青岛理工大学高数(2)复习题期末试题及参考答案
- 格式:doc
- 大小:163.32 KB
- 文档页数:4
一、单项选择题(在每小题的四个备选答案中,选出一个正确答案,并将正确答案的序号填在题干的括号内。
)1.C++对C语言作了很多改进,即从面向过程变成为面向对象的主要原因是()A.增加了一些新的运算符B.允许函数重载,并允许设置缺省参数C.规定函数说明符必须用原型D.引进了类和对象的概念2•下列符号不能组成标识符的是()A.连接符B.下划线C.大小写字母D.数字字符3.类型修饰符unsigned不能修饰()A.charB. intC. long intD. float4.在int a=3,int *p=&a;中,*p 的值是()A.变量a的地址值B.无意义C.变量p的地址值D.35•下列关于指针的操作中,错误的是()A.两个同类型的指针可以进行比较运算B.可以用一个空指针赋给某个指针C.一个指针可以加上两个整数之差D.两个同类型的指针可以相加6•重载函数在调用时选择的依据中,错误的是()A.函数的参数B.参数的类型C.函数的名字D.函数的类型7.—个函数功能不太复杂,但要求被频繁调用,选用()A.内联函数B.重载函数C.递归函数D.嵌套函数8•下列不是描述类的成员函数的是()A.构造函数B.析构函数C.友元函数D.拷贝构造函数9.构造函数不具备的特征的是()A.构造函数的函数名与类名相同B.构造函数可以重载C.构造函数可以设置默认参数D.构造函数必须指定类型说明10.通常,拷贝构造函数的参数是()A.某个对象名B.某个对象的成员名C.某个对象的引用名D.某个对象的指针名11•继承机制的作用是()A.信息隐藏B.数据封装C.定义新类D.数据抽象12.类的析构函数的作用是()A.—般成员函数B.类的初始化C.对象的初始化D.删除对象创建的所有对象13•类的析构函数是在()调用的。
A.类创建时B.创建对象时C.删除对象时D.不自动调用14.在()情况下适宜采用inline定义内联函数。
A.函数体含有循环语句B.函数体含有递归语句C.函数代码少、频繁调用D.函数代码多、不常调用15•如果类A被说明成类B的友元,贝!]()A.类A的成员即类:B的成员B.类B的成员即类A的成员C.类A的成员函数不得访问类:B的成员D.类B不一定是类A的友元16•在类中声明转换函数时不能指定()A.参数B.访问权限C.操作D.标识符17•在公有继承的情况下,基类成员在派生类中的访问权限()A.受限制 B.保持不变18.C++类体系中,不能被派生类继承的有()A.转换函数B.构造函数C.虚函数D.静态成员函数19•假定AB为一个类,则执行ABx;语句时将自动调用该类的() A.有参构造函数 B.无参构造函数C.拷贝构造函数D.赋值构造函数20.C++语言建立类族是通过()A.类的嵌套B.类的继承C.虚函数D.抽象类答案如下:l. D 2.A 3.D 4.D 5.D6.A 7.A &C 9.D 10.C11.C 12.C 13.D 14.C 15.D16.C17.B 18.C 19.B 20.B二•下面的每小题有一个或多个答案是正确的,请选出正确选项并将其填入相应括号内。
《数控技术与数控机床》复习题B一、填空题1 所谓插补,就是数据密化的过程。
在实际加工过程中,常采用或来逼近零件的轮廓曲线。
2 DDA直线插补的物理意义是使动点沿矢量的方向前进,这种方法同样适用于DDA插补。
3他激式直流主轴伺服电机调速时,额定转速以下调速称为恒转矩调速,通过调整实现;额定转速以上调速称为恒功率调速,通过实现。
4 SPWM波形的特点是,其各个脉冲的面积与控制正弦波下面相应的面积成比例,等距、等幅而不等,中间宽两边。
5刀具补偿的作用是把转换成。
6采用步进电机的开环伺服系统,对于数控装置发来的一个经驱动线路放大后驱动步进电机转过一个,经过机械传动系统带动工作台移动一个脉冲当量的位移。
7逐点比较法是以折线逼近直线或圆弧曲线,它与给定的之间的最大误差不超过一个。
8 准备功能指令分为模态代码和非模态代码。
模态代码表示该代码一经在一个中应用,直到出现同组的另一个时才失效。
9 数控机床的伺服驱动系统通常包括两种:和。
10 直线式感应同步器由作相对平行移动的和组成。
二、选择题1 插补周期与位置反馈采样周期。
A:相同;B:不相同;C:可以相同,也可以不相同2 在圆弧插补时,一般用切线、内接弧线和内外均差弦线逼近圆弧,其中具有较大的轮廓误差而不宜采用。
A:切线;B:、内接弧线;C:内外均差弦线3 双螺母齿差调隙式滚珠丝杠,两齿轮的齿数分别为Z1=99、Z2=100,丝杠导程t=10mm,若间隙为0.004mm,则相应的螺母应转过个齿即可消除间隙,达到预紧的目的。
A:3;B:4;C:5;D:64 机床数控系统中的PLC经常被用作控制。
A:逻辑顺序;B:智能;C:进给伺服;5 脉冲增量插补法适用于以为驱动装置的开环伺服系统。
A:步进电机;B直流伺服电机:C交流伺服电机:D:直线电机6 步进电机通电方式没有带负载的能力,不能实际应用。
A:三相单三拍;B:三相六拍;C:三项双三拍7 一个零件的轮廓曲线一般是由许多不同的几何元素组成的,把各几何元素间的连接点称为。
2020年青岛市名校数学高二第二学期期末统考试题一、单选题(本题包括12个小题,每小题35,共60分.每小题只有一个选项符合题意) 1.已知函数()3sin 2cos 2f x x x =-的图象向左平移3π个单位长度,横坐标伸长为原来的2倍得函数()g x 的图象,则()g x 在下列区间上为单调递减的区间是()A .,02π⎛⎫- ⎪⎝⎭B .,26ππ⎛⎫-⎪⎝⎭ C .0,6π⎛⎫⎪⎝⎭D .2,63ππ⎛⎫⎪⎝⎭2.方程2210ax x ++=至少有一个负根的充要条件是 A .01a <≤B .1a <C .1a ≤D .01a <≤或0a <3.某个命题与正整数有关,如果当()n k k N *=∈时命题成立,那么可推得当1()n k k N *=+∈ 时命题也成立。
现已知当n=8时该命题不成立,那么可推得 A .当n=7时该命题不成立 B .当n=7时该命题成立 C .当n=9时该命题不成立D .当n=9时该命题成立4.已知()()2sin 1f x x f x π+'=,则()1f =( ) A .12B .πC .2π D .以上都不正确5.已知,x y 满足约束条件11y x x y y ⎧⎪+⎨⎪-⎩„„…,则2z x y =+的最大值为()A .32B .32-C .3D .-36.已知全集U R =,集合{|23}A x x =-≤<,1{|2,0}x B y y x -==≥,则()U A B ⋂=ð( ) A .{|20}x x -≤< B .1{|2}2x x -≤< C .1{|0}2x x ≤<D .{|03}x x ≤<7.将函数()3sin 2cos2f x x x =-的图象向左平移6π个单位,所得图象其中一条对称轴方程为( ) A .0x =B .6x π=C .4x π=D .2x π=8.如图,阴影部分的面积是( )A .1e e+B .11e e+- C .12e e+- D .1e e-9.已知ξ的分布列为ξ-1 0 1p12 13 16设23ηξ=+,则()E η的值为( )A .4B .73C .54D .110.有10件产品,其中3件是次品,从中任取两件,若X 表示取得次品的个数,则P(X <2)等于A .715 B .815C .1415D .111.若集合()(){}120A x x x =+-<,{}ln 0B x x =>,则A B =I ( ) A .{}12x x << B .{}11x x -<<C .{}12x x -<<D .{}21x x -<<12.使不等式110x+>成立的一个充分不必要条件是( ) A .0x >B .1x >-C .1x <-或0x >D .10x -<<二、填空题(本题包括4个小题,每小题5分,共20分)13.在()61x +的二项展开式中,2x 项的系数为_____(结果用数值表示).14.不等式12x<的解集是_________. 15.112除以9的余数为_______;16.如图甲是第七届国际数学教育大会(简称7ICME -)的会徽图案,会徽的主体图案是由如图乙的一连串直角三角形演化而成的,其中11223781OA A A A A A A =====L ,如果把图乙中的直角三角形继续作下去,记12,,,n OA OA OA ⋅L L 的长度构成数列{}n a ,则此数列的通项公式为n a =_____.三、解答题(本题包括6个小题,共70分)17.设函数()2ln m fx mx x x =--,()2e g x x=.(1)讨论函数()f x 的单调性;(2)已知0m >,若存在[]01,x e ∈使得()()00f x g x =,求实数m 的取值范围. 18.如图,正方体1111ABCD A B C D -的所有棱长都为1,求点A 到平面1A BD 的距离.19.(6分)在一次考试中某班级50名学生的成绩统计如表,规定75分以下为一般,大于等于75分小于85分为良好,85分及以上为优秀.经计算样本的平均值81μ≈,标准差 6.2σ≈. 为评判该份试卷质量的好坏,从其中任取一人,记其成绩为X ,并根据以下不等式进行评判 ① ()0.6828P X μσμσ-<<+≥; ② (22)0.9544P X μσμσ-<<+≥; ③ (33)0.9974P X μσμσ-<<+≥评判规则:若同时满足上述三个不等式,则被评为优秀试卷;若仅满足其中两个不等式,则被评为合格试卷;其他情况,则被评为不合格试卷. (1)试判断该份试卷被评为哪种等级;(2)按分层抽样的方式从3个层次的学生中抽出10名学生,再从抽出的10名学生中随机抽出4人进行学习方法交流,用随机变量ξ表示4人中成绩优秀的人数,求随机变量ξ的分布列和数学期望.20.(6分)在平面直角坐标系xoy 中,已知直线l 的参数方程为212()222x tt y ⎧=-⎪⎪⎨⎪=+⎪⎩为参数,直线l 与抛物线24y x =相交于A,B 两点,求线段AB 的长.21.(6分)已知椭圆2222:1x y C a b +=(0)a b >>,四点1(1,1)P ,2(0,1)P ,33(P -,43P 中恰有三点在椭圆C 上. (Ⅰ)求C 的方程;(Ⅱ)设直线:(1)l y kx m m =+≠与椭圆C 相交于,A B 两点.若直线2P A 与直线2P B 的斜率的和为1-,证明:l 必过定点,并求出该定点的坐标.22.(8分)在()f x 中,角,,A B C 的对边分别为,,a b c ,满足(2)cos cos b c A a C -=. (1)求角A 的大小(2)若3a =,求ABC △的周长最大值.参考答案一、单选题(本题包括12个小题,每小题35,共60分.每小题只有一个选项符合题意) 1.A 【解析】 【分析】先利用辅助角公式将函数化为sin()y A x ωϕ=+ 的形式,再写出变换后的函数()g x ,最后写出其单调递减区间即可. 【详解】()2cos 2f x x x =-的图象向左平移3π个单位长度,横坐标伸长为原来的2倍变换后()=2cos g x x -,()g x 在区间[2,2],k k k Z πππ-+∈ 上单调递减故选A 【点睛】本题考查三角函数变换,及其单调区间.属于中档题. 2.C 【解析】试题分析:①0a ≠时,显然方程没有等于零的根.若方程有两异号实根,则0a <;若方程有两个负的实根,则必有102{001440aa aa >-<∴≤∆=-≥<..②若0a =时,可得12x =-也适合题意. 综上知,若方程至少有一个负实根,则1a ≤.反之,若1a ≤,则方程至少有一个负的实根,因此,关于x 的方程2210ax x ++=至少有一负的实根的充要条件是1a ≤. 故答案为C考点:充要条件,一元二次方程根的分布 3.A 【解析】 【分析】根据逆否命题和原命题的真假一致性得,当()n k k N *=∈时命题不成立,则1()n k k N *=-∈命题也不成立,所以选A. 【详解】根据逆否命题和原命题的真假一致性得,当()n k k N *=∈时命题不成立,则1()n k k N *=-∈命题也不成立, 所以当8n =时命题不成立,则7n =命题也不成立, 故答案为:A 【点睛】(1)本题主要考查数学归纳法和逆否命题,意在考查学生对这些知识的掌握水平和分析推理能力.(2) 互为逆否关系的命题同真同假,即原命题与逆否命题的真假性相同,原命题的逆命题和否命题的真假性相同.所以,如果某些命题(特别是含有否定概念的命题)的真假性难以判断,一般可以判断它的逆否命题的真假性. 4.B 【解析】 由题意可得:()()()()()'cos 2'1,'1cos 2'1,'1,f x x f x f f f πππππ=+∴=+=据此有:()()2sin ,1sin f x x x f πππππ=+=+=. 本题选择B 选项. 5.B 【解析】 【分析】画出可行域,通过截距式可求得最大值. 【详解】作出可行域,求得(1,1)B --,11(,)22A ,(2,1)C -,通过截距式可知在点C 取得最大值,于是max 2213z =⨯-=.【点睛】本题主要考查简单线性规划问题,意在考查学生的转化能力和作图能力.目标函数主要有三种类型:“截距型”,“斜率型”,“距离型”,通过几何意义可得结果. 6.B 【解析】 【分析】 【详解】试题分析:111{|2,0},{|}{|}22x U B y y x B y y B x x -==≥∴=≥∴=<Q ð,所以()UA B ⋂=ð 1{|2}2x x -≤<. 考点:集合的交集、补集运算. 7.B 【解析】试题分析:()3132cos 22sin 2cos 22sin 226f x x x x x x π⎛⎫⎛⎫=-=⋅=- ⎪ ⎪ ⎪⎝⎭⎝⎭,()f x 向左平移6π个单位后所得函数解析式为()2sin 22sin 2666g x x x πππ⎡⎤⎛⎫⎛⎫=+-=+ ⎪ ⎪⎢⎥⎝⎭⎝⎭⎣⎦,所以函数()g x 对称轴方程为()262x k k Z πππ+=+∈,所以()62k x k Z ππ=+∈,当0k =时,6x π=. 考点:三角函数图象及性质. 8.C 【解析】由定积分的定义可得,阴影部分的面积为()()11001|2x x x x e e dx e e e e ---=+=+-⎰.本题选择C 选项.点睛:利用定积分求曲线围成图形的面积的步骤:(1)画出图形;(2)确定被积函数;(3)确定积分的上、下限,并求出交点坐标;(4)运用微积分基本定理计算定积分,求出平面图形的面积.求解时,注意要把定积分与利用定积分计算的曲线围成图形的面积区别开:定积分是一个数值(极限值),可为正,可为负,也可为零,而平面图形的面积在一般意义上总为正. 9.B 【解析】 【分析】由ξ的分布列,求出1()3E ξ=-,再由()2()3E E ηξ=+,求得7()3E η=. 【详解】111111()(1)01236263E ξ=-⨯+⨯+⨯=-+=-,因为23ηξ=+,所以17()2()32()333E E ηξ=+=⨯-+=.【点睛】本题考查随机变量的期望计算,对于两个随机变量a b ηξ=+,具有线性关系,直接利用公式()()E aE b ηξ=+能使运算更简洁.10.C 【解析】 【分析】根据超几何分布的概率公式计算各种可能的概率,得出结果 【详解】由题意,知X 取0,1,2,X 服从超几何分布, 它取每个值的概率都符合等可能事件的概率公式,即P(X =0)=27210715C C =,P(X =1)=1173210715C C C =⋅,P(X =2)=23210115C C =, 于是P(X<2)=P(X =0)+P(X =1)=7714151515+= 故选C 【点睛】本题主要考查了运用超几何分布求概率,分别求出满足题意的情况,然后相加,属于中档题. 11.A 【解析】 【分析】分别化简集合A 和B ,然后直接求解A B I 即可 【详解】∵()(){}{}12012A x x x x x =+-<=-<<,{}{}ln 01B x x x x =>=>,∴{}12A B x x ⋂=<<. 【点睛】本题考查集合的运算,属于基础题 12.A 【解析】 【分析】首先解出不等式110x +>,因为是不等式110x+>成立的一个充分不必要条件,所以满足是不等式110x+>的真子集即可. 【详解】 因为()1110010x x x x x ++>⇒>⇒+>,所以0x >或1x <-,需要是不等式110x+>成立的一个充分不必要条件,则需要满足是()(),10,-∞-+∞U 的真子集的只有A,所以选择A 【点睛】本题主要考查了解不等式以及命题之间的关系,属于基础题. 二、填空题(本题包括4个小题,每小题5分,共20分) 13.1 【解析】 【分析】通过二项展开式的通项公式求出展开式的通项,利用x 的指数为2,求出展开式中2x 的系数. 【详解】解:展开式的通项为16r r r T C x +=.令2r =得到展开式中2x 的系数是2615C =.故答案为:1. 【点睛】本题是基础题,考查利用二项展开式的通项公式解决二项展开式的特定项问题.考查计算能力. 14.()1,0,2⎛⎫-∞+∞ ⎪⎝⎭U 【解析】 【分析】 由不等式12x <得120x -<,所以210x x->,等价于(21)0x x ->,解之得所求不等式的解集. 【详解】由不等式12x <得120x -<,即120x x -<,所以210x x->,此不等式等价于 (21)0x x ->,解得0x <或12x >, 所以不等式的解集是:()1,0,2⎛⎫-∞+∞⎪⎝⎭U , 故填:()1,0,2⎛⎫-∞+∞ ⎪⎝⎭U . 【点睛】本题考查分式不等式的解法,一般的步骤是:移项、通分、分解因式、把每个因式未知数的系数化成正、转化为一元二次不等式或作简图数轴标根、得解集,属于基础题. 15.5 【解析】 【分析】将112变为()32912-⨯,利用二项式定理展开可知余数因不含因数9的项而产生,从而可知余数为233925C -=.【详解】由题意得:()311322282912=⨯=-⨯()()()()3232203212222333339122929129121C C C C -⨯=⨯+⨯⨯-+⨯⨯-+⨯-112∴除以9的余数为:233925C -=本题正确结果:5 【点睛】本题考查余数问题的求解,考查学生对于二项式定理的掌握情况,关键是能够配凑出除数的形式,属于常考题型.16 【解析】 【分析】由图可知1122378...1OA A A A A A A =====,由勾股定理可得2211n n a a -=+,利用等差数列的通项公式求解即可. 【详解】根据图形1122378...1OA A A A A A A =====, 因为122378...OA A OA A OA A ∆∆∆、都是直角三角形,2211n n a a -∴=+,2n a ∴是以1为首项,以1为公差的等差数列,()2111n a n n ∴=+-⨯=,n a ∴=.【点睛】本题主要考查归纳推理的应用,等差数列的定义与通项公式,以及数形结合思想的应用,意在考查综合应用所学知识解答问题的能力,属于与中档题. 三、解答题(本题包括6个小题,共70分) 17.(1)答案不唯一,具体见解析(2)241em e ≥- 【解析】 【分析】(1)求导数()22'2mx mf x x x-+=,讨论m 的不同范围得到单调区间. (2)设函数()()()F x f x g x =-,()0'F x ≥,函数单调递增推出()40mme eF e =--≥,解得答案. 【详解】(1)()f x 的定义域为()0,∞+.()22'2mx mf x x x-+=,()'0f x =,则220mx x m -+=. 当0m ≤时,则()'0f x <,()f x 在()0,∞+单调递减;当01m <<时,220mx x m -+=,>0∆有两个根1x ,2x ,不妨设12x x <,则1x =2x =,由1220x x m +=>,121=x x ,所以120x x <<. 所以()'0f x <时,12x x x <<,()f x 单调递减;()'0f x >,10x x <<或2x x >,()f x 单调递增;当m 1≥时,方程220mx x m -+=的0∆≤,则()'0f x ≥,()f x 在()0,∞+单调递增; 综上所述:当0m ≤时,()f x 的减区间为()0,∞+;当01m <<时,()f x 的减区间为11,m m ⎛+⎪⎝⎭,()f x 增区间为10,m ⎛⎫- ⎪ ⎪⎝⎭和1m ⎛⎫++∞⎪ ⎪⎝⎭. 当m 1≥时,()f x 的增区间为()0,∞+. (2)()()()F x f x g x =-,()22ln m emx x x F x x---=, ()()222222'20F x mx m e x mx x m e x x++--++==≥,所以()F x 在[]1,e 单调递增, ()120F e =-<,()4m F e me e =--,要使得()0F x =在[]1,e 有解,当且仅当()40mme eF e =--≥,解得:241em e ≥-. 【点睛】本题考查了函数的单调性,存在性问题,构造()()()F x f x g x =-,判断()0'F x ≥是解题的关键.18.【解析】 【分析】由题意首先求得三棱锥1A A BD -的体积,然后利用等体积法即可求得点A 到平面1A BD 的距离. 【详解】由题意可得,三棱锥1A A BD -的体积11111111326A A AB D D A B V V --⎛⎫==⨯⨯⨯⨯= ⎪⎝⎭,且1A BD V 的等边三角形,其面积1sin 6022S ==o ,设点A 到平面1A BD 的距离为h ,利用等体积法可得:1136h =,则h .即点A 到平面1A BD 【点睛】本题主要考查点面距离的计算,等体积法的应用等知识,意在考查学生的转化能力和计算求解能力. 19.(1)该份试卷应被评为合格试卷;(2)见解析 【解析】 【分析】(1)根据频数分布表,计算()P X μσμσ-<<+,(22)P X μσμσ-<<+,(33)P X μσμσ-<<+的值,由此判断出“该份试卷应被评为合格试卷”.(2)利用超几何分布分布列计算公式,计算出分布列,并求得数学期望. 【详解】(1)34()(74.887.2)0.680.682850P X P X μσμσ-<<+=<<==<, 49(22)(68.693.4)0.980.954450P X P X μσμσ-<<+=<<==>, (33)(62.499.6)10.9974P X P μσμσμ-<<+=<<=>,因为考生成绩满足两个不等式,所以该份试卷应被评为合格试卷.(2)50人中成绩一般、良好及优秀的比例为2:5:3,所以所抽出的10人中,成绩优秀的有3人,所以ξ的取值可能为0,1,2,3()4741035102106C P C ξ====;()3173410105112102C C P C ξ====;()2273410633221010C C P C ξ====;()137341071321030C C P C ξ====.所以随机变的ξ分布列为故0123 1.2621030E ξ=⨯+⨯+⨯+⨯=. 【点睛】本小题主要考查正态分布的概念,考查频率的计算,考查超几何分布的分布列以及数学期望的计算,属于中档题. 20.【解析】 【分析】 【详解】直线l 的普通方程为1(2)0x y -+-=,即3y x =-, 与抛物线方程联立方程组解得111,{2,x y ==229,{6x y ==-,∴AB ==.21.(Ⅰ)2214x y +=;(Ⅱ)证明见解析,()2,1-.【解析】 【分析】(I )由于34,P P 两点关于y 轴对称,故由题设知C 经过34,P P 两点.又由222211134a b a b +>+知,C 不经过点1P ,所以点2P 在C 上.将23,P P 两点的坐标代入方程,联立即可解得22,a b ,从而得出C 的方程; (II )设直线2P A 与直线2P B 的斜率分别为12,k k ,()()1122,,,A x y B x y ,利用设而不求方法证明. 【详解】(I )由于34,P P 两点关于y 轴对称,故由题设知C 经过34,P P 两点. 又由222211134a b a b+>+知,C 不经过点1P ,所以点2P 在C 上. 因此222111314b ab ⎧=⎪⎪⎨⎪+=⎪⎩,解得2241a b ⎧=⎨=⎩.故C 的方程为2214x y +=.(II )设直线2P A 与直线2P B 的斜率分别为12,k k ,将y kx m =+代入2214xy +=得()222418440kx kmx m +++-=由题设可知()2216410k m ∆=-+>.设()()1122,,,A x y B x y ,则2121222844,4141km m x x x x k k -+=-=++. 而12121211y y k k x x --+=+ ()()12121212122111kx x m x x kx m kx m x x x x +-++-+-=+=由题设121k k +=-,故()()()12122110k x x m x x ++-+=.即()()22244821104141m km k m k k --+⋅+-⋅=++. 解得12m k +=-. 当且仅当1m >-时,>0∆,则由1:2m l y x m +=-+,得()1122m y x ++=--,所以l 过定点()2,1-. 【点睛】设而不求方法的一般思路,设出直线与圆锥曲线的的交点坐标,将直线方程和圆锥曲线方程联立,通过韦达定理,弦长公式或斜率关系结合题意解答. 22.(1)3A π= (2)1【解析】试题分析:(1)由()2cos cos b c A a C -=,根据正弦定理,得2sin cos sin B A B =, 可得1cos 2A =,进而可得A 的值;(2)由(1)及正弦定理,得;b B c C ==,可得ABC ∆的周长,33636l B B sin B ππ⎛⎫⎛⎫=+++=++ ⎪ ⎪⎝⎭⎝⎭,结合范围20,3B π⎛⎫∈ ⎪⎝⎭,即可求ABC ∆的最大值.试题解析:(1)由()2cos cos b c A a C -=及正弦定理,得()2sin sin cos sin cos B C A A C -=2sin cos sin cos sin cos B A C A A C ∴=+()2sin cos sin sin B A C A B ∴=+= ()0,B π∈Q sin 0B ∴≠ ()0,A π∈Q1cos 2A = 3A π∴=(2)解:由(I )得3A π∴=,由正弦定理得sin sin sin b c a B C A ====所以;b B c C ==ABC ∆的周长33l B π⎛⎫=+++ ⎪⎝⎭3sinBcos sin 33cosB ππ⎫=+++⎪⎭33cosB =++36sin 6B π⎛⎫=++ ⎪⎝⎭ 20,3B π⎛⎫∈ ⎪⎝⎭Q 当3B π=时,ABC ∆的周长取得最大值为1.。
《高等数学2》课程习题集【说明】:本课程《高等数学2》(编号为01011)共有计算题1,计算题2等多种试题类型,其中,本习题集中有[]等试题类型未进入。
一、计算题11. 计算 行列式6142302151032121----=D 的值。
2. 计算行列式5241421318320521------=D 的值。
3.用范德蒙行列式计算4阶行列式12534327641549916573411114--=D 的值。
4. 已知2333231232221131211=a a a a a a a a a , 计算:333231232221131211101010a a a a a a a a a 的值。
5.计算行列式 0111101111011110=D 的值。
6. 计算行列式199819981997199619951994199319921991 的值.7. 计算行列式50007061102948023---=D 的值. 8. 计算行列式3214214314324321=D 的值。
9. 已知10333222111=c b a c b a c b a ,求222111333c b a c b a c b a 的值. 10. 计算行列式x a a a xa a ax D n=的值。
11.设矩阵⎪⎪⎪⎪⎪⎭⎫ ⎝⎛--=2100430000350023A ,求1-A 。
12.求⎪⎪⎪⎭⎫ ⎝⎛=311121111A 的逆.13.设n 阶方阵A 可逆,试证明A 的伴随矩阵A *可逆,并求1*)(-A 。
14. 求矩阵⎪⎪⎪⎪⎪⎭⎫⎝⎛-=1100210000120025A 的逆。
15. 求⎪⎪⎪⎭⎫⎝⎛-----=461351341A 的逆矩阵。
16. 求矩阵⎪⎪⎪⎪⎪⎭⎫⎝⎛=2300120000230014A 的逆。
17. 求⎪⎪⎪⎭⎫⎝⎛--=232311111A 的逆矩阵。
18.求矩阵⎪⎪⎪⎭⎫⎝⎛-=101012211A 的逆.19. 求矩阵112235324-⎛⎫⎪=- ⎪ ⎪-⎝⎭A 的逆。
第一章 函数与极限 第一节 映射与函数选择题1.已知函数)(x f 的定义域是()+∞∞-,,满足)()()(y f x f y x f +=+则)(x f 是( ) A.奇函数 B.偶函数 C.非奇非偶 D.不能确定2.已知2x e x f =)(()[]x x φf -=1,且()0x ≥φ,()=x φ( )A.()x -1ln 1<xB.()x -1ln 0≤xC.()x -1ln 1-<xD.()x -1ln 0x <3.设2211x x x x f +=⎪⎭⎫ ⎝⎛+,则()=x f ( )A.22-xB.22+xC.2-xD.x xx 1122-+4.已知21x y --=直接函数的反函数是21x y --=,则直接函数的定义域是( )A.()01,-B.[]11,-C.[]01,-D.[]10, 5.()x e x x x f cos sin = ()+∞<<∞-x 是( )A.有界函数B.单调函数C.周期函数D.偶函数6.设()x f 与()x g 分别为定义在()+∞∞-,上的偶函数与奇函数,则()()x g f 与()()x f g 分别( )A.都是偶函数B.都是奇函数C.是奇函数与偶函数D.是偶函数与奇函数7.设()⎩⎨⎧>+≤=0022x x x x x x f ,则( )A.()()⎩⎨⎧>+-≤-=-0022x xx x x x f B.()()⎩⎨⎧>-≤+-=-022x xx x x x f C.()⎩⎨⎧>-≤=-0022x x x x x x f D.()⎩⎨⎧>≤-=-0022x xx x x x f8.()x f y =的定义域是[]11,-,则()()a x f a x f y -++=的定义域是( ) 其中10≤≤aA.[]11+-,a aB.[]11+---a ,aC.[]11-+-,a aD.[]11+--a ,a9.函数()x f y =与其反函数()x f y 1-=的图形对称于直线( ) A.0=y B.0=x C.x y = D.x y -= 答案ABACD ADDC 练习题1.设()x x f y +==11,求()[]x f f解:()[]x f f xxx++=++=21111121-≠-≠,x x 2.指出下列两个函数是否相同,并说明理由 (1)()1+=x x f ()()21x x g += (2)()x x f =,()()x x g arcsin sin =(3)()xx x f =,()xx x g 2=解:(1)不同,对应法则不同(2)不同,定义域不同()x f 的是()+∞<<∞-x ,()x g 的是[]11,- (3)相同,定义域和对应法则都相同3.若()⎩⎨⎧≥<=02x xx xx f ,求()[]x f f 解:()[]()()()[]()()()[]⎩⎨⎧≥<=⎩⎨⎧≥<=00022x x f x x f x f x f x f x f x f f 4.(2001数学二考研题)()⎩⎨⎧>≤=1011x x x f ,则()[]x f f 解()[]()()()()∞+∞-∈≤⎩⎨⎧>≤=,x x f x f x f x f f 1111而5.()⎩⎨⎧<<-≤≤==012102x x x x x f y 求()1+x f解()()()()()⎩⎨⎧-<<-+≤≤-+=⎩⎨⎧<+<-+≤+≤+=+1212011011121101122x x x x x x x x x f6.设()x F 是定义在关于原点对称的某数集X 上的函数,证明()x F 必可表示成一个偶函数与一奇函数之和。
高等数学(2)复习题及答案一、填空题:) 的通解为(、微分方程221x ce y xy y ==' 2、微分方程y "-7y '+12y=0的通解为:y=C 1e 3x +C 2e 4x解:特征方程是:r 2-7r+12=0⇒r 1=3,r 2=4方程的通解是:y=C 1e 3x +C 2e 4x(){})的定义域为 (= 函数 94,,419.3222222≤+<=-++--y x y x D y x y x z 4、)的定义域为 (=函数 ⎩⎨⎧-<<⎩⎨⎧->>--+11;11)1ln(y x y x y x xy z 5、幂级数的收敛域为( )6.幂级数 的收敛域为() 7、)),(),((),(21202 变换二次积分次序1010dy y x f dx dy y x f dx dx y x f dy xx yy⎰⎰⎰⎰⎰⎰--+=)),((),(),(.822120 变换二次积分次序1010dx y x f dy dy y x f dx dy y x f dx yyxx⎰⎰⎰⎰⎰⎰--=+二、解微分方程:()()()x x x y x y y x e x c c y r r r r e c y c e e dx e dy e y y y e y 221222,022222ln ,,1 022221+===-=+-+=+===+'-''='-、解:、 、3、xy '-ylny=0解:这是可分离变量的微分方程 Cx e y Cx y ln C ln x ln y ln ln xdxy ln y dy =⇒=⇒+=⇒= 4、⎩⎨⎧='==-''1)0(y 0)0(y 0e y y 2解:y "-e 2y =0是可降阶的的微分方程。
设y '=p ,则y "=dydpp dx dy dy dp dx dp dx dy dx d ===⎪⎭⎫ ⎝⎛,方程化为 C 21e 21p 21e dy dp p y 22y 2+=⇒=,代入初始条件y '(0)=1可得:C=0. y '=e y ⇒e -y dy=dx ⇒-e -y =x+C 1代入初始条件y (0)=0可得:C 1=-1.所求的特解是: x+e -y -1=0三、求下列函数的偏(全)导数 :),(∞+-∞nn x ∑∞=+0!1n 1)(n 0n x !n 1∑∞=),(∞+-∞的偏导数 、求y x z 2sin 12=解:y x xzy x x z 2cos 2,2sin 22=∂∂=∂∂ dtdzt v e u t uv z t 求、设,cos ,,sin 2==+= 解:t t t e dtdz tcos )sin (cos +-= 3、yxy z )ln(=,求dz. 解:x y 1x z =∂∂, 2y )x y ln(1y z -=∂∂,dz=x y 1dx+2y )x y ln(1-dy()()()7,23;8,322,1342,12,122=∂∂+=∂∂=∂∂+=∂∂++=yzy x y z x z y x x z y xy x z 处偏导数 在 、求 [][])cos()sin( )cos()sin(,,,sin 5y x y x x e yzy x y x y e xzyz x z y x v xy u v e z xy xy u+++=∂∂+++=∂∂∂∂∂∂+===解:,求、设 . 6、设u=(x 2+yz 3) 3,求y u ,x u ∂∂∂∂及zu ∂∂ 解: xu∂∂=3(x 2+yz 3)2 2x=6x(x 2+yz 3)2 , y u ∂∂=3(x 2+yz 3)2 z 3=3z 3(x 2+yz 3)2zu∂∂3(x 2+yz 3)2 3yz 2=9yz 2(x 2+yz 3)2 四、设2y 1xarctg z +=,求dz ∣(1,1)2222222)1(111111y x y yy x xz +++=+⎪⎪⎭⎫ ⎝⎛++=∂∂解:2222222)y 1(x xy 2)y 1(xy 2y 1x 11y z ++-=+-⎪⎪⎭⎫ ⎝⎛++=∂∂ dy )y 1(x xy2dx )y 1(x y 1dz 2222222++-++++=dy 52dx 52dy )11(12dx )11(111|dz 2222222)1,1(-=++-++++= 五、计算二重积分1、⎰⎰Dxdxdy ,其中D 是由y=0,y=x,x=1围成。
(整理)高数二册期末总练习题.微分复习1. 若f(x,y,z)=22y x z xy xz +-+,求f x (1,0,1). 2. 设z=ln y x -2,求yzx z ,. 3. 求函数z=22y x +在x=1,y=1处的全微分. 4. 设z=u v ,而u=2x+y ,v=3x-y ,求xz ??. 5. 设z=f(22y x xy -,),其中f 具有一阶连续偏导数,求y z x z ,. 6. 设z=z(x,y)由方程ez=xyz 所确定,求yz x z ,. 7. 球曲面z=x 2+2y 2-3在点(2,1,4)处的切平面方程.8. 求曲面?==22x z y x 上点(1,1,1)处的法平面方程,切线方程. 9. 求函数z=3(x+y)-x 3-y 3的极值.10. 从斜边之长为l 的一切直角三角形中,求有最大周长的直角三角形. 11. 设f(x,y,z)=xy 2+z 3x 2,求f zzx (2,0,1). 12. 设z=x y ,求dz|(1,2).13. 设z=x+sin(xy)-2lny ,求全微分dz|(1,1),yx z2.14. 设z=e x-2y ,而x=sint ,y=t 3,则dtdz. 15. 设z=f(yarctanx,xe y ),其中f 有一阶连续偏导数,求yz x z ,. 16. 设方程lny+z=lnz 确定z 是x ,y 的函数,求yz x z ,. 17. 求曲线x=t+cost ,y=sint ,z=e t 在对应t 0=0处的切线方程与法平面方程.18. 求函数f(x,y)=e x (x+y 2)的极值. 二重积分及其应用1. 求??--Dd y x σ224,其中D ;x 2+y 2≤4,y ≥0.2. 设平面区域D 是由y=x ,y=1与y 轴所围,求??Ddxdy 5.3. 设平面区域D 由y=x ,xy=1和x=2围成,把??Dd y x f σ),(化为二次积分.4. 由y=x+2,y=x 2围成的平面薄片,其各点处密度为21x +=ρ,求该薄片的质量.5. 交换二次积分??102),(xx dy y x f dx 的积分次序.6. 设D={(x,y)|b 2≤x 2+y 2≤a 2,b>0,a>0,x ≥0},把二重积分??+Ddxdyy x )(22表示为极坐标系下的二次积分.7. 求??--Dy xd eσ22,其中D 是由x 2+y 2=1,y=x 和x=0在第一象限所围成封闭区域. 8. 计算??Dd xσarctan,其中D 是闭区域1≤x 2+y 2≤4,0≤y ≤x. 9. 计算以xoy 面上的圆周x 2+y 2=ax 围成的闭区域为底,而以曲面z=x 2+y 2为顶的曲顶柱体体积.10. 求锥面z=22y x +被圆柱z 2=2x 所截得部分的面积. 11. 求旋转抛物面z=x 2+y 2被平面z=1所截得部分的面积.12. 计算以xoy 面上由y=x 以及y=x 2围成D 以z=x y 为顶的曲顶柱体体积.13. 求由平面x=0,y=0,y+x=1所围成z=0及抛物面x 2+y 2=6-z ,截得立体体积. 曲线积分复习题1. 设平面曲线L 下半圆周y=-21x -,求?+L ds y x )(22.2. 设一段锥面螺线L :x=e t cost ,y=e t sint ,z=e t (0≤t ≤2π)上点(x,y,z)处的线密度为μ(x,y,z)=2221zy x ++,求该构件的质量.3. 计算?L ds y 2,其中L 是抛物线y=x 2上点(0,0)与(1,1)之间的一段弧.4. 设一段折线型构件占有xoy 面上的曲线弧L ,L 为连接点A(2,0),O(0,0)与点B(0,3)的折线段,且在曲线L 上点(x,y)处的密度为μ(x,y)=x 3+y 3,求该构件质量.5. 计算?+Ly x ds e22,其中L 是由x=acost ,y=asint ,t ??∈4,0π.6. 设一质点在力→→→+=j x i y F 的作用下,沿圆周x=Rcost ,y=Rsint 上由t 1=0到t 2=2π的一段弧移动做功W.7. 计算?L ydy x 3,其中L 是抛物线y=x 2上从点(0,0)到点(1,1)的一段弧.8. 计算?-++L dy x y dx y x )()(,其中:(1)L 从(1,1)经(1,2)到(4,2)的折线(2)L 是抛物线上y 2=x 上从点(1,1,)到点(4,2)一段弧.9. 设有一平面力场→→+-=i y a x F ])[(22,将一质点沿曲线L :(x-a)2+y 2=a 2(a>0)从点(a,a)移动到点(2a,0)所做功W=1,求a.10. 设一质点在力→→→→++=k x j z i y F 的作用下,从点A(0,1,2)沿直线段移动到点B(2,3,5),求力F 做的功W.11. 计算?+++L dy y x dx y x )()(222,其中L :x 2+y 2=1,正方向.12. 就算?++-+L dy y x dx y xy x )()32(224,其中L 是曲线x 2+y 2=-2y 取正方向.13. 计算曲线积分I=?-+-L x x dy x y e dx x y e )cos (]2sin [,其中L 为曲线y=21x -上的点A(1,0)沿逆时针方向到B(-1,0)的一段弧. 14. 设L :x 2+y 2=2x 逆时针方向,求?-L xdy xdx y cos sin .15. 设有一变力在坐标上投影X=2xy-y 4+3,Y=x 2-4xy 3,这变力确定了一个立场.(1)证明质点在场内移动时,场力所做的功与路径无关(2)计算质点从(1,0)到(2,1),改变力做的功.16. 计算?+--Ldy y x dx y x )sin ()(2,其中L 为圆周y=22x x -上点(0,0)到(1,1)的一段弧.17. 设L 由x=0,x=2,y=0,y=3围成,逆时针方向、封闭,求+-Lxydy dx y 2)1(2.18. 求?-)0.2()0,0()sin (cos ydy ydx e x .19. 设L 为圆域D :x 2+y 2≤-2x 正向边界,求?-+-L dy y x dx y x )()(33.级数期末复习1. 求级数n nnn 32)1(1-∑∞=的和. 2. p nn n1)1(1-∑∞=,求p 的范围使得级数收敛或发散.3. 判断收敛性 1) nn n 11+∑∞= 15))1(1n n n -+∑∞= 2) n n 311∞=∑ 16))1ln(1 +∑∞=n nn 3) )423(1n n n +∑∞= 17))423(31nn n +∑∞= 4) 1121++∑∞=n n n 18)nn n n ++∑∞=211 5) 121-∑∞=n nn 6) )4)(1(51++∑∞=n n n 7) )11ln(31nn +∑∞= 8) nn 2sin1π∞=∑9)nn n 4sin 51π∞=∑10) !1n n n n ∞=∑ 11) !41n n n ∞=∑ 12) nn n 5!1∞=∑13) nn n 321∞=∑14) 112tan+∞=∑n n n π4.判断是否收敛,若收敛,是否绝对收敛或条件收敛1)21)1(1+-∑∞=n nn 2)1113)1(--∞=-∑n n n n3)nnn ln 1)1(1-∑∞= 4)n n n 3sin 1∞=∑5)623)1(41++-∑∞=n n nn 5.求幂级数收敛区间1)nx n n )5(1-∑∞= 2)12)1(121+-∑+∞=n x n n n 3)!0n x n n ∞=∑ 4)nn n x n !)1(11-∞=-∑ 5)1221+∑∞=n x nn n6.将函数展成幂级数1)函数f(x)=2312++x x 分别展开成x 和x+4的幂级数2)将f(x)=ln(2+x)展成x+1的幂级数 3)将函数f(x)=e -2x 展开成x 的幂级数 4)将函数f(x)=cos(x 2)展成x 的幂级数5)将函数f(x)=x1展成x+4的幂级数7.求下列级数的和函数1)11-∞=∑n n nx2)nx nn ∞=∑1。
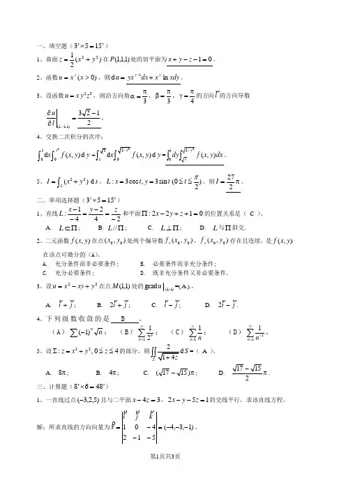
一、填空题(5153'=⨯') 1、曲面)(2122y x z +=在)1,1,1(P 处的切平面为01=--+z y x 。
2、函数)0(>=x x u y ,则d u =xdy x dx yx y y ln 1+-。
3、设函数23u x y z =,则沿方向角3π=α,3π=β,4π=γ的方向l 的方向导数(1,1,1)ul-∂=∂2123-。
4、交换二次积分的次序:210d (,)d x x f x y y ⎰⎰1(,)d x f x y y +⎰=⎰⎰-221),(y ydx y x f dy 。
5、22()d LI x y s =+⎰,:3cos ,3sin (0)2L x t y t t π==≤≤,则=I π227。
二、单项选择题(5153'=⨯') 1、直线24241:-=-=--zy x L 和平面0122:=++-∏z y x 的位置关系是( C )。
A. ∏⊂L ; B. ∏//L ; C. ∏⊥L ; D. L 与∏斜交.2、二元函数),(y x f 在点),(00y x 处两个偏导数),(00y x f x ,),(00y x f y 存在且连续,是),(y x f 在该点可微分的(A )。
A. 充分条件而非必要条件;B. 必要条件而非充分条件;C. 充分必要条件;D. 既非充分条件又非必要条件. 3、设22y xy x u +-=在点)1,1(M 处的(1,1)grad u=( A ).。
A. j i +;B. j i +2;C. j i -;D. j i -2.4、下列级数收敛的是 B 。
(A )n n∑-)1(; (B )112n n ∞=∑; (C )11n n∞=∑; (D )111n n∞-=∑。
5、设22Σ:,04z x y z =+≤≤的部分,则S ∑⎰⎰=( A )。
A. π8; B. π4; C. π-)1517(; D. π-21517. 三、计算题(8468'=⨯')1、一直线过点)5,2,3(-且与二平面34=-z x ,152=--z y x 的交线平行,求该直线方程。
高等数学(下)期末试题(2)二、填空题(每题3分,总计15分)。
1、函数22(,)22f x y x ax xy y =+++在点(1,1)-处取得极值,则常数a =______。
2、若曲面2222321x y z ++=的切平面平行于平面46250x y z -++=,则切点坐标为______________________。
3、二重积分3110x ydyye dx -蝌的值为______________。
5、微分方程2yy x y ¢=+的通解为_____________________。
三、计算题(每题7分,总计35分)。
2、设(,)z f x y xy =-具有连续的二阶偏导数,求2z x y¶抖。
3、将函数23()2f x x x=--展开成x 的幂级数,并指出收敛域。
4、设)(x y y 满足方程322x y y y e ⅱ?-+=,且其图形在点)1,0(与曲线21y x x =-+相切,求函数)(x y 。
5、计算222Ldsx y z++ò,其中L 是螺旋线8cos ,8sin ,x t y t z t ===对应02t p#的弧段。
四、计算题(每题7分,总计35分)。
1、设0a >,计算极限23123lim ()n n na a a a??++++的值。
2、计算z dv W蝌?,其中W 由不等式z ?22214x y z ?+?所确定。
4、将函数()(11)f x x x =-#展开成以2为周期的傅立叶级数。
5、设函数)(x f 具有连续导数并且满足(1)3f =,计算曲线积分22(())(())Ly f x x dx x f x y dy +++ò的值,假定此积分在右半平面内与路径无关,曲线L 是由)2,1(到)1,2(的任一条逐段光滑曲线。
五、本题5分。
对0p >,讨论级数11(1)nn n n p¥+=-å的敛散性。
汕头大学09-10学年春季学期《高等数学II 》期末考试试卷A 参考答案及评分标准开课单位 数学系任课老师、评卷人 林小苹 谢长珍 任玉杰 熊成继一、基本计算题(本大题共有4小题,每小题7分,共28分)。
1、计算对弧长的曲线积分2Lxy zds ⎰,其中L 是点(1,0,1)到点(0,3,6)的直线段。
解:曲线的参数方程为1,3,15,01x t y t z t t =-==+≤≤。
(2分)于是ds ==,代入得 (2分)1220(1)(15)L xy zds t t dt =-+⎰⎰ (2分)= (1分)2、求曲线积分3223()()Lx x y dx xy y dy -+-⎰ ,其中L 是圆周221x y +=逆时针方向的一周。
解:注意曲线的方向,利用Green 公式得322322()()()L DI x x y dx xy y dy y x dxdy =-+-=+⎰⎰⎰ (4分) 其中D 为圆221x y +≤,再用极坐标计算二重积分得213002I d r dr ππθ==⎰⎰。
(3分)注:此题也可象第1小题那样用参数方程,代入计算,分值也是2、2、2、1。
3、机械部件为空间曲面221(),012z x y z =+≤≤,它的面密度(,,)x y z z ρ=。
求这个部件的总质量。
解:质量(,,)M x y z dS ρ∑=⎰⎰ (2分) 空间曲面221:(),012z x y z ∑=+≤≤在xoy 平面上的投影 (1分) 为22:2D x y +≤,面积微元dS ==,代入得 (1分)2220011(22D M x y d r π=+=⎰⎰⎰ (2分)2(15π=+。
(1分) 4、设∑为柱面221x y +=被平面0z =及3z =所截得的第一卦限内的部分,前侧(x 轴y 轴正向)为正,计算对坐标的曲面积分xdydz ydzdx zdxdy ∑++⎰⎰。
解:除这个柱面外,再加上四个平面:0z =、3z =、0x =、0y =,它们围成立体Ω,它的体积为34π。
高等数学A(二)B期末考卷及解答海大一、选择题(每题1分,共5分)1. 设函数f(x)在x=0处可导,且f'(0)=2,则下列选项中正确的是()A. lim(x→0) [f(x)f(0)]/x = 0B. lim(x→0) [f(x)f(0)]/x = 2C. lim(x→0) [f(x)f(0)]/x = 1D. lim(x→0) [f(x)f(0)]/x = 22. 设函数f(x)在区间[0,1]上连续,且满足0≤f(x)≤1,则下列选项中正确的是()A. ∫(0,1) f(x) dx = 0B. ∫(0,1) f(x) dx = 1C. ∫(0,1) f(x) dx = 0.5D. 无法确定3. 设矩阵A为3阶方阵,且|A|=3,则下列选项中正确的是()A. A可逆B. A不可逆C. A的行列式为0D. A的行列式为34. 设函数y=f(x)在点(x0,y0)处的切线方程为yy0=2(xx0),则下列选项中正确的是()A. f'(x0)=0B. f'(x0)=1C. f'(x0)=2D. f'(x0)不存在5. 设函数f(x)在区间[a,b]上可导,且f'(x)>0,则下列选项中正确的是()A. f(x)在[a,b]上单调递增B. f(x)在[a,b]上单调递减C. f(x)在[a,b]上取得最大值D. f(x)在[a,b]上取得最小值二、判断题(每题1分,共5分)1. 函数f(x)在x=0处可导,则f(x)在x=0处连续。
()2. 若函数f(x)在区间[a,b]上可导,则f(x)在[a,b]上一定连续。
()3. 矩阵A的行列式为0,则A不可逆。
()4. 二重积分的值与积分次序无关。
()5. 若函数f(x)在区间[a,b]上单调递增,则f'(x)>0。
()三、填空题(每题1分,共5分)1. 设函数f(x)=x^33x,则f'(x)=______。
第八章 多元函数的微分法及其应用§ 1 多元函数概念一二、求下列函数的定义域: 1、 };1|),{(22≠+x y y x 2、 };0,|),{(≠≤x x y y x三、求下列极限:1、0; 2 、 (6e ) 四、证明:当沿着x 轴趋于(0,0)时,极限为零,当沿着2x y =趋于(0,0)时,极限为21,二者不相等,所以极限不存在五 证明:当)0,0(),(≠y x 时,为初等函数,连续),(y x f 。
当)0,0(),(=y x 时,)0,0(01sin lim22)0,0(),(f yx xy y x ==+→,所以函数在(0,0)也连续。
所以函数 在整个xoy 面上连续。
六、设)(2y x f y x z+++=且当y=0时2x z =,求f(x)及z 的表达式.解:f(x)=x x-2,z y xy y x -++=2222§ 2 偏导数1证明:x yx yx ye x ,e x y e y +=∂∂-+=∂∂y z x z ,∴z xy xe xy xy x y+=++=∂∂+∂∂yzy x z x2、求空间曲线⎪⎩⎪⎨⎧=+=Γ21:22y y x z 在点(1,21,23)处切线与y 轴正向夹角(4π) 3、设yx y xy y x f arcsin )1(),(2-+=, 求)1,(x f x ( 1)4解:1-=∂∂y zx y z x u ,x x yz y u y zln 2-=∂∂ x x y z u y zln 1=∂∂ 5、设222z y x u ++=,证明 : u zu y u x u 2222222=∂∂+∂∂+∂∂ 6、)0,0(0),(lim 0f y x f y x ==→→ 连续; 201sinlim )0,0(xf x x →= 不存在, 000lim )0,0(0=--=→y f y y 7、设函数 f(x,y)在点(a,b )处的偏导数存在,求 xb x a f b x a f x ),(),(lim 0--+→(2f x (a,b))§ 3 全微分1、单选题(1)D 2B2、求下列函数的全微分:42244222222)()),,((y y x x y y x y y x f +-=+-=ϕ答案:1)xy ez= )1(2dy x dx x y edz xy +-=2))sin(2xy z = 解:)2()cos(22xydy dx y xy dz +=3)zy x u = 解:xdz x zyxdy x z dx x z y du z yz y z yln ln 121-+=- 3、设)2cos(y x y z-=, 求)4,0(πdz解:dy y x y y x dx y x y dz ))2sin(2)2(cos()2sin(-+-+--=∴)4,0(|πdz =dy dx 24ππ-4、设22),,(y x z z y x f +=求:)1,2,1(df)542(251dz dy dx +--5、讨论函数⎪⎩⎪⎨⎧=≠++=)0,0(),(,0)0,0(),(,1sin)(),(2222y x y x yx y x y x f 在(0,0)点处的连续性 、偏导数、 可微性 解:)0,0(01sin)(lim2222)0,0(),(f yx y x y x ==++→ 所以),(y x f 在(0,0)点处连续。
高等数学(下)青岛理工大学智慧树知到答案2024年第一章测试1.方程的特解形式为。
()A:错 B:对答案:B2.设均为某二阶常系数线性非齐次微分方程的通解,则该方程为()A:错 B:对答案:A3.设常系数线性齐次方程特征根为则此方程通解为()。
一个。
A: B:C:答案:C4.设非齐次方程有两个不同的解为任意常数,则该方程的通解是()一个。
A: B: C:答案:A5.设均为某二阶线性非齐次微分方程的解,则该方程满足的解为()。
一个。
A: B: C:答案:B第二章测试1.A:B:C:D:答案:B 2.A:B:C:D:答案:A 3.A:B:C:D:答案:A 4.A:B:C:答案:B 5.A:B:C:D:答案:B 第三章测试1.A:(-1,5)B:(1,-5)C:(1,5)D:(-1,-5)答案:A2.A:B:C:D:答案:B3.A:B:C:D:答案:D4.A:0B:-1C:1D:2答案:C 5.A:不存在B:0C:-1D:1答案:B 第四章测试1.A:B:C:D:答案:D 2.A:B:C:D:答案:C 3.A:B:C:D:答案:C 4.A:B:C:20D:10答案:B5.A:无法判断B:大于C:等于D:小于答案:B第五章测试1.A:B:C:D:答案:B 2.A:B:C:D:答案:B3.A:B:其他选项都不对C:D:0答案:D4.A:B:C:D:答案:D5.A:B:C:答案:D第六章测试1.A:发散 B:收敛但和不一定为0C:收敛且和为0 D:可能收敛也可能发散答案:D2.A:B:C:答案:D3.A:B:C:D:答案:B4.A:绝对收敛B:可能收敛也可能发散C:条件收敛D:发散答案:A5.A:B:C:D:答案:A。
青岛市名校2022届数学高二第二学期期末复习检测试题一、单选题(本题包括12个小题,每小题35,共60分.每小题只有一个选项符合题意) 1.已知函数()2sin()0,,2f x x πωϕωϕπ⎛⎫⎛⎫=+>∈⎪ ⎪⎝⎭⎝⎭的部分图像如图所示,其||213AB =,把函数()y f x =的图像上所有点的横坐标伸长到原来的2倍,纵坐标不变,再把所得曲线向左平移2个单位长度,得到函数()y g x =的图像,则()y g x =的解析式为( )A .()2sin12g x x π=-B .2()2sin 123g x x ππ⎛⎫=-+⎪⎝⎭C .()2sin 123g x x ππ⎛⎫=+ ⎪⎝⎭D .()2cos3g x x π=【答案】A 【解析】 【分析】根据条件先求出ϕ和ω,结合函数图象变换关系进行求解即可. 【详解】解:()02sin 1f ϕ==Q ,即1sin 2ϕ=, ,2πϕπ⎛⎫∈ ⎪⎝⎭Q56πϕ∴=, 则5()2sin 6f x x πω⎛⎫=+ ⎪⎝⎭,Q ||213AB =22221324T ⎛⎫∴+= ⎪⎝⎭⎝⎭,即241316T +=, 则2916T =,则34T =,即212T πω==,得6π=ω,即5()2sin 66f x x ππ⎛⎫=+⎪⎝⎭, 把函()f x 的图象上所有点的横坐标伸长到原来的2倍,纵坐标不变,得到52sin 126y x ππ⎛⎫=+⎪⎝⎭, 再把所得曲线向左平移2个单位长度,得到函数()g x 的图象, 即()()52sin 22sin 2sin 1261212g x x x x πππππ⎡⎤⎛⎫=++=+=- ⎪⎢⎥⎣⎦⎝⎭,故选:A . 【点睛】本题主要考查三角函数图象的应用,根据条件求出ω 和ϕ的值以及利用三角函数图象平移变换关系是解决本题的关键,属于中档题. 2.的展开式中剔除常数项后的各项系数和为( )A .-55B .-61C .-63D .-73【答案】D 【解析】 【分析】 令得到所有系数和,再计算常数项为9,相减得到答案.【详解】 令,得,而常数项为,所以展开式中剔除常数项的各项系数和为,故选D.【点睛】本题考查了二项式系数和,常数项的计算,属于常考题型.3.某巨型摩天轮.其旋转半径50米,最高点距地面110米,运行一周大约21分钟.某人在最低点的位置坐上摩天轮,则第35分钟时他距地面大约为( )米.A .75B .85C .100D .110【答案】B 【解析】分析:设出P 与地面高度与时间t 的关系,f (t )=Asin (ωt+φ)+B ,由题意求出三角函数中的参数A ,B ,及周期T ,利用三角函数的周期公式求出ω,通过初始位置求出φ,求出f (35)的值即可. 详解:设P 与地面高度与时间t 的关系,f (t )=Asin (ωt+φ)+B (A >0,ω>0,φ∈[0,2π)), 由题意可知:A=50,B=110﹣50=60,T=2πω=21,∴ω=221π, 即 f (t )=50sin (221πt+φ)+60, 又因为f (0)=110﹣100=10,即sinφ=﹣1,故φ=32π, ∴f (t )=50sin (221πt+32π)+60, ∴f (35)=50sin (221π×35+32π)+60=1.故选B .点睛:已知函数()sin (0,0)y A x B A ωϕω=++>>的图象求解析式(1)max min max min ,22y y y y A B -+==. (2)由函数的周期T 求2,.T πωω=(3)利用“五点法”中相对应的特殊点求ϕ,一般用最高点或最低点求.4.如图是调查某地区男女中学生喜欢理科的等高条形图,阴影部分表示喜欢理科的百分比,由图得到结论不正确的为( )A .性别与是否喜欢理科有关B .女生中喜欢理科的比为20%C .男生不喜欢理科的比为60%D .男生比女生喜欢理科的可能性大些 【答案】C 【解析】 【分析】本题为对等高条形图,题目较简单,逐一排除选项,注意阴影部分位于上半部分即可. 【详解】解:由图可知,女生喜欢理科的占20%,故B 正确;男生喜欢理科的占60%,所以男生不軎欢理科的比为40%,故C 不正确;同时男生比女生喜欢理科的可能性大些,故D 正确;由此得到性别与喜欢理科有关,故A 正确. 故选:C . 【点睛】本题考查等高条形图等基础知识,考查数据处理能力、运算求解能力,考查数形结合思想,是基础题.5.用数学归纳法证明()11125123124f n n n n =++>+++L ()n N +∈过程中,假设()n k k N +=∈时,不等式()2524f k >成立,则需证当1n k =+时,()25124f k +>也成立,则()()1f k f k +-=( )A .134k +B .11341k k -++C .112323433k k k +-+++D .111323334k k k +++++【答案】C 【解析】()()()()()1111111 (1112)31111131f k f k k k k k k k +-=+++--+-++++++++++11111343332k k k k =-+++++++ 112343233k k k =+-+++ 故选C6.对于函数x y e =,曲线x y e =在与坐标轴交点处的切线方程为1y x =+,由于曲线xy e =在切线1y x =+的上方,故有不等式1x e x ≥+.类比上述推理:对于函数()ln 0y x x =>,有不等式( ) A .ln 1(0)x x x ≤-> B .ln 1(0)x x x ≥+> C ln 1(0)x x x ≥->D ln 1(0)x x x ≤->【答案】A 【解析】 【分析】求导,求出函数与x 轴的交点坐标,再求出在交点处的切线斜率,代入点斜式方程求出切线,在与函数图像的位置比较,即可得出答案. 【详解】由题意得()1ln y x x''==,且ln y x =的图像与x 轴的交点为()1,0,则在()1,0处的切线斜率为1,在()1,0处的切线方程为1y x =-,因为切线1y x =-在()ln 0y x x =>图像的上方,所以ln 1(0)x x x ≤-> 故选A 【点睛】本题考查由导函数求切线方程以及函数图像的位置,属于一般题.7.平面内有n 条直线,最多可将平面分成f(n)个区域,则f(n)的表达式为() A .n +1 B .2nC .222n n ++D .n2+n +1【答案】C 【解析】1条直线将平面分成1+1个区域;2条直线最多可将平面分成1+(1+2)=4个区域;3条直线最多可将平面分成1+(1+2+3)=7个区域;……,n 条直线最多可将平面分成1+(1+2+3+…+n)=1+()21n n +=222n n ++个区域,选C. 8.设集合{}123A =,,, {}2,34B =,, {|}M x x ab a A b B ==∈∈,,,则M 中的元素个数为( )A .5B .6C .7D .8【答案】C 【解析】分析:由题意列表计算所有可能的值,然后结合集合元素的互异性确定集合M ,最后确定其元素的个数即可.详解:结合题意列表计算M 中所有可能的值如下:观察可得:{}2,3,4,6,8,9,12M =, 据此可知M 中的元素个数为7. 本题选择C 选项.点睛:本题主要考查集合的表示方法,集合元素的互异性等知识,意在考查学生的转化能力和计算求解能力.9.已知复数z 满足35i1z i+=+,则复数z 在复平面内对应的点位于( ) A .第一象限 B .第二象限C .第三象限D .第四象限【答案】A 【解析】 【详解】分析:利用复数的除法运算法则:分子、分母同乘以分母的共轭复数,化简复数z ,求出z 的坐标即可得结论.详解:因为()()()()35i 1i 35i 82i4i 1i 1i 1i 2z +-++====+++-, ∴复数z 的在复平面内对应的点为()4,1,位于第一象限,故选A.点睛:复数是高考中的必考知识,主要考查复数的概念及复数的运算.要注意对实部、虚部的理解,掌握纯虚数、共轭复数这些重要概念,复数的运算主要考查除法运算,通过分母实数化转化为复数的乘法,运算时特别要注意多项式相乘后的化简,防止简单问题出错,造成不必要的失分.10.已知一个等比数列{}n a ,这个数列21n a a -=且所有项的积为243,则该数列的项数为( ) A .9 B .10C .11D .12【答案】B 【解析】 【分析】根据等比数列性质列式求解 【详解】22121221(9)3)n n n n n na a a a a a --⋅⋅===Q L224335,10.2n nn ∴===,【点睛】本题考查利用等比数列性质求值,考查基本分析求解能力,属基础题. 11.用反证法证明命题:若整系数一元二次方程有有理数根,那么、、中至少有一个是偶数时,下列假设中正确的是( ) A .假设、、都是偶数 B .假设、、都不是偶数 C .假设、、至多有一个偶数 D .假设、、至多有两个偶数【答案】B 【解析】分析:本题考查反证法的概念,逻辑用语,否命题与命题的否定的概念,逻辑词语的否定.根据反证法的步骤,假设是对原命题结论的否定,故只须对“b 、c 中至少有一个偶数”写出否定即可. 解答:解:根据反证法的步骤,假设是对原命题结论的否定 “至少有一个”的否定“都不是”.即假设正确的是:假设a 、b 、c 都不是偶数 故选B .点评:一些正面词语的否定:“是”的否定:“不是”;“能”的否定:“不能”;“都是”的否定:“不都是”;“至多有一个”的否定:“至少有两个”;“至少有一个”的否定:“一个也没有”;“是至多有n 个”的否定:“至少有n+1个”;“任意的”的否定:“某个”;“任意两个”的否定:“某两个”;“所有的”的否定:“某些”. 12.从5名男公务员和4名女公务员中选出3人,分别派到西部的三个不同地区,要求3人中既有男公务员又有女公务员,则不同的选派议程种数是( ) A .70 B .140 C .420 D .840【答案】C 【解析】 【分析】 【详解】试题分析:先分组:“1个男2个女”或“1个女2个男”,第一种方法数有1254C C 30=,第二种方法数有215440C C =.然后派到西部不同的地区,方法数有()333040420A +⨯=种.考点:排列组合.二、填空题(本题包括4个小题,每小题5分,共20分)13.某工厂生产甲、乙、丙、丁4类产品共计3000件.已知甲、乙、丙、丁4类产品数量之比为1:2:4:8.现要用分层抽样的方法从中抽取150件进行质量检测,则乙类产品抽取的件数为______. 【答案】20 【解析】根据甲乙丙丁的数量之比,利用分层抽样的定义即可得到结论. 【详解】解:Q 甲、乙、丙、丁4类产品共计3000件,已知甲、乙、丙、丁4类产品的数量之比为1:2:4:8,∴用分层抽样的方法从中抽取150件,则乙类产品抽取的件数为2150201248⨯=+++,故答案为:1. 【点睛】本题主要考查分层抽样的定义和应用,熟练掌握分层抽样的定义是解决问题的关键. 14.命题“2000,2cos x R x x ∃∈<”的否定为____________________.【答案】2x R,2x cos x ∀∈≥ 【解析】特称命题的否定为全称,所以“2000,2cos x R x x ∃∈<”的否定为“2,2cos x R x x ∀∈≥”.点睛:命题的否定和否命题要做好区别:(1)否命题是指将命题的条件和结论都否定,而且与原命题的真假无关; (2)否命题是只否结论,特别的全称命题的否定为特称,特称命题的否定为全称. 15.已知随机变量X 的分布列为P (X =k )=2ka(k =1,2,3,4),则a 等于_______. 【答案】5 【解析】试题分析:.随机变量X 的取值有1、2、3、4,分布列为:由概率的基本性质知:41()k P X k ==⇒∑11321,522a a a a a+++== 考点:1、离散型随机变量的分布列.16.甲、乙两名运动员进行乒乓球单打比赛,已知每一局甲胜的概率为23.比赛采用“五局三胜(即有一方先胜3局即获胜,比赛结束)制”,则甲3:2获胜的概率是____. 【答案】1681;【分析】利用相互独立事件同时发生的概率计算求解,甲3:2获胜,则比赛打了5局,且最后一局甲胜利. 【详解】由题意知,前四局甲、乙每人分别胜2局,则甲3:2获胜的概率是:222421216()()33381P C =⋅⋅=.【点睛】本题考查相互独立事件同时发生的概率,属于基础题. 三、解答题(本题包括6个小题,共70分)17.如图,PA ⊥底面ABCD ,四边形ABCD 是正方形,//,22DE AP AP AD DE ===.(Ⅰ)证明:平面//DCE 平面ABP ; (Ⅱ)求直线CP 与平面DCE 所成角的余弦值.【答案】(1)见解析;(2)直线CP 与平面DCE 6. 【解析】分析:(1)先根据线面平行判定定理得//DC 平面ABP ,//DE 平面ABP .,再根据面面平行判定定理得结论,(2)先根据条件建立空间直角坐标系,设立各点坐标,根据方程组解得平面DCE 的一个法向量,利用向量数量积求得向量夹角,最后根据线面角与向量夹角互余关系得结果. 详解: (Ⅰ)因为//DC AB ,AB ⊂平面ABP ,DC ⊄平面ABP , 所以//DC 平面ABP . 同理可得,//DE 平面ABP . 又DC DE D ⋂=,所以平面//DCE 平面ABP .(Ⅱ)(向量法)以A 为坐标原点,,,AB AD AP 所在的直线分别为x 轴,y 轴,z 轴建立如下图所示的空间直角坐标系,由已知得,点(020)D ,,,()2,2,0C ,()0,2,1E ,()0,0,2P . 所以()2,2,2CP u u u v =--,()0,2,0AD =u u u v.易证AD ⊥平面DCE ,则平面DCE 的一个法向量为()0,2,0AD =u u u v . 设直线CP 与平面DCE 所成角为θ,则()()0,2,0?2,2,2·3sin cos ,223AD CP AD CP AD CP θ--====⨯u u u v u u u vu u u v u u u v u u u v u u u v 。
高等数学(2)复习题及答案
一、填空题:
)
的通解为(、微分方程2
21x ce y xy y ==' 2、微分方程y "-7y '+12y=0的通解为:y=C 1e 3x +C 2e 4x
解:特征方程是:r 2-7r+12=0⇒r 1=3,r 2=4
方程的通解是:y=C 1e 3x +C 2e 4x
(){}
)
的定义域为 (= 函数 94,,4
19.3222
2
22≤+<=-++
--y x y x D y x y x z 4、)的定义域为 (=函数 ⎩
⎨⎧-<<⎩⎨
⎧->>--+11
;11)1ln(y x y x y x xy z 5、幂级数
的收敛域为( )
6.幂级数 的收敛域为(
) 7、)),(),((),(21
20
2 变换二次积分次序10
10dy y x f dx dy y x f dx dx y x f dy x
x y
y
⎰⎰
⎰⎰⎰⎰--+=
)),((),(),(.822
1
20
变换二次积分次序10
1
0
dx y x f dy dy y x f dx dy y x f dx y
y
x
x
⎰⎰
⎰⎰
⎰⎰--=+
二、解微分方程:
()
()
()x x x y x y y x e x c c y r r r r e c y c e e dx e dy e y y y e y 2212
2
2
,022222ln ,,1 0
22221+===-=+-+=+===+'-''='-、解:、 、
3、xy '-ylny=0
解:这是可分离变量的微分方程 Cx e y Cx y ln C ln x ln y ln ln x
dx
y ln y dy =⇒=⇒+=⇒= 4、⎩
⎨⎧='==-''1)0(y 0)0(y 0e y y 2
解:y "-e 2y =0是可降阶的的微分方程。
设y '=p ,则y "=dy
dp
p dx dy dy dp dx dp dx dy dx d ===
⎪⎭⎫ ⎝⎛,方程化为 C 2
1e 21p 21e dy dp p y 22y 2+=⇒=,代入初始条件y '(0)=1可得:C=0. y '=e y ⇒e -y dy=dx ⇒-e -y =x+C 1代入初始条件y (0)=0可得:C 1=-1.所求的特解是: x+e -y -1=0
三、求下列函数的偏(全)导数 :
),(∞+-∞n
n x ∑∞
=+0
!
1n 1
)(n 0n x !
n 1∑∞=),(∞+-∞。