《一元一次方程》单元测试卷(附答案)
- 格式:doc
- 大小:283.00 KB
- 文档页数:8
一.选择题(共10小题,满分30分,每小题3分) 1.(3分)下列是一元一次方程的是( ) A .x 2﹣2x ﹣3=0B .x +1=0C .x 2+1x=1D .2x +y =52.(3分)已知方程(a ﹣2)x |a |﹣1+7=0是关于x 的一元一次方程,则a 的值为( )A .2B .﹣2C .±2D .无法确定3.(3分)下列变形正确的是( ) A .由ac =bc ,得a =b B .由x 5=x 5−1,得a =b ﹣1C .由2a ﹣3=a ,得a =3D .由2a ﹣1=3a +1,得a =24.(3分)若关于x 的一元一次方程ax +3x =2的解是x =1,则a 的值为( ) A .1B .﹣1C .5D .﹣55.(3分)若x 3+1与2x −73互为相反数,则m 的值为( )A .34B .43C .−34D .−436.(3分)下列各题中不正确的是( ) A .由5x =3x +1移项得5x ﹣3x =1B .由2(x +1)=x +7去括号、移项、合并同类项得x =5C .由2x −13=1+x −32去分母得2(2x ﹣1)=6+3(x ﹣3)D .由2(2x ﹣1)﹣3(x ﹣3)=1去括号得 4x ﹣2﹣3x ﹣9=17.(3分)一个长方形的周长为26cm ,这个长方形的长减少1cm ,宽增加2cm ,就可成为一个正方形,设长方形的长为xcm ,则可列方程( ) A .x ﹣1=(26﹣x )+2 B .x ﹣1=(13﹣x )+2 C .x +1=(26﹣x )﹣2D .x +1=(13﹣x )﹣28.(3分)某工程,甲单独做需12天完成,乙单独做需8天完成,现由甲先做3天,乙再加入合作,直至完成这项工程,求甲完成这项工程所用的时间.若设甲完成此项工程一共用x 天,则下列方程正确的是( ) A .x +312+x8=1B .x 12+x +38=1 C .x −312+x8=1D .x 12+x −38=1 9.(3分)A 、B 两城相距720km ,普快列车从A 城出发120km 后,特快列车从B 城开往A 城,6h 后两车相遇.若普快列车是特快列车速度的23,且设普快列车速度为xkm /h ,则下列所列方程错误的是( ) A .720﹣6x =6×32x +120B .720+120=6(x +32x )C .6x +6×32x +120=720D .6(x +32x )+120=72010.(3分)如图所示,两人沿着边长为80m 的正方形,按A ⇒B ⇒C ⇒D ⇒A …的方向行走.甲从A 点以每分钟60米的速度,同时乙从B 点以每分钟100米的速度行走,当乙第一次追上甲时,将在正方形( )A .DA 边上B .AB 边上C .BC 边上D .CD 边上二.填空题(共5小题,满分15分,每小题3分)11.(3分)若代数式2x ﹣1与x +2的值相等,则x = . 12.(3分)若2a3x +1与−15x 2x +4的和是单项式,则x 的值为 .13.(3分)若P =2y ﹣2,Q =2y +3,2P ﹣Q =3,则y 的值等于 .14.(3分)某校春游,若包租相同的大巴13辆,那么就有14人没有座位;如果多包租1辆,那么就多了26个空位,若设春游的总人数为x 人,则列方程为15.(3分)为了拓展销路,商店对某种照相机的售价作了调整,按原价的8折出售,此时的利润率为14%,若此种照相机的进价为1200元,问该照相机的原售价是 . 三.解答题(共8小题,满分75分)16.(8分)(1)5+3x =2(5﹣x ); (2)x −13=2x −32+117.(8分)已知方程2﹣3(x +1)=0的解与关于x 的方程x +x2−3k =1﹣2x 的解互为倒数,求(5k +12)3的值.18.(8分)已知x=﹣2是方程2x﹣|k﹣1|=﹣6的解,求k的值.19.(9分)定义:如果两个一元一次方程的解互为相反数,我们就称这两个方程为“兄弟方程”.如方程2x=4和3x+6=0为“兄弟方程”.(1)若关于x的方程5x+m=0与方程2x﹣4=x+1是“兄弟方程”,求m的值;(2)若两个“兄弟方程”的两个解的差为8,其中一个解为n,求n的值;(3)若关于x的方程2x+3m﹣2=0和3x﹣5m+4=0是“兄弟方程”,求这两个方程的解.20.(10分)有3个大人决定带领一些小孩通过旅行社去某旅游景区旅游,其中有两家旅行社可供选择,甲旅行社的收费标准为:大人全价,小孩7折优惠;而乙旅行社不分大人、小孩,一律八折优惠;这两家旅行社的全价一样,都是每人200元.(1)如果带领2个小孩,那么选择哪个旅行社更优惠,为什么(2)如果通过计算这两家旅行社的总费用一样,那么带领的小孩有多少人21.(10分)A、B两地相距70千米,甲从A地出发,每小时行15千米,乙从B地出发,每小时行20千米.(1)若两人同时出发,相向而行,则经过几小时两人相遇(2)若甲在前,乙在后,两人同时同向而行,则几小时后乙超过甲10千米(3)若两人同时出发,相向而行,则几小时后两人相距10千米22.(11分)某工厂加工螺栓、螺帽,已知每1块金属原料可以加工成3个螺栓或4个螺帽(说明:每块金属原料无法同时既加工螺栓又加工螺帽),已知1个螺栓和2个螺帽组成一个零件,为了加工更多的零件,要求螺栓和螺帽恰好配套.请列方程解决下列问题:(1)现有20块相同的金属原料,问最多能加工多少个这样的零件(2)若把26块相同的金属原料全部加工完,问加工的螺栓和螺帽恰好配套吗说明理由(3)若把n块相同的金属原料全部加工完,为了使这样加工出来的螺栓与螺帽恰好配套,请求出n所满足的条件.23.(11分)甲、乙两个超市开展了促销活动:(假设两家超市相同的商品的标价都是一样)甲超市乙超市全场折金额≤200元,没有优惠200<金额≤500元,打9折金额>500元,500元部分打9折,超过500部分打8折(1)当一次性购物标价总额是300元时,甲、乙超市实际上分别付了多少钱(2)当标价总额是多少时甲、乙超市实际付款额一样.(3)小明两次到乙超市分别付款198元和466元,若他只去一次该超市购买同样多的商品,可以节省多少元一元一次方程单元测试题(含答案)参考答案与试题解析一.选择题(共10小题,满分30分,每小题3分) 1.(3分)下列是一元一次方程的是( ) A .x 2﹣2x ﹣3=0B .x +1=0C .x 2+1x=1D .2x +y =5【分析】利用一元一次方程的定义判断即可. 【解答】解:x +1=0是一元一次方程, 故选:B .【点评】此题考查了一元一次方程的定义,熟练掌握一元一次方程的定义是解本题的关键.2.(3分)已知方程(a ﹣2)x |a |﹣1+7=0是关于x 的一元一次方程,则a 的值为( )A .2B .﹣2C .±2D .无法确定【分析】根据一元一次方程的定义,得出|a |﹣1=1,注意a ﹣2≠0,进而得出答案. 【解答】解:由题意得:|a |﹣1=1,a ﹣2≠0, 解得:a =﹣2. 故选:B .【点评】此题主要考查了一元一次方程的定义,正确把握定义得出是解题关键. 3.(3分)下列变形正确的是( ) A .由ac =bc ,得a =b B .由x 5=x 5−1,得a =b ﹣1C .由2a ﹣3=a ,得a =3D .由2a ﹣1=3a +1,得a =2【分析】根据等式的基本性质1:等式的两边都加上或者减去同一个数或同一个整式,所得结果仍是等式;等式性质2:等式的两边都乘以或者除以同一个数(除数不为零),所得结果仍是等式,针对每一个选项进行判断即可解决.【解答】解:A 、由ac =bc ,当c =0时,a 不一定等于b ,错误;B 、由x 5=x5−1,得a =b ﹣5,错误; C 、由2a ﹣3=a ,得a =3,正确; D 、由2a ﹣1=3a +1,得a =﹣2,错误;故选:C .【点评】此题主要考查了等式的性质,关键是熟练掌握等式的性质定理. 4.(3分)若关于x 的一元一次方程ax +3x =2的解是x =1,则a 的值为( ) A .1B .﹣1C .5D .﹣5【分析】把x =1代入方程ax +3x =2得出a +3=2,求出方程的解即可. 【解答】解:把x =1代入方程ax +3x =2得:a +3=2, 解得:a =﹣1, 故选:B .【点评】本题考查了一元一次方程的解和解一元一次方程的应用,解此题的关键是得出关于a 的一元一次方程,难度适中.5.(3分)若x 3+1与2x −73互为相反数,则m 的值为( )A .34B .43C .−34D .−43【分析】利用互为相反数两数之和为0列出方程,求出方程的解即可得到m 的值. 【解答】解:根据题意得:x 3+1+2x −73=0, 去分母得:m +3+2m ﹣7=0, 解得:m =43,故选:B .【点评】此题考查了解一元一次方程,其步骤为:去分母,去括号,移项合并,把未知数系数化为1,求出解.6.(3分)下列各题中不正确的是( ) A .由5x =3x +1移项得5x ﹣3x =1B .由2(x +1)=x +7去括号、移项、合并同类项得x =5C .由2x −13=1+x −32去分母得2(2x ﹣1)=6+3(x ﹣3)D .由2(2x ﹣1)﹣3(x ﹣3)=1去括号得 4x ﹣2﹣3x ﹣9=1 【分析】根据解一元一次方程的步骤依次计算可得.【解答】解:A .由5x =3x +1移项得5x ﹣3x =1,此选项正确;B .由2(x +1)=x +7去括号、移项、合并同类项得x =5,此选项正确;C .由2x −13=1+x −32去分母得2(2x ﹣1)=6+3(x ﹣3),此选项正确; D .由2(2x ﹣1)﹣3(x ﹣3=1)去括号得 4x ﹣2﹣3x +9=1,此选项错误;故选:D .【点评】本题主要考查解一元一次方程,解题的关键是掌握解一元一次方程的一般步骤:去分母、去括号、移项、合并同类项、系数化为1,这仅是解一元一次方程的一般步骤,针对方程的特点,灵活应用,各种步骤都是为使方程逐渐向x =a 形式转化.7.(3分)一个长方形的周长为26cm ,这个长方形的长减少1cm ,宽增加2cm ,就可成为一个正方形,设长方形的长为xcm ,则可列方程( ) A .x ﹣1=(26﹣x )+2 B .x ﹣1=(13﹣x )+2 C .x +1=(26﹣x )﹣2D .x +1=(13﹣x )﹣2【分析】首先理解题意找出题中存在的等量关系:长方形的长﹣1cm =长方形的宽+2cm ,根据此列方程即可.【解答】解:设长方形的长为xcm ,则宽是(13﹣x )cm ,根据等量关系:长方形的长﹣1cm =长方形的宽+2cm ,列出方程得:x ﹣1=(13﹣x )+2,故选:B .【点评】列方程解应用题的关键是找出题目中的相等关系,有的题目所含的等量关系比较隐藏,要注意仔细审题,耐心寻找.8.(3分)某工程,甲单独做需12天完成,乙单独做需8天完成,现由甲先做3天,乙再加入合作,直至完成这项工程,求甲完成这项工程所用的时间.若设甲完成此项工程一共用x 天,则下列方程正确的是( ) A .x +312+x 8=1B .x 12+x +38=1 C .x −312+x8=1D .x 12+x −38=1 【分析】设甲完成此项工程一共用x 天,则乙完成此项工程一共用(x ﹣3)天,根据甲完成的部分+乙完成的部分=整个工作量(单位1),即可得出关于x 的一元一次方程,此题得解.【解答】解:设甲完成此项工程一共用x 天,则乙完成此项工程一共用(x ﹣3)天, 根据题意得:x 12+x −38=1.故选:D .【点评】本题考查了由实际问题抽象出一元一次方程,找准等量关系,正确列出一元一次方程是解题的关键.9.(3分)A 、B 两城相距720km ,普快列车从A 城出发120km 后,特快列车从B 城开往A 城,6h 后两车相遇.若普快列车是特快列车速度的23,且设普快列车速度为xkm /h ,则下列所列方程错误的是( ) A .720﹣6x =6×32x +120 B .720+120=6(x +32x ) C .6x +6×32x +120=720D .6(x +32x )+120=720【分析】设普快列车速度为x 千米/时,则特快列车的速度为32x 千米/时,根据相遇问题的数量关系建立方程求出其解即可.【解答】解:设普快列车速度为x 千米/时,则特快列车的速度为32x 千米/时,由题意,得:120+6(x +32x )=720,故列方程错误的是B . 故选:B .【点评】本题考查了由实际问题抽象一元一次方程的知识,解答本题的关键是仔细审题,根据等量关系建立方程.10.(3分)如图所示,两人沿着边长为80m 的正方形,按A ⇒B ⇒C ⇒D ⇒A …的方向行走.甲从A 点以每分钟60米的速度,同时乙从B 点以每分钟100米的速度行走,当乙第一次追上甲时,将在正方形( )A .DA 边上B .AB 边上C .BC 边上D .CD 边上【分析】要想知道乙追到甲时在哪一边上,则必须知道它们追上时所行的路程,那么只要求出追到时的时间,就可求出路程.根据路程计算沿正方形所走的圈数,就可知道在哪一边上.【解答】解:设乙第一次追上甲时,所用的时间为x ,依题意得:100x =60x +3×80 解得:x =6∴乙第一次追上甲时所行走的路程为:6×100=600m ∵正方形边长为80m ,周长为320m ,∴当乙第一次追上甲时,将在正方形AB 边上.故选:B.【点评】解决此题的关键是要求出它们相遇时的路程,然后根据路程求沿正方形所行的圈数,即可知道在哪一边上.二.填空题(共5小题,满分15分,每小题3分)11.(3分)若代数式2x﹣1与x+2的值相等,则x= 3 .【分析】根据题意列出方程,求出方程的解即可得到x的值.【解答】解:根据题意得:2x﹣1=x+2,移项合并得:x=3,故答案为:3【点评】此题考查了解一元一次方程,熟练掌握运算法则是解本题的关键.12.(3分)若2a3x+1与−15x2x+4的和是单项式,则x的值为 3 .【分析】根据同类项的定义(所含字母相同,相同字母的指数相同),即可求解.【解答】解:根据题意得:3x+1=2x+4,解得:x=3.故答案是:3.【点评】考查了同类项,同类项定义中的两个“相同”:相同字母的指数相同,是易混点,因此成了中考的常考点.13.(3分)若P=2y﹣2,Q=2y+3,2P﹣Q=3,则y的值等于 5 .【分析】把P、Q的值代入2P﹣Q=3,得关于y的一次方程,求解方程即可.【解答】解:把P=2y﹣2,Q=2y+3,代入2P﹣Q=3,得2(2y﹣2)﹣(2y+3)=3整理,得2y=10,所以y=5.故答案为:5【点评】本题考查了一元一次方程的解法.把P、Q的值代入得关于y的方程是解决本题的关键.14.(3分)某校春游,若包租相同的大巴13辆,那么就有14人没有座位;如果多包租1辆,那么就多了26个空位,若设春游的总人数为x人,则列方程为x−1413=x+2614【分析】设春游的总人数是x人,根据大巴的载客量做为等量关系列方程求解.【解答】解:设春游的总人数是x 人.根据题意所列方程为x −1413=x +2614, 故答案为:x −1413=x +2614. 【点评】本题考查理解题意的能力,因为同样的大巴,所以以大巴的载客量做为等量关系列方程求解.15.(3分)为了拓展销路,商店对某种照相机的售价作了调整,按原价的8折出售,此时的利润率为14%,若此种照相机的进价为1200元,问该照相机的原售价是 1710元 .【分析】设该照相机的原售价是x 元,从而得出售价为,等量关系:实际售价=进价(1+利润率),列方程求解即可.【解答】解:设该照相机的原售价是x 元,根据题意得:=1200×(1+14%),解得:x =1710.答:该照相机的原售价是1710元.故答案为:1710元.【点评】此题考查了一元一次方程的应用,与实际结合,是近几年的热点考题,首先读懂题目的意思,根据题目给出的条件,找出合适的等量关系,列出方程,再求解三.解答题(共8小题,满分75分)16.(8分)(1)5+3x =2(5﹣x );(2)x −13=2x −32+1 【分析】(1)根据一元一次方程的解法,去括号、移项、合并同类项、系数化为1即可得解;(2)这是一个带分母的方程,所以要先去分母,再去括号,最后移项,化系数为1,从而得到方程的解.【解答】解:(1)去括号得,5+3x =10﹣2x ,移项得,3x +2x =10﹣5,合并同类项得,5x =5,系数化为1得,x =1;(2)去分母得,2(x ﹣1)=3(2x ﹣3)+6,去括号得,2x ﹣2=6x ﹣9+6,移项得,2x ﹣6x =﹣9+6+2,合并同类项得,﹣4x =﹣1,系数化为1得,x =14;【点评】本题主要考查了解一元一次方程,注意在去分母时,方程两端同乘各分母的最小公倍数时,不要漏乘没有分母的项,同时要把分子(如果是一个多项式)作为一个整体加上括号.17.(8分)已知方程2﹣3(x +1)=0的解与关于x 的方程x +x 2−3k =1﹣2x 的解互为倒数,求(5k +12)3的值.【分析】先求出第一个方程的解得x =−13,再根据倒数的定义把x =﹣3代入第二个方程,求出5k =﹣17,然后代入(5k +12)3,计算即可.【解答】解:解方程2﹣3(x +1)=0得:x =−13,−13的倒数为﹣3,把x =﹣3代入方程x +x 2−3k =1﹣2x 得:x −32−3k =1+6, 解得:5k =﹣17,则(5k +12)3=(﹣17+12)3=﹣125.【点评】本题考查了倒数、解一元一次方程、代数式求值,能得出关于k 的方程是解此题的关键.18.(8分)已知x =﹣2是方程2x ﹣|k ﹣1|=﹣6的解,求k 的值.【分析】将x =﹣2代入原方程,即可得出关于k 的含绝对值符号的一元一次方程,解之即可得出结论.【解答】解:∵x =﹣2是方程2x ﹣|k ﹣1|=﹣6的解,∴代入得:﹣4﹣|k ﹣1|=﹣6,∴|k ﹣1|=2,∴k ﹣1=2或k ﹣1=﹣2,解得:k =3或k =﹣1.答:k 的值是3或﹣1.【点评】本题考查了一元一次方程的解,将x =﹣2代入原方程,找出关于k 的含绝对值符号的一元一次方程是解题的关键.19.(9分)定义:如果两个一元一次方程的解互为相反数,我们就称这两个方程为“兄弟方程”.如方程2x =4和3x +6=0为“兄弟方程”.(1)若关于x 的方程5x +m =0与方程2x ﹣4=x +1是“兄弟方程”,求m 的值;(2)若两个“兄弟方程”的两个解的差为8,其中一个解为n ,求n 的值;(3)若关于x 的方程2x +3m ﹣2=0和3x ﹣5m +4=0是“兄弟方程”,求这两个方程的解.【分析】(1)根据新定义运算法则解答;(2)根据“兄弟方程”的定义和已知条件得到:n ﹣(﹣n )=8或﹣n ﹣n =8,解方程即可;(3)求得方程2x +3m ﹣2=0和3x ﹣5m +4=0解,然后由“兄弟方程”的定义解答.【解答】解:(1)方程2x ﹣4=x +1的解为x =5,将x =﹣5代入方程5x +m =0得m =25;(2)另一解为﹣n .则n ﹣(﹣n )=8或﹣n ﹣n =8,∴n =4或n =﹣4;(3)方程2x +3m ﹣2=0的解为x =−3x +22, 方程3x ﹣5m +4=0的解为x =5x −43, 则−3x +22+5x −43=0, 解得m =2.所以,两解分别为﹣2和2.【点评】考查了一元一次方程的解的定义,解题的关键是掌握“兄弟方程”的定义.20.(10分)有3个大人决定带领一些小孩通过旅行社去某旅游景区旅游,其中有两家旅行社可供选择,甲旅行社的收费标准为:大人全价,小孩7折优惠;而乙旅行社不分大人、小孩,一律八折优惠;这两家旅行社的全价一样,都是每人200元.(1)如果带领2个小孩,那么选择哪个旅行社更优惠,为什么(2)如果通过计算这两家旅行社的总费用一样,那么带领的小孩有多少人【分析】(1)根据旅行社收费标准,分别求出两家旅行社所需的费用,再比较即可;(2)设带领的小孩有x人,根据这两家旅行社的总费用一样列出方程,求解即可.【解答】解:(1)由题意可得,甲旅行社所需费用为:3×200+×200×2=880(元),乙旅行社所需费用为:×(3+2)×200=800(元),故选择乙旅行社更优惠;(2)设带领的小孩有x人,根据题意得3×200+×200x=×(3+x)×200,解得x=6.答:如果这两家旅行社的总费用一样,那么带领的小孩有6人.【点评】本题考查了一元一次方程的应用,解题关键是要读懂题目的意思,根据题目给出的条件,找出合适的等量关系列出方程.21.(10分)A、B两地相距70千米,甲从A地出发,每小时行15千米,乙从B地出发,每小时行20千米.(1)若两人同时出发,相向而行,则经过几小时两人相遇(2)若甲在前,乙在后,两人同时同向而行,则几小时后乙超过甲10千米(3)若两人同时出发,相向而行,则几小时后两人相距10千米【分析】(1)根据题意可以列出相应的一元一次方程,从而可以解答本题;(2)根据题意可以列出相应的一元一次方程,从而可以解答本题;(3)根据题意可以列出相应的一元一次方程,从而可以解答本题.【解答】解:(1)设经过x小时两人相遇,15x+20x=70,解得,x=2,答:经过2小时两人相遇;(2)设经过a小时,乙超过甲10千米,20a=15a+70+10,解得,a=16,答:经过16小时,乙超过甲10千米;(3)设b小时后两人相距10千米,|15b +20b ﹣70|=10,解得,b 1=167,b 2=127, 答:127小时或167小时后两人相距10千米. 【点评】本题考查一元一次方程的应用,解答本题的关键是明确题意,列出相应的方程.22.(11分)某工厂加工螺栓、螺帽,已知每1块金属原料可以加工成3个螺栓或4个螺帽(说明:每块金属原料无法同时既加工螺栓又加工螺帽),已知1个螺栓和2个螺帽组成一个零件,为了加工更多的零件,要求螺栓和螺帽恰好配套.请列方程解决下列问题:(1)现有20块相同的金属原料,问最多能加工多少个这样的零件(2)若把26块相同的金属原料全部加工完,问加工的螺栓和螺帽恰好配套吗说明理由(3)若把n 块相同的金属原料全部加工完,为了使这样加工出来的螺栓与螺帽恰好配套,请求出n 所满足的条件.【分析】(1)设用x 块金属原料加工螺栓,则用(20﹣x )块金属原料加工螺帽.根据2×螺栓的个数=螺帽的个数列出方程,求解即可;(2)设用y 块金属原料加工螺栓,则用(26﹣y )块金属原料加工螺帽.根据2×螺栓的个数=螺帽的个数列出方程,求出的方程的解如果是正整数,那么加工的螺栓和螺帽恰好配套;否则不能配套;(3)设用a 块金属原料加工螺栓,则用(n ﹣a )块金属原料加工螺帽,可使这样加工出来的螺栓与螺帽恰好配套.根据2×螺栓的个数=螺帽的个数列出方程,得出n 与a 的关系,进而求解即可.【解答】解:(1)设用x 块金属原料加工螺栓,则用(20﹣x )块金属原料加工螺帽. 由题意,可得2×3x =4(20﹣x ),解得x =8,则3×8=24.答:最多能加工24个这样的零件;(2)若把26块相同的金属原料全部加工完,加工的螺栓和螺帽不能恰好配套.理由如下:设用y 块金属原料加工螺栓,则用(26﹣y )块金属原料加工螺帽.由题意,可得2×3y =4(26﹣y ),解得y=.由于不是整数,不合题意舍去,所以若把26块相同的金属原料全部加工完,加工的螺栓和螺帽不能恰好配套;(3)设用a块金属原料加工螺栓,则用(n﹣a)块金属原料加工螺帽,可使这样加工出来的螺栓与螺帽恰好配套.由题意,可得2×3a=4(n﹣a),解得a=25 n,则n﹣a=35 n,即n所满足的条件是:n是5的正整数倍的数.【点评】本题考查了一元一次方程的应用,解题关键是要读懂题目的意思,根据题目给出的条件,找出等量关系:2×螺栓的个数=螺帽的个数是解题的关键.23.(11分)甲、乙两个超市开展了促销活动:(假设两家超市相同的商品的标价都是一样)甲超市乙超市全场折金额≤200元,没有优惠200<金额≤500元,打9折金额>500元,500元部分打9折,超过500部分打8折(1)当一次性购物标价总额是300元时,甲、乙超市实际上分别付了多少钱(2)当标价总额是多少时甲、乙超市实际付款额一样.(3)小明两次到乙超市分别付款198元和466元,若他只去一次该超市购买同样多的商品,可以节省多少元【分析】(1)根据两家超市的优惠方案,可知当一次性购物标价总额是300元时,甲超市实付款=购物标价×,乙超市实付款=300×,分别计算即可;(2)设当标价总额是x元时,甲、乙超市实付款一样.根据甲超市实付款=乙超市实付款列出方程,求解即可;(3)首先计算出两次购物标价,然后根据优惠方案即可求解.【解答】解:(1)当一次性购物标价总额是300元时,甲超市实付款=300×=264(元),乙超市实付款=300×=270(元);(2)设当标价总额是x元时,甲、乙超市实付款一样.当一次性购物标价总额是500元时,甲超市实付款=500×=440(元),乙超市实付款=500×=450(元),∵440<450,∴x>500.根据题意得=500×+(x﹣500),解得x=625.答:当标价总额是625元时,甲、乙超市实付款一样;(3)小明两次到乙超市分别购物付款198元和466元,第一次购物付款198元,购物标价可能是198元,也可能是198÷=220元,第二次购物付款466元,购物标价是(466﹣450)÷+500=520元,两次购物标价之后是198+520=718元,或220+520=740元.若他只去一次该超市购买同样多的商品,实付款500×+(718﹣500)=元,或500×+(740﹣500)=642元,可以节省198+466﹣=元,或198+466﹣642=22元.答:若他只去一次该超市购买同样多的商品,可以节省或22元.【点评】本题考查了一元一次方程的应用,理解两家超市的优惠方案,进行分类讨论是解题的关键.¥。
人教版七年级数学上册第三章《一元一次方程》单元测试一、选择题(本题共计 10 小题,每题 3 分,共计30分,)1. 已知x=1是方程x−2k3=12−32x的解,则k的值是()A.−2B.2C.0D.−12. 某商品打七折后价格为a元,则原价为( )A.a元B.107a元 C.30%a元 D.710a元3. 在①2x+1;②1+7=15−8+1;③1−12x=x−1;④x+2y=3中,方程共有()A.1个B.2个C.3个D.4个4. 若关于x的方程3x+(2a+1)=x−(3a+2)的解为x=0,则a的值等于( )A.15B.35C.−15D.−355. 将一根长为acm的铁丝首尾相接围成一个正方形,若要将它按如图所示的方式向外等距扩大1cm得到新的正方形,则这根铁丝需增加()A.4cmB.8cmC.(a+4)cmD.(a+8)cm6. 七年级(1)班有30人会下象棋或围棋,已知会下象棋的人数比会下围棋的人数多5人,两种棋都会下的有17人,问只会下围棋的有多少人?设只会下围棋的有x人,可得方程()A.x+(x−5)+17=30B.x+(x+5)+17=30C.x+(x−5)−17=30D.x+(x+5)−17=307. 如图是某月份的日历表,任意框出同一列上的三个数,则这三个数的和不可能是()A.39B.43C.57D.668. 解方程x3−x−12=1时,去分母后,正确的是( )A.3x−2(x−1)=1B.2x−3(x−1)=1C.3x−2(x−1)=6D.2x−3(x−1)=69. 运用等式性质进行的变形,正确的是()A.如果a=b,那么a+c=b−cB.如果ac =bc,那么a=bC.如果a=b,那么ac =bcD.如果a2=3a,那么a=310. 已知x=2是方程5Xm+10=30的解,则m的值为( )A.2B.4C.6D.10二、填空题(本题共计 4 小题,每题 4 分,共计16分,)11. 当代数式2x−2与3+x的值相等时,x=________.12. 已知:(m−2)x−1=0是关于x的一元一次方程,则m________.13. 在等式5x−8=7−9x的两边同时________,得14x=15,这是根据________.14. 李大叔去年承包了10亩地种植甲、乙两种蔬菜,共获利18000元,其中甲种蔬菜每亩获利2000元,乙种蔬菜每亩获利1500元,李大叔的承包地去年甲种蔬菜有________亩.三、解答题(本题共计 5 小题,共计74分,)15.(20分) 解下列方程:(1)8(a+1)−2(3a−4)=13;(2)2x−13=2x+16−1;(3)y−y−12=2−y+25;(4)2x0.3+223=1.4−3x0.2.16.(12分) 列方程.(1)甲班有学生58人,乙班有学生46人,要使甲、乙两班的人数相等,应如何调动?(2)某推销员,卖出全部商品的2后,得到400元,卖出全部商品共得到多少元?517. (14分) “五一”期间,某电器城按成本价提高30%后标价,再打8折(标价的80%)销售,售价为2080元,该电器的成本价为多少元?(只列方程)18. (14分)一个长方形的周长为28cm,将此长方形的长减少2cm,宽增加4cm,就可成为一个正方形,那么原长方形的长和宽分别是多少?19.(14分) 某公园门票价格规定如下表:某校七年级(1)(2)两个班共102人去游园,其中(1)班有40多人,不足50人.经计算,如果两个班都以班为单位购票,则一共应付1320元.问:(1)如果两班联合起来,作为一个团体购票,可省多少钱?(2)两班各有多少名学生?参考答案与试题解析一、选择题(本题共计 10 小题,每题 3 分,共计30分)1.【答案】B【考点】一元一次方程的解【解析】把x=1代入方程,即可得出一个关于k的一元一次方程,求出方程的解即可.【解答】把x=1代入方程x−2k3=12−32x得:1−2k3=12−32×1,解得:k=2,2.【答案】B【考点】一元一次方程的应用——打折销售问题【解析】此题暂无解析【解答】解:设该商品原价为:x元,∵ 某商品打七折后价格为a元,∵ 0.7x=a,则x=107a(元),故选B.3.【答案】B方程的定义【解析】方程是含有未知数的等式,是等式但不含未知数不是方程,含未知数不是等式也不是方程.【解答】(1)2x+1,含未知数但不是等式,所以不是方程.(2)1+7=15−8+1,是等式但不含未知数,所以不是方程.x=x−1,是含有未知数的等式,所以是方程.(3)1−12(4)x+2y=3,是含有未知数的等式,所以是方程.故有所有式子中有2个是方程.故选:B.4.【答案】D【考点】方程的解【解析】此题暂无解析【解答】解:∵ x=0是方程3x+(2a+1)=x−(3a+2)的解,∵ 2a+1=−(3a+2),,解得:a=−35故选D.5.【答案】B【考点】一元一次方程的应用——其他问题列代数式根据题意得出原正方形的边长,再得出新正方形的边长,继而得出答案.【解答】解:∵ 原正方形的周长为acm,cm,∵ 原正方形的边长为a4∵ 将它按图的方式向外等距扩1cm,+2)cm,∵ 新正方形的边长为(a4+2)=(a+8)(cm),则新正方形的周长为4(a4因此需要增加的长度为a+8−a=8(cm).故选B.6.【答案】B【考点】由实际问题抽象出一元一次方程【解析】设只会下围棋的有x人,则只会下象棋的有(x+5)人,根据该班有30人会下象棋或围棋且两种棋都会下的有17人,即可得出关于x的一元一次方程,此题得解.【解答】设只会下围棋的有x人,则只会下象棋的有(x+5)人,依题意,得:x+(x+5)+17=30.7.【答案】B【考点】一元一次方程的应用——其他问题解一元一次方程【解析】可设中间的数为x,根据竖列上相邻的数相隔7可得其余2个数,相加等于各选项中数字求解即可.【解答】解:A、设中间的数为x,则最小的数为x−7,最大的数为x+7.x+(x−7)+(x+7)=39,解得:x=13,故此选项错误;B、设中间的数为x,则最小的数为x−7,最大的数为x+7.x+(x−7)+(x+7)=43,解得:x=433,故此选项符合题意;C、设中间的数为x,则最小的数为x−7,最大的数为x+7.x+(x−7)+(x+7)=57,解得:x=19,故此选项错误;D、设中间的数为x,则最小的数为x−7,最大的数为x+7.x+(x−7)+(x+7)=66,解得:x=22,故此选项错误;故选B.8.【答案】D【考点】解一元一次方程【解析】方程两边乘以6去分母得到结果,即可做出判断.【解答】解:方程x3−x−12=1,等式两边同时乘6得:2x−3(x−1)=6.故选D.9.【答案】B【考点】等式的性质【解析】利用等式的性质对每个等式进行变形即可找出答案.【解答】解:A、利用等式性质1,两边都加c,得到a+c=b+c,所以A不成立,故A选项错误;B、利用等式性质2,两边都乘以c,得到a=b,所以B成立,故B选项正确;C、成立的条件c≠0,故C选项错误;D、成立的条件a≠0,故D选项错误.故选B.10.【答案】A【考点】解一元一次方程【解析】把X=2代入方程得到一个关于m的方程,求出方程的解即可【解答】解得:m=2,故选A.二、填空题(本题共计 4 小题,每题 4 分,共计16分)11.【答案】5【考点】解一元一次方程【解析】此题暂无解析【解答】解:由已知得:2x−2=3+x,移项合并得:x=5,故答案为:5.12.【答案】m≠2【考点】一元一次方程的定义【解析】依据一元一次方程的定义可知m−2≠0,从而可求得m的取值范围.【解答】解:∵ (m−2)x−1=0是关于x的一元一次方程,∵ m−2=0.∵ m≠2.故答案为:m≠2.13.【答案】9x+8,等式的性质1【考点】等式的性质【解析】根据等式的基本性质即可解答.【解答】解:两边同时加上9x得:5x+9x−8=7,两边再同时加上8得:14x=5,故5x−8=7−9x两边同时加上9x+8,得到14x=15,根据是:等式的性质1.故答案是:9x+8,等式的性质1.14.【答案】6【考点】一元一次方程的应用——工程进度问题【解析】可设甲种蔬菜种植了x亩,则乙种蔬菜种植了(10−x)亩,等量关系为:甲种蔬菜总获利+乙种蔬菜总获利=18000.【解答】解:设甲种蔬菜种植了x亩,则乙种蔬菜种植了(10−x)亩,依题意得2000x+1500(10−x)=18000,解得x=6,答:甲种蔬菜种植了6亩.故答案为6.三、解答题(本题共计 5 小题,共计74分)15.【答案】去括号得:8a+8−6a+8=13,移项得:8a−6a=13−8−8,合并得:2a=−3,解得:a=−1.5;去分母得:2(2x−1)=2x+1−6,去括号得:4x−2=2x+1−6,移项得:4x−2x=1−6+2,合并得:2x=−3,解得:x=−1.5;去分母得:10y−5(y−1)=20−2(y+2),去括号得:10y−5y+5=20−2y−4,移项得:10y−5y+2y=20−4−5,合并得:7y=11,解得:y=117;方程整理得:20x3+83=7−15x,去分母得:20x+8=21−45x,移项得:20x+45x=21−8,合并得:65x=13,解得:x=0.2.【考点】解一元一次方程【解析】(1)方程去括号,移项合并,把a系数化为1,即可求出解;(2)方程去分母,去括号,移项合并,把x系数化为1,即可求出解;(3)方程去分母,去括号,移项合并,把y系数化为1,即可求出解;(4)方程整理后,去分母,去括号,移项合并,把x系数化为1,即可求出解.【解答】去括号得:8a+8−6a+8=13,移项得:8a−6a=13−8−8,合并得:2a=−3,解得:a=−1.5;去分母得:2(2x−1)=2x+1−6,去括号得:4x−2=2x+1−6,移项得:4x−2x=1−6+2,合并得:2x=−3,解得:x=−1.5;去分母得:10y−5(y−1)=20−2(y+2),去括号得:10y−5y+5=20−2y−4,移项得:10y−5y+2y=20−4−5,合并得:7y=11,解得:y=117;方程整理得:20x3+83=7−15x,去分母得:20x+8=21−45x,移项得:20x+45x=21−8,合并得:65x=13,解得:x=0.2.16.【答案】解:(1)设从甲班调x人到乙班,则:58−x=46+x;(2)设卖出全部商品共得到x元,则:25x=400.【考点】由实际问题抽象出一元一次方程【解析】(1)根据要使甲、乙两班的人数相等,表示出两班的人数即可得出等式;后,得到400元”,得出等式即可.(2)根据“卖出全部商品的25【解答】解:(1)设从甲班调x人到乙班,则:58−x=46+x;(2)设卖出全部商品共得到x元,则:2x=400.517.【答案】解:设该电器的成本价为x元,依题意有x(1+30%)×80%=2080.【考点】由实际问题抽象出一元一次方程【解析】设该电器的成本价为x元,根据成本价×(1+30%)×80%=售价为2080元可列出方程.【解答】解:设该电器的成本价为x元,依题意有x(1+30%)×80%=2080.18.【答案】长方形的长为10cm,宽为4cm.【考点】一元一次方程的应用——工程进度问题【解析】设长方形的长是xcm,根据正方形的边长相等即可列出方程求解.【解答】解:设长方形的长是xcm,则宽为(14−x)cm,根据题意得:x−2=(14−x)+4,解得:x=10,14−x=14−10=4.19.【解析】(1)根据题意得出两个班联合购票比分别购票的差值即可;(2)设(1)班有xx人,根据题意列出方程解答即可.【解答】解:(1)(1)1320−102×10=1320−102×10=300300(元)答:两个班联合购票比分别购票要省300300元.(2)(2)设(1)(1)班有xx人,因为(1)(1)班有4040多人,不足5050人,所以(2)(2)班人数必定大于5050,则:14x+12(102−x)=132014x+12(102−x)=1320,解得:x=48x=48,102−48=54102−48=54.答:(1)(1)班有4848人,(2)(2)班有5454人.【答案】解:(1)(1)1320−102×10=1320−102×10=300300(元)答:两个班联合购票比分别购票要省300300元.(2)(2)设(1)(1)班有xx人,因为(1)(1)班有4040多人,不足5050人,所以(2)(2)班人数必定大于5050,则:14x+12(102−x)=132014x+12(102−x)=1320,解得:x=48x=48,102−48=54102−48=54.答:(1)(1)班有4848人,(2)(2)班有5454人.。
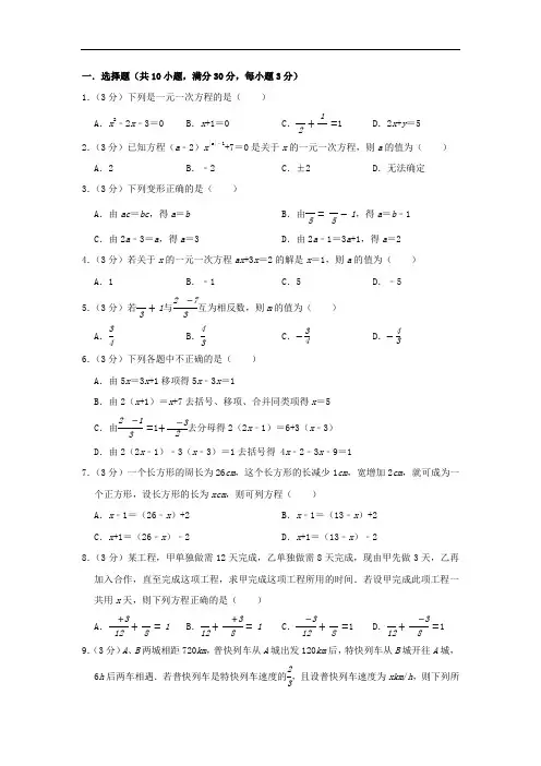
第三章一元一次方程单元达标检测卷一、单选题:1.下列方程是一元一次方程的是()A.2x+3y=7B.3x 2=3C.6=2x-1 D.2x-1=202.下列解方程步骤正确的是()A.由0.2x +4=0.3x +1,得0.2x -0.3x =1+4B.由4x +1=0.310.1x ++1.2,得4x +1=3101x ++12C.由0.2x -0.3=2-1.3x ,得2x -3=2-13x D.由13x --26x +=2,得2x -2-x -2=123.解方程3112424x x-+-=-时,去分母后得到的方程正确的是()A.()231124x x --+=- B.()()231121x x --+=-C.()()231124x x --+=- D.()()2311216x x --+=-4.如果式子5x-4的值与-16互为倒数,则x 的值为()A.56B.-56C.-25D.255.下列变形中,不正确的是()A.若a ﹣3=b ﹣3,则a=bB.若a b c c=,则a=b C.若a=b ,则2211a bc c =++ D.若ac=bc ,则a=b6.小华在做解方程作业时,不小心将方程中的一个常数弄脏了而看不清楚,被弄脏的方程是13.(-12x -+x)=1-5x -,这该怎么办呢?他想了一想,然后看了一下书后面的答案,知道此方程的解是x=5,于是,他很快便补好了这个常数,并迅速地做完了作业。
同学们,你能补出这个常数吗?它应该是()A.2 B.3 C.4 D.57.某校教师举行茶话会.若每桌坐10人,则空出一张桌子;若每桌坐8人,还有6人不能就坐.设该校准备的桌子数为x ,则可列方程为()A.()10186x x -=- B.()10186x x -=+ C.()10186x x +=- D.()10186x x +=+8.下图是某超市中某品牌洗发水的价格标签,一服务员不小心将墨水滴签上,使得原价看不清楚,请你帮忙算一算,该洗发水的原价为()A.22元 B.23元 C.24元D.26元9.小明所在城市的“阶梯水价”收费办法是:每户用水不超过5吨,每吨水费x 元;超过5吨,超过部分每吨加收2元,小明家今年5月份用水9吨,共交水费为44元,根据题意列出关于x 的方程正确的是()A.5x+4(x+2)=44 B.5x+4(x-2)=44 C.9(x+2)=44 D.9(x+2)-4×2=4410.已知关于x 的一元一次方程2133axx +=+的解为正整数,则所有满足条件的整数a 有()个A.3B.4C.6D.8二、填空题:11.若关于x 的方程(k ﹣3)x |k ﹣2|+5k+1=0是一元一次方程,则k=.12.若关于y 的方程32y k -=与32y y +=的解相同,则k 的值为.13.若方程3(2x ﹣1)=2+x 的解与关于x 的方程623k-=2(x+3)的解互为相反数,则k 的值是14.在全国足球甲级A 组的比赛中,某队在已赛的11场比赛中保持连续不败,积25分.已知胜一场得3分,平一场得1分,那么该队已胜场.15.春节将近,各服装店清仓大甩卖.一商店某一时间以每件120元的价格卖出两件衣服,其中一件盈利50%,另一件亏损20%,卖这两件衣服的利润为元.16.整理一批资料,由一个人做要20h 完成,现计划由一部分人先做3h ,然后调走其中5人,剩下的人再做2h 正好完成这项工作,假设这些人的工作效率相同,具体应先安排多少人工作?若设应先安排x 人工作3h ,则根据题意可列方程为.17.为了抓住国庆长假的商机,某商家推出了“每满300元减30元”的活动,该商家将某品牌微波炉按进价提高50%后标价,再按标价的八折销售,一顾客在国庆长假期间购买了一个该商家这个品牌的微波炉,最终付款780元.(1)将表格补充完整:(2)该商家卖一个这个品牌的微波炉的利润为元.18.按照下面的程序计算,如果输入的值是正整数,输出结果是94,则满足条件的y 值有个.19.某商场经销一种商品,由于进货时价格比原进价降低了6.4%,使得利润率增加了8个百分点,那么经销这种商品原来的利润率是%(注:利润率=-销售价进价进价×100%).20.线段15AB =,点P 从点A 开始向点B 以每秒1个单位长度的速度运动,点Q 从点B 开始向点A 以每秒2个单位长度的速度运动,当其中一个点到达终点时另一个点也随之停止运动,当2AP PQ =时,t 的值为.三、计算题:21.解下列方程(1)()4315235x x --=(2)10.10.051220.2x x+--=+四、解答题:22.小李在解关于x 的方程2133x x a-+=-1去分母时,方程右边的-1漏乘了3,因而求得方程的解为x=-2,请你帮小李同学求出a 的值,并且求出原方程的解.23.学习了一元一次方程的解法后,老师布置了这样一道计算题317124x x +--=,甲、乙两位同学的解答过程分别如下:甲同学:解方程317124x x +--=.解:317441424x x +-⨯-⨯=⨯…第①步()23174x x +--=……第②步6274x x +--=……第③步6427x x -=-+……第④步59x =…………第⑤步95x =.………第⑥步乙同学:解方程317124x x +--=.解:31744124x x +-⨯-⨯=…第①步()23171x x +-+=……第②步6271x x +-+=……第③步6127x x -=--……第④步58x =-…………第⑤步85x =-.………第⑥步老师发现这两位同学的解答过程都有不符合题意.请你从甲、乙两位同学中,选择一位同学的解答过程,帮助他分析错因,并加以改正.(1)我选择同学的解答过程进行分析(填“甲”或“乙”);(2)该同学的解答过程从第步开始出现不符合题意(填序号);错误的原因是;(3)请写出正确的解答过程.24.某地区发生强烈地震,维和部队在两个地方进行救援工作,甲处有91名维和部队队员,乙处有49名维和部队队员,现又调来100名维和部队队员支援,要使甲处的人数比乙处人数的3倍少12人,应往甲、乙两处各调来多少名维和部队队员?25.用方程解答问题:某车间有22名工人,用铝片生产听装饮料瓶,每人每天可以生产1200个瓶身或2000个瓶底,一个瓶身和两个瓶底可配成一套,为使每天生产的瓶身和瓶底刚好配套,应安排生产瓶身和瓶底的工人各多少名?26.某城市对用户的自来水收费实行阶梯水价,收费标准如下表所示:月用水量不超过12吨的部分超过12吨不超过18吨的部分超过18吨的部分收费标准(元/吨) 2.00 2.50 3.00(1)某用户5月份缴水费45元,则该用户5月份的用水量是多少?(2)某用户想月所缴水费控制在20元至30元之间,则该用户的月用水量应该如何控制?(3)若某用户的月用水量为m吨,请用含m的代数式表示该用户月所缴水费.27.为发展校园足球运动,某县城区四校决定联合购买一批足球运动装备,市场调查发现:甲、乙两商场以同样的价格出售同种品牌的足球队服和足球,已知每套队服比每个足球多50元,两套队服与三个足球的费用相等,经洽谈,甲商场优惠方案是:每购买十套队服,送一个足球;乙商场优惠方案是:若购买队服超过80套,则购买足球打八折.(1)求每套队服和每个足球的价格是多少?(2)若城区四校联合购买100套队服和a个足球,请用含a的式子分别表示出到甲商场和乙商场购买装备所花的费用;(3)假如你是本次购买任务的负责人,你认为到哪家商场购买比较合算?28.某牛奶加工厂现有鲜奶8吨,若市场上直接销售鲜奶,每吨可获取利润500元;制成酸奶销售,每吨可获取利润1200元;制成奶片销售,每吨可获取利润2000元.该工厂的生产能力是:如制成酸奶每天可加工3吨;制成奶片每天可加工1吨.受人员制约,两种加工方式不可同时进行;受气温制约,这批牛奶必须在4天内全部销售或加工完毕.为此,该工厂设计了两种可行方案:方案一:尽可能多的制成奶片,其余直接销售鲜牛奶;方案二:将一部分制成奶片,其余制成酸奶销售,并恰好4天完成.你认为选择哪种方案获利最多?为什么?答案一、单选题:1-10DDDCD DBCAB 二、填空题:11.112.713.-314.715.1016.320x +()2520x -=117.(1)60(2)8018.319.1720.307或6三、计算题:21.(1)解:去括号,得:445635x x -+=移项,合并同类项,得:1080x =系数化为1,得:8x =(2)解:原方程化为:110512220x x+--=+去分母,得:()1012040105x x+-=+-去括号得:101020505x x +-=-移项,合并同类项,得:1560x =系数化为1,得:4x =四、解答题:22.解:按小李的解法解方程,去分母得:2x -1=x +a -1,整理,解得x =a ,又∵小李解得x =-2,∴a =-2,把a =-2代入原方程,得2x 1x 2133--=-,去分母得:2x-1=x-2-3,整理,解得x =-4,将x=-4代入方程中,左式=右式,即x =-4为原方程正确的解.23.(1)甲(2)②;去分母时7x -这一项没有加括号(3)解:317124x x +--=.317441424x x +-⨯-⨯=⨯()231(7)4x x +--=62+74x x +-=6427x x -=--55x =-1x =-.24.解:设应往甲处调x 名维和部队队员,则往乙处调100-x 名,可列方程:91+x=3[49+(100-x )]-12解得x=86,则100-x=14答:应往甲处调86名维和部队队员,往乙处调14名维和部队队员。
七年级数学(上)《一元一次方程》单元测试卷(时间:120分钟 ) 一、选择题(18分) 1、在方程23=-y x ,021=-+x x ,2121=x ,0322=--x x 中一元一次方程的个数为( ) A .1个 B .2个 C .3个 D .4个2、解方程3112-=-x x 时,去分母正确的是( ) A .2233-=-x x B .2263-=-x x C .1263-=-x x D .1233-=-x x 3、方程x x -=-22的解是( )A .1=xB .1-=xC .2=xD .0=x 4、对432=+-x ,下列说法正确的是( )A .不是方程B .是方程,其解为1C .是方程,其解为3D .是方程,其解为1、3 5、方程17.0123.01=--+x x 可变形为( ) A.17102031010=--+x x B.171203110=--+x xC.1071203110=--+x xD.107102031010=--+x x6、x 增加2倍的值比x 扩大5倍少3,列方程得( )A .352+=x xB .352-=x xC .353+=x xD .353-=x x7、A 厂库存钢材为100吨,每月用去15吨;B 厂库存钢材82吨,每月用去9吨.若经过x 个月后,两厂库存钢材相等,则x =( )A .3B .5C .2D .48、某种商品的标价为120元,若以九折降价出售,相对于进货价仍获利20%,该商品的进货价为( ). A .80元 B .85元 C .90元 D .95元9、某原料供应商对购买其原料的顾客实行如下优惠:(1)一次购买金额不超过1万元,不予优惠;(2)一次购买金额超过1万元,但不超过3万元给九折优惠;(3)一次购买超过3万元,其中3万元九折优惠,超过3万元的部分八折优惠.某厂因库容原因,第一次在供应商购买原料付款7800元,第二次购买付款26100元,如果他是一次购买同样数量的原料,可少付金额为( )元. A.1460 B.1540 C.1560 D.2000二、填空题(18分)10、代数式12+a 与a 21+互为相反数,则=a . 11、如果06312=+--a x是一元一次方程,那么=a ,方程的解为=x .12、若4-=x 是方程0862=--x ax 的一个解,则=a .13、如果)12(3125+m b a 与)3(21221+-m b a 是同类项,则=m .14、已知023=+x ,则=-34x .15、一个数x 的51与它的和等于–10的20%,则可列出的方程为 .16、已知梯形的下底为cm 6,高为cm 5,面积为225cm ,则上底的长等于 .17、要锻造直径为16厘米、高为5厘米的圆柱形毛坯,设需截取边长为6厘米的的方钢x 厘米,可得方程为 .18、国家规定个人发表文章、出版图书获得稿费的纳税计算办法是:⑴稿费不高于800元的不纳税;⑵稿费高于800元,又不高于4000元,应缴纳超过800元的那一部分稿费14%的税;⑶稿费高于4000元,应缴纳全部稿费的11%的税.某老师获得了2000元稿费,他应纳税 元. 三、解答题(共55分) 19、解下列方程(10分) (1)22)141(34=---a a (2)151423=+--x x (3)25.032.04=--+x x20、(8分)在公式h b a S )(21+=中,已知8,18,120===h b S ,求a 的值21、(8分)不论x 取何值,等式34=--x b ax 永远成立,求ab 21的值.22、(8分)当m 为何值时,关于x 的方程x x m +=+21125的解比关于x 的方程)1()1(x m m x +=+的解大2.23、(8分)设1511+=x y ,4122+=x y ,当x 为何值时,1y 、2y 互为相反数?24、(8分)已知3=x 是方程()241133=⎥⎦⎤⎢⎣⎡-+⎪⎭⎫ ⎝⎛+x m x 的解,n 满足关系式12=+m n ,求n m +的值.四.列方程解应用题(共41分)25、(10分)在甲处劳动的有27人,在乙处劳动的有19人,现在另调20人去支援,使在甲处人数为在乙处的人数的2倍,应调往甲、乙两处各多少人?26、(10分)一项工作,甲单独做需15天完成,乙单独做需12天完成,这项工作由甲、乙两人合做,并且施工期间乙休息7天,问几天完成?27、(10分)张老师带领该校七年级“三好学生”去开展夏令营活动,甲旅行社说:“如果老师买全票一张,则学生可享受半价优惠.”乙旅行社说:“包括老师在内按全票价的6折优惠.”若全票价为240元,当学生人数为多少人时,两家旅行社的收费一样多?28. (11分)小明中考时的准考证号码是由四个数字组成的,这四个数字组成的四位数有如下特征:(1)它的千位数字为1;(2)把千位上的数字1向右移动,使其成为个位数字,那么所得的新数比原数的5倍少49.请你根据以上特征推出小明的准考证号码.一、选择题1.下列各种变形中,不正确的是( )A .从3+2x =2可得到2x =-3B .从6x =2x -1可得到6x -2x =-1C .从21%+50%(60-x )=60×42%可得到21+50(60-x )=62×42D .从3212-=-x x 可得到3x -1=2(x -2)2.方程673422--=--x x 去分母是( ) A .12-2(2x -4)=-(x -7) B .12-2(2x -4)=-x -7 C .12-2(2x -7)=-(x -7) D .12-4x -4=-x +73.已知x =1是方程21233-=-x k x 的解,则32+k 的值是( )A .-2B .2C .0D .-14.如果3个连续的奇数的和为15,那么它们的积是( ) A .15 B .21 C .105 D .2155.1元和5角的硬币共100枚,值68元,则1元和5角的硬币个数分别为( ) A .36个,64个 B .64个,36个 C .28个,72个 D .50个,50个 6.某项工程由甲队单独做需18天完成,由乙队做只需甲队的一半时间完成,设两队合作需x 天完成,则可得方程( )A .x =+91181 B .1)91181(=+x C .x =+361181 D .1)361181(=+x 7.一个长方形的周长是16cm ,长与宽的差是2 cm ,那么这个长方形的长与宽分别是( )A .9cm ,7cmB .5cm ,3cmC .7cm ,5cmD .10cm ,6cm8.若关于x 的方程x +2=ax 的解是-1,则a 的值是( ) A .1=a B .1-=a C .0=a D .3=a9.采石场工人爆破时,为了确保安全,点燃炸药导火线后要在爆破前转移到400米以外的安全区域,燃烧速度是1厘米/秒,人离开的速度是5米/秒,至少需要导火线的长度是( ) A .70厘米 B .75厘米 C .79厘米 D .80厘米10.一家三口(父亲、母亲、儿子)准备利用寒假外出旅游,甲旅行社告知:父母买全票,儿子可按半价优惠;乙旅行社告知:每人均按定价的8折优惠,若这两家旅行社每人的原票价相同,那么优惠条件是( )A .甲比乙优惠B .乙比甲优惠C .甲与乙相同D .与原票价有关二、填空题11.1、x 52比41大17,则x =_________。
一元一次方程单元测试题一、选择题(40分)1.在方程4x-y=0, x+1x-2=0,-2x=1,x2-2x+7=0中一元一次方程的个数为(A)A.1个B.2个C.3个D.4个2.解方程x2 -1=x-13时,去分母正确的是(B)A.3x-3=2x-2B.3x-6=2x-2C.3x-6=2x-1D.3x-3=2x-1 3.方程x-2=2-x的解是(C)A.x=1B.x= - 1C.x=2 D.x=04.如果等式ax=bc成立,则下列等式成立的是(D)A.abx=abc ;B.x= bca; C.b-ax=a-bc D.b+ax=b+bc5.增加2倍的值比扩大5倍少3,列方程得(D)A.2x=5x+3B.2x=5x-3C.3x=5x+3D.3x=5x-36.方程3a10+2x+42=4(x-1)的解为x=3,则a的值为(C)A.2;B.22;C.10;D.-27.已知a≠1,则关于x的方程(a-1)x=1-a的解是(C)A.x=0B.x=1C.x=- 1D.无解8.对∣x-2∣+3=4,下列说法正确的是(D)A.不是方程;B.是方程,其解为1;C.是方程,其解为3;D.是方程,其解为1、3。
9.A厂库存钢材为100吨,每月用去15吨;B厂库存钢材82吨,每月用去9吨。
若经过x 个月后,两厂库存钢材相等,则x =(A)A.3;B.5;C.2;D.410.某种商品的标价为120元,若以九折降价出售,相对于进货价仍获利20%,该商品的进货价为( C)。
A.80元;B.85元;C.90元;D.95元二、填空题(48分)11.代数式-2a+1与1+4a 互为相反数,则a= -112.如果 - 3x 2a+1+6=0是一元一次方程,那么a= 0 ,方程的解为x= 2 。
13.若x= -4是方程ax 2-6x-8=0的一个解,则a= -1 。
14.如果5a 2b -3(2m+1)与-3a 2b 2(m+3)是同类项,则m= - 98。
3章 《一元一次方程》单元测试(时间120分钟 总分150分)姓名;__________________ 班级:_________________一、选择题(共12个小题,每小题4分,共48分,在给出的4个选项中只有一个选项符合题意) 1、下列方程是一元一次方程的是( )A.x -2=3B.1+5=6C.x 2+x =1 D.x -3y =0 2、下列通过移项变形,错误的是( )A.由x+2=2x-7,得x-2x=-7-2B.由x+3=2-4x ,得x+4x=2-3C.由2x-3+x=2x-4,得2x-x-2x=-4+3D.由1-2x=3,得2x=1-3 3、若(m ﹣2)x |m|﹣1=5是一元一次方程,则m 的值为( )A.±2B.﹣2C.2D.44、下列结论错误的是( )A 、若a=b ,则a ﹣c=b ﹣cB 、若a=b ,则ax=bxC 、若x=2,则x 2=2x D 、若ax=bx ,则a=b5、小华在做解方程作业时,不小心将方程中的一个常数弄脏了而看不清楚,被弄脏的方程是11()1325x x x ---+=-▲, 这该怎么办呢?他想了一想,然后看了一下书后面的答案,知道此方程的解是x=5,于是,他很快便补好了这个常数,并迅速地做完了作业.同学们,你能补出这个常数吗?它应该是( )A.2B.3C.4D.56、一条公路,甲队单独修需6天,乙队单独修需1 2天,若甲、乙两队同时分别从两端开始修,全部修完需要 ( )A .2天B .3天C .4天D .5天7、某种商品每件的标价是330元,按标价的八折销售时,仍可获利10%,则这种商品每件的进价为( )A .240元B .250元C .280元D .300元8、一个长方形的周长是40 cm ,若将长减少8 cm ,宽增加2 cm ,长方形就变成了正方形,则正方形的边长为 ( )A .6 cmB .7 cmC .8 cmD .9 cm9、某校九年级学生毕业时,每个同学都将自己的相片向全班其他同学各送一张留作纪念,全班共送了2070张相片,如果全班有x 名学生,根据题意,列出方程为( ) A .(1)2070x x -= B .(1)2070x x += C .2(1)2070x x += D .(1)2070x x -= 10、1.汽车上坡时每小时走28千米,下坡时每小时走35千米,已知下坡路程比上坡路程的2倍少14千米.设上坡路程为x 千米,则汽车下坡共用了( )小时. A.3514-228x xB.2814-2xC.28xD. 3514-2x 11、小明所在城市的“阶梯水价”收费办法是:每户用水不超过5吨,每吨水费x 元;超过5吨,超过部分每吨加收2元,小明家今年5月份用水9吨,共交水费为44元,根据题意列出关于x 的方程正确的是( )A .5x +4(x +2)=44B .5x +4(x -2)=44C .9(x +2)=44D .9(x +2)-4×2=4412、图①为一正面白色、反面灰色的长方形纸片.今沿虚线剪下分成甲、乙两长方形纸片,并将甲纸片反面朝上粘贴于乙纸片上,形成一张白、灰相间的长方形纸片,如图②所示.若图②中白色与灰色区域的面积比为8∶3,图②纸片的面积为33,则图①纸片的面积为( ) A.2314 B.3638C.42D.44二、填空题(共6小题,每小题4分,共24分)13、“x 的2倍与3的差等于零”用方程表示为________.14、由等式(a ﹣2)x=a ﹣2能得到x ﹣1=0,则a 必须满足的条件是________.15、若-x n +1与2x 2n -1是同类项,则n = .16、图①是边长为30cm 的正方形纸板,裁掉阴影部分后将其折叠成如图②所示的长方体盒子,已知该长方体的宽是高的2倍,则它的体积是 cm 3.17、2x+1=5的解也是关于x 的方程3x ﹣a=4的解,则a=________. 18、现规定一种新的运算=ad ﹣bc ,那么=9时,x=________.三、解答题(共8小题,共78分)19、解下列方程(共8分,每小题4分)(1)4x -3(12-x )=6x -2(8-x ) (2)2x -13-2x -34=120、(8分)某地区发生强烈地震,维和部队在两个地方进行救援工作,甲处有91名维和部队队员,乙处有49名维和部队队员,现又调来100名维和部队队员支援,要使甲处的人数比乙处人数的3倍少12人,应往甲、乙两处各调来多少名维和部队队员?21、(8分)若已知M=x 2+3x-5,N=3x 2+5,并且6M=2N-4,求x.22、(8分)小聪做作业时解方程x +12-2-3x3=1的步骤如下:解:①去分母,得3(x +1)-2(2-3x )=1; ②去括号,得3x +3-4-6x =1; ③移项,得3x -6x =1-3+4; ④合并同类项,得-3x =2; ⑤系数化为1,得x =-23.(1)聪明的你知道小聪的解答过程正确吗?答:________.若不正确,请指出他解答过程中的错误________.(填序号)(2)请写出正确的解答过程.23、(10分)已知方程2x -35=23x -3与方程3n -14=3(x +n)-2n 的解相同,求(2n -27)2的值.24、(10分)把正整数1,2,3,4,…,2017排列成如图所示的一个数表.(1)用一正方形在表中随意框住4个数,把其中最小的数记为x ,另三个数用含x 的式子表示出来,从大到小依次是 , , ;(2)当被框住的4个数之和等于416时,x 的值是多少?(3)被框住的4个数之和能否等于622?如果能,请求出此时x 的值;如果不能,请说明理由.25、(12分).在某市第四次党代会上,提出了“建设美丽城市决胜全面小康”的奋斗目标,为响应市委号召,学校决定改造校园内的一小广场.如图是该广场的平面示意图,它是由6个正方形拼成的长方形,已知中间最小的正方形A的边长是1米.(1)若设图中最大正方形B的边长是x米,请用含x的代数式分别表示出正方形F、E和C的边长;(2)观察图形的特点可知,长方形相对的两边是相等的(如图中的MQ和PN).请根据这个等量关系,求出x的值;(3)现沿着长方形广场的四条边铺设下水管道,由甲、乙2个工程队单独铺设分别需要10天、15天完成.两队合作施工2天后,因甲队另有任务,余下的工程由乙队单独施工,试问还要多少天完成?26、(14分)为发展校园足球运动,某县城区四校决定联合购买一批足球运动装备,市场调查发现:甲、乙两商场以同样的价格出售同种品牌的足球队服和足球,已知每套队服比每个足球多50元,两套队服与三个足球的费用相等,经洽谈,甲商场优惠方案是:每购买十套队服,送一个足球;乙商场优惠方案是:若购买队服超过80套,则购买足球打八折.(1)求每套队服和每个足球的价格是多少?(2)若城区四校联合购买100套队服和a个足球,请用含a的式子分别表示出到甲商场和乙商场购买装备所花的费用;(3)假如你是本次购买任务的负责人,你认为到哪家商场购买比较合算?【参考答案】1.C2.C3.B4.D5.D6.B7.A8.B9.A 10.D 11.A 12.C13. 2x ﹣3=0 14. a ≠2 15. 2 16. 1000 17. 0或1 18. 219.(1)x =-20. (2)x =72.20.应往甲处调86名维和部队队员,往乙处调14名维和部队队员 21.因为6M=2N-4,所以6(x2+3x-5)=2(3x2+5)-4. 解得x=2. 22.解:(1)不正确 ①②(2)去分母,得3(x +1)-2(2-3x )=6, 去括号,得3x +3-4+6x =6, 移项,得3x +6x =6-3+4,合并同类项,得9x =7,解得x =79.25.解:(1)∵最小的正方形A 的边长是1米,最大的正方形B 的边长是x 米,∴正方形F 的边长为(x -1)米,正方形E 的边长为(x -2)米,正方形C 的边长为(x -3)米或x +12米.(2)∵MQ =PN ,∴x -1+x -2=x +x +12,解得x =7.(3)设余下的工程由乙队单独施工,还要y 天完成. 根据题意得)151101(×2+115y =1,解得y =10.答:余下的工程由乙队单独施工,还要10天完成.26.解:(1)设每个足球的定价是x 元,则每套队服是(x+50)元,根据题意得 2(x+50)=3x , 解得x=100, x+50=150.答:每套队服150元,每个足球100元;(2)到甲商场购买所花的费用为:150×100+100(a ﹣10100)=100a+14000(元), 到乙商场购买所花的费用为:150×100+0.8×100•a=80a+15000(元); (3)当在两家商场购买一样合算时,100a+14000=80a+15000, 解得a=50.所以购买的足球数等于50个时,则在两家商场购买一样合算; 购买的足球数多于50个时,则到乙商场购买合算;购买的足球数少于50个时,则到甲商场购买合算。
《一元一次方程》单元测试题一、选择题(本大题共10小题,每小题4分,满分40分)1.如果a=b ,则下列式子不成立的是A .a+c=b+cB .a 2=b 2C .ac=bcD .a-c=c-b 2.方程2x -14=1-3-x 8去分母后正确的结果是 A .2(2x-1)=8-(3-x )B .2(2x-1)=1-(3-x )C .2x-1=8-(3-x )D .2x-1=1-(3-x )3.如果x=1是关于x 的方程5x+2m-7=0的解,那么m 的值是A .-1B .1C .6D .-64.一件毛衣先按成本提高50%标价,再以8折出售,获利28元,求这件毛衣的成本是多少元?若设成本是x 元,可列方程为A .0.8x+28=(1+50%)xB .0.8x-28=(1+50%)xC .x+28=0.8×(1+50%)xD .x-28=0.8×(1+50%)x5.设有x 个人共种m 棵树苗,如果每人种8棵,则剩下2棵树苗未种,如果每人种10棵,则缺6棵树苗.根据题意,列方程正确的是A .x 8-2=x 10+6B .x 8+2=x 10-6C .m -28=m+610D .m+28=m -6106.下面是一个被墨水污染过的方程:2x-12=3x+,答案显示此方程的解是x=-1,被墨水遮盖的是一个常数,则这个常数是A .1B .-1C .-12D .127.在有理数范围内定义运算“*”,a*b=2a+b3,则方程(2*3)(4*x)=49的解为A.-3B.55C.-56D.-558.按下面的程序计算:当输入x=100时,输出结果是299;当输入x=50时,输出结果是446;如果输入x的值是正整数,输出结果是257,那么满足条件的x的值最多有A.1个B.2个C.3个D.4个9.若关于x的方程kx-3x=24与2x-13=5的解相同,则k的值为A.8B.6C.2D.010.如图是某月的日历表,在此日历表上用一个正方形圈出9个数(如6,7,8,13,14,15,20,21,22).若圈出的9个数中,最大数与最小数的和为32,则这9个数的和为A.144B.153C.198D.216二、填空题(本大题共4小题,每小题5分,满分20分)11.已知关于x的方程(m+1)x3|m|-2+3=0是一元一次方程,则m的值为1.12.轮船沿江从A港顺流行驶到B港,比从B港返回A港少用3小时,若船速为26千米/时,水速为2千米/时,求A港和B港相距多少千米?设A港和B港相距x千米.根据题意,可列出的方程是x26+2=x26-2-3.13.一个两位数,个位上的数是十位上的数的2倍,如果把十位与个位上的数对调,那么所得的两位数比原两位数大36,则原来的两位数是48.14.一列方程如下排列:x +x -1=1的解是x=2;x +x -2=1的解是x=3;x +x -3=1的解是x=4;…根据观察得到的规律,解是x=7的方程是 x 14+x -62=1 .三、解答题(本大题共6小题,满分60分)15.(10分)解下列一元一次方程:(1)9y-2(-y+4)=3;解:y=1.(2)x+45-1=x -22+x. 解:x=813.16.(8分)已知关于x 的方程5m+3x=1+x 的解比关于x 的方程x (m+1)=m (1+x )的解大2,求m 的值.解:解5m+3x=1+x ,得x=1-5m 2, 解x (m+1)=m (1+x ),得x=m ,由题意得1-5m 2=m+2,解得m=-37.17.(8分)有八个球编号是①至⑧,其中有六个球一样重,另外两个球都轻1克,为了找出这两个轻球,用天平称了三次,结果如下:第一次①+②比③+④重,第二次⑤+⑥比⑦+⑧轻,第三次①+③+⑤和②+④+⑧一样重.那么,两个轻球的编号是多少?解:因为①+②比③+④重,所以③与④中至少有一个轻球.因为⑤+⑥比⑦+⑧轻,所以⑤与⑥中至少有一个轻球.因为①+③+⑤和②+④+⑧一样重,所以两个轻球的编号是④⑤.18.(10分)在校运动会中,志愿者们手上、脖子上的丝巾非常美丽.车间70名工人承接了制作丝巾的任务,已知每人每天平均生产手上的丝巾1800条或者脖子上的丝巾1200条,一条脖子上的丝巾要配两条手上的丝巾.为了使每天生产的丝巾刚好配套,应分配多少名工人生产脖子上的丝巾,多少名工人生产手上的丝巾?解:设应分配x名工人生产脖子上的丝巾,则(70-x)名工人生产手上的丝巾.根据题意,得1800(70-x)=2×1200x,解得x=30,70-x=70-30=40.答:应分配30名工人生产脖子上的丝巾,40名工人生产手上的丝巾.19.(12分)某市足球协会组织开展了一次足球热身赛,其计分规则及奖励方案如下表:当比赛进行到每队各比赛12场时,A队(11名队员)共积20分,并且没有负一场.(1)试判断A队胜、平各几场?(2)若每赛一场每名队员均得出场费500元,那么A队的某一名队员所得奖金与出场费的和是多少?解:(1)设A队胜了x场,则平了(12-x)场,所以3x+(12-x)=20,解得x=4,12-x=8.答:A队胜了4场,平了8场.(2)因为每场比赛出场费500元,12场比赛出场费共6000元,赢了4场,奖金为1500×4=6000(元),平了8场,奖金为700×8=5600(元),所以奖金加出场费一共17600元.20.(12分)已知二项式-m 3n 2-2中,含字母的项的系数为a ,多项式的次数为b ,常数项为c.且a ,b ,c 分别是点A ,B ,C 在数轴上对应的数.(1)求a ,b ,c 的值,并在数轴上标出A ,B ,C.(2)若甲、乙、丙三个动点分别从A ,B ,C 三点同时出发沿数轴负方向运动,它们的速度分别是12,2,14(单位长度/秒),当乙追上丙时,乙与甲相距多远? (3)在数轴上是否存在一点P ,使P 到A ,B ,C 的距离之和等于10?若存在,请直接指出点P 对应的数;若不存在,请说明理由.解:(1)a=-1,b=5,c=-2.点A ,B ,C 如图所示.(2)设t 秒后乙追上丙,由题意得(2-14)t=7,解得t=4,此时乙与甲相距(4×12+6)-2×4=0, 所以当乙追上丙时,乙与甲也相遇,甲、乙之间距离为0.(3)设点P 对应的数为m , ①当点P 在点C 左边时,由题意得(5-m )+(-1-m )+(-2-m )=10,解得m=-83;②当点P 在A ,C 之间时,PA+PB+PC<10,不存在;③当点P 在A ,B 之间时,(5-m )+(m+1)+(m+2)=10,解得m=2;④当点P 在点B 右侧时,(m-5)+(m+1)+(m+2)=10,解得m=4(不合题意,舍去).综上,当点P 对应的数是-83或2时,PA+PB+PC=10.。
第3章一元一次方程单元测试卷一、选择题(共8小题)1.下列方程中是一元一次方程的是()A.x+3=0B.x2﹣3x=2C.x+2y=7D.x﹣22.下列一元一次方程中,解为x=3的是()A.x+3=0B.5x+7=7﹣2x C.2x﹣4=4x﹣2D.3x﹣2=4+x 3.若方程2x+1=﹣1的解是关于x的方程1﹣2(x﹣a)=2的解,则a的值为()A.﹣1B.1C.﹣D.﹣4.下列变形一定正确的是()A.若x=y,则x﹣6=y+6B.若x=y,则3x﹣2=3y﹣2C.若2x=2y+1,则x=y+1D.若x2=y2,则x=y5.关于x的一元一次方程3x a﹣2+b=5的解为x=1,则a+b的值为()A.4B.5C.6D.86.解一元一次方程(x﹣1)=2﹣x时,去分母正确的是()A.2(x﹣1)=2﹣5x B.2(x﹣1)=20﹣5xC.5(x﹣1)=2﹣2x D.5(x﹣1)=20﹣2x7.制作一张桌子要用一个桌面和4条桌腿,1m3木材可制作20个桌面,或者制作400条桌腿,现有12m3木材,要使生产出来的桌面和桌腿恰好都配成方桌,应安排()m3木材用来生产桌面.A.2B.6C.8D.108.某理财产品的年收益率为5.21%,若张老师购买x万元该种理财产品,定期2年,则2年后连同本金共有10万元,则根据题意列方程正确的是()A.(1+5.21)x=10B.(1+5.21)2x=10C.(1+5.21%)x=10D.(1+5.21%)2x=10二、填空题(共8小题)9.请写出一个解为4的一个一元一次方程.10.若3x2m﹣1+6=0是关于x的一元一次方程,则m的值为.11.若式子3x+4与2﹣5x的值相等,则x的值为.12.小张有三种邮票共18枚,它们的数量之比为1:2:3,则最多的一种邮票有枚.13.甲、乙两人准备整理一批新到的实验器材.若甲单独整理需要40分钟完工,若乙单独整理需要20分钟完工.若甲先整理了10分钟,然后,甲、乙合作整理x分钟后完成此项工作.请列出方程:.14.一个两位数的十位数字与个位数字的和是9.如果把这个两位数加上63,那么恰好成为原两位数的个位数字与十位数字对调后组成的两位数,则原两位数是.15.无限循环小数如何化成分数呢?设x=0.333…①,则10x=3.333…②,则②﹣①,得9x=3,即x=,所以0.=0.33,根据上述提供的方法:把0.化成分数为.16.阅读理解:a,b,c,d是有理数,我们把符号称为2×2阶行列式,并且规定:=ad﹣bc,则满足等式=1的x的值是.三.解答题(共7小题,满分52分)17.(6分)解方程:(1)7x=12(x﹣5)(2)﹣=1.18.(6分)下面是马小虎同学做的一道题:解方程:解:①去分母,得4(2x﹣1)=12﹣3(x+2)②去括号,得8x﹣4=12﹣3x+6③移项,得8x+3x=12+6+4④合并同类项,得11x=22⑤系数化为1,得x=﹣2(1)上面的解题过程中最早出现错误的步骤(填序号)是.(2)请认真正确解方程:.19.(6分)列式计算.(1)一个数的25%是750的,这个数是多少?(2)甲、乙两数的和是35,其中甲数是乙数的,乙数是多少?20.(7分)根据线段图列出算式并计算(1)(2)21.(8分)某商场从厂家购进了A、B两种品牌足球共100个,已知购买A品牌足球比购买B品牌足球少花2800元,其中A品牌足球每个进价是50元,B品牌足球每个进价是80元.(1)求购进A、B两种品牌足球各多少个?(2)在销售过程中,A品牌足球每个售价是80元,很快全部售出;B品牌足球每个按进价加价25%销售,售出一部分后,出现滞销,商场决定打九折出售剩余的B品牌足球,两种品牌足球全部售出后共获利2200元,有多少个B品牌足球打九折出售?22.(9分)在“清洁乡村”活动中,某村长提出了两种购买垃圾桶方案.方案一:买分类垃圾桶,需要费用3000元,以后每月的垃圾处理费用250元;方案二:买不分类垃圾桶,需要费用1000元,以后每月的垃圾处理费用500元.设交费时间为x个月,方案一的购买费和垃圾处理费共为M元,方案二的购买费和垃圾处理费共为N元.(1)分别用x表示M,N;(2)若交费时间为12个月,哪种方案更合适,并说明理由.(3)交费时间为多少个月时,两种方案费用相同?23.(10分)如图,数轴上原点为O,A,B是数轴上的两点,点A对应的数是2,点B对应的数是﹣4,动点M,N同时从A、B出发,分别以1个单位/秒和3个单位/秒的速度沿着数轴正方向运动,设运动时间为t(t>0).(1)AB两点间的距离是,动点M对应的数是,(用含t的代数式表示),动点N对应的数是.(用含t的代数式表示)(2)经过几秒钟,点M与点N到原点O的距离相等.(3)经过几秒钟,点M到原点O的距离OM与点N到原点O的距离ON恰好有OM:ON=2:3?参考答案一.选择题(共8小题)1.解:一元一次方程指只含有一个未知数、未知数的最高次数为1且两边都为整式的等式.故选:A.2.解:A.∵把x=3代入x+3=0得:左边=6,右边=0,左边≠右边,∴x=3不是方程x+3=0的解,故本选项不符合题意;B.∵把x=3代入5x+7=7﹣2x得:左边=22,右边=1,左边≠右边,∴x=3不是方程5x+7=7﹣2x的解,故本选项不符合题意;C.∵把x=3代入2x﹣4=4x﹣2得:左边=2,右边=10,左边≠右边,∴x=3不是方程2x﹣4=4x﹣2的解,故本选项不符合题意;D.∵把x=3代入3x﹣2=4+x得:左边=7,右边=7,左边=右边,∴x=3是方程3x﹣2=4+x的解,故本选项符合题意;故选:D.3.解:解方程2x+1=﹣1,得x=﹣1.把x=﹣1代入1﹣2(x﹣a)=2,得1﹣2(﹣1﹣a)=2.解得a=﹣,故选:D.4.解:A、若x=y,则x+6=y+6,原变形错误,故本选项不符合题意;B、若x=y,则3x﹣2=3y﹣2,原变形正确,故本选项符合题意;C、若2x=2y+1,则x=y+,原变形错误,故本选项不符合题意;D、若x2=y2,则x=y或x=﹣y,原变形错误,故本选项不符合题意;故选:B.5.解:∵方程3x a﹣2+b=5是关于x的一元一次方程,∴a﹣2=1,解得:a=3,即方程为3x+b=5,把x=1代入方程一元一次方程3x+b=5得:3+b=5,解得:b=2,∴a+b=3+2=5,故选:B.6.解:解一元一次方程(x﹣1)=2﹣x时,去分母正确的是5(x﹣1)=20﹣2x.故选:D.7.解:设用x m3木材制作桌面,则用(12﹣x)m3木材制作桌腿,根据题意得4×20x=400(12﹣x),解得x=10.答:应安排10m3木材用来生产桌面.故选:D.8.解:设张老师购买x万元该种理财产品,可得:(1+5.21%)2x=10,故选:D.二.填空题(共8小题)9.解:由题意可知:x﹣4=0,故答案为:x﹣4=0(答案不唯一)10.解:根据题意可知:2m﹣1=1解得m=1故答案为1.11.解:根据题意得:3x+4+2﹣5x=0,移项得:3x﹣5x=﹣4﹣2,合并得:﹣2x=﹣6,解得:x=3.故答案为:3.12.解:设数量最少的邮票有x枚,则另两种分别有2x枚和3x枚,依题意,得:x+2x+3x=18,解得:x=3,∴3x=9.故答案为:9.13.解:设甲、乙合作整理x分钟后完成此项工作.则.故答案是:.14.解:设这个两位数的十位数字为x,则个位数字为9﹣x,由题意列方程得,10x+9﹣x+63=10(9﹣x)+x,解得x=1,∴9﹣x=9﹣1=8,∴这个两位数为18.故答案为:18.15.解:设x=0.=0.777…①,则10x=7.777…②,则由①﹣②得,﹣9x=﹣7,即x=,0.=0.777…=,故答案为:.16.解:由题意可得:﹣=1,去分母得:3x﹣4(x+1)=6,去括号得:3x﹣4x﹣4=6,则﹣x=10,解得:x=﹣10.故答案为:﹣10.三.解答题(共7小题,满分52分)17.解:(1)去括号得:7x=12x﹣60,移项合并得:﹣5x=﹣60,解得:x=12;(2)去分母得:2(2x+1)﹣(10x+7)=6,去括号得:4x+2﹣10x﹣7=6,移项合并得:﹣6x=11,解得:x=﹣.18.解:(1)上面的解题过程中最早出现错误的步骤(填序号)是②;故答案为:②;(2)去分母,得4x﹣2(x﹣1)=8﹣(x+3),去括号,得4x﹣2x+2=8﹣x﹣3,移项,得4x﹣2x+x=8﹣2﹣3,合并同类项,得3x=3,系数化为1,得x=1.19.解:(1)首先假设这个数为x,根据题意,得25%x=750×.解得x=600答:这个是数是600;(2)设乙数是y.则甲数是(35﹣y),根据题意,得35﹣y=y解得y=.答:乙数是.20.解:(1)40×=25(千克).答:吃了25千克;(2)设计划产量x吨,依题意有(1+)x=2700,解得x=2400.答:计划产量2400吨.21.解:(1)设购进A品牌足球x个,则购进B品牌足球(100﹣x)个,根据题意,得80(100﹣x)﹣50x=2800,解得x=40.100﹣x=60.答:购进A品牌足球40个,则购进B品牌足球60个;(2)设有y个B品牌足球打九折出售,根据题意,得(80﹣50)×40+80×25%(60﹣y)+[80(1+25%)×90%﹣80]y=2200.解得y=20.答:有20个B品牌足球打九折出售.22.解:(1)依题意,得M=250x+3000;N=500x+1000.(2)当x=12时,M=250×12+3000=6000;当x=12时,N=500×12+1000=7000.∵6000<7000,∴若交费时间为12个月,选择方案一更合适.(3)依题意,得M=N,即250x+3000=500x+1000,解得x=8.答:交费时间为8个月时,两种方案费用相同.23.解:(1)AB两点间的距离是2﹣(﹣4)=6;动点M对应的数是2+t;(用含t的代数式表示)动点Q对应的数是﹣4+3t;(用含t的代数式表示)故答案为:6,2+t,﹣4+3t;(2)设经过t秒钟,点M与点N到原点O的距离相等,①点O恰好为线段MN中点,依题意有2+t+(﹣4+3t)=0,解得t=0.5;②M、N交于一点,依题意有2+t=﹣4+3t,解得t=3.故经过0.5或3秒钟,点M与点N到原点O的距离相等;(3)①M,N在原点的两边,(2+t):[﹣(﹣4+3t)]=2:3,解得t=;②M,N在原点的一边,(2+t):(﹣4+3t﹣4)=2:3,解得t=.故经过或秒钟,点M到原点O的距离OM与点N到原点O的距离ON恰好有OM:ON=2:3.。
一元一次方程单元测试题及答案一、选择题1. 解一元一次方程 \( ax + b = 0 \)(\( a \neq 0 \))时,应将\( x \) 的系数化为1,即解得 \( x = \) 。
A. \( -\frac{b}{a} \)B. \( \frac{b}{a} \)C. \( \frac{a}{b} \)D. \( -\frac{a}{b} \)2. 方程 \( 3x - 5 = 14 \) 的解是:A. \( x = 3 \)B. \( x = 4 \)C. \( x = 5 \)D. \( x = 6 \)3. 如果 \( x \) 满足方程 \( 2x + 4 = 10 \),那么 \( x \) 的值是:A. \( 1 \)B. \( 2 \)C. \( 3 \)D. \( 4 \)二、填空题4. 解方程 \( 5x - 7 = 18 \) 时,首先需要将方程两边同时加上______,然后将两边同时除以______。
5. 方程 \( 3x + 2 = 7x - 1 \) 移项后,合并同类项得到 \( 4x = ______ \)。
三、解答题6. 解方程 \( \frac{2}{3}x - 1 = \frac{1}{2}x + 2 \)。
7. 解方程 \( 2(x - 3) = 3(4x + 1) - 5x \)。
四、应用题8. 某工厂生产一批零件,如果每天生产50个,需要20天完成。
如果每天生产60个,需要多少天完成?答案:1. A2. C3. B4. 7, 55. 36. 解:\( \frac{2}{3}x - \frac{1}{2}x = 2 + 1 \),得\( \frac{1}{6}x = 3 \),\( x = 18 \)。
7. 解:\( 2x - 6 = 12x + 3 - 5x \),得 \( -8x = 9 \),\( x =-\frac{9}{8} \)。
8. 解:设需要 \( x \) 天完成。
七年级数学一元一次方程单元测试卷班级姓名一、选择题1.把方程变形为x=2,其依据是()A.等式的性质1 B.等式的性质2C.分式的基本性质D.不等式的性质12.若代数式4x﹣5与的值相等,则x的值是()A.1 B.C.D.23.方程2x﹣1=3x+2的解为()A.x=1 B.x=﹣1 C.x=3 D.x=﹣34.关于x的方程3x+5=0与3x+3k=1的解相同,则k=()A.﹣2 B.C.2 D.﹣5.家电下乡是我国应对当前国际金融危机,惠农强农,带动工业生产,促进消费,拉动内需的一项重要举措.国家规定,农民购买家电下乡产品将得到销售价格13%的补贴资金.今年5月1日,甲商场向农民销售某种家电下乡手机20部.已知从甲商场售出的这20部手机国家共发放了2340元的补贴,若设该手机的销售价格为x元,以下方程正确的是()A.20x•13%=2340 B.20x=2340×13%C.20x(1﹣13%)=2340 D.13%•x=23406.x是一个两位数,y是一个三位数,把x放在y的左边构成一个五位数,则这个五位数的表达式是()A.xy B.10x+y C.1000x+y D.100x+1000y7.某试卷由26道题组成,答对一题得8分,答错一题倒扣5分.今有一考生虽然做了全部的26道题,但所得总分为零,他做对的题有()A.10道B.15道C.20道D.8道8.某个体商贩在一次买卖中,同时卖出两件上衣,售价都是135元,若按成本计,其中一件盈利25%,另一件亏本25%,在这次买卖中他()A.不赚不赔 B.赚9元C.赔18元D.赚18元9.某村原有林地108公顷,旱地54公顷,为保护环境,需把一部分旱地改造为林地,使旱地面积占林地面积的20%.设把x公顷旱地改为林地,则可列方程()A.54﹣x=20%×108 B.54﹣x=20%(108+x)C.54+x=20%×162 D.108﹣x=20%(54+x)10.某工厂加强节能措施,去年下半年与上半年相比,月平均用电量减少2000度,全年用电量15万度.如果设上半年每月平均用电x度,则所列方程正确的是()A.6x+6(x﹣2000)=150000 B.6x+6(x+2000)=150000C.6x+6(x﹣2000)=15 D.6x+6(x+2000)=15二、填空题11.方程x+2=7的解为.12.已知关于x的方程2x+a﹣5=0的解是x=2,则a的值为.13.请你写出一个解为﹣2的一元一次方程.14.(4分)已知|x﹣y|=y﹣x,|x|=3,|y|=4,则(x+y)3=.15.已知关于x的方程3a﹣x=+3的解是4,则﹣a2﹣2a=.16.甲仓库的货物是乙仓库货物的2倍,从甲仓库调5吨到乙仓库,这时甲仓库剩余的货物恰好比乙仓库的一半多1吨,设乙仓库原有x吨,则可列方程为.17.(4分)减去2﹣x等于3x2﹣x+6的整式是.18.七、八年级学生分别到雷锋、毛泽东纪念馆参观,共589人,到毛泽东纪念馆的人数是到雷锋纪念馆人数的2倍多56人.设到雷锋纪念馆的人数为x人,可列方程为.三、解方程19.解下列方程(1)x﹣4=2﹣5x (2)(3)解方程:.(4)y﹣=2﹣.(5).四、解答题20.如果方程的解与方程4x﹣(3a+1)=6x+2a﹣1的解相同,求式子的值.21.展开你想象的翅膀,尽可能多地从方程中猜想出它可能会是哪种类型的实际问题,将其编写出来,并解答之.22.某校七(1)班马虎同学在做作业时,不慎将墨水瓶打翻,使一道作业只看到:“甲、乙两地相距160千米,摩托车的速度为45千米/时,运货汽车的速度为35千米/时,?请将这道作业题补充完整.23.某地区居民生活用电基本价格为每千瓦时元,若每月用电量超过a千瓦时,则超过部分按基本电价的70%收费.(1)某户八月份用电84千瓦时,共交电费元,求a=.(2)若该用户九月份的平均电费为元,则九月份共用电千瓦时,应交电费是元.24.国家规定个人发表文章、出版图书所得稿费的纳税计算方法是:①稿费不高于800元的不纳税;②稿费高于800元,而低于4000元的应缴纳超过800元的那部分稿费的14%的税;③稿费为4000元或高于4000元的应缴纳全部稿费的11%的税.试根据上述纳税的计算方法作答:(1)若王老师获得的稿费为2400元,则应纳税元,若王老师获得的稿费为4000元,则应纳税元;(2)若王老师获稿费后纳税420元,求这笔稿费是多少元?25.某商场计划拨款9万元从厂家购进50台电视机,已知该厂家生产三种不同型号的电视机,出厂价分别为:甲种每台1500元,乙种每台2100元,丙种每台2500元.(1)若商场同时购进其中两种不同型号电视机共50台,用去9万元,请你研究一下商场的进货方案;(2)若商场销售一台甲种电视机可获利150元,销售一台乙种电视机可获利200元,销售一台丙种电视机可获利250元.在同时购进两种不同型号电视机的方案中,为使销售利润最多,你选择哪一种进货方案?26.有一火车要以每分钟600米的速度过完第一、第二两座铁桥,过第二座铁桥比过第一座铁桥多5秒时间,又知第二座铁桥的长度比第一座铁桥长度的2倍短50米,试求两座铁桥的长分别为多少.27.某车间有16名工人,每人每天可加工甲种零件5个或乙种零件4个.在这16名工人中,一部分人加工甲种零件,其余的加工乙种零件.已知每加工一个甲种零件可获利16元,每加工一个乙种零件可获利24元.若此车间一共获利1 440元,求这一天有几名工人加工甲种零件.28. 某地区居民生活用电基本价格为每千瓦时元,若每月用电量超过千瓦时,则超过部分按基本电价的收费.(1)某户八月份用电84千瓦时,共交电费元,求.(2)若该用户九月份的平均电费为元,则九月份共用电多少千瓦时?应交电费多少元?一、选择题1.B 3. D 6. C 7. A .8. C 9. B 9. B二、填空题11.x=5.12.1.13. x+2=014.343或1.15.﹣15.16.2x﹣5=(x+5)+1.17.3x2﹣2x+8.18.2x+56=589﹣x.三、解方程(1)移项合并得:6x=6,解得:x=1;(2)去分母得:12﹣2(2x﹣5)=3(3﹣x),去括号得:12﹣4x+10=9﹣3x,移项合并得:﹣x=﹣13,解得:x=13;(3)解:整理,得,去分母,得6(4x+9)﹣10(3+2x)=15(x﹣5),去括号,得24x+54﹣30﹣20x=15x﹣75,移项,得24x﹣20x﹣15x=﹣75﹣54+30,合并,得﹣11x=﹣99,系数化为1,得x=9.(4)解:去分母得:10y﹣5(y+1)=20﹣2(y+2),去括号得:10y﹣5y﹣5=20﹣2y﹣4,移项得:10y﹣5y+2y=20﹣4+5,合并同类项得:7y=21,解得:y=3.(5)解:去分母得,4(2t﹣6)﹣3(2t﹣4)=24,去括号得,8t﹣24﹣6t+12=24,移项得,8t﹣6t=24+24﹣12,合并同类项得,2t=36,系数化为1得,t=18.四、解答题20.解:解方程,2(x﹣4)﹣48=﹣3(x+2),2x﹣8﹣48=﹣3x﹣6,5x=50,得:x=10.把x=10代入方程4x﹣(3a+1)=6x+2a﹣1,得:4×10﹣(3a+1)=6×10+2a﹣1,解得:a=﹣4,∴可得:=.21.例如:一项工程,甲独做10小时完成,乙独做15小时完成.现在首先由乙先做2小时,再由甲乙合作,还需几小时就能完成?解:设还需x小时就能完成,则有方程:,解得:x=即5小时12分.22.解:如:两车同时从甲地出发到乙地,摩托车比运货汽车先到几小时?23.解:(1)由题意,得0.4a+(84﹣a)××70%=,解得a=60;(2)设九月份共用电x千瓦时,则×60+(x﹣60)××70%=,解得x=90,所以×90=(元).答:九月份共用电90千瓦时,应交电费元.24.解:(1)若王老师获得的稿费为2400元,则应纳税224元,若王老师获得的稿费为4000元,则应纳税440元;(2)因为王老师纳税420元,所以由(1)可知王老师的这笔稿费高于800元,而低于4000元,设王老师的这笔稿费为x元,根据题意得:14%(x﹣800)=420x=3800元.答:王老师的这笔稿费为3800元.25.解:(1)解分三种情况计算:①设购甲种电视机x台,乙种电视机y台.解得.②设购甲种电视机x台,丙种电视机z台.则,解得:.③设购乙种电视机y台,丙种电视机z台.则解得:(不合题意,舍去);(2)方案一:25×150+25×200=8750.方案二:35×150+15×250=9000元.答:购甲种电视机25台,乙种电视机25台;或购甲种电视机35台,丙种电视机15台.购买甲种电视机35台,丙种电视机15台获利最多.26.解:设第一座铁桥的长为米,那么第二座铁桥的长为米,过完第一座铁桥所需要的时间为分,过完第二座铁桥所需要的时间为分.依题意,可列出方程解方程得所以答:第一座铁桥长100米,第二座铁桥长150米.27.解:设这一天有名工人加工甲种零件,则这一天加工甲种零件个,乙种零件个.根据题意,得,解得答:这一天有6名工人加工甲种零件.28. 解:(1)由题意,得,解得(2)设九月份共用电千瓦时,则解得所以×90=(元).答:九月份共用电90千瓦时,应交电费元.。
第三章【1 】一元一次方程单元测试班别___________姓名____________成绩_______________一. 选择题(第小题3分,共30分)1.(3分)下列各式中,是一元一次方程的是()A.﹣=1B.=3C.x2+1=5D.x﹣52.(3分)已知关于x的方程3﹣(a﹣2x)=x+2的解是x=4,则a的值是()A.4B.5C.3D.23.(3分)方程(a﹣2)x|a|﹣1+3=0是关于x的一元一次方程,则a=()A.2B.﹣2C.±1D.±24.(3分)解方程﹣3x+4=x﹣8,下列移项准确的是()A.﹣3x﹣x=﹣8﹣4B.﹣3x﹣x=﹣8+4C.﹣3x+x=﹣8﹣4D.﹣3x+x=﹣8+45.(3分)方程﹣4x=的解是()A.x=﹣2B.x=﹣C.x=﹣8D.x=26.(3分)下列等式变形中不准确的是()A.若x=y,则x+5=y+5B.若=,则x=yC.若﹣3x=﹣3y,则x=yD.若mx=my,则x=y7.(3分)在解方程﹣=1时,去分母准确的是()A.3(x﹣1)﹣2(2+3x)=1B.3(x﹣1)+2(2x+3)=1C.3(x﹣1)+2(2+3x)=6D.3(x﹣1)﹣2(2x+3)=68.(3分)已知代数式6x﹣12与4+2x的值互为相反数,那么x的值等于()A.﹣2B.﹣1C.1D.29.(3分)一个长方形的周长为30cm,若这个长方形的长削减1cm,宽增长2cm就可成为一个正方形,设长方形的长为xcm,可列方程为()A.x+1=(15﹣x)﹣2B.x+1=(30﹣x)﹣2C.x﹣1=(15﹣x)+2D.x﹣1=(30﹣x)+210.(3分)汽船在静水中速度为每小时20km,水流速度为每小时4km,从甲船埠顺流航行到乙船埠,再返回甲船埠,共用5小时(不计逗留时光),求甲.乙两船埠的距离.设两船埠间的距离为x km,则列出方程准确的是()A.(20+4)x+(20﹣4)x=5B.20x+4x=5C.+D.+二. 填空题(第小题4分,共24分)11.(4分)请写出一个一元一次方程,使得这个方程的解为“x=1”:12.(4分)已知2x﹣6=0,则4x=.13.(4分)若x与9的积等于x与﹣16的和,则x=.14.(4分)界说新运算:对于随意率性有理数a.b都有a⊗b=a(a﹣b)+1,等式右边是平日的加法.减法及乘法运算.比方:2⊗5=2×(2﹣5)+1=2×(-3)+1=-6+1=-5.若4⊗x=13,则x=.15.(4分)当k=时,方程kx+4=3﹣2x无解.16.(4分)一件工作,甲队独做10天可以完成,乙队独做可以15天完成.若两队合作2天,然后由乙队单独完成,还须要若干天可以完成剩下的工作?设乙队还须要x天可以完成剩下的工作,列方程为_______________.三. 解答题(共5小题,共46分)17.(12分)解方程:(1)12x+8=8x﹣4(2)x+3=x﹣2(3)4x﹣10=6(x﹣2)(4)﹣=118.(8分)方程x﹣3=的解与关于x的方程2x﹣m=x﹣2的解互为相反数,求m 的值.19.(8分)先浏览例1,再模仿例1解方程:|3x﹣4|=5.这就是“整体代换”数学思惟办法例1 解方程:|x﹣2|=3解:把x﹣2看作一个整体a,令a=x﹣2,方程可变形为|a|=3,这是“分类评论辩论”数学思惟办法∴a=3 或 a=﹣3即x﹣2=3 或 x﹣2=﹣3当x﹣2=3时,x=5当x﹣2=﹣3时,x=﹣1综上所述,方程的解为x=5或x=﹣1.20.(8分)某商场把一个双肩背的书包按进价进步60%标价,然后再按8折(标价的80%)出售,如许商场每卖出一个书包就可赚钱14元.这种书包的进价是若干元?21.(10分)某蔬菜公司的一种绿色蔬菜,若在市场上直接发卖,每吨利润为1000元,经粗加工后发卖,每吨利润可达4500元,经精加工后发卖,每吨利润涨至7500元,当地一家公司收购这种蔬菜140吨,该公司的加工临盆才能是:假如对蔬菜进行粗加工,天天可加工16吨,假如进行精加工,天天可加工6吨,但两种加工方法不克不及同时进行,受季候等前提限制,公司必须在15天将这批蔬菜全体发卖或加工完毕,为此公司研制了三种可行计划:计划一:将蔬菜全体进行粗加工.计划二:尽可能多地对蔬菜进行精加工,没来得及进行加工的蔬菜,在市场上直接发卖.计划三:将部分蔬菜进行精加工,其余蔬菜进行粗加工,并正好15天完成.你以为哪种计划获利最多?为什么?一元一次方程单元测试参考答案与试题解析一.选择题(共10小题)ABBAB DDCCD二. 填空题(共6小题)11.x﹣1=012.12.13.﹣2.14.1.15.﹣216.(+)×2+=1.三. 解答题(共5小题)17.【解答】解:(1)移项归并得:4x=﹣12,解得:x=﹣3;(2)去分母得:8x+36=9x﹣24,移项归并得:﹣x=﹣60,解得:x=60;(3)去括号得:4x﹣10=6x﹣12,移项归并得:﹣2x=﹣2,解得:x=1;(4)去分母得:5x﹣15﹣8x﹣2=10,移项归并得:﹣3x=27,解得:x=﹣9.18.【解答】解:解方程x﹣3=x﹣得:x=3,把x=﹣3代入方程2x﹣m=x﹣2得:﹣6﹣m=﹣5,解得:m=﹣1.19.【解答】解:把3x﹣4看作一个整体b,令b=3x﹣4,方程可变形为|b|=5,这是“分类评论辩论”数学思惟办法∴b=5或b=﹣5,即3x﹣4=5或3x﹣4=﹣5.当3x﹣4=5时,x=3;当3x﹣4=﹣5时,x=﹣.综上所述,方程的解为x=3或x=﹣.20.【解答】解:设这种书包的进价是x元,其标价是(1+60%)x元,由题意得:(1+60%)x•80%﹣x=14,解得:x=50,答:这种书包的进价是50元.21.【解答】解:计划一:∵4500×140=630000(元),∴将食物全体进行粗加工后发卖,则可获利润630000元计划二:15×6×7500+(140﹣15×6)×1000=725000(元),∴将食物尽可能多的进行精加工,没来得及加工的在市场上直接发卖,则可获利润725000元;计划三:设精加工x天,则粗加工(15﹣x)天.依据题意得:6x+16(15﹣x)=140,解得:x=10,所以精加工的吨数=6×10=60,16×5=80吨.这时利润为:80×4500+60×7500=810000(元)答:该公司可以粗加工这种食物80吨,精加工这种食物60吨,可获得最高利润为810000元.。
人教版七年级数学上册《第三章一元一次方程》单元测试卷(带答案)一、单选题(共10小题,满分40分)1.一项工作甲队单独施工需要30天才能完成,乙队单独需要20天才能完成.现在由甲队单独工作5天之后,剩下的工作再由两队合作完成,问他们需要合作多少天?( )A .10B .18C .20D .242.某公司本月信誉评分为96分,比上个月的信誉评分提高了20%.设该公司上个月的信誉评分为x .则( ) A .20%96x = B .()120%96x -= C .()120%x 96+= D .()96120%x ⨯+= 3.我们把a c b d 称作二阶行列式,规定它的运算法则为a c b d =ad ﹣bc ,如果有21 3x x-=3,那么x 的值为( )A .3B .2C .﹣2D .04.一项工程甲单独做要20小时,乙单独做要15小时.现在先由甲单独做5小时,然后乙加入进来合做完成了整个工程.乙做了多少小时?若设乙做了x 小时,则所列的方程为( )A .512015x +=B .12015x x +=C .51202015x x +-=D .51202015x x ++= 5.一家商店将某种服装按成本价提高40%后标价,又以8折优惠卖出,结果每件服装仍可获利24元,则这种服装每件的成本是( )A .100元B .180元C .200元D .205元6.我国古代数学名著《张邱建算经》中记载:“今有清酒一斗直粟十斗,醑酒一斗直粟四斗.今持粟三斛,得酒六斗,问清、醑酒各几何?”意思是:现在一斗清酒价值10斗谷子,一斗醑酒价值4斗谷子,现在拿30斗谷子,共换了6斗酒,问清、醑酒各几斗?如果设醑酒x 斗,那么可列方程为( )A .()104630x x +-=B .()410630x x +-=C .306410x x -+=D .306104x x -+= 7.小明同学在做作业时,发现自己不小心将方程()323x x +=---★的一个常数涂黑看不清了,询问王老师后,王老师告诉他,这个方程的解是3x =-,则这个被涂黑的常数★是( )A .12-B .12C .3D .3-8.已知有大、小两种纸杯与甲、乙两桶果汁,其中小纸杯与大纸杯的容量比为23:,甲桶果汁与乙桶果汁的体积比为45:,若甲桶内的果汁刚好装满小纸杯120个,则乙桶内的果汁最多可装满几个大纸杯? A .64 B .100 C .144 D .2259.甲车队有汽车100辆,乙车队有汽车68辆,根据情况需要甲车队的汽车是乙车队的汽车的两倍,则需要从乙队调x辆汽车到甲队,由此可列方程为()A.100﹣x=2(68+x)B.2(100﹣x)=68+xC.100+x=2(68﹣x)D.2(100+x)=68﹣x10.已知2m=3n,则下列各式中不正确的是()二、填空题(共8小题,满分32分)11.小张有三种邮票共18枚,它们的数量之比为1:2:3,则最多的一种邮票有枚.12.已知一个三位数,各个位数上的数字和是14,十位上的数字是个位上的数字的2倍,百位上的数字比个位上的数字多2,这个三位数是 .13.某商场将一商品在保持销售价80元/件不变的前提下,规定凡购买超过5件者,超出的部分打5折出售.若顾客购买x(x>5)件,应付y元,则y与x间的关系式是.14.七、八年级学生分别到雷锋、毛泽东纪念馆参观,共589人,到毛泽东纪念馆的人数是到雷锋纪念馆人数的2倍多56人.设到雷锋纪念馆的人数为x人,可列方程为.15.某市为了提倡节约用水,采取分段收费.若每户每月的用水量不超过15m3,则每立方米收费2元;若用水量超过15 m3,则超过的部分每立方米加收1元.若小亮家1月份交水费45元,则他家该月的用水量为16.写出一个未知数的系数是负整数的一元一次方程,使它的解为x=-2.17.下面的框图表示了解这个方程的流程:在上述五个步骤中,依据等式基本性质1的步骤有 ,依据等式基本性质2的步骤有 (只填序号)18.某品牌旗舰店平日将某商品按进价提高40%后标价,在某次购物节中,把该商品按标价的8折销售,售价为168元,则这种商品的进价是 元.三、解答题(共6小题,每题8分,满分48分)19.对有理数a ,b 定义两个新运算:222a b a ab b =++◎,222a b a ab b =-+※例如:223232322912425=+⨯⨯+=++=◎ 222222244m m m m m =-⨯+=-+※(1)求205◎的值;(2)求()296※◎的值;(3)若2x ◎的值和3x ※的值相等,求x 的值.20.阅读小明解方程的过程回答问题.解方程:293(3)x x +=+步骤①2939x x +=+步骤①23=x x步骤①23=(1)上述变形中,由步骤①到步骤①变形的依据是 ;参考答案:1.A2.C3.B4.D5.C6.B7.B8.B9.C10.D11.912.56313.y =40x +20014.2x +56=589-x15.2016.-x=2(答案不唯一)17. ① ①①18.15019.(1)625(2)121(3)12x =.20.(1)等式的基本性质或移项法则;(2)①,等式的基本性质说等式的两边都除以同一个非零数等式依然成立,显然小明没有考虑到x 的值可能为零,所以不能两边同时除以x21.(1)29-;(2)1x =22.(1)=1x -;(2)2733-+x y ;23 23.(1)(50x+5000),(45x+5400);(2)按方案一购买较为合算;(3)先按方案一购买20套西装获赠送20条领带,再按方案二购买10条领带,共需6450元.24.(1)43小时 (2)1或75小时。
《一元一次方程》单元测试卷第Ⅰ卷(选择题)一.选择题(共12小题)1.已知(m﹣n)x=m﹣n,若根据等式的性质可得x=1,那么m、n必须满足的条件是()A.m=n B.m=﹣n C.m≠n D.m、n为任意数2.下列方程中,是一元一次方程的是()A.x2+x+1=x2+2 B.x+y=9 C.x+=2 D.3x=3(x﹣1)3.甲、乙两运动员在长为100m的直道AB(A,B为直道两端点)上进行匀速往返跑训练,两人同时从A点起跑,到达B点后,立即转身跑向A点,到达A点后,又立即转身跑向B点…若甲跑步的速度为5m/s,乙跑步的速度为4m/s,则起跑后100s内,两人相遇的次数为()A.5 B.4 C.3 D.24.用一根长为a(单位:cm)的铁丝,首尾相接围成一个正方形,要将它按图的方式向外等距扩1(单位:cm)得到新的正方形,则这根铁丝需增加()A.4cm B.8cm C.(a+4)cm D.(a+8)cm5.按如图所示的运算程序,能使输出的结果为12的是()A.x=3,y=3 B.x=﹣4,y=﹣2 C.x=2,y=4 D.x=4,y=26.中央电视台2套“开心辞典”栏目中,有一期的题目如图所示,两个天平都平衡,则三个球体的重量等于()个正方体的重量.A.2 B.3 C.4 D.57.程大位是我国明朝商人,珠算发明家.他60岁时完成的《直指算法统宗》是东方古代数学名著,详述了传统的珠算规则,确立了算盘用法.书中有如下问题:一百馒头一百僧,大僧三个更无争,小僧三人分一个,大小和尚得几丁.意思是:有100个和尚分100个馒头,如果大和尚1人分3个,小和尚3人分1个,正好分完,大、小和尚各有多少人,下列求解结果正确的是()A.大和尚25人,小和尚75人B.大和尚75人,小和尚25人C.大和尚50人,小和尚50人D.大、小和尚各100人8.我们知道,用字母表示的代数式是具有一般意义的,请仔细分析下列赋予3a实际意义的例子中不正确的是()A.若葡萄的价格是3元/千克,则3a表示买a千克葡萄的金额B.若a表示一个等边三角形的边长,则3a表示这个等边三角形的周长C.将一个小木块放在水平桌面上,若3表示小木块与桌面的接触面积,a表示桌面受到的压强,则3a表示小木块对桌面的压力D.若3和a分别表示一个两位数中的十位数字和个位数字,则3a表示这个两位数9.据省统计局发布,2017年我省有效发明专利数比2016年增长22.1%.假定2018年的年增长率保持不变,2016年和2018年我省有效发明专利分别为a万件和b万件,则()A.b=(1+22.1%×2)a B.b=(1+22.1%)×aC.b=(1+22.1%)×2a D.b=22.1%×2a10.苹果原价是每斤a元,现在按8折出售,假如现在要买一斤,那么需要付费()A.0.8a元B.0.2a元C.1.8a元D.(a+0.8)元11.某企业接到为地震灾区生产活动房的任务,此企业拥有九个生产车间,现在每个车间原有的成品活动房一样多,每个车间的生产能力也一样.有A、B两组检验员,其中A组有8名检验员前两天时间将第一、二车间的所有成品(原来的和这两天生产的)检验完毕后,再去检验第三、四车间所有成品,又用去三天时间;同时这五天时间B组检验员也检验完余下的五个车间的所有成品.如果每个检验员的检验速度一样快,那么B组检验员人数为()A.8人B.10人C.12人D.14人12.李飒的妈妈买了几瓶饮料,第一天,他们全家喝了全部饮料的一半零半瓶;第二天,李飒招待来家中做客的同学,又喝了第一天剩下的饮料的一半零半瓶;第三天,李飒索性将第二天所剩的饮料的一半零半瓶.这三天,正好把妈妈买的全部饮料喝光,则妈妈买的饮料一共有()A.5瓶B.6瓶C.7瓶D.8瓶第Ⅱ卷(非选择题)二.填空题(共4小题)13.甲、乙二人在圆形跑道上从同一点A同时出发.并按相反方向跑步.甲的速度为每秒5m,乙的速度为每秒8m.到他们第一次在A点处再度相遇时跑步就结束.则从他们开始出发(算第一次相遇)到结束(算最后一次相遇)共相遇了次.14.有五个正整数排成一列,从第二个数起,每一个数都不小于前一个的两倍,若已知这五个数之和是2018,则最后一个数的最小可能值是.15.如图,某超市一楼和二楼之间架设了两台长度相同的上下自动扶梯,向上每秒移动的距离和向下每秒移动的距离相等,小可踏入上楼的扶梯并且以每秒0.3米的速度向上行走,同时,小逸踏入下楼的扶梯并且以每秒0.2米的速度向下行走.过了27秒,小可刚好位于扶梯的中点,再过了3秒,她和小逸相遇,自动扶梯的长度是.16.《数》是中国数学史上的重要著作,比我们熟知的汉代《九章算术》还要古老,保存了许多古代算法的最早例证(比如“勾股”概念),改变了我们对周秦数学发展水平的认识.文中记载“有妇三人,长者一日织五十尺,中者二日织五十尺,少者三日织五十尺,今威有功五十尺,问各受几何?”译文:“三位女人善织布,姥姥1天织布50尺,妈妈2天织布50尺,妞妞3天织布50尺.如今三人齐上阵,共同完成50尺织布任务,请问每人织布几尺?”设三人一共用了x天完成织布任务,则可列方程为.三.解答题(共6小题)17.解方程:﹣=1.18.学校准备添置一批课桌椅,原计划订购60套,每套100元,店方表示:如果多购,可以优惠.结果校方实际订购了72套,每套减价3元,但商店获得了同样多的利润.(1)求每套课桌椅的成本;(2)求商店获得的利润.19.M中学为创建园林学校,购买了若干桂花树苗,计划把迎宾大道的一侧全部栽上桂花树(两端必须各栽一棵),并且每两棵树的间隔相等,如果每隔5米栽1棵,则树苗缺11棵;如果每隔6米栽1棵,则树苗正好用完,求购买了桂花树苗多少棵?20.某水果销售店用1000元购进甲、乙两种新出产的水果共140千克,这两种水果的进价、售价如表所示:9(1)这两种水果各购进多少千克?(2)若该水果店按售价销售完这批水果,获得的利润是多少元?21.下表中有两种移动电话计费方式.其中,月使用费固定收,主叫不超过限定时间不再收费,主叫超过部分加收超时费.(1)如果每月主叫时间不超过400min,当主叫时间为多少min时,两种方式收费相同?(2)如果每月主叫时间超过400min,选择哪种方式更省钱?22.八达岭森林体验中心,由八达岭森林体验馆和450公顷的户外体验区构成.森林体验馆包括“八达岭森林变迁“、“八达岭森林大家族“、“森林让生活更美好“等展厅,户外游憩体验系统根据森林生态旅游最新理念,采取少设施、设施集中的点线布局模式,突破传统的“看风景“旅游模式,强调全面体验森林之美.在室内展厅内,有这样一个可以动手操作体验的仪器,如图,小明在社会大课堂活动中,记录了这样一组数字:A,B两地相距300公里,小轿车以90公里/小时的速度从A地开往B地;公共汽车以60公里/小时的速度从B开往A地,两车同时出发相对而行,两车在C地相遇,相遇后继续前行到达各自的目的地.(1)多少小时后两车相遇?(2)小轿车和公共汽车分别到达目的地,计算小轿车的碳足迹为多少?公共汽车的碳中和树木棵数为多少?(3)根据观察或计算说明,为了减少环境污染,我们应该选择哪种交通工具出行更有利于环保呢?人教版数学七年级(上)第3章《一元一次方程》单元测试卷参考答案与试题解析一.选择题(共12小题)1.已知(m﹣n)x=m﹣n,若根据等式的性质可得x=1,那么m、n必须满足的条件是()A.m=n B.m=﹣n C.m≠n D.m、n为任意数【解答】解:已知(m﹣n)x=m﹣n,根据等式的性质可得x=1,则m﹣n≠0,那么m、n必须满足的条件是:m≠n.故选:C.2.下列方程中,是一元一次方程的是()A.x2+x+1=x2+2 B.x+y=9 C.x+=2 D.3x=3(x﹣1)【解答】解:A、整理后,符合一元一次方程的定义,故此选项正确;B、含有两个未知数,故不是一元一次方程,故此选项错误;C、分母中含有未知数,是分式方程,故此选项错误;D、整理后,不含有未知数,故不是一元一次方程,故此选项错误.故选:A.3.甲、乙两运动员在长为100m的直道AB(A,B为直道两端点)上进行匀速往返跑训练,两人同时从A点起跑,到达B点后,立即转身跑向A点,到达A点后,又立即转身跑向B点…若甲跑步的速度为5m/s,乙跑步的速度为4m/s,则起跑后100s内,两人相遇的次数为()A.5 B.4 C.3 D.2【解答】解:设两人相遇的次数为x,依题意有x=100,解得x=4.5,∵x为整数,∴x取4.故选:B.4.用一根长为a(单位:cm)的铁丝,首尾相接围成一个正方形,要将它按图的方式向外等距扩1(单位:cm)得到新的正方形,则这根铁丝需增加()A.4cm B.8cm C.(a+4)cm D.(a+8)cm【解答】解:∵原正方形的周长为acm,∴原正方形的边长为cm,∵将它按图的方式向外等距扩1cm,∴新正方形的边长为(+2)cm,则新正方形的周长为4(+2)=a+8(cm),因此需要增加的长度为a+8﹣A=8cm.故选:B.5.按如图所示的运算程序,能使输出的结果为12的是()A.x=3,y=3 B.x=﹣4,y=﹣2 C.x=2,y=4 D.x=4,y=2【解答】解:A、x=3、y=3时,输出结果为32+2×3=15,不符合题意;B、x=﹣4、y=﹣2时,输出结果为(﹣4)2﹣2×(﹣2)=20,不符合题意;C、x=2、y=4时,输出结果为22+2×4=12,符合题意;D、x=4、y=2时,输出结果为42+2×2=20,不符合题意;故选:C.6.中央电视台2套“开心辞典”栏目中,有一期的题目如图所示,两个天平都平衡,则三个球体的重量等于()个正方体的重量.A.2 B.3 C.4 D.5【解答】解:设一个球体重x,圆柱重y,正方体重z.根据等量关系列方程2x=5y;2z=3y,消去y可得:x=z,则3x=5z,即三个球体的重量等于五个正方体的重量.故选:D.7.程大位是我国明朝商人,珠算发明家.他60岁时完成的《直指算法统宗》是东方古代数学名著,详述了传统的珠算规则,确立了算盘用法.书中有如下问题:一百馒头一百僧,大僧三个更无争,小僧三人分一个,大小和尚得几丁.意思是:有100个和尚分100个馒头,如果大和尚1人分3个,小和尚3人分1个,正好分完,大、小和尚各有多少人,下列求解结果正确的是()A.大和尚25人,小和尚75人B.大和尚75人,小和尚25人C.大和尚50人,小和尚50人D.大、小和尚各100人【解答】解:设大和尚有x人,则小和尚有(100﹣x)人,根据题意得:3x+=100,解得x=25则100﹣x=100﹣25=75(人)所以,大和尚25人,小和尚75人.故选:A.8.我们知道,用字母表示的代数式是具有一般意义的,请仔细分析下列赋予3a 实际意义的例子中不正确的是()A.若葡萄的价格是3元/千克,则3a表示买a千克葡萄的金额B.若a表示一个等边三角形的边长,则3a表示这个等边三角形的周长C.将一个小木块放在水平桌面上,若3表示小木块与桌面的接触面积,a表示桌面受到的压强,则3a表示小木块对桌面的压力D.若3和a分别表示一个两位数中的十位数字和个位数字,则3a表示这个两位数【解答】解:A、若葡萄的价格是3元/千克,则3a表示买a千克葡萄的金额,正确;B、若a表示一个等边三角形的边长,则3a表示这个等边三角形的周长,正确;C、将一个小木块放在水平桌面上,若3表示小木块与桌面的接触面积,a表示桌面受到的压强,则3a表示小木块对桌面的压力,正确;D、若3和a分别表示一个两位数中的十位数字和个位数字,则30+a表示这个两位数,此选项错误;故选:D.9.据省统计局发布,2017年我省有效发明专利数比2016年增长22.1%.假定2018年的年增长率保持不变,2016年和2018年我省有效发明专利分别为a万件和b万件,则()A.b=(1+22.1%×2)a B.b=(1+22.1%)×aC.b=(1+22.1%)×2a D.b=22.1%×2a【解答】解:因为2016年和2018年我省有效发明专利分别为a万件和b万件,所以b=(1+22.1%)2a.故选:B.10.苹果原价是每斤a元,现在按8折出售,假如现在要买一斤,那么需要付费()A.0.8a元B.0.2a元C.1.8a元D.(a+0.8)元【解答】解:根据题意知,买一斤需要付费0.8a元,故选:A.11.某企业接到为地震灾区生产活动房的任务,此企业拥有九个生产车间,现在每个车间原有的成品活动房一样多,每个车间的生产能力也一样.有A、B两组检验员,其中A组有8名检验员前两天时间将第一、二车间的所有成品(原来的和这两天生产的)检验完毕后,再去检验第三、四车间所有成品,又用去三天时间;同时这五天时间B组检验员也检验完余下的五个车间的所有成品.如果每个检验员的检验速度一样快,那么B组检验员人数为()A.8人B.10人C.12人D.14人【解答】解:设每个车间原有成品a件,每个车间每天生产b件产品,根据检验速度相同得:,解得a=4b;则A组每名检验员每天检验的成品数为:2(a+2b)÷(2×8)=12b÷16=b.那么B组检验员的人数为:5(a+5b)÷(b)÷5=45b÷b÷5=12(人).故选:C.12.李飒的妈妈买了几瓶饮料,第一天,他们全家喝了全部饮料的一半零半瓶;第二天,李飒招待来家中做客的同学,又喝了第一天剩下的饮料的一半零半瓶;第三天,李飒索性将第二天所剩的饮料的一半零半瓶.这三天,正好把妈妈买的全部饮料喝光,则妈妈买的饮料一共有()A.5瓶B.6瓶C.7瓶D.8瓶【解答】解:设妈妈买的饮料一共有x瓶,则第一天喝了(x+0.5)瓶,那么剩下(x﹣x﹣0.5)瓶,则第二天喝了(x﹣x﹣0.5)+0.5(瓶),那么剩下(x﹣x﹣0.5)﹣(瓶),所以第三天喝了{(x﹣x﹣0.5)﹣}+0.5(瓶),(x+0.5)++ {(x﹣x﹣0.5)﹣}+0.5=x,解得x=7.故选:C.二.填空题(共4小题)13.甲、乙二人在圆形跑道上从同一点A同时出发.并按相反方向跑步.甲的速度为每秒5m,乙的速度为每秒8m.到他们第一次在A点处再度相遇时跑步就结束.则从他们开始出发(算第一次相遇)到结束(算最后一次相遇)共相遇了4次.【解答】解:设路程为x,相向而行相遇时间=,相背而行相遇时间=;最后相遇在A点时相遇次数:≈4(次).答:从出发到结束他们共相遇了4次.故答案为:4.14.有五个正整数排成一列,从第二个数起,每一个数都不小于前一个的两倍,若已知这五个数之和是2018,则最后一个数的最小可能值是1043.【解答】解:设第一个数是x,则第2个数是2x,第3个数是4x,第4个数是8x,第5个数是16x,依题意有x+2x+4x+8x+16x=2018,解得x=65,∵x为整数,x最大取65,31x=31×65=2015,8x+1=8×65+1=521,521×2+1=1043.答:最后一个数的最小可能值是1043.故答案为:1043.15.如图,某超市一楼和二楼之间架设了两台长度相同的上下自动扶梯,向上每秒移动的距离和向下每秒移动的距离相等,小可踏入上楼的扶梯并且以每秒0.3米的速度向上行走,同时,小逸踏入下楼的扶梯并且以每秒0.2米的速度向下行走.过了27秒,小可刚好位于扶梯的中点,再过了3秒,她和小逸相遇,自动扶梯的长度是30米.【解答】解: +×=,1﹣=,设自动扶梯的长度是x米,依题意有(﹣)x=(0.3﹣0.2)×(27+3),解得x=27.答:自动扶梯的长度是30米.故答案为:30米.16.《数》是中国数学史上的重要著作,比我们熟知的汉代《九章算术》还要古老,保存了许多古代算法的最早例证(比如“勾股”概念),改变了我们对周秦数学发展水平的认识.文中记载“有妇三人,长者一日织五十尺,中者二日织五十尺,少者三日织五十尺,今威有功五十尺,问各受几何?”译文:“三位女人善织布,姥姥1天织布50尺,妈妈2天织布50尺,妞妞3天织布50尺.如今三人齐上阵,共同完成50尺织布任务,请问每人织布几尺?”设三人一共用了x天完成织布任务,则可列方程为(50++)x=50.【解答】解:设三人一共用了x天完成织布任务,则可列方程为:(50++)x=50.故答案是:(50++)x=50.三.解答题(共6小题)17.解方程:﹣=1.【解答】解:去分母得:3(x﹣3)﹣2(2x+1)=6,去括号得:3x﹣9﹣4x﹣2=6,移项得:﹣x=17,系数化为1得:x=﹣17.18.学校准备添置一批课桌椅,原计划订购60套,每套100元,店方表示:如果多购,可以优惠.结果校方实际订购了72套,每套减价3元,但商店获得了同样多的利润.(1)求每套课桌椅的成本;(2)求商店获得的利润.【解答】解:(1)设每套课桌椅的成本为x元,根据题意得:60×100﹣60x=72×(100﹣3)﹣72x,解得:x=82.答:每套课桌椅的成本为82元.(2)60×(100﹣82)=1080(元).答:商店获得的利润为1080元.19.M中学为创建园林学校,购买了若干桂花树苗,计划把迎宾大道的一侧全部栽上桂花树(两端必须各栽一棵),并且每两棵树的间隔相等,如果每隔5米栽1棵,则树苗缺11棵;如果每隔6米栽1棵,则树苗正好用完,求购买了桂花树苗多少棵?【解答】解:设购买了桂花树苗x棵,根据题意,得:5(x+11﹣1)=6(x﹣1),解得:x=56.答:购买了桂花树苗56棵.20.某水果销售店用1000元购进甲、乙两种新出产的水果共140千克,这两种水果的进价、售价如表所示:(2)若该水果店按售价销售完这批水果,获得的利润是多少元?【解答】解:(1)设购进甲种水果x千克,则购进乙种水果(140﹣x)千克,根据题意得:5x+9(140﹣x)=1000,解得:x=65,∴140﹣x=75.答:购进甲种水果65千克,乙种水果75千克;(2)3×65+4×75=495(元)答:利润为495元.21.下表中有两种移动电话计费方式.其中,月使用费固定收,主叫不超过限定时间不再收费,主叫超过部分加收超时费.(1)如果每月主叫时间不超过400min,当主叫时间为多少min时,两种方式收费相同?(2)如果每月主叫时间超过400min,选择哪种方式更省钱?【解答】解:(1)设每月主叫时间为x分钟.①当0≤x≤200时,方式一收费58元,方式二收费88元,故不存在两种方式收费相同;②当200<x≤400时,计费方式一收费58+0.2(x﹣200)=0.2x+18,计费方式二收费88元,∴0.2x+18=88,解得:x=350,∴当主叫时间为350min时,两种方式收费相同.(2)当x>400时,计费方式二收费88+0.25(x﹣400)=0.25x﹣12.根据题意得:0.2x+18=0.25x﹣12,解得:x=600,又∵0.25>0.2,∴当400<x<600时,选择计费方式二省钱;当x=600时,两种计费方式收费相同;当x>600时,选择计费方式一省钱.22.八达岭森林体验中心,由八达岭森林体验馆和450公顷的户外体验区构成.森林体验馆包括“八达岭森林变迁“、“八达岭森林大家族“、“森林让生活更美好“等展厅,户外游憩体验系统根据森林生态旅游最新理念,采取少设施、设施集中的点线布局模式,突破传统的“看风景“旅游模式,强调全面体验森林之美.在室内展厅内,有这样一个可以动手操作体验的仪器,如图,小明在社会大课堂活动中,记录了这样一组数字:根据以上材料回答问题:A,B两地相距300公里,小轿车以90公里/小时的速度从A地开往B地;公共汽车以60公里/小时的速度从B开往A地,两车同时出发相对而行,两车在C地相遇,相遇后继续前行到达各自的目的地.(1)多少小时后两车相遇?(2)小轿车和公共汽车分别到达目的地,计算小轿车的碳足迹为多少?公共汽车的碳中和树木棵数为多少?(3)根据观察或计算说明,为了减少环境污染,我们应该选择哪种交通工具出行更有利于环保呢?【解答】解:(1)设经过x小时两车相遇根据题意列方程得90x+60x=300解得:x=2答:两车2小时相遇.(2)小轿车到达目的地,碳足迹为22.5×3=67.5(Kg)公共汽车分别到达目的地碳中和树木棵数为:0.005×3=0.015(棵)(3)通过观察得出,我们应尽量选择公共交通出行,有利于环保.。
七年级数学一元一次方程单元测试卷及答案一元一次方程 第2页,共6页一元一次方程单元测试题一、选择题:(每题3分,共30分)1.下列四个式子中,是方程的是 ( )A 、 1 + 2 =3B 、 x —5C 、 x = 0D 、 |1-0. 5|= 0. 52.下列等式变形正确的是( ) A 、如果s = 12ab,那么b = 2s aB 、如果12x = 6,那么x = 3C 、如果x - 3 = y - 3,那么x - y = 0D 、如果mx = my,那么x = y3.方程212=-x 的解是( ) A 、14x =- B 、4x =- C 、14x = D 、 4x =-4.在解方程13123x --=时,去分母正确的是 ( )A 、1(3)1x --= B 、 32(3)6x --=一元一次方程第3页,共6页A、60B、50C、40D、309.某件商品连续两次9折降价销售,降价后每件商品售价为a元,则该商品每件原价为( )A、0.81aB、1.12aC、1.12a D、0.81a10.用“●”“■”“▲”分别表示三种不同的物体,如图2-1-1所示,前两架天平保持平衡,若要使第三架天平也平衡,那么“?”处应放“■”的个数为()A、5个B、4个C、3个D、2个二、填空题:(每题3分,共15分)11.白天的温度是8℃,夜间下降了t℃,则夜间的温度是℃。
12.方程267y y-=+变形为276y y-=+,这种变形一元一次方程第4页,共6页叫,根据是。
13.若x = -3是方程 x – a = 6 的解,则a = 。
14.当x=时,代数式23x+与64x-的值相等。
15.一个两位数,二个数位上数字之和为x,若个位上的数字为2,则这个两位数为。
三、解下列方程:(每题5分,共25分)16.429x-=17. x x-=-+325(2)18. 0.7 1.37 1.50.23+=-x x一元一次方程第5页,共6页一元一次方程 第6页,共6页19.2114135x x -+=-20.130.40.6(3)(7)35y y y --=--四、解答题:(共30分)21.当x 取什么数时,31x +与3x -互为相反数(5分)。
一元一次方程单元测试卷(1)一.选择题(每题3分,共18分) 1.下列等式变形正确的是( ) A.如果s=12ab ,那么b=2saB.如果12x=6,那么x=3C.如果x-3=y-3,那么x-y=0D.如果mx=my ,那么x=y 2.下列方程中,是一元一次方程的是( )A. 243x x -=B.0x =C.21x y +=D. 11x x-= 3.解方程16110312=+-+x x 时,去分母后,正确结果是( ) A. 111014=+-+x x B. 111024=--+x x C. 611024=--+x x C. 611024=+-+x x4.一个教室有5盏灯,其中有40瓦和60瓦的两种,总的瓦数为260瓦,则40瓦和60瓦的灯泡个数分别是( ) A. 1,4B. 2,3C. 3,2D. 4,15.某区中学生足球赛共赛8轮(即每队均参赛8 场),胜一场得3分,平一场得1分,输一场得0分,在这次足球联赛中,猛虎足球队踢平的场数是所负场数的2倍,共得17分,则该队胜了( )场.A.3B.4C.5D.66.某商店卖出两件衣服,每件60元,其中一件赚20%,另一件亏20%,那么这两件衣服卖出后,商店( )A.不赚不亏B.赚5元C.亏5元D. 赚10元 二.填空题(每题4分,共24分)7.当=x ________时,代数式24+x 与93-x 的值互为相反数.8.已知 ()0332=-+--m x m m 是关于x 的一元一次方程, 则m=________. 9.在梯形面积公式 S =12(a + b ) h 中, 用 S 、a 、h 表示b ,b = ________, 当16,3,4S a h ===时, b 的值为________.10.若关于x 的方程mx+2=2(m-x )的解是12x =,则m=________.11.成渝铁路全长504千米. 一辆快车以90千米/时的速度从重庆出发,1小时后,另有一辆慢车以48千米/时的速度从成都出发,则慢车出发________小时后两车相遇(沿途各车站的停留时间不计).12.如图,一个长方形恰被分成六个正方形,其中最小的正方形面积是1平方厘米,则这个长方形的面积为________平方厘米. 三.解方程(每题5分,共30分)13). 5x +3=-7x+9 14). 14)13(2)1(5-=---x x x15).312x +=76x+ 16). 511241263x x x +--=+17).75.001.003.02.02.02.03=+-+xx 18).解关于x 的方程9(2)4(3m x m x m---=四.应用题(每题7分,共28分)19.甲仓库有粮120吨,乙仓库有粮90吨.从甲仓库调运多少吨到乙仓库,调剂后甲仓库存粮是乙仓库的一半.20.某车间有62个工人,生产甲、乙两种零件,每人每天平均能生产甲种零件12个或乙种零件23个. 已知每3个甲种零件和2个乙种零件配成一套,问应分配多少人生产甲种零件,多少人生产乙种零件,才能使每天生产的这两种零件刚好配套?21.某城市按以下规定收取煤气费:每月使用煤气如果不超过60立方米,按每立方米0.8元收费;超过60立方米,超过部分按每立方米1.2元收费。
一元一次方程单元测试题及答案测试题:1. 解方程:2x + 3 = 72. 解方程:4(x - 5) = 163. 解方程:3(2x - 1) + 2 = 5(x + 3) - 14. 解方程:5x + 3 = 2 - 4x5. 解方程:2(3x + 4) - 5(x - 2) = 146. 解方程:3(2x - 1) = 4(3x + 2) - 17. 解方程:6x - 7 = 5(x - 3)8. 解方程组:2x + 3y = 74x - 2y = 89. 解方程组:3x + y = 4x - 2y = -110. 解方程组:2x + y = 13x - 2y = 4答案及解析:1. 解方程:2x + 3 = 7解:首先,将方程中的常数项移动到等号的右边,得到2x = 7 - 3。
接着,将式子进行计算,得到2x = 4。
最后,将方程两边同时除以2,得到x = 2。
答案:x = 22. 解方程:4(x - 5) = 16解:首先,将括号内的式子进行计算,得到4x - 20 = 16。
接着,将常数项移动到等号的右边,得到4x = 16 + 20。
最后,将方程两边同时除以4,得到x = 9。
答案:x = 93. 解方程:3(2x - 1) + 2 = 5(x + 3) - 1解:首先,将括号内的式子进行计算,得到6x - 3 + 2 = 5x + 15 - 1。
接着,将常数项移动到等号的右边,得到6x - 1 = 5x + 14。
接着,将方程两边同时减去5x,得到x - 1 = 14。
最后,将方程右边的常数项移动到等号左边,得到x = 15。
答案:x = 154. 解方程:5x + 3 = 2 - 4x解:首先,将方程中的常数项移动到等号的右边,得到5x = 2 - 3 + 4x。
接着,将方程两边同时减去4x,得到x = 2 - 3。
最后,将右边的常数项进行计算,并化简方程,得到x = -1。
答案:x = -15. 解方程:2(3x + 4) - 5(x - 2) = 14解:首先,将括号内的式子进行计算,得到6x + 8 - 5x + 10 = 14。
七年级数学(上)《一元一次方程》单元测试卷(时间:120分钟 ) 一、选择题(18分) 1、在方程23=-y x ,021=-+x x ,2121=x ,0322=--x x 中一元一次方程的个数为( ) A .1个 B .2个 C .3个 D .4个2、解方程3112-=-x x 时,去分母正确的是( ) A .2233-=-x x B .2263-=-x x C .1263-=-x x D .1233-=-x x 3、方程x x -=-22的解是( )A .1=xB .1-=xC .2=xD .0=x4、对432=+-x ,下列说法正确的是( )A .不是方程B .是方程,其解为1C .是方程,其解为3D .是方程,其解为1、3 5、方程17.0123.01=--+x x 可变形为( ) A.17102031010=--+x x B.171203110=--+x xC.1071203110=--+x xD.107102031010=--+x x6、x 增加2倍的值比x 扩大5倍少3,列方程得( )A .352+=x xB .352-=x xC .353+=x xD .353-=x x7、A 厂库存钢材为100吨,每月用去15吨;B 厂库存钢材82吨,每月用去9吨.若经过x 个月后,两厂库存钢材相等,则x =( )A .3B .5C .2D .48、某种商品的标价为120元,若以九折降价出售,相对于进货价仍获利20%,该商品的进货价为( ). A .80元 B .85元 C .90元 D .95元9、某原料供应商对购买其原料的顾客实行如下优惠:(1)一次购买金额不超过1万元,不予优惠;(2)一次购买金额超过1万元,但不超过3万元给九折优惠;(3)一次购买超过3万元,其中3万元九折优惠,超过3万元的部分八折优惠.某厂因库容原因,第一次在供应商购买原料付款7800元,第二次购买付款26100元,如果他是一次购买同样数量的原料,可少付金额为( )元. A.1460 B.1540 C.1560 D.2000二、填空题(18分)10、代数式12+a 与a 21+互为相反数,则=a . 11、如果06312=+--a x是一元一次方程,那么=a ,方程的解为=x .12、若4-=x 是方程0862=--x ax 的一个解,则=a .13、如果)12(3125+m ba 与)3(21221+-m b a 是同类项,则=m .14、已知023=+x ,则=-34x . 15、一个数x 的51与它的和等于–10的20%,则可列出的方程为 . 16、已知梯形的下底为cm 6,高为cm 5,面积为225cm ,则上底的长等于 .17、要锻造直径为16厘米、高为5厘米的圆柱形毛坯,设需截取边长为6厘米的的方钢x 厘米,可得方程为 .18、国家规定个人发表文章、出版图书获得稿费的纳税计算办法是:⑴稿费不高于800元的不纳税;⑵稿费高于800元,又不高于4000元,应缴纳超过800元的那一部分稿费14%的税;⑶稿费高于4000元,应缴纳全部稿费的11%的税.某老师获得了2000元稿费,他应纳税 元. 三、解答题(共55分) 19、解下列方程(10分) (1)22)141(34=---a a (2)151423=+--x x (3)25.032.04=--+x x20、(8分)在公式h b a S )(21+=中,已知8,18,120===h b S ,求a 的值21、(8分)不论x 取何值,等式34=--x b ax 永远成立,求ab 21的值.22、(8分)当m 为何值时,关于x 的方程x x m +=+21125的解比关于x 的方程)1()1(x m m x +=+的解大2.23、(8分)设1511+=x y ,4122+=x y ,当x 为何值时,1y 、2y 互为相反数?24、(8分)已知3=x 是方程()241133=⎥⎦⎤⎢⎣⎡-+⎪⎭⎫ ⎝⎛+x m x 的解,n 满足关系式12=+m n ,求n m +的值.四.列方程解应用题(共41分)25、(10分)在甲处劳动的有27人,在乙处劳动的有19人,现在另调20人去支援,使在甲处人数为在乙处的人数的2倍,应调往甲、乙两处各多少人?26、(10分)一项工作,甲单独做需15天完成,乙单独做需12天完成,这项工作由甲、乙两人合做,并且施工期间乙休息7天,问几天完成?27、(10分)张老师带领该校七年级“三好学生”去开展夏令营活动,甲旅行社说:“如果老师买全票一张,则学生可享受半价优惠.”乙旅行社说:“包括老师在内按全票价的6折优惠.”若全票价为240元,当学生人数为多少人时,两家旅行社的收费一样多?28. (11分)小明中考时的准考证号码是由四个数字组成的,这四个数字组成的四位数有如下特征:(1)它的千位数字为1;(2)把千位上的数字1向右移动,使其成为个位数字,那么所得的新数比原数的5倍少49.请你根据以上特征推出小明的准考证号码.一、选择题1.下列各种变形中,不正确的是( )A .从3+2x =2可得到2x =-3B .从6x =2x -1可得到6x -2x =-1C .从21%+50%(60-x )=60×42%可得到21+50(60-x )=62×42D .从3212-=-x x 可得到3x -1=2(x -2)2.方程673422--=--x x 去分母是( ) A .12-2(2x -4)=-(x -7) B .12-2(2x -4)=-x -7 C .12-2(2x -7)=-(x -7) D .12-4x -4=-x +73.已知x =1是方程21233-=-x k x 的解,则32+k 的值是( ) A .-2 B .2 C .0 D .-14.如果3个连续的奇数的和为15,那么它们的积是( ) A .15 B .21 C .105 D .2155.1元和5角的硬币共100枚,值68元,则1元和5角的硬币个数分别为( ) A .36个,64个 B .64个,36个 C .28个,72个 D .50个,50个6.某项工程由甲队单独做需18天完成,由乙队做只需甲队的一半时间完成,设两队合作需x 天完成,则可得方程( )A .x =+91181 B .1)91181(=+x C .x =+361181 D .1)361181(=+x7.一个长方形的周长是16cm ,长与宽的差是2 cm ,那么这个长方形的长与宽分别是( ) A .9cm ,7cm B .5cm ,3cm C .7cm ,5cm D .10cm ,6cm 8.若关于x 的方程x +2=ax 的解是-1,则a 的值是( )A .1=aB .1-=aC .0=aD .3=a9.采石场工人爆破时,为了确保安全,点燃炸药导火线后要在爆破前转移到400米以外的安全区域,燃烧速度是1厘米/秒,人离开的速度是5米/秒,至少需要导火线的长度是( ) A .70厘米 B .75厘米 C .79厘米 D .80厘米10.一家三口(父亲、母亲、儿子)准备利用寒假外出旅游,甲旅行社告知:父母买全票,儿子可按半价优惠;乙旅行社告知:每人均按定价的8折优惠,若这两家旅行社每人的原票价相同,那么优惠条件是( )A .甲比乙优惠B .乙比甲优惠C .甲与乙相同D .与原票价有关二、填空题11.1、x 52比41大17,则x =_________。
12.如果08)2(1=++-m x m 是一元一次方程,则______=m 。
13.已知方程23252x x -+=-的解也是方程32x b -=的解,则b =_________。
14.在400米的环形跑道上,男生每分钟跑320米,女生每分钟跑280米,男、 女生同时同地同向出发,t 分钟首次相遇,则t = 。
15. 某商人一次卖出两件商品。
一件赚了15%,一件赔了15%,卖价都是1955 元,在这次买卖过程中,商人 。
16.甲班与乙班共有学生95人,若设甲班有x 人,现从甲班调1人到乙班,甲 班人数是乙班人数的90%,依题意有方程 。
17.一个两位数,个位数字与十位数字的和是9,如果将个位数字与十位数字对 调后所得的新数比原数大9,则原来的两位数为 。
18.某商品的进货价为每件x 元,零售价为每件900元,为了适应市场竞争,商 店按零售价的九折让利40元销售,仍可获利10%,则x 。
19.某人按定期2年向银行储蓄1500元,假定每年利率为3%(不计复利)到 期支取时,扣除利息所得税(税率为20%)此人实得利息为 。
20.甲水池有水31吨,乙水池有水11吨,甲池的水每小时流入乙池2吨, x 小时 后, 乙池有水________吨,甲池有水_______吨,________小时后,甲池的水与乙 池的水一样多。
三、解答题21.解下列方程: (1)543322)5(x x x x +-+=-+-- (2)4 1.550.8 1.230.50.20.1x x x----=+22.关于x 的方程x m x m 474653-=+与方程4(3x -7)=19-35x 有相同的解,求m 的值。
23.请你联系你的生活和学习,编制一道实际问题,使列的方程为51-x =45+x 。
24.张叔叔用若干元人民币购买了一种年利率为10%的一年期债券,到期后他 取出本金的一半用于购物,剩下的一半及所得的利息又全部买了这种一年期债券 (利率不变),到期的得本息和1320元,问张叔叔当初购买这种债券花了多少 元?25.一队学生去校外郊游,他们以每小时5千米的速度行进,经过一段时间后, 学校要将一紧急的通知传给队长。
通讯员骑自行车从学校出发,以每小时14千米的速度按原路追上去,用去10分钟追上学生队伍,求通讯员出发前,学生队伍走了多长的时间?26.下图的数阵由77个偶数排成。
(1)图中平行四边形框内的四个数有什么关系?(2)在数阵中任意作一类似(1)中的平行四边形框,设其中左上角的一个数是x,那么其他三个数怎样表示?(3)如果四个数的和是326,你能求出这四个数吗?27. 小赵和小王交流暑假中的活动,小赵说:“我参加科技夏令营,外出一个星期,这七天的日期数之和为84,你知道我是几号出去的吗?”小王说:“我假期到舅舅家去住了七天,日期数的和再加上月份数也是84,你能猜出我是几月几号回家的吗?”试列出方程,解答小赵与小王的问题。
28. 2001年亚洲铁人三项赛在徐州市风光秀丽的云龙湖畔举行,比赛程序是:运动员先同时下水游泳15 km到第一换项点,在第一换项点整理服装后,接着骑自行车40 km到第二换项点,再跑步10 km到终点.下表是2001年亚洲铁人三项赛女子组(19岁以下)三名运动员在比赛中的成绩(游泳成绩即游泳所用时间,其他类推,表内时间单位为s)。