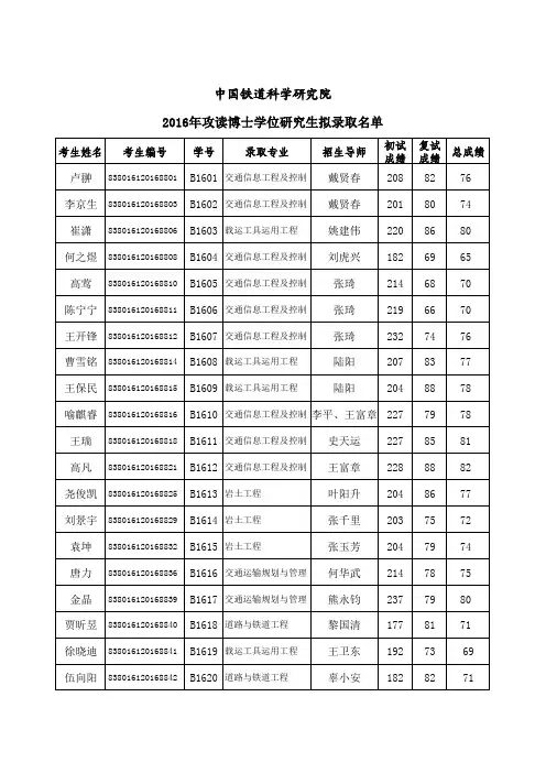
2016年全日制博士研究生拟录取名单pdf
- 格式:pdf
- 大小:89.79 KB
- 文档页数:3
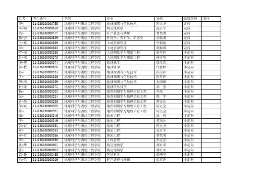
考生编号姓名拟录取专业103196100100101白薇臻比较文学与世界文学103196100100025刘晓兴汉语言文字学103196100100026吕玲娣汉语言文字学103196100100009张伟华文艺学103196100100007位俊达文艺学103196100100137马晓宇戏剧与影视学103196100100117饶莹戏剧与影视学103196100100134刘实戏剧与影视学103196100100157张晓明戏剧与影视学103196100100135罗朗戏剧与影视学103196100100109陈静应用文体学103196100100012耿浦洋语言学及应用语言学103196100100019洪宗海语言学及应用语言学103196100100046孙文周中国古代文学103196100100041李鹤丽中国古代文学103196100100078牛廷顺中国古代文学103196100100079任冬青中国古代文学103196100100067杨闯中国古代文学103196100100064王亚轩中国古代文学103196100100060刘丽萍中国古代文学103196100100052张鹏中国古代文学103196100100049杨宇峰中国古代文学103196100100116吕姝焱中国古代文学103196100100031李学辰中国古典文献学103196100100038姚斓中国古典文献学103196100100032刘超中国古典文献学103196100100098岳争艳中国现当代文学103196100200168张勇丽新闻学103196100200170管佖路新闻学103196100200176史剑辉新闻学103196100300260蔡健高校辅导员专项计划103196100300306梁钦高校辅导员专项计划103196100300347许文婷高校辅导员专项计划103196100300270丁宝龙高校辅导员专项计划103196100300373周进进高校辅导员专项计划103196100300272丁越勉高校辅导员专项计划103196100300261曹崇高校辅导员专项计划103196100300194谢美玉高校思政教师专项计划103196100300193王昌国高校思政教师专项计划103196100300182陈金香高校思政教师专项计划103196100300184夏天静高校思政教师专项计划103196100300218李岩磊科学社会主义与国际共产主义运动103196100300214商亮科学社会主义与国际共产主义运动103196100300215汪家焰科学社会主义与国际共产主义运动103196100300211郑屹扬伦理学103196100300239张灿马克思主义发展史103196100300237武峥马克思主义发展史103196100300226杨荣刚马克思主义基本原理103196100300221黄婷马克思主义基本原理103196100300201张月昕马克思主义哲学103196100300242徐立波马克思主义中国化研究103196100300251许小东思想政治教育103196100300207周希炜外国哲学103196100300204王聪外国哲学103196100400380朱姗姗法律史103196100400398刘旭东法学理论103196100400395汪银涛经济法学103196100400386芮晓峰民商法学103196100400387申昕民商法学103196100400388肖楚钢民商法学103196100400392朱晋峰诉讼法学103196100400381牛涵宪法学与行政法学103196100400382洪锡雷刑法学103196100400399陆晓燕中国法治现代化研究院专项103196100400401印伟中国法治现代化研究院专项103196100400402周恒中国法治现代化研究院专项103196100400404戴建鹏中国法治现代化研究院专项103196100400410郑磊中国法治现代化研究院专项103196100400408王晓强中国法治现代化研究院专项103196100400407侍海艳中国法治现代化研究院专项103196100500411董洪超应用经济学103196100500414曲国明应用经济学103196100500415韦朕韬应用经济学103196100500416徐惟应用经济学103196100500420徐欣应用经济学103196100500421于溪应用经济学103196100500423路璐应用经济学103196100600496马嵘比较教育学103196100600645徐怀念德育学103196100600639刘慧德育学103196100600642滕春燕德育学103196100600595徐浪高等教育学103196100600617赵瑞斌教育技术学103196100600622范文翔教育技术学103196100600608冯友梅教育技术学103196100600634刘冬冬教育领导与管理103196100600755王继元教育领导与管理(教育博士)103196100600748孙杰教育领导与管理(教育博士)103196100600719宫珂教育领导与管理(教育博士)103196100600723何晨玥教育领导与管理(教育博士)103196100600713陈文远教育领导与管理(教育博士)103196100600481董柏林教育史103196100600482郭航教育史103196100600435刘雨教育学原理103196100600446张艳楠教育学原理103196100600428龚伯韬教育学原理103196100600454姜艳课程与教学论103196100600472严卿课程与教学论103196100600465薛辉课程与教学论103196100600478宋怡课程与教学论103196100600651黄燕美育学103196100600590赵奇学前教育学103196100600542彭丹学前教育学103196100600524李锋学前教育学103196100600580臧蓓蕾学前教育学103196100600526李静学前教育学103196100600568徐程学前教育学103196100600695滕辉学生发展与教育(教育博士)103196100600662蔡菡学校课程与教学(教育博士)103196100600682梅培军学校课程与教学(教育博士)103196100600601王洁职业技术教育学103196100600606沈雪萍职业技术教育学103196100700831黄莹莹俄语语言文学103196100700838王新朋外国语言学及应用语言学103196100700836黄璐外国语言学及应用语言学103196100700832毕井凌外国语言学及应用语言学103196100700835范瑜外国语言学及应用语言学103196100700821徐丹英语语言文学103196100700787陈丽娟英语语言文学103196100700797李家銮英语语言文学103196100700805刘雪丽英语语言文学103196100700811汪文君英语语言文学103196100800840金安妮考古学103196100800841陈瑾瑜考古学103196100800844何志文中国史103196100800856汲梦喆中国史103196100800848刘鹏中国史103196100800868肖璐娜中国史103196100800853冯明铭中国史103196100900889王玉杰数学103196100900879蒋沈庆数学103196100900878黄萍数学103196100900884宋明亮数学103196100900891席敏数学103196100900880刘盎然数学103196100900893闫利君数学103196100900874崔进数学103196100900895郑奇莲数学103196100900887王景群数学103196100900901张彩斌统计学103196101000905余海群物理电子学103196101000906曹玉蓉物理电子学103196101000904陆华丽物理电子学103196101100915李季化学103196101100924朱炜化学103196101100919王军宁化学103196101100922吴建祥化学103196101100913黄鑫化学103196101200927谢佳动物学103196101200944杜宇生态学103196101200947朱艳军生态学103196101200941毕潇文生物化学与分子生物学103196101200942高伟生物化学与分子生物学103196101200930文鑫水生生物学103196101200929王小军水生生物学103196101200931康利琴微生物学103196101200934赵宁微生物学103196101200932王燕霞微生物学103196101200937李卫东细胞生物学103196101200938刘健细胞生物学103196101200936华科细胞生物学103196101200935韩晨露细胞生物学103196101200925李前前植物学103196101301021郭辉地理环境遥感103196101301022牟蒙地理环境遥感103196101300997施歌地图学与地理信息系统103196101301007叶鹏地图学与地理信息系统103196101301010张海平地图学与地理信息系统103196101301005杨群涛地图学与地理信息系统103196101301006杨先武地图学与地理信息系统103196101300992侯曼青地图学与地理信息系统103196101300998时光训地图学与地理信息系统103196101300999万凌峰地图学与地理信息系统103196101300989陈鹏地图学与地理信息系统103196101301020郝煜海洋地理学103196101301014马杰环境地理学103196101301011戴凌骏环境地理学103196101301018段伦超环境地理学103196101300983袁源人文地理学103196101300986张惠人文地理学103196101300970刘玮辰人文地理学103196101300973吕丽人文地理学103196101300968李涛人文地理学103196101300949顾洪亮自然地理学103196101300956许小娟自然地理学103196101300962马晓华自然地理学103196101300951王忠蕾自然地理学103196101300952肖荣洋自然地理学103196101401038温跃强音乐与舞蹈学103196101401049王喆音乐与舞蹈学103196101401028李娜音乐与舞蹈学103196101501086孙正体育教育训练学103196101501060董鹏体育人文社会学103196101501056王洪兵体育人文社会学103196101501074刘路体育人文社会学103196101601106蒉华芬美术学103196101601143魏骏瑶美术学103196101601153张学而美术学103196101601144翁宜汐美术学103196101601126任诺轩美术学103196101601123宁瑶美术学103196101601119刘品美术学103196102101161石飞对外汉语教学103196102101169杨永生对外汉语教学103196102301192陈洪岩发展与教育心理学103196102301185王振东基础心理学103196102301181石荣基础心理学103196102301174张磊基础心理学103196102301190刘庆明基础心理学103196102301202黄宇箭应用心理学。
华中师范⼤学2016年化学学院博⼠研究⽣招⽣拟录取名单公⽰
华中师范⼤学2016年化学学院博⼠研究⽣招⽣拟录取名单公⽰朱莉化学学院⽆机化学普通招考
李享化学学院⽆机化学硕博连读
蔡⼩丽化学学院分析化学硕博连读
张娟化学学院分析化学硕博连读
余晓叶化学学院有机化学硕博连读
夏庆丰化学学院有机化学普通招考
杜晶晶化学学院有机化学硕博连读
朱飞化学学院有机化学硕博连读
刘⽂倩化学学院有机化学普通招考
张明星化学学院有机化学硕博连读
魏怡化学学院有机化学硕博连读
徐志强化学学院有机化学硕博连读
汪淼化学学院有机化学硕博连读
徐程化学学院有机化学硕博连读
周泉泉化学学院有机化学硕博连读
刘以银化学学院有机化学硕博连读
卫增峰化学学院有机化学硕博连读
卓林胜化学学院有机化学硕博连读
杨琼化学学院有机化学硕博连读
全凤娇化学学院物理化学硕博连读黄运远化学学院物理化学硕博连读王⼩兵化学学院物理化学申请---考核胡⽉化学学院物理化学申请---考核⽑成梁化学学院物理化学硕博连读孔晗晗化学学院农药学硕博连读吴丰旭化学学院农药学硕博连读冯江涛化学学院农药学硕博连读杨景芳化学学院农药学硕博连读李建龙化学学院农药学申请---考核
⽂章来源:⽂彦考研旗下华中师范⼤学考研⽹。
机械学院2016年硕博连读和工程博士复试信息及拟录名单公示
根据《2016年机械学院硕博连读及硕博生申请博士资格考试(复试)工作安排》和《机械学院2016年工程博士专业学位研究生考试工作细则》,现对《机械学院2016年硕博连读及硕博生复试信息及拟录名单》和《机械学院2016年工程博士复试信息及拟录名单》进行公示,公示期10个工作日。
如有疑议,请提交书面报告至机械学院研究生科(邮箱:jxyjs@,地址:华中科技大学主校区先进制造大楼东楼A306)
请拟录取的硕博连读生和硕博生于5月18日上午8:30以后到先进制造大楼东楼B302签录取协议和奖学金协议并交网报报名费155元(支付宝和现金均可)。
所签协议公示期结束无疑议后生效。
机械学院
2016年5月17日附件:
1、机械学院2016年硕博连读及硕博生复试信息及拟录名单
2、机械学院2016年工程博士复试信息及拟录名单。
2016年硕博连读和申请考核攻读博士学位研究生拟录取名单公示学院(部)姓名录取专业名称录取类别招生导师备注材料与化学化工学部丁轶高分子化学与物理非定向蔡远利硕博连读材料与化学化工学部许健物理化学非定向曾小庆硕博连读材料与化学化工学部杜慧高分子化学与物理非定向陈红硕博连读材料与化学化工学部刘琦高分子化学与物理非定向陈红硕博连读材料与化学化工学部储言信分析化学非定向邓安平硕博连读材料与化学化工学部王锦分析化学非定向杜玉扣硕博连读材料与化学化工学部张应无机化学非定向黄小青硕博连读材料与化学化工学部方毅有机化学非定向纪顺俊硕博连读材料与化学化工学部韩静瑜无机化学非定向贾定先硕博连读材料与化学化工学部李飞龙无机化学非定向郎建平硕博连读材料与化学化工学部史意祥无机化学非定向郎建平硕博连读材料与化学化工学部张梦娟无机化学非定向李红喜硕博连读材料与化学化工学部曹天天应用化学非定向李永舫硕博连读材料与化学化工学部宿文燕高分子化学与物理非定向李永舫申请考核材料与化学化工学部许桂英高分子化学与物理非定向李永舫硕博连读材料与化学化工学部张又豪材料学非定向梁国正申请考核材料与化学化工学部胡俊蝶应用化学非定向路建美硕博连读材料与化学化工学部李院院应用化学非定向路建美申请考核材料与化学化工学部顾晓雷高分子化学与物理非定向孟凤华硕博连读材料与化学化工学部周阳材料学非定向孙洪涛硕博连读材料与化学化工学部李志凯高分子化学与物理非定向屠迎锋硕博连读材料与化学化工学部李辉煌有机化学非定向万小兵硕博连读材料与化学化工学部张俊琦有机化学非定向王兴旺硕博连读材料与化学化工学部胡丹丹无机化学非定向吴涛硕博连读材料与化学化工学部许鹏飞有机化学非定向徐信硕博连读材料与化学化工学部李奇材料学非定向严锋、徐冬梅申请考核材料与化学化工学部韦婷高分子化学与物理非定向袁琳硕博连读材料与化学化工学部殷露高分子化学与物理非定向张伟硕博连读材料与化学化工学部张亚飞高分子化学与物理非定向张正彪、周年琛硕博连读材料与化学化工学部邓瑶瑶应用化学非定向赵优良硕博连读材料与化学化工学部韩雄奇高分子化学与物理非定向钟志远申请考核材料与化学化工学部安晓伟高分子化学与物理非定向朱健硕博连读材料与化学化工学部侯进乐无机化学非定向朱琴玉硕博连读材料与化学化工学部黄智豪高分子化学与物理非定向朱秀林申请考核电子信息学院俞凯信号与信息处理非定向陈新建硕博连读电子信息学院樊波信号与信息处理非定向郭述文硕博连读东吴商学院顾嵩楠金融学非定向万解秋硕博连读纺织与服装工程学院汤松松纺织化学与染整工程非定向陈国强硕博连读纺织与服装工程学院张旭靖服装设计与工程非定向陈雁硕博连读纺织与服装工程学院张兆发纺织工程非定向陈宇岳硕博连读纺织与服装工程学院张松楠纺织工程非定向赖越坤硕博连读纺织与服装工程学院闫涛纺织材料与纺织品设计非定向潘志娟硕博连读纺织与服装工程学院胡小燕服装设计与工程非定向许星硕博连读纺织与服装工程学院程献伟纺织材料与纺织品设计非定向杨旭红硕博连读纺织与服装工程学院李青松纺织工程非定向张克勤硕博连读附儿院李丽丽儿科学非定向倪宏硕博连读附二院林苏滨骨外科学非定向董启榕硕博连读功能纳米与软物质学院王玉生物理学非定向鲍桥梁硕博连读功能纳米与软物质学院张俊杰材料科学与工程非定向迟力峰硕博连读功能纳米与软物质学院仲启刚物理学非定向迟力峰硕博连读功能纳米与软物质学院刘向阳化学非定向樊健硕博连读功能纳米与软物质学院周俊贵物理学非定向冯敏强硕博连读功能纳米与软物质学院宋斌化学非定向何耀硕博连读功能纳米与软物质学院梁文凯材料科学与工程非定向江林硕博连读功能纳米与软物质学院毛杰材料科学与工程非定向揭建胜硕博连读功能纳米与软物质学院朱成材料科学与工程非定向康振辉硕博连读功能纳米与软物质学院杨双瑗材料科学与工程非定向李述汤申请考核功能纳米与软物质学院龚秋芳材料科学与工程非定向李彦光硕博连读功能纳米与软物质学院纪玉金材料科学与工程非定向李有勇硕博连读功能纳米与软物质学院胡云物理学非定向廖良生硕博连读功能纳米与软物质学院卓明鹏材料科学与工程非定向廖良生申请考核功能纳米与软物质学院梁超化学非定向刘庄硕博连读功能纳米与软物质学院田龙龙化学非定向刘庄申请考核功能纳米与软物质学院邬赟羚化学非定向陆广硕博连读功能纳米与软物质学院刘良斌材料科学与工程非定向邵名望硕博连读功能纳米与软物质学院刘玉强材料科学与工程非定向孙宝全硕博连读功能纳米与软物质学院夏雨健化学非定向孙旭辉硕博连读功能纳米与软物质学院仲亚楠物理学非定向王穗东硕博连读功能纳米与软物质学院李永娟化学非定向殷黎晨硕博连读功能纳米与软物质学院陈磊材料科学与工程非定向张桥硕博连读功能纳米与软物质学院王金文材料科学与工程非定向张晓宏申请考核功能纳米与软物质学院徐秀真材料科学与工程非定向张晓宏硕博连读机电工程学院陆小龙激光制造工程非定向陈瑶硕博连读计算机科学与技术学院李小燕计算机科学与技术非定向樊建席申请考核计算机科学与技术学院王晶晶计算机科学与技术非定向周国栋硕博连读教育学院徐悦高等教育学非定向段锦云硕博连读金融工程研究中心裴梓婷金融工程非定向岳兴业硕博连读社会学院李欣栩中国史非定向池子华硕博连读数学科学学院臧运涛应用数学非定向曹永罗硕博连读数学科学学院王瑾应用数学非定向马欣荣硕博连读数学科学学院何玉龙基础数学非定向沈玉良硕博连读数学科学学院刘宇应用数学非定向杨凌硕博连读体育学院刘广飞体育学非定向王家宏硕博连读外国语学院卜杭宾英语语言文学非定向王腊宝硕博连读文学院徐瑛中国古代文学非定向马亚中硕博连读物理与光电能源学部梁春豪光学非定向蔡阳健硕博连读物理与光电能源学部余佳益光学非定向蔡阳健硕博连读物理与光电能源学部吴尚亮光学工程非定向陈林森硕博连读物理与光电能源学部马普娟光学工程非定向高雷硕博连读物理与光电能源学部李平凝聚态物理非定向龚昌德申请考核物理与光电能源学部杨玉婷光学非定向杭志宏硕博连读物理与光电能源学部褚宏晨光学非定向赖耘硕博连读物理与光电能源学部曹风人凝聚态物理非定向李亮硕博连读物理与光电能源学部武芳丽凝聚态物理非定向李亮硕博连读物理与光电能源学部曹国洋光学工程非定向李孝峰硕博连读物理与光电能源学部江小蔚新能源科学与工程非定向刘忠范申请考核物理与光电能源学部宋英泽新能源科学与工程非定向刘忠范申请考核物理与光电能源学部王静新能源科学与工程非定向刘忠范申请考核物理与光电能源学部王超软凝聚态物理非定向马余强申请考核物理与光电能源学部范荣磊凝聚态物理非定向沈明荣硕博连读物理与光电能源学部潘俏光学工程非定向沈为民硕博连读物理与光电能源学部周娇娇凝聚态物理非定向王雪峰硕博连读物理与光电能源学部苏衍峰光学工程非定向吴建宏硕博连读物理与光电能源学部胡一波等离子体物理非定向吴雪梅硕博连读物理与光电能源学部刘杰新能源科学与工程非定向晏成林硕博连读物理与光电能源学部曹学成新能源科学与工程非定向杨瑞枝硕博连读物理与光电能源学部柯凯光学工程非定向袁孝硕博连读物理与光电能源学部陈源新能源科学与工程非定向邹贵付申请考核系统生物学研究中心林宇鑫医学系统生物学非定向沈百荣硕博连读医学部尹雪苗无机化学非定向柴之芳硕博连读医学部何培流行病与卫生统计学非定向邓飞燕硕博连读医学部朱敏药理学非定向贡成良硕博连读医学部朱登文医学细胞与分子生物学非定向何苏丹硕博连读医学部钱骏高分子化学与物理非定向华道本硕博连读医学部孙俊杰医学神经生物学非定向华益民硕博连读医学部徐艳敏病理学与病理生理学非定向李建明申请考核医学部卞刚免疫学非定向李云森硕博连读医学部韩涵医学细胞与分子生物学非定向龙乔明硕博连读医学部杨敏免疫学非定向卢斌峰硕博连读医学部任莹药理学非定向毛新良硕博连读医学部张诗超药剂学非定向缪丽燕硕博连读医学部曹婷药理学非定向彭天庆硕博连读医学部房建凯病理学与病理生理学非定向时玉舫硕博连读医学部郝宗兵药理学非定向王光辉硕博连读医学部檀小辉免疫学非定向王晗申请考核医学部方艺璇医学细胞与分子生物学非定向王建荣硕博连读医学部马燕军微生物与生化药学非定向王剑文硕博连读医学部刘伟应用化学非定向王殳凹硕博连读医学部徐琳无机化学非定向王祥科硕博连读医学部王婷免疫学非定向王宜强硕博连读医学部郑娜娜医学细胞与分子生物学非定向王志伟硕博连读医学部王丽娜医学细胞与分子生物学非定向吴庆宇硕博连读医学部张唯免疫学非定向熊思东硕博连读医学部邱剑丰医学细胞与分子生物学非定向徐世清硕博连读医学部杨杰免疫学非定向徐薇硕博连读医学部朱浩医学神经生物学非定向徐兴顺申请考核医学部张陶医学细胞与分子生物学非定向徐璎硕博连读医学部童新医学细胞与分子生物学非定向张洪涛硕博连读医学部卢俊厚医学细胞与分子生物学非定向张焕相硕博连读医学部汪琴免疫学非定向张惠敏硕博连读医学部张鹤耀医学细胞与分子生物学非定向张文胜硕博连读医学部杨舒迪药剂学非定向张学农硕博连读医学部欧阳艺兰药物分析学非定向张真庆硕博连读医学部韩朝军药理学非定向镇学初硕博连读医学部刘锦免疫学非定向郑慧硕博连读医学部高亮免疫学非定向周芳芳硕博连读医学部张滨病理学与病理生理学非定向周泉生硕博连读医学部尹秀华放射医学非定向周如鸿申请考核医学部李芳医学细胞与分子生物学非定向周翊峰硕博连读政治与公共管理学院张丽霞马克思主义哲学非定向任平申请考核政治与公共管理学院吉启卫马克思主义基本原理非定向田芝健硕博连读政治与公共管理学院江亚洲政治学理论非定向王卓君硕博连读政治与公共管理学院吴海南政治学理论非定向张劲松申请考核政治与公共管理学院陈冶风马克思主义基本原理非定向朱炳元申请考核。