苏教版七年级数学上册一元一次方程全章测试(一)
- 格式:doc
- 大小:58.00 KB
- 文档页数:2
一、初一数学一元一次方程解答题压轴题精选(难)1.某手机经销商购进甲,乙两种品牌手机共 100 部.(1)已知甲种手机每部进价1500 元,售价2000 元;乙种手机每部进价3500 元,售价4500 元;采购这两种手机恰好用了 27 万元 .把这两种手机全部售完后,经销商共获利多少元?(2)已经购进甲,乙两种手机各一部共用了5000 元,经销商把甲种手机加价50%作为标价,乙种手机加价 40%作为标价.从 A,B 两种中任选一题作答:A:在实际出售时,若同时购买甲,乙手机各一部打九折销售,此时经销商可获利1570 元.求甲,乙两种手机每部的进价.B:经销商采购甲种手机的数量是乙种手机数量的 1.5 倍.由于性能良好,因此在按标价进行销售的情况下,乙种手机很快售完,接着甲种手机的最后10 部按标价的八折全部售完.在这次销售中,经销商获得的利润率为 42.5%.求甲,乙两种手机每部的进价.【答案】(1)解:设购进甲种手机部,乙种手机部,根据题意,得解得:元.答:销商共获利元.(2)解:A: 设每部甲种手机的进价为元,每部乙种手机的进价元,根据题意,得解得:答:求甲,乙两种手机每部的进价分别为:3000元,2000元.B:乙种手机:部,甲种手机部,设每部甲种手机的进价为元,每部乙种手机的进价元,根据题意,得解得:答:求甲,乙两种手机每部的进价分别为:2000元,3000元.【解析】【分析】(1)甲的单价乘以部数加上乙的单价乘以部数等于总数,根据题意列出,然后解方程得到结果。
(2)A 根据进价加利润等于甲和乙的售价,列出方程B 先求出甲乙的部数,表示出甲乙的标价,列出关系式,50部甲×甲的标价+10部甲×甲标价的八折+40部乙×乙的标价=利润率乘以成本,即可解出结果。
2.今年夏天,我州某地区遭受罕见的水灾,“水灾无情人有情”,州里某单位给该地区某中学捐献一批饮用水和蔬菜共320件,其中饮用水比蔬菜多80件。
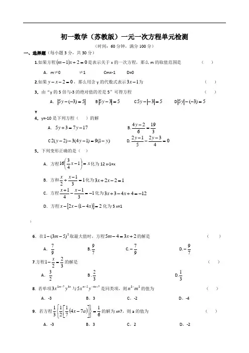
初一数学(苏教版)一元一次方程单元检测(时间:60分钟,满分100分)一、选择题(每小题3分,共30分)1.如果方程()021=+-x m 是表示关于x 的一次方程,那么m 的取值范围是 ( )A .m ≠0 ≠1 Cm=-1 D=02.如果02=--x y ,那么用含y 的代数式表示13-x 为 ( ) 3.由“y 的5倍与-3的绝对值的差是5”可得方程 ( )A .5)3(5=--yB 535=-yC 535=--yD 5)3(5=--y¥4.y=-10是下列方程( )的解A .17735-=+y y B.319624=-y C )1(9)14(3)2(2y y y -=--- D.0432512=---y y5.下列变形正确的是( )A .方程x x =⎪⎭⎫⎝⎛-14316化为12 x-1=x B .方和1312=-+x x 化为1223=-+x x C .方程13141-=--+x x 化为124433-=+-+x xD .方程()[]2412=---x x x 化为5 x=1)6.在2)53(1--m 取最大值时,方程2345+=-x m 的解是 ( )A .97 B.79 C.97- D.79- 7.方程3221=-x 的解是 ( )A .23B .32 D.318. 若单项n m y x3723-与7455+--n m y x 是同类项,则22m n -的值为 ( )A .-3B 。
3C 。
-2D 。
-49.若方程()⎩⎨⎧=⎭⎬⎫⎥⎦⎤⎢⎣⎡-6174712131a x 的解为x=7,则a 的值为 ( ) A .-3 B 。
3 C 。
2 D 。
-2"10.甲能在12天内完成某项工作,乙的工作效率比甲高20%,那么乙完成这项工作的天数为 ( )A .6B 。
8C 。
10D 。
11二.填充题(每小题2分,共20分)11.已知:方程5321=++m x是一元一次方程,则m= .12.方程m x x +=34的解是x=-2,则m= 13.若2522-n b a 与m n mb a+-313是同类项,则m= ,n= .14.方程131=x 与ax a x =+2的解相同,则a= . 、15.若0)3(232=-++b b a ,则a=16.某班共有学生48人,已知女生比男生的一半多6人,若设男生为x 人,则女生为 人,可列方程式 ,解得男生 人,女生 人。
苏科版七年级数学上册一元一次方程单元测试卷一、选择题(共10小题;共50分)1. 下列各数是方程的解的是A. B. C. D.2. 已知方程,则整式的值为A. B. C. D.3. 下列方程是一元一次方程的是A. B. C.4. 将方程变形,用含的代数式表示,那么等于A. B. C. D.5. 下列等式变形正确的是A. 若,则B. 若,则C. 若,则D. 若,则6. 下列以为解的方程是A. B.C. D.7. 下列方程中是一元一次方程的是A. B. C. D.8. 如图表示的数表,数表每个位置所对应的数都是,或.定义为数表中第行第列的数.例如,数表第行第列所对应的数是,所以.若,则的值为A. ,B. ,C. ,D. ,9. 如图,甲、乙两动点分别从正方形的顶点,同时沿正方形的边开始移动,甲按顺时针方向环形,乙按逆时针方向环行,若乙的速度是甲的3倍,那么它们第一次相遇在边上,请问它们第2015次相遇在边上.A. B. C. D.10. 某商店出售两件衣服,每件卖了200元,其中一件赚了25%,而另一件赔了20%.那么商店在这次交易中A. 亏了10元钱B. 赚了10钱C. 赚了20元钱D. 亏了20元钱二、填空题(共6小题;共30分)含有未知数的代数式是方程.12. 由表格信息可知,若的值为时,代数式的值为,为常数,则的值为,的值为,的值为.13. 将方程变形成用含的代数式表示的形式,则.14. 已知关于的方程是一元一次方程,则.15. 使方程等号左右两边相等的叫做方程的解;求的过程叫做解方程.16. 一件服装的标价为元,打八折销售后可获利,则该件服装的成本价是元.三、解答题(共8小题;共104分)17. 列等式表示:(1)的倍等于;(2)比的倍大的数等于;(3)的一半与的和等于的倍.18. 根据下列条件列出方程:(1)的倍比的相反数大;(2)的比它的倒数小.19. 由,得,这一变形的依据是什么?有条件限制吗?那么由,得呢?20. 检验下列各方程后面括号里的数是不是它的解:(1);(2).21. 用等式的性质求未知数的值:(1);(2;(3);(4).22. 解下列方程:(1);(2);(3);(4);(5);(6).23. 暑假期间,小明到父亲经营的小超市参加社会实践活动.一天小明随父亲从银行换回来张人民币,共计元的零钞用于顾客付款时找零.细心的小明清理了一下,发现其中面值为元的有张,面值为元的有张,剩下的均为元和元的钞票.你能否用所学的数学方法算出元和元的钞票各有多少张吗?24. 为了让市民树立起“珍惜水,保护水”的用水概念,某市从年月起,居民生活用水按阶梯式水价计费,下表是该市居民“一户一表”生活用水计费价格表的部分信息:(说明:①每户产生的污水量等于该户自来水用水量;②水费自来水费用污水处理费用)已知小李家年月份用水吨,交水费元,月份用水吨,交水费元.(1)求表中,的值;(2)小李家月份的水费正好是小李家庭月收入的,已知小李家的月收入为元,试求小李家月份的用水量.答案第一部分1. D2. A3. B 【解析】A选项未知数的最高次数是;C选项中有两个未知数;D选项分母中含有未知数,故A,C,D都不符合一元一次方程的定义,只有B符合.4. A 【解析】方程,移项得:.5. D【解析】A选项:若,则,故A错.B选项:若,则,故B错.C,则,故C错.D选项:若,则,故D正确.6. D7. A 【解析】A选项:为一元一次方程,故A正确;B选项:为二元一次方程,故B错误;C选项:为一元二次方程,故C错误;D选项:为分式方程,故D错误.8. C 【解析】,,,.9. C 【解析】【分析】设出正方形的边长,甲的速度是乙的速度的3倍,求得每一次相遇的地点,找出规律即可解答.【解析】解:设正方形的边长为,因为甲的速度是乙的速度的3倍,时间相同,甲乙所行的路程比为1:3,把正方形的每一条边平均分成2份,由题意知:①第一次相遇甲乙行的路程和为,乙行的路程为,甲行的路程为,在边的中点相遇;②第二次相遇甲乙行的路程和为,乙行的路程为,甲行的路程为,在边的中点相遇;③第三次相遇甲乙行的路程和为,乙行的路程为,甲行的路程为,在边的中点相遇;④第四次相遇甲乙行的路程和为,乙行的路程为,甲行的路程为,在边的中点相遇;⑤第五次相遇甲乙行的路程和为,乙行的路程为,甲行的路程为,在边的中点相遇;四次一个循环,因为,所以它们第2015次相遇在边上.故选:.【点评】本题主要考查行程问题中的相遇问题及按比例分配的运用,难度较大,注意先通过计算发现规律然后再解决问题.10. A【解析】【分析】根据题意可以列出相应的方程,求出两件商品的进价,然后用总的售价减去总的进价即可解答本题.【解析】解:设一件的进件为元,另一件的进价为元,则%,%,解得,,,,这家商店这次交易亏了10元,故选:.【点评】本题考查一元一次方程的应用,解答本题的关键是明确题意,列出形应的方程.第二部分11.12. ,【解析】由题可知:当时,,当时,,解得,即,当时,,,则有,解得,即.13.【解析】方程移项,得,两边同乘,得.14.15. 未知数的值,方程的解16.第三部分17. (1)(2)(3)18. (1)(2)19. 依据等式性质;有条件限制,;依据等式性质;因为此时,可取任意数.20. (1)是方程的解,不是方程的解.(2)是方程的解,不是方程的解.21. (1).(2).(3).(4).22. (1)移项,得合并同类项,得系数化为,得(2)去括号,得移项,得合并同类项,得系数化为,得(3)去分母,得去括号,得移项,得合并同类项,得系数化为,得(4)去括号,得移项,得合并同类项,得系数化为,得(5)去分母,得移项、合并同类项,得系数化为,得(6)去分母,得去括号,得移项,得合并同类项,得系数化为,得23. 解:设面值为元的有张,设面值为元的有张.依题意得解得答:面值为元的有张,面值为元的有张.24. (1)(2),用吨水要交水费元,用吨水要交水费:答:小李家月份用水吨.。
苏科版七年级上册数学第4章《一元一次方程》单元测试卷满分100分姓名:___________班级:___________考号:___________题号一二三总分得分一.选择题(共10小题,满分30分,每小题3分)1.下列是一元一次方程的是()A.x2﹣x=0B.2x﹣y=0C.2x=1D.x2+y2=12.下列所给条件,不能列出方程的是()A.某数比它的平方小6B.某数加上3,再乘以2等于14C.某数与它的的差D.某数的3倍与7的和等于293.方程3x﹣1=0的解是()A.x=﹣3B.x=3C.x=﹣D.x=4.下列变形正确的是()A.如果ax=ay,那么x=yB.如果m=n,那么m﹣2=2﹣nC.如果4x=﹣3,那么x=﹣D.如果a=b,那么﹣+1=﹣+15.已知关于x的方程2x﹣a﹣9=0的解是x=2,则a的值为()A.B.5C.D.﹣56.解方程[(x+1)+4]=3+变形第一步较好的方法是()A.去分母B.去括号C.移项D.合并同类项7.小明骑自行车到学校上学,若每小时骑15千米,可早到10分钟,若每小时骑13千米,则迟到5分钟,设他家到学校的路程为x千米,下列方程正确的是()A.+=﹣B.+10=﹣5C.+=+D.﹣=﹣8.一元一次方程+++=4的解为()A.30B.24C.21D.129.如图,两个天平都平衡,则六个球体的重量等于()个正方体的重量.A.7B.8C.9D.1010.将连续的奇数1,3,5,7,9,……排成如图所示的数表,则十字形框中的五数之和能等于2020吗?能等于2021吗?()A.能,能B.能,不能C.不能,能D.不能,不能二.填空题(共6小题,满分18分,每小题3分)11.已知式子:①3﹣4=﹣1;②2x﹣5y;③1+2x=0;④6x+4y=2;⑤3x2﹣2x+1=0,其中是等式的有,是方程的有.12.如果(a+3)x|a|﹣2=3是一元一次方程,那么a=.13.解方程时,去分母得.14.足球比赛计分规则是:胜一场得3分,平一场得1分,负一场得0分.今年武汉黄鹤楼队经过26轮激战,以42分获“中超”联赛第五名,其中负6场,那么胜场数为.15.一个两位数,若交换其个位数与十位数的位置,则所得新两位数比原两位数大18,这样的两位数共有个.16.如图所示,甲、乙两人沿着边长为10m的正方形,按A→B→C→D→A…的方向行走,甲从A点以5m/分钟的速度,乙从B点以8m/分钟的速度行走,两人同时出发,当甲、乙第20次相遇时,它们在边上.三.解答题(共7小题,满分52分)17.(6分)解方程:﹣2(1﹣2x)+6x=﹣418.(6分)解方程﹣1=19.(6分)(1)若|a|=1,则a=(2)若|a﹣3|=5,b+1与4互为相反数,求:2a﹣b的值20.(7分)列方程解决下列问题一艘船从甲码头到乙码头顺流而行,用了2小时;从乙码头返回甲码头逆流而行,用了2.5小时,已知水流的速度为3千米/时.(1)求船在静水中的平均速度;(2)求甲,乙两个码头之间的路程.21.(7分)有一个水池,用甲、乙两个水管注水,如果单开甲管,20分钟注满水池,如果单开乙管,15分钟注满水池.(1)若甲、乙两水管同时注水,4分钟后关上甲管,由乙管单独注水,问还需要多少分钟才能将水池注满?(2)假设在水池下面安装了排水管丙管,单开丙管12分钟可将满池水放完.若三管同时开放,多少分钟可将空池注满水?22.(10分)松雷中学原计划加工一批校服,现有甲、乙两个工厂都想加工这批校服,已知甲工厂每天能加工这种校服16件,乙工厂每天能加工这种校服24件.且单独加工这批校服甲厂比乙厂要多用20天.在加工过程中,学校需付甲厂每天费用80元、付乙厂每天费用120元.(1)求这批校服共有多少件?(2)为了尽快完成这批校服,先由甲、乙两厂按原生产速度合作一段时间后,甲工厂停工了,而乙工厂每天的生产速度也提高25%,乙工厂单独完成剩余部分.且乙工厂的全部工作时间是甲工厂工作时间的2倍还多4天,求乙工厂共加工多少天?(3)经学校研究制定如下方案:方案一:由甲厂单独完成;方案二:由乙厂单独完成;方案三:按(2)问方式完成;并且每种方案在加工过程中,每个工厂需要一名工程师进行技术指导,并由学校提供每天10元的午餐补助费,请你通过计算帮学校选择一种即省时又省钱的加工方案.23.(10分)如图,点A和点B在数轴上对应的数分别为a和b,且(a+6)2+|b﹣8|=0.(1)求线段AB的长;(2)点C在数轴上所对应的数为x,且x是方程x﹣1=x+1的解,在线段AB上是否存在点D,使得AD+BD=CD?若存在,请求出点D在数轴上所对应的数,若不存在,请说明理由;(3)在(2)的条件下,线段AD和BC分别以6个单位长度/秒和5个单位长度/秒的速度同时向右运动,运动时间为t秒,M为线段AD的中点,N为线段BC的中点,若MN =12,求t的值.参考答案一.选择题(共10小题,满分30分,每小题3分)1.解:A、x2﹣x=0,未知数的最高次数是2,不是一元一次方程;B、2x﹣y=0,含有2个未知数,不是一元一次方程;C、2x=1,是一元一次方程;D、x2+y2=1,含有2个未知数,不是一元一次方程;故选:C.2.解:设某数为x,A、x2﹣x=6,是方程,故本选项错误;B、2(x+3)=14,是方程,故本选项错误;C、x﹣x,不是方程,故本选项正确;D、3x+7=29,是方程,故本选项错误.故选:C.3.解:方程3x﹣1=0,移项得:3x=1,解得:x=,故选:D.4.解:A、如果ax=ay,当a≠0时有x=y,原变形错误,故此选项不符合题意;B、如果m=n,那么m﹣2=n﹣2,原变形错误,故此选项不符合题意;C、如果4x=﹣3,那么x=﹣,原变形错误,故此选项不符合题意;D、如果a=b,那么﹣+1=﹣+1,原变形正确,故此选项符合题意;故选:D.5.解:把x=2代入方程得:4﹣a﹣9=0,解得:a=﹣5,故选:D.6.解:根据题意可得:先去分母比较简单,因为去分母后,去括号、移项都会变得比较简单.故选:A.7.解:设他家到学校的路程为x千米,依题意,得:+=﹣.故选:A.8.解:+++=4,﹣+﹣+﹣+﹣=4,﹣=4,4x=4×21,x=21,故选:C.9.解:因为2个球体的重量等于5个圆柱体的重量,所以1个球体的重量等于2.5个圆柱体的重量;因为2个正方体的重量等于3个圆柱体的重量,所以1个圆柱体的重量等于个正方体的重量,所以六个球体的重量等于正方体的重量的个数是:2.5×6×=10(个)故选:D.10.解:由表格中的数据可知,这五个数的和等于十字形中间的数的5倍,设十字形中间的数为x,令5x=2020,解得x=404,∵404不是奇数,∴十字形框中的五数之和不能等于2020,再令5x=2021,得x=404.2,∵404.2不是奇数,∴十字形框中的五数之和不能等于2021,故选:D.二.填空题(共6小题,满分18分,每小题3分)11.解:①3﹣4=﹣1是等式;③1+2x=0即是等式也是方程;④6x+4y=2即是等式也是方程;⑤3x2﹣2x+1=0即是等式也是方程,故答案为:①③④⑤;③④⑤.12.解:∵(a+3)x|a|﹣2=3是一元一次方程,∴|a|﹣2=1,a+3≠0,解得a=3.故答案为:3.13.解:方程两边同时乘以6得:3x﹣(2x+1)=6,故答案为:3x﹣(2x+1)=6.14.解:设胜场数为x场,则平场数为(26﹣6﹣x)场,依题意得:3x+(26﹣6﹣x)=42解得:x=11那么胜场数为11场.故答案为:11.15.解:设原来的两位数为10a+b,根据题意可得:10a+b+18=10b+a,解得:a=b﹣2,∵b可取从3到9的所有自然数,即3、4、5、6、7、8、9,∴这样的两位数共有7个,它们分别是13,24,35,46,57,68,79.故答案为:7.16.解:设第一次相遇用时t1分钟,依题意有8t1﹣5t1=10×3,解得t1=10,又过了t2分钟第二次相遇,依题意有8t2﹣5t2=10×4,解得,从第二次相遇开始每隔分钟甲、乙相遇一次,第20次相遇用时为10+=(分钟),乙的路程为(圈),故当甲、乙第20次相遇时,它们在AD边.故答案为:AD.三.解答题(共7小题,满分52分)17.解:去括号得:﹣2+4x+6x=﹣4,移项合并得:10x=﹣2,解得:x=﹣0.2.18.解:方程两边同乘以12,约去分母得:4(11﹣2x)﹣12=3(29+x),去括号得:44﹣8x﹣12=87+3x,移项,得﹣8x﹣3x=87﹣44+12,合并同类项得:﹣11x=55,系数化为1得:x=﹣5.19.解:(1)若|a|=1,则a=1或﹣1;(2)若|a﹣3|=5,b+1与4互为相反数,则有a﹣3=5或a﹣3=﹣5,b+1+4=0,解得:a=8或﹣2,b=﹣5,则2a﹣b=21或1.故答案为:(1)1或﹣120.解:(1)设船在静水中的平均速度是x千米/小时,依题意,得:2(x+3)=2.5(x﹣3),解得:x=27.答:船在静水中的平均速度是27千米/小时.(2)2×(27+3)=60(千米).答:甲乙两个码头的距离是60千米.21.解:①设还需要x分钟才能把水池注满,根据题意可得:(+)×4+x=1,解得:x=8.答:还需要8分钟才能把水池注满;②设y分钟才能把一空池注满水,根据题意可得:()y=1,解得:y=30.答:三管同时开放,30分钟才能把一空池注满水.22.解:(1)设这个公司要加工x件新产品,由题意得:﹣=20,解得:x=960.答:这批校服共有960件;(2)设甲工厂加工a天,则乙工厂共加工(2a+4)天,依题意有(16+24)a+24×(1+25%)(2a+4﹣a)=960,解得a=12,2a+4=24+4=28.故乙工厂共加工28天;(3)①由甲厂单独加工:需要耗时为960÷16=60天,需要费用为:60×(10+80)=5400元;②由乙厂单独加工:需要耗时为960÷24=40天,需要费用为:40×(120+10)=5200元;③由两加工厂共同加工:需要耗时为28天,需要费用为:12×(10+80)+28×(10+120)=4720元.所以,按(3)问方式完成既省钱又省时间.23.解:(1)∵(a+6)2≥0,|b﹣8|≥0,又∵(a+6)2+|b﹣8|=0∴(a+6)2=0,|b﹣8|=0∴a+6=0,8﹣b=0∴a=﹣6,b=8∴AB=OA+OB=6+8=14.(2)解方程x﹣1=x+1得:x=14∴点C在数轴上所对应的数为14;设在线段AB上存在点D,使得AD+BD =CD,且点D在数轴上所对应的数为y,则:AD=y+6,BD=8﹣y,CD=14﹣y∴y+6+(8﹣y )=(14﹣y)解得:y=﹣2∴在线段AB上存在点D,使得AD+BD =CD,点D在数轴上所对应的数为﹣2.(3)由(2)得:A,D,B,C四点在数轴上所对应的数分别为:6,2,8,14.24.∴运动前M,N两点在数轴上所对应的数分别为﹣4,11则运动t秒后M,N两点在数轴上所对应的数分别为﹣4+6t,11+5t∵MN=12∴①线段AD没有追上线段BC时有:(11+5t)﹣(﹣4+6t)=12解得:t=3②线段AD追上线段BC后有:(﹣4t+6)﹣(11+5t)=12解得:t=27∴综上所述:当t=3秒或27秒时线段MN=12.第11 页共11 页。
一、初一数学一元一次方程解答题压轴题精选(难)1.如图,动点A从原点出发向数轴负方向运动,同时,动点B也从原点出发向数轴正方向运动,运动到3秒钟时,两点相距15个单位长度.已知动点A、B的运动速度比之是3∶2(速度单位:1个单位长度/秒).(1)求两个动点运动的速度;(2)A、B两点运动到3秒时停止运动,请在数轴上标出此时A、B两点的位置;(3)若A、B两点分别从(2)中标出的位置再次同时开始在数轴上运动,运动的速度不变,运动的方向不限,问:运动到几秒钟时,A、B两点之间相距4个单位长度?【答案】(1)解:设点B的速度为2x个单位长度/秒,则点A的速度为3x个单位长度/秒,根据题意得:3×(2x+3x)=15,解得:x=1,∴3x=3,2x=2,答:动点A的运动速度为3个单位长度/秒,动点B的运动速度为2个单位长度/秒;(2)解:3×3=9,2×3=6,∴运动到3秒钟时,点A表示的数为﹣9,点B表示的数为6;(3)解:设运动的时间为t秒,当A、B两点向数轴正方向运动时,有|3t﹣2t﹣15|=4,解得:t1=11,t2=19;当A、B两点相向而行时,有|15﹣3t﹣2t|=4,解得:t3= 或t4= ,答:经过、、11或19秒,A、B两点之间相距4个单位长度.【解析】【分析】(1)根据已知:动点A、B的运动速度比之是3∶2,因此设点B的速度为2x个单位长度/秒,则点A的速度为3x个单位长度/秒,根据两点相距15,列方程,求解即可。
(2)根据两点的运动速度,就快求出A、B两点运动到3秒时停止运动,就可得出它们的位置。
(3)设运动的时间为t秒,分两种情况:当A、B两点向数轴正方向运动时;当A、B两点相向而行时,分别根据A、B两点之间相距4个单位长度,列方程求出t的值。
2.如图,已知数轴上点A表示的数为8,B是数轴上位于点A左侧一点,且AB=20,(1)写出数轴上点B表示的数________;(2)|5-3|表示5与3之差的绝对值,实际上也可理解为5与3两数在数轴上所对的两点之间的距离.如|x-3|的几何意义是数轴上表示有理数3的点与表示有理数x的点之间的距离.试探索:①:若|x-8|=2,则x =________.②:|x+12|+|x-8|的最小值为________.(3)动点P从O点出发,以每秒5个单位长度的速度沿数轴向右匀速运动,设运动时间为t(t>0)秒.当t=________,A,P两点之间的距离为2;(4)动点P,Q分别从O,B两点,同时出发,点P以每秒5个单位长度沿数轴向右匀速运动,Q点以P点速度的两倍,沿数轴向右匀速运动,设运动时间为t(t>0)秒.当t=________,P,Q之间的距离为4.【答案】(1)﹣12(2)6或10;0(3)1.2或2(4)3.2或1.6【解析】【解答】(1)数轴上B表示的数为8-20=﹣12;(2)①因为互为相反数的两个数绝对值相同,所以由│x-8│=2可得x-8=2或﹣(x-8)=2,解得x=6或10;②因为绝对值最小的数是0,所以│x+12│+│x-8│的最小值是0;(3)根据│A点在数轴上的位置-t秒后P点在数轴上的位置│=A、P两点间的距离列式得│8-5t│=2,因为互为相反数的两个数绝对值相同,所以8-5t=2或﹣(8-5t)=2,解得t=1.2或2;(4)根据t秒后Q点在数轴上的位置-t秒后P点在数轴上的位置│=t秒后P,Q的距离列式得│﹣12+10t-5t│=4,因为互为相反数的两个数绝对值相同,所以﹣12+10t-5t=4或﹣(﹣12+10t-5t)=4,解得t=3.2或1.6.【分析】(1)抓住已知条件:B是数轴上位于点A左侧一点,且AB=20,且点A表示的数是8,就可求出OB的长,从而可得出点B表示的数。
初一数学《一元一次方程》整章测试题 1(苏教版)一元一次方程整章测试题1(含答案苏教版)一、填空题(1)若是 4 是关于 x 的方程 3a-5x=3( x+a) +2a 的解,则a=_______。
(2)已知关于 y 的方程的解是 y=-8 ,则的值 _______。
(3)x=_______ 时,单项式与是同类项。
(4)a 是 _______时,关于 x 的方程是一元一次方程。
(5) m 为 _______时, 2 是关于 x 的方程的解。
二、选择题(1)以下各式中是一元一次方程的为()。
(A) 3x-7(B)(C)(D) 4x-3=2 ( x+1 )(2)用方程表示“比 x 大 5 的数等于 2”的数量关系正确的选项是()。
(A) 2+x=5(B) x-5=2(C) x+5=2(D) 5-x=2第1页/共4页(3)以下各组的两个方程的解相同的是()。
(A) 3x-2=10 与 2x-1=3 (x+1 )(B) 4x-3=2x-1 与 3( 1-x) =0(C)与 3x+1-2x=6(D) -4x-1=x 与 5x=1(4)以下方程去括号正确的选项是()。
(A)由 2x-3( 4-2x) =5 得 x-12-2x=5(B)由 2x-3( 4-2x ) =5 得 2x-12-6x=5(C)由 2x-3( 4-2x ) =5 得 2x-12+6x=5(D)由 2x-3( 4-2x) =5 得 2x-3+6x=5三、解以下方程(1)。
(2)。
(3)。
(4)。
(5)。
(6)解关于 x 的方程 5( x+2a) -a=2( b-2x) +4a四、解答题(1)已知 x=2 时,代数式的值是 10,求 x=-2 时代数式的值。
(2)若 |2(x-3 )-( 3x+4 ) |=5,求 x 的值。
(3)已知,求证: x=y 。
答案与提示一、(1)a=-16;(2) a=14,;( 3) x=2;(4);(5) m=±4。
一、初一数学一元一次方程解答题压轴题精选(难)1.同学们都知道,表示5与-2之差的绝对值,实际上也可理解为5与-2两数在数轴上所对应的两点之间的距离,试探索:(1)求=________.(2)若,则 =________(3)同理表示数轴上有理数x所对应的点到-1和2所对应的两点距离之和,请你找出所有符合条件的整数x,使得,这样的整数是________(直接写答案)【答案】(1)7(2)7或-3(3)-1,0,1,2.【解析】【解答】(1)|5-(-2)|=7,故答案为:7;( 2 )|x-2|=5,x-2=5或x-2=-5,x=7或-3,故答案为:7或-3;( 3 )如图,当x+1=0时x=-1,当x-2=0时x=2,如数轴,通过观察:-1到2之间的数有-1,0,1,2,都满足|x+1|+|x-2|=3,这样的整数有-1,0,1,2,故答案为: -1,0,1,2.【分析】(1)化简符号求出式子的值;(2)根据绝对值的性质得到x-2=5或x-2=-5,求出x的值;(3)根据题意画出数轴,得到-1到2之间的整数有-1,0,1,2,得到满足方程的整数值有-1,0,1,2.2.综合题(1)如图,、、是一条公路上的三个村庄,、间的路程为,、间的路程为,现要在、之间建一个车站,若要使车站到三个村庄的路程之和最小,则车站应建在何处?______A.点处B.线段之间C.线段的中点D.线段之间(2)当整数 ________时,关于的方程的解是正整数.【答案】(1)A(2)或【解析】【解答】(1)故答案为:A;(2)或【分析】(1)根据图形要使车站到三个村庄的路程之和最小,得到车站应建在C处;(2)根据解一元一次方程的步骤去分母、去括号、移项、合并同类项、系数化为一;求出m的值.3.今年夏天,我州某地区遭受罕见的水灾,“水灾无情人有情”,州里某单位给该地区某中学捐献一批饮用水和蔬菜共320件,其中饮用水比蔬菜多80件。
苏科版初一数学上册《一元一次方程》单元测试卷及答案解析一、选择题1、解方程步骤如下:去括号,得移项,得合并同类项,得化系数为1,从哪一步开始出现错误A.①B.②C.③D.④2、某商品的标价为 300 元,打 8 折销售仍可获利 20%,则商品进价为()元.A.140 B.120 C.160 D.2003、我国明代珠算家程大位的名著《直指算法统宗》里有一道著名算题:“一百馒头一百僧,大僧三个更无争,小僧三人分一个,大小和尚各几丁?”意思是:有100个和尚分100个馒头,如果大和尚1人分3个,小和尚3人分1个,正好分完,试问大、小和尚各多少人?设大和尚有x人,依题意列方程得()A.B.C.D.4、方程=x,△处被墨水盖住了,已知方程的解x=2,那么△处的数字是( ) A.2 B.3 C.4 D.65、一元一次方程x-1=2的解表示在数轴上,是图中数轴上的哪个点( )A.D点B.C点C.B点D.A点6、方程-2x+3=0的解是( )A.x=B.x=-C.x=D.x=-7、3-去分母,得().A.3-2(5x+7)=-(x+17)B.12-2(5x+7)=-x+17C.12-2(5x+7)=-(x+17)D.12-10x+14=-(x+17)8、若方程:的解互为相反数,则a的值为()A.B.C.D.-19、一个两位数,十位数是个位数字的2倍,将个位数字与十倍数字调换,得到一个新的两位数,这两个两位数的和是132,则原来的两位数为()A.48 B.84 C.36 D.63二、填空题10、已知m1=3y+1,m2=5y+3,当y=________时,m1=m2.11、当______时,代数式的值与代数式的值互为相反数.12、已知y1=x+3,y2=2-x,当x=_________时,y1比y2大5.13、已知x=1是方程的解,则a=________.14、某市在端午节准备举行划龙舟大赛,预计15个队共330人参加.已知每个队一条船,每条船上人数相等,且每条船上有1人击鼓,1人掌舵,其余的人同时划桨.设每条船上划桨的有x人,那么可列出一元一次方程为 .15、下列不是方程的是________.(填序号)①1+2=3;②2x+1;③2m+15=3;④x2-6=0;⑤3x+2y=9;⑥3a+9>15.16、王强参加3 000米长跑,他以6米/秒的速度跑了一段路程后,又以4米/秒的速度跑完了其余的路程,一共花了10分钟,求他以6米/秒的速度跑了多少米?设他以6米/秒的速度跑了x米,则列出的方程是 .17、某地居民生活用电基本价格为0.53元/度.规定每月基本用电量为a度,超过部分电量的毎度电价比基本用电量的毎度电价增加20%收费,小敏家在11月份用电90度,共交电费53元,则a=___度.18、。
新苏科版七年级数学上册《一元一次方程》单元测试一.选择题(每题3分)1.下列是一元一次方程的是……………………………………………………………( ) A 、543=+y x B 、2230x -= C 、21x = D 、53=x2.下列方程的变形中,正确的是……………………………………………………( ) A 、方程1223+=-x x ,移项,得2123+-=-x x B 、方程()1523--=-x x ,去括号,得1523--=-x xC 、方程2332=x ,未知数系数化为1,得1=x ;D 、方程15.02.01=--x x 化成12)1(5=--x x3.解方程12131=--x 时,去分母正确的是…………………………………………( )A 、1)1(1=--x ;B 、6132=--x ;C 、1)1(32=--x ;D.6)1(32=--x 4.已知等式523+=b a ,则下列等式中不一定...成立的是……………………………( ) A 、b a 253=- ; B 、6213+=+b a ; C 、523+=bc ac ;D 、3532+=b a5.一件商品提价25%后发现销路不是很好,欲恢复原价,则应降价……………… ( ) A 、20% B 、40% C 、25% D 、15%6. 关于x 的一元一次方程的一个解是0,则a 的值为…( ) A 、1 B 、-l C 、1 或-1 D 、21二、填空(每空2分)7.日历上竖列相邻的三个数,它们的和是42,则第一个数是_________8.当m = __________时,方程错误!未找到引用源。
的解为错误!未找到引用源。
. 9. 如果(m +2)1m x-+8=0是一元一次方程,则m =_______.10.写出一个满足下列条件的一元一次方程: (1)某未知数的系数是3-;(2)方程的解是2.这样的方程是_____________11.如果2a + 4 = a - 3,那么代数式 2a + 1的值是_______________。
第二章 一元一次方程A 练习(时间:100分钟 满分:100分)一、选择题(每题2分,计20分)1.下列说法正确的是( ).A. 含有一个未知数的等式叫一元一次方程B. 未知数的次数是1的方程叫一元一次方程C. 含有一个未知数,并且未知数的次数是1 的式子就是一元一次方程D.11=+xx 不是一元一次方程 2.x=2是下列方程( )的解.A .3x+1=2x-1B .3x-2x+2=0C .3x-1=2x+1D .3x=2x-23.如果2005200.520.05x -=-,那么x 等于( ).A .1814.55B .1824.55C .1774.45D .1784.454.已知关于x 的方程)(22x m mx -=+的解满足方程0|1|=-x ,则m 的值是( ). A.21 B. 4 C.23 D. 3 5.一个同学在日历纵列上圈出三个数,算出它们的和,其和只可能是( ).A.30B.31C.32D.296.已知矩形周长为20cm ,设长为x cm ,则宽为 ( ).A.x -20B.x -10C.x 220-D. 220x - 7.某商店卖出两件衣服,每件60元,其中一件赚25%,另一件亏25%,那么这两件衣服卖出后,商店是 ( ).A.不赚不亏B.赚8元C.亏8元D. 赚18元8.某商场上月的营业额是a 万元,本月比上月增长15%,那么本月的营业额是( )A .%15)1(⨯+a 万元B .a %15万元C .a %)151(+万元D .a %)151(-万元9.为了节约用水,某市规定:每户居民用水不超过20m 3,按每立方米2元收费;超过20 m 3,则超出部分按每立方米4元收费.某户居民五月份交水费72元,则该户居民五月份实际用水为( )m 3.A.8B.18C.28D.3610.对于未知数为x 的方程x ax 21=+,当a 满足( )时,方程有唯一解.A .21=B .21≠ C .=2 D .≠2二、填空题(每题3分,计24分)11.关于x 的方程04=-mx1210时,则输入的x=________.13.写出一个解为t=21-的一元一次方程 . 14.如果7x+2y=4,那么7x=4—__________,理由是_____________________________.15.把150分成两个数,且两数的比是7:3,则这两数是______________.16.含糖10%的糖水1500kg ,其中糖是__________kg .17.若方程323223+-=--a x a x 的解是a x =,则=a _______. 18.小华的妈妈为爸爸买了一件衣服和一条裤子,共用306元. 其中衣服按标价打七折,裤子按标价打八折,衣服的标价为300元,则裤子的标价为 ________ 元.三、解答题(共56分)19.(4分)设某数为x ,用方程表示下列数量关系:(1)某数的3倍比4小8; (2) 某数的21 与3的和等于17; (3) 某数与3的差的2倍等于它与6的和;(4) 某数与2的差的平方恰好是它的3倍减2.20.(6分)解方程.2(2x -1)-3(2x+1)=7-x .21.(6分)解方程.161241=--+x x .22.(4分)小华在解方程4334+=+x x 时,给出的过程如下: 34)1(3)1(433444334:=-=--=-+=+x x x x x x 解 小华无法找出其中的错误,你能吗?并求出方程的解.23.(6分)小明在做家庭作业时发现练习册上一道解方程的题目被墨水污染了:213521-=--+ x x ,“□”是被污染的内容.他很着急,翻开书后面的答案,这道题的解是x=2,你能帮助他补上“□”的内容吗?说出你的方法.24.(6分)已知方程:423523-=-x x . (1)求方程的解;(2)若上述方程与关于x 的方程3a +8=3(x +a )-2a 的解相同,求a 的值;(3)在(2)的条件下,a 、b 在数轴上对应的点在原点的两侧,且原点的距离相等,c 是倒数等于本身的数,求(a+b+c )2006.25.(6分)某中学需要添置某种教学仪器,方案1:到商家购买,每件需要8元;方案2:学校自己制作,每件4元,另外需要制作工具的租用费120元;设需要仪器x 件,方案1与方案2的费用分别为:1y 、2y (元).(1)分别写出1y 、2y 的表达式;(2)当购制仪器多少件时,两种方案的费用相同?(3)若学校需要仪器50件,问采用哪种方案便宜?请说明理由.26.(6分)从2004年4月18日零时起,全国铁路实施第五次提速,从绵阳到成都的某次该次列车现在提速后,每小时比提速前快20 km,终到时刻提前到9:30,那么绵阳与成都相距多少千米?27.(6分)小强买了张50元的乘车IC卡,如果他乘车的次数用m表示,则记录他每次乘车(1)写出用乘车的次数m表示余额n的关系式.(2)利用上述关系式计算小强乘了13次车还剩下多少元?(3)小强最多能乘几次车?28.(6分)第二章 一元一次方程A一、选择题1.D 2.C 3.B 4.B 5.A 6.B 7.C 8.C 9.C 10.D二、填空题11.≠0 12.4 13.021=+t 14.2y ,在等式两边同时减去2y 15.45,105 16.150 17.6.5 18.120三、解答题19.(1)843-=x ;(2)17321=+x ;(3)()632+=-x x ;(4)()2322-=-x x 20.x=—13 21.x=—7 22.在方程的两边不可以同除以(x —1),x=123.设□内的数为y ,则4,2131023=-=--y y 24.(1)x=4;(2)a=2;(3)b=—2,c=1或—1,原式=125.(1)y 1=8x ,y 2=4x+120;(2)30;(3)方案226.设原速为xkm/h ,()()120260,60,2320810=⨯=⨯+=-x x x 27.(1)m n 8.050-=;(2)39.6;(3)6228.设一本笔记本为x 元,则()46,2,1864=-==-+x x x x。
初中数学试卷金戈铁骑整理制作第 4 章 一元一次方程单元测试(时间: 90 分钟满分: 100 分)一、选择题(每题2 分,共 20 分)1.以下式子中,此中是一元一次方程的是 ( )A . 2a = 1B . 3y -5C . 3+ 7= 10D . x 2+ x =12.以下变形正确的选项是()A . 4x - 5= 3x + 2 变形得 4x - 3x =- 2+ 5B .2 1 4x - 6= 3x +18x - 1= x + 3 变形得32C . 3(x - 1)= 2( x + 3)变形得 3x - 1= 2x + 63D . 3x = 2 变形得 x =23.以下解为 x = 5 的方程是()A . 5x + 2= 7x - 8B . 5x - 2= 7x + 8C . 5x + 2= 7x +8D .5x - 2= 7x - 84.某书店把一本新书按标价的九折销售,仍可赢利20%.若该书的进价为21 元,则标价为 ()A.26 元B .27 元C .28 元D .29 元5.( 2014 .无锡) 某文具店一支铅笔的售价为 1.2 元,一支圆珠笔的售价为 2 元.该店在 “小孩节 ”举行文具优惠售买活动,铅笔按原价打 8 折销售,圆珠笔按原价打 9 折销售,结果两种笔共卖出 60 支,卖得金额 87 元.若设铅笔卖出 x 支,则依题意可列得的一元一次方程为()A . 1.2 ×+ 2×0.9(60+ x)= 87B .×+ 2×0.9(60- x) = 87C .2×+0.8(60×+ x)= 87D .2×+ 1.2 ×0.8(60- x)= 876.已知方程 (m +1)x m + 3=0 是对于 x 的一元一次方程,则m 的值是 ()A .±1B . 1C .- 1D .0或17.依据以下条件,不可以列出方程的是 ( )A .某数的6的绝对值比它的平方小37B .甲数比它的相反数多 2C .某数的 3 与它的4的差85D .某数的 20%等于它与 15 的差8.已知 1- (2- x)= 1- x ,则代数式 2x 2- 7 的值是() A .-5B . 5C . 1D .-19.小明和小莉出生于 1998 年 12 月份,他们的出诞辰期不是同一天,但都是礼拜五,且小明比小莉出生早,两人出诞辰期之和是22,那么小莉的出诞辰期是 ()A .15 号B .16 号C .17 号D .18 号10.如图,宽为 50 cm 的长方形图案是由 10 个同样的小长方形拼成的,此中一个小长方形的面积为( )A .40cm 2B . 500 cm 2C . 600 cm 2D . 4 000 cm 2二、填空题(每题3 分,共 24 分)11.请你写出一个一元一次方程,使它的解是 x = 2 且未知数的系数是2, _______.12.一个长方形周长是42 cm ,宽比长少 3 cm ,假如设长为 xcm ,那么依据题意可列方程为_______.13.六一小孩节时期,光明眼镜店展开优惠学生配镜的活动,某样式眼镜的广告以下图,请你为广告牌补上原价.14.若 9a x b 3 与- 7a 3n -4b 3 是同类项,则x = _______.15.当 m = _______时,代数式3m 5的值是 2.316.某校七 (1)班的男生比女生多 2 人,女生占全班人数的48% ,则该班男生有 _______人,女生有 _______人.17.已知 x =2是一元一次方程 3(m - 3x)+ 2 x = 5m 的解,则 m 的值是 _______.34 318.从甲地到乙地, 公共汽车原需行驶 7h ,开通高速公路后, 车速均匀每小时增添了20 km ,现只要 5 小时即可抵达,甲、乙两地的行程是 _______km .三、解答题(共 56 分) 19.( 6 分)解以下方程:(1)5( x + 8)= 6( 2x -7)+ 5;(2) x 2 2x 3 14 620.( 6 分)当 x 为什么值时,代数式x - 1 x的值等于 3?321.( 7 分) 2004 年 4 月我国铁路第 5 次大加速.假定 K120 次空调迅速列车的均匀速度加速后比加速前提升了 44 km/h ,加速前的列车时辰表以下表所示:请你依据题目供给的信息填写加速后的列车时辰表,并写出计算过程.22.( 6 分)某企业企业有甲、乙两个商场,一月份甲、乙两商场销售总数为 2 000 万元,二 月份甲商场因内部装饰,影响销售,以致销售额比一月份降落 10%;而乙商场大搞促销活 动,因此销售额比一月份增添了20%,这样整个企业企业(甲、乙两商场)的销售总数比一月份还增添了 3.5%问甲、乙两商场二月份的销售额分别是多少万元?223 8 分)假如对于 x的方程 2x 32x 3与3n3 x n 2n的解同样,求n 35(.15348的值.24.( 6 分)设a, b, c, d 为有理数,现规定一种新的运算:a bad bc ,那么当c d3 5- x7 时,x的值是多少?2 725.( 8 分)(2014.岳阳)某项球类竞赛,每场竞赛一定分出输赢,此中胜 1 场得 2 分,负1 场得 1 分.某队在所有16 场竞赛中获得25 分,求这个队胜、负场数分别是多少?26.( 10 分)小刚为书斋买灯,现有两种灯可供选购,此中一种是9W(即 0.009 kW )的节能灯,售价49 元/盏;另一种是40 W( 即 0.04 kW) 的白炽灯,售价18 元/盏,假定两种灯的照光亮度同样,使用寿命都能够达到 2 800h.已知小刚家所在地的电价是每千瓦时0.5 元.(1)设照明时间是 xh,请用含 x 的代数式分别表示用一盏节能灯的花费和用一盏白炽灯的花费;(注:花费=灯的售价+电费)(2)小刚想在这两种灯中选购一盏.①当照明时间是多少时,使用两种灯的花费同样多?②试用特别值判断:照明时间在什么范围内,采用白炽灯花费低?照明时间在什么范围内,采用节能灯花费低?(3)小刚想在这两种灯中选购两盏.假定要求照明时间是3000 h,两种灯的使用寿命都是2800 h.请你帮他设计一种花费最低的选灯方案,并说明原因.参照答案一、 1.A2. B3. A4.C5. B6. B7. C8. A9. D10.A15.1二、 11. 2x- 4= 0(答案不独一)12.2[x +(x- 3)]= 4213. 20014. 23118. 35016. 26 24 17.-4三、19. (1)x = 11. (2)020. 3. 21.到站时辰为 4: 24,历时 2.4 h.22.甲、乙两商场二月份的销售额分别是990 万元和 1080 万元.23. 100.24. x=225.这个队胜9 场,负 7 场26. (1)(49+ 0.0045x) 元,(18+ 0.02x) 元.(2) ① 2000 h②当照明时间小于 2 000 h 时,选用白炽灯花费低;当照明时间超出 2 000 h 时,采用节能灯花费低.(3) 两种灯应各采用一盏且节能灯使用2800 h,白炽灯使用200 h 时,花费最低.。
一、初一数学一元一次方程解答题压轴题精选(难)1.某手机经销商购进甲,乙两种品牌手机共 100 部.(1)已知甲种手机每部进价1500 元,售价2000 元;乙种手机每部进价3500 元,售价4500 元;采购这两种手机恰好用了 27 万元 .把这两种手机全部售完后,经销商共获利多少元?(2)已经购进甲,乙两种手机各一部共用了5000 元,经销商把甲种手机加价50%作为标价,乙种手机加价 40%作为标价.从 A,B 两种中任选一题作答:A:在实际出售时,若同时购买甲,乙手机各一部打九折销售,此时经销商可获利1570 元.求甲,乙两种手机每部的进价.B:经销商采购甲种手机的数量是乙种手机数量的 1.5 倍.由于性能良好,因此在按标价进行销售的情况下,乙种手机很快售完,接着甲种手机的最后10 部按标价的八折全部售完.在这次销售中,经销商获得的利润率为 42.5%.求甲,乙两种手机每部的进价.【答案】(1)解:设购进甲种手机部,乙种手机部,根据题意,得解得:元.答:销商共获利元.(2)解:A: 设每部甲种手机的进价为元,每部乙种手机的进价元,根据题意,得解得:答:求甲,乙两种手机每部的进价分别为:3000元,2000元.B:乙种手机:部,甲种手机部,设每部甲种手机的进价为元,每部乙种手机的进价元,根据题意,得解得:答:求甲,乙两种手机每部的进价分别为:2000元,3000元.【解析】【分析】(1)甲的单价乘以部数加上乙的单价乘以部数等于总数,根据题意列出,然后解方程得到结果。
(2)A 根据进价加利润等于甲和乙的售价,列出方程B 先求出甲乙的部数,表示出甲乙的标价,列出关系式,50部甲×甲的标价+10部甲×甲标价的八折+40部乙×乙的标价=利润率乘以成本,即可解出结果。
2.同学们都知道,|4﹣(﹣2)|表示4与﹣2的差的绝对值,实际上也可理解为4与﹣2两数在数轴上所对应的两点之间的距离;同理|x﹣3|也可理解为x与3两数在数轴上所对应的两点之间的距离.试探索:(1)|4﹣(﹣2)|的值.(2)若|x﹣2|=5,求x的值是多少?(3)同理|x﹣4|+|x+2|=6表示数轴上有理数x所对应的点到4和﹣2所对应的两点距离之和,请你找出所有符合条件的整数x,使得|x﹣4|+|x+2|=6,写出求解的过程.【答案】(1)解:∵4与﹣2两数在数轴上所对应的两点之间的距离是6,∴|4﹣(﹣2)|=6.(2)解:|x﹣2|=5表示x与2两数在数轴上所对应的两点之间的距离是5,∵﹣3或7与2两数在数轴上所对应的两点之间的距离是5,∴若|x﹣2|=5,则x=﹣3或7.(3)解:∵4与﹣2两数在数轴上所对应的两点之间的距离是6,∴使得|x﹣4|+|x+2|=6成立的整数是﹣2和4之间的所有整数(包括﹣2和4),∴这样的整数是﹣2、﹣1、0、1、2、3、4.【解析】【分析】(1)根据4与-2两数在数轴上所对应的两点之间的距离是6,可得|4-(-2)|=6.(2)根据|x-2|=5表示x与2两数在数轴上所对应的两点之间的距离是5,可得x=-3或7.(3)因为4与-2两数在数轴上所对应的两点之间的距离是6,所以使得|x-4|+|x+2|=6成立的整数是-2和4之间的所有整数(包括-2和4),据此求出这样的整数有哪些即可.3.有两个大小完全一样长方形OABC和EFGH重合着放在一起,边OA、EF在数轴上,O 为数轴原点(如图1),长方形OABC的边长OA的长为6个坐标单位.(1)数轴上点A表示的数为________.(2)将长方形EFGH沿数轴所在直线水平移动.①若移动后的长方形EFGH与长方形OABC重叠部分的面积恰好等于长方形OABC面积的一半时,则移动后点F在数轴上表示的数为________.②若长方形EFGH向左水平移动后,D为线段AF的中点,求当长方形EFGH移动距离x为何值时,D、E两点在数轴上表示的数时互为相反数?【答案】(1)6(2)①3或9②如图所示:据题意得出D所表示的数为,点E表示数为:,当D、E两点在数轴上表示的数时互为相反数时:则解得:,当移动x为4的时候D、E两点在数轴上表示的数时互为相反数.【解析】【解答】解:(1)根据题意可得:A表示数为的长,故答案为:6.( 2 )①当向左边移动的时候,刚好移到矩形长一半的时候,此时重叠面积为长方形面积的一半,此时为9,当向右边边移动的时候,刚好移到矩形长一半的时候,此时重叠面积为长方形面积的一半,此时为3;故答案为:3或9.【分析】(1)根据题意可以看出结果;(2)①分为两种情况,分别向左或向右平移;②根据题意得出D所表示的数为,当D、E两点在数轴上表示的数时互为相反数时点E表示数为:,则,解出答案即可.4.根据绝对值定义,若有,则或,若,则,我们可以根据这样的结论,解一些简单的绝对值方程,例如:解:方程可化为:或当时,则有:;所以 .当时,则有:;所以 .故,方程的解为或。
江苏GSJY 七年级数学(上)《一元一次方程》单元测试卷(附答案)(时间:120分钟满分:150分)一、选择题(27分)1、在方程23y x ,021xx,2121x,0322x x中一元一次方程的个数为()A .1个B .2个C .3个D .4个2、解方程3112x x时,去分母正确的是()A .2233x x B .2263x xC .1263x xD .1233x x 3、方程x x22的解是()A .1xB .1xC .2=x D .0x 4、对432x ,下列说法正确的是()A .不是方程B .是方程,其解为1 C .是方程,其解为3D .是方程,其解为1、35、方程17.0123.01x x 可变形为()A.17102031010x xB.171203110x x C.1071203110x x D.107102031010x x 6、x 增加2倍的值比x 扩大5倍少3,列方程得()A .352xx B .352x x C .353x x D .353xx7、A 厂库存钢材为100吨,每月用去15吨;B 厂库存钢材82吨,每月用去9吨.若经过x 个月后,两厂库存钢材相等,则x =()A .3B .5C .2D .48、某种商品的标价为120元,若以九折降价出售,相对于进货价仍获利20%,该商品的进货价为().A .80元B .85元C .90元D .95元9、某原料供应商对购买其原料的顾客实行如下优惠:(1)一次购买金额不超过1万元,不予优惠;(2)一次购买金额超过1万元,但不超过3万元给九折优惠;(3)一次购买超过3万元,其中3万元九折优惠,超过3万元的部分八折优惠.某厂因库容原因,第一次在供应商购买原料付款7800元,第二次购买付款26100元,如果他是一次购买同样数量的原料,可少付金额为()元.A.1460B.1540C.1560D.2000 二、填空题(27分)10、代数式12a 与a 21互为相反数,则a.11、如果06312a x是一元一次方程,那么a,方程的解为x.。
初一数学(苏教版)一元一次方程单元检测(时间:60分钟,满分100分)一、选择题(每小题3分,共30分)1.如果方程m -1 x • 2 = 0是表示关于x的一次方程,那么 m的取值范围是()A. m^ 0B.m 丰 1Cm=-1 D=02.如果y — x -2 =0,那么用含y的代数式表示3x -1为()3.由“ y的5倍与-3的绝对值的差是 5”可得方程()A. 5y-(-3)=5 B5y-3=5 C5y——3=5 D5y-(-3)=54.y=-10是下列方程()的解A. 5y 3 7y -17B.4^-^ =196 32y_1 2y_3C2(y-2)—3(4y-1)=9(1—y) D. 05 45.下列变形正确的是()(3、A .方程16 x -1 =x化为12 x-仁xM 丿x x -1B .方和1化为3x ■ 2x - 2 = 12 3C .方程x― - 匸1- -1 化为3x 3 -4x 4 = -124 3D .方程x - 2x - 1 - 4x I - 2 化为 5 x=16.在1-(3m-5)2取最大值时,方程5m-4=3x,2的解是()7 9 7 9A . — B.- C. - _ D. -一9 7 9 77方程1 x 2 ()2 33 2 1A . —B .- C.1 D.-2 3 38.若单项3x2m^y3n与5x 7是同类项,则n2_m2的值为()A . -3B o 3C o -2D o -41 1 "1 1 19.若方程-.|— (4x —7a j =—的解为x=7,则a的值为()A . -3B o 3C o 2D o -210.甲能在12天内完成某项工作,乙的工作效率比甲高 20%,那么乙完成这项工作的天数为()A . 6B o 8C o 10D o 11•填充题(每小题2分,共20分)11.已知:方程2x m1 -3=5是一元一次方程,则 m= ____________________ .12.方程4x =3x - m的解是x=-2,则m= __________________13.若2a2b5n‘与3a1jm b'n m是同类项,则 m= _____________ ,n= ____________ .114.方程一x = 1与2x・a二ax的解相同,贝U a= .315.若3a 2b (b -3)2=0 ,则 a= _________________16.某班共有学生48人,已知女生比男生的一半多 __ 6人,若设男生为x人,则女生为人,可列方程式_____________ ,解得男生 __________ 人,女生____________ 人。
苏科版七年级数学上册一元一次方程单元测试卷1一、选择题(共10小题;共50分)1. 如果是关于方程的解,则的值是B. D.2. 若,则在①;②;③;④中,正确的有A. 个B. 个C. 个D. 个3. 若是关于的一元一次方程,则的值为A. C. 或 D. 或4. 如果用“”表示一个等式,表示一个整式,表示一个数,那么等式的第一条性质就可以表示为“”,以下借助符号正确的表示出等式的第二条性质的是A. ,B. ,C. ,D. ,5. 已知方程组与有相同的解,则、的值为A. B. C. D.6. 若是方程的一个根,设,,则与的大小关系正确的为A. B. C. D. 不确定7. 已知是关于的一元一次方程,则的值为B. C. D.8. 如图,表中给出的是某月的月历,任意选取“”型框中的个数(如阴影部分所示).请你运用所学的数学知识来研究,则这个数的和不可能是A. B. C. D.9. 元旦那天,位朋友均匀地围坐在圆桌旁共度佳节.圆桌半径为,每人离圆桌的距离均为,现又来了两名客人,每人向后挪动了相同的距离,再左右调整位置,使人都坐下,并且人之间的距离与原来人之间的距离(即在圆周上两人之间的圆弧的长)相等.设每人向后挪动的距离为,根据题意,可列方程A.B.C.D.10. 点,在边长为的正方形边上运动,按方向,点从以的速度,点从以的速度运动,如图所示,当点第次追上点时,是在正方形的上.A. 边B. 边C. 点D. 点二、填空题(共6小题;共30分)11. 是方程的一个根,也可以说是这个方程的解.12. 若与互为相反数,则的值是.13. 使天秤处于平衡状态,则质量最大的物体是.14. 若是关于的一元一次方程,则的值.15. 方程的解也是方程的解时, .16. 年月日全国人大通过《关于修改〈中华人民共和国个人所得税〉的决定》,征收个人所得税的起点从元提高到元,也就是说,原来月收入超过元的部分为全月应纳税所得额,从年月日起,月收入超过元的部分为全月应纳税所得额.税法修改前后全月应纳税所得额的划分及相应的税率相同,见下表:某人年月依法交纳本月个人所得税元,假如本月按新税法计算,此人应少纳税元.三、解答题(共8小题;共104分)17. 在下列问题中引入未知数,列出方程:(1)某数的倍与的和等于,求这个数;(2)长方形的宽是长的,长方形的周长是厘米,求长方形的长;(3)小明用元钱买了本练习本,找回了元钱,求每本练习本的价格.18. 根据下列条件列出方程:(1)某数比它的倍小;(2)比某数的倍大的数是;(3)某数与它的的差等于它的与的和.19. 你知道为什么任何无限循环小数都可以写成分数形式吗?下面的解答会告诉你方法.(1)阅读下列材料:问题:利用一元一次方程将化成分数.解:设.方程两边都乘以,可得.由和,可得,即.(请你体会将方程两边都乘以起到的作用)解得,即.填空:将写成分数形式为.(2)请你仿照上述方法把小数化成分数,要求写出利用一元一次方程进行解答的过程.20. 已知是方程的解,求关于的方程的解.21. 运用等式的性质解下列方程并检验:(1);(2);(3);(4).22. 解下列方程:(1);(2);(3).23. 某书城开展对学生优惠售书活动,凡一次性购书不超过元的一律九折优惠,超过元的,其中元按九折算,超过元的部分按八折算,某学生第一次去购书付款元,第二次又去购书享受了八折优惠,他查看了新买书的定价,发现两次共节省了元钱,则该学生第二次购书实际付款多少元?24. 某市场的公平秤如图,把千克的菜放到秤上,指示盘上的指针转了.(1)如果把千克的菜放在秤上,指针转过多少度?(2)如果称好千克的菜没有拿走,再把一捆菜放在秤上,指针共转了,那么,后放上的这捆菜有多少千克?答案第一部分1. D2. C3. B 【解析】是关于的一元一次方程,,,解得:.4. D5. D【解析】由题意可得方程组与也有相同的解.6. B 【解析】因为是方程的一个根,所以,即,则所以.7. A 【解析】是关于的一元一次方程,,解得:.8. C 【解析】设“”型框中的正中间的数为,则其他个数分别为,,,,,,这个数之和为:.由题意得A、,解得:,能求得这个数;B、,解得:,能求得这个数;C、,解得:,不能求得这个数;D、,解得:,能求得这个数.9. A 【解析】设每人向后挪动的距离为,则这个人之间的距离是:,人之间的距离是:.根据等量关系列方程得:.10. A【解析】,.点路程:,,在边上.第二部分11.【解析】因为与互为相反数,所以,解得,所以.13.14.【解析】是关于的一元一次方程,且,解得:.故答案为:.15.【解析】方程的解是,代入方程得关于的方程,所以有 .16.【解析】设此人2015年12月的工资为元,(元),(元).由此人纳税金额为元,,可得此人2015年12月的工资.由题意可得解得假如按新税法计算本月应纳税(元)(元)所以假如按新税法计算此人应少纳税元.第三部分17. (1)设这个数为,.(2)设长方形的长为厘米,.(3)设每本练习本的价格是元,.18. (1).(2).(3).19. (1)【解析】设方程两边同乘以,可得用②①得,解得,故答案为(2)设方程两边同时乘以,可得用②①的,解得.20. 是方程的解,.,即 . 解得 .21. (1)方程两边同时减去,得于是,得检验:当时,左边右边.所以是原方程的解.(2)方程两边同时除以于是,得检验:当时,左边右边.所以是原方程的解.(3)方程两边同时减去,得于是,得检验:当时,左边,右边,所以左边右边.所以是原方程的解.(4)方程两边同时减去,得于是,得方程两边同时乘以,得检验:当时,右边,所以左边右边.所以是原方程的解.22. (1)移项,得合并同类项,得把未知数的系数化为,得所以原方程的解是.(2)去括号,得移项,得合并同类项,得把未知数的系数化为,得所以原方程的解为.(3)去分母,得去括号,得移项,得合并同类项,得把未知数的系数化为,得所以原方程的解为.23. 由题意可知第一次购书标价总和没有超过元,第二次购书标价总和超过了元.第一次购书标价总和为(元).设第二次购书标价总和为元,则第二次购书实际付款为元.根据题意,得解得所以答:该学生第二次购书实际付款元.24. (1),,千克的菜放在秤上,指针转过.(2)设后放上的这捆菜有千克,可得:解得:答:后放上的这捆菜有千克.。
一元一次方程单元测试卷一、选择题1.把方程变形为 x=2,其依据是()A.等式的性质 1 B .等式的性质 2 C .分式的基本性质D.不等式的性质 12.若代数式 4x﹣ 5 与的值相等,则 x 的值是()A. 1 B . C . D . 23.方程 2x﹣ 1=3x+2 的解为()A. x=1 B . x=﹣1 C . x=3 D . x=﹣ 34.关于 x 的方程 3x+5=0 与 3x+3k=1 的解相同,则k=()A.﹣ 2 B . C . 2 D .﹣5.家电下乡是我国应对当前国际金融危机,惠农强农,带动工业生产,促进消费,拉动内需的一项重要举措.国家规定,农民购买家电下乡产品将得到销售价格13%的补贴资金.今年 5 月 1 日,甲商场向农民销售某种家电下乡手机20 部.已知从甲商场售出的这20 部手机国家共发放了2340 元的补贴,若设该手机的销售价格为x 元,以下方程正确的是()A. 20x?13%=2340 B . 20x=2340 × 13% C .20x( 1﹣13%) =2340 D. 13%?x=23406.x 是一个两位数, y 是一个三位数,把 x 放在 y 的左边构成一个五位数,则这个五位数的表达式是()A. xy B . 10x+y C . 1000x+y D . 100x+1000y7.某试卷由 26 道题组成,答对一题得8 分,答错一题倒扣 5 分.今有一考生虽然做了全部的26 道题,但所得总分为零,他做对的题有()A.10 道 B .15 道 C .20道D .8 道8.某个体商贩在一次买卖中,同时卖出两件上衣,售价都是135 元,若按成本计,其中一件盈利25%,另一件亏本25%,在这次买卖中他()A.不赚不赔 B .赚 9元C.赔 18 元 D .赚 18元9.某村原有林地108 公顷,旱地54 公顷,为保护环境,需把一部分旱地改造为林地,使旱地面积占林地面积的 20%.设把 x 公顷旱地改为林地,则可列方程()A. 54﹣ x=20%× 108 B. 54﹣ x=20%(108+x )C. 54+x=20%× 162 D. 108﹣ x=20%( 54+x)10.某工厂加强节能措施,去年下半年与上半年相比,月平均用电量减少2000 度,全年用电量15 万度.如果设上半年每月平均用电x 度,则所列方程正确的是()A. 6x+6 ( x﹣ 2000)=150000 B. 6x+6( x+2000) =150000C. 6x+6 ( x﹣ 2000)=15 D. 6x+6( x+2000) =15二、填空题11.方程 x+2=7 的解为.12.已知关于 x 的方程 2x+a﹣ 5=0 的解是 x=2,则 a 的值为.13.请你写出一个解为﹣ 2 的一元一次方程.14.( 4 分)已知 |x ﹣ y|=y ﹣x, |x|=3 , |y|=4 ,则( x+y)3= .15.已知关于 x 的方程 3a﹣x= +3 的解是 4,则﹣ a2﹣ 2a= .16.甲仓库的货物是乙仓库货物的 2 倍,从甲仓库调 5 吨到乙仓库,这时甲仓库剩余的货物恰好比乙仓库的一半多 1 吨,设乙仓库原有x 吨,则可列方程为.马鸣风萧萧218.七、八年级学生分别到雷锋、毛泽东纪念馆参观,共589 人,到毛泽东纪念馆的人数是到雷锋纪念馆人数的 2 倍多 56 人.设到雷锋纪念馆的人数为x 人,可列方程为.三、解方程19.解下列方程( 1) x﹣ 4=2﹣ 5x ( 2)( 3) y﹣=2﹣.(4).四、解答题20.如果方程的解与方程4x﹣( 3a+1)=6x+2a ﹣1 的解相同,求式子的值.21.某校七( 1)班马虎同学在做作业时,不慎将墨水瓶打翻,使一道作业只看到:千米,摩托车的速度为 45 千米 / 时,运货汽车的速度为 35 千米 / 时,完整.“甲、乙两地相距160 ?请将这道作业题补充22.某地区居民生活用电基本价格为每千瓦时0.40 元,若每月用电量超过电价的 70%收费.( 1)某户八月份用电84 千瓦时,共交电费30.72 元,求 a=( 2)若该用户九月份的平均电费为0.36 元,则九月份共用电元.参考答案一、选择题1.B 2.B 3. D 4.C 5.A 6. C 7. A .8. C 9. B 9. B 10.Aa 千瓦时,则超过部分按基本.千瓦时,应交电费是二、填空题11. x=5.12. 1.13. x+2=0 马鸣风萧萧14. 343 或 1.15.﹣ 15.16. 2x﹣ 5=(x+5)+1.17. 3x2﹣ 2x+8.18. 2x+56=589﹣ x.三、解方程19.(1)移项合并得:6x=6,解得:x=1;(2)去分母得: 12﹣ 2( 2x﹣ 5)=3( 3﹣x),去括号得: 12﹣ 4x+10=9﹣ 3x,移项合并得:﹣ x=﹣13,解得: x=13;(3)解:去分母得: 10y ﹣ 5( y+1) =20﹣ 2( y+2),去括号得: 10y ﹣ 5y﹣ 5=20﹣2y﹣ 4,移项得: 10y﹣ 5y+2y=20 ﹣ 4+5,合并同类项得: 7y=21,解得: y=3.(4)解:去分母得, 4( 2t ﹣ 6)﹣ 3( 2t ﹣4) =24,去括号得, 8t ﹣ 24﹣6t+12=24 ,移项得, 8t ﹣ 6t=24+24 ﹣ 12,合并同类项得, 2t=36 ,系数化为 1 得,t=18 .四、解答题20.解:解方程,x=10.把 x=10 代入方程 4x﹣( 3a+1) =6x+2a﹣ 1,解得: a=﹣4,∴可得:=.21.解:如:两车同时从甲地出发到乙地,摩托车比运货汽车先到几小时?22.解:( 1)由题意,得 0.4a+ ( 84﹣a)× 0.40 × 70%=30.72,解得 a=60;( 2)设九月份共用电 x 千瓦时,则 0.40 × 60+( x﹣ 60)× 0.40 ×70%=0.36x,解得 x=90,所以 0.36 × 90=32.40 (元).答:九月份共用电90 千瓦时,应交电费32.40 元.马鸣风萧萧初中数学试卷马鸣风萧萧马鸣风萧萧。
一、初一数学一元一次方程解答题压轴题精选(难)1.下列图表是2017 年某校从参加中考体育测试的九年级学生中随机调查的10 名男生跑1000 米和 10 名女生跑 800米的成绩.(1)按规定,女生跑 800 米的时间不超过 3'24"就可以得满分.该校九年级学生有 490 人,男生比女生少 70 人.请你根据上面成绩,估计该校女生中有多少人该项测试成绩得满分? (2)假如男生 1 号和男生 10 号被分在同组测试,请分析他俩在 400 米的环形跑道测试的过程中能否相遇。
若能,求出发多长时间才能相遇;若不能,说明理由.【答案】(1)解:设男生有x人,女生有(x+70)人,由题意得:x+x+70=490,解得:x=210,则女生x+70=210+70=280(人).故女生得满分人数: (人)(2)解:不能;假设经过x分钟后,1号与10号在1000米跑中能首次相遇,根据题意得:解得又∵∴考生1号与10号不能相遇。
【解析】【分析】(1)通过男生、女生的人数关系列出方程,得出女生的人数;(2)根据题意表达出1号跟10号的速度,两位若相遇,相减的路程为400米,得出的时间为4.8, 但是4.8分钟大于3分钟,所以两位在测试过程中不会相遇。
2.如图,已知点A在数轴上对应的数为a,点B对应的数为b,且a、b满足|a+3|+(b﹣2)2=0.(1)求A、B两点的对应的数a、b;(2)点C在数轴上对应的数为x,且x是方程2x+1= x﹣8的解.①求线段BC的长;②在数轴上是否存在点P,使PA+PB=BC?求出点P对应的数;若不存在,说明理由.【答案】(1)解:∵|a+3|+(b﹣2)2=0,∴a+3=0,b﹣2=0,解得,a=﹣3,b=2,即点A表示的数是﹣3,点B表示的数是2 。
(2)解:①2x+1= x﹣8解得x=﹣6,∴BC=2﹣(﹣6)=8即线段BC的长为8;②存在点P,使PA+PB=BC理由如下:设点P的表示的数为m,则|m﹣(﹣3)|+|m﹣2|=8,∴|m+3|+|m﹣2|=8,当m>2时,解得 m=3.5,当﹣3<m<2时,无解当x<﹣3时,解得m=﹣4.5,即点P对应的数是3.5或﹣4.5【解析】【分析】(1)根据绝对值及平方的非负性,几个非负数的和为零则这几个数都为零从而得出解方程组得出a,b的值,从而得出A,B两点表示的数;(2)①解方程2x+1= x﹣8 ,得出x的值,从而得到C点的坐标,根据两点间的距离得出BC的长度;②存在点P,使PA+PB=BC理由如下:设点P的表示的数为m,根据两点间的距离公式列出方程|m﹣(﹣3)|+|m﹣2|=8,然后分类讨论:当m>2时,解得m=3.5,当﹣3<m<2时,无解,当x<﹣3时,解得m=﹣4.5,即点P对应的数是3.5或﹣4.5 。
一元一次方程全章测试(一)
一、填空题
(1)如果4是关于x 的方程3a-5x=3(x+a )+2a 的解,则a=_______。
(2)已知关于y 的方程
834+=-y a y 的解是y=-8,则a
a 12-的值_______。
(3)x=_______时,单项式21231
b a x +与2134b a x --是同类项。
(4)a 是_______时,关于x 的方程01214=+-a x 是一元一次方程。
(5)m 为_______时,2是关于x 的方程)52|(|52142110x m x x -=++-的解。
二、选择题
(1)下列各式中是一元一次方程的为()。
(A )3x-7
(B )x x 112=
- (C )x x =-32
(D )4x-3=2(x+1)
(2)用方程表示“比x 大5的数等于2”的数量关系正确的是()。
(A )2+x=5
(B )x-5=2
(C )x+5=2
(D )5-x=2
(3)下列各组的两个方程的解相同的是()。
(A )3x-2=10与2x-1=3(x+1)
(B )4x-3=2x-1与3(1-x )=0
(C )13
21=-+x x 与3x+1-2x=6 (D )-4x-1=x 与5x=1
(4)下列方程去括号正确的是()。
(A )由2x-3(4-2x )=5得x-12-2x=5
(B )由2x-3(4-2x )=5得2x-12-6x=5
(C )由2x-3(4-2x )=5得2x-12+6x=5
(D )由2x-3(4-2x )=5得2x-3+6x=5
三、解下列方程
(1)
132
-=x x 。
(2)32221+-=--x x x 。
(3)6
222163)3(23--+-=+-
x x x x 。
(4)2
503.002.003.05.05.02.0-=+-+x x x 。
(5)232211)]32(41[31+=----x x x x 。
(6)解关于x 的方程5(x+2a )-a=2(b-2x )+4a
四、解答题
(1)已知x=2时,代数式c x x ++322的值是10,求x=-2时代数式的值。
(2)若|2(x-3)-(3x+4)|=5,求x 的值。
(3)已知0|63|)]3(25[2=++--y x x ,求证:x=y 。
答案与提示
一、
(1)a=-16;(2)a=14,1413195;(3)x=2;(4)2
1=a ;(5)m=±4。
二、(1)D ;(2)C ;(3)B ;(4)C 。
三、(1)5
2=
x ;(2)x=1;(3)916=x ; (4)2363=x ;(5)922-=x ;(6)952a b x -=; 四、(1)-2;(2)x=15或x=-5;(3)略。