湖北省武汉市部分重点中学2013-2014学年高一上学期期末考试 数学文试题 Word版含答案
- 格式:doc
- 大小:538.50 KB
- 文档页数:7
2013-2014学年湖北省部分重点中学高三(上)第一次联考数学试卷(文科)一、选择题:本大题共10小题,每小题5分,共50分.在每小题给出的四个选项中,只有一项是符合题目要求的.1. 设U ={1, 2, 3, 4, 5},A ={1, 5},B ={2, 4},则B ∩(∁U A)=( ) A {2, 3, 4} B {2} C {2, 4} D {1, 3, 4, 5}2. 若z =sinθ−35+(cosθ−45)i 是纯虚数,则tan(θ−π4)的值为( ) A −7 B −17C 7D −7或−173. 已知函数f(x)=lnx ,则函数g(x)=f(x)−f′(x)的零点所在的区间是( ) A (0, 1) B (1, 2) C (2, 3) D (3, 4)4. 已知函数y =f(x)的定义域为{x|−3≤x ≤8, 且x ≠5},值域为{y|−1≤y ≤2, 且y ≠0}.下列关于函数y =f(x)的说法:①当x =−3时,y =−1;②点(5, 0)不在函数y =f(x)的图象上;③将y =f(x)的图象补上点(5, 0),得到的图象必定是一条连续的曲线;④y =f(x)的图象与坐标轴只有一个交点.其中一定正确的说法的个数是( ) A 1 B 2 C 3 D 45. 三个实数成等差数列,其首项是9.若将其第二项加2、第三项加20,则这三个数依次构成等比数列{a n },那么a 3的所有可能取值中最小的是( ) A 1 B 4 C 36 D 496. 若函数y =log 2x 的图象上存在点(x, y),满足约束条件{x +y −3≤02x −y +2≥0y ≥m ,则实数m 的最大值为( )A 12B 1C 32D 27. 设点P 在曲线y =e x 上,Q 在曲线y =lnx 上,则|PQ|的最小值为( ) A √22 B √2−1 C √2 D 2(√2−1)8. e ,π分别是自然对数的底和圆周率,则下列不等式不成立的是( )A log πe +(log e π)2>2B log π√e +log e √π>1C e e −e >e π−πD (e +π)3<4(e 3+π3)9. 对于任意实数x ,[x]表示不超过x 的最大整数,如[1.1]=1,[−2.1]=−3.定义在R 上的函数f(x)=[2x]+[4x]+[8x],若A ={y|y =f(x), 0<x <1},则A 中元素的最大值与最小值之和为( )A 11B 12C 14D 1510. 在△ABC 所在的平面内,点P 0、P 满足P 0B →=14AB →,PB →=λAB →,且对于任意实数λ,恒有PB →⋅PC →≥P 0B →⋅P 0C →,则( )A ∠ABC =90∘B ∠BAC =90∘ C AC =BCD AB =AC二、填空题:本大题共7小题,每小题5分,共35分.请将答案填在答题卡对应题号的位置上.答错位置,书写不清,模棱两可均不得分. 11. 命题“∀x ∈R ,x 2−2x +2>0”的否定是________.12. 在锐角△ABC 中,角A ,B ,C 所对应的边分别为a ,b ,c ,若b =2asinB ,则角A 等于________.13. 已知a ,b 都是正实数,函数y =2ae x +b 的图象过点(0, 1),则1a+1b 的最小值是________.14. 已知f(x)是偶函数,当x >0时,其导函数f′(x)<0,则满足f(x 4)=f(x−1x−3)的所有x 之和为________. 15. 已知f(x)=11+x,各项均为正数的数列{a n }满足a 1=1,a n+2=f(a n ),若a 12=a 14,则a 13+a 2014=________.16. 在△ABC 中,边AC =1,AB =2,角A =2π3,过A 作AP ⊥BC 于P ,且AP →=λAB →+μAC →,则λμ=________.17. 已知函数f(x)的定义域为[−1, 5],部分对应值如下表,f(x)的导函数y =f ′(x)的图象如图所示.下列关于f(x)的命题:②函数f(x)在[0, 2]上是减函数;③如果当x ∈[−1, t]时,f(x)的最大值是2,那么t 的最大值为4; ④当1<a <2时,函数y =f(x)−a 有4个零点. 其中正确命题的序号是________.三、解答题:本大题共5小题,共65分.解答应写出文字说明、证明过程或演算步骤. 18. 在△ABC 中,角A ,B ,C 的对边分别为a ,b ,c ,且bcosC =4acosB −ccosB . (1)求cosB 的值;(2)若BA →⋅BC →=2,且b =2√3,求a 和c 的值.19. 如图,在四棱锥P −ABCD 中,底面ABCD 中为菱形,∠BAD =60∘,Q 为AD 的中点.(1)若PA =PD ,求证:平面PQB ⊥平面PAD ;(2)点M在线段PC上,PM=tPC,试确定实数t的值,使得PA // 平面MQB.20. 设等差数列{a n}的前n项和为S n.且S4=4S2,a2n=2a n+1.(1)求数列{a n}的通项公式;(2)若a n=2n−1,数列{b n}满足:b1=3,b n−b n−1=a n+1(n≥2),求数列{1b n}的前n项和T n.21. 如图,点F1(−c, 0)、F2(c, 0)分别是椭圆C:x2a2+y2b2=1(a>b>0)的左、右焦点,过点F1作x轴的垂线,交椭圆C的上半部分于点P,过点F2作PF2的垂线交直线x=a 2c于点Q.(1)如果点Q的坐标为(4, 4),求椭圆C的方程;(2)试判断直线PQ与椭圆C的公共点个数,并证明你的结论.22. 设函数f(x)=xe x(e=2.71828…是自然对数的底数).(1)求f(x)的单调区间及最大值;(2)∀x∈(0, +∞),2|lnx−ln2|≥f(x)+c恒成立,试求实数c的取值范围.2013-2014学年湖北省部分重点中学高三(上)第一次联考数学试卷(文科)答案1. C2. A3. B4. B5. A6. B7. C8. C9. A10. C11. ∃x∈R,x2−2x+2≤012. 30∘13. 3+2√214. 615. 1321+√5−1216. 104917. ①② 18. 解:(1)由正弦定理可得a =2RsinA ,b =2RsinB ,c =2RsinC , ∴ 2RsinBcosC =8RsinAcosB −2RsinCcosB , 化为sinBcosC =4sinAcosB −sinCcosB , 可得sinBcosC +cosBsinC =4sinAcosB ,∴ sin(B +C)=4sinAcosB ,可得sinA =4sinAcosB , ∵ sinA ≠0,∴ cosB =14. (2)∵ BA →⋅BC →=2,∴ accosB =2,又cosB =14,∴ ac =8, 由余弦定理可得:b 2=a 2+c 2−2accosB , ∵ b =2√3,∴ 12=a 2+c 2−4,化为a 2+c 2=16. 联立{ac =8a 2+c 2=16,解得a =c =2√2.19. 解:(1)连BD ,四边形ABCD 菱形∵ AD =AB ,∠BAD =60∘∴ △ABD 是正三角形,Q 为 AD 中点∴ AD ⊥BQ∵ PA =PD ,Q 为 AD 中点AD ⊥PQ又BQ ∩PQ =Q∴ AD ⊥平面PQB ,AD ⊂平面PAD ∴ 平面PQB ⊥平面PAD(2)当t =13时,使得PA // 平面MQB ,连AC 交BQ 于N ,交BD 于O ,则O 为BD 的中点,又∵ BQ 为△ABD 边AD 上中线, ∴ N 为正三角形ABD 的中心, 令菱形ABCD 的边长为a ,则AN =√33a ,AC =√3a .∴ PA // 平面MQB ,PA ⊂平面PAC ,平面PAC ∩平面MQB =MN∴ PA // MNPM PC=AN AC=√3a 3√3a=13即:PM =13PC ,t =13.20. 解:(1)∵ 等差数列{a n }的前n 项和为S n .且S 4=4S 2,a 2n =2a n +1,∴ {4a1+4⋅32d=4(2a1+d)a1+(2n−1)d=2a1+2(n−1)d+1,解得a1=1,d=2,∴ a n=2n−1.(2)∵ a n=2n−1,数列{b n}满足:b1=3,b n−b n−1=a n+1(n≥2),∴ 当n≥2时,b n=(b n−b n−1)+(b n−1−b n−2)+...+(b3−b2)+(b2−b1)+b1 =a n+1+a n+...+a4+a3+b1=n2+2n,当n=1时,也成立,∴ b n=n2+2n,∴ 1b n =1n2+2n=12(1n−1n+2),∴ T n=12[(1−13)+(12−14)+...+(1n−1−1n+1)+(1n−1n+2)]=12(1+12−1n+1−1n+2)=34−2n+32n2+6n+4.21. 解:(1)解方程组{x=−cx2a2+y2b2=1得P点的坐标为(−c,b2a),∴ k PF2=b2a−c−c=−b22ac,∵ PF2⊥QF2,∴ k QF2=2acb2,∴ QF2的方程为:y=2acb2(x−c)将x=a 2c代入上式解得y=2a,∴ Q点的坐标为(a2c,2a);∵ Q点的坐标为(4, 4),∴ a2c=4且2a=4,∴ a=2,c=1,b2=a2−c2=3,∴ 椭圆C的方程为x24+y23=1;(2)∵ Q点的坐标为(a 2c ,2a),P点的坐标为(−c,b2a),∴ k PQ =2a−b 2aa 2c−(−c)=c(2a 2−b 2)a(a 2+c 2)=ca ,∴ PQ 的方程为y −2a =ca(x −a 2c),即y =ca x +a将PQ 的方程代入椭圆C 的方程得b 2x 2+a 2(ca x +a)2=a 2b 2,∴ (b 2+c 2)x 2+2a 2cx +a 4−a 2b 2=0① ∵ a 2=b 2+c 2∴ 方程①可化为a 2x 2+2a 2cx +a 2c 2=0 解得x =−c∴ 直线PQ 与椭圆C 只有一个公共点. 22. 解:(1)f′(x)=1−x e x由f ′(x)=0,解得x =1当x <1,时f ′(x)>0,f(x)单调递增; 当x >1,时f ′(x)<0,f(x)单调递减.所以,函数f(x)的单调递增区间是(−∞, 1),单调递减区间是(1, +∞),其最大值为f(1)=1e(2)由∀x ∈(0, +∞),2|lnx −ln2|≥f(x)+c 恒成立 可知∀x ∈(0, +∞),2|lnx −ln2|−f(x)≥c 恒成立 令g(x)=2|lnx −ln2|−f(x)=2|lnx −ln2|−x e x①当x >2时g(x)=2(lnx −ln2)−xe x 所以g′(x)=2x −1−x e x=2e x +x(x−1)xe x>0因此g(x)在(2, +∞)上单调递增②当0<x <2时g(x)=2(ln2−lnx)−xe x 所以g′(x)=−2x −1−x e x=−2e x +x(1−x)xe x因为0<x <2,所以2e x >2,x(1−x)=−(x −12)2+14∈(−2,14) 所以2e x +x(1−x)>0, 所以g′(x)<0,因此g(x)在(0, 2)上单调递减综上①②可知g(x)在x =2时取得最小值g(2)=−2e 2 因为∀x ∈(0, +∞),2|lnx −ln2|−f(x)≥c 即g(x)≥c 恒成立 所以c ≤−2e 2.。
湖北省武汉市局部重点中学2013-2014学年度上学期高一期末考试数 学 试 卷 〔文〕全卷分第1卷〔选择题〕和第2卷〔非选择题〕两局部。
共150分,考试时间120分钟。
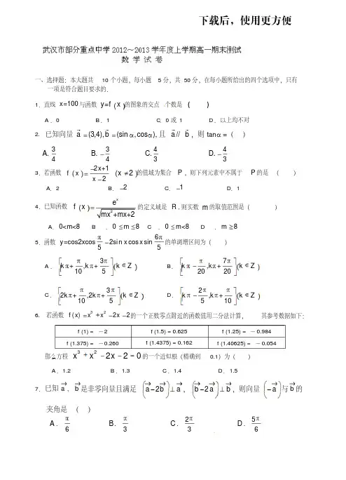
第1卷〔选择题 共50分〕一、选择题:本大题共10小题,每一小题5分,共50分.在每一小题给出的四个选项中,只有一项为哪一项符合题目要求的.1、集合2{|230},{|1}A x x x B x x =--<=>,如此B A =A .{|1}x x >B .{|3}x x <C .{|13}x x <<D .{|11}x x -<< 2、函数()f x =3)42tan(π-x ,x R ∈的最小正周期为A .2π B .πC .2πD .4π3、如果偶函数)(x f 在]7,3[上是增函数且最小值是2,那么)(x f 在]3,7[--上是 A. 减函数且最小值是2 B.. 减函数且最大值是2 C. 增函数且最小值是2 D. 增函数且最大值是2.4、 函数()2tan f x x x =-在(,)22ππ-上的图像大致为5、3sin()35x π-=,如此cos()6x π+= A .35 B .45 C .35- D .45-6、 函数y=sin(2x+25π)图象的一条对称轴方程是:A .2π-=xB .4π-=xC .8π=xD .45π=x7、在召开的国际数学家大会会标如下列图,它是由4个一样的直角三角形与中间的小正方形拼成的一大正方形,假设直角三角形中较小的锐角为θ,大正方形的面积是1,小正方形的面积是θθ22cos sin ,251-则的值等于A .1B .725-C .257D .2524-8、函数)2||,0,0)(sin()(πφωφω<>>+=A x A x f 的局部图象如图示,如此将()y f x =的图象向右平移6π个单位后,得到的图象解析为A .x y 2sin = B.x y 2cos = C.)322sin(π+=x y D.)62sin(π-=x y9、某商场对顾客实行购物优惠活动,规定一次购物付款总额: (1)如果不超过200元,如此不给予优惠;(2)如果超过200元但不超过500元,如此按标价给予9折优惠;(3)如果超过500元,其500元内的按第(2)条给予优惠,超过500元的局部给予7折优惠. 某人两次去购物,分别付款168元和423元,假设他一次性购置上述两次同样的商品,如此应付款是A .413.7元 B. 513.7元 C. 546.6元D .548.7元10、给出以下命题:①假设α、β均为第一象限角,且βα>,且βαsin sin >;②假设函数⎪⎭⎫⎝⎛-=3cos 2πax y 的最小正周期是π4,如此21=a ;③函数1sin sin sin 2--=x xx y 是奇函数;④函数1|sin |2y x =-的周期是π ⑤函数||sin sin x x y +=的值域是]2,0[ 其中正确命题的个数为:A . 3B .2C . 1D . 0第2卷〔非选择题 共100分〕二、填空题:本大题共7小题,每一小题5分,共35分. 11、300tan 480sin +的值为________. 12.、1sin(),(,0),232ππαα+=∈-如此tan α的值为________. 13、函数22(1)2y x a x =+-+在(,4)-∞上是减函数,如此实数a 的取值范围是________. 14、函数()f x 的最小正周期为,π有一条对称轴为3π=x ,试写出一个满足条件的函数=)(x f ________.15、 定义在R 上的函数()f x ,对任意x ∈R 都有(2)()f x f x +=,当(2,0)x ∈-时,()2x f x =,如此(2013)f =________.16、如下列图,为了研究钟表与三角函数的关系,建立如下列图的坐标系,设秒针针尖位置),(y x P ,假设初始位置为)21,23(0P ,当秒针从0P (注此时0=t )正常开始走时,那么点P 的纵坐标y 与时间t 的函数关系为________.17、 函数f (x )=12--a ax(a ≠1).(1) 假设a >0, 如此f (x )的定义域为;(2) 假设f (x )在区间(0, 1]上是减函数, 如此实数a 的取值范围是.三、解答题:本大题共5个小题,共65分.解答应写出文字说明,证明过程或演算步骤. 18、〔此题总分为12分〕 〔Ⅰ〕化简:︒--︒︒︒-20sin 1160sin 20cos 20sin 212;〔Ⅱ〕:3tan =α,求)2sin()cos(4)23sin(3)2cos(2απααπαπ-+-+--的值.19、〔此题总分为12分〕全集为R ,函数)1lg()(x x f -=的定义域为集合A ,集合}6)1(|{>-=x x x B ,〔Ⅰ〕求,AB )(BC A R ;〔Ⅱ〕假设}21|{m x m x C <<+-=,且Φ≠C ,))((B C A C R ⊆,求实数m 的取值范围.20、〔此题总分为13分〕3cos()(,).41024x x πππ-=∈ 〔1〕求sin x 的值; 〔2〕求sin(2)3x π+的值.21、〔此题总分为14分〕x x x x x f 424cos 3)cos (sin sin 3)(-++=〔1〕求()f x 的最小值与取最小值时x 的集合; 〔2〕求()f x 在]2,0[π∈x 时的值域;〔3〕求()f x 在]2,2[ππ-∈x 时的单调递减区间;22、(14分)函数1)(log )(2++=a x x f 过点)4,4(.〔1〕求实数a ;〔2〕将函数)(x f 的图象向下平移1个单位,再向右平移a 个单位后得到函数)(x g 图象,设函数)(x g 关于y 轴对称的函数为)(x h ,试求)(x h 的解析式;〔3〕对于定义在)0,4(-上的函数)(x h y =,假设在其定义域内,不等式2[()2]()1h x h x m +>-恒成立,求实数的取值范围.湖北省武汉市局部重点中学2012-2013学年度上学期高一期末考试数 学 试 卷 〔文〕答案一、选择题二.填空题11、23-12、-、13、(,3]-∞- 14、)62sin()(π-=x x f 15、21 16、)630sin(ππ+-=t y 17、]2,(a-∞;]2,1()0,( -∞三、解答题18、解:〔Ⅰ〕原式=︒-︒︒︒-20cos 20sin 20cos 20sin 21=︒-︒︒-︒20cos 20sin 20sin 20cos =1- 6分〔Ⅱ〕解:原式=ααααsin cos 4cos 3sin 2-+ =2tan 394tan αα+=- 6分19.解:(1)由01>-x 得,函数)1lg()(x x f -=的定义域{}1|<=x x A ……2分062>--x x ,0)2)(3(>+-x x ,得B {|32}x x x =><-或……4分∴{}31|><=x x x B A 或 , ……5分R C B {|23}x x =-≤≤,{}12|)(<≤-=∴x x B C A R ……6分(2) {}12|<≤-⊆x x C ,且φ≠C ,⎪⎩⎪⎨⎧≤-≥+-<+-122121m m m m ,……10分211≤<-m 12分 20、.〔1〕因为3(,),24x ππ∈所以(,)442x πππ-∈,于是sin()410x π-== 3分sin sin[()]sin()cos cos()sin 444444x x x x ππππππ=-+=-+-4.1021025=+= 6分 〔2〕因为3(,).24x ππ∈故3cos .5x ===- 8分2247sin 22sin cos .cos 22cos 1.2525x x x x ==-=⨯-=- 10分所以中24sin(2)sin 2coscos 2sin33350x x x πππ++=+=-12分 21、化简得1)32sin(2)(+-=πx x f 4分最小值为1- 5分x 的集合为},12|{Z k k x x ∈-=ππ 7分 〔2〕当]2,0[π∈x 时,]32,3[32πππ-∈-x ,]3,13[)(+-∈x f 10分〔3〕当2323222πππππ+≤-≤+k x k 即Z k k x k ∈+≤≤+,1211125ππππ∴]2,125[],12,2[ππππ-- 14分22. 解:〔1〕由41)4(log 2=++a .4=a 3分〔2〕1)4(log )(2++=x x f 向下平移1个单位后再向右平移4个单位后得到函数x x g 2log )(= ,函数)(x g 关于y 轴对称的函数为)(x h)0)((log )(2<-=∴x x x h 6分〔3〕1)(log )2)((log 222-->+-x m x 在)0,4(-恒成立∴设)04)((log 2<<--=x x t 如此2t <2(2)1t tm ∴+>-即:2(4)+50t m t +->,在2t <时恒成立. 8分令5)4()(2+-+=t m t t g∴⎪⎩⎪⎨⎧<--=∆≤-020)4(2222m m 8524≤<-∴m 11分 或⎪⎩⎪⎨⎧≥-=>-0217)2(222m g m 2178≤<∴m 13分 综合得:217524≤<-m 14分。
武汉市部分重点中学2012~2013学年高一上学期期末考试数学试题参考答案一、选择题(共10小题,每小题5分,共50分) 题号1 2 3 4 5 6 7 8 9 10 答案 C A B C D C C D A B二、填空题(共5小题,每小题5分,共25分)11.223 12.25- 13.(2325,) 14.23- 15.② 11.解析:2519tan 35tan -==αβ, 12.解析:AD ·BC =21(AB -AC )(AC -AB )=-25 15.解析:x x x x x x x x x x x x x x x x x f tan 2tan 1tan tan 21cos sin sin 2cos cos sin sin 3cos sin cos sin sin 31)(2222222-=-=-=-+=-= 可以看出函数f (x )为减函数,而定义域为左开右闭的区间,则f (x )只有最小值16.(1) f (x )=65sin 2sin 65cos 2cos )3sin 2cos 3cos 2(sin 2ππππx x x x +-+ =)32sin(3)2cos 232sin 21(3π+=+x x x 由f (x )=233得23)32sin(=+πx ,由]20[π,∈x 得]343[32πππ,∈+x 所以332ππ=+x 或3232ππ=+x ,解得x =0或x =6π 满足条件的x 的集合是{0,6π} (2) y =3cos(x +3π)-3sin(x +3π)=)125cos(23)]3sin(22)3cos(22[23πππ+=+-+x x x 由]4[ππ,-∈x 得]3[127πππ,∈+x 当3127ππ=+x ,即x =4π-时,y 取最大值223 当ππ=+127x ,即x =125π时,y 取最小值23- 17.(1) 因为函数f (x )是二次函数,其图象对称轴为x =e 2k ,又在[1,e ]上具有单调性 所以e 2k ≤1或e 2k ≥e ,解得k ≤0或k ≥21 (2) 当向量a 、b 、c 两辆所成的角为0°时,|a +b +c |=4+2当向量两两所成的角为120°时|a +b +c |2=a 2+b 2+c 2+2ab +2ac +2cb =9-42,|a +b +c |=22-118.∵函数f (x )在R 上是偶函数,∴)(2Z k k ∈+=ππϕ 又-π≤ϕ≤0,∴2πϕ-=,x x x f ϖπϖcos )2sin()(-=-= ∵f (x )的图象关于直线对称,∴)(43Z k k ∈=ππω,即)(34Z k k ∈=ω ∵f (x )在区间[0,2π]上单调函数,∴f (x )的最小正周期T ≥π,即πωπ≥2,0<ω≤2于是ω=34 19.(1) 依题意得,1个5730年后P =21,2个5730年后,P =(21)2,…… t 年后,即5730t 个5730年后,5730)21(t P = (2) 由已知有P =0.767于是0.7675730)21(t=,3827.0767.0log 767.0log 5730221≈-==t 所以t ≈2193,故马王堆汉墓大约是近2200年前的遗址20.(1) 因为f (-1)=-1+1=0,f (1)=1+1=2所以f (-1)≠f (1)且f (-1)≠-f (1)因此函数f (x )既不是奇函数也不是偶函数 (2) ⎪⎪⎪⎩⎪⎪⎪⎨⎧=∈-∈--=12]10[2sin ]01[2sin 1)(x x x x x x f ,,,,,ππ 函数f (x )的值域为(-1,1)∪{2}21.21sin 2)2cos(12)24(sin 2-=-+-=-+x x x ππ f (x )=cos2x -2+2m(sin x -1)=1-sin2x -2+2m(sin x -1)=-(sin x -m)2+m 2-2m -1 因为x ∈(0,2π),所以sin x ∈(0,1) 当0<m <1时,f (x )max =m 2-2m -1<0,解得1-2<m <1+2,所以0<m <1 当m ≥1时,f (x )<-(1-m)2+m 2-2m -1=-2<0恒成立,所以m ≥1当m ≤0时,f (x )<-(0-m)2+m 2-2m -1,即f (x )<-2m -1于是f (x )<-2m -1≤0,解得m ≥-21,所以-21≤m ≤0 综上所述:实数m 的取值范围是m ≥-21。
湖北省武汉市部分重点中学2013-2014学年高一上学期期末考试物理试题本试卷分第一卷和第二卷两部分。
考试时间:90分钟,满分110 分。
第一卷(选择题共48分)一、单项选择题(本题共8小题,每小题4分,共32分。
在每小题给出的四个选项中,只有一个选项正确)1.物理学的发展丰富了人类对物质世界的认识,推动了科学技术的创新和革命,促进了物 质生产的繁荣与人类文明的进步,下列说法中正确的是( ) A .开普勒通过对行星观测记录的研究发现了万有引力定律 B .伽利略指出物体的运动需要力来维持 C .卡文迪许测出了引力常量G 的数值D .牛顿运动定律是自然界普遍适用的基本规律之一 2.关于摩擦力和弹力,下列说法正确的是( ) A .有弹力一定有摩擦力 B .静止的物体可能受到滑动摩擦力C .摩擦力大小跟弹力大小一定成正比D .摩擦力方向跟弹力方向可以不垂直3.如图1所示,A 、B 叠放在水平桌面上,今用水平拉力F 作用于B ,但没有拉动,则物体B 受到几个力作用 ( ) A .5 B .6 C .4 D .34.如图所示,在不计滑轮摩擦和绳子质量的条件下,当小车匀速向右运动时,物体A 的受力情况是( ) A .绳的拉力大于A 的重力 B .绳的拉力等于A 的重力 C .绳的拉力小于A 的重力D .绳的拉力先大于重力,后变为小于重力5.在平直的公路上以72km/h 的速度行驶的汽车,因发现前方有危险而进行紧急刹车,已知刹车过程中的加速度大小为5m/s 2,则刹车后6.0s 时间内汽车的位移为( ) A.30m B.40m C.50m D.60m6.如图2所示,物体在水平推力F 的作用下静止在斜面上,若稍微增大水平力F 而物体仍保持静止,则下列判断中错误..的是 ( ) A .斜面对物体的支持力一定增大 B .物体在竖直方向所受合力一定不变 C .斜面对物体的静摩擦力一定增大D .地面对斜面的静摩擦力一定增大7.静止在光滑水平面上的物体在水平推力F 作用下开始运动,推力随时间的变化如图所示,关于物体在0——t 1时间内的运动情况,正确的描述是( ) A.物体先做匀加速运动,后做匀减速运动图2B.物体的速度一直增大C.物体的速度先增大后减小D.物体的加速度一直增大8.A 、B 两球的质量均为m ,两球之间用轻弹簧相连,放在光滑的水平地面上,A 球左侧靠 墙。
武汉六中2013~2014学年度上学期期末考试高一数学模拟题1.夏季来临,人们注意避暑,如图是某市夏季某一天从6时到14时的温度变化曲线,若该曲线近似地满足函数y =Asin(ωx +φ)+B ,则该市在这一天中午12时天气的温度大约是( ) A .25°C B .26°C C .27°C D .28°C 2.Sin210°=( )A .21B .-21C .23 D .-233.若函数32()22f x x x x =+--的一个正数零点附近的函数值用二分法计算,其参考数据如下:那么方程220x x x +--=的一个近似根(精确到0.1)为( ) A .1.2B .1.3C .1.4D .1.54..已知函数f (x )=x 2sin x ,则其在区间[-π,π]上的大致图象是( )A BC D5.函数2si 6=c n cos sinos2xcos55x x y ππ-的单调增区间为( )A .()3+,+105k k k Z ππππ⎡⎤∈⎢⎥⎣⎦B .()7,+2020k k k Z ππππ⎡⎤-∈⎢⎥⎣⎦C .()32+,2+105k k k Z ππππ⎡⎤∈⎢⎥⎣⎦D .()2,+510k k k Z ππππ⎡⎤-∈⎢⎥⎣⎦6.给出下列的四个式子:①1a b -,②1a b +,③1b a +,④1ba-;已知其中至少有两个式子的值与tan θ的值相等,则( ) A .cos 2,sin 2a b θθ== B .sin 2,cos 2a b θθ==C .sin,cos 22a b θθ==D .cos,sin22a b θθ==7.函数y =lg(sin x +cos x )的单调递增区间是( ) A .[432432ππππ+-k k ,],k ∈Z B .(4242ππππ+-k k ,],k ∈ZC .[45242ππππ++k k ,],k ∈Z D .[43242ππππ++k k ,],k ∈Z 8.已知f (x )是奇函数,当x <0时,f (x )=cos x +sin2x ,则当x >0时,f (x )的表达式是( )A .cos x +sin2xB .-cos x +sin2xC .cos x -sin2xD .-cos x -sin2x 9.定义运算:⎩⎨⎧>≤=*.,,b a b ba ab a 如121=*,则函数()cos sin f x x x =*的值域为( )A .⎥⎦⎤⎢⎣⎡-22,1B .[]1,1-C .⎥⎦⎤⎢⎣⎡1,22D .⎥⎦⎤⎢⎣⎡-22,2210.定义区间(a ,b )、[a ,b )、(a ,b ]、[a ,b ]的长度d 均为d =b -a ,多个互无交集的区间的并集长度为各区间长度之和,例如(1,2)∪[3,5)的长度d =(2-1)+(5-3)=3.用[x ]表示不超过x 的最大整数,例如[2]=2,[3.7]=3,[-1.2]=-2.记{x }=x -[x ],设f (x )=[x ]·{x },g (x )=x -1,若用d 1、d 2和d 3分别表示不等式f (x )>g (x )、方程f (x )=g (x )和不等式 f (x )<g (x )解集区间的长度,则当0≤x ≤2013时,有( )A .d 1=1,d 2=2,d 3=2010B .d 1=1,d 2=1,d 3=2011C .d 1=3,d 2=5,d 3=2005D .d 1=2,d 2=3,d 3=2008 11.函数y =cos x +cos2x 的最小值是______12.函数f (x )=cos πx -log 3x 的零点的个数为________13.在工程技术中,常用到双曲正弦函数2x xe e shx --=和双曲余弦函数2x x e e chx -+=,双曲正弦函数和双曲余弦函数与我们学过的正弦函数和余弦函数有许多相类似的性质,请类比正、余弦函数的和角或差角公式,写出关于双曲正弦、双曲余弦函数的一个正确的类似公式 .14.若函数}{)(,cos ,sin max )(R x x x x f ∈=,则)(x f 的单调减区间为 15.定义在R 上的函数f (x )=sin(x +φ)+cos(x +φ),则存在实数φ和φ使得f (x ):① 是奇函数而非偶函数;② 是偶函数而非奇函数;③ 既是奇函数又是偶函数;④ 既不是奇函数又不是偶函数,以上判断中正确的序号为___________ 16.已知函数f (x )=Asin(ωx +φ),其中A >0,ω>0,0<φ<2π,已知的最小正周期是π,最小值为-3,且f (0)=23(1) 求的解析式;(2) 求不等式f (x )≥233的解集(3) 如何由f (x )的图象得到函数y =sin4x 的图象?17.南方A 市欲将一批容易变质的水果运往B 市,现在可以在飞机、火车和汽车这三种运输方式中选择一种,三种运输方式的参考数据如下表所示:123时的总支出费用(包括损耗),求出y 1、y 2、y 3与小x 间的函数关系式. (2) 应采用哪种运输方式,才使运输时的总支出费用最小?18.已知函数x x x f 2sin 3cos 2)(2+=,b ax x f x g +++=)125(21)(π,其中a ,b 为非零实常数(1) 若31)(-=αf ,]33[ππα,-∈,求α的值(2) 若x ∈R ,讨论g (x )的奇偶性,并证明你的结论(3) 已知对任意x 1,x 2∈R ,恒有|sin x 1-sin x 2|≤|x 1-x 2|,当且仅当x 1=x 2时等号成立,若g (x )是上R 的增函数,根据上述结论,求a 的取值范围19.已知]1)24([sin 4cos )(22-++=x m x x f π,当0,2x π⎛⎫∈ ⎪⎝⎭时,有()x f <2恒成立,求实数m 的取值范围.20.(本题满分13分)已知函数()[]+sin 2xf x x π=,[]1,1x ∈-.其中[]x 表示不超过x的最大整数,例如[][]3.5=4,2.1=2--.(Ⅰ)试判断函数()f x 的奇偶性,并说明理由; (Ⅱ)求函数()f x 的值域.21.(本小题满分14分)定义在R 上的函数f (x )满足以下两个条件:① 对任意的x ,y ∈R ,f (x -y +1)=f (x )f (y )+f (1-x )f (1-y );② f (x )在区间[0,1]上单调递增 (1) 求f (0);(2) 求证:f (x )是图象关于直线x =1对称的奇函数;(3) 求不等式的解集f (x )≥21的解集期末考试高一数学模拟题答案1.夏季来临,人们注意避暑,如图是某市夏季某一天从6时到14时的温度变化曲线,若该曲线近似地满足函数y =Asin(ωx +φ)+B ,则该市在这一天中午12时天气的温度大约是( C )A .25°CB .26°C C .27°CD .28°C2.Sin210°=( B )A .21 B .-21 C .23 D .-233.若函数32()22f x x x x =+--的一个正数零点附近的函数值用二分法计算,其参考数据如下:那么方程220xx x +--=的一个近似根(精确到0.1)为( C )A .1.2B .1.3C .1.4D .1.54..已知函数f (x )=x 2sin x ,则其在区间[-π,π]上的大致图象是( C )AB C D 5.函数2si 6=c n cos sinos2xcos55x x y ππ-的单调增区间为( D ) A .()3+,+105k k k Z ππππ⎡⎤∈⎢⎥⎣⎦B .()7,+2020k k k Z ππππ⎡⎤-∈⎢⎥⎣⎦C .()32+,2+105k k k Z ππππ⎡⎤∈⎢⎥⎣⎦D .()2,+510k k k Z ππππ⎡⎤-∈⎢⎥⎣⎦6.给出下列的四个式子:①1a b -,②1a b +,③1b a +,④1ba-;已知其中至少有两个式子的值与tan θ的值相等,则( A ) A .cos 2,sin 2a b θθ== B .sin 2,cos 2a b θθ==C .sin,cos22a b θθ==D .cos,sin22a b θθ==7.函数y =lg(sin x +cos x )的单调递增区间是( B ) A .[432432ππππ+-k k ,],k ∈Z B .(4242ππππ+-k k ,],k ∈ZC .[45242ππππ++k k ,],k ∈Z D .[43242ππππ++k k ,],k ∈Z 8.已知f (x )是奇函数,当x <0时,f (x )=cos x +sin2x ,则当x >0时,f (x )的表达式是(B )A .cos x +sin2xB .-cos x +sin2xC .cos x -sin2xD .-cos x -sin2x 9.定义运算:⎩⎨⎧>≤=*.,,b a b ba ab a 如121=*,则函数()cos sin f x x x =*的值域为(A )A .⎥⎦⎤⎢⎣⎡-22,1B .[]1,1-C .⎥⎦⎤⎢⎣⎡1,22D .⎥⎦⎤⎢⎣⎡-22,2210.定义区间(a ,b )、[a ,b )、(a ,b ]、[a ,b ]的长度d 均为d =b -a ,多个互无交集的区间的并集长度为各区间长度之和,例如(1,2)∪[3,5)的长度d =(2-1)+(5-3)=3.用[x ]表示不超过x 的最大整数,例如[2]=2,[3.7]=3,[-1.2]=-2.记{x }=x -[x ],设f (x )=[x ]·{x },g (x )=x -1,若用d 1、d 2和d 3分别表示不等式f (x )>g (x )、方程f (x )=g (x )和不等式 f (x )<g (x )解集区间的长度,则当0≤x ≤2013时,有( B )A .d 1=1,d 2=2,d 3=2010B .d 1=1,d 2=1,d 3=2011C .d 1=3,d 2=5,d 3=2005D .d 1=2,d 2=3,d 3=2008 11.函数y =cos x +cos2x 的最小值是______89-12.函数f (x )=cos πx -log 3x 的零点的个数为____3____13.在工程技术中,常用到双曲正弦函数2x xe e shx --=和双曲余弦函数2x x e e chx -+=,双曲正弦函数和双曲余弦函数与我们学过的正弦函数和余弦函数有许多相类似的性质,请类比正、余弦函数的和角或差角公式,写出关于双曲正弦、双曲余弦函数的一个正确的类似公式 chxshy shxchy y x sh +=+)( .(写出一个其他的正确的等式同样给分)14.若函数}{)(,cos ,sin max )(R x x x x f ∈=,则)(x f 的单调减区间为]452,22[],42,2[πππππππ+++k k k k 15.定义在R 上的函数f (x )=sin(x +φ)+cos(x +φ),则存在实数φ和φ使得f (x ):① 是奇函数而非偶函数;② 是偶函数而非奇函数;③ 既是奇函数又是偶函数;④ 既不是奇函数又不是偶函数,以上判断中正确的序号为__①__② ③ ④ 16.已知函数f (x )=Asin(ωx +φ),其中A >0,ω>0,0<φ<2π,已知的最小正周期是π,最小值为-3,且f (0)=23(1) 求的解析式;(2) 求不等式f (x )≥233的解集(3) 如何由f (x )的图象得到函数y =sin4x 的图象?解:(1))62sin(3)(π+=x x f(2)}⎩⎨⎧∈+≤≤+Z k k x k x ,412ππππ(3)略17.南方A 市欲将一批容易变质的水果运往B 市,现在可以在飞机、火车和汽车这三种运输方式中选择一种,三种运输方式的参考数据如下表所示:(1) 设A 、B 两市之间的距离为千米,用1、2、3分别表示使用飞机、火车、汽车运输时的总支出费用(包括损耗),求出y 1、y 2、y 3与小x 间的函数关系式. (2) 应采用哪种运输方式,才使运输时的总支出费用最小? 解:(1)y 1=16x+1400,y 2=6x+2800 y 3=12x+1300(2)x<2500km 时采用汽车运输,x>2500km 时采用火车运输,x=2500km 时采用汽车或火车运输都可18.已知函数x x x f 2sin 3cos 2)(2+=,b ax x f x g +++=)125(21)(π,其中a ,b 为非零实常数(1) 若31)(-=αf ,]33[ππα,-∈,求α的值(2) 若x ∈R ,讨论g (x )的奇偶性,并证明你的结论(3) 已知对任意x 1,x 2∈R ,恒有|sin x 1-sin x 2|≤|x 1-x 2|,当且仅当x 1=x 2时等号成立,若g (x )是上R 的增函数,根据上述结论,求a 的取值范围 解:(1) 4πα-= (2)212sin )(+++-=b ax x x g , 所以函数既不是奇函数也不是偶时,为奇函数;时,)(21)(21x g b x g b -≠-= (3)设x 1<x 2,则)(2sin 2sin )()(122112x x a x x x g x g -+-=-因为,g(x)是R 上的增函数,所以0)(2sin 2sin )()(122112>-+-=-x x a x x x g x g 恒成立又恒成立1212122sin 2sin ,0x x x x a x x -->∴>-2222sin 2sin 12121212=--<--x x x x x x x x又2≥∴a19.已知]1)24([sin 4cos )(22-++=x m x x f π,当0,2x π⎛⎫∈ ⎪⎝⎭时,有()x f <2恒成立,求实数m 的取值范围. 解:22sin +2=1cos +2=sin 1422x x x ππ⎛⎫⎛⎫----⎪ ⎪⎝⎭⎝⎭……2分 ()()2=cos 2+2sin 1f x x m x --()2=1sin 2+2sin 1x m x ---()22=sin +21x m m m ---- ……4分因为0,2x π⎛⎫∈ ⎪⎝⎭,所以()sin 0,1x ∈,于是 当0<<1m 时,()2max =21<0f x m m --,解得1m所以0<<1m ; ……6分当1m ≥时,()()22<1+21=2<0f x m m m -----恒成立,所以1m ≥; ……9分 当0m ≤时,()()22<0+21f x m m m ----,即()<21f x m --,于是()<210f x m --≤,解得 12m ≥-,20.(本题满分13分)已知函数()[]+sin 2xf x x π=,[]1,1x ∈-.其中[]x 表示不超过x的最大整数,例如[][]3.5=4,2.1=2--.(Ⅰ)试判断函数()f x 的奇偶性,并说明理由; (Ⅱ)求函数()f x 的值域. 解:当[)1,0x ∈-时,(0)<()()1f f x f -≤,即<(1)0f x -≤ ……9分 当[)0,1x ∈时,(0)()<()1f f x f ≤,即0<()<1f x ≤ ……11分当=1x 时,()=2f x , 综上得函数()f x 的值域为(){}1,12-.……13分21.(本小题满分14分)定义在R 上的函数f (x )满足以下两个条件:① 对任意的x ,y ∈R ,f (x -y +1)=f (x )f (y )+f (1-x )f (1-y );② f (x )在区间[0,1]上单调递增 (1) 求f (0);(2) 求证:f (x )是图象关于直线x =1对称的奇函数; (3) 求不等式的解集f (x )≥21的解集解:(1)令x=y=0则)1()0()1(22f f f += ①再令)21()1()21()0()21(21,0f f f f f y x +===可得若0)21(=f 则0)21()21()1(22=+=f f f 这与f (x )在区间[0,1]上单调递增矛盾)1()0(10)21(f f f +=≠∴故 ②由①、②解得)(21)1(21)0(1)1(0)0(舍或⎪⎪⎩⎪⎪⎨⎧==⎩⎨⎧==f f f f 综上可知⎩⎨⎧==1)1(0)0(f f(2)用y 代替1-y 得)()1()1()()(y f x f y f x f y x f -+-=+③ 在③式中令y=-x 可得)()1()x 1()()0(x f x f f x f f --++=④由③式可知)1(1)1(0)()1()1()0()()1(x f x f x f f x f f x f x f -=⋅-+⋅=-+=+ 即)1()1(x f x f -=+所以对称的图像关于直线1)(=x x f 将上式代入④得)()1()x 1()(0x f x f f x f -+++=又因为恒成立,不恒为0)()(0)1(=-+∴+x f x f x f 故为奇函数)(x f (3)在③中令 )(0)32(21)31()32()31(2)32()31()32()32()31()32(31舍或得==∴=∴+===f f f f f f f f f f y x另一方面,由)(x f 为奇函数及)1()1(x f x f -=+可知)1()1(--=+x f x f)()4()()2(x f x f x f x f =+∴-=+∴Z k k x f x f T x f ∈+≤≤+=≥∴=∴35431k 4)31(21)(4)(可得由的周期函数是。
2014-2015学年湖北省武汉市部分学校高一(上)期末数学试卷学校:___________姓名:___________班级:___________考号:___________一、选择题(本大题共10小题,共50.0分)1.已知全集U=R,则正确表示集合M={-1,0,1}和N={x|x2+x=0}关系的韦恩(V enn)图是()A. B. C. D.2.已知角α的终边经过点(-4,3),则cosα=()A. B. C.- D.-3.已知函数f(x)=,则f(f())=()A. B. C. D.4.设向量,满足|+|=,|-|=,则•=()A.1B.2C.3D.55.已知函数f(x)=-log2x,在下列区间中,包含f(x)零点的区间是()A.(0,1)B.(1,2)C.(2,4)D.(4,+∞)6.在下列向量组中,可以把向量=(3,2)表示出来的是()A.=(0,0),=(1,2)B.=(-1,2),=(5,-2)C.=(3,5),=(6,10)D.=(2,-3),=(-2,3)7.设a=sin33°,b=cos55°,c=tan35°,则()A.a>b>cB.b>c>aC.c>b>aD.c>a>b8.在同一直角坐标系中,函数f(x)=x a(x>0),g(x)=log a x的图象可能是()A. B. C. D.9.已知△ABC和点M满足2++=0.若存在实m使得+=m成立,则m=()A.2B.3C.4D.510.加工爆米花时,爆开且不糊的粒数占加工总粒数的百分比称为“可食用率”,在特定条件下,可食用率p与加工时间t(单位:分钟)满足函数关系p=at2+bt+c(a,b,c是常数),如图记录了三次实验的数据,根据上述函数模型和实验数据,可以得到最佳加工时间为()A.3.50分钟B.3.75分钟C.4.00分钟 D.4.25分钟二、填空题(本大题共5小题,共25.0分)11.函数f(x)=2sin(x-)的最小正周期是______ .12.()+log3+log3= ______ .13.设全集U=A∪B={x∈N*|lgx<1},若A∩∁U B={m|m=2n+1,n=0,1,2,3,4},则集合B= ______ .14.函数y=的定义域是______ .15.向量,,在正方形网格中的位置如图所示,若(λ,μ∈R),则=______ .16.已知=,α∈(,π)(Ⅰ)求tanα的值;(Ⅱ)求的值.17.在平面直角坐标系x O y中,点A(-1,-2)、B(2,3)、C(-2,-1).(1)求以线段AB、AC为邻边的平行四边形两条对角线的长;(2)设实数t满足()•=0,求t的值.18.已知函数f(x)=a-(Ⅰ)求证:无论a为何实数,f(x)总为增函数;(Ⅱ)若f(x)为奇函数,求f(x)的值域.19.设函数f(x)=sin(2x+φ)(-π<φ<0),y=f(x)图象的一条对称轴是直线.(Ⅰ)求φ;(Ⅱ)求函数y=f(x)的单调增区间;(Ⅲ)画出函数y=f(x)在区间[0,π]上的图象.20.甲厂以x千克/小时的速度匀速生产某种(生产条件要求1≤x≤10),每一小时可获得的利润是100(5x+1-)元(Ⅰ)要使生产该产品2小时获得的利润为3000元,求x的值;(Ⅱ)要使生产900千克该产品获得的利润最大,问:甲厂应该选取何种生产速度?21.已知函数f(x)=ax2+bx+1(a,b∈R且a≠0),F(x)=,>,<.(1)若f(-1)=0,且函数f(x)的值域为[0,+∞),求F(x)的解析式;(2)在(1)的条件下,当x∈[-2,2]时,g(x)=f(x)-kx是单调函数,求实数k的取值范围;(3)设mn<0,m+n>0,a>0,且f(x)是偶函数,判断F(m)+F(n)是否大于零.。
湖北省武汉市部分重点中学2013-2014学年度上学期高一期末考试数 学 试 卷 (文)命题人:武汉四十九中 唐宗保 审题人:洪山高中 胡仲武全卷分第Ⅰ卷(选择题)和第Ⅱ卷(非选择题)两部分。
共150分,考试时间120分钟。
第Ⅰ卷(选择题 共50分)一、选择题:本大题共10小题,每小题5分,共50分.在每小题给出的四个选项中,只有一项是符合题目要求的.1、已知集合2{|230},{|1}A x x x B x x =--<=>,则B A =A .{|1}x x >B .{|3}x x <C .{|13}x x <<D .{|11}x x -<<2、函数()f x )42tan(π-x ,x R ∈的最小正周期为A .2π B .π C .2πD .4π3、如果偶函数)(x f 在]7,3[上是增函数且最小值是2,那么)(x f 在]3,7[--上是 A. 减函数且最小值是2 B.. 减函数且最大值是2 C. 增函数且最小值是2 D. 增函数且最大值是2.4、 函数()2tan f x x x =-在(,)22ππ-上的图像大致为5、已知3sin()35x π-=,则cos()6x π+=A .35B .45C .35-D .45-6、 函数y=sin(2x+25π)图象的一条对称轴方程是:A .2π-=x B . 4π-=x C . 8π=x D .45π=x7、在北京召开的国际数学家大会会标如图所示,它是由4个相同的直角三角形与中间的小正方形拼成的一大正方形,若直角三角形中较小的锐角为θ,大正方形的面积是1,小正方形的面积是θθ22cos sin ,251-则的值等于A .1B .725- C .257 D .2524-8、函数)2||,0,0)(sin()(πφωφω<>>+=A x A x f 的部分图象如图示,则将()y f x =的图象向右平移6π个单位后,得到的图象解析为A .x y 2sin = B. x y 2cos = C. )322sin(π+=x y D. )62sin(π-=x y9、某商场对顾客实行购物优惠活动,规定一次购物付款总额: (1)如果不超过200元,则不给予优惠;(2)如果超过200元但不超过500元,则按标价给予9折优惠;(3)如果超过500元,其500元内的按第(2)条给予优惠,超过500元的部分给予7折优惠.某人两次去购物,分别付款168元和423元,假设他一次性购买上述两次同样的商品,则应付款是A .413.7元 B. 513.7元 C. 546.6元 D .548.7元10、给出以下命题:①若α、β均为第一象限角,且βα>,且βαsin sin >; ②若函数⎪⎭⎫⎝⎛-=3cos 2πax y 的最小正周期是π4,则21=a ; ③函数1sin sin sin 2--=x xx y 是奇函数;④函数1|sin |2y x =-的周期是π ⑤函数||sin sin x x y +=的值域是]2,0[其中正确命题的个数为:A . 3B . 2C . 1D . 0第Ⅱ卷(非选择题 共100分)二、填空题:本大题共7小题,每小题5分,共35分. 11、 300tan 480sin +的值为________.12.、已知1sin(),(,0),232ππαα+=∈-则tan α的值为________.13、已知函数22(1)2y x a x =+-+在(,4)-∞上是减函数,则实数a 的取值范围是________.14、已知函数()f x 的最小正周期为,π有一条对称轴为3π=x ,试写出一个满足条件的函数=)(x f ________.15、 定义在R 上的函数()f x ,对任意x ∈R 都有(2)()f x f x +=,当(2,0)x ∈-时,()2x f x =,则(2013)f =________.16、如图所示,为了研究钟表与三角函数的关系,建立如图所示的坐标系,设秒针针尖位置),(y x P ,若初始位置为)21,23(0P ,当秒针从0P (注此时0=t )正常开始走时,那么点P 的纵坐标y 与时间t 的函数关系为________. 17、 已知函数f (x )=12--a ax(a ≠1). (1) 若a >0, 则f (x )的定义域为 ;(2) 若f (x )在区间(0, 1]上是减函数, 则实数a 的取值范围是 . 三、解答题:本大题共5个小题,共65分.解答应写出文字说明,证明过程或演算步骤. 18、(本题满分12分) (Ⅰ)化简:︒--︒︒︒-20sin 1160sin 20cos 20sin 212;(Ⅱ)已知:3tan =α, 求)2sin()cos(4)23sin(3)2cos(2απααπαπ-+-+--的值.19、(本题满分12分)已知全集为R ,函数)1lg()(x x f -=的定义域为集合A ,集合}6)1(|{>-=x x x B ,(Ⅰ)求,A B U )(B C A R ;(Ⅱ)若}21|{m x m x C <<+-=,且Φ≠C ,))((B C A C R ⊆,求实数m 的取值范围.20、(本题满分13分)已知3cos()(,).41024x x πππ-=∈(1)求sin x 的值; (2)求sin(2)3x π+的值.21、(本题满分14分)已知x x x x x f 424cos 3)cos (sin sin 3)(-++=(1)求()f x 的最小值及取最小值时x 的集合; (2)求()f x 在]2,0[π∈x 时的值域;(3)求()f x 在]2,2[ππ-∈x 时的单调递减区间;22、(14分) 已知函数1)(log )(2++=a x x f 过点)4,4(.(1)求实数a ;(2)将函数)(x f 的图象向下平移1个单位,再向右平移a 个单位后得到函数)(x g 图象,设函数)(x g 关于y 轴对称的函数为)(x h ,试求)(x h 的解析式;(3)对于定义在)0,4(-上的函数)(x h y =,若在其定义域内,不等式2[()2]()1h x h x m +>-恒成立,求实数m 的取值范围.湖北省武汉市部分重点中学2012-2013学年度上学期高一期末考试数 学 试 卷 (文)答案一、选择题11、23-12、- 、13、(,3]-∞- 14、)62sin()(π-=x x f 15、21 16、)630sin(ππ+-=t y 17、]2,(a-∞;]2,1()0,( -∞三、解答题18、解:(Ⅰ)原式=︒-︒︒︒-20cos 20sin 20cos 20sin 21=︒-︒︒-︒20cos 20sin 20sin 20cos =1- 6分(Ⅱ)解:原式=ααααsin cos 4cos 3sin 2-+ =2tan 394tan αα+=- 6分19.解:(1)由01>-x 得,函数)1lg()(x x f -=的定义域{}1|<=x x A ……2分062>--x x ,0)2)(3(>+-x x ,得B {|32}x x x =><-或 ……4分∴{}31|><=x x x B A 或 , ……5分R C B {|23}x x =-≤≤,{}12|)(<≤-=∴x x B C A R ……6分 (2) {}12|<≤-⊆x x C ,且φ≠C ,⎪⎩⎪⎨⎧≤-≥+-<+-122121m m mm , ……10分211≤<-m12分 20、.(1)因为3(,),24x ππ∈所以(,)442x πππ-∈,于是sin()410x π-== 3分sin sin[()]sin()cos cos()sin 444444x x x x ππππππ=-+=-+-4.1021025=+= 6分 (2)因为3(,).24x ππ∈故3cos .5x ===- 8分2247sin 22sin cos .cos 22cos 1.2525x x x x ==-=⨯-=- 10分所以中24sin(2)sin 2coscos 2sin33350x x x πππ++=+=-12分 21、化简得 1)32sin(2)(+-=πx x f 4分最小值为1- 5分x 的集合为},12|{Z k k x x ∈-=ππ 7分 (2)当]2,0[π∈x 时,]32,3[32πππ-∈-x ,]3,13[)(+-∈x f 10分(3)当2323222πππππ+≤-≤+k x k 即Z k k x k ∈+≤≤+,1211125ππππ∴ ]2,125[],12,2[ππππ-- 14分22. 解:(1)由已知41)4(log 2=++a .4=a 3分(2)1)4(log )(2++=x x f 向下平移1个单位后再向右平移4个单位后得到函数x x g 2log )(= ,函数)(x g 关于y 轴对称的函数为)(x h)0)((log )(2<-=∴x x x h 6分(3)1)(log )2)((log 222-->+-x m x 在)0,4(-恒成立∴设)04)((log 2<<--=x x t 则2t <2(2)1t tm ∴+>- 即:2(4)+50t m t +->,在2t <时恒成立. 8分令5)4()(2+-+=t m t t g∴⎪⎩⎪⎨⎧<--=∆≤-020)4(2222m m 8524≤<-∴m 11分或⎪⎩⎪⎨⎧≥-=>-0217)2(222m g m 2178≤<∴m 13分综合得:217524≤<-m 14分。