《一元一次方程》单元测试卷(附答案)
- 格式:doc
- 大小:276.25 KB
- 文档页数:8
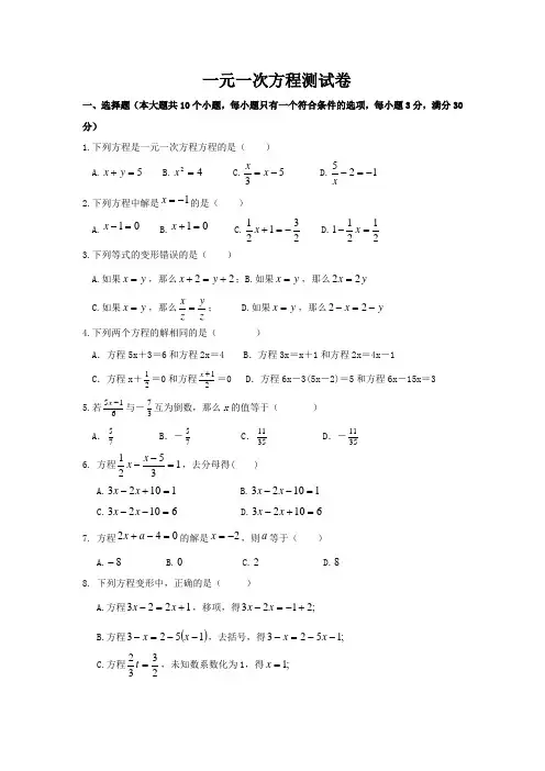
一元一次方程测试卷一、选择题(本大题共10个小题,每小题只有一个符合条件的选项,每小题3分,满分30分)1.下列方程是一元一次方程方程的是( )A. B. C. D.5=+y x 42=x 53-=x x 125-=-x2.下列方程中解是的是( )1-=x A. B. C.D.01=-x 01=+x 23121-=+x 21211=-x 3.下列等式的变形错误的是( )A.如果,那么;B.如果,那么y x =22+=+y x y x =yx 22=C.如果,那么; D.如果,那么y x =zy z x =y x =y x -=-224.下列两个方程的解相同的是( )A .方程5x +3=6和方程2x =4B .方程3x =x +1和方程2x =4x -1C .方程x +=0和方程=0 D .方程6x -3(5x -2)=5和方程6x -15x =32121+x 5.若与-互为倒数,那么x 的值等于( ) 615-x 37A .B .- C . D .-7575351135116. 方程,去分母得( )13521=--x x A. B.11023=+-x x 11023=--x x C. D.61023=--x x 61023=+-x x 7. 方程的解是,则等于( )042=-+a x 2-=x a A. B. C. D.8-0288. 下列方程变形中,正确的是( )A.方程,移项,得1223+=-x x ;2123+-=-x x B.方程,去括号,得()1523--=-x x ;1523--=-x x C.方程,未知数系数化为1,得2332=t ;1=xD.方程化成15.02.01=--x x .63=x 9. 若代数式-的值是2,则的值是( ) x 31x +x A. B. C. D.75.075.15.15.310. 朵朵幼儿园的阿姨给小朋友分苹果,如果每人3个还差3个,如果每人2个又多2个,请问共有多少个小朋友?( )A .4个B .5个C .10个D .12个二、填空题(本大题共10个小题,每小题3分,满分30分)11. 方程的解为________________。
一.选择题(共10小题,满分30分,每小题3分) 1.(3分)下列是一元一次方程的是( ) A .x 2﹣2x ﹣3=0B .x +1=0C .x 2+1x=1D .2x +y =52.(3分)已知方程(a ﹣2)x |a |﹣1+7=0是关于x 的一元一次方程,则a 的值为( )A .2B .﹣2C .±2D .无法确定3.(3分)下列变形正确的是( ) A .由ac =bc ,得a =b B .由x 5=x 5−1,得a =b ﹣1C .由2a ﹣3=a ,得a =3D .由2a ﹣1=3a +1,得a =24.(3分)若关于x 的一元一次方程ax +3x =2的解是x =1,则a 的值为( ) A .1B .﹣1C .5D .﹣55.(3分)若x 3+1与2x −73互为相反数,则m 的值为( )A .34B .43C .−34D .−436.(3分)下列各题中不正确的是( ) A .由5x =3x +1移项得5x ﹣3x =1B .由2(x +1)=x +7去括号、移项、合并同类项得x =5C .由2x −13=1+x −32去分母得2(2x ﹣1)=6+3(x ﹣3)D .由2(2x ﹣1)﹣3(x ﹣3)=1去括号得 4x ﹣2﹣3x ﹣9=17.(3分)一个长方形的周长为26cm ,这个长方形的长减少1cm ,宽增加2cm ,就可成为一个正方形,设长方形的长为xcm ,则可列方程( ) A .x ﹣1=(26﹣x )+2 B .x ﹣1=(13﹣x )+2 C .x +1=(26﹣x )﹣2D .x +1=(13﹣x )﹣28.(3分)某工程,甲单独做需12天完成,乙单独做需8天完成,现由甲先做3天,乙再加入合作,直至完成这项工程,求甲完成这项工程所用的时间.若设甲完成此项工程一共用x 天,则下列方程正确的是( ) A .x +312+x8=1B .x 12+x +38=1 C .x −312+x8=1D .x 12+x −38=1 9.(3分)A 、B 两城相距720km ,普快列车从A 城出发120km 后,特快列车从B 城开往A 城,6h 后两车相遇.若普快列车是特快列车速度的23,且设普快列车速度为xkm /h ,则下列所列方程错误的是( ) A .720﹣6x =6×32x +120B .720+120=6(x +32x )C .6x +6×32x +120=720D .6(x +32x )+120=72010.(3分)如图所示,两人沿着边长为80m 的正方形,按A ⇒B ⇒C ⇒D ⇒A …的方向行走.甲从A 点以每分钟60米的速度,同时乙从B 点以每分钟100米的速度行走,当乙第一次追上甲时,将在正方形( )A .DA 边上B .AB 边上C .BC 边上D .CD 边上二.填空题(共5小题,满分15分,每小题3分)11.(3分)若代数式2x ﹣1与x +2的值相等,则x = . 12.(3分)若2a3x +1与−15x 2x +4的和是单项式,则x 的值为 .13.(3分)若P =2y ﹣2,Q =2y +3,2P ﹣Q =3,则y 的值等于 .14.(3分)某校春游,若包租相同的大巴13辆,那么就有14人没有座位;如果多包租1辆,那么就多了26个空位,若设春游的总人数为x 人,则列方程为15.(3分)为了拓展销路,商店对某种照相机的售价作了调整,按原价的8折出售,此时的利润率为14%,若此种照相机的进价为1200元,问该照相机的原售价是 . 三.解答题(共8小题,满分75分)16.(8分)(1)5+3x =2(5﹣x ); (2)x −13=2x −32+117.(8分)已知方程2﹣3(x +1)=0的解与关于x 的方程x +x2−3k =1﹣2x 的解互为倒数,求(5k +12)3的值.18.(8分)已知x=﹣2是方程2x﹣|k﹣1|=﹣6的解,求k的值.19.(9分)定义:如果两个一元一次方程的解互为相反数,我们就称这两个方程为“兄弟方程”.如方程2x=4和3x+6=0为“兄弟方程”.(1)若关于x的方程5x+m=0与方程2x﹣4=x+1是“兄弟方程”,求m的值;(2)若两个“兄弟方程”的两个解的差为8,其中一个解为n,求n的值;(3)若关于x的方程2x+3m﹣2=0和3x﹣5m+4=0是“兄弟方程”,求这两个方程的解.20.(10分)有3个大人决定带领一些小孩通过旅行社去某旅游景区旅游,其中有两家旅行社可供选择,甲旅行社的收费标准为:大人全价,小孩7折优惠;而乙旅行社不分大人、小孩,一律八折优惠;这两家旅行社的全价一样,都是每人200元.(1)如果带领2个小孩,那么选择哪个旅行社更优惠,为什么(2)如果通过计算这两家旅行社的总费用一样,那么带领的小孩有多少人21.(10分)A、B两地相距70千米,甲从A地出发,每小时行15千米,乙从B地出发,每小时行20千米.(1)若两人同时出发,相向而行,则经过几小时两人相遇(2)若甲在前,乙在后,两人同时同向而行,则几小时后乙超过甲10千米(3)若两人同时出发,相向而行,则几小时后两人相距10千米22.(11分)某工厂加工螺栓、螺帽,已知每1块金属原料可以加工成3个螺栓或4个螺帽(说明:每块金属原料无法同时既加工螺栓又加工螺帽),已知1个螺栓和2个螺帽组成一个零件,为了加工更多的零件,要求螺栓和螺帽恰好配套.请列方程解决下列问题:(1)现有20块相同的金属原料,问最多能加工多少个这样的零件(2)若把26块相同的金属原料全部加工完,问加工的螺栓和螺帽恰好配套吗说明理由(3)若把n块相同的金属原料全部加工完,为了使这样加工出来的螺栓与螺帽恰好配套,请求出n所满足的条件.23.(11分)甲、乙两个超市开展了促销活动:(假设两家超市相同的商品的标价都是一样)甲超市乙超市全场折金额≤200元,没有优惠200<金额≤500元,打9折金额>500元,500元部分打9折,超过500部分打8折(1)当一次性购物标价总额是300元时,甲、乙超市实际上分别付了多少钱(2)当标价总额是多少时甲、乙超市实际付款额一样.(3)小明两次到乙超市分别付款198元和466元,若他只去一次该超市购买同样多的商品,可以节省多少元一元一次方程单元测试题(含答案)参考答案与试题解析一.选择题(共10小题,满分30分,每小题3分) 1.(3分)下列是一元一次方程的是( ) A .x 2﹣2x ﹣3=0B .x +1=0C .x 2+1x=1D .2x +y =5【分析】利用一元一次方程的定义判断即可. 【解答】解:x +1=0是一元一次方程, 故选:B .【点评】此题考查了一元一次方程的定义,熟练掌握一元一次方程的定义是解本题的关键.2.(3分)已知方程(a ﹣2)x |a |﹣1+7=0是关于x 的一元一次方程,则a 的值为( )A .2B .﹣2C .±2D .无法确定【分析】根据一元一次方程的定义,得出|a |﹣1=1,注意a ﹣2≠0,进而得出答案. 【解答】解:由题意得:|a |﹣1=1,a ﹣2≠0, 解得:a =﹣2. 故选:B .【点评】此题主要考查了一元一次方程的定义,正确把握定义得出是解题关键. 3.(3分)下列变形正确的是( ) A .由ac =bc ,得a =b B .由x 5=x 5−1,得a =b ﹣1C .由2a ﹣3=a ,得a =3D .由2a ﹣1=3a +1,得a =2【分析】根据等式的基本性质1:等式的两边都加上或者减去同一个数或同一个整式,所得结果仍是等式;等式性质2:等式的两边都乘以或者除以同一个数(除数不为零),所得结果仍是等式,针对每一个选项进行判断即可解决.【解答】解:A 、由ac =bc ,当c =0时,a 不一定等于b ,错误;B 、由x 5=x5−1,得a =b ﹣5,错误; C 、由2a ﹣3=a ,得a =3,正确; D 、由2a ﹣1=3a +1,得a =﹣2,错误;故选:C .【点评】此题主要考查了等式的性质,关键是熟练掌握等式的性质定理. 4.(3分)若关于x 的一元一次方程ax +3x =2的解是x =1,则a 的值为( ) A .1B .﹣1C .5D .﹣5【分析】把x =1代入方程ax +3x =2得出a +3=2,求出方程的解即可. 【解答】解:把x =1代入方程ax +3x =2得:a +3=2, 解得:a =﹣1, 故选:B .【点评】本题考查了一元一次方程的解和解一元一次方程的应用,解此题的关键是得出关于a 的一元一次方程,难度适中.5.(3分)若x 3+1与2x −73互为相反数,则m 的值为( )A .34B .43C .−34D .−43【分析】利用互为相反数两数之和为0列出方程,求出方程的解即可得到m 的值. 【解答】解:根据题意得:x 3+1+2x −73=0, 去分母得:m +3+2m ﹣7=0, 解得:m =43,故选:B .【点评】此题考查了解一元一次方程,其步骤为:去分母,去括号,移项合并,把未知数系数化为1,求出解.6.(3分)下列各题中不正确的是( ) A .由5x =3x +1移项得5x ﹣3x =1B .由2(x +1)=x +7去括号、移项、合并同类项得x =5C .由2x −13=1+x −32去分母得2(2x ﹣1)=6+3(x ﹣3)D .由2(2x ﹣1)﹣3(x ﹣3)=1去括号得 4x ﹣2﹣3x ﹣9=1 【分析】根据解一元一次方程的步骤依次计算可得.【解答】解:A .由5x =3x +1移项得5x ﹣3x =1,此选项正确;B .由2(x +1)=x +7去括号、移项、合并同类项得x =5,此选项正确;C .由2x −13=1+x −32去分母得2(2x ﹣1)=6+3(x ﹣3),此选项正确; D .由2(2x ﹣1)﹣3(x ﹣3=1)去括号得 4x ﹣2﹣3x +9=1,此选项错误;故选:D .【点评】本题主要考查解一元一次方程,解题的关键是掌握解一元一次方程的一般步骤:去分母、去括号、移项、合并同类项、系数化为1,这仅是解一元一次方程的一般步骤,针对方程的特点,灵活应用,各种步骤都是为使方程逐渐向x =a 形式转化.7.(3分)一个长方形的周长为26cm ,这个长方形的长减少1cm ,宽增加2cm ,就可成为一个正方形,设长方形的长为xcm ,则可列方程( ) A .x ﹣1=(26﹣x )+2 B .x ﹣1=(13﹣x )+2 C .x +1=(26﹣x )﹣2D .x +1=(13﹣x )﹣2【分析】首先理解题意找出题中存在的等量关系:长方形的长﹣1cm =长方形的宽+2cm ,根据此列方程即可.【解答】解:设长方形的长为xcm ,则宽是(13﹣x )cm ,根据等量关系:长方形的长﹣1cm =长方形的宽+2cm ,列出方程得:x ﹣1=(13﹣x )+2,故选:B .【点评】列方程解应用题的关键是找出题目中的相等关系,有的题目所含的等量关系比较隐藏,要注意仔细审题,耐心寻找.8.(3分)某工程,甲单独做需12天完成,乙单独做需8天完成,现由甲先做3天,乙再加入合作,直至完成这项工程,求甲完成这项工程所用的时间.若设甲完成此项工程一共用x 天,则下列方程正确的是( ) A .x +312+x 8=1B .x 12+x +38=1 C .x −312+x8=1D .x 12+x −38=1 【分析】设甲完成此项工程一共用x 天,则乙完成此项工程一共用(x ﹣3)天,根据甲完成的部分+乙完成的部分=整个工作量(单位1),即可得出关于x 的一元一次方程,此题得解.【解答】解:设甲完成此项工程一共用x 天,则乙完成此项工程一共用(x ﹣3)天, 根据题意得:x 12+x −38=1.故选:D .【点评】本题考查了由实际问题抽象出一元一次方程,找准等量关系,正确列出一元一次方程是解题的关键.9.(3分)A 、B 两城相距720km ,普快列车从A 城出发120km 后,特快列车从B 城开往A 城,6h 后两车相遇.若普快列车是特快列车速度的23,且设普快列车速度为xkm /h ,则下列所列方程错误的是( ) A .720﹣6x =6×32x +120 B .720+120=6(x +32x ) C .6x +6×32x +120=720D .6(x +32x )+120=720【分析】设普快列车速度为x 千米/时,则特快列车的速度为32x 千米/时,根据相遇问题的数量关系建立方程求出其解即可.【解答】解:设普快列车速度为x 千米/时,则特快列车的速度为32x 千米/时,由题意,得:120+6(x +32x )=720,故列方程错误的是B . 故选:B .【点评】本题考查了由实际问题抽象一元一次方程的知识,解答本题的关键是仔细审题,根据等量关系建立方程.10.(3分)如图所示,两人沿着边长为80m 的正方形,按A ⇒B ⇒C ⇒D ⇒A …的方向行走.甲从A 点以每分钟60米的速度,同时乙从B 点以每分钟100米的速度行走,当乙第一次追上甲时,将在正方形( )A .DA 边上B .AB 边上C .BC 边上D .CD 边上【分析】要想知道乙追到甲时在哪一边上,则必须知道它们追上时所行的路程,那么只要求出追到时的时间,就可求出路程.根据路程计算沿正方形所走的圈数,就可知道在哪一边上.【解答】解:设乙第一次追上甲时,所用的时间为x ,依题意得:100x =60x +3×80 解得:x =6∴乙第一次追上甲时所行走的路程为:6×100=600m ∵正方形边长为80m ,周长为320m ,∴当乙第一次追上甲时,将在正方形AB 边上.故选:B.【点评】解决此题的关键是要求出它们相遇时的路程,然后根据路程求沿正方形所行的圈数,即可知道在哪一边上.二.填空题(共5小题,满分15分,每小题3分)11.(3分)若代数式2x﹣1与x+2的值相等,则x= 3 .【分析】根据题意列出方程,求出方程的解即可得到x的值.【解答】解:根据题意得:2x﹣1=x+2,移项合并得:x=3,故答案为:3【点评】此题考查了解一元一次方程,熟练掌握运算法则是解本题的关键.12.(3分)若2a3x+1与−15x2x+4的和是单项式,则x的值为 3 .【分析】根据同类项的定义(所含字母相同,相同字母的指数相同),即可求解.【解答】解:根据题意得:3x+1=2x+4,解得:x=3.故答案是:3.【点评】考查了同类项,同类项定义中的两个“相同”:相同字母的指数相同,是易混点,因此成了中考的常考点.13.(3分)若P=2y﹣2,Q=2y+3,2P﹣Q=3,则y的值等于 5 .【分析】把P、Q的值代入2P﹣Q=3,得关于y的一次方程,求解方程即可.【解答】解:把P=2y﹣2,Q=2y+3,代入2P﹣Q=3,得2(2y﹣2)﹣(2y+3)=3整理,得2y=10,所以y=5.故答案为:5【点评】本题考查了一元一次方程的解法.把P、Q的值代入得关于y的方程是解决本题的关键.14.(3分)某校春游,若包租相同的大巴13辆,那么就有14人没有座位;如果多包租1辆,那么就多了26个空位,若设春游的总人数为x人,则列方程为x−1413=x+2614【分析】设春游的总人数是x人,根据大巴的载客量做为等量关系列方程求解.【解答】解:设春游的总人数是x 人.根据题意所列方程为x −1413=x +2614, 故答案为:x −1413=x +2614. 【点评】本题考查理解题意的能力,因为同样的大巴,所以以大巴的载客量做为等量关系列方程求解.15.(3分)为了拓展销路,商店对某种照相机的售价作了调整,按原价的8折出售,此时的利润率为14%,若此种照相机的进价为1200元,问该照相机的原售价是 1710元 .【分析】设该照相机的原售价是x 元,从而得出售价为,等量关系:实际售价=进价(1+利润率),列方程求解即可.【解答】解:设该照相机的原售价是x 元,根据题意得:=1200×(1+14%),解得:x =1710.答:该照相机的原售价是1710元.故答案为:1710元.【点评】此题考查了一元一次方程的应用,与实际结合,是近几年的热点考题,首先读懂题目的意思,根据题目给出的条件,找出合适的等量关系,列出方程,再求解三.解答题(共8小题,满分75分)16.(8分)(1)5+3x =2(5﹣x );(2)x −13=2x −32+1 【分析】(1)根据一元一次方程的解法,去括号、移项、合并同类项、系数化为1即可得解;(2)这是一个带分母的方程,所以要先去分母,再去括号,最后移项,化系数为1,从而得到方程的解.【解答】解:(1)去括号得,5+3x =10﹣2x ,移项得,3x +2x =10﹣5,合并同类项得,5x =5,系数化为1得,x =1;(2)去分母得,2(x ﹣1)=3(2x ﹣3)+6,去括号得,2x ﹣2=6x ﹣9+6,移项得,2x ﹣6x =﹣9+6+2,合并同类项得,﹣4x =﹣1,系数化为1得,x =14;【点评】本题主要考查了解一元一次方程,注意在去分母时,方程两端同乘各分母的最小公倍数时,不要漏乘没有分母的项,同时要把分子(如果是一个多项式)作为一个整体加上括号.17.(8分)已知方程2﹣3(x +1)=0的解与关于x 的方程x +x 2−3k =1﹣2x 的解互为倒数,求(5k +12)3的值.【分析】先求出第一个方程的解得x =−13,再根据倒数的定义把x =﹣3代入第二个方程,求出5k =﹣17,然后代入(5k +12)3,计算即可.【解答】解:解方程2﹣3(x +1)=0得:x =−13,−13的倒数为﹣3,把x =﹣3代入方程x +x 2−3k =1﹣2x 得:x −32−3k =1+6, 解得:5k =﹣17,则(5k +12)3=(﹣17+12)3=﹣125.【点评】本题考查了倒数、解一元一次方程、代数式求值,能得出关于k 的方程是解此题的关键.18.(8分)已知x =﹣2是方程2x ﹣|k ﹣1|=﹣6的解,求k 的值.【分析】将x =﹣2代入原方程,即可得出关于k 的含绝对值符号的一元一次方程,解之即可得出结论.【解答】解:∵x =﹣2是方程2x ﹣|k ﹣1|=﹣6的解,∴代入得:﹣4﹣|k ﹣1|=﹣6,∴|k ﹣1|=2,∴k ﹣1=2或k ﹣1=﹣2,解得:k =3或k =﹣1.答:k 的值是3或﹣1.【点评】本题考查了一元一次方程的解,将x =﹣2代入原方程,找出关于k 的含绝对值符号的一元一次方程是解题的关键.19.(9分)定义:如果两个一元一次方程的解互为相反数,我们就称这两个方程为“兄弟方程”.如方程2x =4和3x +6=0为“兄弟方程”.(1)若关于x 的方程5x +m =0与方程2x ﹣4=x +1是“兄弟方程”,求m 的值;(2)若两个“兄弟方程”的两个解的差为8,其中一个解为n ,求n 的值;(3)若关于x 的方程2x +3m ﹣2=0和3x ﹣5m +4=0是“兄弟方程”,求这两个方程的解.【分析】(1)根据新定义运算法则解答;(2)根据“兄弟方程”的定义和已知条件得到:n ﹣(﹣n )=8或﹣n ﹣n =8,解方程即可;(3)求得方程2x +3m ﹣2=0和3x ﹣5m +4=0解,然后由“兄弟方程”的定义解答.【解答】解:(1)方程2x ﹣4=x +1的解为x =5,将x =﹣5代入方程5x +m =0得m =25;(2)另一解为﹣n .则n ﹣(﹣n )=8或﹣n ﹣n =8,∴n =4或n =﹣4;(3)方程2x +3m ﹣2=0的解为x =−3x +22, 方程3x ﹣5m +4=0的解为x =5x −43, 则−3x +22+5x −43=0, 解得m =2.所以,两解分别为﹣2和2.【点评】考查了一元一次方程的解的定义,解题的关键是掌握“兄弟方程”的定义.20.(10分)有3个大人决定带领一些小孩通过旅行社去某旅游景区旅游,其中有两家旅行社可供选择,甲旅行社的收费标准为:大人全价,小孩7折优惠;而乙旅行社不分大人、小孩,一律八折优惠;这两家旅行社的全价一样,都是每人200元.(1)如果带领2个小孩,那么选择哪个旅行社更优惠,为什么(2)如果通过计算这两家旅行社的总费用一样,那么带领的小孩有多少人【分析】(1)根据旅行社收费标准,分别求出两家旅行社所需的费用,再比较即可;(2)设带领的小孩有x人,根据这两家旅行社的总费用一样列出方程,求解即可.【解答】解:(1)由题意可得,甲旅行社所需费用为:3×200+×200×2=880(元),乙旅行社所需费用为:×(3+2)×200=800(元),故选择乙旅行社更优惠;(2)设带领的小孩有x人,根据题意得3×200+×200x=×(3+x)×200,解得x=6.答:如果这两家旅行社的总费用一样,那么带领的小孩有6人.【点评】本题考查了一元一次方程的应用,解题关键是要读懂题目的意思,根据题目给出的条件,找出合适的等量关系列出方程.21.(10分)A、B两地相距70千米,甲从A地出发,每小时行15千米,乙从B地出发,每小时行20千米.(1)若两人同时出发,相向而行,则经过几小时两人相遇(2)若甲在前,乙在后,两人同时同向而行,则几小时后乙超过甲10千米(3)若两人同时出发,相向而行,则几小时后两人相距10千米【分析】(1)根据题意可以列出相应的一元一次方程,从而可以解答本题;(2)根据题意可以列出相应的一元一次方程,从而可以解答本题;(3)根据题意可以列出相应的一元一次方程,从而可以解答本题.【解答】解:(1)设经过x小时两人相遇,15x+20x=70,解得,x=2,答:经过2小时两人相遇;(2)设经过a小时,乙超过甲10千米,20a=15a+70+10,解得,a=16,答:经过16小时,乙超过甲10千米;(3)设b小时后两人相距10千米,|15b +20b ﹣70|=10,解得,b 1=167,b 2=127, 答:127小时或167小时后两人相距10千米. 【点评】本题考查一元一次方程的应用,解答本题的关键是明确题意,列出相应的方程.22.(11分)某工厂加工螺栓、螺帽,已知每1块金属原料可以加工成3个螺栓或4个螺帽(说明:每块金属原料无法同时既加工螺栓又加工螺帽),已知1个螺栓和2个螺帽组成一个零件,为了加工更多的零件,要求螺栓和螺帽恰好配套.请列方程解决下列问题:(1)现有20块相同的金属原料,问最多能加工多少个这样的零件(2)若把26块相同的金属原料全部加工完,问加工的螺栓和螺帽恰好配套吗说明理由(3)若把n 块相同的金属原料全部加工完,为了使这样加工出来的螺栓与螺帽恰好配套,请求出n 所满足的条件.【分析】(1)设用x 块金属原料加工螺栓,则用(20﹣x )块金属原料加工螺帽.根据2×螺栓的个数=螺帽的个数列出方程,求解即可;(2)设用y 块金属原料加工螺栓,则用(26﹣y )块金属原料加工螺帽.根据2×螺栓的个数=螺帽的个数列出方程,求出的方程的解如果是正整数,那么加工的螺栓和螺帽恰好配套;否则不能配套;(3)设用a 块金属原料加工螺栓,则用(n ﹣a )块金属原料加工螺帽,可使这样加工出来的螺栓与螺帽恰好配套.根据2×螺栓的个数=螺帽的个数列出方程,得出n 与a 的关系,进而求解即可.【解答】解:(1)设用x 块金属原料加工螺栓,则用(20﹣x )块金属原料加工螺帽. 由题意,可得2×3x =4(20﹣x ),解得x =8,则3×8=24.答:最多能加工24个这样的零件;(2)若把26块相同的金属原料全部加工完,加工的螺栓和螺帽不能恰好配套.理由如下:设用y 块金属原料加工螺栓,则用(26﹣y )块金属原料加工螺帽.由题意,可得2×3y =4(26﹣y ),解得y=.由于不是整数,不合题意舍去,所以若把26块相同的金属原料全部加工完,加工的螺栓和螺帽不能恰好配套;(3)设用a块金属原料加工螺栓,则用(n﹣a)块金属原料加工螺帽,可使这样加工出来的螺栓与螺帽恰好配套.由题意,可得2×3a=4(n﹣a),解得a=25 n,则n﹣a=35 n,即n所满足的条件是:n是5的正整数倍的数.【点评】本题考查了一元一次方程的应用,解题关键是要读懂题目的意思,根据题目给出的条件,找出等量关系:2×螺栓的个数=螺帽的个数是解题的关键.23.(11分)甲、乙两个超市开展了促销活动:(假设两家超市相同的商品的标价都是一样)甲超市乙超市全场折金额≤200元,没有优惠200<金额≤500元,打9折金额>500元,500元部分打9折,超过500部分打8折(1)当一次性购物标价总额是300元时,甲、乙超市实际上分别付了多少钱(2)当标价总额是多少时甲、乙超市实际付款额一样.(3)小明两次到乙超市分别付款198元和466元,若他只去一次该超市购买同样多的商品,可以节省多少元【分析】(1)根据两家超市的优惠方案,可知当一次性购物标价总额是300元时,甲超市实付款=购物标价×,乙超市实付款=300×,分别计算即可;(2)设当标价总额是x元时,甲、乙超市实付款一样.根据甲超市实付款=乙超市实付款列出方程,求解即可;(3)首先计算出两次购物标价,然后根据优惠方案即可求解.【解答】解:(1)当一次性购物标价总额是300元时,甲超市实付款=300×=264(元),乙超市实付款=300×=270(元);(2)设当标价总额是x元时,甲、乙超市实付款一样.当一次性购物标价总额是500元时,甲超市实付款=500×=440(元),乙超市实付款=500×=450(元),∵440<450,∴x>500.根据题意得=500×+(x﹣500),解得x=625.答:当标价总额是625元时,甲、乙超市实付款一样;(3)小明两次到乙超市分别购物付款198元和466元,第一次购物付款198元,购物标价可能是198元,也可能是198÷=220元,第二次购物付款466元,购物标价是(466﹣450)÷+500=520元,两次购物标价之后是198+520=718元,或220+520=740元.若他只去一次该超市购买同样多的商品,实付款500×+(718﹣500)=元,或500×+(740﹣500)=642元,可以节省198+466﹣=元,或198+466﹣642=22元.答:若他只去一次该超市购买同样多的商品,可以节省或22元.【点评】本题考查了一元一次方程的应用,理解两家超市的优惠方案,进行分类讨论是解题的关键.¥。
浙教版初中数学七年级上册第五单元《一元一次方程》单元测试卷考试范围:第五单元;考试时间:120分钟;总分:120分学校:___________姓名:___________班级:___________考号:___________第I卷(选择题)一、选择题(本大题共12小题,共36分。
在每小题列出的选项中,选出符合题目的一项)1.在 ①2x+3y−1, ②1+7=15−8+1, ③1−12x=x+1, ④x+2y=3中,方程有( )A. 1个B. 2个C. 3个D. 4个2.已知下列方程:①x−2=1x ;②0.2x=1;③x3=x−3;④x2−4−3x;⑤x=0;⑥x−y=6其中一元一次方程有 ( )A. 2个B. 3个C. 4个D. 5个3.已知(a−3)x|a−2|−5=8是关于x的一元一次方程,则a=( )A. 3或1B. 1C. 3D. 04.设x,y,c是有理数,下列选项正确的是( )A. 若x=y,则x+c=y−cB. 若x=y,则xc=ycC. 若x=y,则xc =ycD. 若x2c=y3c,则2x=3y5.【发展性作业】(对应目标1)设“●”“●”“■”表示三种不同的物体,现用天平称了两次,情况如图所示,则下列天平中,状态不正确的是( )A. B. C. D.6.观察图1,若天平保持平衡,在图2天平的右盘中需放入______个O才能使其平衡.( )A. 5B. 6C. 7D. 87.下列方程变形中,正确的是( )A. 方程3x−2=2x+1,移项,得3x−2x=−1+2B. 方程3−x=2−5(x−1),去括号,得3−x=2−5x−1C. 方程23t=32,系数化为1,得t=1D. 方程x−12=x5,去分母,得5(x−1)=2x8.解方程3(x−1)+x=2(x+12)的步骤如下: ①去括号,得3x−3+x=2x+1; ②移项,得3x+x+2x=1−3; ③合并同类项,得6x=−2; ④系数化为1,得x=−13.经检验,x=−13不是原方程的解,说明解题的步骤有错,那么开始做错的一步是( )A. ①B. ②C. ③D. ④9.若关于x的一元一次方程3x−5m2−x−m3=19的解,比关于x的一元一次方程−2(3x−4m)=1−5(x−m)的解大15,则m=( )A. 2B. 1C. 0D. −110.一商店在某一时间以每件120元的价格卖出两件衣服,其中一件盈利20%,另一件亏损20%,在这次买卖中,这家商店( )A. 不盈不亏B. 盈利20元C. 亏损10元D. 亏损30元11.一个两位数,个位上的数字是十位上的数字的3倍,且它们的和是l2,则这个两位数是( )A. 26B. 62C. 39D. 9312.甲计划用若干个工作日完成某项工作,从第二个工作日起,乙加入此项工作,且甲、乙两人工效相同,结果提前3天完成任务,则甲计划完成此项工作的天数是( )A. 8B. 7C. 6D. 5第II卷(非选择题)二、填空题(本大题共4小题,共12分)13.已知(m−3)x|m|−2+m−3=0是关于x的一元一次方程,则m=________.14.如果等式ax−3x=2+b不论x取什么值时都成立,则a=,b=.15.小明解方程2x−13=x+a2−3去分母时,方程右边的−3忘记乘6,因而求出的解是x=2,则原方程正确的解是.16.有两种消费券:A券,满60元减20元,B券,满90元减30元,即一次购物大于等于60元、90元,付款时分别减20元,30元.小敏有一张A券,小聪有一张B券,他们都购了一件标价相同的商品,各自付款,若能用券时用券,这样两人共付款150元,则所购商品的标价是______元.三、解答题(本大题共9小题,共72分。
七年级数学上册《一元一次方程单元测试卷》一、单项选择题:(本大题共10个小题,每小题3分,共30分,每小题给出的四个选项中,只有一项是符合题目要求的,将此选项的字母填在答题卡上)1.(3分)下列方程中,是一元一次方程的是()A.x2﹣4x=3 B.C.x+2y=1 D.xy﹣3=5 2.(3分)下列方程中,以x=﹣1为解的方程是()A.B.7(x﹣1)=0 C.4x﹣7=5x+7 D.x=﹣33.(3分)若关于x的一元一次方程的解是x=﹣1,则k的值是()A.B.1 C.D.04.(3分)若关于x的方程2x+a﹣4=0的解是x=﹣2,则a的值等于()A.﹣8 B.0 C.2 D.85.(3分)一个长方形的周长为26cm,这个长方形的长减少1cm,宽增加2cm,就可成为一个正方形,设长方形的长为xcm,则可列方程()A.x﹣1=(26﹣x)+2 B.x﹣1=(13﹣x)+2C.x+1=(26﹣x)﹣2 D.x+1=(13﹣x)﹣2 6.(3分)已知某商店有两个进价不同商品都卖了80元,其中一个盈利60%,另一个亏损20%,在这次买卖中,这家商店()A.盈利50元B.亏损10元C.盈利10元D.不盈不亏7.(3分)一件商品按成本价提高30%后标价,再打8折(标价的80%)销售,售价为312元,设这件商品的成本价为x元,根据题意,下面所列的方程正确的是()A.x•30%×80%=312 B.x•30%=312×80%C.312×30%×80%=x D.x(1+30%)×80%=312 8.(3分)一张试卷上有25道选择题:对一道题得4分,错一道得﹣1分,不做得﹣1分,某同学做完全部25题得70分,那么它做对题数为()A.17 B.18 C.19 D.20 9.(3分)若2x+1=4,则4x+1等于()A.6 B.7 C.8 D.9 10.(3分)甲比乙大15岁,5年前甲的年龄是乙的年龄的2倍,乙现在年龄是()A.30岁B.20岁C.15岁D.10岁二、填空题:(本大题共10小题,每小题3分,共30分.把答案写在答题卡中的横线上11.(3分)方程x﹣2=4的解是.12.(3分)如果关x的方程及的解相同,那么m的值是.13.(3分)轮船沿江从A港顺流行驶到B港,比从B港返回A港少用3h,若静水时船速为26km/h,水速为2km/h,则A港和B港相距km.14.(3分)若2x﹣3=0且|3y﹣2|=0,则xy= .15.(3分)已知关于x的方程=4的解是x=4,则a= .16.(3分)当x= 时,3x+4及4x+6的值相等.17.(3分)如果单项式3a4x+1b2及可以合并为一项,那么x及y的值应分别为.18.(3分)关于x的两个方程5x﹣3=4x及ax﹣12=0的解相同,则a= .19.(3分)若a,b互为相反数,c,d互为倒数,p的绝对值等于2,则关于x的方程(a+b)x2+3cd•x﹣p2=0的解为x= .20.(3分)三个连续奇数的和是75,这三个数分别是.三、解答题(共9题,每题10分,满分90分)21.(10分)解方程(1)2x+5=3(x﹣1)(2)=﹣.22.(10分)用铝片做听装易拉饮料瓶,每张铝片可制瓶身16个或瓶底43个,一个瓶身配两个瓶底.现有150张铝片,用多少张制瓶身,多少张制瓶底,可以正好制成成套的饮料瓶?23.(10分)整理一批图书,如果由一个人单独做要用30h,现先安排一部分人用1h整理,随后又增加6人和他们一起又做了2h,恰好完成整理工作.假设每个人的工作效率相同,那么先安排整理的人员有多少?24.(10分)为了拓展销路,商店对某种照相机的售价做了调整,按原价的8折出售,此时的利润率为14%,若此种照相机的进价为1200元,问该照相机的原售价是多少元?25.(10分)已知x=﹣2是方程2x﹣|k﹣1|=﹣6的解,求k的值.26.(10分)初一学生王马虎同学在做作业时,不慎将墨水瓶打翻,使一道作业只能看到:甲、乙两地相距160千米,摩托车的速度为45千米/时,运货汽车的速度为35千米/时,?请你将这道作业题补充完整并列出方程解答.27.(10分)某地区居民生活用电基本价格为每千瓦时0.40元,若每月用电量超过a千瓦时,则超过部分按基本电价的70%收费.(1)某户八月份用电84千瓦时,共交电费30.72元,求a= .(2)若该用户九月份的平均电费为0.36元,则九月份共用电千瓦时,应交电费是元.28.(10分)国家规定个人发表文章、出版图书所得稿费的纳税计算方法是:①稿费不高于800元的不纳税;②稿费高于800元,而低于4000元的应缴纳超过800元的那部分稿费的14%的税;③稿费为4000元或高于4000元的应缴纳全部稿费的11%的税.试根据上述纳税的计算方法作答:(1)若王老师获得的稿费为2400元,则应纳税元,若王老师获得的稿费为4000元,则应纳税元;(2)若王老师获稿费后纳税420元,求这笔稿费是多少元?29.(10分)(应用题)某商场计划拨款9万元从厂家购进50台电视机,已知该厂家生产三种不同型号的电视机,出厂价分别为:甲种每台1500元,乙种每台2100元,丙种每台2500元.(1)若商场同时购进其中两种不同型号电视机共50台,用去9万元,请你研究一下商场的进货方案;(2)若商场销售一台甲种电视机可获利150元,销售一台乙种电视机可获利200元,销售一台丙种电视机可获利250元.在同时购进两种不同型号电视机的方案中,为使销售利润最多,你选择哪一种进货方案?七年级数学上册《一元一次方程》单元测试卷参考答案及试题解析一、单项选择题:(本大题共10个小题,每小题3分,共30分,每小题给出的四个选项中,只有一项是符合题目要求的,将此选项的字母填在答题卡上)1.(3分)下列方程中,是一元一次方程的是()A.x2﹣4x=3 B.C.x+2y=1 D.xy﹣3=5【分析】根据一元一次方程的定义:只含有一个未知数(元),且未知数的次数是1,这样的方程叫一元一次方程可得答案.【解答】解:A、是一元二次方程,故此选项错误;B、是一元一次方程,故此选项正确;C、是二元一次方程,故此选项错误;D、是二元二次方程,故此选项错误;故选:B.【点评】此题主要考查了一元一次方程的定义,关键是掌握只含有一个未知数,未知数的指数是1,一次项系数不是0.2.(3分)下列方程中,以x=﹣1为解的方程是()A.B.7(x﹣1)=0 C.4x﹣7=5x+7 D.x=﹣3【分析】方程的解的定义,就是能够使方程左右两边相等的未知数的值.所以把x=﹣1分别代入四个选项进行检验即可.【解答】解:A、把x=﹣1代入方程的左边=右边=﹣2,是方程的解;B、把x=﹣1代入方程的左边=﹣14≠右边,所以不是方程的解;C、把x=﹣1代入方程的左边=﹣11≠右边,不是方程的解;D、把x=﹣1代入方程的左边=﹣≠右边,不是方程的解;故选:A.【点评】本题的关键是正确理解方程的解的定义,就是能够使方程左右两边相等的未知数的值.3.(3分)若关于x的一元一次方程的解是x=﹣1,则k的值是()A.B.1 C.D.0【分析】方程的解,就是能够使方程两边左右相等的未知数的值,即利用方程的解代替未知数,所得到的式子左右两边相等.已知x=﹣1是方程的解实际就是得到了一个关于k的方程,解方程就可以求出k的值.【解答】解:把x=﹣1代入方程得:﹣=1,解得:k=1故选:B.【点评】本题主要考查了方程解的定义,是一个基础的题目,注意细心运算即可.4.(3分)若关于x的方程2x+a﹣4=0的解是x=﹣2,则a的值等于()A.﹣8 B.0 C.2 D.8【分析】把x=﹣2代入方程即可得到一个关于a的方程,解方程即可求解.【解答】解:把x=﹣2代入方程得:﹣4+a﹣4=0,解得:a=8.故选:D.【点评】本题考查了方程的解的定义,方程的解就是能使方程左右两边相等的未知数的值.5.(3分)一个长方形的周长为26cm,这个长方形的长减少1cm,宽增加2cm,就可成为一个正方形,设长方形的长为xcm,则可列方程()A.x﹣1=(26﹣x)+2 B.x﹣1=(13﹣x)+2C.x+1=(26﹣x)﹣2 D.x+1=(13﹣x)﹣2【分析】首先理解题意找出题中存在的等量关系:长方形的长﹣1cm=长方形的宽+2cm,根据此列方程即可.【解答】解:设长方形的长为xcm,则宽是(13﹣x)cm,根据等量关系:长方形的长﹣1cm=长方形的宽+2cm,列出方程得:x﹣1=(13﹣x)+2,故选:B.【点评】列方程解应用题的关键是找出题目中的相等关系,有的题目所含的等量关系比较隐藏,要注意仔细审题,耐心寻找.6.(3分)已知某商店有两个进价不同商品都卖了80元,其中一个盈利60%,另一个亏损20%,在这次买卖中,这家商店()A.盈利50元B.亏损10元C.盈利10元D.不盈不亏【分析】设盈利60%的进价为x元,亏损20%的进价为y元,根据销售问题的数量关系建立方程求出其解即可.【解答】解:设盈利60%的进价为x元,亏损20%的进价为y元,由题意,得x(1+60%)=80,y(1﹣20%)=80,解得:x=50,y=100,∴成本为:50+100=150元.∵售价为:80×2=160元,利润为:160﹣150=10元故选:C.【点评】本题考查了列一元一次方程解实际问题的运用,一元一次方程的解法的运用,销售问题的数量关系利润=售价﹣进价的运用,解答时由销售问题的数量关系建立方程是关键.7.(3分)一件商品按成本价提高30%后标价,再打8折(标价的80%)销售,售价为312元,设这件商品的成本价为x元,根据题意,下面所列的方程正确的是()A.x•30%×80%=312 B.x•30%=312×80%C.312×30%×80%=x D.x(1+30%)×80%=312【分析】先算出标价,再算售价,列出方程即可.【解答】解:由题意得:x(1+30%)×80%=312,故选:D.【点评】本题考查了由实际问题抽象出一元一次方程,掌握找出等量关系是解题的关键.8.(3分)一张试卷上有25道选择题:对一道题得4分,错一道得﹣1分,不做得﹣1分,某同学做完全部25题得70分,那么它做对题数为()A.17 B.18 C.19 D.20【分析】设某同学做对了x道题,那么他做错了25﹣x道题,他的得分应该是4x﹣(25﹣x)×1,据此可列出方程.【解答】解:设该同学做对了x题,根据题意列方程得:4x﹣(25﹣x)×1=70,解得x=19.故选:C.【点评】本题考查了一元一次方程的应用,难度不大,解题关键是要读懂题目的意思,根据题目给出的条件,找出合适的等量关系,列出方程组,再求解.9.(3分)若2x+1=4,则4x+1等于()A.6 B.7 C.8 D.9【分析】由已知等式变形求出2x的值,代入原式计算即可得到结果.【解答】解:由2x+1=4,得到2x=3,则原式=6+1=7.故选:B.【点评】此题考查了代数式求值,利用了整体代入的思想,熟练掌握运算法则是解本题的关键.10.(3分)甲比乙大15岁,5年前甲的年龄是乙的年龄的2倍,乙现在年龄是()A.30岁B.20岁C.15岁D.10岁【分析】本题等量关系为:5年前甲的年龄=2×5年前乙的年龄.可设乙现在的年龄为x岁,则甲为(x+15)岁,根据等量关系列方程求解.【解答】解:设乙现在x岁,则5年前甲为(x+15﹣5)岁,乙为(x ﹣5)岁,由题意得:x+15﹣5=2(x﹣5)解得x=20故选:B.【点评】解题关键是读懂题意,找到合适的等量关系,列出方程.二、填空题:(本大题共10小题,每小题3分,共30分.把答案写在答题卡中的横线上11.(3分)方程x﹣2=4的解是x=9 .【分析】方程去分母,移项合并,把x系数化为1,即可求出解.【解答】解:去分母得:2x﹣6=12,移项合并得:2x=18,解得:x=9,故答案为:x=9【点评】此题考查了解一元一次方程,其步骤为:去分母,去括号,移项合并,把未知数系数化为1,求出解.12.(3分)如果关x的方程及的解相同,那么m的值是±2 .【分析】本题中有两个方程,且是同解方程,一般思路是:先求出不含字母系数的方程的解,再把解代入到含有字母系数的方程中,求字母系数的值.【解答】解:解方程=整理得:15x﹣3=42,解得:x=3,把x=3代入=x+4+2|m|得=3++2|m|解得:|m|=2,则m=±2.故答案为±2.【点评】本题考查了同解方程,使方程左右两边相等的未知数的值是该方程的解,因此检验一个数是否为相应的方程的解,就是把这个数代替方程中的未知数,看左右两边的值是否相等.13.(3分)轮船沿江从A港顺流行驶到B港,比从B港返回A港少用3h,若静水时船速为26km/h,水速为2km/h,则A港和B 港相距504 km.【分析】根据逆流速度=静水速度﹣水流速度,顺流速度=静水速度+水流速度,表示出逆流速度及顺流速度,根据题意列出方程,求出方程的解即可得到结果.【解答】解:设A港及B港相距xkm,根据题意得:+3=,解得:x=504,则A港及B港相距504km.故答案为:504.【点评】此题考查了一元二次方程的应用,找出题中的等量关系是解本题的关键.14.(3分)若2x﹣3=0且|3y﹣2|=0,则xy= 1 .【分析】根据0的绝对值为0,得3y﹣2=0,解方程得x,y的值,再求积即可.【解答】解:解方程2x﹣3=0,得x=.由|3y﹣2|=0,得3y﹣2=0,解得y=.∴xy==1.【点评】本题的关键是正确解一元一次方程以及绝对值的定义.15.(3分)已知关于x的方程=4的解是x=4,则a= 0 .【分析】把x=4代入方程=4得关于a的方程,再求解即得a的值.【解答】解:把x=4代入方程=4,得:=4,解方程得:a=0.故填0.【点评】本题的关键是正确解一元一次方程.理解方程的解的定义,就是能够使方程左右两边相等的未知数的值.16.(3分)当x= ﹣2 时,3x+4及4x+6的值相等.【分析】根据题意,可列关于x的方程3x+4=4x+6,再解方程,即可得x的值.【解答】解:根据题意得:3x+4=4x+6,解方程得:x=﹣2.故填﹣2.【点评】解决此类问题的关键是列方程并求解,属于基础题.17.(3分)如果单项式3a4x+1b2及可以合并为一项,那么x及y的值应分别为1和2 .【分析】两个式子可以合并,即两个式子是同类项,依据同类项的概念,相同字母的指数相同,即可求得x,y的值.【解答】解:根据题意得:4x+1=5且2=3y﹣4解得:x=1,y=2.【点评】本题主要考查了同类项的定义,同类项的概念是所含字母相同,相同字母的指数也相同的项是同类项,不是同类项的一定不能合并.18.(3分)关于x的两个方程5x﹣3=4x及ax﹣12=0的解相同,则a= 4 .【分析】先求方程5x﹣3=4x的解,再代入ax﹣12=0,求得a的值.【解答】解:解方程5x﹣3=4x,得x=3,把x=3代入ax﹣12=0,得3a﹣12=0,解得a=4.故填:4.【点评】此题主要考查了一元一次方程解的定义.解答此题的关键是熟知方程组有公共解的含义,考查了学生对题意的理解能力.19.(3分)若a,b互为相反数,c,d互为倒数,p的绝对值等于2,则关于x的方程(a+b)x2+3cd•x﹣p2=0的解为x= .【分析】由相反数得出a+b=0,由倒数得出cd=1,由绝对值得出p=±2,然后将其代入关于x的方程(a+b)x2+3cd•x﹣p2=0中,从而得出x的值.【解答】解:∵a,b互为相反数,c,d互为倒数,p的绝对值等于2,∴a+b=0,cd=1,p=±2,将其代入关于x的方程(a+b)x2+3cd•x﹣p2=0中,可得:3x﹣4=0,解得:x=.【点评】主要考查了相反数,倒数,绝对值的概念及其意义,并利用这些概念得到的数量关系代入含有字母系数的方程中,利用一元一次方程求出未知数的值.20.(3分)三个连续奇数的和是75,这三个数分别是23,25,27 .【分析】利用“三个连续奇数的和是75”作为等量关系列方程求解.就要先设出一个未知数,然后根据题中的等量关系列方程求解.【解答】解:设最小的奇数为x,则其他的为x+2,x+4∴x+x+2+x+4=75解得:x=23这三个数分别是23,25,27.故填:23,25,27.【点评】解题关键是要读懂题目的意思,根据题目给出的条件,找出合适的数量关系,列出方程,再求解.此题中要熟悉连续奇数的表示方法.相邻的两个连续奇数相差2.三、解答题(共9题,每题10分,满分90分)21.(10分)解方程(1)2x+5=3(x﹣1)(2)=﹣.【分析】(1)方程去括号,移项合并,把x系数化为1,即可求出解;(2)方程去分母,去括号,移项合并,把x系数化为1,即可求出解.【解答】解:(1)去括号得:2x+5=3x﹣3,解得:x=8;(2)去分母得:15x﹣3=18x+6﹣8+4x,移项合并得:7x=﹣1,解得:x=﹣.【点评】此题考查了解一元一次方程,其步骤为:去分母,去括号,移项合并,把未知数系数化为1,求出解.22.(10分)用铝片做听装易拉饮料瓶,每张铝片可制瓶身16个或瓶底43个,一个瓶身配两个瓶底.现有150张铝片,用多少张制瓶身,多少张制瓶底,可以正好制成成套的饮料瓶?【分析】设用x张铝片做瓶身,则用(150﹣x)张铝片做瓶底,通过理解题意可知本题的等量关系,即做瓶底所用的铝片=制瓶身所用的铝片的两倍.根据这个等量关系,可列出方程,再求解.【解答】解:设用x张铝片做瓶身,则用(150﹣x)张铝片做瓶底,根据题意得:2×16x=43×(150﹣x),解得:x=86,则用150﹣86=64张铝片做瓶底.答:用86张铝片做瓶身,则用64张铝片做瓶底.【点评】解题关键是要读懂题目的意思,正确理解:一个瓶身配两个瓶底是解题的关键.23.(10分)整理一批图书,如果由一个人单独做要用30h,现先安排一部分人用1h整理,随后又增加6人和他们一起又做了2h,恰好完成整理工作.假设每个人的工作效率相同,那么先安排整理的人员有多少?【分析】安排整理的人员有x人,则随后又(x+6)人,根据题意可得等量关系:开始x人1小时的工作量+后来(x+6)人2小时的工作量=1,把相关数值代入即可求解.【解答】解:设首先安排整理的人员有x人,由题意得:x+(x+6)×2=1,解得:x=6.答:先安排整理的人员有6人.【点评】此题主要考查了一元一次方程的应用,关键是正确理解题意,找出题目中的等量关系,列出方程.此题用到的公式是:工作效率×工作时间=工作量.24.(10分)为了拓展销路,商店对某种照相机的售价做了调整,按原价的8折出售,此时的利润率为14%,若此种照相机的进价为1200元,问该照相机的原售价是多少元?【分析】设该照相机的原售价是x元,从而得出售价为0.8x,等量关系:实际售价=进价(1+利润率),列方程求解即可.【解答】解:设该照相机的原售价是x元,根据题意得:0.8x=1200×(1+14%),解得:x=1710.答:该照相机的原售价是1710元.【点评】此题考查了一元一次方程的应用,及实际结合,是近几年的热点考题,首先读懂题目的意思,根据题目给出的条件,找出合适的等量关系,列出方程,再求解25.(10分)已知x=﹣2是方程2x﹣|k﹣1|=﹣6的解,求k的值.【分析】把x=﹣2代入方程,推出|k﹣1|=2,得到方程k﹣1=2,k ﹣1=﹣2,求出方程的解即可.【解答】解:∵x=﹣2是方程2x﹣|k﹣1|=﹣6的解,∴代入得:﹣4﹣|k﹣1|=﹣6,∴|k﹣1|=2,∴k﹣1=2,k﹣1=﹣2,解得:k=3,k=﹣1,答:k的值是3或﹣1.【点评】本题主要考查对绝对值,含绝对值的一元一次方程,解一元一次方程等知识点的理解和掌握,能得到方程k﹣1=2和k﹣1=﹣2是解此题的关键.26.(10分)初一学生王马虎同学在做作业时,不慎将墨水瓶打翻,使一道作业只能看到:甲、乙两地相距160千米,摩托车的速度为45千米/时,运货汽车的速度为35千米/时,?请你将这道作业题补充完整并列出方程解答.【分析】本题较明确的量有:路程,速度,所以应该问的是时间.可根据路程=速度×时间来列等量关系.【解答】解:应补充的内容为:摩托车从甲地,运货汽车从乙地,同时相向出发,两车几小时相遇?设两车x小时相遇,则:45x+35x=160解得:x=2答:两车2小时后相遇.【点评】本题缺少条件,路程问题里只有相遇问题和追及问题,也应根据此来补充条件.需注意在补充条件时应强调时间,方向两方面的内容.27.(10分)某地区居民生活用电基本价格为每千瓦时0.40元,若每月用电量超过a千瓦时,则超过部分按基本电价的70%收费.(1)某户八月份用电84千瓦时,共交电费30.72元,求a= 60 .(2)若该用户九月份的平均电费为0.36元,则九月份共用电90 千瓦时,应交电费是32.40 元.【分析】(1)根据题中所给的关系,找到等量关系,共交电费是不变的,然后列出方程求出a;(2)先设九月份共用电x千瓦时,从中找到等量关系,共交电费是不变的,然后列出方程求出x.【解答】解:(1)由题意,得0.4a+(84﹣a)×0.40×70%=30.72,解得a=60;(2)设九月份共用电x千瓦时,则0.40×60+(x﹣60)×0.40×70%=0.36x,解得x=90,所以0.36×90=32.40(元).答:九月份共用电90千瓦时,应交电费32.40元.【点评】本题考查了一元一次方程的应用,解题关键是要读懂题目的意思,根据题目给出的条件,找出合适的等量关系列出方程,再求解.28.(10分)国家规定个人发表文章、出版图书所得稿费的纳税计算方法是:①稿费不高于800元的不纳税;②稿费高于800元,而低于4000元的应缴纳超过800元的那部分稿费的14%的税;③稿费为4000元或高于4000元的应缴纳全部稿费的11%的税.试根据上述纳税的计算方法作答:(1)若王老师获得的稿费为2400元,则应纳税224 元,若王老师获得的稿费为4000元,则应纳税440 元;(2)若王老师获稿费后纳税420元,求这笔稿费是多少元?【分析】本题列出了不同的判断条件,要将本题中的稿费金额按照三种不同的条件进行分类讨论,然后再根据等量关系列方程求解.【解答】解:(1)若王老师获得的稿费为2400元,则应纳税224元,若王老师获得的稿费为4000元,则应纳税440元;(2)因为王老师纳税420元,所以由(1)可知王老师的这笔稿费高于800元,而低于4000元,设王老师的这笔稿费为x元,根据题意得:14%(x﹣800)=420x=3800元.答:王老师的这笔稿费为3800元.【点评】解题关键是要读懂题目的意思,依据题目给出的不同条件进行判断,然后分类讨论,再根据题目给出的条件,找出合适的等量关系,列出方程,求解.29.(10分)(应用题)某商场计划拨款9万元从厂家购进50台电视机,已知该厂家生产三种不同型号的电视机,出厂价分别为:甲种每台1500元,乙种每台2100元,丙种每台2500元.(1)若商场同时购进其中两种不同型号电视机共50台,用去9万元,请你研究一下商场的进货方案;(2)若商场销售一台甲种电视机可获利150元,销售一台乙种电视机可获利200元,销售一台丙种电视机可获利250元.在同时购进两种不同型号电视机的方案中,为使销售利润最多,你选择哪一种进货方案?【分析】(1)因为要购进两种不同型号电视机,可供选择的有3种,那么将有三种情况:甲乙组合,甲丙组合,乙丙组合.等量关系为:台数相加=50,钱数相加=90000;(2)算出各方案的利润加以比较.【解答】解:(1)解分三种情况计算:①设购甲种电视机x台,乙种电视机y台.解得.②设购甲种电视机x台,丙种电视机z台.则,解得:.③设购乙种电视机y台,丙种电视机z台.则解得:(不合题意,舍去);(2)方案一:25×150+25×200=8750.方案二:35×150+15×250=9000元.答:购甲种电视机25台,乙种电视机25台;或购甲种电视机35台,丙种电视机15台.购买甲种电视机35台,丙种电视机15台获利最多.【点评】本题主要考查学生的分类讨论思想和对于实际问题中方程组解的取舍情况.弄清题意,合适的等量关系,列出方程组仍是解决问题的关键.本题还需注意可供选择的将有三种情况:甲乙组合,甲丙组合,乙丙组合.欢迎您的光临,Word文档下载后可修改编辑.双击可删除页眉页脚.谢谢!希望您提出您宝贵的意见,你的意见是我进步的动力。
人教版七年级数学上册《第五单元一元一次方程》单元测试题-附答案学校:___________班级:___________姓名:___________考号:___________一、单选题1.一元一次方程2x-1=7的解是()A.x=3B.x=4C.x=5D.x=62.下列变形中,正确的是()A.若5x−6=7,则5x=7−6B.若5x−3=4x+2,则5x−4x=2+3C.若−3x=5,则x=−35D.若x−13+x+12=1,则2(x−1)+3(x−1)=13.把方程2x−14=1−3−x8去分母后,正确的结果是().A.2x−1=1−(3−x)B.2(2x−1)=1−(3−x)C.2(2x−1)=8−(3−x)D.2(2x−1)=8−(3+x)4.若关于x的方程ax-4=a的解是x=-3,则a的值是()A.-2B.2C.-1D.15.要组织一场篮球联赛,每两队之间只赛一场,计划安排15场比赛,如果邀请x个球队参加比赛,根据题意,列出方程为()A.x(x−1)=15B.x(x+1)=15C.x(x−1)2=15D.x(x+1)2=156.我国元代朱世杰所著的《算学启蒙》一书中,有一道题目是“今有良马日行二百四十里,驽马日行一百五十里,驽马先行一十二日,问良马几何日追及之.”译文:跑得快的马每日走240里,跑得慢的马每日走150里,慢马先走12天,快马几天可以追上慢马?则下列回答正确的是().A.15天B.16天C.18天D.20天7.如图一个正方形先剪去宽为4的长方形,再剪去宽为5的长方形,且剪下来的两个长方形面积相等,那么原正方形的边长为()A.20B.16C.15D.138.若关于x的方程kx+26=12x−23的解为正整数,则所有符合条件的整数k的和为()A.0B.3C.−2D.−39.如图,这是一个用50个奇数排成的数阵,用三角形的框去框住四个数,并求出这四个数的和.在下列给出的选项中,可能是这四个数的和的是()A.146B.150C.198D.210二、填空题10.如果3x−2与2x+1的值相同;那么x=.11.将方程x+24=2x+36的两边同乘12,可得到3(x+2)=2(2x+3),这种变形叫,其依据是.12.一张桌子由一个桌面和四条脚组成,1立方米的木材可制成桌面50张或制作桌脚300条,现有10立方米的木材,问应如何分配木材,可以使桌面和桌脚配套?设用x立方米的木材做桌面,可列方程.13.如果x=4是方程ax=a+3的解,那么a的值为 .14.为了搞活经济,商场将一种商品A按标价的9折出售(即优惠10%)仍可得利润10%,若商品标价为33元,那么该商品的进货价为 .15.如图一个简单的数值运算程序,当输入x的值-1时,则输出的答案是5,则k的值是.16.爸爸今年的年龄是儿子年龄的13倍,6年后,儿子年龄是爸爸年龄的14,则今年爸爸岁,儿子岁.17.如图,两人沿着边长为70米的正方形,按A→B→C→D→A…的方向行走.甲从点A以65米/分的速度、乙从点B以72米/分的速度行走,甲、乙两人同时出发,当乙第一次追上甲时,将在正方形的边上.三、解答题18.解方程(1)4x+3=5x−1(2)3−2(x+1)=2(x−3)(3)x−24−2x−36=1(4)x−1−x3=x+26−119.小亮是一名七年级学生,在解方程2x−13−2x+m2=10x+16−1时,由于忽视了去分母后分式的分子要加括号,结果方程变形为4x−2−6x+3m=10x+1−6,从而求得方程错误的解为x=12,你能求出m的值吗?如果能,请求出m的值和方程正确的解.20.在大约1500年前的《孙子算经》中记载了这样一个有趣的问题:今有鸡兔同笼,上有头三十五,下有足九十四.问鸡、兔各多少.21.阅读下面的解题过程:解方程:|3x|=6.解:分两种情况:(1)当3x≥0时,原方程可化为一元一次方程3x=6,解得x=2;(2)当3x<0时,原方程可化为一元一次方程﹣3x=6,解得x=﹣2;综合(1)、(2),方程的解为x=2或x=﹣2.请仿照上面例题的解法,解方程:3|x﹣1|﹣2=10.22.某商品的进价为200元,标价为300元,打折销售后的利润率为5%,问此商品是按几折销售的?23.云南省某工厂制作一批零件,由一名工人做要80h完成,现计划由一部分工人先做2h,然后增加5名工人与他们一起做8h,完成了这项工作.假设这些工人的工作效率相同,应先安排几名工人工作?24.根据国家发改委实施“阶梯电价”的有关文件要求,某市结合地方实际,决定对居民生活用电实施“阶梯电价”收费,具体收费标准见下表:一户居民一个月用电量的范围电费价格(单位:元/千瓦时)不超过150千瓦时的部分a超过150千瓦时,但不超过300千瓦时的部分0.6超过300千瓦时的部分a+0.3实施“阶梯电价”收费以后,该市居民陈先生家积极响应号召节约用电,10月用电100千瓦时,交电费50元.(1)a=.(2)陈先生家11月用电280千瓦时,应交费多少元?(3)若陈先生家12月份与11月的电费相差60元,求陈先生家12月份用电量是多少?25.在一元一次方程中,如果两个方程的解相同,则称这两个方程为同解方程.(1)若关于x的两个方程2x=4与mx=m+1是同解方程,求m的值;(2)已知关于x的方程9x−3=kx+14有整数解,那么满足条件的所有整数k=_______.(3)若关于x的两个方程5x+343(m+1)=mn与2x−mn=−193(m+1)是同解方程,求此时符合要求的正整数m,n的值.参考答案1.【答案】B2.【答案】B3.【答案】C4.【答案】C5.【答案】C6.【答案】D7.【答案】A8.【答案】A9.【答案】D10.【答案】D11.【答案】去分母等式的基本性质(或方程的变形规则)或填:等式的两边都乘以(或都除以)同一个数(除数不能为0)所得结果仍是等式。
一元一次方程单元测试卷(1)一.选择题(每题3分,共18分) 1.下列等式变形正确的是( ) A.如果s=12ab ,那么b=2saB.如果12x=6,那么x=3C.如果x-3=y-3,那么x-y=0D.如果mx=my ,那么x=y 2.下列方程中,是一元一次方程的是( )A. 243x x -=B.0x =C.21x y +=D. 11x x-= 3.解方程16110312=+-+x x 时,去分母后,正确结果是( ) A. 111014=+-+x x B. 111024=--+x x C. 611024=--+x x C. 611024=+-+x x4.一个教室有5盏灯,其中有40瓦和60瓦的两种,总的瓦数为260瓦,则40瓦和60瓦的灯泡个数分别是( ) A. 1,4B. 2,3C. 3,2D. 4,15.某区中学生足球赛共赛8轮(即每队均参赛8 场),胜一场得3分,平一场得1分,输一场得0分,在这次足球联赛中,猛虎足球队踢平的场数是所负场数的2倍,共得17分,则该队胜了( )场.A.3B.4C.5D.66.某商店卖出两件衣服,每件60元,其中一件赚20%,另一件亏20%,那么这两件衣服卖出后,商店( )A.不赚不亏B.赚5元C.亏5元D. 赚10元 二.填空题(每题4分,共24分)7.当=x ________时,代数式24+x 与93-x 的值互为相反数.8.已知 ()0332=-+--m x m m 是关于x 的一元一次方程, 则m=________. 9.在梯形面积公式 S = 12(a + b ) h 中, 用 S 、a 、h 表示b ,b = ________, 当16,3,4S a h ===时, b 的值为________.10.若关于x 的方程mx+2=2(m-x )的解是12x =,则m=________. 11.成渝铁路全长504千米. 一辆快车以90千米/时的速度从重庆出发,1小时后,另有一辆慢车以48千米/时的速度从成都出发,则慢车出发________小时后两车相遇(沿途各车站的停留时间不计).12.如图,一个长方形恰被分成六个正方形,其中最小的正方形面积是1平方厘米,则这个长方形的面积为________平方厘米. 三.解方程(每题5分,共30分)13). 5x +3=-7x+9 14). 14)13(2)1(5-=---x x x15).312x +=76x+ 16). 511241263x x x +--=+17).75.001.003.02.02.02.03=+-+xx 18).解关于x 的方程9(2)4(3)6m x m x m ---= 四.应用题(每题7分,共28分)19.甲仓库有粮120吨,乙仓库有粮90吨.从甲仓库调运多少吨到乙仓库,调剂后甲仓库存粮是乙仓库的一半.20.某车间有62个工人,生产甲、乙两种零件,每人每天平均能生产甲种零件12个或乙种零件23个. 已知每3个甲种零件和2个乙种零件配成一套,问应分配多少人生产甲种零件,多少人生产乙种零件,才能使每天生产的这两种零件刚好配套?21.某城市按以下规定收取煤气费:每月使用煤气如果不超过60立方米,按每立方米0.8元收费;超过60立方米,超过部分按每立方米1.2元收费。
第三章一元一次方程测试题一、选择题(每小题6分,共36分)1.下列方程中,是一元一次方程的是( ) A.x 2-4x=3 B.3x-1=2x C. x+2y=1 D.xy-3=5 2.方程212=-x 的解是( )A.41-=x B.4-=x C. 41=x D.x=4 3.已知等式3a=2b+5,则下列等式中不一定成立的是( )A.3a-5=2bB.3a+1=2b+6C.3ac=2bc+5D.3532+=b a 4.若关于x 的方程2x+a-4=0的解是x=-2,则a 的值等于( )A.-8 B.0 C.2 D.85.一个长方形的周长为26cm ,若这个长方形的长减少1cm ,宽增加2cm ,就可成为一个正方形,设长方形的长为xcm ,可列方程( )A.x-1=(26-x)+2B.x-1=(13-x)+2C.x+1=(26-x)-2D.x+1=(13-x)-26.已知某商店有两个进价不同的计算器都卖了80元,其中一个盈利60%,另一个亏损20%,在这次买卖中,这家商店A.不盈不亏B.盈利10元C.亏损10元D.盈利50元二、填空题(每小题6分,共24分)7.方程4232=-x 的解是________________ 9.如果关于x 的方程37615=-x 与m x x 2214218++=-的解相同,那么m 的值是_____________ 三、解答题(每小题10分,共40分)11.解方程(1)2x+5=3(x-1) (2)4)1(2=-x (3)152+-=-x x(4))9)21(3=--x x (5)11)121(21=--x (6)()()x x 2152831--=--(7)23421=-++x x (8)1)23(2151=--x x (9) 32213415x x x --+=-(10)1835+=-x x (11)0262921=---x x (12)13)1(32=---x x(13)53210232213+--=-+x x x (14)1246231--=--+x x x (15)32222-=---x x x19、x x 45321412332=-⎥⎦⎤⎢⎣⎡-⎪⎭⎫ ⎝⎛- 20、14]615141[3121=⎭⎬⎫⎩⎨⎧+-⎪⎭⎫ ⎝⎛-x12.在某年全国足球甲级A 组的前11场比赛中,某队保持连续不败,共积23分,按比赛规则,胜一场得3分,平一场得1分,那么该队共胜了多少场?分析:设该队胜了x 场,根据题意,用含x 的式子填空:(1)该队平了_____________________场;(2)按比赛规则,该队胜场共得______________________分;(3)按比赛规则,该队平场共得______________________分.13.用白铁皮做罐头盒,每张白铁皮可制作盒身16个或盒底43个,一个盒身与两个盒底配成一个罐头盒.现有150张白铁皮,用多少张白铁皮制盒身、多少张白铁皮制盒底可以正好制成整套罐头盒而无余料?14.整理一批图书,如果由一个人单独做要用30h ,现先安排一部分人用1h 整理,随后又增加6人和他们一起又做了2h ,恰好完成整理工作.假设每个人的工作效率相同,那么先安排整理的人员是多少?四、附加题(每小题10分,共20分)15.为了拓展销路,商店对某种照相机的售价做了调整,按原价的8折出售,此时利润率为14%.若此种照相机的进价为1200元,该照相机的原售价是多少?16.公园门票价格规定如下表:某校七年级(1)(2)两个班共104人去游园,其中(1)班现有40多人,不足50人.经估算,如果两个班都以班为单位购票,则一共应付1240元.问:(1)两班各有多少学生?(2)如果两个班联合起来,作为一个团体购票,可省多少钱?(3)如果七年级(1)班单独组织去游园,作为组织者的你将如何购票才最省钱?参考答案:1.B2.A3.C4.D5.B6.B 提示:设第一个计算器的进价为x 元,第二个计算器的进价为y 元,则1.6x=80,0.8y=80,解得 x=50,y=100.因为80×2-50-100=10(元),所以盈利了10元.7.x=98.a+d=b+c (答案不唯一)9.±2.提示:由37615=-x ,得x=3,代入m x x 2214218++=-,得m =2,所以m=±2. 10.504.提示:设A 港和B 港相距xkm ,列方程2263226-=++x x ,解得x=504 11.(1)x=8;(2)x=-9.2.12.(1)11-x ;(2)3x ;(3)(11-x );3x+(11-x )=23,x=6.答:该队共胜了6场.13.解:设用x 张白铁皮制盒身,(150-x )张白铁皮制盒底,列方程2×16x=43(150-x ),解得x=86,所以150-x=150-86=64答:用86张白铁皮制盒身,64张白铁皮制盒底.14.解:设先安排整理的人员有x 人,列方程130)6(230=++x x ,解得x=6. 答:先安排整理的人员有6人.15.解:设该照相机的原售价为x 元,列方程 0.8x=1200(1+14%),解得x=1710答:该照相机的原售价为1710元.16.解:(1)设七年级(1)班有x 人,则七年级(2)班有(104-x )人,列方程13x+11(104-x )=1240解得x=48,104-x=56,答:七年级(1)班有48人,七年级(2)班有56人.(2)1240-104×9=304,所以两个班联合起来,作为一个团体购票,可省304元钱.(3)因为48×13=624,51×11=561,所以按照51张票购买比较省钱.。
七年级数学(上)《一元一次方程》单元测试卷(时间:120分钟 ) 一、选择题(18分) 1、在方程23=-y x ,021=-+x x ,2121=x ,0322=--x x 中一元一次方程的个数为( ) A .1个 B .2个 C .3个 D .4个2、解方程3112-=-x x 时,去分母正确的是( ) A .2233-=-x x B .2263-=-x x C .1263-=-x x D .1233-=-x x 3、方程x x -=-22的解是( )A .1=xB .1-=xC .2=xD .0=x 4、对432=+-x ,下列说法正确的是( )A .不是方程B .是方程,其解为1C .是方程,其解为3D .是方程,其解为1、3 5、方程17.0123.01=--+x x 可变形为( ) A.17102031010=--+x x B.171203110=--+x xC.1071203110=--+x xD.107102031010=--+x x6、x 增加2倍的值比x 扩大5倍少3,列方程得( )A .352+=x xB .352-=x xC .353+=x xD .353-=x x7、A 厂库存钢材为100吨,每月用去15吨;B 厂库存钢材82吨,每月用去9吨.若经过x 个月后,两厂库存钢材相等,则x =( )A .3B .5C .2D .48、某种商品的标价为120元,若以九折降价出售,相对于进货价仍获利20%,该商品的进货价为( ). A .80元 B .85元 C .90元 D .95元9、某原料供应商对购买其原料的顾客实行如下优惠:(1)一次购买金额不超过1万元,不予优惠;(2)一次购买金额超过1万元,但不超过3万元给九折优惠;(3)一次购买超过3万元,其中3万元九折优惠,超过3万元的部分八折优惠.某厂因库容原因,第一次在供应商购买原料付款7800元,第二次购买付款26100元,如果他是一次购买同样数量的原料,可少付金额为( )元. A.1460 B.1540 C.1560 D.2000二、填空题(18分)10、代数式12+a 与a 21+互为相反数,则=a . 11、如果06312=+--a x是一元一次方程,那么=a ,方程的解为=x .12、若4-=x 是方程0862=--x ax 的一个解,则=a .13、如果)12(3125+m b a 与)3(21221+-m b a 是同类项,则=m .14、已知023=+x ,则=-34x .15、一个数x 的51与它的和等于–10的20%,则可列出的方程为 .16、已知梯形的下底为cm 6,高为cm 5,面积为225cm ,则上底的长等于 .17、要锻造直径为16厘米、高为5厘米的圆柱形毛坯,设需截取边长为6厘米的的方钢x 厘米,可得方程为 .18、国家规定个人发表文章、出版图书获得稿费的纳税计算办法是:⑴稿费不高于800元的不纳税;⑵稿费高于800元,又不高于4000元,应缴纳超过800元的那一部分稿费14%的税;⑶稿费高于4000元,应缴纳全部稿费的11%的税.某老师获得了2000元稿费,他应纳税 元. 三、解答题(共55分) 19、解下列方程(10分) (1)22)141(34=---a a (2)151423=+--x x (3)25.032.04=--+x x20、(8分)在公式h b a S )(21+=中,已知8,18,120===h b S ,求a 的值21、(8分)不论x 取何值,等式34=--x b ax 永远成立,求ab 21的值.22、(8分)当m 为何值时,关于x 的方程x x m +=+21125的解比关于x 的方程)1()1(x m m x +=+的解大2.23、(8分)设1511+=x y ,4122+=x y ,当x 为何值时,1y 、2y 互为相反数?24、(8分)已知3=x 是方程()241133=⎥⎦⎤⎢⎣⎡-+⎪⎭⎫ ⎝⎛+x m x 的解,n 满足关系式12=+m n ,求n m +的值.四.列方程解应用题(共41分)25、(10分)在甲处劳动的有27人,在乙处劳动的有19人,现在另调20人去支援,使在甲处人数为在乙处的人数的2倍,应调往甲、乙两处各多少人?26、(10分)一项工作,甲单独做需15天完成,乙单独做需12天完成,这项工作由甲、乙两人合做,并且施工期间乙休息7天,问几天完成?27、(10分)张老师带领该校七年级“三好学生”去开展夏令营活动,甲旅行社说:“如果老师买全票一张,则学生可享受半价优惠.”乙旅行社说:“包括老师在内按全票价的6折优惠.”若全票价为240元,当学生人数为多少人时,两家旅行社的收费一样多?28. (11分)小明中考时的准考证号码是由四个数字组成的,这四个数字组成的四位数有如下特征:(1)它的千位数字为1;(2)把千位上的数字1向右移动,使其成为个位数字,那么所得的新数比原数的5倍少49.请你根据以上特征推出小明的准考证号码.一、选择题1.下列各种变形中,不正确的是( )A .从3+2x =2可得到2x =-3B .从6x =2x -1可得到6x -2x =-1C .从21%+50%(60-x )=60×42%可得到21+50(60-x )=62×42D .从3212-=-x x 可得到3x -1=2(x -2)2.方程673422--=--x x 去分母是( ) A .12-2(2x -4)=-(x -7) B .12-2(2x -4)=-x -7 C .12-2(2x -7)=-(x -7) D .12-4x -4=-x +73.已知x =1是方程21233-=-x k x 的解,则32+k 的值是( )A .-2B .2C .0D .-14.如果3个连续的奇数的和为15,那么它们的积是( ) A .15 B .21 C .105 D .2155.1元和5角的硬币共100枚,值68元,则1元和5角的硬币个数分别为( ) A .36个,64个 B .64个,36个 C .28个,72个 D .50个,50个 6.某项工程由甲队单独做需18天完成,由乙队做只需甲队的一半时间完成,设两队合作需x 天完成,则可得方程( )A .x =+91181 B .1)91181(=+x C .x =+361181 D .1)361181(=+x 7.一个长方形的周长是16cm ,长与宽的差是2 cm ,那么这个长方形的长与宽分别是( )A .9cm ,7cmB .5cm ,3cmC .7cm ,5cmD .10cm ,6cm8.若关于x 的方程x +2=ax 的解是-1,则a 的值是( ) A .1=a B .1-=a C .0=a D .3=a9.采石场工人爆破时,为了确保安全,点燃炸药导火线后要在爆破前转移到400米以外的安全区域,燃烧速度是1厘米/秒,人离开的速度是5米/秒,至少需要导火线的长度是( ) A .70厘米 B .75厘米 C .79厘米 D .80厘米10.一家三口(父亲、母亲、儿子)准备利用寒假外出旅游,甲旅行社告知:父母买全票,儿子可按半价优惠;乙旅行社告知:每人均按定价的8折优惠,若这两家旅行社每人的原票价相同,那么优惠条件是( )A .甲比乙优惠B .乙比甲优惠C .甲与乙相同D .与原票价有关二、填空题11.1、x 52比41大17,则x =_________。
一元一次方程测试卷一、选择题(本大题共10个小题,每小题只有一个符合条件的选项,每小题3分,满分30分)1.下列方程是一元一次方程方程的是( )A.5=+y xB.42=xC.53-=x xD.125-=-x2.下列方程中解是1-=x 的是( )A.01=-xB.01=+xC.23121-=+x D.21211=-x 3.下列等式的变形错误的是( )A.如果y x =,那么22+=+y x ;B.如果y x =,那么y x 22=C.如果y x =,那么zy z x =; D.如果y x =,那么y x -=-22 4.下列两个方程的解相同的是( )A .方程5x +3=6和方程2x =4B .方程3x =x +1和方程2x =4x -1C .方程x +21=0和方程21+x =0 D .方程6x -3(5x -2)=5和方程6x -15x =3 5.若615-x 与-37互为倒数,那么x 的值等于( ) A .75B .-75C .3511D .-3511 6. 方程13521=--x x ,去分母得( ) A.11023=+-x x B.11023=--x xC.61023=--x xD.61023=+-x x7. 方程042=-+a x 的解是2-=x ,则a 等于( )A.8-B.0C.2D.88. 下列方程变形中,正确的是( )A.方程1223+=-x x ,移项,得;2123+-=-x xB.方程()1523--=-x x ,去括号,得;1523--=-x xC.方程2332=t ,未知数系数化为1,得;1=xD.方程15.02.01=--x x 化成.63=x 9. 若代数式x -31x +的值是2,则x 的值是( ) A.75.0 B.75.1 C.5.1 D.5.310. 朵朵幼儿园的阿姨给小朋友分苹果,如果每人3个还差3个,如果每人2个又多2个,请问共有多少个小朋友?( )A .4个B .5个C .10个D .12个二、填空题(本大题共10个小题,每小题3分,满分30分)11. 方程212-=x 的解为________________。
一元一次方程单元测试题一、选择题(40分)1.在方程4x-y=0, x+1x-2=0,-2x=1,x2-2x+7=0中一元一次方程的个数为(A)A.1个B.2个C.3个D.4个2.解方程x2 -1=x-13时,去分母正确的是(B)A.3x-3=2x-2B.3x-6=2x-2C.3x-6=2x-1D.3x-3=2x-1 3.方程x-2=2-x的解是(C)A.x=1B.x= - 1C.x=2 D.x=04.如果等式ax=bc成立,则下列等式成立的是(D)A.abx=abc ;B.x= bca; C.b-ax=a-bc D.b+ax=b+bc5.增加2倍的值比扩大5倍少3,列方程得(D)A.2x=5x+3B.2x=5x-3C.3x=5x+3D.3x=5x-36.方程3a10+2x+42=4(x-1)的解为x=3,则a的值为(C)A.2;B.22;C.10;D.-27.已知a≠1,则关于x的方程(a-1)x=1-a的解是(C)A.x=0B.x=1C.x=- 1D.无解8.对∣x-2∣+3=4,下列说法正确的是(D)A.不是方程;B.是方程,其解为1;C.是方程,其解为3;D.是方程,其解为1、3。
9.A厂库存钢材为100吨,每月用去15吨;B厂库存钢材82吨,每月用去9吨。
若经过x 个月后,两厂库存钢材相等,则x =(A)A.3;B.5;C.2;D.410.某种商品的标价为120元,若以九折降价出售,相对于进货价仍获利20%,该商品的进货价为( C)。
A.80元;B.85元;C.90元;D.95元二、填空题(48分)11.代数式-2a+1与1+4a 互为相反数,则a= -112.如果 - 3x 2a+1+6=0是一元一次方程,那么a= 0 ,方程的解为x= 2 。
13.若x= -4是方程ax 2-6x-8=0的一个解,则a= -1 。
14.如果5a 2b -3(2m+1)与-3a 2b 2(m+3)是同类项,则m= - 98。
一元一次方程测试题(含答案)一、选择题1.对等式x 2=y 3进行变形,则下列等式成立的是( ) A .2x =3y B .3x =2y C .x 3=y 2 D .x =32y 2.如果方程x 2n−5−2=0是关于x 的一元一次方程,则n 的值为( )A .2B .3C .4D .53.下列方程的变形正确的是( )A .x 5+1=x 2,去分母,得2x +1=5xB .5−2(x −1)=x +3,去括号,得5−2x −1=x +3C .5x +3=8,移项,得5x =8+3D .3x =−7,系数化为1,得x =−734.如图①,约定:上方相邻两数之和等于这两数下方箭头共同指向的数.示例:即12+3=15.如图①,当y =505时,b 的值为( )A .205B .305C .255D .3155.学校组织植树活动,已知在甲处植树的有48人,在乙处植树的有42人,由于甲处植树任务较重,需调配部分乙处的人员去甲处支援,使在甲处植树的人数是乙处植树人数的2倍,设从乙处调配x 人去甲处,则( )A .48=2(42﹣x )B .48+x =2×42C .48﹣x =2(42+x )D .48+x =2(42﹣x )6.方程|x|+|x −2022|=|x −1011|+|x −3033|的整数解共有( )A .1010B .1011C .1012D .20227.某超市在“元旦”活动期间,推出如下购物优惠方案:①一次性购物在100元(不含100元)以内,不享受优惠;①一次性购物在100元(含100元)以上,350元(不含350元)以内,一律享受九折优惠;①一次性购物在350元(含350元)以上,一律享受八折优惠;小敏在该超市两次购物分别付了90 元和270元,如果小敏把这两次购物改为一次性购物,则小敏至少需付款()元A.288B.296C.312D.3208.如图,现有3×3的方格,每个小方格内均有数字,要求方格内每一行每一列以及每一条对角线上的三个数字之和均相等,记三个数字之和为P,则P的值为()A.21B.24C.27D.36二、填空题9.写出一个以x=−2为解的一元一次方程:(任写一个即可).10.定义运算:a⊗b=a2−2ab,例如3⊗1=32−2×3×1=3,则关于x的方程(−3)⊗x=2的解是.11.已知非负实数a、b、c满足条件:3a+2b+c=4,2a+b+3c=5,设S=5a+4b+7c的最大值为m,最小值为n,则n−m等于.12.学校为“中国共产党建党100周年合唱比赛”印制宣传册,某复印店的收费标准如下:①印制册数不超过100册时,每册2元;①印制册数超过100册但不超过300册时,每册按原价打八折;①印制册数超过300册时,前300册每册按原价打八折,超过300册的部分每册按原价打六折;学校在复印店印制了两次宣传册,分别花费192元和576元,如果学校把两次复印的宣传册合并为一次复印,则可节省..元.三、计算题13.解方程:x+13−x−32=1.14.在数学实践课上,小明在解方程2x−15+1=x+a2时,因为粗心,去分母时方程左边的1没有乘10,从而求得方程的解为x=4,试求a的值及原方程正确的解.四、解答题15.五一前夕,某商场从厂家购进了甲、乙两种商品,甲种商品的每件进价比乙种商品的每件进价少20元.若购进甲种商品7件,乙种商品2件,需要760元.求甲、乙两种商品的每件进价分别是多少元?16.某校初一年级三个班的学生要到怀柔区某农业教育基地进行社会大课堂活动,三个班学生共101人,其中初一(1)班有20多人,不足30人,二班比一班的人数少5人.教育基地团体购票价格如下:原计划三个班都以班为单位购票,则一共应付1365元.三个班各有多少人?17.若|x+3|=6,|y−4|=2,且|x|−|y|≥0,求|x−y|的值.五、综合题18.数轴是一个非常重要的数学工具,它使数和数轴上的点建立起对应关系,揭示了数与点之间的内在联系,它是“数形结合”的基础.例如:从“形”的角度看:|3−1|可以理解为数轴上表示3 和 1 的两点之间的距离;|3+1|可以理解为数轴上表示3 与﹣1 的两点之间的距离.从“数”的角度看:数轴上表示 4 和﹣3 的两点之间的距离可用代数式表示为:4-(-3).根据以上阅读材料探索下列问题:(1)数轴上表示3 和9 的两点之间的距离是;数轴上表示 2 和﹣5 的两点之间的距离是;(直接写出最终结果)(2)①若数轴上表示的数x 和﹣2 的两点之间的距离是4,则x 的值为;①若x 为数轴上某动点表示的数,则式子|x+1|+|x−3|的最小值为.答案解析部分1.【答案】B2.【答案】B3.【答案】D4.【答案】A5.【答案】D6.【答案】C7.【答案】C8.【答案】C9.【答案】2x=−4(答案不唯一)10.【答案】−7611.【答案】-212.【答案】76.8或4813.【答案】解:2(x+1)−3(x−3)=62x+2−3x+9=62x−3x=6−2−9−x=−5x=5 14.【答案】解:把x=4代入2(2x−1)+1=5(x+a),可得2×(2×4−1)+1=5(4+a)20+5a=15a=−1把a=−1代入原方程,可得2x−15+1=x−1 22(2x−1)+10=5(x−1) 4x−2+10=5x−54x−5x=−5+2−10−x=−13x=13∴a=−1,x=1315.【答案】解:设乙种商品每件进价为x元.由题意可得,7(x−20)+2x=760解得x=100100−20=80元答:甲商品的每件进价是80元,乙商品的每件进价100元.16.【答案】解:设初一(1)班有x人,则初一(2)班有(x-5)人,初一(3)班有[101-x-(x-5])人.①初一(1)班有20多人,不足30人,①(1)班最多29人,(2)班最多24人,则(3)班最少48人;(1)班最少21人,(2)班最少16人,则(3)班最多64人.根据题意,①当初一(3)班的人数不超过60人时,有15x+15(x −5)+12[101 −x −(x −5)]=1365;解得:x=28.①x −5=23,101 −x −x+5= 50;①当初一(3)班的人数超过60人时,有15x+15(x −5)+10[101 −x −(x −5)]=1365解得:x= −38.①人数不能为负,①这种情况不存在;答:初一(1)班有28人.初一(2)班有23人.初一(3)班有50人.17.【答案】解:由|x+3|=6可知若x+3>0,则有x+3=6,解得x=3,|x|=3若x+3<0,则有-3-x=6,解得x=-9,|x|=9由|y−4|=2可知若y-4>0,则有y-4=2,解得y=6,|y|=6若y-4<0,则有4-y=2,解得y=2,|y|=2①|x|−|y|≥0①当|x|=3时,|y|=2满足条件则|x−y|=|3−2|=1当|x|=9时,|y|=6满足条件则|x−y|=|−9−6|=|−15|=15当|x|=9时,|y|=2满足条件则|x−y|=|−9−2|=|−11|=11综上所述|x−y|的值为1,11,15 18.【答案】(1)6;7(2)-6或2;4。
3章 《一元一次方程》单元测试(时间120分钟 总分150分)姓名;__________________ 班级:_________________一、选择题(共12个小题,每小题4分,共48分,在给出的4个选项中只有一个选项符合题意) 1、下列方程是一元一次方程的是( )A.x -2=3B.1+5=6C.x 2+x =1 D.x -3y =0 2、下列通过移项变形,错误的是( )A.由x+2=2x-7,得x-2x=-7-2B.由x+3=2-4x ,得x+4x=2-3C.由2x-3+x=2x-4,得2x-x-2x=-4+3D.由1-2x=3,得2x=1-3 3、若(m ﹣2)x |m|﹣1=5是一元一次方程,则m 的值为( )A.±2B.﹣2C.2D.44、下列结论错误的是( )A 、若a=b ,则a ﹣c=b ﹣cB 、若a=b ,则ax=bxC 、若x=2,则x 2=2x D 、若ax=bx ,则a=b5、小华在做解方程作业时,不小心将方程中的一个常数弄脏了而看不清楚,被弄脏的方程是11()1325x x x ---+=-▲, 这该怎么办呢?他想了一想,然后看了一下书后面的答案,知道此方程的解是x=5,于是,他很快便补好了这个常数,并迅速地做完了作业.同学们,你能补出这个常数吗?它应该是( )A.2B.3C.4D.56、一条公路,甲队单独修需6天,乙队单独修需1 2天,若甲、乙两队同时分别从两端开始修,全部修完需要 ( )A .2天B .3天C .4天D .5天7、某种商品每件的标价是330元,按标价的八折销售时,仍可获利10%,则这种商品每件的进价为( )A .240元B .250元C .280元D .300元8、一个长方形的周长是40 cm ,若将长减少8 cm ,宽增加2 cm ,长方形就变成了正方形,则正方形的边长为 ( )A .6 cmB .7 cmC .8 cmD .9 cm9、某校九年级学生毕业时,每个同学都将自己的相片向全班其他同学各送一张留作纪念,全班共送了2070张相片,如果全班有x 名学生,根据题意,列出方程为( ) A .(1)2070x x -= B .(1)2070x x += C .2(1)2070x x += D .(1)2070x x -= 10、1.汽车上坡时每小时走28千米,下坡时每小时走35千米,已知下坡路程比上坡路程的2倍少14千米.设上坡路程为x 千米,则汽车下坡共用了( )小时. A.3514-228x xB.2814-2xC.28xD. 3514-2x 11、小明所在城市的“阶梯水价”收费办法是:每户用水不超过5吨,每吨水费x 元;超过5吨,超过部分每吨加收2元,小明家今年5月份用水9吨,共交水费为44元,根据题意列出关于x 的方程正确的是( )A .5x +4(x +2)=44B .5x +4(x -2)=44C .9(x +2)=44D .9(x +2)-4×2=4412、图①为一正面白色、反面灰色的长方形纸片.今沿虚线剪下分成甲、乙两长方形纸片,并将甲纸片反面朝上粘贴于乙纸片上,形成一张白、灰相间的长方形纸片,如图②所示.若图②中白色与灰色区域的面积比为8∶3,图②纸片的面积为33,则图①纸片的面积为( ) A.2314 B.3638C.42D.44二、填空题(共6小题,每小题4分,共24分)13、“x 的2倍与3的差等于零”用方程表示为________.14、由等式(a ﹣2)x=a ﹣2能得到x ﹣1=0,则a 必须满足的条件是________.15、若-x n +1与2x 2n -1是同类项,则n = .16、图①是边长为30cm 的正方形纸板,裁掉阴影部分后将其折叠成如图②所示的长方体盒子,已知该长方体的宽是高的2倍,则它的体积是 cm 3.17、2x+1=5的解也是关于x 的方程3x ﹣a=4的解,则a=________. 18、现规定一种新的运算=ad ﹣bc ,那么=9时,x=________.三、解答题(共8小题,共78分)19、解下列方程(共8分,每小题4分)(1)4x -3(12-x )=6x -2(8-x ) (2)2x -13-2x -34=120、(8分)某地区发生强烈地震,维和部队在两个地方进行救援工作,甲处有91名维和部队队员,乙处有49名维和部队队员,现又调来100名维和部队队员支援,要使甲处的人数比乙处人数的3倍少12人,应往甲、乙两处各调来多少名维和部队队员?21、(8分)若已知M=x 2+3x-5,N=3x 2+5,并且6M=2N-4,求x.22、(8分)小聪做作业时解方程x +12-2-3x3=1的步骤如下:解:①去分母,得3(x +1)-2(2-3x )=1; ②去括号,得3x +3-4-6x =1; ③移项,得3x -6x =1-3+4; ④合并同类项,得-3x =2; ⑤系数化为1,得x =-23.(1)聪明的你知道小聪的解答过程正确吗?答:________.若不正确,请指出他解答过程中的错误________.(填序号)(2)请写出正确的解答过程.23、(10分)已知方程2x -35=23x -3与方程3n -14=3(x +n)-2n 的解相同,求(2n -27)2的值.24、(10分)把正整数1,2,3,4,…,2017排列成如图所示的一个数表.(1)用一正方形在表中随意框住4个数,把其中最小的数记为x ,另三个数用含x 的式子表示出来,从大到小依次是 , , ;(2)当被框住的4个数之和等于416时,x 的值是多少?(3)被框住的4个数之和能否等于622?如果能,请求出此时x 的值;如果不能,请说明理由.25、(12分).在某市第四次党代会上,提出了“建设美丽城市决胜全面小康”的奋斗目标,为响应市委号召,学校决定改造校园内的一小广场.如图是该广场的平面示意图,它是由6个正方形拼成的长方形,已知中间最小的正方形A的边长是1米.(1)若设图中最大正方形B的边长是x米,请用含x的代数式分别表示出正方形F、E和C的边长;(2)观察图形的特点可知,长方形相对的两边是相等的(如图中的MQ和PN).请根据这个等量关系,求出x的值;(3)现沿着长方形广场的四条边铺设下水管道,由甲、乙2个工程队单独铺设分别需要10天、15天完成.两队合作施工2天后,因甲队另有任务,余下的工程由乙队单独施工,试问还要多少天完成?26、(14分)为发展校园足球运动,某县城区四校决定联合购买一批足球运动装备,市场调查发现:甲、乙两商场以同样的价格出售同种品牌的足球队服和足球,已知每套队服比每个足球多50元,两套队服与三个足球的费用相等,经洽谈,甲商场优惠方案是:每购买十套队服,送一个足球;乙商场优惠方案是:若购买队服超过80套,则购买足球打八折.(1)求每套队服和每个足球的价格是多少?(2)若城区四校联合购买100套队服和a个足球,请用含a的式子分别表示出到甲商场和乙商场购买装备所花的费用;(3)假如你是本次购买任务的负责人,你认为到哪家商场购买比较合算?【参考答案】1.C2.C3.B4.D5.D6.B7.A8.B9.A 10.D 11.A 12.C13. 2x ﹣3=0 14. a ≠2 15. 2 16. 1000 17. 0或1 18. 219.(1)x =-20. (2)x =72.20.应往甲处调86名维和部队队员,往乙处调14名维和部队队员 21.因为6M=2N-4,所以6(x2+3x-5)=2(3x2+5)-4. 解得x=2. 22.解:(1)不正确 ①②(2)去分母,得3(x +1)-2(2-3x )=6, 去括号,得3x +3-4+6x =6, 移项,得3x +6x =6-3+4,合并同类项,得9x =7,解得x =79.25.解:(1)∵最小的正方形A 的边长是1米,最大的正方形B 的边长是x 米,∴正方形F 的边长为(x -1)米,正方形E 的边长为(x -2)米,正方形C 的边长为(x -3)米或x +12米.(2)∵MQ =PN ,∴x -1+x -2=x +x +12,解得x =7.(3)设余下的工程由乙队单独施工,还要y 天完成. 根据题意得)151101(×2+115y =1,解得y =10.答:余下的工程由乙队单独施工,还要10天完成.26.解:(1)设每个足球的定价是x 元,则每套队服是(x+50)元,根据题意得 2(x+50)=3x , 解得x=100, x+50=150.答:每套队服150元,每个足球100元;(2)到甲商场购买所花的费用为:150×100+100(a ﹣10100)=100a+14000(元), 到乙商场购买所花的费用为:150×100+0.8×100•a=80a+15000(元); (3)当在两家商场购买一样合算时,100a+14000=80a+15000, 解得a=50.所以购买的足球数等于50个时,则在两家商场购买一样合算; 购买的足球数多于50个时,则到乙商场购买合算;购买的足球数少于50个时,则到甲商场购买合算。
《一元一次方程》单元测试题一、选择题(本大题共10小题,每小题4分,满分40分)1.如果a=b ,则下列式子不成立的是A .a+c=b+cB .a 2=b 2C .ac=bcD .a-c=c-b 2.方程2x -14=1-3-x 8去分母后正确的结果是 A .2(2x-1)=8-(3-x )B .2(2x-1)=1-(3-x )C .2x-1=8-(3-x )D .2x-1=1-(3-x )3.如果x=1是关于x 的方程5x+2m-7=0的解,那么m 的值是A .-1B .1C .6D .-64.一件毛衣先按成本提高50%标价,再以8折出售,获利28元,求这件毛衣的成本是多少元?若设成本是x 元,可列方程为A .0.8x+28=(1+50%)xB .0.8x-28=(1+50%)xC .x+28=0.8×(1+50%)xD .x-28=0.8×(1+50%)x5.设有x 个人共种m 棵树苗,如果每人种8棵,则剩下2棵树苗未种,如果每人种10棵,则缺6棵树苗.根据题意,列方程正确的是A .x 8-2=x 10+6B .x 8+2=x 10-6C .m -28=m+610D .m+28=m -6106.下面是一个被墨水污染过的方程:2x-12=3x+,答案显示此方程的解是x=-1,被墨水遮盖的是一个常数,则这个常数是A .1B .-1C .-12D .127.在有理数范围内定义运算“*”,a*b=2a+b3,则方程(2*3)(4*x)=49的解为A.-3B.55C.-56D.-558.按下面的程序计算:当输入x=100时,输出结果是299;当输入x=50时,输出结果是446;如果输入x的值是正整数,输出结果是257,那么满足条件的x的值最多有A.1个B.2个C.3个D.4个9.若关于x的方程kx-3x=24与2x-13=5的解相同,则k的值为A.8B.6C.2D.010.如图是某月的日历表,在此日历表上用一个正方形圈出9个数(如6,7,8,13,14,15,20,21,22).若圈出的9个数中,最大数与最小数的和为32,则这9个数的和为A.144B.153C.198D.216二、填空题(本大题共4小题,每小题5分,满分20分)11.已知关于x的方程(m+1)x3|m|-2+3=0是一元一次方程,则m的值为1.12.轮船沿江从A港顺流行驶到B港,比从B港返回A港少用3小时,若船速为26千米/时,水速为2千米/时,求A港和B港相距多少千米?设A港和B港相距x千米.根据题意,可列出的方程是x26+2=x26-2-3.13.一个两位数,个位上的数是十位上的数的2倍,如果把十位与个位上的数对调,那么所得的两位数比原两位数大36,则原来的两位数是48.14.一列方程如下排列:x +x -1=1的解是x=2;x +x -2=1的解是x=3;x +x -3=1的解是x=4;…根据观察得到的规律,解是x=7的方程是 x 14+x -62=1 .三、解答题(本大题共6小题,满分60分)15.(10分)解下列一元一次方程:(1)9y-2(-y+4)=3;解:y=1.(2)x+45-1=x -22+x. 解:x=813.16.(8分)已知关于x 的方程5m+3x=1+x 的解比关于x 的方程x (m+1)=m (1+x )的解大2,求m 的值.解:解5m+3x=1+x ,得x=1-5m 2, 解x (m+1)=m (1+x ),得x=m ,由题意得1-5m 2=m+2,解得m=-37.17.(8分)有八个球编号是①至⑧,其中有六个球一样重,另外两个球都轻1克,为了找出这两个轻球,用天平称了三次,结果如下:第一次①+②比③+④重,第二次⑤+⑥比⑦+⑧轻,第三次①+③+⑤和②+④+⑧一样重.那么,两个轻球的编号是多少?解:因为①+②比③+④重,所以③与④中至少有一个轻球.因为⑤+⑥比⑦+⑧轻,所以⑤与⑥中至少有一个轻球.因为①+③+⑤和②+④+⑧一样重,所以两个轻球的编号是④⑤.18.(10分)在校运动会中,志愿者们手上、脖子上的丝巾非常美丽.车间70名工人承接了制作丝巾的任务,已知每人每天平均生产手上的丝巾1800条或者脖子上的丝巾1200条,一条脖子上的丝巾要配两条手上的丝巾.为了使每天生产的丝巾刚好配套,应分配多少名工人生产脖子上的丝巾,多少名工人生产手上的丝巾?解:设应分配x名工人生产脖子上的丝巾,则(70-x)名工人生产手上的丝巾.根据题意,得1800(70-x)=2×1200x,解得x=30,70-x=70-30=40.答:应分配30名工人生产脖子上的丝巾,40名工人生产手上的丝巾.19.(12分)某市足球协会组织开展了一次足球热身赛,其计分规则及奖励方案如下表:当比赛进行到每队各比赛12场时,A队(11名队员)共积20分,并且没有负一场.(1)试判断A队胜、平各几场?(2)若每赛一场每名队员均得出场费500元,那么A队的某一名队员所得奖金与出场费的和是多少?解:(1)设A队胜了x场,则平了(12-x)场,所以3x+(12-x)=20,解得x=4,12-x=8.答:A队胜了4场,平了8场.(2)因为每场比赛出场费500元,12场比赛出场费共6000元,赢了4场,奖金为1500×4=6000(元),平了8场,奖金为700×8=5600(元),所以奖金加出场费一共17600元.20.(12分)已知二项式-m 3n 2-2中,含字母的项的系数为a ,多项式的次数为b ,常数项为c.且a ,b ,c 分别是点A ,B ,C 在数轴上对应的数.(1)求a ,b ,c 的值,并在数轴上标出A ,B ,C.(2)若甲、乙、丙三个动点分别从A ,B ,C 三点同时出发沿数轴负方向运动,它们的速度分别是12,2,14(单位长度/秒),当乙追上丙时,乙与甲相距多远? (3)在数轴上是否存在一点P ,使P 到A ,B ,C 的距离之和等于10?若存在,请直接指出点P 对应的数;若不存在,请说明理由.解:(1)a=-1,b=5,c=-2.点A ,B ,C 如图所示.(2)设t 秒后乙追上丙,由题意得(2-14)t=7,解得t=4,此时乙与甲相距(4×12+6)-2×4=0, 所以当乙追上丙时,乙与甲也相遇,甲、乙之间距离为0.(3)设点P 对应的数为m , ①当点P 在点C 左边时,由题意得(5-m )+(-1-m )+(-2-m )=10,解得m=-83;②当点P 在A ,C 之间时,PA+PB+PC<10,不存在;③当点P 在A ,B 之间时,(5-m )+(m+1)+(m+2)=10,解得m=2;④当点P 在点B 右侧时,(m-5)+(m+1)+(m+2)=10,解得m=4(不合题意,舍去).综上,当点P 对应的数是-83或2时,PA+PB+PC=10.。
第三章【1 】一元一次方程单元测试班别___________姓名____________成绩_______________一. 选择题(第小题3分,共30分)1.(3分)下列各式中,是一元一次方程的是()A.﹣=1B.=3C.x2+1=5D.x﹣52.(3分)已知关于x的方程3﹣(a﹣2x)=x+2的解是x=4,则a的值是()A.4B.5C.3D.23.(3分)方程(a﹣2)x|a|﹣1+3=0是关于x的一元一次方程,则a=()A.2B.﹣2C.±1D.±24.(3分)解方程﹣3x+4=x﹣8,下列移项准确的是()A.﹣3x﹣x=﹣8﹣4B.﹣3x﹣x=﹣8+4C.﹣3x+x=﹣8﹣4D.﹣3x+x=﹣8+45.(3分)方程﹣4x=的解是()A.x=﹣2B.x=﹣C.x=﹣8D.x=26.(3分)下列等式变形中不准确的是()A.若x=y,则x+5=y+5B.若=,则x=yC.若﹣3x=﹣3y,则x=yD.若mx=my,则x=y7.(3分)在解方程﹣=1时,去分母准确的是()A.3(x﹣1)﹣2(2+3x)=1B.3(x﹣1)+2(2x+3)=1C.3(x﹣1)+2(2+3x)=6D.3(x﹣1)﹣2(2x+3)=68.(3分)已知代数式6x﹣12与4+2x的值互为相反数,那么x的值等于()A.﹣2B.﹣1C.1D.29.(3分)一个长方形的周长为30cm,若这个长方形的长削减1cm,宽增长2cm就可成为一个正方形,设长方形的长为xcm,可列方程为()A.x+1=(15﹣x)﹣2B.x+1=(30﹣x)﹣2C.x﹣1=(15﹣x)+2D.x﹣1=(30﹣x)+210.(3分)汽船在静水中速度为每小时20km,水流速度为每小时4km,从甲船埠顺流航行到乙船埠,再返回甲船埠,共用5小时(不计逗留时光),求甲.乙两船埠的距离.设两船埠间的距离为x km,则列出方程准确的是()A.(20+4)x+(20﹣4)x=5B.20x+4x=5C.+D.+二. 填空题(第小题4分,共24分)11.(4分)请写出一个一元一次方程,使得这个方程的解为“x=1”:12.(4分)已知2x﹣6=0,则4x=.13.(4分)若x与9的积等于x与﹣16的和,则x=.14.(4分)界说新运算:对于随意率性有理数a.b都有a⊗b=a(a﹣b)+1,等式右边是平日的加法.减法及乘法运算.比方:2⊗5=2×(2﹣5)+1=2×(-3)+1=-6+1=-5.若4⊗x=13,则x=.15.(4分)当k=时,方程kx+4=3﹣2x无解.16.(4分)一件工作,甲队独做10天可以完成,乙队独做可以15天完成.若两队合作2天,然后由乙队单独完成,还须要若干天可以完成剩下的工作?设乙队还须要x天可以完成剩下的工作,列方程为_______________.三. 解答题(共5小题,共46分)17.(12分)解方程:(1)12x+8=8x﹣4(2)x+3=x﹣2(3)4x﹣10=6(x﹣2)(4)﹣=118.(8分)方程x﹣3=的解与关于x的方程2x﹣m=x﹣2的解互为相反数,求m 的值.19.(8分)先浏览例1,再模仿例1解方程:|3x﹣4|=5.这就是“整体代换”数学思惟办法例1 解方程:|x﹣2|=3解:把x﹣2看作一个整体a,令a=x﹣2,方程可变形为|a|=3,这是“分类评论辩论”数学思惟办法∴a=3 或 a=﹣3即x﹣2=3 或 x﹣2=﹣3当x﹣2=3时,x=5当x﹣2=﹣3时,x=﹣1综上所述,方程的解为x=5或x=﹣1.20.(8分)某商场把一个双肩背的书包按进价进步60%标价,然后再按8折(标价的80%)出售,如许商场每卖出一个书包就可赚钱14元.这种书包的进价是若干元?21.(10分)某蔬菜公司的一种绿色蔬菜,若在市场上直接发卖,每吨利润为1000元,经粗加工后发卖,每吨利润可达4500元,经精加工后发卖,每吨利润涨至7500元,当地一家公司收购这种蔬菜140吨,该公司的加工临盆才能是:假如对蔬菜进行粗加工,天天可加工16吨,假如进行精加工,天天可加工6吨,但两种加工方法不克不及同时进行,受季候等前提限制,公司必须在15天将这批蔬菜全体发卖或加工完毕,为此公司研制了三种可行计划:计划一:将蔬菜全体进行粗加工.计划二:尽可能多地对蔬菜进行精加工,没来得及进行加工的蔬菜,在市场上直接发卖.计划三:将部分蔬菜进行精加工,其余蔬菜进行粗加工,并正好15天完成.你以为哪种计划获利最多?为什么?一元一次方程单元测试参考答案与试题解析一.选择题(共10小题)ABBAB DDCCD二. 填空题(共6小题)11.x﹣1=012.12.13.﹣2.14.1.15.﹣216.(+)×2+=1.三. 解答题(共5小题)17.【解答】解:(1)移项归并得:4x=﹣12,解得:x=﹣3;(2)去分母得:8x+36=9x﹣24,移项归并得:﹣x=﹣60,解得:x=60;(3)去括号得:4x﹣10=6x﹣12,移项归并得:﹣2x=﹣2,解得:x=1;(4)去分母得:5x﹣15﹣8x﹣2=10,移项归并得:﹣3x=27,解得:x=﹣9.18.【解答】解:解方程x﹣3=x﹣得:x=3,把x=﹣3代入方程2x﹣m=x﹣2得:﹣6﹣m=﹣5,解得:m=﹣1.19.【解答】解:把3x﹣4看作一个整体b,令b=3x﹣4,方程可变形为|b|=5,这是“分类评论辩论”数学思惟办法∴b=5或b=﹣5,即3x﹣4=5或3x﹣4=﹣5.当3x﹣4=5时,x=3;当3x﹣4=﹣5时,x=﹣.综上所述,方程的解为x=3或x=﹣.20.【解答】解:设这种书包的进价是x元,其标价是(1+60%)x元,由题意得:(1+60%)x•80%﹣x=14,解得:x=50,答:这种书包的进价是50元.21.【解答】解:计划一:∵4500×140=630000(元),∴将食物全体进行粗加工后发卖,则可获利润630000元计划二:15×6×7500+(140﹣15×6)×1000=725000(元),∴将食物尽可能多的进行精加工,没来得及加工的在市场上直接发卖,则可获利润725000元;计划三:设精加工x天,则粗加工(15﹣x)天.依据题意得:6x+16(15﹣x)=140,解得:x=10,所以精加工的吨数=6×10=60,16×5=80吨.这时利润为:80×4500+60×7500=810000(元)答:该公司可以粗加工这种食物80吨,精加工这种食物60吨,可获得最高利润为810000元.。
七年级数学上册《第三章一元一次方程》单元测试卷-带答案(人教版)一、选择题1.若()125m m x--= 是关于x 的一元一次方程,则m 的值为( )A .-2B .-1C .1D .22.方程261x x -=-的解是( ).A .5B .52-C .5±D .533.把方程1263x x +-=去分母,下列变形正确的是( ) A .212x x -+= B .2(1)12x x -+= C .2112x x -+=D .2(1)2x x -+=4.某种商品的进价为120元,若按标价九折降价出售,仍可获利24元,该商品的标价为( )A .140元B .150元C .160元D .170元5.已知关于x 的一元一次方程20232023xa x +=的解是2022x =,关于y 的一元一次方程20232023bc a +=-的解是2021y =-(其中b 和c 是含有y 的代数式),则下列结论符合条件的是( )A .11b y c y =--=+, B .11b y c y =-=-,C .11b y c y =+=--, D .11b y c y =-=-, 6.若关于x 的方程240x a +-=的解是2x =-,则a 的值等于( )A .8B .0C .2D .8-7.下列方程变形正确的是( )A .由21x -=得2x =-B .由13x -=得31x =-C .由312x -=得23x =- D .由27x +=得72x =+8.已知关于x 的方程2x+a=1-x 与方程2x-3=1的解相同,则a 的值为( )A .2B .-2C .5D .-59. 下列方程变形中,正确的是( )A .方程1125x x--=,去分母得()51210x x --= B .方程()3251x x -=--,去括号得3251x x -=--C .方程2332t =,系数化为1得1t = D .方程3221x x -=+,移项得3212x x -=-+10.甲单位到药店购买了一箱消毒水和60元的口罩,乙单位在同一药店购买了一箱消毒水和25元的口罩,乙单位购买总价只相当于甲单位购买总价的712,一箱消毒水多少元?设一箱消毒水为x 元,则下列方程正确的是( )A .712(25+x)=60+x B .60+712x=25+x C .60-712x=25+xD .712(60+x)=25+x 二、填空题11.若关于x 的方程(1)20kk x ++=是一元一次方程,则k = . 12. 若3x m+5y 3与23x 2y n的差仍为单项式,则m+n = . 13.若()52x +与()29x -+互为相反数,则2x -的值为 .14.重百十周年店庆,小明妈妈以平时八折的优惠购买了一件衣服,节省24元,那么小明妈妈购买这件衣服实际花费了 元.三、计算题15.解方程:(1)()243x x --=(2)31142x x--= 四、解答题16.已知关于x 的方程 2312a x -= ,在解这个方程时,粗心的小琴同学误将 3x - 看成了3x + ,从而解得 3x = ,请你帮他求出正确的解.17.当x 取什么数时, 31x + 与 3x - 互为相反数。 18.已知关于x 的方程1322x x +=-与23x m mx -=+的解互为倒数,求m 的值. 19.在即将到来的“6.18年中大促”活动中,某商场计划对所有商品打折出售.已知某商品的进价是1500元,按照商品标价的八折出售时,利润率是12%,那么该商品的标价是多少元?五、综合题20.已知方程(1﹣m 2)x 2﹣(m+1)x+8=0是关于x 的一元一次方程.(1)求m 的值及方程的解.(2)求代数式 22152(2)3(2)3x xm x xm -+-+ 的值.21.如果两个方程的解相差1,则称解较大的方程为另一个方程的“后移方程”.例如:方程-20x =是方程10x -=的后移方程.(1)判断方程210x +=是否为方程230x +=的后移方程 (填“是”或“否”); (2)若关于x 的方程30x m +=是关于x 的方程()()2243x x -=-+的后移方程,求m 的值.22.卡塔尔世界杯的举办掀起了青少年校园足球热,某体育用品商店对甲、乙两种品牌足球开展促销活动,已知甲、乙两种品牌足球的标价分别是:160元/个,60元/个,现有如下两种优惠方案: 方案一:不办理会员卡,购买甲种品牌足球享受8.5折优惠;购买乙种品牌足球,5个(含5个)以上享受8.5折优惠,5个以下按标价购买.方案二:办理一张会员卡100元,购买甲、乙两种品牌足球均享受7.5折优惠.(1)若购买甲种品牌足球3个,乙种品牌足球4个,哪一种方案更优惠?多优惠多少元? (2)若购买甲种品牌足球若干个,乙种品牌足球6个,方案一与方案二所付金额相同,求购买甲种品牌的足球个数.参考答案与解析1.【答案】A【解析】【解答】解:∵()125m m x--= 是关于x 的一元一次方程∴|m|-1=1且m-2≠0 解之:m=±2且m≠2 ∴m=-2. 故答案为:A【分析】利用一元一次方程的定义:含一个未知数,含未知数项的最高次数为1,一次项的系数不等于0,可得到关于m 的方程和不等式,分别求解,可得到m 的值.2.【答案】A【解析】【解答】解:261x x -=-移项得261x x -=- 合并同类项得5x = 故答案为:A.【分析】根据解一元一次方程的解题步骤“移项、合并同类项”求出方程的解,即可得出答案.3.【答案】B【解析】【解答】解:1263x x +-=去分母,得2(1)12x x -+= 故答案为:B.【分析】由等式的性质,在方程的两边同时乘以6,右边的2也要乘以6,不能漏乘,据此即可得出答案.4.【答案】C【解析】【解答】解:设该商品的标价为x 元0.9x=120×(1+20%) 解得:x=160答:该商品的标价为160元 故答案为:C .【分析】设该商品的标价为x 元,根据题意列出方程0.9x=120×(1+20%),再求出x 的值即可。
一元一次方程单元测试题及答案测试题:1. 解方程:2x + 3 = 72. 解方程:4(x - 5) = 163. 解方程:3(2x - 1) + 2 = 5(x + 3) - 14. 解方程:5x + 3 = 2 - 4x5. 解方程:2(3x + 4) - 5(x - 2) = 146. 解方程:3(2x - 1) = 4(3x + 2) - 17. 解方程:6x - 7 = 5(x - 3)8. 解方程组:2x + 3y = 74x - 2y = 89. 解方程组:3x + y = 4x - 2y = -110. 解方程组:2x + y = 13x - 2y = 4答案及解析:1. 解方程:2x + 3 = 7解:首先,将方程中的常数项移动到等号的右边,得到2x = 7 - 3。
接着,将式子进行计算,得到2x = 4。
最后,将方程两边同时除以2,得到x = 2。
答案:x = 22. 解方程:4(x - 5) = 16解:首先,将括号内的式子进行计算,得到4x - 20 = 16。
接着,将常数项移动到等号的右边,得到4x = 16 + 20。
最后,将方程两边同时除以4,得到x = 9。
答案:x = 93. 解方程:3(2x - 1) + 2 = 5(x + 3) - 1解:首先,将括号内的式子进行计算,得到6x - 3 + 2 = 5x + 15 - 1。
接着,将常数项移动到等号的右边,得到6x - 1 = 5x + 14。
接着,将方程两边同时减去5x,得到x - 1 = 14。
最后,将方程右边的常数项移动到等号左边,得到x = 15。
答案:x = 154. 解方程:5x + 3 = 2 - 4x解:首先,将方程中的常数项移动到等号的右边,得到5x = 2 - 3 + 4x。
接着,将方程两边同时减去4x,得到x = 2 - 3。
最后,将右边的常数项进行计算,并化简方程,得到x = -1。
答案:x = -15. 解方程:2(3x + 4) - 5(x - 2) = 14解:首先,将括号内的式子进行计算,得到6x + 8 - 5x + 10 = 14。
精心整理七年级数学上册《一元一次方程单元测试卷》一、单项选择题:(本大题共10个小题,每小题3分,共30分,每小题给出的四个选项中,只有一项是符合题目要求的,将此选项的字母填在答题卡上)1.(3分)下列方程中,是一元一次方程的是().x=的一元一次方程的解是.另一个亏损20%,在这次买卖中,这家商店()A.盈利50元B.亏损10元C.盈利10元D.不盈不亏7.(3分)一件商品按成本价提高30%后标价,再打8折(标价的80%)销售,售价为312元,设这件商品的成本价为x元,根据题意,下面所列的方程正确的是()A.x?30%×80%=312B.x?30%=312×80%C.312×30%×80%=x D.x(1+30%)×80%=312 8.(3分)一张试卷上有25道选择题:对一道题得4分,错一道得﹣1分,不做得﹣1分,某同学做完全部25题得70分,那么它做对题数为()分)方程x的方程与静水时船速为26km/h,水速为2km/h,则A港和B港相距km.14.(3分)若2x﹣3=0且|3y﹣2|=0,则xy= .15.(3分)已知关于x的方程=4的解是x=4,则a= .16.(3分)当x= 时,3x+4与4x+6的值相等.17.(3分)如果单项式3a4x+1b2与可以合并为一项,那么x与y的值应分别为.18.(3分)关于x的两个方程5x﹣3=4x与ax﹣12=0的解相同,则a= .19.(3分)若a,b互为相反数,c,d互为倒数,p的绝对值等于2,则关于x的方程(a+b)x2+3cd?x﹣p2=0的解为x= .20.(3分)三个连续奇数的和是75,这三个数分别是.=.机的原售价是多少元?25.(10分)已知x=﹣2是方程2x﹣|k﹣1|=﹣6的解,求k的值.26.(10分)初一学生王马虎同学在做作业时,不慎将墨水瓶打翻,使一道作业只能看到:甲、乙两地相距160千米,摩托车的速度为45千米/时,运货汽车的速度为35千米/时,?请你将这道作业题补充完整并列出方程解答.27.(10分)某地区居民生活用电基本价格为每千瓦时0.40元,若每月用电量超过a千瓦时,则超过部分按基本电价的70%收费.(1)某户八月份用电84千瓦时,共交电费30.72元,求a= .(2)若该用户九月份的平均电费为0.36元,则九月份共用电千瓦时,种每台2100元,丙种每台2500元.(1)若商场同时购进其中两种不同型号电视机共50台,用去9万元,请你研究一下商场的进货方案;(2)若商场销售一台甲种电视机可获利150元,销售一台乙种电视机可获利200元,销售一台丙种电视机可获利250元.在同时购进两种不同型号电视机的方案中,为使销售利润最多,你选择哪一种进货方案?七年级数学上册《一元一次方程》单元测试卷参考答案与试题解析一、单项选择题:(本大题共10个小题,每小题3分,共30分,每小题给出的四个选项中,只有一项是符合题目要求的,将此选项的字母填在答题卡上).【分析】方程的解的定义,就是能够使方程左右两边相等的未知数的值.所以把x=﹣1分别代入四个选项进行检验即可.【解答】解:A、把x=﹣1代入方程的左边=右边=﹣2,是方程的解;B、把x=﹣1代入方程的左边=﹣14≠右边,所以不是方程的解;C、把x=﹣1代入方程的左边=﹣11≠右边,不是方程的解;D、把x=﹣1代入方程的左边=﹣≠右边,不是方程的解;故选:A.【点评】本题的关键是正确理解方程的解的定义,就是能够使方程左右两边相等的未知数的值.代入方程得:﹣=1【分析】把x=﹣2代入方程即可得到一个关于a的方程,解方程即可求解.【解答】解:把x=﹣2代入方程得:﹣4+a﹣4=0,解得:a=8.故选:D.【点评】本题考查了方程的解的定义,方程的解就是能使方程左右两边相等的未知数的值.5.(3分)一个长方形的周长为26cm,这个长方形的长减少1cm,宽增加2cm,就可成为一个正方形,设长方形的长为xcm,则可列方程()A.x﹣1=(26﹣x)+2B.x﹣1=(13﹣x)+2C.x+1=(26﹣x)﹣2D.x+1=(13﹣x)﹣2数量关系建立方程求出其解即可.【解答】解:设盈利60%的进价为x元,亏损20%的进价为y元,由题意,得x(1+60%)=80,y(1﹣20%)=80,解得:x=50,y=100,∴成本为:50+100=150元.∵售价为:80×2=160元,利润为:160﹣150=10元故选:C.【点评】本题考查了列一元一次方程解实际问题的运用,一元一次方程的解法的运用,销售问题的数量关系利润=售价﹣进价的运用,解答时由销售问题的数做得﹣1分,某同学做完全部25题得70分,那么它做对题数为()A.17B.18C.19D.20【分析】设某同学做对了x道题,那么他做错了25﹣x道题,他的得分应该是4x﹣(25﹣x)×1,据此可列出方程.【解答】解:设该同学做对了x题,根据题意列方程得:4x﹣(25﹣x)×1=70,解得x=19.故选:C.【点评】本题考查了一元一次方程的应用,难度不大,解题关键是要读懂题目的意思,根据题目给出的条件,找出合适的等量关系,列出方程组,再求解.9.(3分)若2x+1=4,则4x+1等于()【解答】解:设乙现在x岁,则5年前甲为(x+15﹣5)岁,乙为(x﹣5)岁,由题意得:x+15﹣5=2(x﹣5)解得x=20故选:B.【点评】解题关键是读懂题意,找到合适的等量关系,列出方程.二、填空题:(本大题共10小题,每小题3分,共30分.把答案写在答题卡中的横线上11.(3分)方程x﹣2=4的解是x=9 .【分析】方程去分母,移项合并,把x系数化为1,即可求出解.【解答】解:去分母得:2x﹣6=12,的方程与的解相同,那么解:解方程=把x=3代入=x+4+2|m|得=3++2|m|解得:|m|=2,则m=±2.故答案为±2.【点评】本题考查了同解方程,使方程左右两边相等的未知数的值是该方程的解,因此检验一个数是否为相应的方程的解,就是把这个数代替方程中的未知数,看左右两边的值是否相等.13.(3分)轮船沿江从A港顺流行驶到B港,比从B港返回A港少用3h,若静水时船速为26km/h,水速为2km/h,则A港和B港相距504 km.根据题意得:.由|3y﹣2|=0,得3y﹣2=0,解得y=.∴xy==1.【点评】本题的关键是正确解一元一次方程以及绝对值的定义.15.(3分)已知关于x的方程=4的解是x=4,则a= 0 .【分析】把x=4代入方程=4得关于a的方程,再求解即得a的值.【解答】解:把x=4代入方程=4,得:=4,解方程得:a=0.故填0.【点评】本题的关键是正确解一元一次方程.理解方程的解的定义,就是能够使方程左右两边相等的未知数的值.与可以合并为一项,那么【点评】本题主要考查了同类项的定义,同类项的概念是所含字母相同,相同字母的指数也相同的项是同类项,不是同类项的一定不能合并.18.(3分)关于x的两个方程5x﹣3=4x与ax﹣12=0的解相同,则a= 4 .【分析】先求方程5x﹣3=4x的解,再代入ax﹣12=0,求得a的值.【解答】解:解方程5x﹣3=4x,得x=3,把x=3代入ax﹣12=0,得3a﹣12=0,解得a=4.故填:4.x=.到的数量关系代入含有字母系数的方程中,利用一元一次方程求出未知数的值.20.(3分)三个连续奇数的和是75,这三个数分别是23,25,27 .【分析】利用“三个连续奇数的和是75”作为等量关系列方程求解.就要先设出一个未知数,然后根据题中的等量关系列方程求解.【解答】解:设最小的奇数为x,则其他的为x+2,x+4∴x+x+2+x+4=75解得:x=23这三个数分别是23,25,27.故填:23,25,27.=.移项合并得:7x=﹣1,解得:x=﹣.【点评】此题考查了解一元一次方程,其步骤为:去分母,去括号,移项合并,把未知数系数化为1,求出解.22.(10分)用铝片做听装易拉饮料瓶,每张铝片可制瓶身16个或瓶底43个,一个瓶身配两个瓶底.现有150张铝片,用多少张制瓶身,多少张制瓶底,可以正好制成成套的饮料瓶?【分析】设用x张铝片做瓶身,则用(150﹣x)张铝片做瓶底,通过理解题意可知本题的等量关系,即做瓶底所用的铝片=制瓶身所用的铝片的两倍.根据这个等量关系,可列出方程,再求解.入即可求解.【解答】解:设首先安排整理的人员有x人,由题意得:x+(x+6)×2=1,解得:x=6.答:先安排整理的人员有6人.【点评】此题主要考查了一元一次方程的应用,关键是正确理解题意,找出题目中的等量关系,列出方程.此题用到的公式是:工作效率×工作时间=工作量.24.(10分)为了拓展销路,商店对某种照相机的售价做了调整,按原价的8折出售,此时的利润率为14%,若此种照相机的进价为1200元,问该照相机的原售价是多少元?【解答】解:∵x=﹣2是方程2x﹣|k﹣1|=﹣6的解,∴代入得:﹣4﹣|k﹣1|=﹣6,∴|k﹣1|=2,∴k﹣1=2,k﹣1=﹣2,解得:k=3,k=﹣1,答:k的值是3或﹣1.【点评】本题主要考查对绝对值,含绝对值的一元一次方程,解一元一次方程等知识点的理解和掌握,能得到方程k﹣1=2和k﹣1=﹣2是解此题的关键.26.(10分)初一学生王马虎同学在做作业时,不慎将墨水瓶打翻,使一道作业只能看到:甲、乙两地相距160千米,摩托车的速度为45千米/时,运货超过a千瓦时,则超过部分按基本电价的70%收费.(1)某户八月份用电84千瓦时,共交电费30.72元,求a= 60 .(2)若该用户九月份的平均电费为0.36元,则九月份共用电90 千瓦时,应交电费是32.40 元.【分析】(1)根据题中所给的关系,找到等量关系,共交电费是不变的,然后列出方程求出a;(2)先设九月份共用电x千瓦时,从中找到等量关系,共交电费是不变的,然后列出方程求出x.【解答】解:(1)由题意,得0.4a+(84﹣a)×0.40×70%=30.72,③稿费为4000元或高于4000元的应缴纳全部稿费的11%的税.试根据上述纳税的计算方法作答:(1)若王老师获得的稿费为2400元,则应纳税224 元,若王老师获得的稿费为4000元,则应纳税440 元;(2)若王老师获稿费后纳税420元,求这笔稿费是多少元?【分析】本题列出了不同的判断条件,要将本题中的稿费金额按照三种不同的条件进行分类讨论,然后再根据等量关系列方程求解.【解答】解:(1)若王老师获得的稿费为2400元,则应纳税224元,若王老师获得的稿费为4000元,则应纳税440元;(2)因为王老师纳税420元,所以由(1)可知王老师的这笔稿费高于800元,(2)若商场销售一台甲种电视机可获利150元,销售一台乙种电视机可获利200元,销售一台丙种电视机可获利250元.在同时购进两种不同型号电视机的方案中,为使销售利润最多,你选择哪一种进货方案?【分析】(1)因为要购进两种不同型号电视机,可供选择的有3种,那么将有三种情况:甲乙组合,甲丙组合,乙丙组合.等量关系为:台数相加=50,钱数相加=90000;(2)算出各方案的利润加以比较.【解答】解:(1)解分三种情况计算:①设购甲种电视机x台,乙种电视机y台.解得.则解得:则解得:况.弄清题意,合适的等量关系,列出方程组仍是解决问题的关键.本题还需注意可供选择的将有三种情况:甲乙组合,甲丙组合,乙丙组合.。
七年级数学(上)《一元一次方程》单元测试卷(时间:120分钟 ) 一、选择题(18分) 1、在方程23=-y x ,021=-+x x ,2121=x ,0322=--x x 中一元一次方程的个数为( ) A .1个 B .2个 C .3个 D .4个2、解方程3112-=-x x 时,去分母正确的是( ) A .2233-=-x x B .2263-=-x x C .1263-=-x x D .1233-=-x x 3、方程x x -=-22的解是( )A .1=xB .1-=xC .2=xD .0=x4、对432=+-x ,下列说法正确的是( )A .不是方程B .是方程,其解为1C .是方程,其解为3D .是方程,其解为1、3 5、方程17.0123.01=--+x x 可变形为( ) A.17102031010=--+x x B.171203110=--+x xC.1071203110=--+x xD.107102031010=--+x x6、x 增加2倍的值比x 扩大5倍少3,列方程得( )A .352+=x xB .352-=x xC .353+=x xD .353-=x x7、A 厂库存钢材为100吨,每月用去15吨;B 厂库存钢材82吨,每月用去9吨.若经过x 个月后,两厂库存钢材相等,则x =( )A .3B .5C .2D .48、某种商品的标价为120元,若以九折降价出售,相对于进货价仍获利20%,该商品的进货价为( ). A .80元 B .85元 C .90元 D .95元9、某原料供应商对购买其原料的顾客实行如下优惠:(1)一次购买金额不超过1万元,不予优惠;(2)一次购买金额超过1万元,但不超过3万元给九折优惠;(3)一次购买超过3万元,其中3万元九折优惠,超过3万元的部分八折优惠.某厂因库容原因,第一次在供应商购买原料付款7800元,第二次购买付款26100元,如果他是一次购买同样数量的原料,可少付金额为( )元. A.1460 B.1540 C.1560 D.2000二、填空题(18分)10、代数式12+a 与a 21+互为相反数,则=a . 11、如果06312=+--a x是一元一次方程,那么=a ,方程的解为=x .12、若4-=x 是方程0862=--x ax 的一个解,则=a .13、如果)12(3125+m ba 与)3(21221+-m b a 是同类项,则=m .14、已知023=+x ,则=-34x . 15、一个数x 的51与它的和等于–10的20%,则可列出的方程为 . 16、已知梯形的下底为cm 6,高为cm 5,面积为225cm ,则上底的长等于 .17、要锻造直径为16厘米、高为5厘米的圆柱形毛坯,设需截取边长为6厘米的的方钢x 厘米,可得方程为 .18、国家规定个人发表文章、出版图书获得稿费的纳税计算办法是:⑴稿费不高于800元的不纳税;⑵稿费高于800元,又不高于4000元,应缴纳超过800元的那一部分稿费14%的税;⑶稿费高于4000元,应缴纳全部稿费的11%的税.某老师获得了2000元稿费,他应纳税 元. 三、解答题(共55分) 19、解下列方程(10分) (1)22)141(34=---a a (2)151423=+--x x (3)25.032.04=--+x x20、(8分)在公式h b a S )(21+=中,已知8,18,120===h b S ,求a 的值21、(8分)不论x 取何值,等式34=--x b ax 永远成立,求ab 21的值.22、(8分)当m 为何值时,关于x 的方程x x m +=+21125的解比关于x 的方程)1()1(x m m x +=+的解大2.23、(8分)设1511+=x y ,4122+=x y ,当x 为何值时,1y 、2y 互为相反数?24、(8分)已知3=x 是方程()241133=⎥⎦⎤⎢⎣⎡-+⎪⎭⎫ ⎝⎛+x m x 的解,n 满足关系式12=+m n ,求n m +的值.四.列方程解应用题(共41分)25、(10分)在甲处劳动的有27人,在乙处劳动的有19人,现在另调20人去支援,使在甲处人数为在乙处的人数的2倍,应调往甲、乙两处各多少人?26、(10分)一项工作,甲单独做需15天完成,乙单独做需12天完成,这项工作由甲、乙两人合做,并且施工期间乙休息7天,问几天完成?27、(10分)张老师带领该校七年级“三好学生”去开展夏令营活动,甲旅行社说:“如果老师买全票一张,则学生可享受半价优惠.”乙旅行社说:“包括老师在内按全票价的6折优惠.”若全票价为240元,当学生人数为多少人时,两家旅行社的收费一样多?28. (11分)小明中考时的准考证号码是由四个数字组成的,这四个数字组成的四位数有如下特征:(1)它的千位数字为1;(2)把千位上的数字1向右移动,使其成为个位数字,那么所得的新数比原数的5倍少49.请你根据以上特征推出小明的准考证号码.一、选择题1.下列各种变形中,不正确的是( )A .从3+2x =2可得到2x =-3B .从6x =2x -1可得到6x -2x =-1C .从21%+50%(60-x )=60×42%可得到21+50(60-x )=62×42D .从3212-=-x x 可得到3x -1=2(x -2)2.方程673422--=--x x 去分母是( ) A .12-2(2x -4)=-(x -7) B .12-2(2x -4)=-x -7 C .12-2(2x -7)=-(x -7) D .12-4x -4=-x +73.已知x =1是方程21233-=-x k x 的解,则32+k 的值是( ) A .-2 B .2 C .0 D .-14.如果3个连续的奇数的和为15,那么它们的积是( ) A .15 B .21 C .105 D .2155.1元和5角的硬币共100枚,值68元,则1元和5角的硬币个数分别为( ) A .36个,64个 B .64个,36个 C .28个,72个 D .50个,50个6.某项工程由甲队单独做需18天完成,由乙队做只需甲队的一半时间完成,设两队合作需x 天完成,则可得方程( )A .x =+91181 B .1)91181(=+x C .x =+361181 D .1)361181(=+x7.一个长方形的周长是16cm ,长与宽的差是2 cm ,那么这个长方形的长与宽分别是( ) A .9cm ,7cm B .5cm ,3cm C .7cm ,5cm D .10cm ,6cm 8.若关于x 的方程x +2=ax 的解是-1,则a 的值是( )A .1=aB .1-=aC .0=aD .3=a9.采石场工人爆破时,为了确保安全,点燃炸药导火线后要在爆破前转移到400米以外的安全区域,燃烧速度是1厘米/秒,人离开的速度是5米/秒,至少需要导火线的长度是( ) A .70厘米 B .75厘米 C .79厘米 D .80厘米10.一家三口(父亲、母亲、儿子)准备利用寒假外出旅游,甲旅行社告知:父母买全票,儿子可按半价优惠;乙旅行社告知:每人均按定价的8折优惠,若这两家旅行社每人的原票价相同,那么优惠条件是( )A .甲比乙优惠B .乙比甲优惠C .甲与乙相同D .与原票价有关二、填空题11.1、x 52比41大17,则x =_________。
12.如果08)2(1=++-m x m 是一元一次方程,则______=m 。
13.已知方程23252x x -+=-的解也是方程32x b -=的解,则b =_________。
14.在400米的环形跑道上,男生每分钟跑320米,女生每分钟跑280米,男、 女生同时同地同向出发,t 分钟首次相遇,则t = 。
15. 某商人一次卖出两件商品。
一件赚了15%,一件赔了15%,卖价都是1955 元,在这次买卖过程中,商人 。
16.甲班与乙班共有学生95人,若设甲班有x 人,现从甲班调1人到乙班,甲 班人数是乙班人数的90%,依题意有方程 。
17.一个两位数,个位数字与十位数字的和是9,如果将个位数字与十位数字对 调后所得的新数比原数大9,则原来的两位数为 。
18.某商品的进货价为每件x 元,零售价为每件900元,为了适应市场竞争,商 店按零售价的九折让利40元销售,仍可获利10%,则x 。
19.某人按定期2年向银行储蓄1500元,假定每年利率为3%(不计复利)到 期支取时,扣除利息所得税(税率为20%)此人实得利息为 。
20.甲水池有水31吨,乙水池有水11吨,甲池的水每小时流入乙池2吨, x 小时 后, 乙池有水________吨,甲池有水_______吨,________小时后,甲池的水与乙 池的水一样多。
三、解答题21.解下列方程: (1)543322)5(x x x x +-+=-+-- (2)4 1.550.8 1.230.50.20.1x x x----=+22.关于x 的方程x m x m 474653-=+与方程4(3x -7)=19-35x 有相同的解,求m 的值。
23.请你联系你的生活和学习,编制一道实际问题,使列的方程为51-x =45+x 。
24.张叔叔用若干元人民币购买了一种年利率为10%的一年期债券,到期后他 取出本金的一半用于购物,剩下的一半及所得的利息又全部买了这种一年期债券 (利率不变),到期的得本息和1320元,问张叔叔当初购买这种债券花了多少 元?25.一队学生去校外郊游,他们以每小时5千米的速度行进,经过一段时间后, 学校要将一紧急的通知传给队长。
通讯员骑自行车从学校出发,以每小时14千米的速度按原路追上去,用去10分钟追上学生队伍,求通讯员出发前,学生队伍走了多长的时间?26.下图的数阵由77个偶数排成。
(1)图中平行四边形框内的四个数有什么关系?(2)在数阵中任意作一类似(1)中的平行四边形框,设其中左上角的一个数是x,那么其他三个数怎样表示?(3)如果四个数的和是326,你能求出这四个数吗?27. 小赵和小王交流暑假中的活动,小赵说:“我参加科技夏令营,外出一个星期,这七天的日期数之和为84,你知道我是几号出去的吗?”小王说:“我假期到舅舅家去住了七天,日期数的和再加上月份数也是84,你能猜出我是几月几号回家的吗?”试列出方程,解答小赵与小王的问题。
28. 2001年亚洲铁人三项赛在徐州市风光秀丽的云龙湖畔举行,比赛程序是:运动员先同时下水游泳15 km到第一换项点,在第一换项点整理服装后,接着骑自行车40 km到第二换项点,再跑步10 km到终点.下表是2001年亚洲铁人三项赛女子组(19岁以下)三名运动员在比赛中的成绩(游泳成绩即游泳所用时间,其他类推,表内时间单位为s)。