34*=________. 18.对任意四个有理数a ,b ,c ,d ,定义:a b ad bc c d=-,已知24181-=x x,则x =_____.19.对于数a ,b 定义这样一种运算:*2a b b a =-,例如1*3231=⨯-,若()3*11x +=,则x 的值为______.20.若关于x 的方程23360m x m --+=是一元一次方程,则这个方程的解是__________.21.在方程431=-x 的两边同时_________,得x =___________. 22.解方程:2(1)3x --=-.解:去括号,得__________;移项,得____________;合并同类项,得____________. 23.如果ma mb =,那么下列等式一定成立的是_______. ①a b =;②66ma mb -=-;③1122ma mb -=-;④88ma mb +=+;⑤3131ma mb -=-;⑥33ma mb -=+.24.甲、乙两队开展足球对抗赛,规定每队胜一场得3分,平一场得1分,负一场得0分.若甲队胜场是平场的2倍,平场比负场多一场,共得了21分,则甲队胜了______场,平了______场,负了______场.25.如图所示的两架天平保持平衡,且每块巧克力的质量相等,每个果冻的质量也相等,则一块巧克力的质量是______g.26.若关于x 的方程3x m -2-m =0是一元一次方程,则m =________,方程的解为________.三、解答题27.我们知道13写成小数形式为0.3,反过来,无限循环小数0.3也可以转化成分数形式.方法如下:设0.3x =,由0.30.333=,可知10 3.333x =,所以103x x -=.解方程,得13x =,所以10.33=.例如:把无限循环小数0.32化为分数的方法如下: 设0.32x =,由0.320.323232=,可知10032.323232x =,所以10032x x -=,解方程,得3299x =,所以320.3299=.根据上述材料,解答下列问题: (1)把下列无限循环小数写成分数形式:①0.5=________;②2.58=________;③0.518=________.(2)借鉴材料中的方法,从第(1)题的①②③中任选一个,写出你的转化过程. 28.已知关于x 的方程3(2)x x a -=- 的解比223x a x a +-= 的解小52 ,求a 的值.29.某水泥仓库一周7天内进出水泥的吨数如下(“+”表示进库,“-”表示出库):+30,-25,-30,+28,-29,-16,-15.(1)经过这7天,仓库里的水泥是增多还是减少了?增多或减少了多少吨?(2)经过这7天,仓库管理员结算发现库里还存300吨水泥,那么7天前,仓库里存有水泥多少吨?(3)如果进仓库的水泥装卸费是每吨a 元、出仓库的水泥装卸费是每吨b 元,求这7天要付多少元装卸费?30.王叔叔十月份的工资为8000元,超过5000元的部分需要交3%的个人所得税。
一、选择题1.点 1A 、 2A 、 3A 、…… 、 n A (n 为正整数)都在数轴上.点 1A 在原点 O 的左边,且 1A O 1=;点 2A 在点 1A 的右边,且 21A A 2=;点 3A 在点 2A 的左边,且 32A A 3=;点 4A 在点 3A 的右边,且 43A A 4=;……,依照上述规律,点 2008A 、 2009A 所表示的数分别为( )A .2008 、 2009-B .2008- 、 2009C .1004 、 1005-D .1004 、 1004- 2.下面用数学语言叙述代数式1a ﹣b ,其中表达正确的是( ) A .a 与b 差的倒数B .b 与a 的倒数的差C .a 的倒数与b 的差D .1除以a 与b 的差 3.已知2a ﹣b =3,则代数式3b ﹣6a+5的值为( ) A .﹣4B .﹣5C .﹣6D .﹣7 4.若 3x m y 3 与﹣2x 2y n 是同类项,则( ) A .m=1,n=1B .m=2,n=3C .m=﹣2,n=3D .m=3,n=2 5.下列式子:222,32,,4,,,22ab x yz ab c a b xy y m x π+---,其中是多项式的有( ) A .2个 B .3个 C .4个 D .5个6.1261年,我国南宋数学家杨辉用图中的三角形解释二项和的乘方规律,比欧洲的相同发现要早三百多年,我们把这个三角形称为“杨辉三角”,请观察图中的数字排列规律,则,,a b c 的值分别为( )1111211464115101051331151161a b c A .1,6,15a b c === B .6,15,20a b c ===C .15,20,15a b c ===D .20,15,6a b c ===7.一个多项式与²21x x -+的和是32x -,则这个多项式为( )A .253x x -+B .21x x -+-C .253x x -+-D .2513x x --8.下列去括号运算正确的是( ) A .()x y z x y z --+=--- B .()x y z x y z --=--C .()222x x y x x y -+=-+D .()()a b c d a b c d -----=-+++ 9.如图所示,直线AB 、CD 相交于点O ,“阿基米德曲线”从点O 开始生成,如果将该曲线与每条射线的交点依次标记为2,-4,6,-8,10,-12,….那么标记为“-2020”的点在( )A .射线OA 上B .射线OB 上C .射线OC 上D .射线OD 上 10.把一个大正方形和四个相同的小正方形按图①、②两种方式摆放,则大正方形的周长与小正方形的周长的差是( )A .2+a bB .+a bC .3a b +D .3a b + 11.有20个数排成一行,对于任意相邻的三个数,都有中间的数等于前后两数的和.如果第一个数是0,第二个数是2,这20个数的和是( )A .2B .﹣2C .0D .412.下列各对单项式中,属于同类项的是( )A .ab -与4abcB .213x y 与212xyC .0与3-D .3与a二、填空题13.观察下列顺序排列的等式:9×0+1 = 1,9×1+2 = 11,9×2+3=21, 9×3+4=31, 9×4+5=41,……,猜想:第n 个等式(n 为正整数)用n 表示,可表示成_________. 14.观察如图,发现第二个和第三个图形是怎样借助第一个图形得到的,概括其中的规律在第n 个图形中,它有n 个黑色六边形,有_______个白色六边形.15.化简:226334x x x x _________.16.已知22 251,34A x ax y B x x by =+-+=+--,且对于任意有理数,x y ,代数式2A B - 的值不变,则12()(2)33a A b B ---的值是_______. 17.王马虎同学在做有理数的加减法时,将一个100以内的含两位小数的数看错了,他将小数点前后的两位数看反了(比如56.78错看成了78.56),然后用看错的数字减3.5,发现差恰好就是原正确数字的2倍,则正确的结果应该是_____.18.仅当b =______,c =______时,325x y 与23b c x y 是同类项。
一、选择题1.解方程32282323x x x----=的步骤如下,错误的是()①2(3x﹣2)﹣3(x﹣2)=2(8﹣2x);②6x﹣4﹣3x﹣6=16﹣4x;③3x+4x=16+10;④x=267.A.①B.②C.③D.④B解析:B【分析】根据解一元一次方程的基本步骤依次计算可得.【详解】①去分母,得:2(3x﹣2)﹣3(x﹣2)=2(8﹣2x);②6x﹣4﹣3x+6=16﹣4x,③6x﹣3x+4x=16+4﹣6,④x=2,错误的步骤是第②步,故选:B.【点睛】本题主要考查解一元一次方程,解一元一次方程的一般步骤:去分母、去括号、移项、合并同类项、系数化为1,这仅是解一元一次方程的一般步骤,针对方程的特点,灵活应用,各种步骤都是为使方程逐渐向x=a形式转化.2.甲、乙、丙三辆卡车所运货物的质量之比为6:7:4.5,已知甲车比乙车少运货物12吨,则三辆卡车共运货物()A.120吨B.130吨C.210吨D.150吨C解析:C【解析】【分析】本题可以设甲,乙,丙三辆卡车所运货物的质量分别为:6x,7x,4.5x,根据乙车运货量-甲车运货量=12吨,可以列出方程7x-6x=12,解得即可.【详解】解:设甲,乙,丙三辆卡车所运货物的质量分别为:6x吨,7x吨,4.5x吨,根据题意得:7x-6x=12,解得:x=12.所以三辆卡车共运货物=6x+7x+4.5x=17.5x=17.5×12=210.故选:C.【点睛】此题考查了一元一次方程的应用,解题的关键是:根据题意设甲,乙,丙三辆卡车所运货物的质量分别为:6x吨,7x吨,4.5x吨,找到等量关系,然后列出方程.3.甲、乙两个工程队,甲队32人,乙队28人,现在从乙队抽调x人到甲队,使甲队人数为乙队人数的2倍.则根据题意列出的方程是()A.32+x=2(28−x)B.32−x=2(28−x)C.32+x=2(28+x)D.2(32+x)=28−x A解析:A【解析】【分析】分析本题题意,找到等量关系:32+甲队添加人数=2×(28-乙队减少人数),列出式子即可.【详解】解:列出的方程是32+x=2×(28-x).故答案为:32+x=2×(28-x),答案选A..【点睛】列方程解应用题的关键是找出题目中的相等关系.注意本题中甲增加的人数就是乙减少的人数.4.已知代数式2x-6与3+4x的值互为相反数,那么x的值等于()A.2 B.12C.-2 D.1-2B解析:B【分析】根据题意列出方程,求出方程的解即可得到x的值.【详解】解:根据题意得:2x-6+3+4x=0移项合并得:6x=3,解得:x=12,故选:B.【点睛】本题考查解一元一次方程,以及相反数,熟练掌握运算法则是解本题的关键.5.书架上,第一层书的数量是第二层书的数量的2倍,从第一层抽8本书到第二层,这时第一层剩下的书的数量恰好比第二层书的数量的一半多3本.设第二层原有x本书,则可列方程为()A.2x-8=12(x+8)+3 B.2x=12(x+8)+3C.2x-8=12x+3 D.2x=12x+3A解析:A【分析】根据题意可以列出相应的方程,从而可以解答本题.【详解】解:由题意可得, 2x-8=12(x+8)+3, 故选:A .【点睛】 本题考查了由实际问题抽象出一元一次方程,解答本题的关键是明确题意,列出相应的方程.6.某商场的老板销售一种商品,标价为360元,可以获得80%的利润,则这种商品进价多少( )A .80元B .200元C .120元D .160元B解析:B【分析】利用公式:标价=(1+利润率)×进价,列出方程,求解即可.【详解】设进价为x 元.标价=(1+利润率)×进价根据题意,列方程:(180%)360x +=解得200x =故选B.【点睛】本题考查了一元一次方程的应用,属于典型题,熟练掌握价格公式是解题关键. 7.某个体商贩在一次买卖中同时卖出两件上衣,每件售价均为135元,若按成本计算,其中一件盈利25%,一件亏本25%,则在这次买卖中他( )A .不赚不赔B .赚9元C .赔18元D .赚18元C 解析:C【分析】要知道赔赚,就要先算出两件衣服的原价,要算出原价就要先设出未知数,然后根据题中的等量关系列方程求解.【详解】解:设在这次买卖中原价都是x ,则可列方程:(1+25%)x =135,解得:x =108,比较可知,第一件赚了27元;第二件可列方程:(1﹣25%)x =135,解得:x =180,比较可知亏了45元,两件相比则一共亏了45﹣27=18元.故选:C .【点睛】此题考查了一元一次方程的应用,解题的关键是明白盈利与亏本的含义,准确列出计算式,计算结果,难度一般.8.下列方程的变形,符合等式的性质的是( )A .由2x ﹣3=7,得2x=7﹣3B .由3x ﹣2=x+1,得3x ﹣x=1﹣2C .由﹣2x=5,得x=﹣3D .由﹣13x=1,得x=﹣3D 解析:D【分析】 根据等式的基本性质对各选项进行逐一分析即可.【详解】A .∵2x ﹣3=7,∴2x=7+3,故本选项错误;B .∵3x ﹣2=x+1,∴3x ﹣x=1+2,故本选项错误;C .∵﹣2x=5,∴x=﹣52,故本选项错误; D .∵﹣13x=1,∴x=﹣3,故本选项正确. 故选D .【点睛】考核知识点:等式基本性质.理解等式基本性质的内容是关键.9.佳佳的压岁钱由爸爸存入某村镇银行,当年年利率为1.5%,一年后取出时得到本息和为4060元,则佳佳的压岁钱是( )A .2060元B .3500元C .4000元D .4100元C解析:C【分析】设佳佳的压岁钱是x 元,根据利息本金之和为4120元,列方程求解即可.【详解】设佳佳的压岁钱是x 元.根据题意,得(1 1.5%)4060x +=,解得4000x =.故选C .【点睛】本题考查了一元一次方程的应用,解题关键是要读懂题目的意思,根据题目给出的条件,找出合适的等量关系列出方程,再求解.10.宜宾某机械厂加工车间有34名工人,平均每名工人每天加工小齿轮20个或大齿轮15个.已知3个小齿轮和2个大齿轮配成一套,问分别安排多少名工人加工大、小齿轮,才能使每天生产的齿轮刚好配套?若设加工小齿轮的工人有x 名,则可列方程为( )A .2015(34)x x =-B .220315(34)x x ⨯=⨯-C .320215(34)x x ⨯=⨯-D .320(34)215x x ⨯-=⨯ B解析:B【分析】 设加工小齿轮的工人有x 名,则加工大齿轮的工人有(34)x -名,根据生产的小齿轮的数量:生产的大齿轮的数量=3:2即可列出方程,进而可得答案.【详解】解:设加工小齿轮的工人有x 名,则加工大齿轮的工人有(34)x -名.根据题意,得220315(34)x x ⨯=⨯-.故选:B .【点睛】本题考查了一元一次方程的应用,属于常考题型,正确理解题意、找准相等关系是解题的关键.11.如图,将长和宽分别是 a ,b 的长方形纸片的四个角都剪去一个边长为 x 的正方形.用含 a ,b ,x 的代数式表示纸片剩余部分的面积为( ) A .ab+2x 2B .ab ﹣2x 2C .ab+4x 2D .ab ﹣4x 2D解析:D【分析】 用长方形的面积减去四周四个小正方形的面积列式即可.【详解】∵长方形的面积为ab ,4个小正方形的面积为4x 2,∴剩余部分的面积为:ab-4x 2,故选D.【点睛】本题考查了列代数式,根据题意用字母表示长长方形和正方形的面积是解题关键. 12.如图,正方ABCD 形的边长是2个单位,一只乌龟从A 点出发以2个单位/秒的速度顺时针绕正方形运动,另有一只兔子也从A 点出发以6个单位/秒的速度逆时针绕正方形运动,则第2020次相遇在( )A .点AB .点BC .点CD .点D A解析:A【分析】设运动x秒后,乌龟和兔子第2020次相遇,根据路程=速度×时间,即可得出关于x的一元一次方程,解之即可得出x的值,将其代入2x中可求出乌龟运动的路程,再结合正方形的周长,即可得出乌龟和兔子第2020次相遇点.【详解】解:设运动x秒后,乌龟和兔子第2020次相遇,依题意,得:2x+6x=2×4×2020,解得:x=2020,∴2x=4040.又∵4040÷(2×4)=505,505为整数,∴乌龟和兔子第2020次相遇在点A.故选:A.【点睛】本题考查了一元一次方程的应用,找准等量关系,正确列出一元一次方程是解题的关键.13.某项工作甲单独做4天完成,乙单独做6天完成,若甲先做1天,然后甲、乙合作完成此项工作,若甲一共做了x天,则所列方程为()A.1146x x++=B.1146x x++=C.1146x x-+=D.111446x x+++= C解析:C【分析】首先要理解题意找出题中存在的等量关系:甲完成的工作量+乙完成的工作量=总的工作量,根据题意我们可以设总的工作量为单位“1“,根据效率×时间=工作量的等式,分别用式子表示甲乙的工作量即可列出方程.【详解】设甲一共做了x天,则乙一共做了(x−1)天.可设工程总量为1,则甲的工作效率为14,乙的工作效率为16.那么根据题意可得出方程11 46x x-+=,故选C.【点睛】此题考查由实际问题抽象出一元一次方程,解题关键在于理解题意列出方程. 14.若代数式2x+3的值为6,则x的值为()A.32B.3C.92D.4A解析:A【解析】【分析】根据题意列出方程,求出方程的解即可得到x的值.【详解】根据题意得:2x+3=6,移项合并得:2x=3,,解得:x=32故选:A.【点睛】此题考查了解一元一次方程,其步骤为:去分母,去括号,移项合并,将未知数系数化为1,求出解.15.某校在举办“读书月”的活动中,将一些图书分给了七年一班的学生阅读,如果每人分3本,则剩余20本:如果每人分4本,则还缺25本.若设该校七年一班有学生x人,则下列方程正确的是()A.3x﹣20=24x+25 B.3x+20=4x﹣25C.3x﹣20=4x﹣25 D.3x+20=4x+25B解析:B【分析】如果每人分 3 本,则剩余 20 本,此时这些图书的数量可表示为3x+20;如果每人分 4 本,则还缺25本,此时这些图书的数量可表示为4x-25,据此列出方程即可.【详解】解:根据题意可得:3x+20=4x﹣25.故选B.【点睛】本题考查了一元一次方程的应用,找到图书的数量是相等的是解题关键.16.如图,每个圆纸片的面积都是30,圆纸片A与B,B与C,C与A的重叠面积分别为6,8,5,三个圆纸片覆盖的总面积为73,则图中阴影部分面积为()A.54 B.56 C.58 D.69C解析:C【分析】根据图形可知:三个圆纸片覆盖的总面积+A与B的重叠面积+B与C的重叠面积+C与A 的重叠面积−A、B、C共同重叠面积=每个圆纸片的面积×3,由此等量关系列方程求出A、B、C共同重叠面积,从而求出图中阴影部分面积.【详解】解:设三个圆纸片重叠部分的面积为x,则73+6+8+5−x=30×3,得x=2.所以三个圆纸片重叠部分的面积为2.图中阴影部分的面积为:73−(6+8+5−2×2)=58.故选:C .【点睛】本题考查了一元一次方程的应用,解题关键是要读懂题目的意思,根据题目给出的条件,找出合适的等量关系,列出式子,再求解.17.若“△”是新规定的某种运算符号,设x △y=xy+x+y ,则2△m=﹣16中,m 的值为( )A .8B .﹣8C .6D .﹣6D 解析:D【详解】因为xΔy =xy +x +y ,且2Δm =-16,所以2m+2+m=-16,解得m=- 6,故选D.考点:1.新定义题2.一元一次方程.18.已知a=2b ,则下列选项错误的是( )A .a+c=c+2bB .a ﹣m=2b ﹣mC .2a b =D .2a b = D 解析:D【分析】根据等式的性质判断即可.【详解】解:A 、因为a=2b ,所以a+c=c+2b ,正确;B 、因为a=2b ,所以a-m=2b-m ,正确;C 、因为a=2b ,所以2a =b ,正确; D 、因为a=2b ,当b≠0,所以a b =2,错误; 故选D .【点睛】此题考查比例的性质,关键是根据等式的性质解答.19.一项工程,甲单独做需10天完成,乙单独做需6天完成.现由甲先做2天,乙再加入合做,完成这项工程共需多少天?若设完成这项工程共需x 天,依题意可得方程( )A .106x x +=1B .22106x x +-+=1C .2106x x -+=1D .222106x x x --++=1C解析:C【分析】设总工作量为1,从而可得甲、乙的工作效率,再根据“甲完成的工作量+乙完成的工作量1=”建立方程即可得.【详解】设总工作量为1,则甲的工作效率为110,乙的工作效率为16, 若设完成这项工程共需x 天,则甲工作的天数为x 天,乙工作的天数为(2)x -天, 由题意得:21106x x -+=, 故选:C .【点睛】本题考查了列一元一次方程,读懂题意,正确找出等量关系是解题关键.20.解方程-3x=2时,应在方程两边( )A .同乘以-3B .同除以-3C .同乘以3D .同除以3B 解析:B【分析】利用等式的性质判断即可.【详解】解:利用等式的性质解方程-3x=2时,应在方程的两边同除以-3,故选:B .【点睛】此题考查了解一元一次方程,熟练掌握运算法则是解本题的关键.21.某人连续休假4天,这四天的日期之和是74,他休假第一天的日期是( ) A .17号B .18号C .19号D .20号A 解析:A【解析】【分析】设休假第一天日期为x 号,则其余三天的日期为(x +1),(x +2),(x +3),根据四天的日期之和为74建立方程求出其解即可.【详解】解:设休假第一天日期为x 号,由题意,得:x +(x +1)+(x +2)+(x +3)=74,解得:x =17,故选A.【点睛】本题考查了列一元一次方程解实际问题的运用,一元一次方程的解法的运用, 相邻两个整数之间相差1的关系的运用,解答时根据四天的日期之和为74建立方程是关键.22.如图,方格中的格子被填上了数,每一行、每一列以及两条对角线中所填的数字之和均相等,则x的值为()16x111512A.39B.13C.14D.9D解析:D【解析】【分析】根据每一行、每一列以及两条对角线中所填的数字之和均相等,可求出方格中间、右下以及右上的数,再由每一行、每一列所填的数字之和相等,即可得出关于x的一元一次方程,解之即可得出结论.【详解】16+11+12−11−15=13,16+11+12−16−13=10,16+11+12−10−15=14.根据题意得:16+11+12=16+x+14,解得:x=9.故选:D.【点睛】此题考查一元一次方程的应用,解题关键在于根据题意找出等量关系.23.如图所示,两人沿着边长为90 m的正方形,按A→B→C→D→A…的方向行走,甲从A 点以65 m/min的速度、乙从B点以75 m/min的速度行走,当乙第一次追上甲时,将在正方形的()边上.A.BC B.DCC.AD D.AB C解析:C【分析】设乙x 分钟后追上甲,根据乙追上甲时,比甲多走了270米,可得出方程,求出时间后,计算乙所走的路程,继而可判断在哪一条边上相遇.【详解】设乙x 分钟后追上甲,由题意得,75x−65x =270,解得:x =27,而75×27=5×360+212×90, 即乙第一次追上甲是在AD 边上.故选C .【点睛】本题考查了一元一次方程的应用,完成本题要注意通过所行路程及正方形的周长正确判断追上时在正方形的那条边上.24.已知5x =是关于x 的方程4231x m x +=+的解,则方程3261x m x +=+的解是_________.A .53B .53-C .-2D .1B解析:B【分析】根据方程的解求得m 的值,然后将m 的值代入方程3261x m x +=+求解x 的值即可.【详解】解:∵x=5是关于x 的方程4x+2m=3x+1的解,∴20+2m=15+1,解得:m=-2,∴方程变为3x-4=6x+1,解得:x=53-. 故选B.【点睛】本题考查了二元一次方程的解的知识,解题的关键是根据方程的解求得m 的值,难度不大.25.定义运算“*”,其规则为2*3a b a b +=,则方程4*4x =的解为( ) A .3x =-B .3x =C .2x =D .4x = D解析:D【分析】根据新定义列出关于x 的方程,解之可得.【详解】∵4*x=4,∴234x ⨯+=4, 解得x=4,故选:D .【点睛】 本题主要考查解一元一次方程,去分母、去括号、移项、合并同类项、系数化为1,这仅是解一元一次方程的一般步骤,针对方程的特点,灵活应用,各种步骤都是为使方程逐渐向x=a 形式转化.26.下列各等式的变形中,等式的性质运用正确的是( )A .由02x =,得2x =B .由14x -=,得5x =C .由23a =,得23a =D .由a b =,得a b c c= B 解析:B【解析】【分析】 利用等式的基本性质判断即可.【详解】解:A 、由02x =,得x=0,不符合题意; B 、由x-1=4,得x=5,符合题意; C 、由2a=3,得a=32,不符合题意; D 、由a=b ,c≠0,得a b c c =,不符合题意; 故选:B .【点睛】本题考查了等式的性质,熟练掌握等式的基本性质是解题的关键.27.如图33⨯网格中,每一横行、每一竖列以及两条斜对角线上的三个数的和都相等,则b a -的值是( )A .3-B .2-C .2D .3D解析:D【分析】 根据题意,可以找到很多数量关系,那么选取合适的关系列出等式是关键,仔细观察网格图,可以发现第一纵行与第二橫行互相交叉,有相同的空格,同时包含了参数a 与b ,根据该等量关系可以列出等式解答.【详解】解:设第二橫行第一个空格为字母c ,如下图,据题意得, 85a c c b ++=++,移项可得, 3b a -=.故选:D.【点睛】本题以幻方形式考查等式与方程的应用,理解题意,观察图形,找到合适的等量关系列出等式是解答关键.28.已知,每本练习本比每根水性笔便宜2元,小刚买了6本练习本和4根水性笔正好用去18元,设水性笔的单价为x 元,下列方程正确的是( )A .6(x+2)+4x =18B .6(x ﹣2)+4x =18C .6x+4(x+2)=18D .6x+4(x ﹣2)=18B解析:B【分析】等量关系为:6本练习本总价+4支水性笔总价钱=18.【详解】解:水性笔的单价为x 元,那么练习本的单价为(x ﹣2)元,则6(x ﹣2)+4x =18,故选B .【点睛】本题主要考查了由实际问题抽象出一元一次方程,列方程解应用题的关键是找出题目中的相等关系.29.某校社团活动课中,手工制作社的同学用一种彩色硬纸板制作某种长方体小礼品的包装盒,每张硬纸板可制作盒身12个,或制作盒底18个,1个盒身与2个盒底配成一套.现有28张这种彩色硬纸板,要使盒身和盒底刚好配套,若设需要x 张做盒身,则下列所列方程正确的是( )A .()182812x x -=B .()1828212x x -=⨯C .()181412x x -=D .()2182812x x ⨯-= B 解析:B【分析】若设需要x 张硬纸板制作盒身,则(28-x )张硬纸板制作盒底,然后根据1个盒身与2个盒底配成一套列出方程即可.【详解】解:若设需要x 张硬纸板制作盒身,则(28-x )张硬纸板制作盒底,由题意可得, 18(28-x )=2×12x ,故选:B .【点睛】本题考查由实际问题抽象出一元一次方程,解答本题的关键是明确题意,找出题目中的等量关系,列出相应的方程.30.“某工厂用如图甲所示的长方形和正方形纸板做成如图乙所示的 A 、B 两种长方体形状的无盖纸盒.现 有正方形纸板 120 张,长方形纸板 360 张,刚好全部用完,问能做成多少个 A 型盒子?”则下列结论 正确的个数是( )①甲同学:设 A 型盒子个数为 x 个,根据题意可得: 4x + 3 ⋅1202x - = 360 ②乙同学:设 B 型盒中正方形纸板的个数为 m 个,根据题意可得: 3 ⋅2m + 4(120 - m ) = 360③A 型盒 72 个④B 型盒中正方形纸板 48 个A .1B .2C .3D .4D解析:D【分析】 根据题意可知,A 型纸盒需要4个长方形纸板,1个正方形纸板,B 型纸盒需要3个长方形纸板和2个正方形纸板,设A 型盒子个数为x 个,可得A 型纸盒需要长方形纸板的数量和B 型纸盒需要长方形纸板的数量,可列出方程对①进行判断;设B 型盒中正方形纸板的个数为m 个,可得B 型纸盒需要长方形纸板的数量和A 型纸盒需要长方形纸板的数量,可列出方程对②进行判断;设做A 型盒子用了正方形纸板x 张,做B 型盒子用了正方形纸板y 张,则可得A 型盒子x 个,B 型盒子y 个,根据长方形纸板360张,正方形纸板120张,可得出方程组,求出A 型纸盒和B 型纸盒的数量可对③④进行判断.【详解】设A 型盒子个数为x 个,则A 型纸盒需要长方形纸板4x 张,正方形纸板x 张,由于制作一个B 型纸盒需要两张正方形纸板,因此可得B 型纸盒的数量为1202x -个,需要长方形纸板3×1202x -张,因此可得120433602x x -+=,故①正确;设B 型盒中正方形纸板的个数为m 个,则B 型纸盒有2m 个,需要长方形纸板3×2m 个,A 型纸盒有(120-m )个,则需长方形纸板4(120-m )个,所以可得方程3×2m +4(120-m )=120,故②正确;设做A 型盒子用了正方形纸板x 张,做B 型盒子用了正方形纸板y 张,则有, 212043360x y x y +=⎧⎨+=⎩解得,7224x y =⎧⎨=⎩即,A 型纸盒有72个,B 型纸盒有24个,所以B 型盒中正方形纸板 48 个故③④正确.故选D.【点睛】本题考查了列一元一次方程和二元一次方程组的应用,解答本题时注意无盖盒子中的长方形及正方形的个数之间的关系是解答的关键.。
一、初一数学一元一次方程解答题压轴题精选(难)1.今年夏天,我州某地区遭受罕见的水灾,“水灾无情人有情”,州里某单位给该地区某中学捐献一批饮用水和蔬菜共320件,其中饮用水比蔬菜多80件。
(1)求饮用水和蔬菜各有多少件。
(2)现计划租用甲、乙两种型号的货车共8辆,一次性将这批饮用水和蔬菜全部运往受灾地区某中学。
已知每辆甲型货车最多可装饮用水40件和蔬菜10件,每辆乙型货车最多可装饮用水和蔬菜各20件,则该单位安排甲、乙两种货车时有几种方案?请你帮忙设计出来。
(3)在(2)的条件下,如果甲型货车每辆需付运费400元,乙型货车每辆需付运费360元。
该单位应选择哪种方案可使运费最少?最少运费是多少元?【答案】(1)解:设蔬菜有x件,根据题意得解得:答:蔬菜有件、饮用水有件(2)解:设安排甲种货车a辆,根据题意得解得:∵a为正整数∴或或∴有三种方案:①甲种货车2辆,乙种货车6辆;②甲种货车3辆,乙种货车5辆;③甲种货车4辆,乙种货车4辆(3)解:方案①:(元)方案②:(元)方案③:(元)∵∴选择方案①可使运费最少,最少运费是元【解析】【分析】(1)设蔬菜有x件,根据题意列出方程,求出方程的解,即可求解;(2)设安排甲种货车a辆,根据题意列出不等式组,求出不等式组的解集,由a为正整数,得出a为2或3或4,即可求出有三种方案;(3)分别求出三种方案的运费,即可求解.2.约定:上方相邻两数之和等于这两数下方箭头共同指向的数.示例:如图1,即4+3=7,观察图2,求:(1)用含x的式子分别表示m和n;(2)当y=-7时,求n的值。
【答案】(1)解:根据约定的方法可得:m=x+2x=3x;n=2x+3;(2)解:x+2x+2x+3=m+n=y当y=-7时,5x+3=-7解得x=-2.∴n=2x+3=-4+3=-1【解析】【分析】(1)根据约定:上方相邻两数之和等于这两数下方箭头共同指向的数,分别列式即可;(2)根据约定可得m+n=y,代入上题的关系整理可得关于x的一元一次方程,解出x, 代入n的表达式求值即可.3.一根长80厘米的弹簧,一端固定,如果另一端挂上物体,那么在正常情况下物体的质量每增加1千克可使弹簧增长2厘米。
一、选择题1.某养殖场2018年年底的生猪出栏价格是每千克a 元.受市场影响,2019年第一季度出栏价格平均每千克下降了15%,到了第二季度平均每千克比第一季度又上升了20%,则第三季度初这家养殖场的生猪出栏价格是每千克( )A .(1-15%)(1+20%)a 元B .(1-15%)20%a 元C .(1+15%)(1-20%)a 元D .(1+20%)15%a 元2.下列用代数式表示正确的是( )A .a 是一个数的8倍,则这个数是8aB .2x 比一个数大5,则这个数是2x +5C .一件上衣的进价为50元,售价为a 元,用代数式表示一件上衣的利润为(50-a )元D .小明买了5支铅笔和4本练习本,其中铅笔x 元1支,练习本y 元1本,那么他应付(5x +4y )元3.下列代数式的书写,正确的是( )A .5nB .n5C .1500÷tD .114x 2y 4.某公司今年2月份的利润为x 万元,3月份比2月份减少8%,4月份比3月份增加了10%,则该公司4月份的利润为(单位:万元)( )A .(x ﹣8%)(x+10%)B .(x ﹣8%+10%)C .(1﹣8%+10%)xD .(1﹣8%)(1+10%)x 5.已知一个多项式与3x 2+9x 的和等于5x 2+4x ﹣1,则这个多项式是( ) A .2x 2﹣5x ﹣1B .﹣2x 2+5x+1C .8x 2﹣5x+1D .8x 2+13x ﹣1 6.已知-25a 2m b 和7b 3-n a 4是同类项,则m +n 的值是( ) A .2B .3C .4D .6 7.若 3x m y 3 与﹣2x 2y n 是同类项,则( ) A .m=1,n=1 B .m=2,n=3 C .m=﹣2,n=3 D .m=3,n=2 8.把有理数a 代数410a +-得到1a ,称为第一次操作,再将1a 作为a 的值代入410a +-得到2a ,称为第二次操作,...,若a =23,经过第2020次操作后得到的是( )A .-7B .-1C .5D .119.下列变形中,正确的是( )A .()x z y x z y --=--B .如果22x y -=-,那么x y =C .()x y z x y z -+=+-D .如果||||x y =,那么x y =10.下列各式中,符合代数书写规则的是( )A .273xB .14a ⨯C .126p -D .2y z ÷ 11.探索规律:根据下图中箭头指向的规律,从2013到2014再到2015,箭头的方向是( )A .B .C .D . 12.如图是按照一定规律画出的“树形图”,经观察可以发现:图A 2比图A 1多出2个“树枝”,图A 3比图A 2多出4个“树枝”,图A 4比图A 3多出8个“树枝”……照此规律,图A 6比图A 2多出“树枝”( )A .32个B .56个C .60个D .64个二、填空题13.与22m m +-的和是22m m -的多项式为__________.14.如图,阴影部分的面积用整式表示为_________.15.关于x 的二次三项式的一次项的系数为5,二次项的系数是-3,常数项是-4.按照x 的次数逐渐减小排列,这个二次三项式为____.16.将代数式4a 2b +3ab 2﹣2b 3+a 3按a 的升幂排列的是_____.17.已知()()2420b k k a k =--≠,用含有b 、k 的代数式表示a ,则a =______.18.两堆棋子,将第一堆的2个棋子移到第二堆去之后,第二堆棋子数就成了第一堆棋子数的2倍.设第一堆原有a 个棋子,第二堆原有______个棋子.19.用棋子按下列方式摆图形,依照此规律,第n 个图形比第()1n -个图形多______枚棋子. …第1个 第2个 第3个20.已知()11nn a =-+,当1n =时,10a =;当2n =时,22a =;当3n =时,30a =;…;则123a a a ++456a a a +++的值为______.三、解答题21.定义:若2m n +=,则称m 与n 是关于1的平衡数.(1)3与______是关于1的平衡数,5x -与______(用含x 的整式表示)是关于1的平衡数;(2)若()22234a x x x =-++,()22342b x x x x ⎡⎤=--+-⎣⎦,判断a 与b 是否是关于1的平衡数,并说明理由.22.设A =2x 2+x ,B =kx 2-(3x 2-x+1).(1)当x= -1时,求A 的值;(2)小明认为不论k 取何值,A-B 的值都无法确定.小红认为k 可以找到适当的数,使代数式A-B 的值是常数.你认为谁的说法正确?请说明理由.23.已知单项式﹣2x 2y 的系数和次数分别是a ,b .(1)求a b ﹣ab 的值;(2)若|m|+m=0,求|b ﹣m|﹣|a+m|的值.24.观察下列等式:21=2,22=4,23=8,24=16,25=32,26=64,27=128,…,通过观察,用你所发现的规律确定22017的个位数字.25.生活中,有人喜欢把传送的便条折成形状,折叠过程是这样的(阴影部分表示纸条的反面):如果由信纸折成的长方形纸条(图①)长为26cm ,宽为cm x ,分别回答下列问题:(1)为了保证能折成图④的形状(即纸条两端均超出点P ),试求P 的取值范围. (2)如果不但要折成图④的形状,而且为了美观,希望纸条两端超出点P 的长度相等,即最终图形是轴对称图形,试求在开始折叠时起点M 与点P 的距离(用P 表示)26.给定一列分式:3x y ,52x y -,73x y ,94x y-,…(其中0x ≠). (1)把任意一个分式除以前面一个分式,你发现了什么规律?(2)根据你发现的规律,试写出给定的那列分式中的第7个分式和第8个分式.【参考答案】***试卷处理标记,请不要删除一、选择题1.A解析:A【分析】由题意可知:2019年第一季度出栏价格为2018年底的生猪出栏价格的(1-15%),第二季度平均价格每千克是第一季度的(1+20%),由此列出代数式即可.【详解】第三季度初这家养殖场的生猪出栏价格是每千克(1-15%)(1+20%)a 元.故选:A .【点睛】本题考查列代数式,注意题目蕴含的数量关系,找准关系是解决问题的关键.2.D解析:D【分析】根据题中叙述列出代数式即可判断.【详解】A 、a 是一个数的8倍,则这个数是8a ,错误,不符合题意; B 、2x 比一个数大5,则这个数是25x -,错误,不符合题意;C 、一件上衣的进价为50元,售价为a 元,用代数式表示一件上衣的利润为( 50a -)元,错误,不符合题意;D 、小明买了5支铅笔和4本练习本,其中铅笔x 元1支,练习本y 元1本,那么他应付(5x +4y )元,正确,符合题意;故选:D .【点睛】本题考查了列代数式,要注意语句中的关键字,解决问题的关键是读懂题意,找到所求的量的等量关系.3.A解析:A【分析】直接利用代数式书写方法分析得出答案.【详解】解:A 、5n ,书写正确,符合题意;B 、n5,书写错误,不合题意;C 、1500÷t ,应为1500t ,故书写错误,不合题意; D 、114x 2y=54x 2y ,故书写错误,不合题意; 故选:A .【点睛】此题主要考查了代数式,正确把握代数式的书写方式是解题关键.4.D解析:D【分析】首先利用减小率的意义表示出3月份的利润,然后利用增长率的意义表示出4月份的利润.【详解】解:由题意得3月份的产值为(1﹣8%)x ,4月份的产值为(1﹣8%)(1+10%)x . 故选:D .【点睛】本题考查了列代数式,正确理解增长率以及下降率的定义是关键.5.A解析:A【分析】根据由题意可得被减式为5x 2+4x-1,减式为3x 2+9x ,求出差值即是答案.【详解】由题意得:5x 2+4x−1−(3x 2+9x),=5x 2+4x −1−3x 2−9x ,=2x 2−5x−1.故答案选A.【点睛】本题考查了整式的加减,解题的关键是熟练的掌握整式的加减运算.6.C解析:C【分析】本题根据同类项的性质求解出m 和n 的值,代入求解即可.【详解】由已知得:2431m n =⎧⎨-=⎩,求解得:22m n =⎧⎨=⎩, 故224m n +=+=;故选:C .【点睛】本题考查同类项的性质,按照对应字母指数相同原则列式求解即可,注意计算仔细. 7.B解析:B【分析】根据同类项是字母相同且相同字母的指数也相,可得答案.【详解】33m x y 和22n x y ﹣是同类项,得m=2,n=3,所以B 选项是正确的.【点睛】本题考查了同类项,利用了同类项的定义.8.A解析:A【分析】先确定第1次操作,a 1=|23+4|-10=17;第2次操作,a 2=|17+4|-10=11;第3次操作,a 3=|11+4|-10=5;第4次操作,a 4=|5+4|-10=-1;第5次操作,a 5=|-1+4|-10=-7;第6次操作,a 6=|-7+4|-10=-7;…,后面的计算结果没有变化,据此解答即可.【详解】解:第1次操作,a 1=|23+4|-10=17;第2次操作,a 2=|17+4|-10=11;第3次操作,a 3=|11+4|-10=5;第4次操作,a 4=|5+4|-10=-1;第5次操作,a 5=|-1+4|-10=-7;第6次操作,a 6=|-7+4|-10=-7;第7次操作,a 7=|-7+4|-10=-7;…第2020次操作,a 2020=|-7+4|-10=-7.故选:A .【点睛】本题考查了绝对值和探索规律.解题的关键是先计算,再观察结果是按照什么规律变化的.探寻规律要认真观察、仔细思考,善用联想来解决这类问题.9.B解析:B【分析】根据去括号法则、等式的基本性质以及绝对值的性质逐一判断即可.【详解】A :()x z y x z y --=-+,选项错误;B :如果22x y -=-,那么x y =,选项正确;C :()x y z x y z -+=--,选项错误;D :如果||||x y =,那么x 与y 互为相反数或二者相等,选项错误;故选:B.【点睛】本题主要考查了去括号法则、等式的基本性质与绝对值性质,熟练掌握相关概念是解题关键.10.A解析:A【分析】根据代数式的书写要求判断各项.【详解】A 、273x 符合代数书写规则,故选项A 正确.B 、应为14a ,故选项B 错误; C 、应为136p,故选项C 错误; D 、应为2y z,故选项D 错误; 故选:A .【点睛】此题考查代数式,代数式的书写要求:(1)在代数式中出现的乘号,通常简写成“•”或者省略不写;(2)数字与字母相乘时,数字要写在字母的前面;(3)在代数式中出现的除法运算,一般按照分数的写法来写.带分数要写成假分数的形式.11.D解析:D【分析】根据图中规律可得,每4个数为一个循环组依次循环,用2013除以4,根据商和余数的情况解答即可.【详解】解:由图可知,每4个数为一个循环组依次循环,2013÷4=503余1,即0到2011共2012个数,构成前面503个循环,∴2012是第504个循环的第1个数,2013是第504个循环组的第2个数,∴从2013到2014再到2015,箭头的方向是.故选:D .【点睛】本题考查了数字变化规律,仔细观察图形,发现每4个数为一个循环组依次循环是解题的关键. 12.C解析:C【分析】根据所给图形得到后面图形比前面图形多的“树枝”的个数用底数为2的幂表示的形式,代入求值即可.【详解】∵图A 2比图A 1多出2个“树枝”,图A 3比图A 2多出4个“树枝”,图A 4比图A 3多出8个“树枝”,…,∴图形从第2个开始后一个与前一个的差依次是:2, 22,…, 12n -.∴第5个树枝为15+42=31,第6个树枝为:31+52=63,∴第(6)个图比第(2)个图多63−3=60个故答案为C【点睛】此题考查图形的变化类,解题关键在于找出其规律型.二、填空题13.【分析】直接利用整式的加减运算法则计算得出答案【详解】设多项式A 与多项式的和等于∴A=-()故答案为:【点睛】本题主要考查了整式的加减正确去括号和合并同类项是解题关键解析:32m -+【分析】直接利用整式的加减运算法则计算得出答案.【详解】设多项式A 与多项式22m m +-的和等于22m m -,∴A=22m m --(22m m +-)2222m m m m =---+32m =-+.故答案为:32m -+.【点睛】本题主要考查了整式的加减,正确去括号和合并同类项是解题关键.14.x2+3x +6【分析】阴影部分的面积=三个小矩形的面积的和【详解】如图:阴影部分的面积为:x·x+3x+3×2=x2+3x +6故答案为x2+3x +6【点睛】本题考查了列代数式和代数式求值解决这类问题解析:x 2+3x +6【分析】阴影部分的面积=三个小矩形的面积的和.【详解】如图:阴影部分的面积为:x·x+3x+3×2= x2+3x+6.故答案为x2+3x+6【点睛】本题考查了列代数式和代数式求值,解决这类问题首先要从简单图形入手,认清各图形的关系,然后求解.15.-3x2+5x-4【分析】由于多项式是由单项式组成的而多项式的次数是多项式中次数最高的项的次数而关于x的二次三项式的二次项系数是-3一次项系数是5常数项是-4根据前面的定义即可确定这个二次三项式【详解析:-3x2+5x-4【分析】由于多项式是由单项式组成的,而多项式的次数是“多项式中次数最高的项的次数”,而关于x的二次三项式的二次项系数是-3,一次项系数是5,常数项是-4,根据前面的定义即可确定这个二次三项式.【详解】∵关于x的二次三项式,二次项系数是-3,∴二次项是-3x2,∵一次项系数是,∴一次项是5x,∵常数项是-4,∴这个二次三项式为:-3x2+5x-4.故答案为:-3x2+5x-4【点睛】本题考查了多项式的知识,多项式是由单项式组成的,本题首先要确定是由几个单项式组成,要记住常数项也是一项,单项式前面的符号也应带着.16.﹣2b3+3ab2+4a2b+a3【分析】找出a的次数的高低后由低到高排列即可得出答案【详解】可得出﹣2b3+3ab2+4a2b+a3【点睛】本题考查了代数式中的次数熟悉掌握次数的概念和细心是解决本解析:﹣2b3+3ab2+4a2b+a3.【分析】找出a的次数的高低后,由低到高排列即可得出答案.【详解】可得出﹣2b3+3ab2+4a2b+a3.【点睛】本题考查了代数式中的次数,熟悉掌握次数的概念和细心是解决本题的关键.17.【分析】将已给的式子作恒等式进行变形表示a 由于k≠0先将式子左右同时除以(-4k )再移项系数化1即可表示出a 【详解】∵k≠0∴原式两边同时除以(-4x )得∴∴故答案为【点睛】本题考查的是代数式的表示 解析:2248b k k+ 【分析】将已给的式子作恒等式进行变形表示a ,由于k≠0,先将式子左右同时除以(-4k ),再移项、系数化1,即可表示出a.【详解】∵k≠0,∴原式两边同时除以(-4x )得,224b k a k=-- ∴224b a k k=+, ∴2224828b k b k a k k+=+=, 故答案为2248b k k+. 【点睛】本题考查的是代数式的表示,能够进行合理变形是解题的关键.18.【分析】根据题意可得第二堆现在的棋子数是2(a-2)因此原来的棋子数为2(a-2)-2【详解】解:由题意可得:现在第二堆有2(a-2)个棋子因此原来第二堆有2(a-2)-2=2a-6个棋子故答案为:解析:()26a -【分析】根据题意可得第二堆现在的棋子数是2(a -2),因此原来的棋子数为2(a -2)-2.【详解】解:由题意可得:现在第二堆有2(a -2)个棋子,因此原来第二堆有2(a -2)-2=2a -6个棋子.故答案为:(2a -6).【点睛】本题考查了整式加减的应用,根据题意列出代数式是解决此题的关键.19.【分析】归纳总结找出第n 个图形与第(n-1)个图形中的棋子数相减即可得到结果【详解】解:第1个图形棋子的个数:1;第2个图形1+4;第3个图形1+4+7;第4个图形1+4+7+10;…第n 个图形1+解析:32n -【分析】归纳总结找出第n 个图形与第(n-1)个图形中的棋子数,相减即可得到结果.【详解】解:第1个图形棋子的个数:1;第2个图形,1+4;第3个图形,1+4+7;第4个图形,1+4+7+10;…第n 个图形,1+4+7+…+(3n -2);则第n 个图形比第(n-1)个图形多(3n-2)枚棋子.故答案为:3n-2【点睛】此题主要考查了图形的变化类问题,同时还考查了学生通过特例分析从而归纳总结出一般结论的能力.20.【分析】利用乘方符号的规律当n 为奇数时(-1)n=-1;当n 为偶数时(-1)n=1找到此规律就不难得到答案6【详解】∵当n 为奇数时此时;当n 为偶数时(-1)n=1此时∴故填:6【点睛】本题乘方符号的解析:【分析】利用乘方符号的规律,当n 为奇数时,(-1)n =-1;当n 为偶数时,(-1)n =1.找到此规律就不难得到答案6.【详解】∵当n 为奇数时,(1)1n -=-,此时110n a =-+=;当n 为偶数时,(-1)n =1,此时112n a =+=.∴1234560202026a a a a a a +++++=+++++=.故填:6.【点睛】本题乘方符号的规律,解题的关键是找出(1)n-的符号规律. 三、解答题21.(1)1-,3x -;(2)不是,理由见解析【分析】(1)由平衡数的定义求解即可达到答案;(2)计算a+b 是否等于1即可;【详解】解:(1)1-,3x -;(2)a 与b 不是关于1的平衡数.理由如下:因为()22234a x x x =-++,()22342b x x x x ⎡⎤=--+-⎣⎦,所以()()2222342342a b x x x x x x x ⎡⎤+=-+++--+-⎣⎦, 22223342342x x x x x x x =--++-+++,62=≠,所以a 与b 不是关于1的平衡数.【点睛】本题主要考查了整式的加减,准确分析计算是解题的关键.22.(1)A =1;(2)小红的说法正确,理由见解析.【解析】试题分析:(1)把x=-1代入A 进行计算即可得;(2)先计算出A-B ,根据结题即可得.试题(1)当x=-1时,A=2x 2+x=2×(-1)2+(-1)=2-1=1;(2)小红的说法正确,理由如下:A-B=(2x 2+x )-[kx 2-(3x 2-x+1)]=(5-k )x 2+1,所以当k=5时,A-B=1,所以小红的说法是正确的.23.(1)﹣2;(2)1.【分析】(1)根据单项式的系数是数字因数,次数是字母指数的和,可得a 、b 的值,根据代数式求值,可得答案;(2)非正数的绝对值是它的相反数,可得m 的取值范围,根据差的绝对值是大数减小数,可得答案.【详解】解:由题意,得a=﹣2,b=2+1=3.a b ﹣ab=(﹣2)3﹣(﹣2)×3=﹣8+6=﹣2;(2)由|m|+m=0,得m≤0.|b ﹣m|﹣|a+m|=b ﹣m+(a+m )=b+a=3+(﹣2)=1;【点睛】本题考查了单项式的系数和次数的性质,掌握单项式中数字因数叫做单项式的系数,所有的字母的指数之和为次数是解决本题的关键.24.22017的个位数字是2.【分析】根据已知的等式观察得到规律:24n+1的个位数字是2,24n+2的个位数字是4,24n+3的个位数字是8,24n+4的个位数字是6(n 为自然数),每四个一循环,由此得到答案.【详解】观察可知:24n+1的个位数字是2,24n+2的个位数字是4,24n+3的个位数字是8,24n+4的个位数字是6(n 为自然数),每四个一循环,∵22017=450412⨯+,∴22017的个位数字是2.【点睛】此题考查数字的规律,有理数乘方计算的实际应用,观察已知中等式的特点总结规律,并运用规律解答问题是解题的关键.25.(1) x <5.2(2) 13-1.5x【详解】分析:(1)按图中方式折叠后可得到除去两端,纸条使用的长度为5x ,那么纸条使用的长度应大于0,小于纸条总长度.(2)是轴对称图形,那么AM=AP+x .解答:解:(1)由折纸过程可知0<5x <26,∴0<x <5.2.(2)∵图④为轴对称图形,∴AM=2652x -+x=13-1.5x , 即点M 与点A 的距离是(13-1.5x )cm . 点评:本题考查学生的动手操作能力,难点是得到纸条除去两端使用的纸条的长度.26.(1)任意一个分式除以前面一个分式,都得2x y -.(2)第7个分式为157x y,第8个分式为178x y-. 【分析】(1)分别算出第二个与第一个,第三个与第二个,第四个与第三个分式的除法结果,即可发现规律;(2)根据题中所给的式子找出分子、分母的指数变化规律、再找出符号的正负交替变化规律,根据规律写出所求的式子.【详解】解:(1)5352223x x x y x y y y x y, 757223235x x x y x y y y x y , 979324347x x x y x y y y x y , …… ∴任意一个分式除以前面一个分式,都得2x y-. (2)∵由式子3579234x x x x y y y y,-,,- …,发现分母上是y 1,y 2,y 3,y 4,……所以第7个式子分母上是y 7,第8个分母上是y 8;分子上是x 3,x 5,x 7,x 9,……所以第7个式子分子上是x 15,第8个分子上是x 17,再观察符号发现,第偶数个为负,第奇数个为正,∴第7个分式为157xy,第8个分式为178xy.【点睛】本题考查式子的规律,根据题意分别找出分子和分母及符号的变化规律是解答此题的关键.。
一、初一数学一元一次方程解答题压轴题精选(难)1.如图,动点A从原点出发向数轴负方向运动,同时,动点B也从原点出发向数轴正方向运动,运动到3秒钟时,两点相距15个单位长度.已知动点A、B的运动速度比之是3∶2(速度单位:1个单位长度/秒).(1)求两个动点运动的速度;(2)A、B两点运动到3秒时停止运动,请在数轴上标出此时A、B两点的位置;(3)若A、B两点分别从(2)中标出的位置再次同时开始在数轴上运动,运动的速度不变,运动的方向不限,问:运动到几秒钟时,A、B两点之间相距4个单位长度?【答案】(1)解:设点B的速度为2x个单位长度/秒,则点A的速度为3x个单位长度/秒,根据题意得:3×(2x+3x)=15,解得:x=1,∴3x=3,2x=2,答:动点A的运动速度为3个单位长度/秒,动点B的运动速度为2个单位长度/秒;(2)解:3×3=9,2×3=6,∴运动到3秒钟时,点A表示的数为﹣9,点B表示的数为6;(3)解:设运动的时间为t秒,当A、B两点向数轴正方向运动时,有|3t﹣2t﹣15|=4,解得:t1=11,t2=19;当A、B两点相向而行时,有|15﹣3t﹣2t|=4,解得:t3= 或t4= ,答:经过、、11或19秒,A、B两点之间相距4个单位长度.【解析】【分析】(1)根据已知:动点A、B的运动速度比之是3∶2,因此设点B的速度为2x个单位长度/秒,则点A的速度为3x个单位长度/秒,根据两点相距15,列方程,求解即可。
(2)根据两点的运动速度,就快求出A、B两点运动到3秒时停止运动,就可得出它们的位置。
(3)设运动的时间为t秒,分两种情况:当A、B两点向数轴正方向运动时;当A、B两点相向而行时,分别根据A、B两点之间相距4个单位长度,列方程求出t的值。
2.如图,已知数轴上点A表示的数为8,B是数轴上位于点A左侧一点,且AB=20,(1)写出数轴上点B表示的数________;(2)|5-3|表示5与3之差的绝对值,实际上也可理解为5与3两数在数轴上所对的两点之间的距离.如|x-3|的几何意义是数轴上表示有理数3的点与表示有理数x的点之间的距离.试探索:①:若|x-8|=2,则x =________.②:|x+12|+|x-8|的最小值为________.(3)动点P从O点出发,以每秒5个单位长度的速度沿数轴向右匀速运动,设运动时间为t(t>0)秒.当t=________,A,P两点之间的距离为2;(4)动点P,Q分别从O,B两点,同时出发,点P以每秒5个单位长度沿数轴向右匀速运动,Q点以P点速度的两倍,沿数轴向右匀速运动,设运动时间为t(t>0)秒.当t=________,P,Q之间的距离为4.【答案】(1)﹣12(2)6或10;0(3)1.2或2(4)3.2或1.6【解析】【解答】(1)数轴上B表示的数为8-20=﹣12;(2)①因为互为相反数的两个数绝对值相同,所以由│x-8│=2可得x-8=2或﹣(x-8)=2,解得x=6或10;②因为绝对值最小的数是0,所以│x+12│+│x-8│的最小值是0;(3)根据│A点在数轴上的位置-t秒后P点在数轴上的位置│=A、P两点间的距离列式得│8-5t│=2,因为互为相反数的两个数绝对值相同,所以8-5t=2或﹣(8-5t)=2,解得t=1.2或2;(4)根据t秒后Q点在数轴上的位置-t秒后P点在数轴上的位置│=t秒后P,Q的距离列式得│﹣12+10t-5t│=4,因为互为相反数的两个数绝对值相同,所以﹣12+10t-5t=4或﹣(﹣12+10t-5t)=4,解得t=3.2或1.6.【分析】(1)抓住已知条件:B是数轴上位于点A左侧一点,且AB=20,且点A表示的数是8,就可求出OB的长,从而可得出点B表示的数。
(2)①根据|x-8|=2,可得出x-8=±2,解方程即可求出x的值;根据因为绝对值最小的数是0,因此可得出│x+12│+│x-8│的最小值是0。
(3)根据A,P两点之间的距离为2,可列出方程│8-5t│=2,再解方程求出t的值。
(4)根据t秒后Q点在数轴上的位置-t秒后P点在数轴上的位置│=t秒后P,Q的距离,可得出方程│﹣12+10t-5t│=4,再利用绝对值等于4的是为±4,可列出﹣12+10t-5t=±4,解方程求出t的值即可。
3.下列图表是2017 年某校从参加中考体育测试的九年级学生中随机调查的10 名男生跑1000 米和 10 名女生跑 800米的成绩.(1)按规定,女生跑 800 米的时间不超过 3'24"就可以得满分.该校九年级学生有 490 人,男生比女生少 70 人.请你根据上面成绩,估计该校女生中有多少人该项测试成绩得满分? (2)假如男生 1 号和男生 10 号被分在同组测试,请分析他俩在 400 米的环形跑道测试的过程中能否相遇。
若能,求出发多长时间才能相遇;若不能,说明理由.【答案】(1)解:设男生有x人,女生有(x+70)人,由题意得:x+x+70=490,解得:x=210,则女生x+70=210+70=280(人).故女生得满分人数: (人)(2)解:不能;假设经过x分钟后,1号与10号在1000米跑中能首次相遇,根据题意得:解得又∵∴考生1号与10号不能相遇。
【解析】【分析】(1)通过男生、女生的人数关系列出方程,得出女生的人数;(2)根据题意表达出1号跟10号的速度,两位若相遇,相减的路程为400米,得出的时间为4.8, 但是4.8分钟大于3分钟,所以两位在测试过程中不会相遇。
4.如图1,O为直线AB上一点,过点O作射线OC,∠AOC=30°,将一直角三角板(∠M=30°)的直角顶点放在点O处,一边ON在射线OA上,另一边OM与OC都在直线AB的上方.(1)将图1中的三角板绕点O以每秒3°的速度沿顺时针方向旋转一周.如图2,经过t秒后,OM恰好平分∠BOC.①求t的值;②此时ON是否平分∠AOC?请说明理由;(2)在(1)问的基础上,若三角板在转动的同时,射线OC也绕O点以每秒6°的速度沿顺时针方向旋转一周,如图3,那么经过多长时间OC平分∠MON?请说明理由;(3)在(2)问的基础上,经过多长时间OC平分∠MOB?请画图并说明理由.【答案】(1)解:①∵∠AON+∠BOM=90°,∠COM=∠MOB,∵∠AOC=30°,∴∠BOC=2∠COM=150°,∴∠COM=75°,∴∠CON=15°,∴∠AON=∠AOC﹣∠CON=30°﹣15°=15°,解得:t=15°÷3°=5秒;②是,理由如下:∵∠CON=15°,∠AON=15°,∴ON平分∠AOC(2)解:15秒时OC平分∠MON,理由如下:∵∠AON+∠BOM=90°,∠CON=∠COM,∵∠MON=90°,∴∠CON=∠COM=45°,∵三角板绕点O以每秒3°的速度,射线OC也绕O点以每秒6°的速度旋转,设∠AON为3t,∠AOC为30°+6t,∵∠AOC﹣∠AON=45°,可得:6t﹣3t=15°,解得:t=5秒(3)解:OC平分∠MOB∵∠AON+∠BOM=90°,∠BOC=∠COM,∵三角板绕点O以每秒3°的速度,射线OC也绕O点以每秒6°的速度旋转,设∠AON为3t,∠AOC为30°+6t,∴∠COM为(90°﹣3t),∵∠BOM+∠AON=90°,可得:180°﹣(30°+6t)= (90°﹣3t),解得:t=23.3秒;如图:【解析】【分析】(1)①根据∠AON+∠BOM=90°,∠COM=∠MOB,及平角的定义∠BOC=2∠COM=150°,故∠COM=75°,根据角的和差得出∠CON=15°从而得到AON=∠AOC ﹣∠CON=30°﹣15°=15°,根据旋转的速度,就可以算出t的值了;②根据∠CON=15°,∠AON=15°,即可得出ON平分∠AOC ;(2)15秒时OC平分∠MON,理由如下:∠AON+∠BOM=90°,∠CON=∠COM,从而得出∠CON=∠COM=45°,又三角板绕点O以每秒3°的速度,射线OC也绕O点以每秒6°的速度旋转,设∠AON为3t,∠AOC为30°+6t,根据∠AOC﹣∠AON=45°得出含t的方程,求解得出t的值;(3)根据∠AON+∠BOM=90°,∠BOC=∠COM,及三角板绕点O以每秒3°的速度,射线OC也绕O点以每秒6°的速度旋转,故设∠AON为3t,∠AOC为30°+6t,从而得到∠COM为(90°﹣3t),又∠BOM+∠AON=90°,从而得出含t的方程,就能解出t的值。
5.甲、乙两班学生到集市上购买苹果,苹果的价格如下:购苹果数不超过10千克超过10千克但不超过20千克超过20千克每千克价格10元9元8元苹果30千克.(1)乙班比甲班少付出多少元?(2)设甲班第一次购买苹果x千克.①则第二次购买的苹果为多少千克;②甲班第一次、第二次分别购买多少千克?【答案】(1)解:乙班购买苹果付出的钱数=8×30=240元,∴乙班比甲班少付出256-240=16元(2)解:①甲班第二次购买的苹果为(30-x)千克;②若x≤10,则10x+(30-x)×8=256,解得:x=8若10<x≤15,则9x+(30-x)×9=256无解.故甲班第一次购买8千克,第二次购买22千克【解析】【分析】(1)根据20kg以上每千克的价格为8元可求出乙班付出的钱数,从而可求出乙班比甲班少付出多少.(2)设甲班第一次购买x千克,第二次购买30-x千克,则需要讨论①x≤10,②10<x≤15,列出方程后求解即可得出答案.6.元旦假期,甲、乙两家超市以相同的价格出售同样的商品,为了吸引顾客,各自推出不同的优惠方案:在甲超市当日累计购物超出了300元以后,超出部分按原价8折优惠;在乙超市当日累计购物超出200元之后,超出部分按原价8.5折优惠.设某位顾客在元旦这天预计累计购物x元(其中x>300).(1)当x=400时,顾客到哪家超市购物优惠.(2)当x为何值时,顾客到这两家超市购物实际支付的钱数相同.【答案】(1)解:在甲超市购物所付的费用是:元,在乙超市购物所付的费用是:元;当时,在甲超市购物所付的费用是:,在乙超市购物所付的费用是:,所以到乙超市购物优惠(2)解:根据题意由得:,解得:,答:当时,两家超市所花实际钱数相同【解析】【分析】(1)甲超市费用:利用300元+超出300元部分×0.8即得;乙超市费用:利用200元+超出200元部分×0.85即得;然后将x=400分别代入甲乙超市费用的代数式中计算即可.(2)由甲超市费用=乙超市费用建立方程,求出x值即可.7.对于任意有理数,我们规定 =ad-bc.例如 =1×4-2×3=-2(1)按照这个规定,当a=3时,请你计算(2)按照这个规定,若 =1,求x的值。