第2章 气液两相流的模型
- 格式:ppt
- 大小:1.45 MB
- 文档页数:51
气液两相流的性质和计算方法气液两相流是指气体和液体同时存在并混合流动的流体系统。
它在工业领域和自然界中都具有重要的应用价值,例如石油开采、化工生产以及大气湍流等。
了解气液两相流的性质和计算方法对于工程设计和科学研究都至关重要。
本文将介绍气液两相流的基本特性以及常用的计算方法。
一、气液两相流的性质1. 相态及其转变:在气液两相流中,气体和液体是两种不同的相态。
相态的转变主要涉及气体与液体之间的相互作用。
常见的气液相态转变有蒸发和凝结。
蒸发是液体转变为气体的过程,凝结则相反,是气体转变为液体的过程。
2. 平衡态:在气液两相流中,气相和液相之间存在着平衡态,即气体和液体之间的能量和质量交换达到平衡。
平衡态可以通过温度、压力和相对湿度等参数进行描述。
在一定的温度和压力条件下,气体和液体之间会达到平衡态,这对于计算气液两相流动参数至关重要。
3. 流速及测量方法:气液两相流的流速可以通过多种方法进行测量,常用的方法有雷诺数法、回收法和瞬时测量法等。
雷诺数法利用流速以及流动的截面积来计算气液两相流的饱和度,从而推导出流速。
回收法则通过测量液体回收某一时间段内的质量差异来计算流速。
瞬时测量法则是在气液两相流过程中通过传感器实时测量流速。
二、气液两相流计算方法1. 流动模型:在计算气液两相流动时,常用的模型有欧拉模型和拉格朗日模型。
欧拉模型是基于连续方程和动量方程的宏观计算方法,适用于大规模流体系统的计算。
拉格朗日模型则是基于颗粒运动方程的微观计算方法,适用于小尺度的气液两相流计算。
2. 数值模拟方法:气液两相流的数值模拟是一种常用的计算方法。
通过将流体系统划分为离散的网格单元,利用数学模型和计算算法对流体动力学进行数值求解。
常用的数值模拟方法有有限差分法、有限元法和计算流体力学(CFD)等。
3. 实验方法:为了验证理论计算结果和数值模拟方法的准确性,常常需要进行实验研究。
实验方法可以通过流体试验和实验观测两种途径进行。
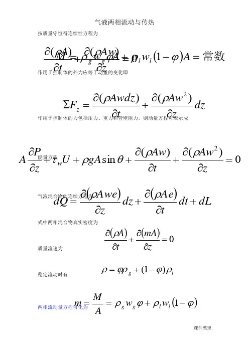
气液两相流模型及相应控制方程1. 分相流模型一般把两相看成分开的两股流体流动,分别按单相流处理,同时计及相间作用,然后把两相方程相加,得出两相流的基本方程。
以下为分相流动模型下的一元两相流动基本控制方程。
(1) 连续性方程: 气相:g g g g g f A f w Am tzρρδ∂∂+=∂∂液相:(1)(1)l g g g l f A l f w Am t z ρρδ∂-∂-+=-∂∂ 两相:0A GAt zρ∂∂+=∂∂ 其中:m δ为控制体单位长度的质量交换率,即考虑相变。
真实密度:(1)g g l g f f ρρρ=+- 质量流速: (1)g g g g l l G f w f w ρρ=+- (2) 动量方程:因为相间有摩擦,相界面上作用有摩擦力i τ,相间有质量交换,则有动量交换,若相界面周长为i P ,界面流速为i w ,则各自的动量方程为: 气相:21sin g og g gg g g g g g g i f w f w A p m f P gf w tA z z A Aρτρρθ∂∂∂∂+=---+∂∂∂ 液相:2(1)(1)1(1)(1)sin ol l g l l g l g l l g if w f w A p m f Pg f w t A z z A Aτρρρθ∂-∂-∂∂+=-----+∂∂∂两相:22(1)1sin l g l g g g o A f w f w P G P g t A z z Aρρτρθ⎡⎤∂-+∂∂∂⎣⎦+=---∂∂∂其中:o og g ol l P P p τττ=+ 且总压等于分压之和。
(3)能量方程:依照单相流动方程的方法的推法,即在控制体上应用热力学第一定律,再考虑相间的相互作用,即相间摩擦耗功,相变递能和界面传热,得各自的能量方程为: 气相能量方程:22()(())g g g g g g g g g Af U w w Af U w dz dz tzρρ⎡⎤⎡⎤∂+∂+⎣⎦⎣⎦+=∂∂21sin 2g g g g g g i i i i i i pAf w dQ dz Af w gdz Pw dz q Pdz mw dzZρθτδ⎡⎤∂⎣⎦----+∂/*注意与单相流能量方程的区别,热力学能第一定律只关注于内能,机械能与热能数量上的守恒,动量定理则能清楚的看出各种力对流动特性的影响,比如在能量方程中你看不出粘性耗散对流动的影响*/g dQ 单相流中推导的气体与外界,不包括液体之间的热量交换。
气液两相流理论分析模型及实验平台介绍摘要:介绍了气液两相流的理论分析模型,均相流模型、分相流模型、漂移流模型、双流体模型,各模型的特点及适用条件,为实验研究提供理论基础。
并介绍了国家化工设备质量监督检验中心换热实验平台,为气液两相流实验研究提供支撑。
关键词:气液两相流;两相流模型;实验平台伴随着管壳式换热器的普遍应用,两相流动及沸腾换热特性的研究越来越得到各国学者们的重视。
两相流动及沸腾广泛存在于各个工业领域中,如工业锅炉设备中,水经过软化后通过电加热或者化石燃料燃烧加热沸腾,气化为水汽两相状态,过热的饱和蒸汽经过汽包,送至各类用户;产热电站及动力站也是通过各类热源的作用,使得原始介质发生相变产生两相或者多相介质直接或者间接作为动力及发电源动力;汽轮机、核反应堆堆芯、蒸汽发生器等等同样伴随着各类气液两相或者多相流动及沸腾换热现象。
一、气液两相流理论分析模型(一)均相流模型均相流模型是最简单的物理模型,结构示意图如图1。
将气液两相流混合物看做是一种均匀介质,混合物的物性参数即两相介质各自参数的平均值。
运用一般流体力学的研究方法,对气液混合物的平均流动特性进行确定和描述。
该模型基于以下几项基础的假设:1.气液两相的流速相等,故滑动比,滑差,流动密度都相等,把气液两相流体看作均匀流。
2.气液两相混合物处于热力学平衡状态。
即气液两相的温度是相等的,且不存在热量传递。
3.两相流的摩擦系数基于单相流摩擦系数,且气液两相混合物物理特性遵循等熵变化。
这种均相模型一般适用于高速高压条件下的泡状流和雾状流。
这是由于在一般实际情况下,两相流速是不可能相同的。
只有在高速高压下两相流质混合才更加均匀。
由于假设两相之间速度是相同的,其与实验计算值误差较大,随着质量流量的减小偏差逐渐增大。
所以准确确定气液两相混合物的平均物理特性对于选择模型十分重要。
(二)分相流模型分相流模型的结构示意图如图2。
分相流模型将气液两相流的两相分别看作连续的有自身平均流速的单独流体,即气液介质有各自的物性参数,当气液两相流速相等时就成为了均相流模型。