导数的基本公式及四则运算法则
- 格式:pptx
- 大小:488.90 KB
- 文档页数:54
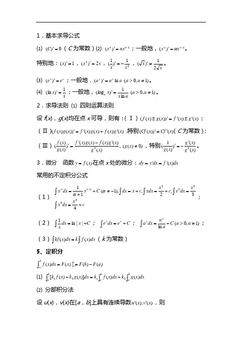
1.基本求导公式⑴ 0)(='C (C 为常数)⑵ 1)(-='n n nx x ;一般地,1)(-='αααx x 。
特别地:1)(='x ,x x 2)(2=',21)1(x x -=',xx 21)(='。
⑶ x x e e =')(;一般地,)1,0( ln )(≠>='a a a a a x x 。
⑷ x x 1)(ln =';一般地,)1,0( ln 1)(log ≠>='a a ax x a 。
2.求导法则 ⑴ 四则运算法则设f (x ),g (x )均在点x 可导,则有:(Ⅰ))()())()((x g x f x g x f '±'='±; (Ⅱ))()()()())()((x g x f x g x f x g x f '+'=',特别)())((x f C x Cf '='(C 为常数); (Ⅲ))0)(( ,)()()()()())()((2≠'-'='x g x g x g x f x g x f x g x f ,特别21()()()()g x g x g x ''=-。
3.微分 函数()y f x =在点x 处的微分:()dy y dx f x dx ''== 常用的不定积分公式(1) ⎰⎰⎰⎰⎰+==+=+=-≠++=+c x dx x x dx x c x xdx c x dx C x dx x 43,2,),1( 11433221αααα; (2) C x dx x+=⎰||ln 1; C e dx e xx +=⎰; )1,0( ln ≠>+=⎰a a C a a dx a x x ; (3)⎰⎰=dx x f k dx x kf )()((k 为常数) 5、定积分()()|()()bb a af x dx F x F b F a ==-⎰⑴⎰⎰⎰+=+bab abadx x g k dx x f k dx x g k x f k )()()]()([2121⑵ 分部积分法设u (x ),v (x )在[a ,b ]上具有连续导数)(),(x v x u '',则⎰⎰-=bab abax du x v x v x u x dv x u )()()()()()(6、线性代数 特殊矩阵的概念 (1)、零矩阵 ,000022⎥⎦⎤⎢⎣⎡=⨯O (2)、单位矩阵⎥⎥⎥⎥⎦⎤⎢⎢⎢⎢⎣⎡=100010001 n I 二阶,100122⎥⎦⎤⎢⎣⎡=⨯I (3)、对角矩阵⎥⎥⎥⎥⎦⎤⎢⎢⎢⎢⎣⎡=n a a a A 000000021 (4)、对称矩阵⎥⎥⎥⎦⎤⎢⎢⎢⎣⎡---==752531212,A a a ji ij (5)、上三角形矩阵⎥⎥⎥⎥⎦⎤⎢⎢⎢⎢⎣⎡=nn n n a a a a a a A 000022211211下三角形矩阵⎥⎥⎥⎥⎦⎤⎢⎢⎢⎢⎣⎡=n a a a A 000000021 (6)、矩阵转置⎥⎥⎥⎥⎦⎤⎢⎢⎢⎢⎣⎡=nn n n n n a a a a a aa a a A 212222111211转置后⎥⎥⎥⎥⎦⎤⎢⎢⎢⎢⎣⎡=nn n n n n T a a a a a a a a a A 2122212121116、矩阵运算 ⎥⎦⎤⎢⎣⎡++++=⎥⎦⎤⎢⎣⎡+⎥⎦⎤⎢⎣⎡=+h d g c f b e a h g f ed c b a B A ⎥⎦⎤⎢⎣⎡++++=⎥⎦⎤⎢⎣⎡⎥⎦⎤⎢⎣⎡=dh cf dg ce bh af bg ae h g f e d c b a AB 7、MATLAB 软件计算题例6 试写出用MATLAB 软件求函数)e ln(2x x x y ++=的二阶导数y ''的命令语句。
导数的定义与计算方法导数是微积分中的重要概念之一,用于研究函数的变化率和曲线的切线斜率。
本文将从导数的定义入手,介绍导数的计算方法,并给出一些例题来帮助读者更好地理解和应用导数。
一、导数的定义在数学上,给定一个函数y=f(x),其导数定义为函数在某一点x处的变化率。
导数可以用极限来表示,即:f'(x) = lim Δx→0 (f(x+Δx) - f(x))/Δx其中f'(x)表示函数f(x)在点x处的导数,Δx为自变量的增量。
导数的值可以表示函数在该点的切线斜率,即函数曲线在该点处的速率。
二、导数的计算方法导数的计算方法有多种,下面列举几种常见的:1. 基本导数公式对于常见的基本函数,存在一些导数的基本公式,如:- 常数函数导数为零:d/dx(c) = 0,其中c为常数;- 幂函数导数为功率减一:d/dx(x^n) = nx^(n-1),其中n为常数;- 指数函数导数等于自身:d/dx(e^x) = e^x;- 对数函数导数为倒数:d/dx(ln(x)) = 1/x。
通过应用基本导数公式,可以计算更复杂函数的导数。
2. 导数的四则运算规则对于已知的函数f(x)和g(x),导数的四则运算规则如下:- 和差法则:(f(x) ± g(x))' = f'(x) ± g'(x)- 积法则:(f(x)g(x))' = f'(x)g(x) + f(x)g'(x)- 商法则:(f(x)/g(x))' = (f'(x)g(x) - f(x)g'(x))/[g(x)]^2以上规则为导数的基本运算规则,可以根据需要进行组合和推广。
3. 链式法则如果函数y=f(g(x))是由两个函数复合而成,那么它的导数可以用链式法则来计算。
链式法则可以表示为:d/dx(f(g(x))) = f'(g(x)) * g'(x)通过链式法则,可以求解更复杂的复合函数的导数,进一步扩展了导数的计算方法。
导数的四则运算法则实用导数的四则运算法则是求解导函数的基本法则,它包括求和、差、积和商四种基本运算。
这些法则对于解决复杂函数的导数问题非常实用,在解题过程中能够简化计算,提高效率。
下面我将详细介绍导数的四则运算法则的应用。
1.和的导数法则:如果函数f(x)和g(x)都是可导函数,则它们的和的导数等于它们的导数之和,即(f(x)+g(x))'=f'(x)+g'(x)。
这个法则告诉我们,对于求解两个函数相加的导数问题时,我们只需要分别求出每个函数的导数,然后将它们相加即可。
2.差的导数法则:如果函数f(x)和g(x)都是可导函数,则它们的差的导数等于它们的导数之差,即(f(x)-g(x))'=f'(x)-g'(x)。
这个法则告诉我们,在求解两个函数相减的导数问题时,我们只需要分别求出每个函数的导数,然后将它们相减即可。
3.积的导数法则:如果函数f(x)和g(x)都是可导函数,则它们的乘积的导数等于第一个函数的导数乘以第二个函数本身再加上第一个函数本身乘以第二个函数的导数,即(f(x)*g(x))'=f'(x)*g(x)+f(x)*g'(x)。
这个法则告诉我们,在求解两个函数相乘的导数问题时,我们需要将每个函数的导数与另一个函数本身相乘,然后将这两部分结果相加。
4.商的导数法则:如果函数f(x)和g(x)都是可导函数且g(x)≠0,则它们的商的导数等于分子函数的导数乘以分母函数本身再减去分子函数本身乘以分母函数的导数,然后除以分母函数的平方,即(f(x)/g(x))'=(f'(x)*g(x)-f(x)*g'(x))/g(x)^2这个法则告诉我们,在求解两个函数相除的导数问题时,我们需要用分子函数的导数乘以分母函数本身减去分子函数本身乘以分母函数的导数,然后除以分母函数的平方。
以上就是导数的四则运算法则的应用。
导数的四则运算法则1.求和规则:如果f(x)和g(x)都是可导函数,则它们的和的导数等于各自函数的导数之和。
即:(f+g)'(x)=f'(x)+g'(x)2.差规则:如果f(x)和g(x)都是可导函数,则它们的差的导数等于各自函数的导数之差。
即:(f-g)'(x)=f'(x)-g'(x)3.乘法规则:如果f(x)和g(x)都是可导函数,则它们的乘积的导数等于第一个函数的导数乘以第二个函数加上第一个函数乘以第二个函数的导数。
即:(f*g)'(x)=f'(x)*g(x)+f(x)*g'(x)4.除法规则:如果f(x)和g(x)都是可导函数且g(x)不等于零,则它们的商的导数等于第一个函数的导数乘以第二个函数减去第一个函数乘以第二个函数的导数,再除以第二个函数的平方。
即:(f/g)'(x)=(f'(x)*g(x)-f(x)*g'(x))/(g(x))^2这些四则运算法则可以用于计算复杂函数的导数。
下面通过一些简单的例子来说明这些规则的具体应用。
例子1:计算函数f(x)=x^3+2x^2-3x+1的导数。
解:对于这个函数,可以按照求和规则和乘法规则分别对各项进行求导。
f'(x)=(x^3)'+(2x^2)'+(-3x)'+(1)'=(3x^2)+(4x)+(-3)=3x^2+4x-3例子2:计算函数g(x)=(2x^2+3x-1)/(x+2)的导数。
解:应用乘法规则和除法规则对该函数进行求导。
g'(x)=((2x^2+3x-1)'*(x+2)-(2x^2+3x-1)*(x+2)')/(x+2)^2=(((4x+3)*(x+2))-((2x^2+3x-1)*1))/(x+2)^2=(4x^2+11x+6-2x^2-3x+1)/(x+2)^2=(2x^2+8x+7)/(x+2)^2通过这两个简单的例子,我们可以看到四则运算法则在计算导数中的应用。
导数运算法则公式加减乘除
导数运算法则是微积分中的重要内容,它包括加法法则、减法法则、乘法法则和除法法则。
下面我将从多个角度全面地解释这些法则。
首先是加法法则,它表示如果一个函数是两个函数的和,那么它的导数等于这两个函数的导数之和。
具体公式表达为,(f+g)' = f' + g',其中f和g是两个可导函数。
接下来是减法法则,它表示如果一个函数是两个函数的差,那么它的导数等于这两个函数的导数之差。
具体公式表达为,(f-g)' = f' g',其中f和g是两个可导函数。
然后是乘法法则,它表示如果一个函数是两个函数的乘积,那么它的导数等于第一个函数的导数乘以第二个函数再加上第一个函数乘以第二个函数的导数。
具体公式表达为,(fg)' = f'g + fg',其中f和g是两个可导函数。
最后是除法法则,它表示如果一个函数是两个函数的商,那么它的导数等于分母函数乘以分子函数的导数减去分子函数乘以分母
函数的导数,再除以分母函数的平方。
具体公式表达为,(f/g)' = (f'g fg') / g^2,其中f和g是两个可导函数,且g不等于0。
总之,这些导数运算法则是微积分中非常重要的内容,它们帮助我们计算复杂函数的导数,从而更好地理解函数的变化规律和性质。
希望这些解释能够帮助你更好地理解导数运算法则。
导数的四则运算法则公式推导过程1. 一阶导数概念:一阶导数指函数上一点的变化率或斜率,它反映了函数围绕该点的变化情况。
函数在某一点处的导数反映了函数在这一点处(即你求导所用值处)的变化速度。
一阶导数如果是非零,则这个值表示函数在该点向右是可以变大或者在该点向左可以变小;如果为零,表示函数在该点是拐点。
2. 常见的四则运算法则:(1)加法法则:函数f(x)和g(x)的一阶导数之和即为:(f+g)’=f’+g’。
(2)减法法则:函数f(x)和g(x)的一阶导数之差即为:(f-g)’=f’-g’。
(3)乘法法则:函数f(x)和g(x)的一阶导数之积即为:(f*g)’=f’*g + f*g’。
(4)除法法则:函数f(x)和g(x)的一阶导数之商即为:(f/g)’=[f’*g -f*g’]/g〔2〕。
3. 对上述四则运算法则的推导过程:(1)加法法则:函数 f(x) 和 g(x) 的导数为f’(x) 和g’(x),根据定义,函数f(x)和g(x)的一阶导数之和即为:y’=f’(x)+g’(x),令y=f(x)+g(x),则y’=f’(x)+g’(x),即有:(f+g)’=f’+g’。
(2)减法法则:函数 f(x) 和 g(x) 的导数为f’(x) 和g’(x),根据定义,函数f(x)和g(x)的一阶导数之差即为:y’=f’(x)-g’(x),令y=f(x)-g(x),则y’=f’(x)-g’(x),即有:(f-g)’=f’-g’。
(3)乘法法则:函数 f(x) 和 g(x) 的导数为f’(x) 和g’(x),根据定义,函数f(x)和g(x)的一阶导数之积即为:y’=f'(x)·g'(x),令y=f(x)*g(x),令y=(f(x)·g(x))=f(x)·g(x),则y’=f'(x)·g'(x),即有:(f*g)’=f'*g+f*g'。
基本初等函数的导数公式和导数的四则运算法则及应用1.常见基本初等函数的导数公式和导数的四则运算'0C =(C 为常数);1()',*;n n x nx n Q -=∈ (sin )'cos ;x x = (cos )'sin ;x x =- ()';x x e e = ()'ln (0,1);x x a a a a a =>≠ 1(ln )';x x= 1(log )'(0,1)ln a x a a x a=>≠. 法则1:[()()]''()'();u x v x u x v x ±=±法则2:[()()]'()()()'();u x v x u x v x u x v x =+法则3:2()'()()()'()'(()0)()()u x u x v x u x v x v x v x v x ⎡⎤-=≠⎢⎥⎣⎦. 2.导数的几何意义:是曲线)(x f y =上点()(,00x f x )处的切线的斜率. 因此,如果)(x f y =在点0x 可导,则曲线)(x f y =在点()(,00x f x )处的切线方程为 ))(()(00/0x x x f x f y -=-.3.可导: 如果函数)(x f y =在开区间),(b a 内每一点都有导数,则称函数)(x f y =在开区间),(b a 内可导.4.可导与连续的关系:如果函数y =f (x )在点x 0处可导,那么函数y =f (x )在点x 0处连续,反之不成立.函数具有连续性是函数具有可导性的必要条件,而不是充分条件.单调性及其应用1.利用导数研究多项式函数单调性的一般步骤.(1)求f '(x )(2)确定f '(x )在(a ,b )内符号.(3)若f '(x )>0在(a ,b )上恒成立,则f (x )在(a ,b )上是增函数; 若f '(x )<0在(a ,b )上恒成立,则f (x )在(a ,b )上是减函数.2.用导数求多项式函数单调区间的一般步骤.(1)求f '(x ).(2)f '(x )>0的解集与定义域的交集的对应区间为增区间;f '(x )<0的解集与定义域的交集的对应区间为减区间.函数的极值、最值及应用3.极大值与极小值统称为极值(ⅰ)极值是一个局部概念由定义,极值只是某个点的函数值与它附近点的函数值比较是最大或最小并不意味着它在函数的整个的定义域内最大或最小(ⅱ)函数的极值不是唯一的即一个函数在某区间上或定义域内极大值或极小值可以不止一个(ⅲ)极大值与极小值之间无确定的大小关系即一个函数的极大值未必大于极小值,如下图所示,1x 是极大值点,4x 是极小值点,而)(4x f >)(1x f (ⅳ)函数的极值点一定出现在区间的内部,区间的端点不能成为极值点 而使函数取得最大值、最小值的点可能在区间的内部,也可能在区间的端点4.判别f (x 0)是极大、极小值的方法:若0x 满足0)(0='x f ,且在0x 的两侧)(x f 的导数异号,则0x 是)(x f 的极值点,)(0x f 是极值,并且如果)(x f '在0x 两侧满足“左正右负”,则0x 是)(x f 的极大值点,)(0x f 是极大值;如果)(x f '在0x 两侧满足“左负右正”,则0x 是)(x f 的极小值点,)(0x f 是极小值5.求函数f (x )的极值的步骤: (1)确定函数的定义区间,求导数f ′(x )(2)求方程f ′(x )=0的根(3)用函数的导数为0的点,顺次将函数的定义区间分成若干小开区间,并列成表格检查f ′(x )在方程根左右的值的符号,如果左正右负,那么f (x )在这个根处取得极大值;如果左负右正,那么f (x )在这个根处取得极小值;如果左右不改变符号即都为正或都为负,则f (x )在这个根处无极值6.函数的最大值和最小值:在闭区间[]b a ,上连续的函数)(x f 在[]b a ,上必有最大值与最小值.⑴在开区间(,)a b 内连续的函数)(x f 不一定有最大值与最小值. ⑵函数的最值是比较整个定义域内的函数值得出的;函数的极值是比较极值点附近函数值得出的.⑶函数)(x f 在闭区间[]b a ,上连续,是)(x f 在闭区间[]b a ,上有最大值与最小值的充分条件而非必要条件.(4)函数在其定义区间上的最大值、最小值最多各有一个,而函数的极值可能不止一个,也可能没有一个7.利用导数求函数的最值步骤:⑴求)(x f 在(,)a b 内的极值;⑵将)(x f 的各极值与)(a f 、)(b f 比较得出函数)(x f 在[]b a ,上的最值.。
导数的基本公式和四则运算法则
导数是微积分中的一个重要概念,它描述了函数在某一点处的变化率。
在求解导数时,我们可以利用一些基本公式和四则运算法则来简化计算过程。
首先,导数的基本公式包括:
1. 对常数函数求导,常数函数的导数为0。
2. 幂函数求导,对于函数f(x) = x^n,其导数为f'(x) = nx^(n-1)。
3. 指数函数求导,指数函数e^x的导数仍为e^x。
4. 三角函数求导,常见的三角函数sin(x)和cos(x)的导数分别为cos(x)和-sin(x)。
其次,利用四则运算法则,我们可以对复合函数进行求导。
四则运算法则包括:
1. 和差法则,对于函数f(x) = g(x) ± h(x),其导数为f'(x) = g'(x) ± h'(x)。
2. 积法则,对于函数f(x) = g(x) h(x),其导数为f'(x) =
g'(x) h(x) + g(x) h'(x)。
3. 商法则,对于函数f(x) = g(x) / h(x),其导数为f'(x) = (g'(x) h(x) g(x) h'(x)) / h(x)^2。
通过这些基本公式和四则运算法则,我们可以更轻松地求解各
种函数的导数,从而更好地理解函数的变化规律和性质。
在实际应
用中,导数的概念和计算方法也被广泛地运用于物理、工程、经济
学等领域,为我们解决实际问题提供了重要的数学工具。
因此,熟
练掌握导数的基本公式和四则运算法则对于学习和应用微积分知识
都是至关重要的。