常熟理工学院-高数b(下)期末复习题
- 格式:doc
- 大小:1.74 MB
- 文档页数:16
大一高数b期末考试题及答案一、选择题(每题3分,共30分)1. 函数f(x)=x^2+2x+1的导数是()。
A. 2x+2B. 2x+1C. x^2+2D. 2x2. 极限lim(x→0) (sin(x)/x)的值是()。
A. 0B. 1C. π/2D. 23. 以下哪个函数是奇函数()。
A. y=x^2B. y=x^3C. y=x^2+1D. y=x^3-14. 函数f(x)=e^x的不定积分是()。
A. e^x + CB. e^x - CC. ln(e^x) + CD. ln(x) + C5. 以下哪个选项是正确的洛必达法则的应用()。
A. lim(x→0) (x^2/x) = lim(x→0) (2x/1) = 0B. lim(x→0) (1/x) = lim(x→0) (0/0) = 1C. lim(x→0) (sin(x)/x) = lim(x→0) (cos(x)/1) = 1D. lim(x→0) (x^3/x^2) = lim(x→0) (3x^2/2x) = 06. 函数f(x)=x^3-3x的极值点是()。
A. x=0B. x=1C. x=-1D. x=27. 以下哪个选项是正确的二重积分计算()。
A. ∬(1/(x^2+y^2)) dxdy = πB. ∬(1/(x^2+y^2)) dxdy = 2πC. ∬(x^2+y^2) dxdy = πD. ∬(x^2+y^2) dxdy = 4π8. 以下哪个选项是正确的泰勒级数展开()。
A. e^x = 1 + x + x^2/2! + x^3/3! + ...B. sin(x) = x - x^3/3! + x^5/5! - ...C. cos(x) = 1 - x^2/2! + x^4/4! - ...D. ln(1+x) = x - x^2/2 + x^3/3 - ...9. 以下哪个选项是正确的多元函数偏导数的计算()。
高数期末试题B 参考答案及评分标准一、判断题二、填空题(本大题共10小题,每小题2分,共20分)(6) 2 (7)x z y 522=+(8) -1 (9)9122≤+<y x (10)2ln 162(11) 6 (12)yPx Q ∂∂=∂∂ (13) 右手 (14)⎰20)2sin(21πdt t (15) 偶(16)求曲面42222=++z y x 在点(1,1,1)处的切平面方程,并求过原点与该切平面垂直的直线方程。
()())2(112)3(042111)2()2,2,4(|),,(11142),,()1,1,1(222分直的直线方程为:通过原点与该切平面垂分点处的切平面方程为,,曲面在分点处的法向量,,则曲面在解:记 zy x z y x F F F z y x z y x F z y x ===-++∴==-++=(17)设函数),(y x z z =由方程23222320x z y z x y +-+=所确定,求全微分dz 。
)1(43344322)3(4334)3(43222),,(222222223222222223322232分分分则解:记 dy zy z x y yz dx z y z x x xz dz zy z x y yz F F y z zy z x xxz F F x z y x z y z x z y x F z y z x ++-+--=∴++-=-=∂∂+--=-=∂∂+-+=(18)计算Ω⎰⎰⎰,其中Ω是由0,1z z ==和222x y x +=围成的区域。
)1(9163238cos 38cos 34)1(21)2(21)1(21)2()1)1(D (203223cos 202222221222212222分分分分分:其中解: =⋅=====+=+=≤+-+=+⎰⎰⎰⎰⎰⎰⎰⎰⎰⎰⎰⎰⎰⎰⎰⎰⎰--Ωπππθππθθθθρρθθρρd d d d d d dxdy y x zdz dxdy y x y x dz y x z dxdy dv y x z DDDD(19)计算,)536()24(L⎰+++-+dy y x dx y x 其中L 为三角形(3,0),(3,2),(0,0)的正向边界。
大一高数b下期末考试题及答案一、选择题(每题5分,共20分)1. 函数f(x)=x^2-4x+c在x=2处的导数是()。
A. 0B. 2C. 4D. 8答案:B2. 极限lim(x→0)(sin(x)/x)的值是()。
A. 0B. 1C. 2D. ∞答案:B3. 曲线y=x^3-3x^2+2在点(1,0)处的切线斜率是()。
A. 0B. 1C. -2D. 2答案:C4. 定积分∫(0,1) x^2 dx的值是()。
A. 1/3B. 1/2C. 1D. 2二、填空题(每题5分,共20分)1. 函数f(x)=ln(x)的定义域是()。
答案:(0, +∞)2. 微分方程dy/dx + y = e^x的通解是()。
答案:y = Ce^(-x) + e^x3. 曲线y=x^3-6x^2+9x+1在x=3处的切线方程是()。
答案:y = 18x - 424. 定积分∫(0,2) (x^2-4x+4) dx的值是()。
答案:4三、解答题(每题10分,共60分)1. 求函数f(x)=x^3-3x^2+2的极值点。
答案:首先求导数f'(x)=3x^2-6x,令f'(x)=0,解得x=0或x=2。
当x<0时,f'(x)>0;当0<x<2时,f'(x)<0;当x>2时,f'(x)>0。
因此,x=0是极大值点,x=2是极小值点。
2. 求极限lim(x→∞) (x^2-1)/(x^2+x+1)。
答案:lim(x→∞) (x^2-1)/(x^2+x+1) = lim(x→∞) (1-1/x^2)/(1+1/x+1/x^2) = 1/1 = 13. 求曲线y=x^3-3x^2+2在点(1,0)处的切线方程。
已知切线斜率k=f'(1)=-2,切点为(1,0)。
因此,切线方程为y-0=-2(x-1),即y=-2x+2。
4. 求定积分∫(0,2) (x^2-4x+4) dx。
高数b2期末考试试题及答案一、选择题(每题5分,共30分)1. 设函数f(x)=x^3-3x+1,求f'(x)的值。
A. 3x^2 - 3B. x^2 - 3xC. 3x^2 - 3xD. x^3 - 3x^2答案:A2. 计算定积分∫(0,1) x^2 dx。
A. 1/3B. 1/2C. 2/3D. 1/4答案:B3. 求极限lim(x→0) (sin x) / x。
A. 1B. 0C. 2D. ∞答案:A4. 判断下列级数是否收敛。
∑(1/n^2),n从1到∞。
A. 收敛B. 发散答案:A5. 判断函数f(x)=e^x在实数域R上的连续性。
A. 连续B. 不连续答案:A6. 求二阶偏导数f''(x,y),其中f(x,y)=x^2y+y^2。
A. 2xyB. 2xC. 2yD. 2答案:B二、填空题(每题5分,共20分)1. 设函数f(x)=ln(x+1),求f'(x)=______。
答案:1/(x+1)2. 计算定积分∫(0,2π) sin(x) dx=______。
答案:03. 求极限lim(x→∞) (1+1/x)^x=______。
答案:e4. 判断级数∑(1/n),n从1到∞是否收敛,答案是______。
答案:发散三、解答题(每题10分,共50分)1. 求函数f(x)=x^3-6x^2+11x-6的极值点。
答案:首先求导数f'(x)=3x^2-12x+11,令f'(x)=0,解得x=1,x=11/3。
经检验,x=1为极大值点,x=11/3为极小值点。
2. 计算定积分∫(0,1) e^x dx。
答案:∫(0,1) e^x dx = [e^x](0,1) = e^1 - e^0 = e - 1。
3. 求极限lim(x→0) (e^x - 1) / x。
答案:根据洛必达法则,lim(x→0) (e^x - 1) / x = lim(x→0) e^x = 1。
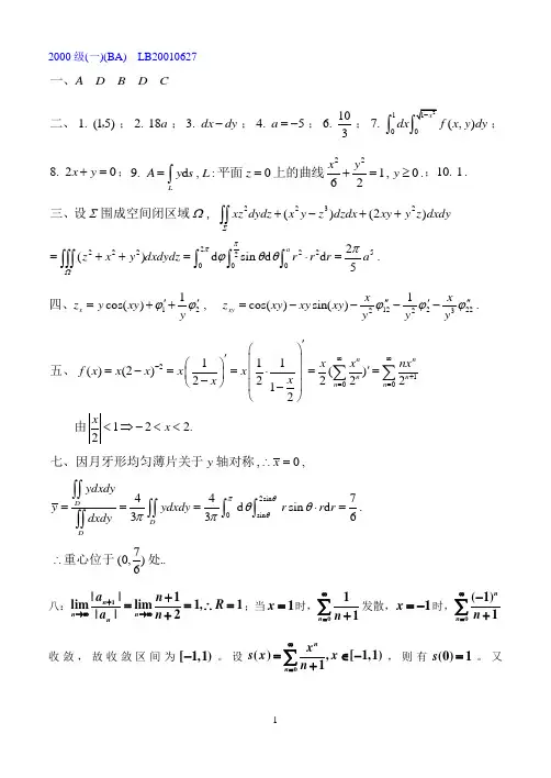
2000级(一)(BA) LB20010627A DB DC 一、1.(15)二、,;2.18a ;3.dx dy -;4.5a =-;106.3;17.(,)dx f x y dy ⎰;8.20x y +=;229.d ,:01,0.62Lx y A y s L z y ==+=≥⎰平面上的曲线;10.1.2232222222520()(2)2()d sin d d .5axz dydz x y z dzdx xy y z dxdy z x y dxdydz r r r a ∑ππΩ∑Ωπϕθθ+-++=++=⋅=⎰⎰⎰⎰⎰⎰⎰⎰三、设围成空间闭区域,121222222311cos(),cos()sin().x xy x xz y xy z xy xy xy yy y yϕϕϕϕϕ'''''''=++=----四、2100111()(2)()222221212 2.2n n n n n n x x nx f x x x x x x x xx ∞∞-+=='⎛⎫' ⎪⎛⎫'=-==⋅== ⎪ ⎪-⎝⎭ ⎪-⎝⎭<⇒-<<∑∑五、由2sin 0sin ,0,447d sin d .3367(0,).6D DDy x ydxdyy ydxdy r r r dxdy πθθθθππ∴====⋅=∴⎰⎰⎰⎰⎰⎰⎰⎰七、因月牙形均匀薄片关于轴对称重心位于处. 八:1||1lim lim 1,1||2n n n na n R a n +→∞→∞+==∴=+;当1x =时,011n n ∞=+∑发散,1x =-时,0(1)1n n n ∞=-+∑收敛,故收敛区间为[1,1)-。
设0(),[1,1)1nn x s x x n ∞==∈-+∑,则有(0)1s =。
又10()1n n x xs x n +∞==+∑,有1001[()]()11n n n n x xs x x n x +∞∞==''===+-∑∑,()ln(1)1xdx xs x x x ∴==---⎰,当0x ≠时,有1()ln(1)s x x x=--,0x =时,(0)1s =。
第二学期高等数学期末考试试卷及答案3第二学期高等数学期末考试试卷(B 卷)答案一.填空题(本题满分30分,共有10道小题,每道小题3分),请将合适的答案填在空中.1. 设向量AB 的终点坐标为()7,1,2-B ,它在x 轴、y 轴、z 轴上的投影依次为4、4-和7,则该向量的起点 A 的坐标为___________________________.2. 设a 、b 、c 都是单位向量,且满足0 =++c b a ,则=?+?+?ac c b b a_____________________________. 3. 设()()xy xy z 2cos sin +=,则=??yz_____________________________. 4. 设yx z =,则=yx z2___________________.5. 某工厂的生产函数是),(K L f Q =,已知⑴. 当20,64==K L 时,25000=Q ;(2)当20,64==K L 时,劳力的边际生产率和投资的边际生产率为270='Lf ,350='K f 。
如果工厂计划扩大投入到24,69==K L ,则产量的近似增量为_______________6. 交换积分顺序,有()=??--221,y y ydx y x f dy_____________________________.7. 设级数∑∞=1n nu收敛,且u un n=∑∞=1,则级数()=+∑∞=+11n n n u u __________.8. -p 级数∑∞=11n p n 在p 满足_____________条件下收敛. 9. 微分方程x x y sin +=''的通解为=y ______________________.10. 对于微分方程x e y y y -=+'+''23,利用待定系数法求其特解*y 时,应设其特解=*y ______________________ (只需列出特解形式,不必具体求出系数).答案: 1. ()0,3,2-A ;2. 23-; 3. ()()()xy xy x xy x sin cos 2cos -; 4. ()x y x y ln 11+-; 5. 2750单位; 6.()()----+1111012,,x xdy y x f dxdy y x f dx ;7. 02u u -; 8. 1>p ; 9.213sin 61C x C x x ++-; 10. xAxe y -=*.二.(本题满分8分)求过点()3,2,10-P ,且与两平面12=+z x 和23=-z y 平行的直线方程.解:所求直线l 过点()3,2,10-P ,设其方向向量为s,由于l 平行于平面12=+z x 和23=-z y ,所以其方向向量s 同时垂直于向量{}2,0,11=n 与{}3,1,02-=n .因此,方向向量s可取为,k j i kj i s n s++-=-=?=32310201 .从而所求直线方程为:13221-=-=-+z y x .三.(本题满分8分)设函数??=x y x z F x u k ,,其中k 是常数,函数F 具有连续的一阶偏导数.试求zu z y u y x u x+??+??.解:-??? ??'+??? ??-??? ??'+??? ??=??-22211,,,x y x y xz F x x z x y x z F x x y x zF kx x u kkk ??'-??? ??'-??? ??=---x y xz F yx x y x z F zx x y xz F kxk k k ,,,22121'=???? ??'=??-x y x z F x x x y x z F x y u k k ,1,212'=???? ??'=??-x y xz F x x x y xz F x z u k k ,1,111 所以, zz y u y x u x+??+?? ??'-??? ??'-??? ???=---x y xz F yx x y x z F zx x y xzF kxx k k k ,,,22121'?+??? ??'?+--x y xz F x z x y x z F xy k k ,,1121=x y x z F kx k , 四.(本题满分8分)计算二重积分??≤++=42222y x y xdxdy e I 的值.解:作极坐标变换:θθsin ,cos r y r x ==,则有==≤++220422222rdr e d dxdy eI r y x y x πθ()1212422-=?=e e rππ.五.(本题满分8分)某工厂生产两种型号的机床,其产量分别为x 台和y 台,成本函数为xy y x y x c -+=222),( (万元)若市场调查分析,共需两种机床8台,求如何安排生产,总成本最少?最小成本为多少?解:即求成本函数()y x c ,在条件8=+y x 下的最小值构造辅助函数 ())8(2,22-++-+=y x xy y x y x F λ解方程组=-+='=++-='=+-='080402y x F y x F y x F y x λλλ解得 3,5,7==-=y x λ这唯一的一组解,即为所求,当这两种型号的机床分别生产5台和3台时,总成本最小,最小成本为: 2835325)3,5(22=?-?+=c (万)六.(本题满分10分)⑴. 将()21ln arctan x x x x f +-=展开为x 的幂级数;⑵. 指出该幂级数的收敛域;⑶. 求级数()()∑∞=--1121n nn n 的和.解:⑴. 因为()()∑∞=-=+='22111arctan n nn x x x ()1<="" p="" ,且00arctan=",所以,"> =+∞=∞=+-=-=??? ??-=01200200212111arctan n n nn xnn xn n n x n dt t dt t x()11≤<-x而 ()()∑∞=-=+=+12221211ln 211ln n n nx nx x ()11≤≤-x所以, ()21ln arctan x x x x f +-=()()∑∑∞=∞=+--+-=12012121121n nnn n nx nxn x()()()()∑∑∞=+∞=++--+-=012022121121n n n n n nx n xn ()∑∞=+??+-+-=222211211n n n x n n ()()()∑∞=+++-=02222121n n nx n n ()11≤≤-x⑵. 幂级数()()()∑∞=+++-02222121n n n x n n 的收敛域为[]1,1-.⑶. 令1=x ,则有()()()()∑∑∞=∞=--=--1112212121n n n n n n n n ()()-=+-?==2ln 214211ln 1arctan 12122πf2ln 2-=π.七.(本题满分10分)求微分方程()1ln ln +=+'x x y x y x 的通解.解:该方程为一阶线性微分方程xx y x x y ln 1ln ln 1+=+' 因此,()x x x P ln 1=, ()xx x Q ln 1ln +=.代入一阶线性微分方程的求解公式,有+?+?=?-C dx e x x e y dx x x dx x x ln 1ln 1ln 1ln ??+?+=C x d x x x x ln ln 1ln ln 1 ()()C dx x x ++=1ln ln 1()C x x x+=ln ln 1所以,原方程的通解为 ()xC x C x x x y ln ln ln 1+=+=八.(本题满分10分)讨论级数()∑∞=+-11ln1n nnn 的绝对收敛性与条件收敛性.解:⑴. 因为级数()∑∞=+-11ln 1n nnn 为交错级数,nn u n 1ln+=.由于, ()()0122ln 12ln 1ln 12ln 2221<+++=++=+-++=-+n n nn n n n n n n n u u n n 所以数列{}n u 单调减少而且01 lnlim lim =+=∞→∞→nn u n n n .因此由Leibniz 判别法知,级数()∑∞=+-11ln 1n nnn 收敛.⑵. 讨论级数()∑∑∞=∞=+=+-111ln1ln 1n n nn n n n .其前n 项部分和为∑=+=nk n k k s 11ln ()()()()[]n n ln 1ln 3ln 4ln 2ln 3ln 1ln 2ln -+++-+-+-= ()∞→+=1ln n ()∞→n所以,级数()∑∑∞=∞=+=+-111ln1ln 1n n nn n n n 发散.综上所述知,级数()∑∞=+-11ln 1n nnn 条件收敛.九.(本题满分8分)设函数()u f 具有二阶连续的导函数,而且()y e f z xsin =满足方程z e yzx z x 22222=??+??,试求函数()u f .解:设y e u x sin =,则有()y e u f x z x s i n '=??,()y e u f yz x cos '=?? 所以,()()y e u f y e u f x z xx sin sin 2222'+''=??()()y e u f y e u f xzx x s i n c o s 2222'-''=?? 代入方程 z e yz x z x22222=??+??,得,()()()()z e y e u f y e u f y e u f y e u f x x x x x 22222sin cos sin sin ='-''+'+''即,()()xx e u f e u f 22=''由此得微分方程 ()()0=-''u f u f 解此二阶线性微分方程,得其通解为 ()uueC e C u f -+=21 (1C 与2C 为任意常数)此即为所求函数.。
高数期末下册考试题及答案序章数学是一门科学,也是一门工具学科,对于不少学子而言,高等数学一直是一门令人头疼的学科,尤其是对于高数期末考试而言,更是充满了挑战。
本文将提供高数期末下册考试题及答案,以帮助读者更好地准备并且顺利通过这一考试。
第一章:导数与微分题目一:计算以下函数的导数并求出导函数1. $f(x)=3x^2+2x+1$2. $g(x)=\sin(x)-\cos(x)$3. $h(x)=e^x\cdot\ln(x)$题目二:应用题一天中,某商品的销售量随时间变化的规律如下:$Q(t) = 100e^{-0.02t}$,其中时间$t$以小时为单位。
求在第3小时以内的销售量的平均增长速度。
第二章:积分学题目三:求下列不定积分1. $\int (2x^2+3x-1)dx$2. $\int \frac{1}{x}dx$3. $\int \frac{2x+3}{x^2+3x+2}dx$题目四:计算定积分已知函数$f(x)=x^2-3x+2$,计算$\int_0^3 f(x)dx$的值。
第三章:微分方程题目五:求解下列微分方程1. $\frac{dy}{dx}=2x+1$2. $\frac{d^2y}{dx^2}+4\frac{dy}{dx}+4y=0$3. $\frac{d^2y}{dx^2}+9y=\sin(x)$题目六:应用题一个满足空气阻力的物体由高空自由落下,求解物体落地时的速度和位移。
第四章:无穷级数题目七:判断级数是否收敛1. $\sum_{n=1}^\infty \frac{1}{2^n}$2. $\sum_{n=1}^\infty \frac{n}{n^2+1}$3. $\sum_{n=1}^\infty \frac{2^n}{n!}$题目八:计算级数的和计算级数$\sum_{n=1}^\infty \frac{1}{2^n}$的和。
结语通过以上的考题,相信读者们对于高数期末下册考试的复习有了更明确的目标和方向。
高数b复习题答案高数B复习题答案一、选择题1. 函数\( f(x) = 2x^3 - 5x^2 + 7x - 3 \)的导数是:A. \( 6x^2 - 10x + 7 \)B. \( 6x^2 - 10x + 6 \)C. \( 6x^2 - 10x + 5 \)D. \( 6x^2 - 10x + 8 \)答案:A2. 曲线\( y = x^2 \)在点(1,1)处的切线斜率是:A. 0B. 1C. 2D. 无穷大答案:C二、填空题1. 函数\( f(x) = \sin(x) \)的第n阶导数\( f^{(n)}(x) \),当n 为奇数时,结果为\( \_\_\_\_\_\_\_\_\_\_\_\_\_\_\_\)。
答案:\( (-1)^{n/2} \sin(x) \)2. 定积分\( \int_{0}^{1} x^2 dx \)的值为\( \_\_\_\_\_\_\_\_\_\_\_\_\_\_\_\)。
答案:\( \frac{1}{3} \)三、简答题1. 请简述泰勒公式的基本原理及其在数学中的应用。
答案:泰勒公式是一种将函数表示为其在某一点的导数(或差分)的无穷级数的方法。
它在数学的许多领域都有应用,包括但不限于数值分析、物理学、工程学等。
泰勒公式允许我们近似复杂函数,简化计算过程,并且在某些情况下,可以提供关于函数行为的深刻洞察。
2. 解释什么是隐函数,以及如何求隐函数的导数。
答案:隐函数是指不能显式地表示为y = f(x)的函数关系。
在这种情况下,函数y可能是以x的隐式形式给出的,例如F(x, y) = 0。
求隐函数的导数通常使用隐函数微分法,该方法涉及对方程两边同时对x 求导,然后解出y关于x的导数。
四、计算题1. 计算定积分\( \int_{1}^{e} \frac{1}{x} dx \)。
答案:首先识别该积分为自然对数的积分形式,然后计算得到\( \ln(x) \) 在1到e的积分值为1。
本二非单招试卷【注】1. 黄色部分的题目课堂上讲过,黑色字体的题目课堂上讲过同类型的题目。
2. 考极值的那道大题出得不好,本意是考拉格朗日乘数法,但其实可用高中知识求解。
一、选择题1. 直线与平面的关系:ch 8 选1010. 直线22112z y x =-+=-与平面2442=+-z y x 的位置关系是( ) A.平行 B.重合 C.垂直 D.斜交2. 定义域:ch 9 选 22. 函数2(,)ln()f x y xy =的定义域是( ). A.{(,)|1}x y x y +≤ B.{(,)|01}x y x y <+≤C.{(,)|0,1}x y x x y <+≤D.{(,)|0,0,1}x y x y x y <≠+≤3. 连续性与偏导数:ch 9 选1313. 设函数(,)f x y =则(,)f x y 在(0,0)点处( ).A. 连续但偏导数不存在B. 不连续也不存在偏导数C. 连续且偏导数存在D. 不连续但偏导数存在4. 二重积分:ch 10 选1313. 设22:1D x y +≤,则二重积分2Ddxdy ⎰⎰=( ).A.πB.2πC.4πD.2π5. 第二类曲线积分:ch 11 选4 4. 设L 是24y x =从(0,0)到(1,2)的一段,则曲线积分=⎰L yds ( ) A.dx x x ⎰+2 0 241 B.dy y y ⎰+20 241 C.dx x x ⎰+1 0 241 D.dy y ⎰+1 0 2416. 无穷级数敛散性:ch 12 选1010. 设级数∑∞=-125n p n收敛,则常数p 满足 ( ). A. 51>p B. 51<p C. 5>p D. 5<p二、填空题1. 向量积:ch 8 填7 7. 设向量}3,1,1{},2,1,0{--==b a ,则同时垂直于a 和b 的单位向量为 .2. 极限:ch 9 填11. 极限02sin limx y xy x →→= .3. 一阶偏导数:ch 9 填 66.设函数(,)f x y =(1,2)x f '= .4. 二重积分变换积分次序:ch 10 填22. 交换二次积分220(,)x x dx f x y dy ⎰⎰的次序得 .5. 第二类曲线积分:ch 11 填99. 设L 为圆周 422=+y x ,方向为顺时针,则曲线积分 ⎰=+Lxdy ydx 2 .6. 等比级数的和:ch 12 填44. 级数∑∞=123n n 是收敛的,其和为 .三、解答题1. 无穷级数敛散性:ch 12 解66..判断级数213n n n ∞=∑的敛散性(必须给出解题过程).2. 偏导数:ch 9 解55. 设()2ln z x y =+,求y x z ∂∂∂2.3. 切平面、法线方程:ch 9 解3535. 求曲面624222=+-z y x 上点)3,2,2(处的切平面方程与法线方程.4. 隐函数求导:ch 9 解2020. 设方程 333a xyz z =- 确定),(y x f z =,求y x z ∂∂∂2 .5. 二重积分:ch 10 解1515.用先对x 和先对y 两种方法求cos()Dx y dxdy +⎰⎰,其中D 由0,x y π==和y x=围成.6. 三重积分:ch 10 解3636.求dv y x )( 22⎰⎰⎰Ω+ ,其中Ω由曲面22y x z +=和平面 h z =(0>h )围成。
高数期末考试题及答案下册一、选择题(每题2分,共20分)1. 若函数f(x)在点x=a处连续,则下列说法正确的是:A. f(a)存在B. 左极限lim(x→a-) f(x)存在C. 右极限lim(x→a+) f(x)存在D. 所有选项都正确答案:D2. 函数f(x)=x^2在区间[-1,1]上是:A. 单调递增函数B. 单调递减函数C. 有增有减函数D. 常数函数答案:C3. 若f(x)=sin(x),则f'(x)是:A. cos(x)B. -sin(x)C. x*cos(x)D. x*sin(x)答案:A4. 函数f(x)=x^3-6x^2+11x-6的零点个数为:A. 0B. 1C. 2D. 3答案:D5. 曲线y=x^2与直线y=4x在第一象限的交点坐标为:A. (1,1)B. (2,8)C. (4,16)D. (0,0)答案:B6. 若∫(0,1) f(x)dx = 2,则∫(0,1) x*f(x)dx的值为:A. 0B. 1C. 2D. 无法确定答案:B7. 函数f(x)=ln(x)的泰勒展开式在x=0处的前两项为:A. 1-xB. x-x^2/2C. -x^2/2D. -1-x答案:D8. 若函数f(x)在区间(a,b)内可导,且f'(x)>0,则f(x)在该区间内是:A. 单调递减函数B. 单调递增函数C. 有增有减函数D. 常数函数答案:B9. 函数f(x)=e^x的无穷级数展开式为:A. 1+x+x^2/2!+x^3/3!+...B. 1-x+x^2-x^3+...C. 1+x-x^2+x^3-...D. 1-x-x^2+x^3-...答案:A10. 若函数f(x)在区间[a,b]上连续,则∫(a,b) f(x)dx:A. 一定存在B. 可能不存在C. 等于0D. 等于f(a)-f(b)答案:A二、填空题(每题2分,共20分)1. 若函数f(x)在点x=a处可导,则f'(a)表示______。
高等数学A 试题(B )卷(闭)学年第 二 学期 使用班级 级 ()学院 班级 学号1、设yxz sin =,则__________=∂∂yz。
2、幂级数∑∞=13n n nn x 的收敛域为_______________。
3、设L 为圆周922=+y x ,取逆时针方向,则______)4()22(2=-+-⎰Ldy x xdx y xy 。
4、在微分方程)1(23+=+'-''x e y y y x中,可设其特解形式为______________(不用求出待定系数)。
二、选择题(本题共4小题,每小题4分,满分16分,把正确答案填在题后的括号内)1、级数)cos 1()1(1∑∞=--n n n α[ ])(A 发散; )(B 条件收敛;)(C 绝对收敛; )(D 敛散性与α取值有关。
2、设),(y x u u =为可微函数,且当2x y =时有1),(=y x u 及x xu=∂∂,则当2x y =)0(≠x 时,=∂∂y u[ ] )(A 21; )(B 21-;)(C 0; )(D 1。
3、设⎰⎰=Ddxdy xy I|| ,其中222:R y x D ≤+,则=I [ ])(A 44R ; )(B 34R ;)(C 24R ; )(D 4R 。
4、设1|||:|=+y x L ,则⎰=+L y x ds|||| [ ])(A 4; )(B 2;)(C 24; )(D 22。
三、计算(本题6小题,每小题8分,满分48分)1、设),(xy y x f z -=具有连续的二阶偏导数,求y x z∂∂∂2。
2、计算⎰⎰⎰Ωdv z ,其中Ω由不等式22y x z +≥及41222≤++≤z y x 所确定。
3、计算dxdy e Dy x ⎰⎰+-)(22,其中1:22≤+y x D 。
4、计算曲面积分dxdy z z e f dzdx y z e f z dydz x y y ])([])(1[333++++⎰⎰∑,其中)(u f 具有连续的导数,∑为由曲面2222224,1,y x z y x z y x z --=--=+=所围成的立体表面外侧。
大一高数b期末考试复习题大一高数B期末考试复习题一、选择题(每题2分,共20分)1. 函数f(x)=x^2-3x+2在区间[1,3]上的最大值是:A. 0B. 1C. 4D. 22. 若f(x)=x^3-2x+1,求f'(x)的值:A. 3x^2-2B. x^3C. 3x^2+2D. x^3-23. 曲线y=x^3-6x^2+9x在点(1,4)处的切线斜率是:A. -2B. 0C. 2D. 44. 定积分∫[0,1] x^2 dx的值是:A. 1/3B. 1/4C. 1/2D. 15. 微分方程dy/dx + 2y = 4x的通解是:A. y = 2x - x^2 + CB. y = 2x + CC. y = -2x + CD. y = 2x^2 + C二、填空题(每空2分,共20分)6. 若f(x)=sin(x),则f'(x)=_________。
7. 函数f(x)=x^3在x=2处的导数是_________。
8. 定积分∫[0,π/2] sin(x) dx的值是_________。
9. 微分方程dy/dx - y = e^x的解是y = _______。
10. 若f(x)=ln(x),则f''(x)=_________。
三、计算题(每题10分,共30分)11. 求函数f(x)=x^3-2x^2+3x-1的二阶导数。
12. 计算定积分∫[1,e] (2x+1)/(x^2+1) dx。
13. 解微分方程dy/dx + y = x^2,且y(0)=1。
四、证明题(每题15分,共30分)14. 证明:若函数f(x)在区间[a,b]上连续,且∫[a,b] f(x) dx = 0,则f(x)在[a,b]上至少有一个零点。
15. 证明:若函数f(x)在区间(a,b)内可导,且f'(x) > 0,则f(x)在(a,b)内单调递增。
五、应用题(每题10分,共10分)16. 某工厂生产一种产品,其生产成本函数为C(x)=2x^2-100x+500,其中x表示生产的产品数量。
2022年常熟理工学院数据科学与大数据技术专业《数据库系统原理》科目期末试卷B(有答案)一、填空题1、关系数据库中基于数学的两类运算是______________和______________。
2、如图所示的关系R的候选码为;R中的函数依赖有;R属于范式。
一个关系R3、已知系(系编号,系名称,系主任,电话,地点)和学生(学号,姓名,性别,入学日期,专业,系编号)两个关系,系关系的主码是______________,系关系的外码是______________,学生关系的主码是______________,外码是______________。
4、以子模式为框架的数据库是______________;以模式为框架的数据库是______________;以物理模式为框架的数据库是______________。
5、完整性约束条件作用的对象有属性、______和______三种。
6、使某个事务永远处于等待状态,得不到执行的现象称为______。
有两个或两个以上的事务处于等待状态,每个事务都在等待其中另一个事务解除封锁,它才能继续下去,结果任何一个事务都无法执行,这种现象称为______。
7、数据库管理系统的主要功能有______________、______________、数据库的运行管理以及数据库的建立和维护等4个方面。
8、数据库系统是利用存储在外存上其他地方的______来重建被破坏的数据库。
方法主要有两种:______和______。
9、____________、____________、____________和是计算机系统中的三类安全性。
10、在RDBMS中,通过某种代价模型计算各种查询的执行代价。
在集中式数据库中,查询的执行开销主要包括______和______代价。
在多用户数据库中,还应考虑查询的内存代价开销。
二、判断题11、从计算机数据管理的角度看,信息就是数据,数据就是信息。
()12、标准SQL语言能用于所有类型的关系数据库系统。
高等数学B(下)期末复习题一、选择题1.平面3510x z -+= ( )(A )平行于zox 平面 (B )平行于y 轴 (C )垂直于y 轴 (D )垂直于x 轴2.向量}6,3,2{-=a ,则与a同向的单位向量为( ) (A ) }6,3,2{- (B )}6,3,2{71--(C ) }6,3,2{71-± (D ) }6,3,2{71- 3、当k =( )时,向量}{k ,1- , 1=a与向量 }{ 2 ,4 , 2=b 垂直。
(A )-1 (B )1 (C ) 2 (D )-24、设a ,b均为非零向量,且满足b a b a +=-,则必有( ).(A) 0 =+b a (B) 0 =-b a (C) 0 =⨯b a (D) 0 =⋅b a5、平面032=+y z 是( ).(A) 与x 轴平行但无公共点的平面 (B) 与yOz 平面平行的平面 (C) 通过x 轴的平面 (D) 与x 轴垂直的平面 6、直线42z 31y 21x -=+=-与平面x-2y+z=5的位置关系是( ). (A) 垂直 (B) 平行 (C) 直线在平面上 (D) 斜交7、空间坐标系中三点的坐标为)1,1,2(),0,1,2(),0,0,0(B A O ,则向量AB 与OB 的夹角为( ).(A)2π (B) 3π(C) 66arccos (D) 66arccos -π8、直线22112zy x =-+=-与平面2342=+-z y x 的位置关系是( ). (A) 平行 (B) 重合 (C) 垂直 (D) 斜交 9、在空间直角坐标系中点)2,3,1(--关于原点的对称点是( ).(A) )2,3,1(- (B) )2,3,1( (C) )2,3,1(-- (D) )2,3,1(-10、点M(4,-3,5)到Oy 轴的距离d=( ).11、设向量(1,1,0),(1,0,1)a b ==,则a 在b 上的投影为( )(A) (B)(C)12(D) 212、与向量}{1 , -1, 0a =与向量 }{1 , 0, -2 b = 同时垂直的单位向量是( ) (A )}{1, 2, 2 (B )221,, 333⎧⎫⎨⎬⎭⎩ (C ) }{2, 2, 1 (D )122, , 333⎧⎫⎨⎬⎭⎩ 13、yoz 平面内的直线14=+z y 绕y 轴旋转一周所得的曲面方程为( ).(A) )(16)1(222z x y +=- (B) 116)(222=++z x y (C) 1)(4=++z x y (D) 11622=+z y12、平面Ax By Cz D +++=0过x 轴,则( ) (A) A D ==0(B) B C =≠00, (C) B C ≠=00, (D) B C ==015、设向量)6,3,2(-=→a ,则与→a 平行的单位向量是( ) :(A) )6,3,2(- (B) )6,3,2(71-- (C) )6,3,2(71-± (D) )6,3,2(71-16.设向量}6,3,2{-=a ,则与a反向且平行的单位向量为( )(A ) }6,3,2{- (B ) }6,3,2{71-- (C ) }6,3,2{71-± (D ) }6,3,2{71-17. 设空间直线 210zy x == ,则该直线过原点,且( )(A) 与X 轴垂直 (B) 垂直于Y 轴,但不平行X 轴 (C) 与X 轴平行 (D) 垂直于Z 轴,但不平行X 轴 18. 在空间直角坐标系中,点(1,3,1)--关于x 轴的对称点坐标是( )(A) (1,3,1) (B) (-1,-3,-1) (C) (-1,-3,1) (D) (-1,3,1) 19. 平面3510x z -+= ( ) .(A )平行于zox 平面 (B )平行于y 轴 (C )垂直于y 轴(D )垂直于x 轴20. 函数)1ln(4arcsin 2222-++⎪⎪⎭⎫ ⎝⎛+=y x y x z 的定义域是( ). (A ) 22{(,)|14}x y x y ≤+≤ (B ) 22{(,)|14}x y x y <+≤ (C ) 22{(,)|14}x y x y ≤+< (D ) 22{(,)|14}x y x y <+<21. 设)cos(2y x z =,则=∂∂yz( ). (A ) )sin(2y x - (B ))sin(22y x x - (C ) )sin(2y x (D ) )sin(22y x x22. 若=--=+)2 , 1( , ) , (22f y x xyy x f 则 ( )。
A. 31B. 31- C. 3 D. 3-23.若0),(00=y x f x ,0),(00=y x f y 。
则),(y x f 在),(00y x 处有( ) (A) 连续且可微 (B) 连续但不一定可微 (C) 可微但不一定连续 (D) 不一定可微也不一定连续 24. 设)32ln(),(xyx y x f += ,则=')0,1(y f ( ) (A) 32 (B) 23(C) 1 (D) 025.设22),(y x y x xy f +=-,则 =+),('),('y x f y x f y x ( )(A )y 22+ (B ) y 22- (C ) y x 22+ (D ) y x 22- 26、设)ln(),(22y x x y x f --=,其中0>>y x ,则=-+),(y x y x f ( ).(A) )ln(2y x - (B) )ln(y x - (C) )ln (ln 21y x - (D) )ln(2y x -27、设,xye z =则=∂∂∂yx z2( ).(A) )1(xy e xy + (B) )1(y e xy + (C) )1(x e xy + (D) xy e xy28、设函数),(y x f z =在点),(00y x 处可微,且0000(,)0, (,)0x y f x y f x y ''==,0000(,)0, (,)0xx yy f x y f x y ''''>>,则函数),(y x f 在),(00y x 处( ).(A) 必有极值,可能是极大,也可能是极小 (B) 可能有极值,也可能无极值 (C) 必有极大值 (D) 必有极小值29、设132),(23-+-+=y x xy y x y x f , 则=)2,3('x f ( )(A) 59 (B) 56 (C) 58 (D) 55 30、00x y →→=( ).(A) 0 (B) 1 (C)21(D) 不存在、 31.设132),(23-+-+=y x xy y x y x f , 则=)2,3('x f ( )(A) 59 (B) 56 (C) 58 (D) 5532、以下命题正确的是( )(A )若(,)f x y 可偏导,则(,)f x y 全微分一定存在; (B )若(,)f x y 可二阶偏导,则(,)(,)xy yx f x y f x y =; (C )若(,)f x y 可偏导,则(,)f x y 一定连续; (D )若(,)f x y 可微;则(,)f x y 可偏导.33、设函数z f x y =(,)具有二阶连续偏导数,在点P x y 000(,)处,有00()0,()0,x y f P f P == 00()()0,xx yy f P f P ==00()()2xy yx f P f P ==,则( ) .(A)点P 0是函数z 的极大值点 (B)点P 0是函数z 的极小值点 (C)点P 0非函数z 的极值点 (D)条件不够,无法判定34、设u yx =arctan ,则22x u ∂∂= ( ) .(A)4222xyx y ()+ (B)-+4222xyx y ()(C)2222xyx y ()+ (D) 222)(2y x xy +- 35、函数f x y xy x y x y x y (,)(,)(,)(,)(,)=+≠=⎧⎨⎪⎩⎪2200000在点(0,0)处 ( ).(A) 偏导数存在但不可微 (B) 可微(C) 连续但偏导数不存在(D) 不连续36、设x y lnz =,则=∂∂x z ( ). (A) x 1 (B)2x y (C) 2x1- (D) x 1-37、对于函数242(,) , ||||0x yf x y x y x y =+≠+ , 极限 00lim (,)x y f x y →→= ( ) . (A)等于0 (B)不存在 (C)等于12 (D)存在且不等于0或1238、设f x y x e yx(,)=,则f x x '(,)1= ( ) .(A) 0 (B) e (C) e x ()+1 (D) 1+ex39、函数f x y xy x y x y x y (,)=++≠+=⎧⎨⎪⎩⎪222222000( ).(A) 处处连续(B) 处处有极限,但不连续(C) 仅在(0,0)点连续(D) 除(0,0)点外处处连续40、设22(,)x f x y xy x y=++,则'(0,1)x f =( ) (A) 2 (B) 2- (C)12 (D) 12- 41、极限11lim22220++-+→→y x y x y x =( )(A ) -2 (B ) 2 (C ) 0 (D ) 不存在42、设2(,)cos()z f x y x y ==,则''(1,)2xx f π=( )(A )2π(B )2π- (C )π (D )π-3.二重极限4220lim y x xy y x +→→的值( )(A ) 0 (B ) 1 (C ) 21(D ) 不存在 43. 若),(),(y x f y x f -=,且1),(lim )1,1(),(=→y x f y x ,则=-→),(lim )1,1(),(y x f y x ( )(A ) 1 (B ) -1 (C )0 (D ) 不能确定44. 设二元函数cos xz e y =,则2zx y∂=∂∂( ) (A )sin x e y (B )sin xxe e y + (C )cos xe y - (D )sin xe y -4.二次积分⎰⎰-11 0),(xdy y x f dx =( )(A )⎰⎰11),(dx y x f dy (B )⎰⎰-11 0 ),(xdx y x f dy (C )⎰⎰-xdx y x f dy 1 010 ),( (D )⎰⎰-11 0),(ydx y x f dy45. 设}4|),{(22≤+=y x y x D ,则二重积分⎰⎰=+Ddxdy y x )(22( ) (A)π2 (B) π4 (C)π6 (D) π8 46、变换积分顺序后,=⎰⎰11x),(dy y x f dx(A )⎰⎰1y),(dx y x f dy (B )⎰⎰11),(dx y x f dy(C )⎰⎰12),(y dx y x f dy (D )⎰⎰xdx y x f dy 01),(47、设D 是矩形域 4π0≤≤x ,11≤≤-y ,则Dx cos(2xy)dxdy ⎰⎰的值为( ). (A) 0 (B) -12 (C) 41 (D) 21 48、设),(y x f 在0,1:22≥≤+y y x D 连续,则=⎰⎰Dd y x f σ),(( ).(A)⎰⎰πθθθ2 01 0)sin ,cos (rdr r r f d (B)⎰⎰10 x -1 02),(dy y x f dx(C)⎰⎰πθθθ 01 0)sin ,cos (rdr r r f d (D)⎰⎰----11x 1 1 22),(x dy y x f dx49、在极坐标系下,二次积分 12 02d d ππθρρ-=⎰⎰( ).(A)4π (B) 2π(C)0 (D) π 50.设D 是由1|y |,1||≤≤x 围成的平面区域,则二重积分=⎰⎰Dxd σ( )(A) 1 (B) 2 (C) π (D) 05、.若区域D 为{}1,1|),(≤≤y x y x ,则2Ddxdy ⎰⎰=( )。