导数的运算专项练习(含答案)
- 格式:docx
- 大小:387.72 KB
- 文档页数:15
导数的计算练习题及答案1. 计算函数f(x) = 3x^2 - 4x + 2的导数f'(x)。
解答:根据函数f(x) = 3x^2 - 4x + 2,使用导数的定义来计算导数f'(x)。
f'(x) = lim(delta x -> 0) (f(x + delta x) - f(x)) / delta x代入函数f(x)的表达式:f'(x) = lim(delta x -> 0) [(3(x + delta x)^2 - 4(x + delta x) + 2) -(3x^2 - 4x + 2)] / delta x化简并展开:f'(x) = lim(delta x -> 0) [3(x^2 + 2x * delta x + (delta x)^2) - 4x - 4 * delta x + 2 - 3x^2 + 4x - 2] / delta xf'(x) = lim(delta x -> 0) [3x^2 + 6x * delta x + 3(delta x)^2 - 4x - 4* delta x + 2 - 3x^2 + 4x - 2] / delta xf'(x) = lim(delta x -> 0) [6x * delta x + 3(delta x)^2 - 4 * delta x] / delta xf'(x) = lim(delta x -> 0) [6x + 3 * delta x - 4]由于求导数时delta x趋近于0,所以delta x也可以看作一个无穷小量,其平方项可以忽略不计,即delta x^2 = 0。
化简结果:f'(x) = 6x - 4所以函数f(x) = 3x^2 - 4x + 2的导数f'(x)为6x - 4。
2. 计算函数g(x) = 2sin(x) + 3cos(x)的导数g'(x)。
导数的运算一、单选题(共33题;共66分)′(x)是函数f(x)=x3+2x+1的导函数,则f′(-1)的值为()A. 0B.3 C.4 D. -2.函数的导数为()A. B.C. D.3.设函数,若,则等于()A. B.C.D.4.设则等于( )A. B.C. D.5.已知函数的导函数,且满足,则=( )A.B.C. 1D.6.已知函数的导函数为,且,则()A. 2B. 3C. 4D. 57.下列求导运算的正确是()A. 为常数B. C. D.8.已知函数的值为()A.B. C .D.9.下列求导运算正确的是()A. B.C. D.10.已知函数f(x)=sinx-cosx,则f'()=()A. B.C. D .11.若函数f(x)=2+xcos2x,则f'(x)=()A. cos 2x-xsin 2xB. x-sin2x C. 1-2sin2x D. cos2x-2sin2x12.函数的导数为()A. =2B. =C. =2D.=13.设函数的导函数为,且,则=( )A. 0B.-4 C. -2 D. 2 14.设,若,则()C.D.15.已知函数,则其导数()A. B.C.D.16.若函数,则的值为()A. 0 B . 2 C.1 D.-117.已知函数,且,则的值为()A. B.C.D.18.已知函数,为的导函数,则的值为()A.B.C.D.19.下列求导运算正确的是()A. B.C. D.20.已知函数的导函数为,且满足,则()A. B . C.21.若,则函数的导函数()A. B.C. D.22.函数的导数为()A. B.C.D.23.下列导数式子正确的是()A. B.C. D.24.已知,则等于()A. -2B. 0C. 2D. 425.已知函数,则()A. B.C.D.26.已知,则()A.B.C.D.27.设,,则x0=( )A. e2B.e C.D. ln 228.下列求导数运算正确的是()A. B.C. D.29.若f(x)=x2-2x-4ln x,则f′(x)>0的解集为()A. (0,+∞)B. (-1,0)∪(2,+∞) C. (-1,0) D. (2,+∞)30.下列求导运算正确的是( )A. B. C.D.31.已知,则( )A. B.C.D. 以上都不正确32.设f(x)=xln x,若f′(x0)=2,则x0等于( )A. e2B.e C.D. ln 233.下列导数运算正确的是()A. B.C. D.二、填空题(共11题;共11分)34.已知函数的导函数为,若,则的值为________.35.若函数,则的值为________.36.已知,则________.37.若函数,则________.38.已知函数,则________.39.已知函数,是的导函数,则________.40.若f(x)=x3,f′(x0)=3,则x0的值为________.41.已知在上可导,,则________.42.已知函数的导函数为,且,则________.43.已知f(x)=2x+3xf′(0),则f′(1)=________.44.已知函数f(x)=2e x﹣x的导数为,则的值是________.三、解答题(共6题;共60分)45.求下列函数的导函数.①②③④⑤⑥46.求下列函数的导函数①②③④⑤⑥47.求下列函数的导数:(1);(2).48.求下列函数的导数:(1);(2);(3);(4).49.求下列函数的导数.(1);(2).50.求下列函数的导数.(1)y=3x2+xcos x;(2)y=lgx-;答案解析部分一、单选题1.【答案】 B【考点】导数的运算【解析】【解答】解:因为,则,所以,故答案为:B.【分析】先由函数,求得导函数,再求即可得解.2.【答案】 D【考点】导数的运算【解析】【解答】因为,则函数的导函数,故答案为:D.【分析】先根据完全平方公式对展开,再运用常见初等函数的求导公式和求导运算法则可求解.3.【答案】 D【考点】导数的运算【解析】【解答】,,,解得,故答案为:D,【分析】对函数求导,再由可求出实数的值.4.【答案】 D【考点】导数的运算【解析】【解答】由,得.故答案为:D.【分析】由已知利用导数的运算性质进行计算,即可得结果.5.【答案】 B【考点】导数的运算【解析】【解答】对函数进行求导,得把代入得,直接可求得。
求导练习题带答案求导是微积分中的一项基本技能,它可以帮助我们理解函数的变化率以及找到函数的极值点。
以下是一些求导的练习题及其答案,适合初学者练习。
练习题1:求函数 f(x) = x^3 的导数。
解:根据幂函数的求导法则,对于函数 f(x) = x^n,其导数为 f'(x) = n * x^(n-1)。
因此,对于 f(x) = x^3,我们有 f'(x) = 3 *x^(3-1) = 3x^2。
练习题2:求函数 g(x) = sin(x) 的导数。
解:根据三角函数的求导法则,sin(x) 的导数是 cos(x)。
所以,g'(x) = cos(x)。
练习题3:求函数 h(x) = 2x^2 + 3x - 1 的导数。
解:根据多项式的求导法则,我们可以分别对每一项求导,然后将结果相加。
对于 h(x) = 2x^2 + 3x - 1,我们有 h'(x) = 2 * 2x^(2-1) + 3 * 1x^(1-1) - 0 = 4x + 3。
练习题4:求函数 k(x) = (x^2 - 1)^3 的导数。
解:这里我们使用链式法则和幂函数的求导法则。
首先,设 u = x^2- 1,那么 k(x) = u^3。
u 的导数是 u' = 2x,而 u^3 的导数是3u^2。
应用链式法则,我们得到 k'(x) = 3u^2 * u' = 3(x^2 - 1)^2 * 2x = 6x(x^2 - 1)。
练习题5:求函数 m(x) = e^x 的导数。
解:根据指数函数的求导法则,e^x 的导数是它自身。
所以,m'(x) = e^x。
练习题6:求函数 n(x) = ln(x) 的导数。
解:自然对数函数 ln(x) 的导数是 1/x。
因此,n'(x) = 1/x。
练习题7:求函数 p(x) = (3x - 2)^5 的导数。
解:使用链式法则和幂函数的求导法则。
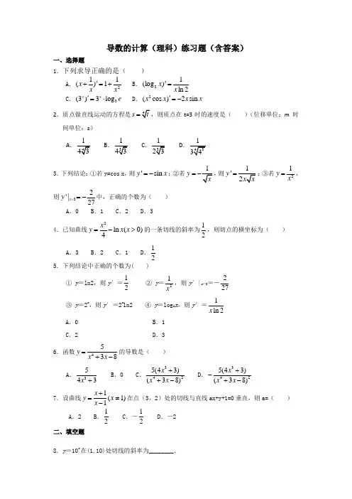
导数的计算(理科)练习题(含答案)一、选择题1.下列求导正确的是( )A .211)1(xx x +='+ B .2ln 1)(log 2x x =' C .3(3)3log x x e '=⋅ D .2(cos )2sin x x x x '=-2.质点做直线运动的方程是s =,则质点在t=3时的速度是( )(位移单位:m 时间单位:s )AB C D3.下列结论:①若y=cos x ,则'sin y x =-;②若y=,则'y =;③若21y x =,则32'|27x y ==-中,正确的个数为( ) A .0 B .1 C .2 D .34.已知曲线2ln (0)4x y x x =->的一条切线的斜率为12,则切点的横坐标为( ) A .3 B .2 C .1 D .125.下列结论中正确的个数为( )① y =ln2,则y ′=12 ② y =21x ,则y ′|x =3=-227 ③ y =2x ,则y ′=2x ln2 ④ y =log 2x ,则y ′=1ln 2x A .0B .1C .2D .3 6.函数4538y x x =+-的导数是( ) A .3543x + B .0 C .3425(43)(38)x x x ++- D .3425(43)(38)x x x +-+- 7.设曲线1(1)1x y x x +=≠-在点(3,2)处的切线与直线ax+y+1=0垂直,则a=( ) A .2 B .12 C .―12D .―2 二、填空题8.y =10x 在(1,10)处切线的斜率为________.9.曲线y=sin x 在点,12π⎛⎫⎪⎝⎭处的切线方程为________。
10.在曲线y =24x上求一点P ,使得曲线在该点处的切线的倾斜角为135°,则P 点坐标为________.11. 在平面直角坐标系xOy 中,点P 在曲线C :y=x 3―10x+3上,且在第二象限内,已知曲线C 在点P 处的切线的斜率为2,则点P 的坐标为________。
导数的运算专题含答案学校:__________ 班级:__________ 姓名:__________ 考号:__________1. 已知函数f(x)=x3−f′(1)x2+2,则f(2)=()A.−2B.1C.6D.142. 已知函数f(x)=x2+ln x,则f′(1)=()A.3B.4C.1D.73. 下列求导运算不正确的是()A.(x2)′=2xB.(e x+ln3)′=e x+13C.(3x)′=3x ln3D.(sin x)′=cos x4. 若函数f(x)=x2+sin x,则f′(0)=()A.−1B.0C.1D.35. 某运动物体的位移s(单位:米)关于时间t(单位:秒)的函数关系式为s=2t2−1,则该物体在t=1秒时的瞬时速度为()A.1米/秒B.2米/秒C.3米/秒D.4米/秒6. 已知函数f(x)=sin(2x−π6),则f′(π6)=( )A.1 2B.1C.√3D.√327. 函数f(x)=x3−2x2−3的导数( )A.f′(x)=3x2−4xB.f′(x)=3x2−4x−3C.f′(x)=3x2−2xD.f′(x)=3x2−2x−38. 记函数f(x)的导函数为f′(x).若f(x)=e x sin x,则f′(0)=( )A.1B.0C.−1D.29. 记函数f(x)的导函数为f′(x).若f(x)=e x sin2x,则f′(0)=()A.2B.1C.0D.−110. 已知函数f(x)的导函数为f′(x),且满足f(x)=2xf′(e)+ln x(其中e为自然对数的底数),则f′(e)=()A.eB.−1C.−e−1D.−e11. 已知f(x)为二次函数,且f(x)=x2+f′(x)−1,则f(x)=( )A.x2−2x+1B.x2+2x+1C.2x2−2x+1D.2x2+2x−112. 若函数f(x)=ax4+bx2+c满足f′(1)=2,则f′(−1)=()A.−1B.−2C.2D.013. 已知函数f(x)的导函数为f′(x),且满足f(x)=2xf′(1)+ln x,则f′(1)=()A.−1B.−12C.1D.e14. 已知函数f(x)=ax−bx2+c(a≠0)是定义在R上的奇函数,x=1是f(x)的一个极大值点,且f(1)=1,则f(x)=()A.2x x2+1B.3xx2+2C.−xx2−2D.2x−1x215. 已知函数f(x)=x2+2x−xe x,则f′(0)=()A.1B.0C.−1D.216. 设y=e3,则y′=()A.3e2B.0C.e2D.e317. 已知函数y=f(x)的导函数为f′(x),且满足f(x)=2xf′(1)+ln x,则曲线在点P(1,f(1))处的切线的斜率等于()A.−eB.−1C.1D.e18. f(x)=x2+2xf′(1),则f′(1)=________.19. 设函数f(x)=x3+ax+3,f′(1)=5,则实数a=________.20. 写出导函数是f′(x)=x+1x的一个函数为________.(答案不唯一,写出一个即可)21. 若f(x)=xe x,则f′(1)=________.22. 已知函数f(x)=ln x+x2f′(a),且f(1)=−1,则实数a等于________.23. 设函数f(x)的导函数为f′(x),且f(x)=x2+2xf′(2),则f′(1)=________.24. 设函数f(x)在(0,+∞)内可导,且f(e x)=x+e x,则f′(e)=________.25. 对于三次函数f(x)=ax3+bx2+cx+d(a≠0),定义:设f′′(x)是函数y=f(x)的导数y=f′(x)的导数,若方程f′′(x)=0有实数解x0,则称点(x0,f(x0))为函数y=f(x)的“拐点”.有同学发现“任何一个三次函数都有拐点,任何一个三次函数都有对称中心,且拐点就是对称中心”根据这一结论,请你写出函数f(x)=x3−32x2+3x−14的对称中心,应是________;并计算f(12021)+f(22021)+f(32021)+⋯+f(20202021)=________.26. 已知函数y=x ln x.(1)求这个函数的导数;(2)求这个函数的图像在点x=e处的切线方程.27. 已知函数f(x)=ln xx.(1)求函数f(x)导数;(2)求函数f(x)的单调区间.28. 求下列函数的导数:(Ⅰ)y=x4−3x2−5x+6;(Ⅱ)y=x3e x.29. 求下列函数的导函数.(1)y=e x cos x;(2)y=+ln x.30. 求下列函数的导数:(1)y=sin x−x+1;(2)y=−2e x⋅x3;(3)y=ln xx+1−2x.31. 已知函数且,. (1)求,的值;(2)求的值.32. 已知函数f(x)=f′(0)e x+x2−(f(0)−1)x.(1)求函数f(x)的解析式;(2)若函数g(x)=f(x)−mx在[1,2]上单调递增,求m的取值范围.33. 求下列函数的导数:(1)y=x(x−1x2);(2)y=e x−2x;(3)y=x2(ln x+sin x).34. 已知函数f(x)=13x3+a2x2+bx,其导函数y=f′(x)的图像经过点(0,0),(2,0).(1)求a,b的值;(2)求函数g(x)=f(x)+1在区间[−3,3]上的最值.35. 已知函数f(x)=x2+bx+ce x(e为自然对数的底数),f′(x)为f(x)的导函数,且f′(1)=0.(1)求实数c的值;(2)若函数f(x)在x=0处的切线经过点(−1,0),求函数f(x)的极值;(3)若关于x的不等式f(x)≤2对于任意的x∈[0,2]恒成立,求实数b的取值范围.36. 已知函数f(x)=ax3+x2+bx(其中常数a,b∈R),g(x)=f(x)+f′(x)是奇函数.(1)求a,b的值;(2)求g(x)在区间[1,2]上的最大值与最小值.37. 已知函数f(x)=12x2+cos x,f′(x)为f(x)的导函数.(1)求函数f(x)的极值;(2)设函数g(x)=(x 22−x+sin x+cos x2)e x−a(16x3+sin x−x),a∈R,讨论g(x)的单调性;(3)当x≥0时,f′(x)≤e x+bx−1,求实数b的取值范围.参考答案与试题解析导数的运算专题含答案一、选择题(本题共计 17 小题,每题 3 分,共计51分)1.【答案】C【考点】导数的运算函数的求值【解析】求导,代入x=1,求得f′(0),然后将x=2代入原函数求得函数值.【解答】解:f′(x)=3x2−2f′(1)x,则f′(1)=3−2f′(1)⇒f′(1)=1,则f(x)=x3−x2+2,f(2)=23−22+2=6.故选C.2.【答案】A【考点】导数的运算【解析】求导,将x=1代入导函数中即可.【解答】解:函数f(x)=x2+ln x,∴f′(x)=2x+1,x则f′(1)=2+1=3.故选A.3.【答案】B【考点】导数的运算【解析】根据基本函数的导函数公式对选项进行逐一求解,注意常数的导数为0,即可判定.【解答】解:(x2)′=2x,(e x+ln3)′=e x,(3x)′=3x ln3,(sin x)′=cos x,故选项B错误,故选B.4.【答案】C【考点】【解析】利用导数的运算求解即可.【解答】解:f(x)=x2+sin x,∴f′(x)=2x2+cos x,∴f′(0)=0+cos0=1.故选C.5.【答案】D【考点】变化的快慢与变化率导数的运算【解析】根据瞬时速度与导数的关系,先对s求导,再把t=1代入s′进行运算即可得解. 【解答】解:∵s=2t2−1,∴s′=4t,当t=1时,s′=4×1=4.故选D.6.【答案】C【考点】导数的运算【解析】先由复合函数的求导公式求出f′(x),再把x=π6代入计算.【解答】解:∵函数f(x)=sin(2x−π6),则f′(x)=[sin(2x−π6)]′⋅(2x−π6)′=2cos(2x−π6),所以f′(π6)=2cos(2×π6−π6)=2cosπ6=√3.故选C.7.【答案】A【考点】导数的运算【解析】利用导数运算法则,直接计算即可.【解答】解:根据题意得f′(x)=(x3−2x2−3)′=3x2−4x.8.【答案】A【考点】导数的运算【解析】先求导,再代入即可.【解答】解:f(x)=e x sin x,所以f′(x)=e x sin x+e x cos x则f′(0)=e0sin0+e0cos0=1 .故选A.9.【答案】A【考点】简单复合函数的导数导数的运算【解析】可求出导函数f(x),然后将x换上0即可求出f(0)的值.【解答】解:∵f(x)=e x sin2x,∴f′(x)=e x sin2x+2e x cos2x=e x(sin2x+2cos2x),∴f′(0)=e0(sin0+2cos0)=2.故选A.10.【答案】C【考点】导数的运算【解析】此题暂无解析【解答】,解:求导得:f′(x)=2f′(e)+1x把x=e代入得:f′(e)=e−1+2f′(e),解得:f′(e)=−e−1.故选C.11.【答案】B【考点】函数解析式的求解及常用方法导数的运算利用待定系数法,即可得出解析式.【解答】解:设f(x)=ax2+bx+c,(a≠0),则f′(x)=2ax+b,由题意得,ax2+bx+c=x2+2ax+b−1,则有{a=1,b=2a,c=b−1,解得{a=1,b=2,c=1,故f(x)=x2+2x+1.故选B.12.【答案】B【考点】导数的运算【解析】根据导数的运算法则先求导,问题得以解决【解答】解:∵f(x)=ax4+bx2+c,∴f′(x)=4ax3+2bx,∴f′(−x)=−4ax3−2bx=−f′(x),∴f′(−1)=−f′(1)=−2.故选B.13.【答案】A【考点】导数的运算【解析】此题暂无解析【解答】解:∵f(x)=2xf′(1)+ln x,求导得:f′(x)=2f′(1)+1x,令x=1,得到f′(1)=2f′(1)+1,解得:f′(1)=−1.故选A.14.【答案】A【考点】函数奇偶性的性质函数恒成立问题利用导数研究函数的极值导数的运算【解析】利用奇偶性以及极值关系列出关系式求解参数即可【解答】解:∵ f (1)=1且f (x )为奇函数,∴ f (−1)=−1,代入{a−b 1+c =1,−a−b 1+c =−1,∴ b =0, ∵ f (x )=ax −b x 2+c ⇒f ′(x )=a (c−x 2)(x 2+c )2, ∵ x =1是极大值点,∴ f ′(1)=0⇒⇒a (c−12)(1+c )2=0,∵ a ≠0,∴ c −1=0解得c =1,∴ a−01+1=1⇒a =2,∴ f (x )=2x x 2+1.故选A .15.【答案】A【考点】导数的运算【解析】无【解答】解:∵ f(x)=x 2+2x −xe x ,∴ f ′(x)=2x +2−(e x +xe x ),∴ f ′(0)=2−1=1.故选A .16.【答案】B【考点】导数的运算【解析】利用常数的导数为零求解即可.【解答】解:y =e 3,则y ′=0.故选B .17.【答案】B【考点】利用导数研究曲线上某点切线方程导数的运算【解析】根据题意,求出函数的导数,进而可得f′(1)=2f′(1)+1,解可得f′(1)的值,由导数的几何意义分析可得答案.【解答】解:根据题意,函数f(x)满足f(x)=2xf′(1)+ln x,,其导函数f′(x)=2f′(1)+1x则有f′(1)=2f′(1)+1,解可得f′(1)=−1,则f(x)图象在点M(1,f(1))处的切线斜率k=−1.故选B.二、填空题(本题共计 8 小题,每题 3 分,共计24分)18.【答案】−2【考点】导数的运算【解析】由f(x)的解析式,利用求导法则求出f(x)的导函数,把x=1代入导函数中求出f′(1)的值,从而确定出f(x)的解析式,然后分别把x等于1和−1代入即可求出f(1)和f(−1)的值,即可比较出大小.【解答】解:由f(x)=x2+2xf′(1),求导得f′(x)=2x+2f′(1),把x=1代入得:f′(1)=2+2f′(1),解得:f′(1)=−2.故答案为:−2.19.【答案】2【考点】导数的运算【解析】由题得到f′(x)=3x2+a,根据f′(1)=3+a=5,即可得解.【解答】解:因为f′(x)=3x2+a,所以f′(1)=3+a=5,所以a=2.故答案为:2.20.【答案】f(x)=12x2+ln x【考点】常用函数的导数导数的运算【解析】答案未提供解析.【解答】解:由题意,导函数f′(x)=x+1x,则函数f(x)可能为f(x)=12x2+ln x.故答案为:f(x)=12x2+ln x.21.【答案】2e【考点】导数的运算【解析】认真审题,首先需要了解基本求导法则(若两个函数可导,则它们和、差、积、商必可导;若两个函数均不可导,则它们的和、差、积、商不一定不可导).【解答】解:∵f(x)=xe x,∴f′(x)=e x+xe x,∴f′(1)=2e.故答案为:2e.22.【答案】1【考点】导数的运算【解析】无【解答】解:因为f(x)=ln x+x2f′(a),令x=1,则f(1)=0+f′(a),所以f′(a)=−1.又f′(x)=1x+2xf′(a),令x=a,得−1=1a+2a×(−1),故2a2−a−1=0,解得a=1或a=−12,故a=1.故答案为:1.23.【答案】−6【考点】导数的运算【解析】先求导得f′(x)=2x+2f′(2),令x=2求得f′(2)得到f′(x)=2x−8,即可求解.【解答】解:由题意,得f′(x)=2x+2f′(2),∴f′(2)=2×2+2f′(2),解得f′(2)=−4,∴f′(x)=2x−8,∴f′(1)=2×1−8=−6.故答案为:−6.24.【答案】1+1e【考点】导数的运算函数解析式的求解及常用方法【解析】根据题意,求出函数f(x)的解析式,对其求导即可得答案.【解答】解:根据题意,得f(e x)=x+e x,令t=e x,则f(t)=ln t+t,∴f(x)=ln x+x,∴f′(x)=1+1,x∴f′(e)=1+1.e+1.故答案为:1e25.【答案】,1),2020(12【考点】函数的对称性函数的求值函数新定义问题【解析】【解答】解:∵ f (x )=x 3−32x 2+3x −14, ∴ f ′(x )=3x 2−3x +3,则f ″(x )=6x −3.令f ″(x )=0,可得x =12,则f (12)=1, 根据题意可得,函数f (x )=x 3−32x 2+3x −14的对称中心为(12,1),∴ f (1−x )+f (x )=2,∴ f (12021)+f (22021)+f (32021)+⋯+f (20202021)=2×20202=2020.故答案为:(12,1);2020.三、 解答题 (本题共计 12 小题 ,每题 10 分 ,共计120分 )26.【答案】解:(1)y =x ln x ,∴ y ′=1×ln x +x ⋅1x =1+ln x , ∴ y ′=ln x +1.(2)k =y ′|x=e =ln e +1=2.又当x =e 时,y =e ,所以切点为(e, e),∴ 切线方程为y −e =2×(x −e),即2x −y −e =0.【考点】导数的运算利用导数研究曲线上某点切线方程【解析】(1)运用积函数的求导公式计算这个函数的导数即可.(2)欲求在点x =e 处的切线方程,只须求出其斜率的值即可,故先利用导数求出在x =e 处的导函数值,再结合导数的几何意义即可求出切线的斜率.从而问题解决.【解答】解:(1)y =x ln x ,∴ y ′=1×ln x +x ⋅1x =1+ln x ,∴ y ′=ln x +1.(2)k =y ′|x=e =ln e +1=2.又当x =e 时,y =e ,所以切点为(e, e),∴ 切线方程为y −e =2×(x −e),即2x −y −e =0.27.【答案】解:f(x)=ln xx,f′(x)=1x×x−ln x×1x2=1−ln xx2.(2)当f′(x)=0时,x=e,当f′(x)>0时,0<x<e,当f′(x)<0时,x>e,∴f(x)的单调增递增区间为(0,e),单调递减区间为(e,+∞).【考点】导数的运算利用导数研究函数的单调性利用导数研究函数的极值【解析】此题暂无解析【解答】解:f(x)=ln xx,f′(x)=1x×x−ln x×1x2=1−ln xx2.(2)当f′(x)=0时,x=e,当f′(x)>0时,0<x<e,当f′(x)<0时,x>e,∴f(x)的单调增递增区间为(0,e),单调递减区间为(e,+∞).28.【答案】(1)因为y=x4−3x2−5x+6,所以y′=4x3−6x−5;(2)因为y=x3e x,所以y′=3x2⋅e x+x3⋅e x=e x x2(3+x).【考点】导数的运算【解析】(Ⅰ)利用常见函数的求导公式以及导数的运算法则进行求解即可;(Ⅱ)利用常见函数的求导公式以及导数的运算法则进行求解即可.【解答】(1)因为y=x4−3x2−5x+6,所以y′=4x3−6x−5;(2)因为y=x3e x,所以y′=3x2⋅e x+x3⋅e x=e x x2(3+x).29.【答案】y′=e x cos x−e x sin x=e x(cos x−sin x);.【考点】导数的运算【解析】此题暂无解析【解答】此题暂无解答30.【答案】【考点】利用导数研究函数的单调性导数的运算【解析】此题暂无解析【解答】此题暂无解答31.【答案】(1)f(2)=13g(2)=6;(2)f[g(2)]=17【考点】函数的求值求函数的值导数的运算【解析】(1)根据函数解析式,直接计算,得出f(2)=13g(2)=6(2)由(1)可直接计算出结果.【解答】(1)因为f(x)=11+x ,g(x)=x2+2,所以f(2)=11+2=13g(2)=22+2=6(2)由(1)得f[g(2)]=f(6)=1732.【答案】解:(1)f′(x)=f′(0)e x+2x−f(0)+1,令x=0,解得f(0)=1,则f(x)=f′(0)e x+x2,令x=0,得f(0)=f′(0)=1,所以f(x)=e x+x2.(2)因为g(x)=e x+x2−mx在[1,2]上单调递增,所以g′(x)≥0在[1,2]上恒成立,即g′(x)=e x+2x−m≥0在[1,2]上恒成立,所以m≤e x+2x在[1,2]上恒成立.又因为函数y=e x+2x在[1,2]上单调递增,所以m≤e+2,所以m的取值范围为(−∞,e+2].【考点】函数解析式的求解及常用方法导数的运算已知函数的单调性求参数问题【解析】左侧图片未给出解析左侧图片未给出解析【解答】解:(1)f′(x)=f′(0)e x+2x−f(0)+1,令x=0,解得f(0)=1,则f(x)=f′(0)e x+x2,令x=0,得f(0)=f′(0)=1,所以f(x)=e x+x2.(2)因为g(x)=e x+x2−mx在[1,2]上单调递增,所以g′(x)≥0在[1,2]上恒成立,即g′(x)=e x+2x−m≥0在[1,2]上恒成立,所以m≤e x+2x在[1,2]上恒成立.又因为函数y=e x+2x在[1,2]上单调递增,所以m≤e+2,所以m的取值范围为(−∞,e+2].33.【答案】解:(1)∵y=x(x−1x2)=x2−1x,∴y′=2x+1x2.(2)∵y=e x−2x,∴(e x)′=e x,(2x)′=2x ln2,∴y′=e x−2x ln2.(3)∵y=x2(ln x+sin x)=x2ln x+x2⋅sin x,∴y′=2x⋅ln x+x2⋅1x+2x⋅sin x+x2⋅cos x=2x(ln x+sin x+12)+x2⋅cos x.【考点】导数的运算【解析】无无【解答】解:(1)∵y=x(x−1x2)=x2−1x,∴y′=2x+1x2.(2)∵y=e x−2x,∴(e x)′=e x,(2x)′=2x ln2,∴y′=e x−2x ln2.(3)∵y=x2(ln x+sin x)=x2ln x+x2⋅sin x,∴y′=2x⋅ln x+x2⋅1x+2x⋅sin x+x2⋅cos x=2x(ln x+sin x+12)+x2⋅cos x.34.【答案】解:(1)f(x)=13x3+a2x2+bx,所以f′(x)=x2+ax+b,函数y=f′(x)的图像经过点(0,0),(2,0),所以b=0,a=−2.(2)由(1)g(x)=13x3−x2+1可得,g′(x)=x2−2x,令g′(x)=x2−2x=0,解得x=0,x=2,列出表格如下:所以函数g x在−3,3上的最大值为1,最小值为−17.【考点】导数的运算利用导数研究函数的单调性利用导数研究函数的最值【解析】此题暂无解析【解答】解:(1)f(x)=13x3+a2x2+bx,所以f′(x)=x2+ax+b,函数y=f′(x)的图像经过点(0,0),(2,0),所以b=0,a=−2.(2)由(1)g(x)=13x3−x2+1可得,g′(x)=x2−2x,令g′(x)=x2−2x=0,解得x=0,x=2,列出表格如下:35.【答案】解:(1)因为f(x)=x 2+bx+ce x,所以f′(x)=−x2+(2−b)x+b−ce x. 又因为f′(1)=0,所以−1+(2−b)+b−ce=0,解得c=1.(2)由(1)知c=1,所以f(x)=x 2+bx+1e x,所以f(0)=1,因为f′(x)=−x2+(2−b)x+b−1e x,所以f′(0)=b−1,因为函数y=f(x)在x=0处的切线方程为y−1=(b−1)x,又切线过点(−1,0),即−1=−(b−1),解得b=2.因为f′(x)=−(x−1)(x+1)e x,令f′(x)=0,得x=±1,列表如下:所以当x=−1时,函数y=f x取得极小值f−1=0,当x=1时,函数y=f(x)取得极大值为f(1)=4e.(3)因为f(x)=x2+bx+1e x≤2在x∈[0,2]上恒成立,所以bx≤2e x−(x2+1)在x∈[0,2]上恒成立.当x=0时,0≤1成立;当x∈(0,2]时,b≤2e xx −(x+1x)恒成立,记g(x)=2e xx −(x+1x),x∈(0,2],则g′(x)=2e x(x−1)x2−(1−1x2)=(x−1)(2e x−x−1)x2.令ℎ(x)=2e x−x−1,x∈(0,2],则ℎ′(x)=2e x−1>2e0−1=1>0,所以函数y=ℎ(x)在区间(0,2]上单调递增,所以ℎ(x)>ℎ(0)=2e0−0−1=1>0,即2e x−x−1>0在区间(0,2]上恒成立.当x∈(0,2],令g′(x)=0,得x=1,所以函数y=g(x)在区间(0,1)上单调递减,在区间(1,2]上单调递增,所以g(x)min=g(1)=2e−2,所以b≤2e−2,因此实数b的取值范围是(−∞,2e−2].【考点】导数的运算利用导数研究曲线上某点切线方程利用导数研究函数的极值利用导数研究不等式恒成立问题【解析】此题暂无解析【解答】解:(1)因为f(x)=x 2+bx+ce x,所以f′(x)=−x2+(2−b)x+b−ce x. 又因为f′(1)=0,所以−1+(2−b)+b−ce=0,解得c=1.(2)由(1)知c=1,所以f(x)=x 2+bx+1e x,所以f(0)=1,因为f′(x)=−x2+(2−b)x+b−1e x,所以f′(0)=b−1,因为函数y=f(x)在x=0处的切线方程为y−1=(b−1)x,又切线过点(−1,0),即−1=−(b−1),解得b=2.因为f′(x)=−(x−1)(x+1)e x,令f′(x)=0,得x=±1,列表如下:所以当x =−1时,函数y =f x 取得极小值f −1=0,当x =1时,函数y =f (x )取得极大值为f (1)=4e .(3)因为f (x )=x 2+bx+1e x ≤2在x ∈[0,2]上恒成立,所以bx ≤2e x −(x 2+1)在x ∈[0,2]上恒成立.当x =0时, 0≤1成立;当x ∈(0,2]时, b ≤2e x x −(x +1x )恒成立, 记g(x)=2e x x −(x +1x ),x ∈(0,2], 则g ′(x )=2e x (x−1)x 2−(1−1x 2)=(x−1)(2e x −x−1)x 2.令ℎ(x)=2e x −x −1,x ∈(0,2],则ℎ′(x )=2e x −1>2e 0−1=1>0,所以函数y =ℎ(x )在区间(0,2]上单调递增,所以ℎ(x )>ℎ(0)=2e 0−0−1=1>0,即2e x −x −1>0在区间(0,2]上恒成立.当x ∈(0,2],令g ′(x )=0,得x =1,所以函数y =g (x )在区间(0,1)上单调递减,在区间(1,2]上单调递增, 所以g (x )min =g (1)=2e −2,所以 b ≤2e −2,因此实数b 的取值范围是(−∞,2e −2].36.【答案】解:(1)因为f ′(x )=3ax 2+2x +b ,所以g (x )=f (x )+f ′(x )=ax 3+(3a +1)x 2+(b +2)x +b . 因为g (x )是奇函数,所以g (−x )=−g (x )恒成立, 从而3a +1=0,b =0,解得a =−13,b =0.(2)由(1)知g (x )=−13x 3+2x , 所以g ′(x )=−x 2+2,令g ′(x )=0.解得x =−√2(舍去)或x =√2,而g (1)=53,g(√2)=4√23,g (2)=43,因此g (x )在区间[1,2]上的最大值为g(√2)=4√23, 最小值为g (2)=43.【考点】函数奇偶性的性质导数的运算利用导数研究函数的最值【解析】【解答】解:(1)因为f ′(x )=3ax 2+2x +b ,所以g (x )=f (x )+f ′(x )=ax 3+(3a +1)x 2+(b +2)x +b . 因为g (x )是奇函数,所以g (−x )=−g (x )恒成立,从而3a +1=0,b =0,解得a =−13,b =0.(2)由(1)知g (x )=−13x 3+2x ,所以g ′(x )=−x 2+2,令g ′(x )=0.解得x =−√2(舍去)或x =√2,而g (1)=53,g(√2)=4√23,g (2)=43,因此g (x )在区间[1,2]上的最大值为g(√2)=4√23, 最小值为g (2)=43.37. 【答案】解:(1)f ′(x )=x −sin x ,因为(x −sin x )′=1−cos x ≥0,所以f ′(x )在(−∞,+∞)单调递增,又f ′(0)=0所以当x ∈(−∞,0)时,f ′(x )<0,f (x )单调递减,当x ∈(0,+∞)时,f ′(x )>0,f (x )单调递增,所以当x =0时, f (x )的极小值f (0)=1 ,无极大值.(2)g ′(x )=(x 22+cos x −1)(e x −a )由(1)知,f (x )≥f (0) ,即x 22+cos x −1≥0,当a ≤0时, e x −a >0,g ′(x )≥0, g (x )在(−∞,+∞)上单调递增, 当a >0时,令e x −a =0 ,得x =ln a ,于是当x ∈(−∞,ln a ),e x −a <0,g ′(x )≤0,g (x )单调递减, 当x ∈(ln a,+∞),e x −a >0,g ′(x )≥0,g (x )单调递增, 综上,当a ≤0时,g (x )在(−∞,+∞)单调递增,当a >0时,g (x )在(−∞,ln a )上单调递减,在(ln a,+∞)单调递增.(3)令ℎ(x)=f′(x)−e x−bx+1则ℎ(x)=−e x+(1−b)x−sin x+1,x∈[0,+∞)ℎ′(x)=−e x−cos x+1−b,ℎ′(x)的导函数ℎ′′(x)=−e x+sin x,因为x∈[0,+∞),所以g′′(x)≤−1+sin x≤0ℎ′(x)=−e x+sin x在[0,+∞)上单调递减,当b≥−1时,对任意x≥0时,ℎ′(x)≤ℎ′(0)=−1−b≤0,所以ℎ(x)在[0,+∞)上单调递减,所以对任意x≥0时,ℎ(x)≤ℎ(0)=0,当b<−1时,因为ℎ′(x)在[0,+∞)上单调递减,ℎ′(0)=−1−b>0当x→+∞时,ℎ′(x)→−∞,故∃x0∈(0,+∞),使ℎ′(x0)=0,且x∈(0,x0)时,ℎ′(x)>0,ℎ(x)单调递增,所以ℎ(x0)>ℎ(0)=0,与任意x≥0,ℎ(x)≤0矛盾,所以实数b的取值范围为[−1,+∞).【考点】利用导数研究函数的极值导数的运算【解析】此题暂无解析【解答】解:(1)f′(x)=x−sin x,因为(x−sin x)′=1−cos x≥0,所以f′(x)在(−∞,+∞)单调递增,又f′(0)=0所以当x∈(−∞,0)时,f′(x)<0,f(x)单调递减,当x∈(0,+∞)时,f′(x)>0,f(x)单调递增,所以当x=0时,f(x)的极小值f(0)=1,无极大值.(2)g′(x)=(x22+cos x−1)(e x−a)由(1)知,f(x)≥f(0),即x 22+cos x−1≥0,当a≤0时,e x−a>0,g′(x)≥0,g(x)在(−∞,+∞)上单调递增,当a>0时,令e x−a=0,得x=ln a,于是当x∈(−∞,ln a),e x−a<0,g′(x)≤0,g(x)单调递减,当x∈(ln a,+∞),e x−a>0,g′(x)≥0,g(x)单调递增,综上,当a≤0时,g(x)在(−∞,+∞)单调递增,当a>0时,g(x)在(−∞,ln a)上单调递减,在(ln a,+∞)单调递增.(3)令ℎ(x)=f′(x)−e x−bx+1则ℎ(x)=−e x+(1−b)x−sin x+1,x∈[0,+∞)ℎ′(x)=−e x−cos x+1−b,ℎ′(x)的导函数ℎ′′(x)=−e x+sin x,因为x∈[0,+∞),所以g′′(x)≤−1+sin x≤0ℎ′(x)=−e x+sin x在[0,+∞)上单调递减,当b≥−1时,对任意x≥0时,ℎ′(x)≤ℎ′(0)=−1−b≤0,所以ℎ(x)在[0,+∞)上单调递减,所以对任意x≥0时,ℎ(x)≤ℎ(0)=0,当b<−1时,因为ℎ′(x)在[0,+∞)上单调递减,ℎ′(0)=−1−b>0当x→+∞时,ℎ′(x)→−∞,故∃x0∈(0,+∞),使ℎ′(x0)=0,且x∈(0,x0)时,ℎ′(x)>0,ℎ(x)单调递增,所以ℎ(x0)>ℎ(0)=0,与任意x≥0,ℎ(x)≤0矛盾,所以实数b的取值范围为[−1,+∞).。
一.解答题(共15小题)1.请默写基础初等函数的导数公式:(1)(C)′=,C为常数;(2)(xα)′=,α为常数;(3)(a x)′=,a为常数,a>0且a≠1;(4)(log a x)′=,a为常数,a>0且a≠1;(5)(sin x)′=;(6)(cos x)′=.2.求下列函数的导数(1)y=x2﹣7x+6;(2)y=x+2sin x,x∈(0,2π).3.求下列函数的导数:(1)f(x)=3x4+sin x;(2).4.求下列函数的导数:(1)y=ln(2x+1);(2).5.求下列函数的导数:(1);(2)g(x)=(8﹣3x)7;(3)p(x)=5cos(2x﹣3);(4)w(x)=ln(5x+6)2.6.求下列函数的导数.(Ⅰ);(Ⅱ).7.求下列函数的导数.(1)f(x)=sin x cos x;(2)y=.8.求下列函数的导数.(1)y=;(2)y=(2x2+3)(3x﹣2).9.求下列函数的导数:(1);(2).10.求下列函数的导数:(1)S(t)=;(2)h(x)=(2x2+3)(3x﹣2).11.求下列函数的导数.(1);(2).12.求下列函数的导数:(1)y=;(2)y=.13.求下列函数的导数:(1)y=sin x+lnx;(2)y=cos x+x;(3)y=x sin x;(4);(5)y=3x2+x cos x;(6).14.求下列函数的导数.(1)y=x3﹣2x+3;(2)y=x sin(2x+5).15.求下列函数的导数:(1)y=(x2+3x+3)e x+1;(2)解析一.解答题(共15小题)1.请默写基础初等函数的导数公式:(1)(C)′=0,C为常数;(2)(xα)′=αxα﹣1,α为常数;(3)(a x)′=a x lna,a为常数,a>0且a≠1;(4)(log a x)′=,a为常数,a>0且a≠1;(5)(sin x)′=cos x;(6)(cos x)′=﹣sin x.分析:根据初等函数的导数公式,直接求解即可.解答:解:(1)(C)′=0,(2)(xα)′=αxα﹣1,(3)(a x)′=a x lna,(4)(log a x)′=,(5)(sin x)′=cos x,(6)(cos x)′=﹣sin x.故答案为:(1)0;(2)αxα﹣1;(3)a x lna;(4);(5)cos x;(6)﹣sin x.点评:本题主要考查初等函数的导数公式,比较基础.2.求下列函数的导数(1)y=x2﹣7x+6;(2)y=x+2sin x,x∈(0,2π).分析:利用导数的运算性质逐个化简即可求解.解答:解:(1)由已知可得y′=2x﹣7;(2)由已知可得y′=1+2cos x.点评:本题考查了导数的运算性质,属于基础题.3.求下列函数的导数:(1)f(x)=3x4+sin x;(2).分析:(1)(2)由基本初等函数的导数公式及导数加减、乘法法则求导函数即可.解答:解:(1)f(x)=3x4+sin x则f′(x)=12x3+cos x;(2),则f′(x)=+﹣2e2x﹣1.点评:本题主要考查导数的基本运算,比较基础.4.求下列函数的导数:(1)y=ln(2x+1);(2).分析:根据导数的公式即可得到结论.解答:解:(1)∵y=ln(2x+1),∴y′=×2=,(2)∵,∴y′=﹣sin(﹣2x)×(﹣2)=2sin(﹣2x)=﹣2sin(2x﹣).点评:本题主要考查导数的基本运算,比较基础.5.求下列函数的导数:(1);(2)g(x)=(8﹣3x)7;(3)p(x)=5cos(2x﹣3);(4)w(x)=ln(5x+6)2.分析:根据复合函数的求导法则、基本初等函数的求导公式求导计算即可.解答:解:(1)∵,∴.(2)∵g(x)=(8﹣3x)7,∴g'(x)=7(8﹣3x)6⋅(8﹣3x)'=﹣21(8﹣3x)6.(3)∵p(x)=5cos(2x﹣3),∴p'(x)=﹣5sin(2x﹣3)⋅(2x﹣3)'=﹣10sin(2x﹣3).(4)∵w(x)=ln(5x+6)2,∴点评:本题考查导数的计算,注意复合函数的导数计算,属于基础题.(Ⅰ);(Ⅱ).分析:根据导数的公式即可得到结论.解答:解:(Ⅰ)=.(Ⅱ).点评:本题主要考查导数的基本运算,比较基础.7.求下列函数的导数.(1)f(x)=sin x cos x;(2)y=.分析:利用导数的运算性质化简即可求解.解答:解:(1)因为f(x)=sin x cos x=sin2x,所以f′(x)=cos2x×=cos2x,(2)∵y=,∴y′==.点评:本题考查了导数的运算性质,考查了学生的运算求解能力,属于基础题.8.求下列函数的导数.(1)y=;(2)y=(2x2+3)(3x﹣2).分析:根据导数的公式,即可依次求解.解答:解:(1)y'==.(2)因为y=(2x2+3)(3x﹣2)=6x3﹣4x2+9x﹣6,所以y′=18x2﹣8x+9.点评:本题主要考查导数的运算,属于基础题.(1);(2).分析:(1)先展开f(x),然后求导即可;(2)根据基本初等函数和商的导数的求导公式求导即可.解答:解:(1),;(2).点评:本题考查了基本初等函数和商的导数的求导公式,考查了计算能力,属于基础题.10.求下列函数的导数:(1)S(t)=;(2)h(x)=(2x2+3)(3x﹣2).分析:结合基本初等函数的求导公式及求导法则求解即可.解答:解:(1)S(t)==t+,所以S′(t)=1﹣;(2)h(x)=(2x2+3)(3x﹣2),所以h′(x)=4x(3x﹣2)+3(2x2+3)=18x2﹣8x+9.点评:本题主要考查了基本初等函数的求导公式及求导法则,属于基础题.11.求下列函数的导数.(1);(2).分析:利用复合函数的导函数的求法,结合导数的运算求解即可.解答:解:(1),所以;(2)所以.点评:本题考查了导函数的求法,重点考查了导数的运算,属基础题.12.求下列函数的导数:(1)y=;(2)y=.分析:直接利用基本初等函数的导数公式,复合函数的导数公式以及导数的四则运算求解即可.解答:解:(1)令t=1﹣2x2,则,所以;(2).点评:本题考查了导数的运算,解题的关键是掌握基本初等函数的导数公式,复合函数的导数公式以及导数的四则运算,考查了运算能力,属于基础题.13.求下列函数的导数:(1)y=sin x+lnx;(2)y=cos x+x;(3)y=x sin x;(4);(5)y=3x2+x cos x;(6).分析:由已知结合函数的求导公式即可求解.解答:解:(1)y′=cos x+;(2)y′=﹣sin x+1;(3)y′=sin x+x cos x;(4)y′==;(5)y′=6x+cos x﹣x sin x;(6)y′==﹣.点评:本题主要考查了函数的求导公式的应用,属于基础题.14.求下列函数的导数.(1)y=x3﹣2x+3;(2)y=x sin(2x+5).分析:根据基本初等函数和复合函数的求导公式求导即可.解答:解:(1)y′=3x2﹣2;(2)y′=sin(2x+5)+2x cos(2x+5).点评:本题考查了基本初等函数和复合函数的求导公式,考查了计算能力,属于基础题.15.求下列函数的导数:(1)y=(x2+3x+3)e x+1;(2).分析:利用导数的运算法则以及常见函数的导数进行求解即可.解答:解:(1)因为y=(x2+3x+3)e x+1,所以y'=[(x2+3x+3)e x+1]'=(x2+3x+3+2x+3)e x+1=(x2+5x+6)e x+1=(x+2)(x+3)e x+1;(2)因为,所以.点评:本题考查了导数的运算,主要考查了导数的运算法则以及常见函数的导数公式,考查了化简运算能力,属于基础题.。
导数练习题(含标准答案)选择题:1.已知 $f(x)=ax+3x+2$,若 $f'(-1)=4$,则 $a$ 的值等于$\frac{19}{3}$。
2.已知直线$y=kx+1$ 与曲线$y=x+ax+b$ 切于点$(1,3)$,则 $b$ 的值为 $-3$。
3.$(x+2a)(x-a)$ 的导数为 $3x$,则函数 $y$ 可以表示为$3(x^2-a^2)$。
4.曲线 $y=\frac{1}{9}x+\sqrt{x}$ 在点$(1,\frac{4}{3})$ 处的切线与坐标轴围成的三角形的面积为$\frac{1}{2}$。
5.已知二次函数 $y=ax^2+bx+c$ 的导数为 $f'(x)$,$f'(0)>0$,对于任意实数 $x$,有 $f(x)\geq f(1)$,则最小值为$\frac{3}{2}$。
6.已知函数 $f(x)$ 在 $x=1$ 处的导数为 $3$,则 $f(x)$ 的解析式可能为 $f(x)=2(x-1)$。
7.下列求导数运算正确的是:$(x+\sqrt{x})' =1+\frac{1}{2\sqrt{x}}$。
8.曲线 $y=2x-x^2+5$ 在 $x=1$ 处的切线的倾斜角为 $-\frac{\pi}{3}$。
9.曲线 $y=x^3-3x^2+5$ 在点 $(1,3)$ 处的切线方程为 $y=-2x+5$。
10.设函数 $y=x\sin x+\cos x$ 的图像上的点 $(x,y)$ 处的切线斜率为 $k$,若 $k=g(x)$,则函数 $k=g(x)$ 的图像大致为$y=\cos x$。
11.一质点的运动方程为 $s=5-3t$,则在一段时间$[1,1+\Delta t]$ 内相应的平均速度为 $-3\Delta t+6$。
12.曲线 $f(x)=\ln(2x-1)$ 上的点到直线 $2x-y+3=0$ 的最短距离是 $5$。
导数高中试题及解析答案1. 计算函数 \( f(x) = x^3 - 3x^2 + 2x \) 在 \( x = 1 \) 处的导数。
解析:首先,我们需要找到函数 \( f(x) \) 的导数。
根据导数的定义,我们有:\[ f'(x) = \frac{d}{dx}(x^3 - 3x^2 + 2x) \]对每一项分别求导,我们得到:\[ f'(x) = 3x^2 - 6x + 2 \]现在,将 \( x = 1 \) 代入 \( f'(x) \) 得到:\[ f'(1) = 3(1)^2 - 6(1) + 2 = 3 - 6 + 2 = -1 \]答案:函数 \( f(x) \) 在 \( x = 1 \) 处的导数为 \( -1 \)。
2. 已知函数 \( g(x) = \sin(x) \),求 \( g'(x) \)。
解析:根据三角函数的导数规则,我们知道 \( \sin(x) \) 的导数是\( \cos(x) \)。
因此,我们可以直接写出 \( g(x) \) 的导数:\[ g'(x) = \cos(x) \]答案:函数 \( g(x) \) 的导数是 \( \cos(x) \)。
3. 计算复合函数 \( h(x) = (x^2 - 1)^4 \) 的导数。
解析:这是一个复合函数,我们可以使用链式法则来求导。
首先,设\( u = x^2 - 1 \),那么 \( h(x) = u^4 \)。
对 \( u \) 求导得到:\[ u' = \frac{d}{dx}(x^2 - 1) = 2x \]然后,对 \( h(x) \) 求导:\[ h'(x) = \frac{d}{dx}(u^4) = 4u^3 \cdot u' = 4(x^2 - 1)^3\cdot 2x \]答案:复合函数 \( h(x) \) 的导数是 \( 8x(x^2 - 1)^3 \)。
导数考试题型及答案详解一、选择题1. 函数f(x) = x^2 + 3x + 2的导数是:A. 2x + 3B. x^2 + 2C. 2x + 6D. 3x + 2答案:A2. 若f(x) = sin(x),则f'(π/4)的值是:A. 1B. √2/2C. -1D. -√2/2答案:B二、填空题1. 求函数g(x) = x^3 - 2x^2 + x的导数,g'(x) = __________。
答案:3x^2 - 4x + 12. 若h(x) = cos(x),求h'(x) = __________。
答案:-sin(x)三、解答题1. 求函数f(x) = x^3 - 6x^2 + 9x + 2的导数,并求f'(2)的值。
解:首先求导数f'(x) = 3x^2 - 12x + 9。
然后将x = 2代入得到f'(2) = 3 * 2^2 - 12 * 2 + 9 = 12 - 24 + 9 = -3。
2. 已知函数y = ln(x),求y'。
解:根据对数函数的导数公式,y' = 1/x。
四、证明题1. 证明:若函数f(x) = x^n,其中n为常数,则f'(x) = nx^(n-1)。
证明:根据幂函数的导数公式,对于任意实数n,有f'(x) = n * x^(n-1)。
五、应用题1. 某物体的位移函数为s(t) = t^3 - 6t^2 + 9t + 5,求该物体在t = 3时的瞬时速度。
解:首先求位移函数的导数s'(t) = 3t^2 - 12t + 9。
然后将t = 3代入得到s'(3) = 3 * 3^2 - 12 * 3 + 9 = 27 - 36 + 9 = 0。
因此,该物体在t = 3时的瞬时速度为0。
六、综合题1. 已知函数f(x) = x^4 - 4x^3 + 6x^2 - 4x + 5,求f'(x),并求曲线y = f(x)在点(1, f(1))处的切线斜率。
高中数学导数的计算精选题目(附答案)(1)基本初等函数的导数公式(2)导数运算法则①[f (x )±g (x )]′=f ′(x )±g ′(x );②[f (x )·g (x )]′=f ′(x )g (x )+f (x )g ′(x ); 当g (x )=c 时,[cf (x )]′=cf ′(x ).③⎣⎢⎡⎦⎥⎤f (x )g (x )′=f ′(x )g (x )-f (x )g ′(x )[g (x )]2(g (x )≠0).(3)复合导数复合函数y =f (g (x ))的导数和函数y =f (u ),u =g (x )的导数间的关系为y x ′=y u ′·u x ′,即y 对x 的导数等于y 对u 的导数与u 对x 的导数的乘积.1.求下列函数的导数: (1)y =10x ; (2)y =lg x ; (3)y =log 12x ;(4)y =4x 3;(5)y =⎝ ⎛⎭⎪⎫sin x2+cos x 22-1.2.求下列函数的导数: (1)y =⎝ ⎛⎭⎪⎫1e x ;(2)y =⎝ ⎛⎭⎪⎫110x ;(3)y =lg 5; (4)y =3lg 3x ; (5)y =2co S 2x2-1. 3.(1)y =x 3·e x ; (2)y =x -S i n x 2co S x2; (3)y =x 2+log 3x; (4)y =e x +1e x -1.4.求下列函数的导数: (1)y =cos x x ; (2)y =xS i n x +x ; (3)y =1+x 1-x +1-x1+x; (4)y =lg x -1x 2.5.点P 是曲线y =e x 上任意一点,求点P 到直线y =x 的最小距离. 6.求过曲线y =co S x 上点P ⎝ ⎛⎭⎪⎫π3,12且与曲线在这点处的切线垂直的直线方程.7.求下列函数的导数. (1)y =1-2x 2; (2)y =e S i n x ;(3)y =S i n ⎝ ⎛⎭⎪⎫2x +π3;(4)y =5log 2(2x +1) 8.求下列函数的导数. (1)f (x )=(-2x +1)2; (2)f (x )=l n (4x -1); (3)f (x )=23x +2; (4)f (x )=5x +4; (5)f (x )=S i n ⎝ ⎛⎭⎪⎫3x +π6;(6)f (x )=co S 2x .9.求下列函数的导数. (1)y =x 1+x 2;(2)y =x co S ⎝ ⎛⎭⎪⎫2x +π2S i n ⎝ ⎛⎭⎪⎫2x +π2.10.求下列函数的导数. (1)y =S i n 2x3; (2)y =S i n 3x +S i n x 3; (3)y =11-x 2; (4)y =x l n (1+x ).11. 设f (x )=l n (x +1)+x +1+ax +b (a ,b ∈R ,a ,b 为常数),曲线y =f (x )与直线y =32x 在(0,0)点相切.求a ,b 的值.12.曲线y =e -2x +1在点(0,2)处的切线与直线y =0和y =x 围成的三角形的面积为( )A.13B.12C.23 D .1参考答案:1.解: (1)y ′=(10x )′=10x l n 10. (2)y ′=(lg x )′=1x ln 10.(3)y ′=(log 12x )′=1x ln 12=-1x ln 2.(4)y ′=(4x 3)′=(x 34)′=34x -14=344x.(5)∵y =⎝ ⎛⎭⎪⎫sin x2+cos x 22-1=S i n 2x2+2S i n x 2co S x 2+co S 2x 2-1 =S i n x ,∴y ′=(S i n x )′=co S x .2.解:(1)y ′=⎣⎢⎡⎦⎥⎤⎝ ⎛⎭⎪⎫1e x ′=⎝ ⎛⎭⎪⎫1e x l n 1e =-1e x =-e -x .(2)y ′=⎣⎢⎡⎦⎥⎤⎝ ⎛⎭⎪⎫110x ′=⎝ ⎛⎭⎪⎫110x l n 110=-ln 1010x=-10-x l n 10.(3)∵y =lg 5是常数函数,∴y ′=(lg 5)′=0. (4)∵y =3 lg 3x =lg x ,∴y ′=(lg x )′=1x ln 10.(5)∵y =2co S 2x2-1=co S x ,∴y ′=(co S x )′=-S i n x . 3.解: (1)y ′=(x 3)′e x +x 3(e x )′=3x 2e x +x 3e x =x 2(3+x )e x . (2)∵y =x -12S i n x ,∴y ′=x ′-12(S i n x )′=1-12co S x . (3)y ′=(x 2+log 3x )′=(x 2)′+(log 3x )′=2x +1x ln 3. (4)y ′=(e x +1)′(e x -1)-(e x +1)(e x -1)′(e x -1)2=e x (e x -1)-(e x +1)e x (e x -1)2=-2e x (e x -1)2.4.解:(1)y ′=⎝ ⎛⎭⎪⎫cos x x ′=(cos x )′·x -cos x ·(x )′x 2=-x ·sin x -cos x x 2=-x sin x +cos xx 2.(2)y ′=(xS i n x )′+(x )′=S i n x +x co S x +12x.(3)∵y =(1+x )21-x +(1-x )21-x =2+2x 1-x =41-x -2,∴y ′=⎝ ⎛⎭⎪⎫41-x -2′=-4(1-x )′(1-x )2=4(1-x )2.(4)y ′=⎝ ⎛⎭⎪⎫lg x -1x 2′=(lg x )′-⎝ ⎛⎭⎪⎫1x 2′=1x ln 10+2x 3. 5.解:如图,当曲线y =e x 在点P (x 0,y 0)处的切线与直线y =x 平行时,点P 到直线y =x 的距离最近.则曲线y =e x 在点P (x 0,y 0)处的切线斜率为1,又y ′=(e x )′=e x ,∴e x 0=1,得x 0=0,代入y =e x ,得y 0=1,即P (0,1).利用点到直线的距离公式得最小距离为22.6.解:∵y =co S x ,∴y ′=(co S x )′=-S i n x ,∴曲线在点P π3,12处的切线的斜率为k =y ′|x =π3=-S i n π3=-32,∴过点P 且与切线垂直的直线的斜率为233,∴满足题意的直线方程为y -12=233⎝ ⎛⎭⎪⎫x -π3,即233x -y +12-239π=0. 7.解: (1)设y =u 12,u =1-2x 2, 则y ′=⎝ ⎛⎭⎪⎫u 12′(1-2x 2)′=⎝ ⎛⎭⎪⎫12u -12·(-4x ) =12(1-2x 2)-12(-4x )=-2x 1-2x 2 .(2)设y =e u ,u =S i n x ,则y x ′=y u ′·u x ′=e u ·co S x =e S i n x co S x . (3)设y =S i n u ,u =2x +π3,则y x ′=y u ′·u x ′=co S u ·2=2co S ⎝ ⎛⎭⎪⎫2x +π3.(4)设y =5log 2u ,u =2x +1, 则y ′=5(log 2u )′(2x +1)′=10u ln 2=10(2x +1)ln 2.8.解:(1)设y =u 2,u =-2x +1,则y ′=y u ′·u x ′=2u ·(-2)=-4(-2x +1)=8x -4. (2)设y =l n u ,u =4x -1, 则y ′=y u ′·u x ′=1u ·4=44x -1.(3)设y =2u ,u =3x +2,则y ′=y u ′·u x ′=2u l n 2·3=3l n 2·23x +2. (4)设y =u ,u =5x +4, 则y ′=y u ′·u x ′=12u·5=525x +4.(5)设y =S i n u ,u =3x +π6,则y ′=y u ′·u x ′=co S u ·3=3co S ⎝ ⎛⎭⎪⎫3x +π6.(6)法一:设y =u 2,u =co S x , 则y ′=y u ′·u x ′=2u ·(-S i n x ) =-2co S x ·S i n x =-S i n 2x ; 法二:∵f (x )=co S 2x =1+cos 2x 2=12+12co S 2x , 所以f ′(x )=⎝ ⎛⎭⎪⎫12+12cos 2x ′=0+12·(-S i n 2x )·2=-S i n 2x . 9.解: (1)y ′=(x 1+x 2)′ =x ′1+x 2+x (1+x 2)′ =1+x 2+x 21+x 2=(1+2x 2)1+x 21+x 2.(2)∵y =x co S ⎝ ⎛⎭⎪⎫2x +π2S i n ⎝ ⎛⎭⎪⎫2x +π2=x (-S i n 2x )co S 2x =-12xS i n 4x ,∴y ′=⎝ ⎛⎭⎪⎫-12x sin 4x ′=-12S i n 4x -x2co S 4x ·4 =-12S i n 4x -2x co S 4x .10.解:(1)y ′=⎝ ⎛⎭⎪⎫sin 2x 3′=2S i n x 3·⎝ ⎛⎭⎪⎫sin x 3′ =2S i n x 3·co S x 3·⎝ ⎛⎭⎪⎫x 3′=13S i n 2x3.(2)y ′=(S i n 3x +S i n x 3)′=(S i n 3x )′+(S i n x 3)′ =3S i n 2x co Sx +co S x 3·3x 2=3S i n 2x co S x +3x 2co S x 3. (3)y ′=0-(1-x 2)′1-x 2=-12(1-x 2)-12(1-x 2)′1-x 2=x (1-x 2)-121-x 2=x(1-x 2) 1-x 2.(4)y ′=x ′l n (1+x )+x []ln (1+x )′ =l n (1+x )+x 1+x. 11.解: 由曲线y =f (x )过(0,0)点,可得l n 1+1+b =0,故b =-1.由f (x )=l n (x +1)+x +1+ax +b ,得f ′(x )=1x +1+12x +1+a ,则f ′(0)=1+12+a =32+a ,此即为曲线y =f (x )在点(0,0)处的切线的斜率.由题意,得32+a =32,故a =0.12.解析:选A 依题意得y ′=e -2x ·(-2)=-2e -2x ,y ′|x =0=-2e-2×0=-2.曲线y =e-2x+1在点(0,2)处的切线方程是y -2=-2x ,即y =-2x +2.在坐标系中作出直线y =-2x +2、y =0与y =x 的图象,因为直线y =-2x +2与y =x的交点坐标是⎝ ⎛⎭⎪⎫23,23,直线y =-2x +2与x 轴的交点坐标是(1,0),结合图象可得,这三条直线所围成的三角形的面积等于12×1×23=13.。
完整版)导数大题练习带答案1.已知 $f(x)=x\ln x-ax$,$g(x)=-x^2-2$,要求实数 $a$ 的取值范围。
Ⅰ)对于所有 $x\in(0,+\infty)$,都有 $f(x)\geq g(x)$,即$x\ln x-ax\geq -x^2-2$,整理得 $a\leq \ln x +\frac{x}{2}$,对于 $x\in(0,+\infty)$,$a$ 的取值范围为 $(-\infty。
+\infty)$。
Ⅱ)当 $a=-1$ 时,$f(x)=x\ln x+x$,求 $f(x)$ 在 $[m。
m+3]$ 上的最值。
$f'(x)=\ln x+2$,令 $f'(x)=0$,解得 $x=e^{-2}$,在 $[m。
m+3]$ 上,$f(x)$ 单调递增,所以最小值为$f(m)=me^{m}$。
Ⅲ)证明:对于所有 $x\in(0,+\infty)$,都有 $\lnx+1>\frac{1}{x}$。
证明:$f(x)=\ln x+1-\frac{1}{x}$,$f'(x)=\frac{1}{x}-\frac{1}{x^2}=\frac{1}{x^2}(x-1)>0$,所以$f(x)$ 在 $(0,+\infty)$ 上单调递增,即对于所有$x\in(0,+\infty)$,都有 $\ln x+1>\frac{1}{x}$。
2.已知函数 $f(x)=\frac{2}{x}+a\ln x-2(a>0)$。
Ⅰ)若曲线 $y=f(x)$ 在点 $P(1,f(1))$ 处的切线与直线$y=x+2$ 垂直,求函数 $y=f(x)$ 的单调区间。
$f'(x)=-\frac{2}{x^2}+a$,在点 $P(1,f(1))$ 处的切线斜率为 $f'(1)=a-2$,由于切线垂直于直线 $y=x+2$,所以 $a-2=-\frac{1}{1}=-1$,解得 $a=1$。
导数的运算——综合练习一.选择题(共40小题)1.若f′(x)是函数f(x)=x3+2x+1的导函数,则f′(﹣1)的值为()A.1 B.3 C.1或3 D.42.若f(x)=x5,f′(x0)=20,则x0的值为()A.B.±C.﹣2 D.±23.下列求导运算正确的是()A.(cosx)'=sinx B.(3x)'=3x log3eC.D.(x2cosx)′=﹣2xsinx4.已知函数f(x)=sinx﹣cosx,且f′(x)=2f(x),则tan2x的值是()A.﹣B.C.﹣D.5.已知函数f(x)=,若f′(1)=,则实数a的值为()A.2 B.4 C.6 D.86.已知函数f(x)=6﹣x3,g(x)=e x﹣1,则这两个函数的导函数分别为()A.f′(x)=6﹣3x2,g′(x)=e x B.f′(x)=﹣3x2,g′(x)=e x﹣1C.f′(x)=﹣3x2,g′(x)=e x D.f′(x)=6﹣3x2,g′(x)=e x﹣17.已知f(x)=lnx,则f′(e)的值为()A.1 B.﹣1 C.e D.8.已知函数f(x)的导函数为f′(x),且满足f(x)=2xf′(1)+lnx,则f′(2)=()A.B.1 C.﹣1 D.﹣9.已知,则f'(2)=()A.B.C.2 D.﹣210.下列求导运算正确的是()A.(log2x)′=B.(x+)′=1+C.(cosx)′=sinx D.()′=11.若f(x)=,f'(x)为f(x)的导函数,则f'(x)=()A.f'(x)= B.f'(x)=C.f'(x)= D.f'(x)=12.已知函数f(x)=x2+2xf′(2017)﹣2017lnx,则f′(2017)=()A.2016 B.﹣2016 C.2017 D.﹣201713.已知f'(x)是f(x)=sinx+acosx的导函数,且f'()=,则实数a的值为()A.B.C.D.114.已知函数f(x)的导函数f'(x),且满足f(x)=2xf'(1)+lnx,则f′(1)=()A.﹣1 B.﹣e C.1 D.e15.下列函数在点x=0处没有切线的是()A.y=3x2+cosx B.y=xsinx C.D.16.f'(x)是函数f(x)的导函数,且f(x)=﹣x2+2x f'(2017)+2017㏑x,则f'(1)=()A.2016 B.6045 C.2017 D.604817.已知函数f(x)=f´()cosx+sinx,则f()=()A.B.﹣1 C.1 D.018.函数y=sin(lnx)的导数y′=()A.ln(cosx)B.cos(lnx)C.﹣cos(lnx)D.cos(lnx)19.已知函数f(x)=ln(ax﹣1)的导函数是f'(x),且f'(2)=2,则实数a的值为()A.B.C.D.120.设f0(x)=sinx,f1(x)=f0′(x),f2(x)=f1′(x),…,f n+1(x)=f n′(x),n∈N,则f2017(x)=()A.sinx B.﹣sinx C.cosx D.﹣cosx21.已知f1(x)=cosx,f2(x)=f1′(x),f3(x)=f2′(x),f4(x)=f3′(x),…,f n(x)=f n﹣1′(x),则f2015(x)等于()A.sinx B.﹣sinx C.cosx D.﹣cosx22.函数(x>0),若x0满足f'(x0)=0,设m∈(0,x0),n∈(x0,+∞),则()A.f'(m)<0,f'(n)<0 B.f'(m)>0,f'(n)>0 C.f'(m)<0,f'(n)>0 D.f'(m)>0,f'(n)<023.若函数f(x)在其定义域的一个子集[a,b]上存在实数m(a<m<b),使f(x)在m处的导数f'(m)满足f(b)﹣f(a)=f'(m)(b﹣a),则称m是函数f(x)在[a,b]上的一个“中值点”,函数在[0,b]上恰有两个“中值点”,则实数b的取值范围是()A.,B.(3,+∞)C.,D.,24.设函数f(x)=x3﹣ax2+2bx+1的导函数为f′(x),若函数f′(x)的图象关于直线x=对称,且当x∈[1,π]时,恒有f(x)≥1,则实数b的取值范围为()A.(,+∞)B.[,1]C.(﹣∞,]D.[,+∞)25.已知定义在(0,+∞)上的单调函数f(x),对∀x∈(0,+∞),都有f[f(x)﹣log2x]=3,则方程f(x)﹣f′(x)=2的解所在的区间是()A.(0,) B.(1,2) C.(,1) D.(2,3)26.已知二次函数f(x)=ax2+bx+c的导数为f′(x),f′(0)>0,对于任意实数x,有,则的最小值为()A.2 B.C.3 D.27.已知函数f(x)及其导数f'(x),若存在x0使得f(x0)=f'(x0),则称x0是f(x)的一个“巧值点”.给出下列五个函数:①f(x)=x2,②f(x)=e﹣x,③f(x)=lnx,④f(x)=tanx,其中有“巧值点”的函数的个数是()A.1 B.2 C.3 D.428.已知函数,其导函数记为f'(x),则f(2017511)+f'(2017511)+f(﹣2017511)﹣f'(﹣2017511)=()A.0 B.1 C.2 D.201751129.[x]表示不超过x的最大整数,若f′(x)是函数f(x)=ln|x|导函数,设g(x)=f(x)f′(x),则函数f=[g(x)]+[g(﹣x)]的值域是()A.{﹣1,0}B.{0,1}C.{0}D.{偶数}30.定义:如果函数f(x)在[m,n]上存在x1,x2(m<x1<x2<n)满足f′(x1)=,f′(x2)=,则称函数f(x)是[m,n]上的“双中值函数”.已知函数f(x)=x3﹣x2+a是[0,a]上“双中值函数”,则实数a的取值范围是()A.(,)B.(,3) C.(,1) D.(,1)31.已知函数f(x)=asinx+bx3+1(a,b∈R),f′(x)为f(x)的导函数,则f(2016)+f(﹣2016)+f′(2017)﹣f′(﹣2017)=()A.2017 B.2016 C.2 D.032.已知f(x)=1+(1+x)+(1+x)2+(1+x)3+…+(1+x)n,则f'(0)=()A.n B.n﹣1 C.D.n(n+1)33.设函数f(x)=x3+x2+,其中θ∈(﹣,),则导数f′(1)的取值范围是()A.(﹣,1]B.(﹣,1)C.(﹣,)D.(﹣,]34.已知函数f0(x)=sinx+cosx,f1(x)=f′0(x),f2(x)=f′1(x),…f n+1(x)=f′n(x),n∈N,那么f2017=()A.cosx﹣sinx B.sinx﹣cosx C.sinx+cosx D.﹣sinx﹣cosx35.定义方程f(x)=f′(x)的实数根x0叫做函数f(x)的“新驻点”,若函数g(x)=x3﹣1,h(x)=2x,φ(x)=ln(x+1)的“新驻点”分别为α,β,γ,则α,β,γ的大小关系为()A.α>β>γ B.β>α>γ C.γ>α>β D.β>γ>α36.设f1(x)=sinx,定义f n+1(x)为f n(x)的导数,即f(x)=f n′(x),n∈N*,若△ABC的内角A满足f1(A)+f2(A)+…+f2018(A)=0,则cosA的值为()A.1 B.﹣1 C.D.﹣37.已知函数f(x)及其导数f′(x),若存在x0,使得f(x0)=f′(x0),则x0称为f(x)的一个“巧值点”,则下列函数中有“巧值点”的是()①f(x)=x2;②f(x)=e﹣x;③f(x)=lnx;④f(x)=tanx;⑤f(x)=.A.①③⑤B.①③④C.②③④D.②⑤38.设函数f n′(x)是f n(x)的导函数,f0(x)=e x(cosx+sinx),f1(x)=,f2(x)=,…,(n∈N),则f2016(x)=()A.e x(cosx+sinx)B.e x(cosx﹣sinx)C.﹣e x(cosx+sinx)D.e x(sinx﹣cosx)39.已知函数f(x)=e x﹣2ax,函数g(x)=﹣x3﹣ax2.若不存在x1,x2∈R,使得f′(x1)=g′(x2),则实数a的取值范围为()A.(﹣2,3)B.(﹣6,0)C.[﹣2,3]D.[﹣6,0]40.已知函数f(x)=lnx+tanα(α∈(0,))的导函数为f′(x),若使得f′(x0)=f(x0)成立的x0<1,则实数α的取值范围为()A.(,)B.(0,)C.(,)D.(0,)二.填空题(共6小题)41.已知在R上可导,F(x)=f(x3﹣1)+f(1﹣x3),则F′(1)=.42.已知f(x)=f(4﹣x),当x≤2时,f(x)=e x,f′(3)+f(3)=.43.设定义域为(0,+∞)的单调函数f(x),对任意的x∈(0,+∞),都有f[f(x)﹣log2x]=6,若x0是方程f(x)﹣f′(x)=4的一个解,且x0∈(a,a+1)(a∈N*),则实数a=.44.已知函数y=f(x)的导函数为f'(x)=cosx﹣5,且f(0)=0,如果f(1﹣ax)+f(1﹣ax2)<0恒成立,则实数a的取值范围是.45.已知函数f(x)满足f(0)=﹣1,其导函数f′(x)满足f′(x)>k>1,则下列结论中正确的是.(1)f()>﹣1;(2)f()>;(3)f()<;(4)f()<f()46.若函数f(x)的导数f′(x)存在导数,记f′(x)的导数为f n(x).如果f(x)对任意x∈(a,b),都有f n(x)<0成立,则f(x)有如下性质:f()≥.其中n∈N*,x1,x2,…,x n∈(a,b).若f(x)=sinx,则f n(x)=;根据上述性质推断:当x1+x2+x3=π且x1,x2,x3∈(0,π)时,根据上述性质推断:sinx1+sinx2+sinx3的最大值为.导数的运算——综合练习参考答案与试题解析一.选择题(共40小题)1.若f′(x)是函数f(x)=x3+2x+1的导函数,则f′(﹣1)的值为()A.1 B.3 C.1或3 D.4【分析】先求函数f(x)的导函数,然后在导函数解析式中把x代﹣1求值.【解答】解:因为函数f(x)=x3+2x+1,所以其导函数f′(x)=x2+2,所以f′(﹣1)=(﹣1)2+2=3.故选B.2.若f(x)=x5,f′(x0)=20,则x0的值为()A.B.±C.﹣2 D.±2【分析】根据函数的导数公式解方程即可.【解答】解:函数的导数f′(x)=5x4,∵f′(x0)=20,∴5x04=20,得x04=4,则x0=±,故选:B.3.下列求导运算正确的是()A.(cosx)'=sinx B.(3x)'=3x log3eC.D.(x2cosx)′=﹣2xsinx【分析】根据函数的导数公式进行判断即可.【解答】解:(cosx)'=﹣sinx,A不正确;(3x)'=3x ln3,B不正确(lgx)′=,C正确;(x2cosx)′=2xcosx﹣x2sinx,D不正确故选:C.4.已知函数f(x)=sinx﹣cosx,且f′(x)=2f(x),则tan2x的值是()A.﹣B.C.﹣D.【分析】求出f(x)的导函数,根据f′(x)=2f(x)列出关系式,计算即可求出tan2x的值.【解答】解:求导得:f′(x)=cosx+sinx,∵f′(x)=2f(x),∴cosx+sinx=2(sinx﹣cosx),即3cosx=sinx,∴tanx=3,则tan2x===﹣.故选C5.已知函数f(x)=,若f′(1)=,则实数a的值为()A.2 B.4 C.6 D.8【分析】根据导数的公式即可得到结论【解答】解:函数f(x)=,则f′(x)=∵f′(1)=,即f′(1)==,∴a=4.故选:B6.已知函数f(x)=6﹣x3,g(x)=e x﹣1,则这两个函数的导函数分别为()A.f′(x)=6﹣3x2,g′(x)=e x B.f′(x)=﹣3x2,g′(x)=e x﹣1C.f′(x)=﹣3x2,g′(x)=e x D.f′(x)=6﹣3x2,g′(x)=e x﹣1【分析】根据导数的运算法则求导即可.【解答】解:f′(x)=﹣3x2,g′(x)=e x,故选:C7.已知f(x)=lnx,则f′(e)的值为()A.1 B.﹣1 C.e D.【分析】利用导数的运算法则即可得出.【解答】解:∵,∴.故选D.8.已知函数f(x)的导函数为f′(x),且满足f(x)=2xf′(1)+lnx,则f′(2)=()A.B.1 C.﹣1 D.﹣【分析】已知函数f(x)的导函数为f′(x),利用求导公式对f(x)进行求导,再把x=1代入,x=2代入求解即可.【解答】解:∵函数f(x)的导函数为f′(x),且满足f(x)=2xf′(1)+ln x,(x>0)∴f′(x)=2f′(1)+,把x=1代入f′(x)可得f′(1)=2f′(1)+1,解得f′(1)=﹣1,∴f′(2)=2f′(1)+=﹣2+=﹣.故选D.9.已知,则f'(2)=()A.B.C.2 D.﹣2【分析】把给出的函数求导,在其导函数中取x=2,则f′(2)可求.【解答】解:∵f′(x)=﹣+3f′(2),∴f′(2)=﹣+3f′(2),解得:f′(2)=,故选:A.10.下列求导运算正确的是()A.(log2x)′=B.(x+)′=1+C.(cosx)′=sinx D.()′=【分析】利用导数的运算法则即可得出.【解答】解:=,=1﹣,(cosx)′=﹣sinx,=,可知:只有A正确.故选:A.11.若f(x)=,f'(x)为f(x)的导函数,则f'(x)=()A.f'(x)= B.f'(x)=C.f'(x)= D.f'(x)=【分析】根据导数的运算法则计算即可.【解答】解:∵f(x)=,∴f'(x)=,故选:B12.已知函数f(x)=x2+2xf′(2017)﹣2017lnx,则f′(2017)=()A.2016 B.﹣2016 C.2017 D.﹣2017【分析】对函数f(x)的解析式求导,得到其导函数,把x=2017代入导函数中,列出关于f'(2017)的方程,进而得到f'(2017)的值【解答】解:求导得:f′(x)=x+2f′(2017)﹣令x=2017,得到f′(2017)=2017+2f′(2017)﹣1,解得:f′(2017)=﹣2016,故选:B13.已知f'(x)是f(x)=sinx+acosx的导函数,且f'()=,则实数a的值为()A.B.C.D.1【分析】求出f(x)的导数,由条件解方程,即可得到所求a的值.【解答】解:由题意可得f'(x)=cosx﹣asinx,由可得,解之得.故选:B.14.已知函数f(x)的导函数f'(x),且满足f(x)=2xf'(1)+lnx,则f′(1)=()A.﹣1 B.﹣e C.1 D.e【分析】已知函数f(x)的导函数为f′(x),利用求导公式对f(x)进行求导,再把x=1代入,即可求解;【解答】解:∵函数f(x)的导函数为f′(x),且满足f(x)=2xf′(1)+ln x,(x>0),∴f′(x)=2f′(1)+,把x=1代入f′(x)可得f′(1)=2f′(1)+1,解得f′(1)=﹣1,故选A15.下列函数在点x=0处没有切线的是()A.y=3x2+cosx B.y=xsinx C.D.【分析】根据导数的定义可得答案.【解答】解:∵在x=0处不可导.故选D.16.f'(x)是函数f(x)的导函数,且f(x)=﹣x2+2x f'(2017)+2017㏑x,则f'(1)=()A.2016 B.6045 C.2017 D.6048【分析】根据导数的运算法则求导,代值计算即可.【解答】解:∵f′(x)=﹣x+2f'(2017)+,∴f′(2017)=﹣2017+2f'(2017)+1,解得f′(2017)=2016,∴f′(1)=﹣1+2×2016+2017=6048,故选:D.17.已知函数f(x)=f´()cosx+sinx,则f()=()A.B.﹣1 C.1 D.0【分析】先求导,再代值计算即可.【解答】解:∵f(x)=f´()cosx+sinx,∴f′(x)=﹣f´()sinx+cosx,∴f′()=﹣f´()×+,∴f′()=﹣1,∴f(π)=(﹣1)×(﹣)+=﹣1,故选:B18.函数y=sin(lnx)的导数y′=()A.ln(cosx)B.cos(lnx)C.﹣cos(lnx)D.cos(lnx)【分析】根据题意,令t=lnx,则y=sint,根据复合函数的导数公式进行求导即可答案.【解答】解:根据题意,令t=lnx,则y=sint,则其导数y′=cos(t)•(lnx)′=cos(lnx)•(lnx)′=cos(lnx),故选:D.19.已知函数f(x)=ln(ax﹣1)的导函数是f'(x),且f'(2)=2,则实数a的值为()A.B.C.D.1【分析】利用导数的运算法则即可得出.【解答】解:由f(x)=ln(ax﹣1)可得,由f'(2)=2,可得,解之得.故选:B.20.设f0(x)=sinx,f1(x)=f0′(x),f2(x)=f1′(x),…,f n+1(x)=f n′(x),n∈N,则f2017(x)=()A.sinx B.﹣sinx C.cosx D.﹣cosx【分析】由题意对函数的变化规律进行探究,发现呈周期性的变化,且其周期是4,故只须研究清楚f2010(x)是一个周期中的第几个函数即可得出其解析式.【解答】解:由题意f0(x)=sinx,f1(x)=f0′(x)=cosx,f2(x)=f1′(x)=﹣sinx,f3(x)=f2′(x)=﹣cosx,f4(x)=f3′(x)=sinx,由此可知,在逐次求导的过程中,所得的函数呈周期性变化,从0开始计,周期是4,∵2017=4×504+1,f2010(x)是一周中的第三个函数,故f2017(x)=cosx.故选:C.21.已知f1(x)=cosx,f2(x)=f1′(x),f3(x)=f2′(x),f4(x)=f3′(x),…,f n(x)=f n﹣1′(x),则f2015(x)等于()A.sinx B.﹣sinx C.cosx D.﹣cosx【分析】对函数连续求导研究其变化规律,可以看到函数解析式呈周期性出现,以此规律判断求出f2015(x)【解答】解:由题意f1(x)=cosx,f2(x)=f1′(x)=﹣sinx,f3(x)=f2′(x)=﹣cosx,f4(x)=f3′(x)=sinx,f5(x)=f4′(x)=cosx,…由此可知,在逐次求导的过程中,所得的函数呈周期性变化,从0开始计,周期是4,∵2015=4×503+3,故f2015(x)=f3(x)=﹣cosx故选:D22.函数(x>0),若x0满足f'(x0)=0,设m∈(0,x0),n∈(x0,+∞),则()A.f'(m)<0,f'(n)<0 B.f'(m)>0,f'(n)>0 C.f'(m)<0,f'(n)>0 D.f'(m)>0,f'(n)<0【分析】根据题意,对f(x)求导可得f′(x),若f'(x0)=0,则有=1,将m、n的值代入计算可得答案.【解答】解:根据题意,函数(x>0),其导数f′(x)=e x﹣=,若f'(x0)=0,则有=1,当m∈(0,x0),即m<x0,f'(m)=<0,n∈(x0,+∞),即n>x0,f'(n)=>0,故选:C.23.若函数f(x)在其定义域的一个子集[a,b]上存在实数m(a<m<b),使f(x)在m处的导数f'(m)满足f(b)﹣f(a)=f'(m)(b﹣a),则称m是函数f(x)在[a,b]上的一个“中值点”,函数在[0,b]上恰有两个“中值点”,则实数b的取值范围是()A.,B.(3,+∞)C.,D.,【分析】根据新定义得到x1,x2为方程x2﹣2x﹣b2+b=0在(0,b)上有两个不同根,构造函数g(x)=x2﹣2x﹣b2+b,列出不等式组,解得即可【解答】解:f′(x)=x2﹣2x,设=b2﹣b,由已知可得x1,x2为方程x2﹣2x﹣b2+b=0在(0,b)上有两个不同根,令g(x)=x2﹣2x﹣b2+b,则>>>>,解得<b<3,故选:C24.设函数f(x)=x3﹣ax2+2bx+1的导函数为f′(x),若函数f′(x)的图象关于直线x=对称,且当x∈[1,π]时,恒有f(x)≥1,则实数b的取值范围为()A.(,+∞)B.[,1]C.(﹣∞,]D.[,+∞)【分析】根据f′(x)的图象判断f(x)在[1,π]上的单调性,列出不等式解出.【解答】解:f′(x)=3x2﹣2ax+2b,∵函数f′(x)的图象关于直线x=对称,∴=,即a=2.∴f(x)=x3﹣2x2+2bx+1,f′(x)=3x2﹣4x+2b,△=16﹣24b,(1)若△=16﹣24b≤0,即b时,f′(x)≥0,∴f(x)在[1,π]上是增函数,∴f min(x)=f(1)=2b≥1,解得b≥,∴b≥.排除B,C.(2)若△=16﹣24b>0,即b<时,令f′(x)=0,解得x=.①若1≥,即b<时,f′(x)在[1,π]上恒大于或等于0,∴f(x)在[1,π]上是增函数,∴f min(x)=f(1)=2b≥1,解得b≥,∴≤b<.排除A.故选:D.25.已知定义在(0,+∞)上的单调函数f(x),对∀x∈(0,+∞),都有f[f(x)﹣log2x]=3,则方程f(x)﹣f′(x)=2的解所在的区间是()A.(0,) B.(1,2) C.(,1) D.(2,3)【分析】设t=f(x)﹣log2x,则f(x)=log2x+t,又由f(t)=3,即log2t+t=3,解可得t的值,可得f (x)的解析式,由二分法分析可得h(x)的零点所在的区间为(1,2),结合函数的零点与方程的根的关系,即可得答案.【解答】解:根据题意,对任意的x∈(0,+∞),都有f[f(x)﹣log2x]=3,又由f(x)是定义在(0,+∞)上的单调函数,则f(x)﹣log2x为定值,设t=f(x)﹣log2x,则f(x)=log2x+t,又由f(t)=3,即log2t+t=3,解可得,t=2;则f(x)=log2x+2,f′(x)=,将f(x)=log2x+2,f′(x)=代入f(x)﹣f′(x)=2,可得log2x+2﹣=2,即log2x﹣=0,令h(x)=log2x﹣,分析易得h(1)=﹣<0,h(2)=1﹣>0,则h(x)=log2x﹣的零点在(1,2)之间,则方程log2x﹣=0,即f(x)﹣f′(x)=2的根在(1,2)上,故选:B.26.已知二次函数f(x)=ax2+bx+c的导数为f′(x),f′(0)>0,对于任意实数x,有,则的最小值为()A.2 B.C.3 D.【分析】由对于任意实数x,f(x)≥0成立求出a的范围及a,b c的关系,求出f(1)及f′(0),作比后放缩去掉c,通分后利用基本不等式求最值.【解答】解:∵f(x)≥0,知>,∴c.又f′(x)=2ax+b,∴f′(0)=b>0,f(1)=a+b+c.∴≥1+=≥1+=2.当且仅当4a2=b2时,“=”成立.故选A.27.已知函数f(x)及其导数f'(x),若存在x0使得f(x0)=f'(x0),则称x0是f(x)的一个“巧值点”.给出下列五个函数:①f(x)=x2,②f(x)=e﹣x,③f(x)=lnx,④f(x)=tanx,其中有“巧值点”的函数的个数是()A.1 B.2 C.3 D.4【分析】根据题意,依次分析四个函数,分别求函数的导数,根据条件f(x0)=f′(x0),确实是否有解即可.【解答】解:根据题意,依次分析所给的函数:①、若f(x)=x2;则f′(x)=2x,由x2=2x,得x=0或x=2,这个方程显然有解,故①符合要求;②、若f(x)=e﹣x;则f′(x)=﹣e﹣x,即e﹣x=﹣e﹣x,此方程无解,②不符合要求;③、f(x)=lnx,则f′(x)=,若lnx=,利用数形结合可知该方程存在实数解,③符合要求;④、f(x)=tanx,则f′(x)=()′=,即sinxcosx=1,变形可sin2x=2,无解,④不符合要求;故选:B.28.已知函数,其导函数记为f'(x),则f(2017511)+f'(2017511)+f(﹣2017511)﹣f'(﹣2017511)=()A.0 B.1 C.2 D.2017511【分析】先求导,再判断导函数f'(x)的奇偶性,f(x)=1+,设g(x)=,判断其奇偶性,即可求出答案.【解答】解:f(x)=1+,∴f′(x)=,∴f′(﹣x)==f′(x),∴f′(x)为偶函数,∴f'(2017511)﹣f'(﹣2017511)=0,设g(x)=,则g(﹣x)=﹣=﹣g(x),∴g(x)为奇函数,∴f(2017511)+f(﹣2017511)=1+g(2017511)+1+g(﹣2017511)=2,∴f(2017511)+f'(2017511)+f(﹣2017511)﹣f'(﹣2017511)=2,故选:C29.[x]表示不超过x的最大整数,若f′(x)是函数f(x)=ln|x|导函数,设g(x)=f(x)f′(x),则函数f=[g(x)]+[g(﹣x)]的值域是()A.{﹣1,0}B.{0,1}C.{0}D.{偶数}【分析】先对函数g(x)进行化简,根据[x]表示不超过x的最大整数,针对x进行分类讨论,发现规律,问题得以解决.【解答】解:由题意可知g(x)=f(x)•f′(x)=,>,<,不妨设x>0,则y=[g(x)]+[g(﹣x)]=[]+[]当∈(0,1),则∈(﹣1,0),[]=0,[]=﹣1,y=[g(x)]+[g(﹣x)]=﹣1当=0,则=0,[]=0,[]=0,y=[g(x)]+[g(﹣x)]=0依此类推可得y=[g(x)]+[g(﹣x)]的值域是{﹣1,0},故选A.30.定义:如果函数f(x)在[m,n]上存在x1,x2(m<x1<x2<n)满足f′(x1)=,f′(x2)=,则称函数f(x)是[m,n]上的“双中值函数”.已知函数f(x)=x3﹣x2+a是[0,a]上“双中值函数”,则实数a的取值范围是()A.(,)B.(,3) C.(,1) D.(,1)【分析】令f′(x)=3x2﹣2x==a2﹣a,a2﹣a=3x2﹣2x,x∈[0,a].令g(x)=3x2﹣2x﹣a2+a,根据函数f(x)=x3﹣x2+a是[0,a]上“双中值函数”,可得方程3x2﹣2x﹣a2+a=0在x∈(0,a)有两个不等实数根.必须满足:g(0)>0,<0,g(a)>0.解出即可得出.【解答】解:令f′(x)=3x2﹣2x==a2﹣a,∴a2﹣a=3x2﹣2x,x∈[0,a].令g(x)=3x2﹣2x﹣a2+a,∵函数f(x)=x3﹣x2+a是[0,a]上“双中值函数”,∴方程3x2﹣2x﹣a2+a=0在x∈(0,a)有两个不等实数根.∴g(0)>0,<0,g(a)>0.解得<<1.∴实数a的取值范围是,.故选:C.31.已知函数f(x)=asinx+bx3+1(a,b∈R),f′(x)为f(x)的导函数,则f(2016)+f(﹣2016)+f′(2017)﹣f′(﹣2017)=()A.2017 B.2016 C.2 D.0【分析】根据函数的解析式求出函数的导数,结合函数的奇偶性建立方程关系进行求解即可.【解答】解:函数的导数f′(x)=acosx+3bx2,则f′(x)为偶函数,则f′(2017)﹣f′(﹣2017)=f′(2017)﹣f′(2017)=0,由f(x)=asinx+bx3+1得f(2016)=asin2016+b•20163+1,f(2016)=asin2016+b•20163+1,f(﹣2016)=﹣asin2016﹣b•20163+1,则f(2016)+f(﹣2016)=2,则f(2016)+f(﹣2016)+f′(2017)﹣f′(﹣2017)=2+0=2,故选:C32.已知f(x)=1+(1+x)+(1+x)2+(1+x)3+…+(1+x)n,则f'(0)=()A.n B.n﹣1 C.D.n(n+1)【分析】根据题意,对函数f(x)求导,计算可得f′(x),将x=0代入计算可得答案.【解答】解:根据题意,f(x)=1+(1+x)+(1+x)2+(1+x)3+…+(1+x)n,则其导数f′(x)=1+2(1+x)+3(1+x)2+4(1+x)3+…+n(1+x)n﹣1,则f'(0)=1+2+3+4+…+n=;故选:D.33.设函数f(x)=x3+x2+,其中θ∈(﹣,),则导数f′(1)的取值范围是()A.(﹣,1]B.(﹣,1)C.(﹣,)D.(﹣,]【分析】求导,当x=1时,f′(1)=+=sin(θ+),由θ∈(﹣,),即可求得θ+∈(﹣,),根据正弦函数的性质,即可求得导数f′(1)的取值范围.【解答】解:f(x)=x3+x2+,f′(x)=x2+x,f′(1)=+=sin(θ+),由θ∈(﹣,),则θ+∈(﹣,),则sin(θ+)∈(﹣,1],∴导数f′(1)的取值范围(﹣,1],故选A.34.已知函数f0(x)=sinx+cosx,f1(x)=f′0(x),f2(x)=f′1(x),…f n+1(x)=f′n(x),n∈N,那么f2017=()A.cosx﹣sinx B.sinx﹣cosx C.sinx+cosx D.﹣sinx﹣cosx【分析】根据题意,利用导数的运算法则依次计算f1(x)、f2(x)、f2(x)…的值,分析可得f n(x)+4=f n(x),即可得f2017(x)=f504×4+1(x)=f1(x),即可得答案.【解答】解:根据题意,∵f0(x)=sinx+cosx,∴f1(x)=f0′(x)=cosx﹣sinx,f2(x)=f1′(x)=﹣sinx﹣cosx,f3(x)=﹣cosx+sinx,f4(x)=sinx+cosx,以此类推,可得出f n(x)=f n(x)+4(x)=f1(x)=cosx﹣sinx;∴f2017(x)=f504×4+1故选:A35.定义方程f(x)=f′(x)的实数根x0叫做函数f(x)的“新驻点”,若函数g(x)=x3﹣1,h(x)=2x,φ(x)=ln(x+1)的“新驻点”分别为α,β,γ,则α,β,γ的大小关系为()A.α>β>γ B.β>α>γ C.γ>α>β D.β>γ>α【分析】由题设中所给的定义,对三个函数所对应的方程进行研究,分别计算求出α,β,γ的值或存在的大致范围,再比较出它们的大小即可选出正确选项【解答】解:①∵g(x)=x3﹣1,∴g′(x)=3x2,由g(x)=g′(x),得x3﹣1=2x2,∵2x2>0,(x=0时不成立),∴x3﹣1>0,∴x>1,∴α>1.②∵h(x)=2x,∴h′(x)=2,由h(x)=h′(x),解得x=1,∴β=1.③∵φ(x)=ln(x+1),∴φ′(x)=,由φ(x)=φ′(x),得到ln(x+1)=,令m(x)=ln(x+1)﹣,则m′(x)=+,因此函数m(x)在(﹣1,+∞)单调递增.∵m(0)=﹣1<0,m(1)=ln2﹣>0,∴0<γ<1.综上可知:α>β>γ.故选:A.36.设f1(x)=sinx,定义f n+1(x)为f n(x)的导数,即f(x)=f n′(x),n∈N*,若△ABC的内角A满足f1(A)+f2(A)+…+f2018(A)=0,则cosA的值为()A.1 B.﹣1 C.D.﹣【分析】根据导数公式直接进行求导,得到函数f n(x)具备周期性,然后根据周期性将条件进行化简,即可得到结论.(x)=f′n(x),【解答】解:∵f1(x)=sinx,f n+1∴f2(x)=f′1(x)=cosx,f3(x)=f′2(x)=﹣sinx,f4(x)=f'3(x)=﹣cosx,f5(x)=f′4(x)=sinx,f6(x)=f′5(x)=cosx,(x)=f′n(x),具备周期性,周期性为4.∴f n+1且f1(x)+f2(x)+f3(x)+f4(x)=cosx﹣sinx+sinx﹣cosx=0,∵f1(A)+f2(A)+…+f2018(A)=0,∴f1(A)+f2(A)=sinA+cosA=0,∴A=135°,故cosA=﹣,故选:D.37.已知函数f(x)及其导数f′(x),若存在x0,使得f(x0)=f′(x0),则x0称为f(x)的一个“巧值点”,则下列函数中有“巧值点”的是()①f(x)=x2;②f(x)=e﹣x;③f(x)=lnx;④f(x)=tanx;⑤f(x)=.A.①③⑤B.①③④C.②③④D.②⑤【分析】求出函数的导数,使f(x)=f′(x),如果有解,则存在存在“巧值点”.【解答】解:①中的函数f(x)=x2,f′(x)=2x.要使f(x)=f′(x),则x2=2x,解得x=0或2,可见函数有巧值点;对于②中的函数,要使f(x)=f′(x),则e﹣x=﹣e﹣x,由对任意的x,有e﹣x>0,可知方程无解,原函数没有巧值点;对于③中的函数,要使f(x)=f′(x),则lnx=,由函数f(x)=lnx与y=的图象知,它们有交点,因此方程有解,原函数有巧值点;对于④中的函数,f (x)=tanx,f′(x)=,要使f(x)=f′(x),则tanx=,即sinxcosx=1,即sin2x=2,无解,∴原函数没有巧值点,故④错误;对于⑤中的函数,要使f(x)=f′(x),则=﹣,解得x=﹣1,原函数有巧值点;故有“巧值点”的函数为①③⑤.故选:A.38.设函数f n′(x)是f n(x)的导函数,f0(x)=e x(cosx+sinx),f1(x)=,f2(x)=,…,(n∈N),则f2016(x)=()A.e x(cosx+sinx)B.e x(cosx﹣sinx)C.﹣e x(cosx+sinx)D.e x(sinx﹣cosx)【分析】我们易得到f n(x)表达式以8为周期,呈周期性变化,由于2016÷8余0,故f2008(x)=f0(x),进而得到答案【解答】解:∵f0(x)=e x(cosx+sinx),∴f0′(x)=e x(cosx+sinx)+e x(﹣sinx+cosx)=2e x cosx,∴f1(x)==e x cosx,∴f1′(x)=e x(cosx﹣sinx),∴f2(x)==e x(cosx﹣sinx),∴f2′(x)=e x(cosx﹣sinx)+e x(﹣sinx﹣cosx)=﹣2e x sinx,∴f3(x)=﹣e x sinx,∴f3′(x)=﹣e x(sinx+cosx),∴f4(x)=﹣e x(cosx+sinx),∴f4′(x)=﹣2e x cosx,∴f5(x)=﹣e x cosx,∴f6(x)=﹣e x(cosx﹣sinx),∴f7(x)=e x sinx,∴f8(x)=e x(cosx+sinx),…,∴f2016(x)=f(0)=e x(cosx+sinx),故选:A.39.已知函数f(x)=e x﹣2ax,函数g(x)=﹣x3﹣ax2.若不存在x1,x2∈R,使得f′(x1)=g′(x2),则实数a的取值范围为()A.(﹣2,3)B.(﹣6,0)C.[﹣2,3]D.[﹣6,0]【分析】先求导,分别求出导函数的最值,再根据不存在x1,x2∈R,使得f′(x1)=g′(x2),得到关于a的不等式解得即可.【解答】解:∵函数f(x)=e x﹣2ax,函数g(x)=﹣x3﹣ax2,∴f′(x)=e x﹣2a>﹣2a,g′(x)=﹣3x2﹣2ax=﹣3(x+)2+≤,∵不存在x1,x2∈R,使得f′(x1)=g′(x2),∴﹣2a≥,解得﹣6≤a≤0,故选:D.40.已知函数f(x)=lnx+tanα(α∈(0,))的导函数为f′(x),若使得f′(x0)=f(x0)成立的x0<1,则实数α的取值范围为()A.(,)B.(0,)C.(,)D.(0,)【分析】由于f′(x)=,f′(x0)=,f′(x0)=f(x0),可得=ln x0+tan α,即tan α=﹣ln x0,由0<x0<1,可得﹣ln x0>1,即tan α>1,即可得出.【解答】解:∵f′(x)=,f′(x0)=,f′(x0)=f(x0),∴=ln x0+tan α,∴tan α=﹣ln x0,又∵0<x0<1,∴可得﹣ln x0>1,即tan α>1,∴α∈(,).故选:A.二.填空题(共6小题)41.已知在R上可导,F(x)=f(x3﹣1)+f(1﹣x3),则F′(1)=0.【分析】根据题意,由F(x)的解析式对其求导可得F'(x),将x=0代入,化简变形即可得答案.【解答】解:根据题意,F(x)=f(x3﹣1)+f(1﹣x3),则F'(x)=3x2f'(x3﹣1)﹣3x2f'(1﹣x3),则F'(1)=3f'(0)﹣3f'(0)=0.故答案为:0.42.已知f(x)=f(4﹣x),当x≤2时,f(x)=e x,f′(3)+f(3)=0.【分析】由f(x)=f(4﹣x)可得,函数f(x)的图象关于直线x=2对称,则f(3)=f(1),f′(3)=﹣f′(1),进而得到答案.【解答】解:由f(x)=f(4﹣x)可得,函数f(x)的图象关于直线x=2对称,当x≤2时,f(x)=e x,f′(x)=e x,∴f(3)=f(1)=e,f′(3)=﹣f′(1)=﹣e,故f′(3)+f(3)=0,故答案为:0.43.设定义域为(0,+∞)的单调函数f(x),对任意的x∈(0,+∞),都有f[f(x)﹣log2x]=6,若x0是方程f(x)﹣f′(x)=4的一个解,且x0∈(a,a+1)(a∈N*),则实数a=1.【分析】由题意可得f(x)﹣log2x为定值,设为t,代入可得t=4,进而可得函数的解析式,化方程有解为函数F(x)=f(x)﹣f′(x)﹣4=log2x﹣有零点,易得F(1)<0,F(2)>0,由零点的判定可得答案.【解答】解:根据题意,对任意的x∈(0,+∞),都有f[f(x)﹣log2x]=6,又由f(x)是定义在(0,+∞)上的单调函数,则f(x)﹣log2x为定值,设t=f(x)﹣log2x,则f(x)=t+log2x,又由f(t)=6,可得t+log2t=6,可解得t=4,故f(x)=4+log2x,f′(x)=,又x0是方程f(x)﹣f′(x)=4的一个解,所以x0是函数F(x)=f(x)﹣f′(x)﹣4=log2x﹣的零点,分析易得F(1)=﹣<0,F(2)=1﹣=1﹣>0,故函数F(x)的零点介于(1,2)之间,故a=1,故答案为:144.已知函数y=f(x)的导函数为f'(x)=cosx﹣5,且f(0)=0,如果f(1﹣ax)+f(1﹣ax2)<0恒成立,则实数a的取值范围是(﹣8,0] .【分析】由题意函数的导函数f'(x)=cosx﹣5<0恒成立,故函数是减函数,再由函数是奇函数将不等式f(1﹣ax)+f(1﹣ax2)<0转化为f(1﹣ax)<f(ax2﹣1),由单调性及定义转化为不等式,再分类讨论即可求出a的取值范围【解答】解:∵﹣1≤cosx≤1,∴f'(x)=cosx﹣5<0,∴函数f(x)在R上单调递减,∵f′(x)=cosx﹣5为偶函数及f(0)=0可得f(x)为奇函数由f(1﹣ax)+f(1﹣ax2)<0可得,f(1﹣ax)<﹣f(1﹣ax2)=f(ax2﹣1)即1﹣ax>ax2﹣1∴a(x2+x)<2,当x<﹣1或x>0时,x2+x>0,则a<=∵>0,∴a≤0,当﹣1<x<0时,x2+x<0,则a>=当x=﹣时,(x+)2﹣有最小值,则有最大值﹣8,∴a>﹣8,当x2+x=0时,恒成立,综上所述a的取值范围为(﹣8,0],故答案为(﹣8,0].45.已知函数f(x)满足f(0)=﹣1,其导函数f′(x)满足f′(x)>k>1,则下列结论中正确的是(1),(2),(4).(1)f()>﹣1;(2)f()>;(3)f()<;(4)f()<f()【分析】根据导数的概念得出>k>1,(1),(2)分别取x=,x=判断即可,(4)根据函数的单调性判断即可.【解答】解:∵f′(x)=,且f′(x)>k>1,∴>k>1,即>k>1,对于(1),令x=,即有f()+1>•k=1,即为f()>0,故(1)正确;对于(2),当x=时,f()+1>•k=,即f()>﹣1=,故f()>,故(2)正确;对于(3),由(2)可得f()>>﹣1=,故(3)不正确,对于(4),函数递增,故(4)正确.故正确个数为3,故选;(1)(2)(4)46.若函数f(x)的导数f′(x)存在导数,记f′(x)的导数为f n(x).如果f(x)对任意x∈(a,b),都有f n(x)<0成立,则f(x)有如下性质:f()≥.其中n∈N*,x1,x2,…,x n∈(a,b).若f(x)=sinx,则f n(x)=﹣sinx;根据上述性质推断:当x1+x2+x3=π且x1,x2,x3∈(0,π)时,根据上述性质推断:sinx1+sinx2+sinx3的最大值为.【分析】构造函数f(x)=sinx,x∈(0,π),求导,则f″(x)=﹣sinx,由正弦函数的图象可知f″(x)<0成立,根据函数的性质sinx1+sinx2+sinx3≤3sin(),即可求得sinx1+sinx2+sinx3的最大值.【解答】解:设f(x)=sinx,x∈(0,π),则f′(x)=cosx,则f″(x)=﹣sinx,x∈(0,π),f(x)有如下性质:f()≥.则sinx1+sinx2+sinx3≤3sin()=3×sin=,∴sinA+sinB+sinC的最大值为,故答案为:﹣sinx,。
导数专项训练 例题讲解【1】导数的几何意义及切线方程1.已知函数()a f x x =在1x =处的导数为2-,则实数a 的值是________.2. 曲线y =3x -x 3上过点A (2,-2)的切线方程为___________________.3. 曲线xy 1=和2x y =在它们的交点处的两条切线与x 轴所围成的三角形的面积是 . 4.若直线y =kx -3与曲线y =2ln x 相切,则实数k =_______.5.已知直线2+=x y 与曲线()a x y +=ln 相切,则a 的值为 _______. 6. 等比数列{}n a 中,120121,9a a ==,函数122012()()()()2f x x x a x a x a =---+,则曲线()y f x =在点(0,(0))f 处的切线方程为_____________.7.若点P 是曲线y=x 2-ln x 上的任意一点,则点P 到直线y=x-2的最小距离为________. 8. 若点P 、Q 分别在函数y =e x 和函数 y =ln x 的图象上,则P 、Q 两点间的距离的最小值是_____. 9. 已知存在实数a ,满足对任意的实数b ,直线y x b =-+都不是曲线33y x ax =-的切线,则实数a 的取值范围是_________.10. 若关于x 的方程3x e x kx -=有四个实数根,则实数k 的取值范围是_____________. 11. 函数f (x)=ax 2+1(a >0),g (x )=x 3+bx .若曲线y =f (x )与曲线y =g(x )在它们的交点(1, c )处具有公 共切线,则c 的值是___________.【2】常见函数的导数及复合函数的导数1.f(x)=2 , 则f ’(2) =______. 2. 设曲线y =ln 1xx +在点(1, 0)处的切线与直线x -ay +1=0垂直,则a =_______.3.函数333()(1)(2)(100)f x x x x =+++在1x =-处的导数值为___________.4. 已知函数f (x )在R 上满足f (x )=2f (2-x )-x 2+8x -8,则曲线y =f (x )在点(1, f (1))处的切线方程是____________.5. 若函数()1*()n f x x n N +=∈的图像与直线1x =交于点P ,且在点P 处的切线与x 轴交点的横坐标为n x ,则20131201322013320132012log log log log x x x x ++++的值为 .6. 设f 1(x )=cos x ,定义)(1x f n +为)(x f n 的导数,即)(' )(1x f x f n n =+,n ∈N *,若ABC ∆的内角A 满足1220130f A f A f A ()()()+++=,则sin A 的值是______.【3】导数与函数的单调性22x xe e -⎛⎫+ ⎪⎝⎭1. 函数21ln 2y x x =-的单调递减区间为______. 2. 已知函数()ln ()f x x a R =∈,若任意12[2,3]x x ∈、且12x x >,t =()2121()f x f x x x --,则实数t的取值范围____________.3. 已知函数f (x )=x 3-6x 2+9x +a 在x R ∈上有三个零点,则实数a 的取值范是 .4.设'()f x 和'()g x 分别是f (x )和()g x 的导函数,若'()'()0f x g x ≤在区间I 上恒成立,则称f (x )和g (x )在区间I 上单调性相反.若函数f(x)=3123x ax -与g (x )=x 2+2bx 在开区间(a , b )上单调性相反(a >0),则b -a 的最大值为 . 【4】导数与函数的极值、最值1. 已知函数322()3f x x mx nx m =+++在1x =-时有极值0,则m n += . 2. 已知函数()2(1)ln f x f x x '=-,则()f x 的极大值为 .3. 已知函数f (x )=x 4+ax 3+2x 2+b ,其中a , b R ∈.若函数f (x )仅在x =0处有极值,则a 的取值范围是______________.4. 设曲线(1)x y ax e =-在点()10,y x A 处的切线为1l ,曲线()x e x y --=1在点02(,)B x y 处的切 线为2l .若存在030,2x ⎡⎤∈⎢⎥⎣⎦,使得12l l ⊥,则实数a 的取值范围为____________.5.已知函数f (x )=e x -1, g(x )= -x 2+4x -3若有f (a )=g (b ),则b 的取值范围为______.6. '()f x 是函数3221()(1)3f x x mx m x n =-+-+的导函数,若函数['()]y f f x =在区间[m ,m+1]上单调递减,则实数m 的取值范围是__________. 【解答题】1. 某企业拟建造如上图所示的容器(不计厚度,长度单位:米),其中容器的中间为圆柱形,左 右两端均为半球形,按照设计要求容器的体积为803π立方米,且2l r ≥.假设该容器的建造 费用仅与其表面积有关.已知圆柱形部分每平方米建造费用为3千元,半球形部分每平方米 建造费用为()3c c >.设该容器的建造费用为y 千元. (1)写出y 关于r 的函数表达式,并求该函数的定义域; (2)求该容器的建造费用最小时的r2. 已知函数f (x )=2ax -(a +2)x +ln x .(1)当a =1时,求曲线y = f(x )在点(1, f(1))处的切线方程;(2)当a >0时,若f (x )在区间[1,e )上的最小值为-2,求a 的取值范围.3. 已知函数x a x x f ln )()(-=,(0≥a ).(1)当0=a 时,若直线m x y +=2与函数)(x f y =的图象相切,求m 的值; (2)若)(x f 在[]2,1上是单调减函数,求a 的最小值;(3)当[]e x 2,1∈时,e x f ≤)(恒成立,求实数a 的取值范围.(e 为自然对数的底).4.已知函数2()ln ,af x x a x=+∈R . (1)若函数()f x 在[2,)+∞上是增函数,求实数a 的取值范围; (2)若函数()f x 在[1,]e 上的最小值为3,求实数a 的值.5.设函数2()1x f x e x ax =---(1)若0a =,求()f x 的单调区间; (2)若当0x ≥时()0f x ≥,求a 的取值范围导数专项练习答案 【1】导数的几何意义及切线方程1. 2;2. y =-2或9x +y -16=03.34; 4. 2e ; 5. 3; 6.201232y x =+; 7. 2; 8. 2; 9. 13a < 10. ()0,3e -11. 4【2】常见函数的导数及复合函数的导数 1. e -1e; 2. 12- 3. 3⨯99! 4. 2x -y -1=0; 5. -1 ; 6. 1;【3】导数与函数的单调性1. (0, 1);2. 11,32⎛⎫⎪⎝⎭; 3. (-4, 0); 4. 12【4】导数与函数的极值、最值1. 11;2. 2ln2-2;3. 88,33⎡⎤-⎢⎥⎣⎦; 4. 312a ≤≤; 5. []1,3 ; 6.0m ≥[5] 解答题 1. 答案解:(1)由题意可知()23480233r l r l r πππ+=≥,即2804233l r r r =-≥,则02r <≤. 容器的建造费用为2228042346433y rl r c r r r c rππππ⎛⎫=⨯+⨯=-+ ⎪⎝⎭, 即2216084y r r c rπππ=-+,定义域为{}02x r <≤. (2)2160168y r rc r πππ'=--+,令0y '=,得3202r c =-.令32022r c ==-,得92c =,①当932c <≤时,32022c ≥-,当02r <≤时,0y '<,函数单调递减,∴当2r =时y有最小值;②当92c >时,32022c <-,当32002r c <<-时,0y '<;当3202r c >-时,0y '>, ∴当3202r c =-时y 有最小值. 综上所述,当932c <≤时,建造费用最小时2r =;当92c >时,建造费用最小时3202r c =-2. 答案()()()()()()()22(2)2ln 0+22110220......5f x ax a x x ax a a f x ax a x x x =-++∞-+-'>=-++=>函数的定义域是,,当时,分()()()()()22212110=0,11..............................................................62ax a x ax f x f x x xx x a -+---''=====⋯⋯⋯令,即所以或分3. 解答4.若21a <,则20x a ->,即()0f x '>在[1,]e 上恒成立,此时()f x 在[1,]e 上是增函数.5. 解答导数专题复习(配详细答案)体型一:关于二次函数的不等式恒成立的主要解法: 1、分离变量;2变更主元;3根分布;4判别式法 5、二次函数区间最值求法:(1)对称轴(重视单调区间) 与定义域的关系 (2)端点处和顶点是最值所在其次,分析每种题型的本质,你会发现大部分都在解决“不等式恒成立问题”以及“充分应用数形结合思想”,创建不等关系求出取值范围。
2024届新高考数学复习:专项(导数的概念及运算)历年好题练习[基础巩固]一、选择题1.若f (x )=2xf ′(1)+x 2,则f ′(0)等于( )A .2B .0C .-2D .-42.已知函数f (x )=g (x )+2x 且曲线y =g (x )在x =1处的切线方程为y =2x +1,则曲线y =f (x )在x =1处的切线的斜率为( )A .2B .4C .6D .83.已知曲线y =a e x +x ln x 在点(1,a e)处的切线方程为y =2x +b ,则( )A .a =e ,b =-1B .a =e ,b =1C .a =e -1,b =1D .a =e -1,b =-14.在等比数列{a n }中,a 1=2,a 8=4,函数f (x )=x (x -a 1)ꞏ(x -a 2)ꞏ…ꞏ(x -a 8),则f ′(0)=( )A .26B .29C .212D .2155.设函数f (x )=x 3+(a -1)x 2+ax ,若f (x )为奇函数,则曲线y =f (x )在点(0,0)处的切线方程为( )A .y =-2xB .y =-xC .y =2xD .y =x6.已知曲线y =x 24 -3ln x 的一条切线的斜率为-12 ,则切点的横坐标为( )A .3B .2C .1D .127.f ′(x )是f (x )=sin x +a cos x 的导函数,且f ′⎝⎛⎭⎫π4 =2 ,则实数a 的值为( ) A .23 B .12C .34D .18.已知曲线y =x +ln x 在点(1,1)处的切线与二次曲线y =ax 2+(a +2)x +1相切,则a 等于( )A .-2B .0C .1D .89.函数f (x )的定义域为R ,f (-1)=2,对于任意x ∈R ,f ′(x )>2,则f (x )>2x +4的解集为( )A .(-1,1)B .(-1,+∞)C .(-∞,-1)D .(-∞,+∞)二、填空题10.已知物体运动的位移s与时间t之间的函数关系式为s=12t3-t,则当t=2时,该物体的瞬时速度为________.11.已知函数f(x)=e x ln x,f′(x)为f(x)的导函数,则f′(1)的值为________.12.若曲线y=e-x在点P处的切线与直线2x+y+1=0平行,则点P的坐标是________.[强化练习]13.函数f(x)=x4-2x3的图象在点(1,f(1))处的切线方程为()A.y=-2x-1 B.y=-2x+1C.y=2x-3 D.y=2x+114.(多选)已知函数f(x)=-x3+2x2-x,若过点P(1,t)可作曲线y=f(x)的三条切线,则t的取值可以是()A.0 B.1 27C.128D.12915.已知e是自然对数的底数,函数f(x)=(x-1)e x+3e的图象在点(1,f(1))处的切线为l,则直线l的横截距为________.16.[2022ꞏ新高考Ⅰ卷]若曲线y=(x+a)e x有两条过坐标原点的切线,则a的取值范围是________.参考答案1.D ∵f (x )=2xf ′(1)+x 2,∴f ′(x )=2f ′(1)+2x ,∴f ′(1)=2f ′(1)+2,∴f ′(1)=-2,∴f (x )=-4x +x 2,∴f ′(x )=-4+2x ,∴f ′(0)=-4.2.B ∵曲线y =g (x )在点(1,g (1))处的切线方程为y =2x +1,∴g ′(1)=2.∵函数f (x )=g (x )+2x ,∴f ′(x )=g ′(x )+2=g ′(1)+2,∴f ′(1)=2+2=4,即曲线y =f (x )在x =1处的切线的斜率为4.故选B.3.D 因为y ′=a e x +ln x +1,所以当x =1时,y ′=a e +1,所以曲线在点(1,a e)处的切线方程为y -a e =(a e +1)(x -1),即y =(a e +1)x -1,所以⎩⎪⎨⎪⎧a e +1=2,b =-1, 解得⎩⎪⎨⎪⎧a =e -1b =-1. 4.C ∵函数f (x )=x (x -a 1)(x -a 2)ꞏ…ꞏ(x -a 8),∴f ′(x )=(x -a 1)(x -a 2)ꞏ…ꞏ(x -a 8)+x [(x -a 1)(x -a 2)ꞏ…ꞏ(x -a 8)]′,∴f ′(0)=a 1a 2…a 8=(a 1a 8)4=84=212.5.D ∵f (x )=x 3+(a -1)x 2+ax 为奇函数,∴a -1=0,得a =1,∴f (x )=x 3+x ,∴f ′(x )=3x 2+1,∴f ′(0)=1,则曲线y =f (x )在点(0,0)处的切线方程为y =x ,故选D.6.B 令y ′=2x 4 -3x =-12 ,解得x =-3(舍去)或x =2.故切点的横坐标为2,故选B.7.B ∵f ′(x )=cos x -a sin x ,∴f ′⎝⎛⎭⎫π4 =22 -22 a =24 ,得a =12 . 8.D 由y =x +ln x ,得y ′=1+1x ,∴当x =1时,y ′=2,∴切线方程为y -1=2(x -1),即y =2x -1,由⎩⎪⎨⎪⎧y =2x -1,y =ax 2+(a +2)x +1,得ax 2+ax +2=0,由题意得⎩⎪⎨⎪⎧a ≠0,Δ=a 2-8a =0, 得a =8. 9.B 设g (x )=f (x )-2x -4,g ′(x )=f ′(x )-2,由题意得g ′(x )>0恒成立,∴g (x )在(-∞,+∞)上单调递增,又g (-1)=f (-1)-2×(-1)-4=0,又f (x )>2x +4等价于g (x )>0,∴原不等式的解为x >-1.10.5答案解析:由题知s ′=32 t 2-1,故当t =2时,该物体的瞬时速度为32 ×22-1=5.11.e答案解析:f ′(x )=e x ꞏln x +e x x ,∴f ′(1)=e.12.(-ln 2,2)答案解析:∵y =e -x ,∴y ′=-e -x ,设P (x 0,y 0),由题意得-e -x 0=-2,∴e -x 0=2,∴-x 0=ln 2,x 0=-ln 2,∴P (-ln 2,2).13.B f ′(x )=4x 3-6x 2,则f ′(1)=-2,易知f (1)=-1,由点斜式可得函数f (x )的图象在(1,f (1))处的切线方程为y -(-1)=-2(x -1),即y =-2x +1.故选B.14.CD ∵f (x )=-x 3+2x 2-x ,∴f ′(x )=-3x 2+4x -1.由已知得,过点P (1,t )作曲线y =f (x )的三条切线,情况如下:①点P (1,t )在曲线上,此时切点为P (1,t ),把P 点坐标代入函数答案解析式可得P (1,0),利用切线公式得y =f ′(1)(x -1),所以切线为x 轴,但此时切线只有一条,不符合题意.②点P (1,t )不在曲线上,设切点为(x 0,y 0),又切线经过点P (1,t ),所以切线方程为y -t =f ′(x 0)(x -1). 因为切线经过切点,所以y 0-t =(-3x 20 +4x 0-1)(x 0-1).又因为切点在曲线上,所以y 0=-x 30 +2x 20 -x 0.联立方程得化简得t =2x 30 -5x 20 +4x 0-1. 令g (x )=2x 3-5x 2+4x -1,即t =g (x )有三个解,即直线y =t 与y =g (x )的图象有三个交点.令g ′(x )=6x 2-10x +4=2(x -1)(3x -2)=0,可得两极值点为x 1=1,x 2=23 .所以x ∈⎝⎛⎭⎫-∞,23 和(1,+∞)时,g (x )单调递增,x ∈⎝⎛⎭⎫23,1 时,g (x )单调递减, 所以当g (1)=0<t <127 =g ⎝⎛⎭⎫23 时,满足直线y =t 与y =g (x )的图象有三个交点,而0<129 <128 <127 ,故选CD.15.-2答案解析:因为f ′(x )=e x +(x -1)e x =x e x ,所以切线l 的斜率为f ′(1)=e ,由f (1)=3e 知切点坐标为(1,3e),所以切线l 的方程为y -3e =e(x -1).令y =0,解得x =-2,故直线l 的横截距为-2.16.(-∞,-4)∪(0,+∞)答案解析:设切线的切点坐标为(x 0,y 0).令f (x )=(x +a )e x ,则f ′(x )=(x +1+a )e x ,f ′(x 0)=(x 0+1+a )e x 0.因为y 0=(x 0+a )e x 0,切线过原点,所以f ′(x 0)=y 0x 0,即(x 0+1+a )ꞏe x 0=(x 0+a )e x 0x 0.整理,得x 20 +ax 0-a =0.由题意知该方程有两个不同的实数根,所以Δ=a 2+4a >0,解得a <-4或a >0.。
高中导数试题题型及答案一、选择题1. 函数 \( y = 3x^2 - 2x + 1 \) 在 \( x = 1 \) 处的导数是:A. 6B. 4C. 5D. 72. 已知 \( f(x) = x^3 + ax^2 + bx + c \),其中 \( a = 1 \),\( b = -1 \),\( c = 1 \),求 \( f'(x) \):A. \( 3x^2 + 2x - 1 \)B. \( 3x^2 + 2x + 1 \)C. \( 3x^2 + 2x \)D. \( 3x^2 + 1 \)二、填空题3. 函数 \( y = x^3 \) 的导数是 ______ 。
答案:\( 3x^2 \)4. 如果 \( f(x) = \sin(x) \),那么 \( f'(x) \) 是 ______ 。
答案:\( \cos(x) \)三、计算题5. 求函数 \( y = x^4 - 5x^3 + 6x^2 \) 的导数。
答案:\( y' = 4x^3 - 15x^2 + 12x \)6. 已知 \( f(x) = \ln(x) + 2x^2 - 3x \),求 \( f'(x) \)。
答案:\( f'(x) = \frac{1}{x} + 4x - 3 \)四、应用题7. 某物体的位移函数是 \( s(t) = 2t^3 - 3t^2 + 4t \),求物体在\( t = 2 \) 秒时的瞬时速度。
答案:首先求导数 \( s'(t) = 6t^2 - 6t + 4 \),然后将 \( t= 2 \) 代入,得到 \( s'(2) = 6 \times 2^2 - 6 \times 2 + 4 =24 - 12 + 4 = 16 \) 米/秒。
8. 某工厂的产量函数是 \( P(x) = 100x - x^2 \),求工厂在 \( x= 10 \) 时的边际产量。
2023高考数学二轮复习专项训练《导数的计算》一、单选题(本大题共12小题,共60分)1.(5分)已知函数f(x)在R上可导,对任意实数x,f'(x)>f(x);若a为任意的正实数,下列式子一定正确的是()A. f(a)>eaf(0)B. f(a)>f(0)C. f(a)<f(0)D. f(a)<eaf(0)2.(5分)直线y=kx+1与曲线y=x3+bx2+c相切于点M(1, 2),则b的值为()A. −1B. 0C. 1D. 23.(5分)设f(x)=x3,f(a-bx)的导数是()A. 3(a-bx)B. 2-3b(a-bx)2C. 3b(a-bx)2D. -3b(a-bx)24.(5分)已知函数f(x)=2lnx+f′(2)x2+2x+3,则f(1)=()A. −2B. 2C. −4D. 45.(5分)设f0(x)=sin2x+cos2x,f1(x)=f0′(x),f2(x)=f1′(x),…,f1+n(x)=fn′(x),n∈N*,则f2013(x)=()A. 22012(cos2x-sin2x)B. 22013(sin2x+cos2x)C. 22012(cos2x+sin2x)D. 22013(sin2x+cos2x)6.(5分)曲线y=2sinx+cosx在点(π,−1)处的切线方程为()A. x−y−π−1=0B. 2x−y−2π−1=0C. 2x+y−2π+1=0D. x+y−π+1=07.(5分)若函数f(x)=x3−tx2+3x在区间[1,4]上单调递减,则实数t的取值范围是()] B. (−∞,3]A. (−∞,518,+∞) D. [3,+∞)C. [5188.(5分)[2021湖南省郴州市月考]随着科学技术的发展,放射性同位素技术已经广泛应用于医学、航天等众多领域,并取得了显著经济效益.假设在放射性同位素钍−234的衰变过程中,其含量N(单位:贝克)与时间t(单位:天)满足函数关系N(t)=N02−124,其中N0为t=0时针-234的含量.已知t=24时,钍−234含量的瞬时变化率为−8ln2,则N(96)=A. 12B. 12ln2C. 24D. 24ln29.(5分)设(2x−1)7=a0+a1x+a2x2+a3x3+a4x4+a5x5+a6x6+a7x7,则|a1|+2|a2|+3|a3|+4|a4|+5|a5|+6|a6|+7|a7|=()A. 10206B. 5103C. 729D. 72810.(5分)函数f(x)=2f′(1)·x+xlnx在x=1处的切线方程为()A. y=2x−2B. y=2x+1C. y=−x−1D. y=x−111.(5分)设f(x)=sin2x,则f′(x)等于()A. cos2xB. 2cos2xC. -sin2xD. 2(sin2x-cos2x)12.(5分)函数y=cos(1+x2)的导数是()A. 2xsin(1+x2)B. -sin(1+x2)C. -2xsin(1+x2)D. 2cos(1+x2)二、填空题(本大题共5小题,共25分)13.(5分)函数f(x)=xsin(2x+5)的导数为____.14.(5分)已知f(x)=ekx,则f′(x)=____.15.(5分)设函数f(x)=x3+(a−1)x2+ax,若f(x)为奇函数,则曲线y=f(x)在点(1,f(1))处的切线方程为__________.16.(5分)若函数f(x)满足f(x)=2lnx−xf′(1),则f′(1)=__________.17.(5分)写出一个同时具有下列性质①②③的函数f(x):_______.①f(x1x2)=f(x1)f(x2);②当x∈(0,+∞)时,f′(x)>0;③f′(x)是奇函数.三、解答题(本大题共6小题,共72分)18.(12分)已知函数f(x)=ae x lnx+be xx.(1)求导函数f′(x);(2)若曲线y=f(x)在点(1,f(1))处的切线方程为y=e(x+1),求a,b的值. 19.(12分)求下列函数在给定点的导数.(1)f(x)=x14,x=5;(2)f(x)=3(x+1)x2,x=1.20.(12分)已知函数f(x)=12x2−x+lnx.(1)求y=f(x)的导数;(2)求曲线y=f(x)在点(1,f(1))处的切线方程.21.(12分)求下列函数的导数.(1)y=(2+3x)(3−5x+x2);(2)y=(2x−1)2(2−3x)3;(3)y=(3x+2)sin5x;(4)y=e2x cos3x.22.(12分)已知函数f(x)=−13x3−a−12x2+bx+a(a,b∈R),且其导函数f′(x)的图象过原点.(1)若存在x<0,使得f′(x)=−9,求a的最大值;(2)当a>0时,求函数f(x)的零点个数.23.(12分)求下列函数在指定x处的导数值.(1)y=xsinx,x=π4;(2)y =xe x ,x =1.四 、多选题(本大题共5小题,共25分)24.(5分)若(1+2x)+(1+2x)2+⋅⋅⋅+(1+2x)n =a 0+a 1x +a 2x 2+⋅⋅⋅+a n x n (n ∈N ∗),a 0=6,则下列结论中正确的是()A. n =6B. a 1=42C. ∑ai n i=0=64D. ∑n i=1(−1)i iai =625.(5分)下列说法中正确的有()A. (sin π4)′=cos π4B. 已知函数f(x)在R 上可导,且f ′(1)=1,则limΔx→0f(1+2Δx)−f(1)Δx=2C. 一质点的运动方程为S =t 2,则该质点在t =2时的瞬时速度是4D. 已知函数f(x)=cosx ,则函数y =f ′(x)的图象关于原点对称 26.(5分)下列求导错误的是()A. (log 23)′=13ln2 B. (ln2x)′=12x C. (sin 2x)′=sin2x D. (cosx x)′=−cosx+sinxx 227.(5分)下列选项正确的有( )A. 若f(x)= x sin x +cos2x , 则f′(x) =sin x −x cos x +2sin2xB. 设函数f(x)=x ln x ,若f′(x 0)=2,则x 0=eC. 已知函数f(x)=3x 2e 2x ,则f′(1) =12e 2D. 设函数f(x)的导函数为f′(x ),且f(x)=x 2+3xf ′(2)+ln x ,则f′(2)=−94 28.(5分)设b 为实数,直线y =3x +b 能作为曲线f(x)的切线,则曲线f(x)的方程可以为()A. f(x)=−1xB. f(x)=12x 2+4lnxC. f(x)=x 3D. f(x)=e x答案和解析1.【答案】A;【解析】解:∵对任意实数x,f′(x)>f(x),令f(x)=-1,则f′(x)=0,满足题意显然选项A成立故选A.2.【答案】A;【解析】y=x3+bx2+c的导数为y′=3x2+2bx,可得切线的斜率为3+2b,由条件可得k=3+2b,1+b+c=2,1+k=2,解得k=1,b=−1,c=23.【答案】D;【解析】解;因为f(x)=x3,所以y=f(a-bx)=(a-bx)3,所以y′=3(a-bx)2(a-bx)′=-3b(a-bx)2故选D.4.【答案】D;【解析】此题主要考查导数的运算,属于基础题.先求出f′(2),再求f(1)即可.+f′(2)·2x+2,解:由题意,f′(x)=2x故f′(2)=1+4f′(2)+2,∴f′(2)=−1,∴f(1)=2ln1+f′(2)×12+2×1+3=4,故选D.5.【答案】A;【解析】解:∵f0(x)=sin2x+cos2x,∴f1(x)=f0′(x)=2(cos2x-sin2x),f2(x)=f1′(x)=22(-sin2x-cos2x),f3(x)=f2′(x)=23(-cos2x+sin2x),f4(x)=f3′(x)=24(sin2x+cos2x),…通过以上可以看出:f n(x)满足以下规律,对任意n∈N,fn+4(x)=24fn(x).∴f2013(x)=f503×4+1(x)=22012f1(x)=22013(cos2x-sin2x).故选:B.6.【答案】C;【解析】设f(x)=2sinx+cosx,则f′(x)=2cosx−sinx,∴f′(π)=2cosπ−sinπ=−2,∴切线方程为:y+1=−2(x−π),即2x+y−2π+1=0,故选C.7.【答案】C;【解析】解:∵函数f(x)=x3−tx2+3x,∴f′(x)=3x2−2tx+3,若函数f(x)=x3−tx2+3x在区间[1,4]上单调递减,则f′(x)⩽0即3x2−2tx+3⩽0在[1,4]上恒成立,∴t⩾32(x+1x)在[1,4]上恒成立,令y=32(x+1x),则函数在[1,4]为增函数,当x=4时,函数取最大值518,∴t⩾518,即实数t的取值范围是[518,+∞),故选:C.由题意可得f′(x)⩽0即3x2−2tx+3⩽0在[1,4]上恒成立,由函数的单调性可知t的范围.这道题主要考查函数的单调性和导数符号间的关系,属于中档题.8.【答案】C;【解析】由N(t)=N02−t24方得N′(t)=N02−t24×ln2×(−124),当t=24时,N′(24)=N02−2424×ln2×(−124)=−8ln2,解得N0=384,所以N(t)=384·2−t24,则N(96)=384·2−9624=384·2−4=24.故选C.9.【答案】A;【解析】此题主要考查二项式定理的运用,属于中档题.将(2x−1)7=a0+a1x+a2x2+a3x3+a4x4+a5x5+a6x6+a7x7两边求导,令x=−1,即可得到答案.解:将(2x−1)7=a0+a1x+a2x2+a3x3+a4x4+a5x5+a6x6+a7x7两边求导,可得14(2x−1)6=a1+2a2x+3a3x²+……+7a7x6,可得x的奇次方的系数为负数,令x=−1可得14(−2−1)6=a1−2a2+3a3+……+7a7,故|a1|+2|a2|+3|a3|+4|a4|+5|a5|+6|a6|+7|a7|=14×36=10206.故选A.10.【答案】C;【解析】此题主要考查曲线的切线方程的求法,导数的几何意义,属于基础题.先求出f′(1)=−1,再求出f(1)=−2,由此可解.解:因为f′(x)=2f′(1)+lnx+1,所以f′(1)=2f′(1)+1,即f′(1)=−1,所以f(1)=2f′(1)=−2,所以切线方程为y=−(x−1)−2=−x−1.故选C.11.【答案】B;【解析】解:因为设f(x)=sin2x,所以f′(x)=(2x)′cos2x=2cos2x.故选B.12.【答案】C;【解析】解:y′=-sin(1+x2)•(1+x2)′=-2xsin(1+x2)故选C13.【答案】sin(2x+5)+2xcos(2x+5);【解析】解:f′(x)=x′sin(2x+5)+x(sin(2x+5))′=sin(2x+5)+2xcos(2x+5),故答案为:sin(2x+5)+2xcos(2x+5),14.【答案】k e kx;【解析】解:∵f(x)=e kx,∴f′(x)=e kx•(kx)′=k e kx,故答案为:k e kx.15.【答案】4x−y−2=0;【解析】此题主要考查函数奇偶性,利用导数研究曲线上某点切线方程,属于基础题.由奇函数的定义求出a的值,然后利用导数的几何意义求出切线的斜率,进而写出切线方程.解:因为函数f(x)=x3+(a−1)x2+ax为奇函数,所以f(−x)=−f(x),所以(−x)3+(a−1)(−x)2+a(−x)=−[x3+(a−1)x2+ax],所以2(a−1)x2=0.因为x∈R,所以a=1,所以f(x)=x3+x,所以f′(x)=3x2+1,所以f′(1)=4,f(1)=2,所以曲线y=f(x)在点x=1处的切线方程为4x−y−2=0,故答案为:4x−y−2=0.16.【答案】1;【解析】此题主要考查导数的加法与减法的法则,解决此题的关键是对f(x)进行正确求导,属于基础题.利用求导公式对f(x)进行求导,再把x=1代入,即可求解.解:∵函数f(x)的导函数为f′(x),且满足f(x)=2lnx−xf′(1),−f′(1),把x=1代入f′(x)可得f′(1)=2−f′(1),∴f′(x)=2x解得f′(1)=1.故答案为:1.17.【答案】f(x)=x4(答案不唯一,f(x)=x2n(n∈N∗)均满足);【解析】本题是开放性问题,合理分析所给条件找出合适的函数是关键,属于中档题.根据幂函数的性质可得所求的f(x).解:取f(x)=x4,则f(x1x2)=(x1x2)4=x14x24=f(x1)f(x2),满足①,f′(x)=4x3,x>0时有f′(x)>0,满足②,f′(x)=4x3的定义域为R,又f′(−x)=−4x3=−f′(x),故f′(x)是奇函数,满足③.故答案为:f(x)=x4(答案不唯一,f(x)=x2n(n∈N∗)均满足)18.【答案】略。
导数的运算一、单选题(共33题;共66分)1.f′(x)是函数f(x)=x3+2x+1的导函数,则f′(-1)的值为()A. 0B. 3C. 4D. -2.函数的导数为()A. B. C. D.3.设函数,若,则等于()A. B. C. D.4.设则等于( )A. B. C. D.5.已知函数的导函数,且满足,则=( )A. B. C. 1 D.6.已知函数的导函数为,且,则()A. 2B. 3C. 4D. 57.下列求导运算的正确是()A. 为常数B.C.D.8.已知函数的值为()A. B. C. D.9.下列求导运算正确的是()A. B. C. D.10.已知函数f(x)=sinx-cosx,则f'()=()A. B. C. D.11.若函数f(x)=2+xcos2x,则f'(x)=()A. cos 2x-xsin 2xB. x-sin 2xC. 1-2sin 2xD. cos2x-2sin2x12.函数的导数为()A. =2B. =C. =2D. =13.设函数的导函数为,且,则=( )A. 0B. -4C. -2D. 214.设,若,则()A. B. C. D.15.已知函数,则其导数()A. B. C. D.16.若函数,则的值为()A. 0B. 2C. 1D. -117.已知函数,且,则的值为()A. B. C. D.18.已知函数,为的导函数,则的值为()A. B. C. D.19.下列求导运算正确的是()A. B. C. D.20.已知函数的导函数为,且满足,则()A. B. C. D.21.若,则函数的导函数()A. B. C. D.22.函数的导数为()A. B. C. D.23.下列导数式子正确的是()A. B. C. D.24.已知,则等于()A. -2B. 0C. 2D. 425.已知函数,则()A. B. C. D.26.已知,则()A. B. C. D.27.设,,则x0=( )A. e2B. eC.D. ln 228.下列求导数运算正确的是()A. B. C. D.29.若f(x)=x2-2x-4ln x,则f′(x)>0的解集为()A. (0,+∞)B. (-1,0)∪(2,+∞)C. (-1,0)D. (2,+∞)30.下列求导运算正确的是( )A. B. C. D.31.已知,则 ( )A. B. C. D. 以上都不正确32.设f(x)=xln x,若f′(x0)=2,则x0等于( )A. e2B. eC.D. ln 233.下列导数运算正确的是()A. B. C. D.二、填空题(共11题;共11分)34.已知函数的导函数为,若,则的值为________.35.若函数,则的值为________.36.已知,则________.37.若函数,则________.38.已知函数,则________.39.已知函数,是的导函数,则________.40.若f(x)=x3,f′(x0)=3,则x0的值为________.41.已知在上可导,,则________.42.已知函数的导函数为,且,则________.43.已知f(x)=2x+3xf′(0),则f′(1)=________.44.已知函数f(x)=2e x﹣x的导数为,则的值是________.三、解答题(共6题;共60分)45.求下列函数的导函数.①②③④⑤⑥46.求下列函数的导函数①②③④⑤⑥47.求下列函数的导数:(1);(2).48.求下列函数的导数:(1);(2);(3);(4).49.求下列函数的导数.(1);(2).50.求下列函数的导数.(1)y=3x2+xcos x;(2)y=lgx-;答案解析部分一、单选题1.【答案】B【考点】导数的运算【解析】【解答】解:因为,则,所以,故答案为:B.【分析】先由函数,求得导函数,再求即可得解.2.【答案】D【考点】导数的运算【解析】【解答】因为,则函数的导函数,故答案为:D.【分析】先根据完全平方公式对展开,再运用常见初等函数的求导公式和求导运算法则可求解.3.【答案】D【考点】导数的运算【解析】【解答】,,,解得,故答案为:D,【分析】对函数求导,再由可求出实数的值.4.【答案】D【考点】导数的运算【解析】【解答】由,得.故答案为:D.【分析】由已知利用导数的运算性质进行计算,即可得结果.5.【答案】B【考点】导数的运算【解析】【解答】对函数进行求导,得把代入得,直接可求得。
故答案为:B【分析】对函数进行求导,然后把代入到导函数中,得到一个方程,进行求解。
6.【答案】B【考点】导数的运算【解析】【解答】,令,,解得.故答案为:【分析】求导得到,取代入化简得到答案.7.【答案】B【考点】导数的运算【解析】【解答】因为(为常数),,,,所以,B符合题意.故答案为:B【分析】根据导数的运算公式逐一判断即可.8.【答案】B【考点】导数的运算【解析】【解答】∵f(x)=xsinx+cosx,∴f′(x)=sinx+xcosx﹣sinx=xcosx,∴f′()cos 0;故答案为:B.【分析】求导数,将x=代入,即可求出导函数的值.9.【答案】B【考点】导数的运算【解析】【解答】A,,故错误;B,,正确;C,,故错误;D,,故错误.故答案为:B.【分析】根据导数的公式及四则运算逐一求解即可.10.【答案】A【考点】导数的运算【解析】【解答】解:则故答案为:A【分析】根据三角函数的求导公式可得,然后将代入即可得出答案。
11.【答案】D【考点】导数的运算【解析】【解答】解:由题意,得故答案为:D【分析】根据乘法函数的导数的运算法则即可求出答案。
12.【答案】B【考点】导数的运算【解析】【解答】由题意结合导数的运算法则可得:.故答案为:B.【分析】根据导数的运算法则直接求解即可.13.【答案】A【考点】导数的运算【解析】【解答】由函数的解析式可得:,令可得:,解得:,即,故.故答案为:A.【分析】求导数,将x=1代入,得到导函数的表达式,即可求出导函数的值.14.【答案】C【考点】导数的运算【解析】【解答】由题意,函数,则,又由,即,解得,故答案为:C.【分析】首先对函数进行求导,再结合已知条件得出。
15.【答案】C【考点】导数的运算【解析】【解答】∵,根据对数函数求导公式可得,故答案为:C.【分析】直接求导函数即可.16.【答案】A【考点】导数的运算【解析】【解答】求函数f(x)= x3﹣f′(1)•x2﹣x的导数,得,f′(x)=x2﹣2f′(1)x﹣1,把x=1代入,得,f′(1)=1﹣2f′(1)﹣1∴f′(1)=0故答案为:A.【分析】求导数,将x=1代入,即可得到导函数的值.17.【答案】C【考点】导数的运算【解析】【解答】由题意可得,将带入可得,解得,故答案为:C。
【分析】利用求导公式结合求导的运算法则,用已知条件求出的值。
18.【答案】D【考点】导数的运算【解析】【解答】由函数的解析式可得,所以.故答案为:D【分析】根据乘法的导数运算法则,求出导函数,并将x=1代入即可.19.【答案】D【考点】导数的运算【解析】【解答】因为,,,,故答案为:D.【分析】利用导数的公式找出求导运算正确的选项。
20.【答案】B【考点】导数的运算【解析】【解答】此题考查导数的运算;故答案为:B【分析】利用求导的运算法则结合已知条件求出的值。
21.【答案】D【考点】导数的运算【解析】【解答】故答案为:D【分析】利用导数的运算,即可得结果.22.【答案】D【考点】导数的运算【解析】【解答】幂函数的求导公式,根据求导公式可得幂函数,求导得.故答案为:D.【分析】利用求导公式进行运算,即可得结果.23.【答案】D【考点】导数的运算【解析】【解答】根据导数的运算法则,可得,所以A不正确;,所以B不正确;由,所以C 不正确;由是正确的,故答案为:D.【分析】利用导数的运算法则分别求导,即可判断正确的选项.24.【答案】A【考点】导数的运算【解析】【解答】,,令,得到,解得.故答案为:A.【分析】先求导,再把代入即可求值.25.【答案】A【考点】导数的运算【解析】【解答】故答案为:A。
【分析】求导后将x=1代入即可.26.【答案】A【考点】导数的运算【解析】【解答】,令,得,,∴.∴.故答案为:A.【分析】先求导,利用赋值法令,得到,即可求值.27.【答案】B【考点】导数的运算【解析】【解答】因为,,故可化为,故,故答案为:B .【分析】先求导,再由列式,即可求出的值.28.【答案】C【考点】导数的运算【解析】【解答】因为, 错; , 错;,错;因为,故答案为:C.【分析】利用导数的运算法则和求导公式找出导数运算正确的选项。
29.【答案】D【考点】导数的运算【解析】【解答】函数的定义域为,所以,解得.故答案为:D【分析】求导数,解不等式即可求出相应的解集.30.【答案】B【考点】导数的运算【解析】【解答】A项:A不符合题意;B项:,B符合题意;C项:,C不符合题意;D项:D不符合题意。
综上所述,故答案为:B。
【分析】根据基本初等函数的导数公式,结合导数的运算法则,直接求导进行判断即可.31.【答案】B【考点】导数的运算【解析】【解答】由题意可得:据此有:.故答案为:B.【分析】求导数,将x=1代入,求出f’(1),即可求出f(1).32.【答案】B【考点】导数的运算【解析】【解答】.故答案为:B【分析】先求导,再利用f′(x0)=2 列式,即可求出x0的值.33.【答案】C【考点】导数的运算【解析】【解答】,,,故答案为:C.【分析】根据基本初等函数的导数公式,逐一判断即可.二、填空题34.【答案】【考点】导数的运算【解析】【解答】因为令则所以【分析】求导数,将x=1代入,即可求出的值.35.【答案】3【考点】导数的运算【解析】【解答】,,,,故填3. 【分析】求导数,将x=1代入,求出即可.36.【答案】【考点】导数的运算【解析】【解答】设,则,所以,所以. 【分析】根据导数的运算法则得出结果。
37.【答案】【考点】导数的运算【解析】【解答】对函数求导得到解得.故答案为:.【分析】对函数求导后,将x=1代入即可得到结果.38.【答案】【考点】导数的运算【解析】【解答】∵∴f′(x)=+sinx,令x ,则f′()=+sin = = ,故答案为.【分析】求导数,将x 即可求出相应的导函数的值.39.【答案】1【考点】导数的运算【解析】【解答】解:,(1),故答案为:1.【分析】求导数,将x=1代入即可求出相应的值.40.【答案】【考点】导数的运算【解析】【解答】, .【分析】本题利用函数求导的公式和导数值的已知条件求出相应的的值。