安防集成商大全(一级资质)
- 格式:pdf
- 大小:106.40 KB
- 文档页数:11
直真视通等公司又获得了系统集成一级资质,一级资质公司又增加了。
呵呵! 下面是最新的系统集成一级资质公司名单一共196个公司。
同方股份有限公司北京和利时系统工程有限公司北京方正奥德计算机系统有限公司紫光软件系统有限公司北京朗新信息系统有限公司恒生电子股份有限公司广州杰赛科技股份有限公司天津天地伟业科技有限公司中科软科技股份有限公司长天科技有限公司北京东华合创数码科技股份有限公司首都信息发展股份有限公司北京鼎天软件有限公司江苏金智科技股份有限公司西安未来国际软件有限公司黎明网络有限公司湖南创智软件科技有限公司上海宝信软件股份有限公司云南南天电子信息产业股份有限公司中国电信集团系统集成有限责任公司北京国铁华晨通信信息技术公司北京市太极华青信息系统有限公司北京高阳金信信息技术有限公司航天信息股份有限公司联想网御科技(北京)有限公司浙江浙大中控信息技术有限公司亿阳信通股份有限公司积成电子股份有限公司金鹏电子信息机器有限公司中电科技电子信息系统有限公司中国软件与技术服务股份有限公司北京大恒创新技术有限公司亚信科技(中国)有限公司四川银海软件有限责任公司南京南瑞集团公司南京莱斯大型电子系统工程有限公司浙江大学快威科技集团有限公司深圳市紫金支点技术股份有限公司国防科学技术大学信息工程研究所哈尔滨工业大学软件工程有限公司上海复旦光华信息科技股份有限公司新晨科技股份有限公司中国惠普有限公司北京紫光华宇软件股份有限公司南京中兴软创科技股份有限公司西安交大博通资讯股份有限公司武汉烽火信息集成技术有限公司万达信息股份有限公司广州华南资讯科技有限公司信雅达系统工程股份有限公司福建榕基软件股份有限公司北京宇信易诚科技有限公司上海华讯网络系统股份有限公司上海华东电脑股份有限公司河北远东通信系统工程有限公司长春鸿达信息科技股份有限公司南京联创科技股份有限公司思创数码科技股份有限公司泰豪软件股份有限公司湖南拓维信息系统股份有限公司广州从兴电子开发有限公司大连华信计算机技术股份有限公司青岛海信网络科技股份有限公司深圳市南凌科技发展有限公司石化盈科信息技术有限责任公司北京北大青鸟商用信息系统有限公司北京中电兴发科技有限公司北京汉铭信通科技有限公司北京全路通信信号研究设计院北京宝亮网智电子信息技术有限公司北京北控电信通信息技术有限公司广州市方欣科技有限公司山西同昌信息技术实业有限公司深圳市华仁达电子有限公司深圳市脉山龙信息技术有限公司成都三零盛安信息系统有限公司杭州新世纪信息技术股份有限公司上海理想信息产业(集团)有限公司深圳达实智能股份有限公司深圳海联讯科技股份有限公司北京联信永益信息技术有限公司北京合力金桥系统集成技术有限公司北京直真节点技术开发有限公司中国网通集团系统集成有限公司中盈优创资讯科技有限公司北京能通万维网络科技有限公司华迪计算机集团有限公司国际商业机器全球服务(中国)有限公司上海华腾软件系统有限公司湖南创发天辰科技有限责任公司易泰达科技有限公司重庆南华中天信息技术有限公司上海贝尔阿尔卡特软件有限公司广东互维科技有限公司广东省信息工程有限公司兰州飞天网景信息产业有限公司浙江银江电子股份有限公司安徽科大恒星电子商务技术有限公司福建富士通信息软件有限公司深圳市天维尔通讯技术有限公司广州北大明天资源科技发展有限公司太原理工天成电子信息技术有限公司长春吉大正元信息技术股份有限公司永泰软件有限公司荣基科技有限公司内蒙古证联信息技术有限责任公司甘肃万维信息技术有限责任公司重庆市易联数码科技有限公司北京大唐高鸿数据网络技术有限公司北京神州泰岳软件股份有限公司北京世源希达工程技术公司北京赛迪时代信息产业股份有限公司赞华(北京)电子系统有限公司北京京北方科技股份有限公司江西贝尔科技产业有限公司重庆中讯亚太信息技术有限公司浙江建达科技股份有限公司北京中科大洋科技发展股份有限公司北京高伟达软件技术有限公司兴唐通信科技有限公司北京宇信鸿泰科技发展有限公司北京环亚时代信息技术有限公司中信国安信息科技有限公司北京先进数通信息技术有限公司天津市中环系统工程有限责任公司启明信息技术股份有限公司重庆亚德科技股份有限公司攀钢集团信息工程技术有限公司武汉钢铁工程技术集团自动化有限责任公司成都索贝数码科技股份有限公司湖南科创信息技术股份有限公司深圳键桥通讯技术股份有限公司深圳市赛为智能股份有限公司福建南威软件工程发展有限公司福建新大陆电脑股份有限公司北京华胜天成科技股份有限公司广州广电运通金融电子股份有限公司福建亿力电力科技股份有限公司四川格瑞特科技有限公司北京华夏电通科技有限公司中国电力科学研究院北京飞利信科技股份有限公司北京网鼎系统集成有限责任公司国富通信息技术发展有限公司北京冠华宏鑫科技有限公司北京北大千方科技有限公司卓望数码技术(深圳)有限公司深圳市广宁实业有限公司江苏智运科技发展有限公司四川川大智胜软件股份有限公司江苏宏图高科技术开发有限公司上海迪爱斯通信设备有限公司湖南湘邮科技股份有限公司厦门柏事特信息科技有限公司河北普瑞电子有限公司浙江浙大网新快威科技有限公司杭州创业软件股份有限公司实达科技(福建)软件系统集团有限公司重庆汉光电子工程有限责任公司大唐软件技术股份有限公司太极计算机股份有限公司神州数码信息系统有限公司长城计算机软件与系统有限公司北京中软国际信息技术有限公司山东中创软件工程股份有限公司山东浪潮齐鲁软件产业股份有限公司东软集团股份有限公司天津新技术产业园区海泰数码科技有限公司厦门东南融通系统工程有限公司上海交技发展股份有限公司内蒙古万德系统集成有限责任公司安徽科大讯飞信息科技股份有限公司河北全通通信有限公司福建恒锋电子有限公司广东亿迅科技有限公司广州市友迪资讯科技有限公司新太科技股份有限公司山西奥科新得科贸有限公司武汉兴得科技有限公司深圳市智宇实业发展有限公司高新现代智能系统股份有限公司深圳市东深电子股份有限公司深圳中航电脑系统工程有限公司北京神州新桥科技有限公司北京直真视通科技有限公司北京东方正通科技有限公司北京中电同业科技发展有限公司北京瑞华赢科技发展有限公司北京英孚泰克信息技术有限公司北京中科金财科技股份有限公司北京神州数码思特奇信息技术股份有限公司同方威视技术股份有限公司中铁信弘远(北京)软件科技有限责任公司赛尔网络有限公司深圳市金证科技股份有限公司中程科技有限公司最佳答案中国系统集成商名单大全单位名称资质等级证书编号备案日期首获证日期省市北京中软国际信息技术有限公司一级Z1110020000001 2004-9-12 2000-9-12 北京北京神州数码有限公司一级Z1110020000002 2004-9-12 2000-9-12 北京长城计算机软件与系统有限公司一级Z1110020000003 2004-9-12 2000-9-12 北京大唐软件技术股份有限公司一级Z1110020000005 2004-9-12 2000-9-12 北京太极计算机股份有限公司一级Z1110020000006 2004-9-12 2000-9-12 北京沈阳东软软件股份有限公司一级Z1210020000007 2004-9-12 2000-9-12 辽宁深圳市现代计算机有限公司一级Z1440320000010 2004-9-12 2000-9-12 深圳山东浪潮齐鲁软件产业股份有限公司一级Z1370020000008 2004-9-12 2000-9-12 山东山东中创软件工程股份有限公司一级Z1370020000009 2004-9-12 2000-9-12 山东上海长江科技发展有限公司二级Z2310020000014 2004-9-12 2000-9-12 上海中国科学院沈阳计算技术研究所有限公司二级Z2210020000017 2004-9-12 2000-9-12 辽宁西安协同数码股份有限公司二级Z2610020000018 2004-9-12 2000-9-12 陕西同方股份有限公司一级Z1110020010001 2005-5-10 2001-5-10 北京北京和利时系统工程股份有限公司一级Z1110020010002 2005-5-10 2001-5-10 北京北京方正奥德计算机系统有限公司一级Z1110020010003 2005-5-10 2001-5-10 北京紫光软件系统有限公司一级Z1110020010006 2005-5-10 2001-5-10 北京北京朗新信息系统有限公司一级Z1110020010007 2005-5-10 2001-5-10 北京恒生电子股份有限公司一级Z1330020010004 2005-5-10 2001-5-10 浙江广西运通数据设备有限责任公司二级Z2450020010019 2005-5-10 2001-5-10 广西北京尚洋信德信息技术有限公司二级Z2110020010012 2005-5-10 2001-5-10 北京中国华育发展总公司二级Z2110020010021 2005-5-10 2001-5-10 北京北京首钢自动化信息技术有限公司二级Z2110020010014 2005-5-10 2001-5-10 北京成都四方信息技术有限公司二级Z2510020010017 2005-5-10 2001-5-10 四川上海竞天科技股份有限公司二级Z2310020010016 2005-5-10 2001-5-10 上海北京国都信业科技有限公司三级Z3110020010030 2005-5-10 2001-5-10 北京鞍钢集团自动化公司三级Z3210020010042 2005-5-10 2001-5-10 辽宁泰安市鲁科海电子信息产业有限公司三级Z3370020010046 2005-5-10 2001-5-10 山东上海长城电子信息网络有限公司三级Z3310020010038 2005-10-21 2001-5-10 上海北京首科软件及系统集成有限责任公司四级Z4110020050113 2005-5-10 2001-5-10 北京河南海联电子系统工程有限公司三级Z3410020010063 2005-8-7 2001-8-7 河南平顶山煤业(集团)信息通信技术开发公司三级Z3410020010059 2005-8-7 2001-8-7 河南河南雪城科技股份有限公司三级Z3410020010064 2005-8-7 2001-8-7 河南黑龙江省应用电子有限责任公司三级Z3230020010073 2005-8-7 2001-8-7 黑龙江黑龙江省新桥机房工程有限公司三级Z3230020010074 2005-8-7 2001-8-7 黑龙江重庆市海普软件产业有限公司三级Z3500220010057 2005-8-7 2001-8-7 重庆石家庄泛安科技开发有限公司三级Z3130020010069 2005-8-7 2001-8-7 河北河北新龙科技股份有限公司三级Z3130020010068 2005-10-21 2001-8-7 河北广州杰赛科技股份有限公司一级Z1440020010111 2005-10-8 2001-10-8 广东天津天地伟业科技有限公司一级Z1120020010107 2005-10-8 2001-10-8 天津中科软科技股份有限公司一级Z1110020010102 2005-10-8 2001-10-8 北京长天科技有限公司一级Z1110020010105 2005-10-8 2001-10-8 北京北京东华合创数码科技股份有限公司一级Z1110020010104 2005-10-8 2001-10-8 北京首都信息发展股份有限公司一级Z1110020010106 2005-10-8 2001-10-8 北京北京鼎天软件有限公司一级Z1510020010113 2005-10-8 2001-10-8 北京江苏金智科技股份有限公司一级Z1320020010108 2005-10-8 2001-10-8 江苏西安未来国际软件有限公司一级Z1610020010114 2005-10-8 2001-10-8 陕西黎明网络有限公司一级Z1440320010115 2005-10-8 2001-10-8 深圳创智软件园有限公司一级Z1430020010110 2005-10-8 2001-10-8 湖南上海致达信息产业股份有限公司二级Z2310020010123 2005-10-8 2001-10-8 上海广西德意数码股份有限公司二级Z2450020010132 2005-10-8 2001-10-8 广西北京曙光天演信息技术有限公司二级Z2110020010116 2005-10-8 2001-10-8 北京国研信息科技有限公司二级Z2110020010120 2005-10-8 2001-10-8 北京深圳市科健信息技术有限公司二级Z2440320010138 2005-10-8 2001-10-8 深圳深圳市鼎驰科技发展有限公司二级Z2440320010139 2005-10-8 2001-10-8 深圳厦门东南融通系统工程有限公司二级Z2350220010136 2005-10-8 2001-10-8 厦门厦门市巨龙软件工程有限公司二级Z2350220010135 2005-10-8 2001-10-8 厦门武汉天喻信息产业股份有限公司二级Z2420020010129 2005-10-8 2001-10-8 湖北广西火炬高科技有限责任公司三级Z3450020050222 2005-10-8 2001-10-8 广西山东天辉科技有限公司三级Z3370020010086 2005-10-9 2001-10-9 山东成都金电科技有限责任公司三级Z3510020010092 2005-10-9 2001-10-9 四川安徽三联科技股份有限公司三级Z3340020010088 2005-10-9 2001-10-9 安徽杭州展望科技有限公司三级Z3330020010080 2005-10-9 2001-10-9 浙江四川三维系统工程有限责任公司三级Z3510020010090 2005-10-9 2001-10-9 四川济南康讯科技有限公司四级Z4370020010097 2005-10-9 2001-10-9 山东四川惠源科技实业有限公司四级Z4510020010100 2005-10-9 2001-10-9 四川云南英茂通信股份有限公司三级Z3530020010143 2005-10-24 2001-10-24 云南昆明阳光数字技术股份有限公司三级Z3530020010144 2005-10-24 2001-10-24 云南上海中信信息发展有限公司三级Z3310020010160 2005-10-24 2001-10-24 上海上海机械电脑有限公司三级Z3310020010158 2005-12-18 2001-10-24 上海上海奇诺计算机通信系统有限公司三级Z3310020010161 2005-12-18 2001-10-24 上海上海邮电电脑有限公司三级Z3310020010162 2005-12-18 2001-10-24 上海上海新泰信息技术有限公司三级Z3310020010157 2005-10-24 2001-10-24 上海成都康赛电子科大信息技术有限责任公司二级Z2510020030066 2007-2-18 2003-2-18 四川浙江信电技术股份有限公司二级Z2330220030069 2007-2-18 2003-2-18 宁波辽宁龙网科技股份有限公司二级Z2210020030047 2007-2-18 2003-2-18 辽宁安徽皖通科技股份有限公司二级Z2340020030004 2007-2-18 2003-2-18 安徽西安山脉科技发展有限公司二级Z2610020030051 2007-2-18 2003-2-18 陕西西安文华信通科技股份有限公司二级Z2610020030052 2007-2-18 2003-2-18 陕西贵州振华信息技术有限公司二级Z2520020030037 2007-2-18 2003-2-18 贵州贵阳普天物流技术股份有限公司二级Z2520020030038 2007-2-18 2003-2-18 贵州重庆市博恩科技(集团)有限公司二级Z2500020030073 2007-2-18 2003-2-18 重庆重庆钢铁集团电子有限责任公司二级Z2500020030074 2007-2-18 2003-2-18 重庆浙江正元智慧科技有限公司二级Z2330020030071 2007-2-18 2003-2-18 浙江深圳天源迪科信息技术股份有限公司二级Z2440320030061 2007-2-18 2003-2-18 深圳深圳市旭感和诚信息技术有限公司二级Z2440320030060 2007-2-18 2003-2-18 深圳实达科技(福建)软件系统集团有限公司二级Z2350220030067 2007-2-18 2003-2-18 厦门武汉广通系统工程有限公司二级Z2420020030042 2007-2-18 2003-2-18 湖北福建恒锋电子有限公司二级Z2350020030026 2007-2-18 2003-2-18 福建福建省宏远科技有限公司二级Z2350020030028 2007-2-18 2003-2-18 福建国脉中讯网络科技有限公司二级Z2350020030029 2007-2-18 2003-2-18 福建北京冠华宏鑫科技有限公司二级Z2110020030017 2007-2-18 2003-2-18 北京上海颐东网络信息有限公司二级Z2310020030054 2007-2-18 2003-2-18 上海深圳市润安科技发展有限公司二级Z2440320030063 2007-2-18 2003-2-18 深圳长春当代信息产业集团有限公司二级Z2220020030045 2007-2-18 2003-2-18 吉林。
序号证书编号单位名称所在城市级别发证日期1 1001 内蒙古晶新科技有限责任公司呼和浩特一级2010年7月7日2 1002 内蒙古英特安防电子技术有限责任公司呼和浩特一级2010年7月13日3 1003 内蒙古蒙能物业管理有限责任公司呼和浩特一级2010年7月19日4 1004 内蒙古华祺科技有限公司呼和浩特一级2010年7月21日5 1005 鄂尔多斯鼎联数码网络有限责任公司鄂尔多斯一级2010年7月23日6 1007 内蒙古昊琨公共安全技术信息有限公司呼和浩特一级2011年3月20日7 1008 内蒙古国讯富通科技有限公司呼和浩特一级2011年4月8日8 1009 内蒙古佳安安全智能系统有限公司呼和浩特一级2011年7月11日9 1010 内蒙古灵奕高科技(集团)有限责任公司呼和浩特一级2011年8月2日10 2004 内蒙古金名计算机系统集成股份有限公司包头二级2011年5月18日11 2006 内蒙古鼎升安防科技有限公司通辽二级2011年5月12日12 2007 内蒙古亨达海天网络技术有限责任公司包头二级2011年5月18日13 2008 包头市圣德经贸有限公司包头二级2011年5月18日14 2011 锡林浩特市兆泰科技发展有限公司锡林浩特二级2011年5月9日15 2012 赤峰宏德安防消防智能网络工程有限责任公司赤峰二级2011年5月5日16 2013 内蒙古德嘉环能科技有限公司呼和浩特二级20107月7日17 2015 赤峰申联科技有限责任公司赤峰二级2011年5月5日18 2016 内蒙古润达科技有限责任公司呼和浩特二级2011年5月9日19 2017 内蒙古朝阳安防消防电子工程有限公司呼和浩特二级2011年3月18日20 2018 呼和浩特市万全网络科技有限公司呼和浩特二级2008年3月21日21 2019 内蒙古力量电子有限公司呼和浩特二级2011年5月9日22 2020 内蒙古正伟工程有限公司呼和浩特二级2010年8月12日23 2021 内蒙古兴泰电子科技有限责任公司鄂尔多斯二级2008年4月10日24 2022 内蒙古施达信息网络有限责任公司鄂尔多斯二级2011年4月12日25 2023 内蒙古亿信多媒体网络有限公司呼和浩特二级2011年5月12日26 2024 乌兰察布市电子网络安全技术有限公司乌兰察布市二级2011年5月19日27 2025 内蒙古三C集团有限公司呼和浩特二级2011年6月14日28 2026 内蒙古启安消防工程有限公司呼和浩特二级2011年6月8日30 2028 赤峰先达智能科技有限责任公司赤峰市二级2011年5月10日31 2032 三星威视安防监控电子工程有限责任公司乌海市二级2011年5月5日32 2033 乌海市金盾安全防范有限公司乌海市二级2011年5月5日33 2035 鄂尔多斯市宏胜达电子科技有限责任公司鄂尔多斯二级2011年5月12日34 2036 鄂尔多斯市旭日东升网络工程有限责任公司鄂尔多斯二级2011年5月18日35 2038 内蒙古埃伊尔科工贸有限责任公司呼和浩特二级2011年5月12日36 2039 内蒙古坤兰科技有限公司呼和浩特二级2011年5月9日37 2040 内蒙古网讯信息工程有限公司呼和浩特二级2011年5月10日38 2041 包头达诚网络工程有限责任公司包头二级2011年5月18日39 2042 呼和浩特市青宇科技有限公司呼和浩特二级2011年5月9日40 2043 呼和浩特市立信电气技术有限责任公司呼和浩特二级2011年5月10日41 2044 内蒙古德福安装工程有限公司呼和浩特二级2011年6月14日42 2045 内蒙古万德工程有限责任公司呼和浩特二级2011年6月8日43 2046 鄂尔多斯市拓新电子有限责任公司鄂尔多斯二级2011年4月22日44 2047 内蒙古盛达科技有限责任公司呼和浩特二级2011年3月3日45 2048 内蒙古今博科技有限责任公司呼和浩特二级2011年5月12日46 2051 内蒙古泰博电子科技有限责任公司呼和浩特二级2011年5月5日47 2052 内蒙古云海消防工程有限责任公司呼和浩特二级2011年6月14日48 2053 联通系统集成有限公司内蒙古自治区分公司呼和浩特二级2011年6月14日49 2054 内蒙古信中伟业科贸有限公司呼和浩特二级2011年5月9日50 2055 内蒙古宝亮信息技术有限公司呼和浩特二级2011年5月10日51 2056 赤峰天元电子机电工程有限公司赤峰市二级2011年5月5日52 2057 北京中企时代科技有限公司霍林郭勒分公司通辽市二级2011年5月12日53 2060 内蒙古蒙安科技有限公司呼和浩特二级2009年2月10日54 2061 包头市元乙科技有限责任公司包头二级2009年5月6日55 2064 内蒙古天迅网络科技发展有限责任公司呼和浩特二级2009年6月1日56 2066 内蒙古恒中科技发展有限责任公司呼和浩特二级2009年6月19日57 2068 呼和浩特市天保技防工程有限公司呼和浩特二级2009年7月15日59 2071 赤峰巨安电子工程有限公司赤峰市二级2009年8月4日60 2072 内蒙古维创致远科技发展有限公司鄂尔多斯二级2009年8月14日61 2073 内蒙古自立电脑有限责任公司呼和浩特二级2009年9月11日62 2074 鄂尔多斯市东胜区星光商贸有限公司鄂尔多斯二级2009年10月12日63 2075 内蒙古聚华科技发展有限责任公司呼和浩特二级2009年12月15日64 2080 包头市冶通电信工程有限责任公司包头市二级2009年12月30日65 2081 内蒙古金众科技有限责任公司包头市二级2009年12月30日66 2085 乌兰察布市集宁通德电子信息技术有限责任公司乌兰察布二级2010年1月26日67 2087 包头市瑞博电子工程有限公司包头市二级2010年2月5日68 2091 内蒙古晟隆技术发展有限公司呼和浩特二级2010年5月21日69 2093 内蒙古电力对外经济技术开发公司呼和浩特二级2010年6月7日70 2094 内蒙古亨利新技术工程有限公司呼和浩特二级2010年6月24日71 2095 内蒙古华强通讯技术有限公司呼和浩特二级2010年6月30日72 2096 内蒙古安祥消防工程有限公司呼和浩特二级2010年8月17日73 2097 包头市龙腾科技有限公司包头二级2010年10月29日74 2100 内蒙古恒安系统工程有限责任公司鄂尔多斯二级2011年3月30日75 2101 内蒙古同城网讯技术有限公司呼和浩特二级2011年5月30日76 2102 包头市爱博科技有限公司包头市二级2011年7月1877 2103 包头市九利经贸有限责任公司包头市二级2011年7月1978 3001 赤峰新科(无资料故名称不全)三级已打证79 3002 赤峰明普电子有限公司赤峰市三级2011年5月5日80 3004 包头市星鑫电子有限公司包头市三级2011年5月18日81 3005 内蒙古捷宇广播电视技术有限责任公司呼和浩特三级2010年11月9日82 3006 包头市浩业科技有限责任公司包头市三级2011年5月18日83 3008 包头市鹿吉电子有限公司包头市三级2011年5月18日84 3009 赤峰市方宁安全技术工程有限责任公司赤峰市三级2011年5月5日85 3010 通辽大群电子科技有限责任公司通辽市三级2011年5月12日86 3014 赤峰亿邦安防智能网络有限责任公司赤峰市三级2011年5月5日87 3015 赤峰金辰电子有限责任公司赤峰市三级2011年5月5日88 3016 开鲁县森华保安服务有限责任公司通辽市三级2011年5月12日89 3017 通辽市立今软件有限责任公司通辽市三级2011年6月8日90 3019 内蒙古海芯电子工程有限公司呼和浩特三级2011年5月9日91 3020 乌兰浩特市居丽装饰公司乌兰浩特三级2011年7月21日92 3021 内蒙古恒达建筑装饰有限责任公司乌兰浩特三级2011年5月12日93 3022 通辽市和创电子工程有限责任公司通辽市三级2011年6月8日94 3023 通辽市保安服务公司通辽市三级2011年5月12日95 3024 呼和浩特市欣蓝川电子技术有限公司呼和浩特三级2011年6月8日96 3025 赤峰天神监控器材有限公司赤峰市三级2011年5月5日97 3027 内蒙古蒙太安防设备有限责任公司呼和浩特三级2011年5月10日98 3028 鄂尔多斯市佳宏伟业信息工程有限责任公司鄂尔多斯三级2011年5月18日99 3029 赤峰市声光商贸有限责任公司赤峰市三级2011年5月5日100 3031 赤峰悦泰电子工程有限公司赤峰市三级2011年5月5日101 3032 内蒙古东创纪科技产业工程有限公司呼和浩特三级2009年8月6日102 3033 突泉县紫宸电脑技术有限责任公司乌兰浩特三级2011年5月12日103 3034 乌兰浩特市永达建筑装饰工程有限责任公司乌兰浩特三级2011年5月12日104 3035 中国电信集团公司乌海分公司乌海市三级2011年5月5日105 3036 乌海市凯达门业有限责任公司乌海市三级2011年5月5日106 3038 乌海市相盈商贸有限责任公司乌海市三级2011年5月5日107 3039 鄂尔多斯市亿博信息技术有限公司鄂尔多斯三级2011年5月18日108 3041 鄂尔多斯乾佑网络科技有限公司鄂尔多斯三级2011年5月12日109 3042 通辽市汇川电子科技有限责任公司通辽市三级2010年7月27日110 3043 鄂尔多斯市四方电子有限责任公司鄂尔多斯三级2011年5月18日111 3044 乌兰察布市乾艮电脑有限公司乌兰察布市三级2011年5月25日112 3045 乌兰察布市同立计算机技术有限责任公司乌兰察布市三级2011年5月19日113 3046 锡林浩特市石盾防盗门窗厂锡林浩特三级2010年3月8日114 3047 阿拉善盟金盾保安服务有限公司阿拉善盟三级2011年5月5日115 3048 赤峰英特电子科技有限公司赤峰市三级2011年5月5日116 3050 通辽市科信网络技术有限责任公司通辽市三级2011年6月8日117 3052 鄂尔多斯市地浩科工贸有限责任公司鄂尔多斯三级2011年5月12日118 3053 乌兰浩特市太阳洋电脑有限责任公司乌兰浩特三级2011年5月12日119 3054 呼伦贝尔市中联电脑科技有限责任公司呼伦贝尔三级2011年5月18日120 3055 海拉尔区智星电子技术有限责任公司呼伦贝尔三级2011年5月18日121 3057 赤峰市盛泰安防工程有限责任公司赤峰市三级2011年5月10日122 3058 乌兰浩特市万联电脑有限公司乌兰浩特三级2011年5月12日123 3060 内蒙古百特高新技术有限公司呼和浩特三级2011年5月9日124 3061 呼和浩特市三江元信息技术有限公司呼和浩特三级2011年5月9日125 3065 通辽安宝电子科技有限公司通辽市三级2011年6月8日126 3066 牙克石市冠森安防电子设备有限公司呼伦贝尔三级2011年5月18日127 3067 满洲里先行电子技术有限公司呼伦贝尔三级2011年5月18日128 3069 通辽市格致电子工程有限公司通辽市三级2011年6月8日129 3070 阿拉善盟龙信信息产业有限责任公司阿拉善盟三级2011年5月5日130 3071 呼伦贝尔市钰丽数码产品销售有限公司呼伦贝尔三级2011年5月18日131 3072 通辽市警安智能电子监控有限公司通辽市三级2011年5月25日132 3073 呼伦贝尔市博涛电子产品销售有限公司呼伦贝尔三级2011年5月18日133 3075 呼和浩特市益通科技开发有限责任公司呼和浩特三级2011年6月14日134 3080 赤峰市大城安防工程有限公司赤峰市三级2011年5月10日135 3081 乌海市佳讯电子器材有限责任公司乌海市三级2011年5月5日136 3083 呼和浩特市点击科技有限责任公司呼和浩特三级2011年6月8日137 3085 乌兰浩特市广源室内装饰工程有限责任公司乌兰浩特三级2011年5月12日138 3090 牙克石市凯博电子有限公司呼伦贝尔三级2009年1月13日139 3094 锡林浩特市联创信达科技有限公司锡林浩特三级2009年2月12日140 3095 乌兰察布市无忧安防工程有限公司乌兰察布市三级2009年2月16日141 3097 内蒙古傲林电子有限责任公司呼和浩特三级2009年3月24日142 3098 通辽金星电子技术有限公司通辽市三级2009年3月24日143 3099 赤峰蓝光电子工程有限责任公司赤峰市三级2009年3月24日144 3101 内蒙古广播电视器材公司呼和浩特三级2009年3月25日145 3105 中国联合网络通信有限公司呼伦贝尔市分公司呼伦贝尔三级2009年4月23日146 3106 内蒙古赛特瑞电子工贸有限责任公司呼和浩特三级2009年5月5日147 3107 内蒙古易博信息技术工程有限公司呼和浩特三级2009年5月11日148 3110 鄂尔多斯市神保公共安全网络有限公司鄂尔多斯三级2009年6月1日149 3112 赤峰众志商贸有限责任公司赤峰市三级2009年6月4日150 3113 内蒙古紫旭科贸有限公司呼和浩特三级2009年6月8日151 3115 北京京东日盛科技有限责任公司准格尔旗分公司鄂尔多斯三级2010年7月28日152 3116 鄂托克前旗原野商贸有限责任公司鄂尔多斯三级2011年4月21日153 3117 呼和浩特市易能信息技术有限公司呼和浩特三级2009年6月26日154 3121 牙克石市雅泰装饰设计室呼伦贝尔三级2009年7月10日155 3122 包头市润通网络安装有限责任公司包头市三级2009年7月22日156 3124 呼和浩特市北伟科技有限公司呼和浩特三级2009年8月19日157 3126 内蒙古广播电视信息网络有限公司乌兰察布分公司乌兰察布三级2009年8月28日158 3130 兴安盟邦科电子科技有限责任公司乌兰浩特三级2009年10月19日159 3131 乌兰浩特市龙腾盛世商贸有限公司乌兰浩特三级2009年11月6日160 3135 赤峰市峰之泰商贸有限公司赤峰市三级2009年11月26日161 3137 通辽市科龙达安防有限责任公司通辽市三级2009年12月2日162 3141 呼和浩特市奇虎安防科技有限公司呼和浩特三级2009年12月22日163 3142 阿拉善左旗蚁王电子科技有限责任公司阿拉善盟三级2009年12月23日164 3145 锡林郭勒盟视杰科技有限责任公司锡林浩特三级2010年3月8日165 3147 鄂尔多斯市创佳电子有限责任公司鄂尔多斯三级2010年4月8日166 3148 赤峰惠通网络工程有限公司赤峰市三级2010年4月16日167 3149 牙克石市龙凤建筑装饰有限公司呼伦贝尔三级2010年4月26日168 3150 乌兰浩特市志强电子有限公司乌兰浩特三级2010年4月26日169 3151 呼和浩特市宇信科贸有限公司呼和浩特三级2010年4月30日170 3152 鄂尔多斯市和祥科技有限责任公司鄂尔多斯三级20110年5月4日171 3154 锡林郭勒盟鑫泰科技发展有限责任公司锡林浩特三级2010年5月25日172 3155 呼伦贝尔鸿雁信息技术开发有限公司呼伦贝尔三级2010年5月25日173 3157 呼和浩特市惠强科技有限责任公司呼和浩特三级2010年6月3日174 3158 兴安盟盛泰智能软件工有限公司乌兰浩特三级2010年6月7日175 3160 包头市雷蒙科技有限公司包头市三级2010年6月8日176 3162 锡林郭勒盟金宇科贸有限责任公司锡林郭勒三级2010年6月11日177 3163 赤峰天久博雅电子有限公司赤峰市三级2010年6月21日178 3164 鄂托克前旗卓越安防有限责任公司鄂尔多斯三级2010年6月21日179 3165 牙克石市瑞远安防电子器材有限公司呼伦贝尔三级2009年6月18日180 3166 内蒙古鼎明网络科技有限公司呼和浩特三级2010年7月16日180 3167 锡林浩特市天地伟业科技有限公司锡林浩特三级2010年8月4日181 3168 兴安盟慧能电子科技开发有限公司乌兰浩特三级2010年8月13日182 3172 锡林郭勒盟智晖方鼎科技有限责任公司锡林郭勒三级2010年9月14日183 3180 乌海市建业电子科技有限责任公司乌海市三级2010年11月11日184 3185 内蒙古鸿宇电子科技有限公司呼和浩特三级2010年12月2日185 3186 锡林郭勒盟金盾保安服务有限公司锡林郭勒三级2010年12月7日186 3189 内蒙古美中东生工程有限公司呼和浩特三级2010年12月22日187 3190 乌兰浩特市大洋信达电脑科技有限公司乌兰浩特三级2011年1月5日188 3191 赤峰琨龙电脑有限责任公司赤峰三级2011年1月5日189 3192 赤峰中凌电脑科技有限公司赤峰三级2011年1月5日190 3193 包头市兴唐网络科技有限责任公司包头市三级2011年1月12日191 3194 呼和浩特市珑安网络科技有限公司呼和浩特三级2011年1月12日192 3196 内蒙古友德信息技术有限公司呼和浩特三级2011年1月14日193 3197 呼和浩特市祥宝科技有限责任公司呼和浩特三级2011年1月21日194 3198 呼伦贝尔市保安服务公司海拉尔保安服务中心呼伦贝尔三级2011年2月16日195 3199 乌审旗八方安防有限责任公司鄂尔多斯三级2011年2月24日196 3200 内蒙古博扬数码科技有限公司呼和浩特三级2011年3月9日197 3201 内蒙古大江机电科技有限公司赤峰市三级2011年3月28日198 3202 鄂尔多斯市东胜区金盾电子通讯有限公司鄂尔多斯三级2011年3月30日199 3203 赤峰市超凡电子工程有限责任公司赤峰市三级2011年4月1日200 3204 乌海市翔通商贸有限公司乌海市三级2011年4月27日201 3205 赤峰金域安防工程有限责任公司赤峰市三级2011年4月27日202 3206 赤峰拓飞电子有限责任公司赤峰市三级2011年4月27日203 3207 呼伦贝尔蒙马农牧科技发展有限公司呼伦贝尔三级2011年5月5日204 3208 鄂尔多斯市杰频电子网络科技有限公司鄂尔多斯三级2011年5月9日205 3209 鄂尔多斯市五星电子有限责任公司鄂尔多斯三级2011年5月17日206 3210 呼和浩特市瑞融科技有限责任公司呼和浩特三级2011年5月18日207 3211 呼和浩特市泰鼎科技有限责任公司呼和浩特三级2011年5月18日208 3212 中国联合网络通信有限公司乌海市分公司乌海市三级2011年6月23日209 3213 赤峰市克旗科海电脑有限责任公司赤峰市三级2011年6月28日210 3214 阿鲁科尔沁旗保安服务公司赤峰市三级2011年6月28日211 3215 呼和浩特市星网科技有限公司呼和浩特三级2011年7月11日212 3216 呼和浩特市德大科技有限责任公司呼和浩特三级2011年7月11日213 3217 赤峰金盾科技有限公司赤峰市三级2011年7月12日214 3218 内蒙古宏晟网络科技有限公司呼和浩特三级2011年7月14日215 3219 扎兰屯市讯捷安防有限公司呼伦贝尔三级2011年7月14日216 3220 内蒙古智恒玮业电子科技有限公司呼和浩特三级2011年7月15日217 3221 赤峰安泰科技有限责任公司赤峰市三级2011年7月27日218 3222 乌拉盖管理区安创电子产品销售有限公司锡林浩特三级2011年7月27日219 3223 呼和浩特市鸿恩网络科技有限公司呼和浩特三级2011年7月28日220 3224 西乌珠穆沁旗翼翔科技商贸有限责任公司锡林浩特三级2011年8月1日221 3225 内蒙古证联信息技术有限责任公司呼和浩特三级2011年8月10日222 4001 赤峰市民安消防安防工程有限公司赤峰市待定级2007年8月31日223 4002 通辽市海纳电子有限责任公司通辽市待定级2011年5月12日224 4003 通辽市联众电子商贸有限公司通辽市待定级2011年5月12日225 4004 通辽市百联信达电子产品有限公司通辽市待定级2011年5月12日226 4007 乌海市佳博科技有限责任公司乌海市待定级2011年5月5日227 4008 赤峰市瑞澳圣川科贸有限责任公司赤峰待定级2011年5月25日228 4013 赤峰市百科博安防工程有限公司赤峰市待定级2011年5月10日229 4014 霍林郭勒市宏逸电子产品销售有限责任公司通辽市待定级2009年3月24日230 4016 乌兰察布市新爱特电子有限责任公司乌兰察布市待定级2009年4月23日231 4017 霍林郭勒市平安电子产品销售有限公司通辽市待定级2011年1月12日232 4020 科左后旗升达安防科技工程有限公司通辽市待定级2009年6月10日233 4023 呼和浩特市民众安防工程有限责任公司呼和浩特待定级2009年6月26日234 4026 呼和浩特市厚德安防装饰工程有限公司呼和浩特待定级2009年9月11日235 4028 扎鲁特旗通安电子科贸有限责任公司通辽待定级2009年11月19日236 4032 库伦旗溢洋安防电子科技有限责任公司通辽待定级2010年2月5日237 4036 鄂尔多斯市东胜区金邦虎电子有限责任公司鄂尔多斯待定级2010年10月11日238 4037 乌海市猎鹰智能公共安全服务有限责任公司乌海市待定级2010年11月12日239 4039 鄂尔多斯市斯科特电子有限责任公司鄂尔多斯待定级2011年1月5日240 4040 巴彦淖尔市远大科技有限公司巴彦淖尔待定级2011年2月25日241 4041 通辽正龙电子科技有限责任公司通辽待定级2011年6月9日242 2010002 北京航卫信诚高新技术有限公司备案2011年6月10日243 2010008 湖北泰信科技信息发展有限责任公司备案2010年8月13日244 2010019 北京铱星世纪数字应用开发有限责任公司备案2010年12月29日245 2011004 山东利德金融电子器具有限公司备案2011年4月12日246 2011005 中国电信集团系统集成有限责任公司备案2011年4月12日247 2011006 银江股份有限公司备案2011年4月15日248 2011007 深圳市迪威视讯股份有限公司备案2011年4月20日249 2011009 北京金万通电子技术发展有限公司备案2011年7月25日250 2011010 宁夏金舟创伟电子技术有限公司备案2011年5月10日251 2011011 天津市电视技术研究所备案2011年5月11日252 2011012 河北威泰消防安全工程有限责任公司备案2011年5月17日253 2011014 深圳市通宝莱科技有限公司备案2011年6月15日254 2011016 保定市天河电子技术有限公司备案2011年6月28日255 2011017 北京世纪之星应用技术研究中心备案2011年6月29日256 2011018 扬州豪纬道路工程有限公司备案2011年7月6日257 2011019 西安交大捷普网络科技有限公司备案2011年8月11日。
安防一级资质人员资格【一、安防一级资质概述】安防一级资质,顾名思义,是指在安防领域达到一定实力和规模的企事业单位所获得的最高资质等级。
获得一级资质的单位具备较强的技术实力、设备设施完善、管理体系健全等特点,可以在安防项目竞标中具有明显的竞争优势。
在我国,安防行业日益受到重视,市场需求不断扩大,安防一级资质成为行业内企业追求的目标。
【二、安防一级资质人员资格要求】1.基本素质要求:安防一级资质人员应具备良好的道德品质,遵纪守法,具备较强的责任心和敬业精神。
2.专业技能要求:安防一级资质人员需要具备相关专业知识和技能,如电子技术、通信技术、计算机技术等,同时要熟悉各类安防设备的操作和维护。
3.工作经验要求:安防一级资质人员应具备一定的安防项目实施经验,能独立承担项目任务,具备一定的组织协调能力。
4.继续教育要求:安防一级资质人员需要不断更新知识,提高自身素质,参加行业培训和考试,取得相关证书,以满足行业发展和市场需求。
【三、安防一级资质人员资格认证流程】安防一级资质人员资格认证流程主要包括以下几个环节:1.报名:符合条件的个人向相关部门报名,提交相关材料。
2.培训:报名后,相关部门组织培训,培训内容包括政策法规、专业知识、实际操作等。
3.考试:培训结束后,组织考试,考试内容包括理论知识和实际操作两部分。
4.审核:考试合格后,相关部门对个人进行审核,审核通过后,颁发安防一级资质证书。
5.定期复核:安防一级资质证书有效期为一定年限,有效期满后,需重新进行认证。
【四、安防一级资质在我国的意义和前景】安防一级资质在我国具有重要意义,它代表了安防行业的较高水平,对于提升整个行业的发展质量和水平具有积极作用。
随着我国经济社会的快速发展,人们对安全的需求日益增长,安防行业市场前景广阔。
拥有一级资质的人员在求职、晋升等方面具有明显优势,同时,一级资质企业也在项目竞标、政策支持等方面享有优惠政策。
总之,安防一级资质人员资格在我国具有广泛的需求和应用价值。
序号单位名称资质等级证书编号批准(备案)日期1万达信息股份有限公司 一级 Z1310020040003 2008-04-262广州华南资讯科技有限公司 一级 Z1440020040002 2008-04-263信雅达系统工程股份有限公司一级 Z1330020040004 2008-04-264福建榕基软件股份有限公司 一级 Z1350020040001 2008-04-26 5深圳达实智能股份有限公司 一级 Z1440320060495 2006-11-286深圳海联讯科技股份有限公司一级 Z1440320060496 2006-11-287北京联信永益信息技术有限公司 一级 Z1110020060497 2006-11-288北京合力金桥系统集成技术有限公司 一级 Z1110020060498 2006-11-289北京直真节点技术开发有限公司 一级 Z1110020060499 2006-11-2810联通系统集成有限公司 一级 Z1110020060500 2006-11-28 11中盈优创资讯科技有限公司 一级 Z1110020060501 2006-11-2812北京能通万维网络科技有限公司 一级 Z1110020060502 2006-11-2813华迪计算机集团有限公司 一级 Z1110020060503 2006-11-2814国际商业机器(中国)有限公司 一级 Z1310020060504 2006-11-2815上海华腾软件系统有限公司 一级 Z1310020060506 2006-11-28 16湖南创发科技有限责任公司 一级 Z1430020060507 2006-11-28 17易泰达科技有限公司 一级 Z1120020060508 2006-11-2818重庆南华中天信息技术有限公司 一级 Z1500020060509 2006-11-2819上海贝尔软件有限公司 一级 Z1310020060505 2006-11-28 20贝谷科技股份有限公司 一级 Z1360020070518 2007-11-1121重庆中讯亚太信息技术有限公司 一级 Z1500020070519 2007-11-1122浙江建达科技股份有限公司 一级 Z1330020070520 2007-11-1123北京中科大洋科技发展股份有限公司 一级 Z1110020070521 2007-11-1124北京高伟达软件技术有限公司一级 Z1110020070522 2007-11-1125兴唐通信科技有限公司 一级 Z1110020070523 2007-11-1126北京宇信鸿泰科技发展有限公司 一级 Z1110020070524 2007-11-1127北京环亚时代信息技术有限公司 一级 Z1110020070525 2007-11-1128中信国安信息科技有限公司 一级 Z1110020070526 2007-11-1129北京先进数通信息技术有限公司 一级 Z1110020070527 2007-11-1130天津市中环系统工程有限责任公司 一级 Z1120020070528 2007-11-1131启明信息技术股份有限公司 一级 Z1220020070529 2007-11-11 32重庆亚德科技股份有限公司 一级 Z1500020070530 2007-11-1133攀钢集团信息工程技术有限公司 一级 Z1510020070531 2007-11-1134武汉钢铁工程技术集团自动化有限责任公司 一级 Z1420020070532 2007-11-1135成都索贝数码科技股份有限公司 一级 Z1510020070533 2007-11-1136湖南科创信息技术股份有限公司 一级 Z1430020070534 2007-11-1137深圳键桥通讯技术股份有限公司 一级 Z1440320070535 2007-11-1138深圳市赛为智能股份有限公司一级 Z1440320070536 2007-11-1139福建南威软件工程发展有限公司 一级 Z1350020070537 2007-11-1140福建新大陆电脑股份有限公司一级 Z1350020040023 2008-04-2641北京华胜天成科技股份有限公司 一级 Z1110020040024 2008-04-2642广州广电运通金融电子股份有限公司 一级 Z1440020080209 2008-06-1643国网信通亿力科技股份有限公司 一级 Z1350220080210 2008-06-1644四川格瑞特科技有限公司 一级 Z1510020080211 2008-06-16 45北京华夏电通科技有限公司 一级 Z1110020080212 2008-06-16 46中国电力科学研究院 一级 Z1110020080213 2008-06-1647北京飞利信电子技术有限公司一级 Z1110020080214 2008-06-1648北京网鼎系统集成有限责任公司 一级 Z1110020080215 2008-06-1649国富通信息技术发展有限公司一级 Z1110020080216 2008-06-1650北京冠华宏鑫科技有限公司 一级 Z1110020080217 2008-06-16 51北京北大千方科技有限公司 一级 Z1110020080218 2008-06-1652卓望数码技术(深圳)有限公司 一级 Z1440320080219 2008-06-1653深圳市广宁实业有限公司 一级 Z1440320080220 2008-06-16 54江苏智运科技发展有限公司 一级 Z1320020080221 2008-06-1655四川川大智胜软件股份有限公司 一级 Z1510020080222 2008-06-1656江苏宏图高科技术开发有限公司 一级 Z1320020080223 2008-06-1657上海迪爱斯通信设备有限公司一级 Z1310020080224 2008-06-1658湖南湘邮科技股份有限公司 一级 Z1430020080225 2008-06-1659厦门柏事特信息科技有限公司一级 Z1350220080226 2008-06-1660河北普瑞电子有限公司 一级 Z1130020080227 2008-06-16 61浙大网新系统工程有限公司 一级 Z1330020080228 2008-06-16 62杭州创业软件股份有限公司 一级 Z1330020080229 2008-06-1663易联众信息技术股份有限公司一级 Z1350220080230 2008-06-1664重庆汉光电子工程有限责任公司 一级 Z1500020080231 2008-06-1665大唐软件技术股份有限公司 一级 Z1110020000005 2008-09-12 66太极计算机股份有限公司 一级 Z1110020000006 2008-09-12 67神州数码信息系统有限公司 一级 Z1110020000002 2008-09-1268长城计算机软件与系统有限公司 一级 Z1110020000003 2008-09-1269北京中软国际信息技术有限公司 一级 Z1110020000001 2008-09-1270山东中创软件工程股份有限公司 一级 Z1370020000009 2008-09-1271山东浪潮齐鲁软件产业股份有限公司 一级 Z1370020000008 2008-09-1272东软集团股份有限公司 一级 Z1210020000007 2008-09-12 73天津海泰数码科技有限公司 一级 Z1120020080535 2008-11-1874东南融通(中国)系统工程有限公司 一级 Z1350220080536 2008-11-1875上海交技发展股份有限公司 一级 Z1310020080537 2008-11-1876内蒙古万德系统集成有限责任公司 一级 Z1150020080538 2008-11-1877安徽讯飞智元信息科技有限公司 一级 Z1340020080539 2008-11-1878河北全通通信有限公司 一级 Z1130020080540 2008-11-18 79福建恒锋电子有限公司 一级 Z1350020080541 2008-11-18 80广东亿迅科技有限公司 一级 Z1440020080543 2008-11-1881广州市友迪资讯科技有限公司一级 Z1440020080544 2008-11-1882新太科技股份有限公司 一级 Z1440020080545 2008-11-18 83山西奥科新得科贸有限公司 一级 Z1140020080546 2008-11-18 84武汉兴得科技有限公司 一级 Z1420020080547 2008-11-1885深圳市智宇实业发展有限公司一级 Z1440320080548 2008-11-1886高新现代智能系统股份有限公司 一级 Z1440320080549 2008-11-1887深圳市东深电子股份有限公司一级 Z1440320080550 2008-11-1888深圳中航电脑系统工程有限公司 一级 Z1440320080551 2008-11-1889北京神州新桥科技有限公司 一级 Z1110020080552 2008-11-18 90北京直真视通科技有限公司 一级 Z1110020080553 2008-11-18 91北京东方正通科技有限公司 一级 Z1110020080554 2008-11-1892北京中电同业科技发展有限公司 一级 Z1110020080555 2008-11-1893北京瑞华赢科技发展有限公司一级 Z1110020080556 2008-11-1894北京英孚泰克信息技术有限公司 一级 Z1110020080557 2008-11-1895北京中科金财科技股份有限公司 一级 Z1110020080558 2008-11-1896北京神州数码思特奇信息技术股份有限公司 一级 Z1110020080559 2008-11-1897同方威视技术股份有限公司 一级 Z1110020080560 2008-11-1898中铁信弘远(北京)软件科技有限责任公司 一级 Z1110020040211 2008-12-0699赛尔网络有限公司 一级 Z1110020040212 2008-12-06100深圳市金证科技股份有限公司一级 Z1440320040214 2008-12-06101中程科技有限公司 一级 Z1330020080542 2008-11-18102北京紫光华宇软件股份有限公司 一级 Z1110020050040 2009-04-11103华为技术服务有限公司 一级 Z1130020040213 2008-12-06 104同方股份有限公司 一级 Z1110020010001 2009-04-11105北京和利时系统工程有限公司一级 Z1110020010002 2009-04-11106北京方正奥德计算机系统有限公司 一级 Z1110020010003 2009-04-11107紫光软件系统有限公司 一级 Z1110020010006 2009-04-11 108北京朗新信息系统有限公司 一级 Z1110020010007 2009-04-11 109恒生电子股份有限公司 一级 Z1330020010004 2009-04-11110蓝盾信息安全技术股份有限公司 一级 Z1440020090391 2009-06-22111广州市铂亚计算机有限公司 一级 Z1440020090392 2009-06-22 112河北万方中天科技有限公司 一级 Z1130020090393 2009-06-22113中国电子科技集团公司第二十二研究所天博信息系统工程公司 一级 Z1370220090394 2009-06-22114江西汇天科技有限公司 一级 Z1360020090395 2009-06-22 115重庆市通信建设有限公司 一级 Z1500020090396 2009-06-22 116北京中盾安全技术开发公司 一级 Z1110020090398 2009-06-22117中国民航信息网络股份有限公司 一级 Z1110020090399 2009-06-22118北京中电飞华通信股份有限公司 一级 Z1110020090400 2009-06-22119先锋软件股份有限公司 一级 Z1360020090401 2009-06-22120广州市金税信息系统集成有限公司 一级 Z1440020090402 2009-06-22121福建长威网络科技有限公司 一级 Z1350020090403 2009-06-22122沈阳东软系统集成工程有限公司 一级 Z1210020090404 2009-06-22123太原罗克佳华工业有限公司 一级 Z1140020090405 2009-06-22124南京东大智能化系统有限公司一级 Z1320020090406 2009-06-22125国电南京自动化股份有限公司一级 Z1320020090407 2009-06-22126郑州威科姆科技股份有限公司一级 Z1410020090408 2009-06-22127东方电子股份有限公司 一级 Z1370020090409 2009-06-22128合肥永信信息产业股份有限公司 一级 Z1340020090410 2009-06-22129深圳市润安科技发展有限公司一级 Z1440320090411 2009-06-22130西安未来国际软件有限公司 一级 Z1610020010114 2009-10-08 131长天科技有限公司 一级 Z1110020010105 2009-10-08 132首都信息发展股份有限公司 一级 Z1110020010106 2009-10-08 133北京鼎天软件有限公司 一级 Z1110020010113 2009-10-08 134中科软科技股份有限公司 一级 Z1110020010102 2009-10-08 135东华软件股份公司 一级 Z1110020010104 2009-10-08 136湖南创智软件科技有限公司 一级 Z1430020010110 2009-10-08 137江苏金智科技股份有限公司 一级 Z1320020010108 2009-10-08 138天津天地伟业科技有限公司 一级 Z1120020010107 2009-10-08 139广州杰赛科技股份有限公司 一级 Z1440020010111 2009-10-08140公司 一级 Z1210220050234 2009-10-08141河北远东通信系统工程有限公司 一级 Z1130020050227 2009-10-08142思创数码科技股份有限公司 一级 Z1360020050230 2009-10-08 143上海华讯网络系统有限公司 一级 Z1310020050225 2009-10-08144深圳市南凌科技发展有限公司一级 Z1440320050236 2009-10-08145青岛海信网络科技股份有限公司 一级 Z1370220050235 2009-10-08146长春鸿达信息科技股份有限公司 一级 Z1220020050228 2009-10-08147北京宇信易诚科技有限公司 一级 Z1110020050224 2009-10-08 148泰豪软件股份有限公司 一级 Z1360020050231 2009-10-08 149拓维信息系统股份有限公司 一级 Z1430020050232 2009-10-08 150联创科技(南京)有限公司 一级 Z1320020050229 2009-10-08 151广州从兴电子开发有限公司 一级 Z1440020050233 2009-10-08152深圳市科皓信息技术有限公司一级 Z1440320090893 2009-12-21153安徽四创电子股份有限公司 一级 Z1340020090894 2009-12-21154深圳市金宏威实业发展有限公司 一级 Z1440320090895 2009-12-21155安徽皖通科技股份有限公司 一级 Z1340020090896 2009-12-21 156易程科技股份有限公司 一级 Z1110020090897 2009-12-21 157上海熙菱信息技术有限公司 一级 Z1310020090898 2009-12-21 158河南九洲计算机有限公司 一级 Z1410020090899 2009-12-21159内蒙古灵奕高科技(集团)有限责任公司 一级 Z1150020090900 2009-12-21160江苏大为科技股份有限公司 一级 Z1320020090901 2009-12-21 161北京同天科技有限公司 一级 Z1110020090902 2009-12-21 162中国通广电子公司 一级 Z1110020090903 2009-12-21 163紫光捷通科技股份有限公司 一级 Z1110020090904 2009-12-21164广州市新中天科贸实业有限公司 一级 Z1440020090905 2009-12-21165广州市大洋信息技术有限公司一级 Z1440020090906 2009-12-21166领航动力信息系统有限公司 一级 Z1420020090907 2009-12-21 167深圳市创捷科技有限公司 一级 Z1440320090908 2009-12-21168云南电信公众信息产业有限公司 一级 Z1530020090909 2009-12-21169福建邮科通信技术有限公司 一级 Z1350020090910 2009-12-21 170航天信息股份有限公司 一级 Z1110020020001 2010-02-06171北京国铁华晨通信信息技术有限公司 一级 Z1110020020003 2010-02-06172联想网御科技(北京)有限公司 一级 Z1110020020004 2010-02-06173北京市太极华青信息系统有限公司 一级 Z1110020020005 2010-02-06174中国电信集团系统集成有限责任公司 一级 Z1110020020006 2010-02-06175亿阳信通股份有限公司 一级 Z1230020020008 2010-02-06 176上海宝信软件股份有限公司 一级 Z1310020020007 2010-02-06177司 一级 Z1330020020009 2010-02-06178云南南天电子信息产业股份有限公司 一级 Z1530020020010 2010-02-06179中国惠普有限公司 一级 Z1110020030001 2010-02-06 180新晨科技股份有限公司 一级 Z1110020030002 2010-02-06 181广东互维科技有限公司 一级 Z1440020070241 2010-06-11 182广东省信息工程有限公司 一级 Z1440020070242 2010-06-11 183银江股份有限公司 一级 Z1330020070244 2010-06-11184科大恒星电子商务技术有限公司 一级 Z1340020070245 2010-06-11185福建富士通信息软件有限公司一级 Z1350020070246 2010-06-11186深圳市天维尔通讯技术有限公司 一级 Z1440320070247 2010-06-11187广州北大明天资源科技发展有限公司 一级 Z1440020070248 2010-06-11188太原理工天成电子信息技术有限公司 一级 Z1140020070249 2010-06-11189长春吉大正元信息技术股份有限公司 一级 Z1220020070250 2010-06-11190内蒙古证联信息技术有限责任公司 一级 Z1150020070253 2010-06-11191甘肃万维信息技术有限责任公司 一级 Z1620020070254 2010-06-11192重庆易联数码科技股份有限公司 一级 Z1500020070255 2010-06-11193北京大唐高鸿数据网络技术有限公司 一级 Z1110020070256 2010-06-11194北京神州泰岳软件股份有限公司 一级 Z1110020070257 2010-06-11195北京世源希达工程技术公司 一级 Z1110020070258 2010-06-11196北京赛迪时代信息产业股份有限公司 一级 Z1110020070259 2010-06-11197赞华(北京)电子系统有限公司 一级 Z1110020070260 2010-06-11198京北方科技股份有限公司 一级 Z1110020070261 2010-06-11199石化盈科信息技术有限责任公司 一级 Z1110020060255 2010-06-11200北京中电兴发科技有限公司 一级 Z1110020060257 2010-06-11 201北京汉铭信通科技有限公司 一级 Z1110020060258 2010-06-11202北京全路通信信号研究设计院一级 Z1110020060259 2010-06-11203北京北控电信通信息技术有限公司 一级 Z1110020060261 2010-06-11204方欣科技有限公司 一级 Z1440020060262 2010-06-11205山西同昌信息技术实业有限公司 一级 Z1140020060263 2010-06-11206深圳市脉山龙信息技术股份有限公司 一级 Z1440320060265 2010-06-11207杭州新世纪信息技术股份有限公司 一级 Z1330020060267 2010-06-11208上海理想信息产业(集团)有限公司 一级 Z1310020060268 2010-06-11209成都三零盛安信息系统有限公司 一级 Z1510020060266 2010-06-11210北京航天长峰科技工业集团有限公司 一级 Z1110020100252 2010-07-30211北京四方继保自动化股份有限公司 一级 Z1110020100253 2010-07-30212中国普天信息产业股份有限公司 一级 Z1110020100254 2010-07-30213新奥特硅谷视频技术有限责任公司 一级 Z1110020100255 2010-07-30214河南辉煌科技股份有限公司 一级 Z1410020100256 2010-07-30 215南京恩瑞特实业有限公司 一级 Z1320020100257 2010-07-30 216南京熊猫信息产业有限公司 一级 Z1320020100258 2010-07-30 217南京擎天科技有限公司 一级 Z1320020100259 2010-07-30218上海延华智能科技股份有限公司 一级 Z1310020100260 2010-07-30219深圳天源迪科信息技术股份有限公司 一级 Z1440320100261 2010-07-30220四川创立信息科技有限责任公司 一级 Z1510020100262 2010-07-30221厦门精图信息技术有限公司 一级 Z1350220100263 2010-07-30222云南省通信产业服务有限公司一级 Z1530020100264 2010-07-30223浙江省公众信息产业有限公司一级 Z1330020100265 2010-07-30224汉鼎信息科技股份有限公司 一级 Z1330020100266 2010-07-30 225税友软件集团股份有限公司 一级 Z1330020100267 2010-07-30226中国软件与技术服务股份有限公司 一级 Z1110020020290 2010-09-08227北京大恒创新技术有限公司 一级 Z1110020020296 2010-09-08 228金鹏电子信息机器有限公司 一级 Z1440020020301 2010-09-08229哈尔滨工业大学软件工程有限公司 一级 Z1230020020300 2010-09-08230武汉烽火信息集成技术有限公司 一级 Z1420020030302 2010-09-08231国防科学技术大学信息工程研究所 一级 Z1430020020289 2010-09-08232南京南瑞集团公司 一级 Z1320020020297 2010-09-08233南京中兴软创科技股份有限公司 一级 Z1320020030303 2010-09-08234南京莱斯信息技术股份有限公司 一级 Z1320020020292 2010-09-08235积成电子股份有限公司 一级 Z1370020020303 2010-09-08236深圳市紫金支点技术股份有限公司 一级 Z1440320020302 2010-09-08237四川久远银海软件股份有限公司 一级 Z1510020020298 2010-09-08238快威科技集团有限公司 一级 Z1330020020295 2010-09-08服务大厅 信息查工业和信息化部 政府网站询:8080/datainfo/首次获证日期所在省市2004-04-26 上海市2004-04-26 广东省2004-04-26 浙江省2004-04-26 福建省2006-11-28 深圳市2006-11-28 深圳市2006-11-28 北京市2006-11-28 北京市2006-11-28 北京市2006-11-28 北京市2006-11-28 北京市2006-11-28 北京市2006-11-28 北京市2006-11-28 上海市2006-11-28 上海市2006-11-28 湖南省2006-11-28 天津市2006-11-28 重庆市2006-11-28 上海市2007-11-11 江西省2007-11-11 重庆市2007-11-11 浙江省2007-11-11 北京市2007-11-11 北京市2007-11-11 北京市2007-11-11 北京市2007-11-11 北京市2007-11-11 北京市2007-11-11 北京市2007-11-11 天津市2007-11-11 吉林省2007-11-11 重庆市2007-11-11 四川省2007-11-11 湖北省2007-11-11 四川省2007-11-11 湖南省 2007-11-11 深圳市 2007-11-11 深圳市 2007-11-11 福建省 2004-06-07 福建省 2004-06-07 北京市 2008-06-16 广东省2008-06-16 厦门市 2008-06-16 四川省 2008-06-16 北京市 2008-06-16 北京市2008-06-16 北京市 2008-06-16 北京市2008-06-16 北京市 2008-06-16 北京市 2008-06-16 北京市2008-06-16 深圳市 2008-06-16 深圳市 2008-06-16 江苏省2008-06-16 四川省 2008-06-16 江苏省2008-06-16 上海市 2008-06-16 湖南省2008-06-16 厦门市 2008-06-16 河北省 2008-06-16 浙江省 2008-06-16 浙江省2008-06-16 厦门市2008-06-16 重庆市 2000-09-12 北京市 2000-09-12 北京市 2000-09-12 北京市2000-09-12 北京市2000-09-12 北京市2000-09-12 山东省2000-09-12 山东省 2000-09-12 辽宁省 2008-11-18 天津市2008-11-18 厦门市 2008-11-18 上海市2008-11-18 内蒙古2008-11-18 安徽省 2008-11-18 河北省 2008-11-18 福建省 2008-11-18 广东省2008-11-18 广东省 2008-11-18 广东省 2008-11-18 山西省 2008-11-18 湖北省2008-11-18 深圳市 2008-11-18 深圳市 2008-11-18 深圳市2008-11-18 深圳市 2008-11-18 北京市 2008-11-18 北京市 2008-11-18 北京市2008-11-18 北京市 2008-11-18 北京市 2008-11-18 北京市 2008-11-18 北京市2008-11-18 北京市 2008-11-18 北京市2004-12-06 北京市 2004-12-06 北京市2004-12-06 深圳市 2008-11-18 浙江省2005-04-11 北京市2004-12-06 河北省 2001-05-10 北京市2001-05-10 北京市2001-05-10 北京市 2001-05-10 北京市 2001-05-10 北京市 2001-05-10 浙江省2009-06-22 广东省 2009-06-22 广东省 2009-06-22 河北省2009-06-22 青岛市 2009-06-22 江西省 2009-06-22 重庆市 2009-06-22 北京市2009-06-22 北京市2009-06-22 北京市 2009-06-22 江西省2009-06-22 广东省 2009-06-22 福建省2009-06-22 辽宁省 2009-06-22 山西省2009-06-22 江苏省 2009-06-22 江苏省2009-06-22 河南省 2009-06-22 山东省2009-06-22 安徽省2009-06-22 深圳市 2001-10-08 陕西省 2001-10-08 北京市 2001-10-08 北京市 2001-10-08 北京市 2001-10-08 北京市 2001-10-08 北京市 2001-10-08 湖南省 2001-10-08 江苏省 2001-10-08 天津市 2001-10-08 广东省2005-11-01 大连市2005-11-01 河北省 2005-11-01 江西省 2005-11-01 上海市2005-11-01 深圳市 2005-11-01 青岛市2005-11-01 吉林省 2005-11-01 北京市 2005-11-01 江西省 2005-11-01 湖南省 2005-11-01 江苏省 2005-11-01 广东省2009-12-21 深圳市 2009-12-21 安徽省2009-12-21 深圳市 2009-12-21 安徽省 2009-12-21 北京市 2009-12-21 上海市 2009-12-21 河南省2009-12-21 内蒙古 2009-12-21 江苏省 2009-12-21 北京市 2009-12-21 北京市 2009-12-21 北京市2009-12-21 广东省2009-12-21 广东省 2009-12-21 湖北省 2009-12-21 深圳市2009-12-21 云南省 2009-12-21 福建省 2002-02-06 北京市2002-02-06 北京市 2002-02-06 北京市 2002-02-06 北京市2002-02-06 北京市 2002-02-06 黑龙江省 2002-02-06 上海市2002-02-06 浙江省2002-02-06 云南省 2003-02-18 北京市 2003-02-18 北京市 2007-06-11 广东省 2007-06-11 广东省 2007-06-11 浙江省2007-06-11 安徽省 2007-06-11 福建省 2007-06-11 深圳市 2007-06-11 广东省 2007-06-11 山西省 2007-06-11 吉林省 2007-06-11 内蒙古 2007-06-11 甘肃省 2007-06-11 重庆市 2007-06-11 北京市2007-06-11 北京市 2007-06-11 北京市2007-06-11 北京市2007-06-11 北京市 2007-06-11 北京市2006-07-27 北京市 2006-07-27 北京市 2006-07-27 北京市2006-07-27 北京市2006-07-27 北京市 2006-07-27 广东省2006-07-27 山西省 2006-07-27 深圳市 2006-07-27 浙江省 2006-07-27 上海市2006-07-27 四川省2010-07-30 北京市 2010-07-30 北京市 2010-07-30 北京市2010-07-30 北京市 2010-07-30 河南省 2010-07-30 江苏省 2010-07-30 江苏省 2010-07-30 江苏省2010-07-30 上海市 2010-07-30 深圳市2010-07-30 四川省 2010-07-30 厦门市2010-07-30 云南省2010-07-30 浙江省 2010-07-30 浙江省 2010-07-30 浙江省2002-09-12 北京市 2002-09-12 北京市 2002-09-12 广东省2002-09-12 黑龙江省 2003-09-08 湖北省2002-09-12 湖南省 2002-09-12 江苏省2003-09-08 江苏省2002-09-12 江苏省 2002-09-12 山东省2002-09-12 深圳市2002-09-12 四川省 2002-09-12 浙江省info/miit/miit_jczzqymd.jsp。
安防一级资质人员资格【最新版】目录1.安防一级资质的定义与重要性2.人员资格的要求与标准3.申请流程与注意事项4.对企业的意义与价值正文安防行业在我国具有举足轻重的地位,它关乎人民群众的生命财产安全,社会的和谐稳定。
随着科技的发展,安防行业不断壮大,行业标准和要求也越来越严格。
安防一级资质是衡量企业实力和专业水平的重要标志,而拥有一定数量的具备相关资格的人员则是企业获得一级资质的关键。
本文将围绕安防一级资质人员资格展开讨论,为大家提供详细的了解。
首先,我们来了解一下安防一级资质的定义与重要性。
安防一级资质是指在安防领域具有最高级别的专业资质,通常颁发给从事安防工程设计、施工、维修、系统集成等业务的企业。
一级资质是企业在安防市场中的“通行证”,它有助于提高企业的信誉和竞争力,增加业务范围,扩大市场份额。
同时,具备一级资质的企业在政府采购、项目招投标等方面享有优先权。
接下来,我们来探讨人员资格的要求与标准。
根据我国《安防工程企业资质等级标准》规定,安防一级资质企业需要具备一定数量的中级及以上职称的专业技术人员、项目经理、技术负责人等。
具体要求如下:1.企业技术负责人应具备相关专业高级职称,并有 5 年以上从事安防工程经验。
2.企业应具备 10 名以上具备中级职称的专业技术人员,其中至少 5人具备相关专业高级职称。
3.企业应具备 3 名以上取得项目经理资质证书的项目经理。
在满足人员资格要求后,企业还需按照规定的流程申请资质。
申请流程如下:1.企业向所在地设区的市级安防行政主管部门提交资质申请材料。
2.市级安防行政主管部门对企业提交的申请材料进行审查,并向省级安防行政主管部门报送审查意见。
3.省级安防行政主管部门对市级审查意见进行复核,作出批准或者不批准的决定。
在申请过程中,企业需注意以下事项:1.确保提交的材料真实、完整、规范。
2.及时了解政策变化,按照最新要求准备材料。
3.配合主管部门完成现场核查等工作。
1、一级从业单位(共计114家)证号单位名称法人代表联系电话1001上海市保安服务总公司韦忠义24025459 1002公安部第三研究所(上海国际技贸联合有限公司)余新民64378818 1003上海永安保全报警系统有限公司赵新春58901085 1004上海景鸿(集团)有限公司郁惠其64286789 1005上海市浦东新区保安服务总公司钱敏超22046121 1006上海公共安全器材厂(上海倍安实业有限公司)闵永林64436799 1007上海安保设备开发工程有限公司凌红61069797 1008上海因特尔安全技术工程公司孔庆珉65931500 1009上海铭通机电设备工程有限公司王苏辉54681828 1010上海精科电子有限公司马仁德64959090 1011上海格瑞特机电系统工程有限公司王衍德58735300 1012上海冠林银保科技有限公司倪锡高56559393 1013上海亨特电子有限公司傅子芬55058258 1014上海飞乐音响股份有限公司顾有根62710701 1015上海三盾智能系统有限公司张豪62462181 1017上海中原电子技术工程有限公司孟昭文63559858 1018上海金陵电子网络股份有限公司倪建平54261166 1019上海宝通汎球电子有限公司许又天52390150 1020上海文迅电子有限公司陈德兴64682525 1021上海平安报警系统有限公司史铭祥63600562 1022上海华盛技术开发有限公司袁斌52308791 1023上海安达泰报警网络服务有限公司杨伟汉61135588 1024上海富凯网络信息技术有限公司迟海62309705 1025上海银欣高新技术发展股份有限公司董怡新52340077 1026上海古北电子技术工程有限公司郑旭明62753948 1027上海JVC系统开发工程有限公司陶力54265583 1028上海恒生电讯工程有限公司张传谷63778975 1029上海广播电视技术研究所有限公司陈冈54262335 1030上海恒晨实业发展有限公司田作荣63539181 1031上海长臣智能系统有限公司吴锡宏62134966 1032上海保达安防工程有限公司朱晓萌65319955 1033上海昂泰兰捷尔信息科技股份有限公司李科61805890 1034上海新干线城市交通信息发展有限公司徐荣生62948982 1035上海西科姆电子安全有限公司佐佐木信行33848500 1036上海三吉电子工程有限公司赵微节64739193 1037上海集宝保安消防系统有限公司徐海良61611800 1038上海高诚智能科技有限公司樊永生542340711039上海延华智能科技股份有限公司胡黎明61818686 1040上海信业智能科技股份有限公司吴斌68795555 1041上海市保安服务总公司黄浦区一公司杨国华63735472 1042上海通成安保消防工程有限公司陈丽妹63807711 1043上海浚源智能科技有限公司袁江竹63018183 1044上海贝特科技工程有限公司瞿巍63900339 1045上海慧谷多高信息工程有限公司曹月良54429025 1046上海百科工贸有限公司郑立鹤63646615 1047上海松讯信息发展有限公司沈建中67708888 1048上海杰东系统工程控制有限公司陈建忠63121688 1050上海金桥信息工程有限公司朱树旺33674964 1051上海天跃科技有限公司赵坤65981999 1052上海联讯智能化工程有限公司李建超51350988 1053上海交大浩然科技股份有限公司盛焕烨62303322 1054上海市保安服务总公司徐汇区公司方水龙64820835 1055上海同企信息集成系统有限公司何志刚55213058 1056上海缘鑫安全技术工程有限公司余熙浩66529833 1057上海江森房屋设备有限公司张锋62825999 1058上海智信世创智能系统集成有限公司魏星66052061 1059上海欣艺信息技术有限公司张金标65439130 1060上海益邦网络通信工程有限公司汪宝明68406212 1061上海森源科技发展有限公司蒋磊51780572 1062上海壹杰信息技术有限公司黄震62818011 1063上海旗彤建设工程安装有限公司童绚62763781 1064上海市保安服务总公司南汇区公司唐文荣58028913 1065上海速飞智能科技有限公司胡行华62991218 1066上海同日自动化科技有限公司沈海洪62275079 1067上海自蓝智能化系统有限公司张健58606181 1068上海华宇电子科技有限公司邹国康62667796 1069上海擎天电子科技有限公司史建平51172895 1071上海广拓信息技术有限公司王雷51087788 1072上海晶晶安保设备工程有限公司张晶63667222 1073上海数字智能化系统工程有限公司郝爱国52656361 1074上海能泰智能科技有限公司郭善勇52659560 1075上海中电电子系统工程有限公司杨泽敏64678161 1076上海龙放建筑智能系统工程有限公司李雪刚51502700 1077上海宝路机电有限公司张庆权64473888 1078上海宸新智能系统集成有限公司何培新51035188 1079上海源和系统集成有限公司周志超68889618 1080上海数码通系统集成有限公司朱帆622909691081上海凌科安全防范科技有限公司程亮61611800 1082上海共联通信信息发展有限公司宓梨萍62571122 1083上海众挚电气工程有限公司杨建华34637501 1084上海星舟信息科技有限公司毛淑英51276789 1085上海卓奥智能电子科技有限公司胡阳54852678 1087上海宝康电子控制工程有限公司陆吉良51831088 1088上海锦江电子技术工程有限公司张成立51699438 1089上海保全利智能科技发展有限公司王秀玲58894999 1090上海市保安服务总公司静安区公司王志祥62311904 1091上海亿鹭通机电系统有限公司廖锴57743678 1092上海东方明珠信息技术有限公司林定祥65433163 1093上海宝盛智能系统有限公司蔡萍62270993 1095上海申源电子工程技术设备有限公司刘挺62785095 1097上海联欣科技发展有限公司薛冬梅63548457 1098上海欣源智能科技有限公司岳丽34225485 1099上海道肯奇科技有限公司庄春蕾62774275 1100上海申平安全防范工程有限公司黄金鑫65195088 1101上海安彼信电子科技有限公司方伟63157757 1102上海永高建设有限公司虞海生62676677 1103上海巨一科技发展有限公司王晓宏64677777 1104上海京珠科技发展工程有限公司巴京明62180011 1105上海泛远智能科技发展有限公司潘成功67635767 1106上海联讯广播电视科技有限公司杨咏明54958803 1107上海华东电脑股份有限公司林建民33953395 1108上海五爱科技发展有限公司龚成通51105908 1109上海祥华建设发展有限公司夏裕祥66355555 1110上海竞天科技股份有限公司朱建宾58731616 1111上海协利科技工程有限公司周铭64262288 1112上海腾天信息技术有限公司冯燮堃52415188 1113上海宽视网络电视有限公司朱建国64677700 1114上海深广电子科技有限公司陈军55381837 1115上海飞跃科技实业有限公司张建华64281339 1116上海电器科学研究院(集团)有限公司邹孟奇62574990 1117上海逢时科技有限公司杨淑敏64874955 1118上海申程技术设备开发工程有限公司程娅骅63355043 1119上海司信楼宇设备安装工程有限公司何龙飞69626487 1120上海建坤信息技术有限责任公司唐定富644103412、二级从业单位(共计113家)证号单位名称法人代表联系电话2001上海新世纪科技有限公司吴美宝53829911 2002上海灵石网络科技有限公司徐洪林54254971 2003上海市保安服务总公司嘉定区公司李乃民59903110 2004上海远顺信息科技有限公司丁学忠59622668 2005上海迪爱斯通信设备有限公司陈琦54526204 2006上海科联机电设备成套有限公司王方晨64832629 2007上海凯通实业有限公司窦向荣55097111 2008上海擎飞智能科技有限公司刘康64177079 2009上海红门智能系统有限公司吴捷62214584 2010上海保杰科技发展有限公司费云63366866 2011上海新皓工程技术有限公司丁国胜65909393 2012上海金腾安防科技有限公司丁传福65183678 2013上海伍创电气技术工程有限公司朱敏54640009 2014上海三意楼宇实业有限公司张福海63554828 2015上海信全锦业信息技术发展有限公司虞云镜62775200 2016上海轩群电子科技有限公司吴龙英61512355 2017上海同济学士信息系统有限公司林昌寿55955669 2018上海广电音视技术有限公司毛国强68738111 2019上海鑫竹成安防科技有限公司张永琴62310777 2020上海鸣安电子通讯有限公司王一鸣64623987 2021上海中安消防安全工程有限公司沈涛51002111 2022中国电子科技集团公司第二十三研究所唐正国65602311 2023上海住信智能系统有限公司董健54288902 2024上海威显盾安全防范科技有限公司徐方年57325788 2025上海铁路保安服务总公司周振邦63246848 2026上海成业科技工程有限公司邬承基62997684 2027上海新太阳实业有限公司姜文彪62515269 2028上海天航智能工程有限公司陶建64820688 2029上海威思特科技发展有限公司王卫国62049090 2030上海长达信息科技有限公司董信泰51780501 2031上海华垒系统集成有限公司姚慧人50589958 2032上海呈港安全防范系统有限公司沈晨宇58614756 2033上海安元网络科技工程有限公司王锐51610777 2034上海侃荣实业有限公司汤云丽65399905 2036上海长江计算机信息技术有限公司陈钢62474300 2038上海进祯建筑智能化工程有限公司陈建华58683078 2039上海巍琪电子系统有限公司王世杰68099031 2040上海赛友实业有限公司施锦刚34213300 2041上海恒保电子机械设备有限公司许国柁61526965 2042上海宝然安全防范电子有限公司沈学峰629183172043上海银盾电子信息技术有限公司王国强56531398 2044上海赛虎智能系统工程有限公司王明梅69195392 2045上海梵华电子工程技术有限公司张杰63261866 2047上海泰绿安防工程有限公司顾国初50427450 2048上海天立安全防范工程有限公司顾东英68000000 2049上海福通邮电设备发展公司戴国斌65012901 2050上海华谊楼宇设备工程有限公司毛文才65223986 2051上海良相智能化工程有限公司陈晓群64988811 2052上海美赞美数码科技有限公司张梅61494599 2053上海铭森科技发展有限公司张林妹51522086 2054上海明霆电子信息工程有限公司王翠明66517598 2055上海瑞实电子系统集成有限公司张心民52560848 2056上海银海通讯设备有限公司张德新66532510 2057上海市保安服务总公司杨浦区公司郁文虎22043355 2058上海汇时鑫智能系统有限公司叶菊红50336088 2059上海桥厦实业有限公司谢仁华57159386 2060上海腾达科技有限公司俞志强60825566 2061上海天冠卫视技术研究所吴旭64295384 2062上海市保安服务总公司长宁区公司徐闰生62916722 2063上海城市轨道交通保安服务有限公司巢俊峰58525212 2064上海炬明门业有限公司张吉明57416910 2065上海鼎时智能化设备工程有限公司杨建强65396922 2066上海百联电器科技服务有限公司王枫63225172 2067上海圣纳建筑智能工程限公司曹正丽68568296 2068上海市保安服务总公司虹口区公司竺孙65456038 2069上海真赛机电科技有限公司张剑60950633 2070上海晟晓电子科技有限公司刘春62517846 2071上海汇迪电子有限公司黄建52913983 2073上海宝景信息技术发展有限公司周建平66792093 2074上海融谷软件有限公司狄延银50372301 2075上海集防工程技术有限公司孙宇33873588 2076上海理想信息产业(集团)有限公司张林德34249898 2077上海智源安保消防工程有限公司郦望巨56556952 2078上海迪盛网络科技有限公司陆惠丰38810033 2079上海澳升电气设备安装有限公司姚继成52856893 2080上海咏苓智能科技发展有限公司陆文龙57103939 2081上海妗吟贸易有限公司杨慰慈56010670 2082上海汉铭科技有限公司朱炯63029878 2083上海经意实业有限公司顾新达57955500 2084上海索杰电子信息系统有限公司邬东文649599802085上海铭洪实业有限公司洪登荣65080918 2086上海八达电信智能集成有限公司张春玲51780520 2088上海吉諾智能电子有限公司周晓燕66059990 2089上海顺福网络科技发展有限公司沈韻英65138638 2091上海射电科技有限公司梁海启64386191 2092上海市保安服务总公司普陀区公司宋伟宝62047070 2093上海汽车信息产业投资有限公司叶永明22011863 2094上海宝信软件股份有限公司陈在根50801155 2095上海柯远电子信息有限公司王丽娜66312910 2096上海成皓工贸有限公司曹三龙56756038 2097上海惠弘信息工程有限公司乐惠63859986 2098上海沪公电子安全设备有限公司赵华62616110 2099上海灏蕴电子科技工程有限公司戴晨光33708468 2100上海中信国安科技工程有限公司李雄50281550 2101上海鼎点安防科技发展有限公司唐均絮32200090 2102上海同希技术发展有限公司朱斌55090610 2103上海富昂安装技术有限公司陈士峰66186833 2104上海新球通信有限公司程锡元63806363 2105上海欣悦网络工程有限公司何永富51208093 2106上海图皓网络科技有限公司徐卫军61274857 2107上海永泰科技发展有限公司蒋大伟58927246 2109上海禾龙智能科技发展有限公司范京57954615 2110上海岩象网络科技有限公司李岳55091166 2111上海大任光电科技有限公司郭建民63459338 2112上海市保安服务总公司闸北区公司徐胜和63098617 2115上海联建通信信息有限公司邢彬59715599 2118上海安昊信息科技有限公司乔建昌58909650 2124上海腾隆电力科技有限公司叶业庆65976298 2125上海慧易科技发展有限公司杨志慧62788872 2130上海大科原系统设备工程有限公司唐蓉萍63773068 2131联石安防科技(上海)有限公司晋胜国68670686 2135上海御飞保安设备有限公司黄飞56678758 2138上海宇文电子科技有限公司单健平658441893、三级从业单位(共计274家)证号单位名称法人代表联系电话3001上海诺盈电子信息科技有限公司杜骏61679340 3002上海雪良工程设施有限公司蒋秀良50218069 3003上海市保安服务总公司卢湾区公司刁国英23035847 3004上海佩凡电子科技有限公司韦明杨528578293005上海冠之林智能电子系统有限公司叶尧富64011928 3006上海睦腾智能科技有限公司黄卫春52951945 3007上海国民安全防范有限公司李鸿62902234 3008上海经隆电子有限公司徐平64174015 3009上海怡峰科技有限公司戴文光58393633 3010上海申达自动防范系统工程有限公司吴信宝62575427 3011上海瑞沃茨网络通信技术有限公司王雁57105258 3012上海东方广播电视技术公司严克勤56035973 3013上海宏谊建设工程有限公司王东升62590120 3014上海赛胜科技有限公司仇庭荣64877932 3015上海创峰市政工程有限公司陈福明33617995 3016上海沪公报警设备公司杨国兴52392612 3017上海海勃物流软件有限公司黄新58406358 3018上海致达科技(集团)股份有限公司严键军62462233 3019上海永豪电子设备有限公司黄森富52732388 3020上海真信电气系统集成有限公司周秉真56669617 3021上海黎欣安防工程有限公司李曼萍55222211 3022上海锦庄电子系统有限公司庄璇63171252 3023上海森宇电气有限公司范勇68785941 3024上海协成新技术发展有限公司吴藕华54258317 3025上海梁冗电子工程有限公司梁永庆52700130 3026上海润德科技发展有限公司张岷56530285 3027上海雪挺科技有限公司汪素琴66516155 3028中铁上海设计院集团有限公司李永利63818116 3029上海邮电设计院有限公司袁金陵25068888 3030上海汉唐科技有限公司李竹桥64228171 3031上海东悦电子设备安装有限公司徐玉富65396331 3032上海敏达楼宇智能系统技术服务有限公司卢晓毅64892494 3033上海筑友电气科技有限公司朱音62591136 3034上海广航数码科技有限公司闵银楼64660911 3035上海海生智能电子有限公司凌惠萍62652835 3036上海武林弱电系统集成有限公司步宪耀54259759 3037上海普特计算机技术有限公司金玉明57811889 3038上海高位安全网络管理有限公司梁鸿根33518759 3039上海瞬辉机械电子有限公司杨永康67735696 3040上海华燊智能化系统工程有限公司陈荧华52693520 3041上海允固电子有限公司钟影明67737861 3042上海保安服务总公司奉贤分公司何群辉57193111 3043上海联臣电子系统科技技术工程有限公司姬海臣54205500 3044中国铁路通讯信号上海工程公司朱洪忠512303563045上海禾博电子有限公司姚逸芬63083708 3046上海锐晖智能化工程有限公司杨凯61437720 3047上海北纬智能科技有限公司鲁凤37628681 3048上海汇仪自动化测控系统有限公司俞美珍56034442 3049上海海达通信公司胡鹤民56468611 3050上海交通投资信息科技有限公司鲁国锋65565500 3052上海电信工程有限公司倪建军63775835 3053上海富炯楼宇智能化工程有限公司范建平69539077 3054上海迪广电子系统工程有限公司林吉阜62681870 3055上海丰浩安全防范工程有限公司徐浩方66290053 3056上海联明新和建筑工程有限公司宋力50682118 3057上海森擎智能新技术有限公司吕申33680330 3058上海亿威信息技术有限公司章继平52359397 3059上海视盾安保设备工程有限公司金美霞55083406 3060上海凯达安全技术工程有限公司俞利明39523398 3061上海闵中安保工程有限公司孙宗良64922122 3062上海利皆达高科技有限公司张晓钟52520500 3063上海惠晨信息技术有限公司马民33051037 3064上海禾古科技发展有限公司杨士兵66369722 3065上海通宇电子工程有限公司宋光社68463842 3066上海弘远新世纪科技有限公司郑克辉58315182 3067上海宏成计算机工程有限公司俞中兵54083176 3068上海科信建筑智能化工程有限公司季友发58899806 3069上海先端电子有限公司徐宸宇64726833 3070上海文顺网络通信工程有限公司宗顺山57681539 3071上海华赟安全防范技术有限公司裴尉丽52909780 3072上海居安电子系统工程有限公司叶建明58434058 3073上海深源保安设施工程有限公司陈闽54389890 3074上海卓麟楼宇设备工程有限公司杨亮55238931 3075上海豪宙网络通讯设备有限公司杨永康65452099 3076上海康湃电子科技有限公司王安康54379711 3077上海邮顺通讯科技有限公司孙国江66246138 3078上海盛波尔安防技术有限公司俞丽萍64386005 3079上海易大安保消防工程有限公司周津沪55958033 3080上海卜德电子工贸有限公司赵心慧51532002 3081上海品域智能系统工程有限公司杨冬青63141242 3082上海索格电子有限公司张寅辉68251777 3083上海嘉楠电子科技有限公司袁立坤65288948 3084上海雄华数码科技有限公司杨胜利57159999 3085上海景怡科技发展有限公司宋志正539632153086上海南汇绿缘通信信息有限公司计玉芳58011253 3087上海远哲电子技术有限公司龚方静6536422 3088上海天华信息发展公司朱庭杰63873773 3089上海浦通通讯设备工程有限公司赵伟强50500108 3090上海索程安保工程有限公司周明华57423300 3092上海汇建广播电视工程有限公司陈建其59527688 3094上海凯铭保安设施工程有限公司郭维65325734 3095上海电信恒联网络有限公司张林德54259759 3096上海汉码信息技术有限公司王成革51785458 3097上海中霖安全防范工程有限公司靳建辉66580779 3098长江计算机(集团)公司焦自纯63516236 3099上海永顺通信工程有限公司何东38820909 3100上海安鼎弱电集成系统有限公司郭廷玉32121083 3101上海电气自动化设计研究所有限公司华小龙63018345 3102上海圣锐防水工程有限公司吴春根50391260 3103上海云视电子工程有限公司吴文伟63675813 3104上海宝学电子信息技术有限公司吴家辉62829562 3105上海国慧信息技术有限公司潘根娣65172898 3106上海德律风物业有限公司江永兴52909780 3107上海霖枫电子有限公司刘玉芳62277950 3108上海电信科技发展有限公司袁金陵63111888 3109上海海澜网络科技有限公司吴晓红51095380 3110上海迪防电子有限公司周炯66099838 3111上海华携信息科技有限公司秦磊64072382 3112上海电信住宅宽频网络有限公司程其麟52139668 3113上海红晓消防科技有限公司胡碧华63454262 3114上海新虹伟信息技术有限公司袁伟62955901 3116上海凯玲消防工程有限公司徐士标61131978 3117上海欣泰信息系统有限公司王世星61485205 3119上海众恒信息产业有限公司赵阳62492496 3120上海瀛安安全技术防范有限公司曹明69617871 3121上海蓝泰交通设施有限公司沈标53064488 3122上海奉联信息发展有限公司沈良汉33610333 3123上海住业建筑科技发展有限公司朱志彬56301870 3124上海广大信息系统有限公司吴献忠63780999 3125上海靖宜安防工程有限公司熊小平67184189 3126上海飘鹰房地产开发中心陈林福65027358 3127上海振浦安防科技有限公司经炎敖58712763 3128上海交技发展股份有限公司沈以华58602721 3129上海神创科技有限公司冯晓543763223130上海永宁安全防范系统工程有限公司曹敬平58371715 3131上海友讯实业有限公司庄骞52359911 3132上海新畅电信网络科技有限公司张俊56580609 3133上海尚泰智能化系统安装有限公司穆维雄63341175 3134上海帝特安防科技有限公司邹春梅36310800 3136上海海空电子信息技术有限公司周忠泉63223674 3137上海熙菱信息技术有限公司岳亚梅22817953 3138上海全顺通信设备安装有限公司万秀芬64516379 3139上海居保安全技术防范工程有限公司石勇毅56903867 3144上海天思电子科技发展有限公司曹仑仑57722226 3145上海时安安防系统技术有限公司张周斐38810625 3147上海绰裕信息科技有限公司程磊65442822 3148上海梦轩电子科技有限公司贾麒63284110 3154上海建瓴建设科技发展有限公司汤文64435452 3156上海海光机电工程有限公司谢伟强65624661 3159上海梁腾安全防范系统安装有限公司梁益明57847012 3161上海道格电子系统工程有限公司沈永华68003529 3162上海诚雯数码科技有限公司叶渭芳63014369 3166上海秦茂交通设施有限公司秦祖平55158199 3167上海艾普光通信设备有限公司金夫林63539135 3169上海数码通宽带网络有限公司费瑞64011000 3171上海志高安防科技有限公司潘龙刚58018366 3173上海康晨安全防范系统工程有限公司张滨58922393 3175上海泰怡楼宇智能化系统有限公司秦海忠58990819 3176上海荣颖安防技术设备有限公司曹荣芳64279008 3178上海源杰安防科技有限公司梁鸿根33518130 3179上海卓就电子工程有限公司徐建民56959745 3181上海迅飞电子科技有限公司沈雪琴66302887 3183上海国泰消防设备有限公司俞惠珠63295000 3184上海今泉科技发展有限公司郑晟62809080 3185上海奇诺计算机通信系统有限公司李或64411800 3186上海天神计算机科技开发有限公司陈惠玲61629600 3187上海争年经贸发展有限公司芮争年28807666 3188上海唐潮自动化科技有限公司陈建波64611186 3191上海安防电子有限公司蒋达先65440440 3192上海浦江智能卡系统有限公司朱开扬52917116 3193上海凡宣机电安装工程有限公司林元波37717011 3194上海信者电子音响工程有限公司徐小妹54713007 3196上海芦洋电子工程发展有限公司朱小平68738444 3197上海顺泰电子科技有限公司徐晓明687650673198上海怿拓网络科技有限公司戴勇39923176 3200上海伟宁网络安全技术有限公司周道伟52066006 3201上海彦奇电子有限公司王琪64562723 3202上海众达信息产业有限公司姚龙昌57941910 3204上海琴汉安防技术有限公司张美琴64641572 3205上海创宙建设工程有限公司宋俊贤64460393 3206上海御仁教育信息咨询有限公司蒋殷浩50938922 3208上海易安安防科技有限公司缪鸿泉69539199 3209上海住宅网络工程有限公司马为民52666327 3211上海常余贸易有限公司叶敏德62150580 3213上海日诞智能科技有限公司梅正红51872800 3214上海文宸视听工程有限公司周文华63676731 3216上海大源安全防范技术有限公司丁志强50200687 3217上海希比希电子有限公司陶炜67812261 3219上海杰保楼宇对讲设备工程有限公司邵桂芳33589038 3221上海市保安服务总公司金山区公司沈卫67260110 3222上海紫缘数码科技有限公司陆华59993311 3224上海锦银信息科技有限公司张友春51507328 3225上海新南经济发展有限公司蒋美芳56764588 3226上海信潮电信工程有限公司王建民52828083 3227上海佳欣嘉技术有限公司汤苗群62598170 3228上海康保实业有限公司吴海钧58129069 3229上海民欣信息科技有限公司管芳庆65206108 3230上海斯锐曼信息技术有限公司曹勇51507155 3234上海讯集安全防范工程有限公司姜玉霞56404691 3235上海天若电脑科技发展有限公司沈明芳64836356 3238上海凡创网络通讯工程有限公司张明发58382215 3239上海捷卓电脑有限公司张荣69696668 3240上海捷华通讯电子有限公司张启华59161588 3241上海莘航电子设备有限公司敖楠55889863 3243上海市保安服务总公司崇明县公司周林富27918893 3245上海骄俊智能网络工程设备有限公司钟敏64093357 3246上海天藤网络技术工程有限公司马建军67742528 3248上海禾芯智能化系统工程有限公司肖忠54973032 3249上海凯安弱电系统工程有限公司倪耀章61611800 3253上海索尼美实业发展有限公司沈伟伟67247258 3254上海典赞电子科技有限公司俞金国51025615 3255上海怡高智能化通讯工程有限公司龚能裕55131588 3256上海洛可信息技术有限公司丁山64838809 3258上海亿兆视捷信息科技有限公司侯广强630569693260上海华平信息技术股份有限公司刘焱55666588 3264上海海豪电子工程有限公司叶中青54739568 3265上海交慧通达智能科技有限公司高承举64477426 3267上海三处智能科技有限公司石景山69202677 3268上海住总集团建设发展有限公司张敏亮63675447 3269上海准通通讯工程有限公司王立鸿64670003 3270上海尚雍电子技术工程有限公司庞渤66050988 3271上海锦琛建设工程发展有限公司顾飞32260713 3272上海劲貂电脑网络科技有限公司蔡彬56332497 3273上海市保安服务总公司闵行区二公司杨克俭54714529 3274上海昕龙时安防科技有限公司龚毓文53937522 3275上海固盾智能科技有限公司蒋峰69233063 3276上海文晖电子工程有限公司曹建平57413883 3277上海旺恒机电安装工程有限公司冯强54245208 3279上海齐海通信设备有限公司丁静66220280 3280上海热量通信科技有限公司杜文仙61369119 3282上海鹰视智能科技发展有限公司叶佰明65681799 3283上海久迪电子科技发展有限公司吴明安63095358 3284上海海澄通讯设备工程有限公司刘根林65618862 3287上海鹰禾信息工程技术有限公司李仰云60837092 3288上海遥薇实业有限公司姚薇55068782 3289上海智先实业有限公司谭福梅56557838 3290上海尚禾科技发展有限公司朱武俊64264079 3292上海龙创自控系统有限公司曹文龙61806288 3295上海晟秦楼宇智能设备工程有限公司沈玲凤66359376 3296上海天雅电子系统集成有限公司兰毅65368351 3297上海自动化仪表股份有限公司肖宗义64397975 3299上海华投信息工程有限公司梅婵靖64969880 3300上海枫泉通信电子设备有限公司葛龙弟61809998 3301上海脉谷智能系统集成工程有限公司顾秀荣65868143 3302上海旗安电子科技有限公司顾建国59104677 3303上海方甲网络科技有限公司陈惠娟35010139 3305上海涛平计算机科技有限公司陈鹤69690021 3307上海百咨电子设备有限公司张宇56842481 3308上海恒乾电子工程有限公司班福生58015776 3309上海基通电子有限公司金叶辉56032388 3311上海电力高压实业有限公司李坤68920466 3313上海舒宅信息技术有限公司陈海宁62342312 3317上海盾卫电子有限公司邓信辉37605466 3319上海一志楼宇智能控制设备有限公司陈建国59165182。
安防工程商资质大全资质的分类标准和申请条件逐一介绍。
1 安防工程企业资质安防工程企业资质分为三个级别:一级、二级、三级。
三级为最低级别。
企业资质评定实行逐级晋升原则。
一级资质企业应当具备下列条件:1、具有独立法人资格,在中国工商行政管理部门登记注册,注册资金人民币不少于500万元,或等值外币。
2、获二级资质证书满两年,近两年内承担过5项(含)以上经检测、验收或评估合格的一级安全防范工程设计施工项目,竣工安防工程合同总额在1600万元(含)以上,其中至少有一项不少于300万元的工程。
3、专业技术人员不少于20名,并通过中安协组织的统一考试,成绩合格。
工程造价员不少于2名,须经过国家造价员专业培训并取得相应资格证书。
法定代表人和专业技术人员须均无犯罪记录。
企业员工能严守工程相关秘密。
4、承诺履行并签署《安防企业诚信公约》。
5、有固定的工作场所,能满足企业机构设置及其业务需要,工作面积不少于300平方米。
质量管理体系认证。
__GB/T 并通过建立保持适合安防工程特点的质量管理体系,、67、近两年承建的工程无重大安全、质量责任事故,具有完善的售后服务保障措施。
8、按国家规定为员工办理社会保险。
9、建立并保持安全生产管理制度。
二级资质企业应具备下列条件:1、具有独立法人资格,在中国工商行政管理部门登记注册,注册资金人民币不少于200万元,或等值外币。
2、获三级资质证书满两年,近两年内承担过5项(含)以上经检测、验收或评估合格的一、二级安全防范工程设计施工项目,竣工安防工程合同总额在1000万元(含)以上,其中至少有一项不少于200万元的工程。
3、专业技术人员不少于10名,并通过中安协组织的统一考试,成绩合格。
工程造价员不少于2名,须经过国家造价员专业培训并取得相应资格证书。
法定代表人和专业技术人员须均无犯罪记录。
企业员工能严守工程相关秘密。
4、承诺履行并签署《安防企业诚信公约》。
5、有固定的工作场所,能满足企业机构设置及其业务需要,工作面积不少于200平方米。
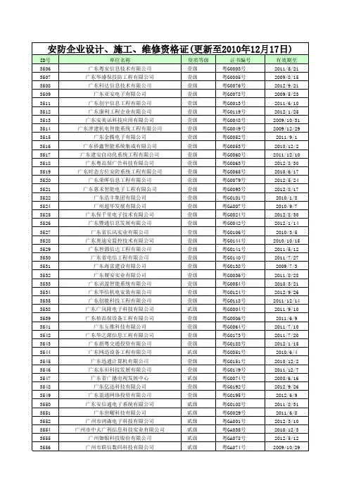
单位名称资质等级证书编号批准(备案)日期首次获证日期所在省市安徽科大恒星电子商务技术有限公司一级Z1340020070245 2007/6/11 2007/6/11 安徽北京中软国际信息技术有限公司一级Z1110020000001 2004/9/12 2000/9/12 北京北京神州数码有限公司一级Z1110020000002 2004/9/12 2000/9/12 北京长城计算机软件与系统有限公司一级Z1110020000003 2004/9/12 2000/9/12 北京大唐软件技术股份有限公司一级Z1110020000005 2004/9/12 2000/9/12 北京太极计算机股份有限公司一级Z1110020000006 2004/9/12 2000/9/12 北京同方股份有限公司一级Z1110020010001 2005/5/10 2001/5/10 北京北京和利时系统工程有限公司一级Z1110020010002 2005/5/10 2001/5/10 北京北京方正奥德计算机系统有限公司一级Z1110020010003 2005/5/10 2001/5/10 北京紫光软件系统有限公司一级Z1110020010006 2005/5/10 2001/5/10 北京北京朗新信息系统有限公司一级Z1110020010007 2005/5/10 2001/5/10 北京中科软科技股份有限公司一级Z1110020010102 2005/10/8 2001/10/8 北京长天科技有限公司一级Z1110020010105 2005/10/8 2001/10/8 北京北京东华合创数码科技股份有限公司一级Z1110020010104 2005/10/8 2001/10/8 北京首都信息发展股份有限公司一级Z1110020010106 2005/10/8 2001/10/8 北京北京鼎天软件有限公司一级Z1110020010113 2005/10/8 2001/10/8 北京中国电信集团系统集成有限责任公司一级Z1110020020006 2006/2/6 2002/2/6 北京北京国铁华晨通信信息技术公司一级Z1110020020003 2006/2/6 2002/2/6 北京北京市太极华青信息系统有限公司一级Z1110020020005 2006/2/6 2002/2/6 北京北京高阳金信信息技术有限公司一级Z1110020020002 2006/2/6 2002/2/6 北京航天信息股份有限公司一级Z1110020020001 2006/2/6 2002/2/6 北京联想网御科技(北京)有限公司一级Z1110020020004 2006/2/6 2002/2/6 北京中电科技电子信息系统有限公司一级Z1110020020291 2006/9/12 2002/9/12 北京中国软件与技术服务股份有限公司一级Z1110020020290 2006/9/12 2002/9/12 北京北京大恒创新技术有限公司一级Z1110020020296 2006/9/12 2002/9/12 北京亚信科技(中国)有限公司一级Z1110020020294 2006/9/12 2002/9/12 北京新晨科技股份有限公司一级Z1110020030002 2007/2/18 2003/2/18 北京中国惠普有限公司一级Z1110020030001 2007/2/18 2003/2/18 北京北京紫光华宇软件股份有限公司一级Z1110020050040 2005/4/11 2005/4/11 北京中铁信弘远(北京)软件科技有限责任公一级Z1110020040211 2004/12/6 2004/12/6 北京司赛尔网络有限公司一级Z1110020040212 2004/12/6 2004/12/6 北京北京易初电子技术有限公司一级Z1110020050224 2005/11/1 2005/11/1 北京石化盈科信息技术有限责任公司一级Z1110020060255 2006/7/27 2006/7/27 北京北京北大青鸟商用信息系统有限公司一级Z1110020060256 2006/7/27 2006/7/27 北京北京中电兴发科技有限公司一级Z1110020060257 2006/7/27 2006/7/27 北京北京汉铭信通科技有限公司一级Z1110020060258 2006/7/27 2006/7/27 北京北京全路通信信号研究设计院一级Z1110020060259 2006/7/27 2006/7/27 北京北京宝亮网智电子信息技术有限公司一级Z1110020060260 2006/7/27 2006/7/27 北京北京北控电信通信息技术有限公司一级Z1110020060261 2006/7/27 2006/7/27 北京北京联信永益信息技术有限公司一级Z1110020060497 2006/11/28 2006/11/28 北京北京合力金桥系统集成技术有限公司一级Z1110020060498 2006/11/28 2006/11/28 北京北京直真节点技术开发有限公司一级Z1110020060499 2006/11/28 2006/11/28 北京中国网通集团系统集成有限公司一级Z1110020060500 2006/11/28 2006/11/28 北京中盈优创资讯科技有限公司一级Z1110020060501 2006/11/28 2006/11/28 北京北京能通万维网络科技有限公司一级Z1110020060502 2006/11/28 2006/11/28 北京华迪计算机集团有限公司一级Z1110020060503 2006/11/28 2006/11/28 北京北京大唐高鸿数据网络技术有限公司一级Z1110020070256 2007/6/11 2007/6/11 北京北京神州泰岳软件股份有限公司一级Z1110020070257 2007/6/11 2007/6/11 北京北京世源希达工程技术公司一级Z1110020070258 2007/6/11 2007/6/11 北京北京赛迪时代信息产业股份有限公司一级Z1110020070259 2007/6/11 2007/6/11 北京赞华(北京)电子系统有限公司一级Z1110020070260 2007/6/11 2007/6/11 北京北京京北方科技股份有限公司一级Z1110020070261 2007/6/11 2007/6/11 北京北京中科大洋科技发展股份有限公司一级Z1110020070521 2007/11/11 2007/11/11 北京中信国安信息科技有限公司一级Z1110020070526 2007/11/11 2007/11/11 北京北京先进数通信息技术有限公司一级Z1110020070527 2007/11/11 2007/11/11 北京北京华胜天成科技股份有限公司一级Z1110020040024 2008/4/26 2004/6/7 北京北京华夏电通科技有限公司一级Z1110020080212 2008/6/16 2008/6/16 北京中国电力科学研究院一级Z1110020080213 2008/6/16 2008/6/16 北京北京飞利信科技有限公司一级Z1110020080214 2008/6/16 2008/6/16 北京北京网鼎系统集成有限责任公司一级Z1110020080215 2008/6/16 2008/6/16 北京北京冠华宏鑫科技有限公司一级Z1110020080217 2008/6/16 2008/6/16 北京北京北大千方科技有限公司一级Z1110020080218 2008/6/16 2008/6/16 北京大连华信计算机技术股份有限公司一级Z1210220050234 2005/11/1 2005/11/1 大连福建榕基软件股份有限公司一级Z1350020040001 2008/4/26 2004/4/26 福建福建富士通信息软件有限公司一级Z1350020070246 2007/6/11 2007/6/11 福建福建南威软件工程发展有限公司一级Z1350020070537 2007/11/11 2007/11/11 福建福建新大陆电脑股份有限公司一级Z1350020040023 2008/4/26 2004/6/7 福建兰州飞天网景信息产业有限公司一级Z1620020070243 2007/6/11 2007/6/11 甘肃甘肃万维信息技术有限责任公司一级Z1620020070254 2007/6/11 2007/6/11 甘肃广州杰赛科技股份有限公司一级Z1440020010111 2005/10/8 2001/10/8 广东金鹏电子信息机器有限公司一级Z1440020020301 2006/9/12 2002/9/12 广东广州华南资讯科技有限公司一级Z1440020040002 2008/4/26 2004/4/26 广东广州从兴电子开发有限公司一级Z1440020050233 2005/11/1 2005/11/1 广东广州市方欣科技有限公司一级Z1440020060262 2006/7/27 2006/7/27 广东广东互维科技有限公司一级Z1440020070241 2007/6/11 2007/6/11 广东广东省信息工程有限公司一级Z1440020070242 2007/6/11 2007/6/11 广东广州北大明天资源科技发展有限公司一级Z1440020070248 2007/6/11 2007/6/11 广东广州广电运通金融电子股份有限公司一级Z1440020080209 2008/6/16 2008/6/16 广东河北远东通信系统工程有限公司一级Z1130020050227 2005/11/1 2005/11/1 河北河北普瑞电子有限公司一级Z1130020080227 2008/6/16 2008/6/16 河北亿阳信通股份有限公司一级Z1230020020008 2006/2/6 2002/2/6 黑龙江哈尔滨工业大学软件工程有限公司一级Z1230020020300 2006/9/12 2002/9/12 黑龙江武汉烽火信息集成技术有限公司一级Z1420020030302 2007/9/8 2003/9/8 湖北武汉钢铁工程技术集团自动化有限责任公一级Z1420020070532 2007/11/11 2007/11/11 湖北司湖南创智软件科技有限公司一级Z1430020010110 2005/10/8 2001/10/8 湖南国防科学技术大学信息工程研究所一级Z1430020020289 2006/9/12 2002/9/12 湖南湖南拓维信息系统股份有限公司一级Z1430020050232 2005/11/1 2005/11/1 湖南湖南创发天辰科技有限责任公司一级Z1430020060507 2006/11/28 2006/11/28 湖南湖南科创信息技术股份有限公司一级Z1430020070534 2007/11/11 2007/11/11 湖南湖南湘邮科技股份有限公司一级Z1430020080225 2008/6/16 2008/6/16 湖南长春鸿达信息科技股份有限公司一级Z1220020050228 2005/11/1 2005/11/1 吉林长春吉大正元信息技术股份有限公司一级Z1220020070250 2007/6/11 2007/6/11 吉林启明信息技术股份有限公司一级Z1220020070529 2007/11/11 2007/11/11 吉林江苏金智科技股份有限公司一级Z1320020010108 2005/10/8 2001/10/8 江苏南京南瑞集团公司一级Z1320020020297 2006/9/12 2002/9/12 江苏南京莱斯大型电子系统工程有限公司一级Z1320020020292 2006/9/12 2002/9/12 江苏南京中兴软创科技股份有限公司一级Z1320020030303 2007/9/8 2003/9/8 江苏南京联创科技股份有限公司一级Z1320020050229 2005/11/1 2005/11/1 江苏江苏智运科技发展有限公司一级Z1320020080221 2008/6/16 2008/6/16 江苏江苏宏图高科技术开发有限公司一级Z1320020080223 2008/6/16 2008/6/16 江苏思创数码科技股份有限公司一级Z1360020050230 2005/11/1 2005/11/1 江西泰豪软件股份有限公司一级Z1360020050231 2005/11/1 2005/11/1 江西江西贝尔科技产业有限公司一级Z1360020070518 2007/11/11 2007/11/11 江西东软集团股份有限公司一级Z1210020000007 2004/9/12 2000/9/12 辽宁内蒙古证联信息技术有限责任公司一级Z1150020070253 2007/6/11 2007/6/11 内蒙古青岛海信网络科技股份有限公司一级Z1370220050235 2005/11/1 2005/11/1 青岛山东浪潮齐鲁软件产业股份有限公司一级Z1370020000008 2004/9/12 2000/9/12 山东山东中创软件工程股份有限公司一级Z1370020000009 2004/9/12 2000/9/12 山东积成电子股份有限公司一级Z1370020020303 2006/9/12 2002/9/12 山东山西同昌信息技术实业有限公司一级Z1140020060263 2006/7/27 2006/7/27 山西太原理工天成电子信息技术有限公司一级Z1140020070249 2007/6/11 2007/6/11 山西西安未来国际软件有限公司一级Z1610020010114 2005/10/8 2001/10/8 陕西西安交大博通资讯股份有限公司一级Z1610020030305 2007/9/8 2003/9/8 陕西荣基科技有限公司一级Z1610020070252 2007/6/11 2007/6/11 陕西上海宝信软件股份有限公司一级Z1310020020007 2006/2/6 2002/2/6 上海上海复旦光华信息科技股份有限公司一级Z1310020030003 2007/2/18 2003/2/18 上海万达信息股份有限公司一级Z1310020040003 2008/4/26 2004/4/26 上海上海华讯网络系统股份有限公司一级Z1310020050225 2005/11/1 2005/11/1 上海上海华东电脑股份有限公司一级Z1310020050226 2005/11/1 2005/11/1 上海上海理想信息产业(集团)有限公司一级Z1310020060268 2006/7/27 2006/7/27 上海国际商业机器全球服务(中国)有限公司一级Z1310020060504 2006/11/28 2006/11/28 上海上海华腾软件系统有限公司一级Z1310020060506 2006/11/28 2006/11/28 上海上海贝尔阿尔卡特软件有限公司一级Z1310020060505 2006/11/28 2006/11/28 上海上海迪爱斯通信设备有限公司一级Z1310020080224 2008/6/16 2008/6/16 上海高新现代智能系统股份有限公司一级Z1440320000010 2004/9/12 2000/9/12 深圳黎明网络有限公司一级Z1440320010115 2005/10/8 2001/10/8 深圳深圳市紫金支点技术股份有限公司一级Z1440320020302 2006/9/12 2002/9/12 深圳深圳市华为技术服务有限公司一级Z1440320040213 2004/12/6 2004/12/6 深圳深圳市金证科技股份有限公司一级Z1440320040214 2004/12/6 2004/12/6 深圳深圳市南凌科技发展有限公司一级Z1440320050236 2005/11/1 2005/11/1 深圳深圳市华仁达电子有限公司一级Z1440320060264 2006/7/27 2006/7/27 深圳深圳市脉山龙信息技术有限公司一级Z1440320060265 2006/7/27 2006/7/27 深圳深圳达实智能股份有限公司一级Z1440320060495 2006/11/28 2006/11/28 深圳深圳海联讯科技股份有限公司一级Z1440320060496 2006/11/28 2006/11/28 深圳深圳市天维尔通讯技术有限公司一级Z1440320070247 2007/6/11 2007/6/11 深圳永泰软件有限公司一级Z1440320070251 2007/6/11 2007/6/11 深圳深圳键桥通讯技术股份有限公司一级Z1440320070535 2007/11/11 2007/11/11 深圳深圳市赛为智能有限公司一级Z1440320070536 2007/11/11 2007/11/11 深圳卓望数码技术(深圳)有限公司一级Z1440320080219 2008/6/16 2008/6/16 深圳深圳市广宁实业有限公司一级Z1440320080220 2008/6/16 2008/6/16 深圳四川银海软件有限责任公司一级Z1510020020298 2006/9/12 2002/9/12 四川成都三零盛安信息系统有限公司一级Z1510020060266 2006/7/27 2006/7/27 四川攀钢集团信息工程技术有限公司一级Z1510020070531 2007/11/11 2007/11/11 四川成都索贝数码科技股份有限公司一级Z1510020070533 2007/11/11 2007/11/11 四川四川格瑞特科技有限公司一级Z1510020080211 2008/6/16 2008/6/16 四川四川川大智胜软件股份有限公司一级Z1510020080222 2008/6/16 2008/6/16 四川天津天地伟业科技有限公司一级Z1120020010107 2005/10/8 2001/10/8 天津易泰达科技有限公司一级Z1120020060508 2006/11/28 2006/11/28 天津天津市中环系统工程有限责任公司一级Z1120020070528 2007/11/11 2007/11/11 天津福建亿力电力科技股份有限公司一级Z1350220080210 2008/6/16 2008/6/16 厦门厦门柏事特信息科技有限公司一级Z1350220080226 2008/6/16 2008/6/16 厦门实达科技(福建)软件系统集团有限公司一级Z1350220080230 2008/6/16 2008/6/16 厦门云南南天电子信息产业股份有限公司一级Z1530020020010 2006/2/6 2002/2/6 云南恒生电子股份有限公司一级Z1330020010004 2005/5/10 2001/5/10 浙江浙江浙大中控信息技术有限公司一级Z1330020020009 2006/2/6 2002/2/6 浙江浙江大学快威科技集团有限公司一级Z1330020020295 2006/9/12 2002/9/12 浙江信雅达系统工程股份有限公司一级Z1330020040004 2008/4/26 2004/4/26 浙江杭州新世纪信息技术股份有限公司一级Z1330020060267 2006/7/27 2006/7/27 浙江浙江银江电子股份有限公司一级Z1330020070244 2007/6/11 2007/6/11 浙江浙江建达科技有限公司一级Z1330020070520 2007/11/11 2007/11/11 浙江浙江浙大网新快威科技有限公司一级Z1330020080228 2008/6/16 2008/6/16 浙江杭州创业软件股份有限公司一级Z1330020080229 2008/6/16 2008/6/16 浙江重庆南华中天信息技术有限公司一级Z1500020060509 2006/11/28 2006/11/28 重庆重庆市易联数码科技有限公司一级Z1500020070255 2007/6/11 2007/6/11 重庆重庆中讯亚太信息技术有限公司一级Z1500020070519 2007/11/11 2007/11/11 重庆重庆亚德科技股份有限公司一级Z1500020070530 2007/11/11 2007/11/11 重庆重庆汉光电子工程有限责任公司一级Z1500020080231 2008/6/16 2008/6/16 重庆。