正弦定理练习含答案
- 格式:docx
- 大小:57.71 KB
- 文档页数:10
课时作业1 正弦定理时间:45分钟 满分:100分课堂训练1.(2013·湖南理,3)在锐角△ABC 中,角A ,B 所对的边长分别为a ,b .若2a sin B =3b ,则角A 等于( )A.π12 B.π6 C.π4 D.π3【答案】 D【解析】 本题考查了正弦定理由a sin A =b sin B ,得sin A =32, ∴∠A =π3.2.在△ABC 中,角A 、B 、C 的对边分别为a 、b 、c ,已知∠A =π3,a =3,b =1,则c 等于( )A .1B .2 C.3-1 D. 3 【答案】 B【解析】 由正弦定理a sin A =bsin B , 可得3sin π3=1sin B ,sin B =12,故∠B =30°或150°,由a >b ,得∠A >∠B . ∴∠B =30°,故∠C =90°, 由勾股定理得c =2,故选B.3.在△ABC 中,若tan A =13,C =56π,BC =1,则AB =________. 【答案】102【解析】 ∵tan A =13,且A 为△ABC 的内角,∴sin A =1010.由正弦定理得AB =BC sin C sin A =1×sin 56π1010=102.4.在△ABC 中,若∠B =30°,AB =23,AC =2,求△ABC 的周长.【分析】 本题是已知两边及其一边所对的角,要求其周长,自然要考虑去寻求第三边BC ,但BC 的对角∠A 未知,只知道∠B ,可结合条件由正弦定理先求出∠C ,再由三角形内角和定理求出∠A .【解析】 由正弦定理,得sin C =AB sin B AC =32. ∵AB >AC ,∴∠C >∠B ,又∵0°<∠C <180°,∴∠C =60°或120°.(1)如图(1),当∠C =60°时,∠A =90°,BC =4,△ABC 的周长为6+23;(2)如图(2),当∠C=120°时,∠A=30°,∠A=∠B,BC=AC=2,△ABC的周长为4+2 3.综上,△ABC的周长为6+23或4+2 3.【规律方法】已知三角形两边和其中一边的对角时,应先由正弦定理求出正弦值,再判定这个角是否最大,若最大,则有两角,分别为一个锐角、一个钝角,且两角互补,否则只有一解,且为锐角.课后作业一、选择题(每小题5分,共40分)1.在△ABC中,sin A=sin C,则△ABC是()A.直角三角形B.等腰三角形C.锐角三角形D.钝角三角形【答案】 B【解析】∵sin A=sin C,∴由正弦定理得a=c,∴△ABC为等腰三角形,故选B.2.已知△ABC的三个内角之比为A:B:C=1:2:3,那么a b c=()A.1:2:3 B.1:2: 3C.1: 2 : 3 D.1: 3 :2【答案】 D【解析】 设∠A =k ,∠B =2k ,∠C =3k ,由∠A +∠B +∠C =180°得,k +2k +3k =180°,∴k =30°,故∠A =30°,∠B =60°,∠C =90°.由正弦定理得a :b :c =sin A :sin B :sin C =sin30°:sin60°:sin90°=1: 3 :2.3.在△ABC 中,已知a =8,∠B =60°,∠C =75°,则( ) A .b =4 2 B .b =4 3 C .b =4 6 D .b =323【答案】 C【解析】 ∠A =180°-60°-75°=45°,由a sin A =b sin B 可得b =a sin Bsin A =8sin60°sin45°=4 6.4.已知△ABC 中,a =1,b =3,A =π6,则B =( ) A.π3 B.23π C.π3或23π D.56π或π6 【答案】 C【解析】 由a sin A =b sin B 得sin B =b sin Aa , ∴sin B =3·sin30°1=32,∴B =π3或23π. 5.在△ABC 中,已知∠A =30°,a =8,b =83,则△ABC 的面积S 等于( )A .32 3B .16C .326或16D .323或16 3【答案】 D【解析】 由正弦定理,知 sin B =b sin A a =83sin30°8=32, 又b >a ,∴∠B >∠A ,∴∠B =60°或120°. ∴∠C =90°或30°.∴S =12ab sin C 的值有两个,即323或16 3.6.在△ABC 中,cos A cos B =b a =85,则△ABC 的形状为( ) A .钝角三角形 B .锐角三角形 C .等腰三角形 D .直角三角形【答案】 D【解析】 ∵cos A cos B =b a =sin Bsin A ,即sin2A =sin2B ,∴∠A =∠B 或∠A +∠B =π2,又cos A ≠cos B ,∴∠A ≠∠B ,∴∠A +∠B =π2,∴△ABC 为直角三角形.7.已知△ABC 中,2sin B -3sin A =0,∠C =π6,S △ABC =6,则a =( )A .2B .4C .6D .8【答案】 B【解析】 由正弦定理得a sin A =bsin B ,故由2sin B -3sin A =0, 得2b =3a .①又S △ABC =12ab sin C =12ab sin π6=6, ∴ab =24.②解①②组成的方程组得a =4,b =6.故选B.8.在△ABC 中,∠A =60°,a =13,则a +b +csin A +sin B +sin C 等于( )A.833B.2393C.2633 D .2 3 【答案】 B【解析】 由a =2R sin A ,b =2R sin B ,c =2R sin C 得 a +b +csin A +sin B +sin C =2R =a sin A =13sin60°=2393.二、填空题(每小题10分,共20分)9.在△ABC 中,b 2-c 2a 2sin 2A +c 2-a 2b 2sin 2B +a 2-b 2c 2sin 2C 的值为________.【答案】 0【解析】 可利用正弦定理的变形形式a =2R sin A ,b =2R sin B ,c =2R sin C 代入原式即可.10.在锐角三角形ABC 中,若∠A =2∠B ,则ab 的取值范围是________.【答案】 (2,3)【解析】 ∵△ABC 为锐角三角形,且∠A =2∠B , ∴⎩⎪⎨⎪⎧0<2∠B <π2,0<π-3∠B <π2,∴π6<∠B <π4.∵∠A =2∠B ,∴sin A =sin2B =2sin B cos B ,∴a b =sin Asin B =2cos B ∈(2,3).三、解答题(每小题20分,共40分.解答应写出必要的文字说明、证明过程或演算步骤)11.(1)在△ABC 中,已知a =5,∠B =45°,∠C =105°,求b . (2)在△ABC 中,已知∠A =45°,a =2,b =2,求B .【解析】 (1)∵∠A +∠B +∠C =180°,∴∠A =180°-(∠B +∠C )=180°-(45°+105°)=30°.由正弦定理a sin A =b sin B ,得b =a ·sin B sin A =5·sin45°sin30°=5 2.(2)由正弦定理a sin A =b sin B ,得sin B =b sin A a =2sin45°2=12.又∵0°<∠B <180°,且a >b ,∴∠B =30°.【规律方法】 (1)中要注意在△ABC 中,∠A +∠B +∠C =180°的运用,另外sin105°=sin75°=sin(45°+30)=6+24.(2)中要注意运用三角形中大边对大角的性质,判定解的个数.12.在△ABC中,已知sin A=sin B+sin Ccos B+cos C,判断△ABC的形状.【分析】当式子中只有角或只有边时,一般将其一端化为零,另一端化为因式之积,再因式分解,进而判断三角形的形状.【解析】∵sin A=sin B+sin Ccos B+cos C,∴sin A cos B+sin A cos C=sin B+sin C.∵∠A+∠B+∠C=π,∴sin A cos B+sin A cos C=sin(A+C)+sin(A+B).∴sin A cos B+sin A cos C=sin A cos C+cos A sin C+sin A cos B+cos A sin B. ∴cos A sin C+sin B cos A=0.∴cos A(sin B+sin C)=0.∵∠B,∠C∈(0,π),∴sin B+sin C≠0.π∴cos A=0,∴∠A=2,∴△ABC为直角三角形.。
[A 基础达标]1.在△ABC 中,一定成立的式子是( ) A .a sin A =b sin B B .a cos A =b cos B C .a sin B =b sin A D .a cos B =b cos A解析:选C.由正弦定理a sin A =b sin B =c sin C,得a sin B =b sin A . 2.在△ABC 中,若3a =2b sin A ,则B =( ) A.π3 B.π6 C.π3或2π3D.π6或5π6解析:选C.由正弦定理,得3sin A =2sin B sin A ,所以sin A (2sin B -3)=0.因为0<A <π,0<B <π,所以sin A ≠0,sin B =32,所以B =π3或2π3. 3.(2019·济南检测)已知a ,b ,c 分别是△ABC 的三个内角A ,B ,C 所对的边,若A =60°,c =6,a =6,则此三角形有( )A .两解B .一解C .无解D .无穷多解解析:选B.由等边对等角可得C =A =60°,由三角形的内角和可得B =60°,所以此三角形为正三角形,有唯一解.4.在△ABC 中,若c =3,C =60°,则a +b +csin A +sin B +sin C =( )A .6B .2 3C .2D . 3解析:选C.利用正弦定理的推论,得a +b +c sin A +sin B +sin C =c sin C =3sin 60°=2.5.在△ABC 中,已知a 2tan B =b 2tan A ,则△ABC 的形状是 ( ) A .锐角三角形 B .直角三角形 C .钝角三角形D .等腰三角形或直角三角形解析:选D.将a =2R sin A ,b =2R sin B (R 为△ABC 外接圆的半径)代入已知条件,得sin 2A tan B =sin 2B tan A ,则sin 2A sin B cos B =sin A sin 2B cos A.因为sin A sin B ≠0,所以sin A cos B =sin Bcos A,所以sin 2A =sin 2B ,所以2A =2B 或2A =π-2B ,所以A =B 或A +B =π2,故△ABC 为等腰三角形或直角三角形.6.在△ABC 中,若a =3,cos A =-12,则△ABC 的外接圆的半径为________.解析:由cos A =-12,得sin A =1-cos 2A =32,设△ABC 的外接圆的半径为R ,由正弦定理,有2R =asin A=23,即△ABC 的外接圆的半径为 3.答案: 37.在△ABC 中,角A ,B ,C 的对边分别为a ,b ,c ,若a =3,B =2A ,cos A =63,则b =________.解析:因为cos A =63,所以sin A =33,因为B =2A ,所以sin B =sin 2A =2sin A cos A =223,又b sin B =asin A,所以b =2 6. 答案:2 68.在△ABC 中,若B =π4,b =2a ,则C =________.解析:在△ABC 中,由正弦定理a sin A =b sin B ,得a sin A =2a sin π4=2a 22=2a ,所以sin A =12,所以A =π6或56π.因为b =2a >a ,所以B >A ,即A <π4,所以A =π6,所以C =π-A -B =π-π6-π4=712π.答案:712π9.(2019·浙江温州月考)在△ABC 中,A =30°,C =45°,c =2,求a ,b 及cos B . 解:因为A =30°,C =45°,c =2, 所以由正弦定理,得a =c sin A sin C =2sin 30°sin 45°=1.又B =180°-(30°+45°)=105°, 所以cos B =cos 105°=cos(45°+60°)=2-64,b =c sin Bsin C =2sin 105°sin 45°=2sin 105°=2sin(45°+60°)=6+22. 10.如图所示,AB ⊥BC ,CD =33,∠ACB =30°,∠BCD =75°,∠BDC =45°,求AB 的长.解:在△BCD 中,∠DBC =180°-75°-45°=60°,由正弦定理知,33sin 60°=BCsin 45°,可得BC =116,在Rt △ABC 中,AB =BC tan ∠ACB =116×tan 30°=11 2.[B 能力提升]11.在△ABC 中,已知B =60°,最大边与最小边的比为3+12,则三角形的最大角为( ) A .60° B .75° C .90°D .115°解析:选B.不妨设a 为最大边,c 为最小边,由题意有a c =sin A sin C =3+12,即sin Asin (120°-A )=3+12,整理,得(3-3)sin A =(3+3)cos A .所以tan A =2+3,所以A =75°,故选B.12.在△ABC 中,角A ,B ,C 的对边分别为a ,b ,c ,已知b cos C +3b sin C -a -c =0,则角B =________.解析:由正弦定理知,sin B cos C +3sin B sin C -sin A -sin C =0.(*) 因为sin A =sin(B +C ) =sin B cos C +cos B sin C ,代入(*)式得3sin B sin C -cos B sin C -sin C =0. 因为sin C >0,所以3sin B -cos B -1=0, 所以2sin ⎝⎛⎭⎫B -π6=1,即sin ⎝⎛⎭⎫ B -π6=12.因为B ∈(0,π),所以B =π3. 答案:π313.在△ABC 中,a ,b ,c 分别为角A ,B ,C 的对边,B =2π3,若a 2+c 2=4ac ,则sin (A +C )sin A sin C=________.解析:因为a 2+c 2ac =b 2+2ac cos B ac =4,B =2π3,所以b 2=5ac .由正弦定理得sin 2B =5sin A sin C =34,所以sin A sin C =320,所以sin (A +C )sin A sin C =sin B sin A sin C =1033.答案:103314.已知△ABC 中角A ,B ,C 所对的边分别为a ,b ,c ,且a cos C +32c =b . (1)求角A 的大小;(2)若a =1,b =3,求c 的值. 解:(1)由a cos C +32c =b , 得sin A cos C +32sin C =sin B . 因为sin B =sin(A +C )=sin A cos C +cos A sin C , 所以32sin C =cos A sin C . 因为sin C ≠0,所以cos A =32. 因为0<A <π,所以A =π6.(2)由正弦定理,得sin B =b sin A a =32.所以B =π3或2π3.①当B =π3时,由A =π6,得C =π2,所以c =2;②当B =2π3时,由A =π6,得C =π6,所以c =a =1.综上可得c =1或2.[C 拓展探究]15.在△ABC 中,已知a +b a =sin Bsin B -sin A ,且cos(A -B )+cos C =1-cos 2C .(1)试确定△ABC 的形状; (2)求a +cb的取值范围. 解:(1)在△ABC 中,设其外接圆半径为R , 根据正弦定理得,sin A =a 2R ,sin B =b 2R ,sin C =c2R ,代入a +b a =sin Bsin B -sin A ,得a +b a =b b -a, 所以b 2-a 2=ab .①因为cos(A -B )+cos C =1-cos 2C , 所以cos(A -B )-cos(A +B )=2sin 2C , 所以sin A sin B =sin 2C .由正弦定理,得a 2R ·b 2R =⎝⎛⎭⎫c 2R 2,所以ab =c 2.②把②代入①得,b 2-a 2=c 2, 即a 2+c 2=b 2.所以△ABC 是直角三角形. (2)由(1)知B =π2,所以A +C =π2,所以C =π2-A .所以sin C =sin ⎝⎛⎭⎫π2-A =cos A .根据正弦定理,得a +cb =sin A +sin C sin B =sin A +cos A =2sin ⎝⎛⎭⎫A +π4. 因为ac <ab =c 2, 所以a <c ,所以0<A <π4,所以π4<A +π4<π2.所以22<sin ⎝⎛⎭⎫A +π4<1, 所以1<2sin ⎝⎛⎭⎫A +π4<2,即a +cb的取值范围是(1, 2 ).。
正弦定理、余弦定理考试要求 1.掌握正弦定理、余弦定理及其变形.2.能利用正弦定理、余弦定理解决一些简单的三角形度量问题.知识梳理1.正弦定理与余弦定理定理正弦定理余弦定理内容asin A=b sin B =csin C=2R a 2=b 2+c 2-2bc cos A ;b 2=c 2+a 2-2ca cos B ; c 2=a 2+b 2-2ab cos C变形(1)a =2R sin A ,b =2R sin B ,c =2R sin C ;(2)a sin B =b sin A ,b sin C =c sin B , a sin C =c sin Acos A =b 2+c 2-a 22bc ;cos B =c 2+a 2-b 22ac ;cos C =a 2+b 2-c 22ab2.三角形中常用的面积公式 (1)S =12ah a (h a 表示边a 上的高);(2)S =12ab sin C =12ac sin B =12bc sin A ;(3)S =12r (a +b +c )(r 为三角形的内切圆半径).常用结论在△ABC 中,常有以下结论: (1)∠A +∠B +∠C =π.(2)任意两边之和大于第三边,任意两边之差小于第三边. (3)a >b ⇔A >B ⇔sin A >sin B ,cos A <cos B .(4)sin(A +B )=sin C ;cos(A +B )=-cos C ;tan(A +B )=-tan C ;sinA +B2=cosC2;cosA +B2=sin C2. (5)三角形中的射影定理在△ABC 中,a =b cos C +c cos B ;b =a cos C +c cos A ;c =b cos A +a cos B . 思考辨析判断下列结论是否正确(请在括号中打“√”或“×”) (1)三角形中三边之比等于相应的三个内角之比.( × ) (2)在△ABC 中,若sin A >sin B ,则A >B .( √ )(3)在△ABC 的六个元素中,已知任意三个元素可求其他元素.( × ) (4)当b 2+c 2-a 2>0时,△ABC 为锐角三角形.( × ) 教材改编题1.在△ABC 中,AB =5,AC =3,BC =7,则∠BAC 等于( ) A.π6 B.π3 C.2π3D.5π6答案 C解析 因为在△ABC 中,设AB =c =5,AC =b =3,BC =a =7, 所以由余弦定理得cos∠BAC =b 2+c 2-a 22bc =9+25-4930=-12,因为∠BAC 为△ABC 的内角, 所以∠BAC =2π3.2.在△ABC 中,若A =60°,a =43,b =42,则B =. 答案 45°解析 由正弦定理知a sin A =bsin B ,则sin B =b sin A a =42×3243=22.又a >b ,则A >B ,所以B 为锐角,故B =45°.3.在△ABC 中,a =2,b =3,C =60°,则c =,△ABC 的面积=. 答案7 332解析 易知c =4+9-2×2×3×12=7,△ABC 的面积等于12×2×3×32=332.题型一 利用正弦定理、余弦定理解三角形例1 (12分)(2021·新高考全国Ⅰ)记△ABC 的内角A ,B ,C 的对边分别为a ,b ,c .已知b 2=ac ,点D 在边AC 上,BD ·sin∠ABC =a sin C . (1)证明:BD =b ;[切入点:角转化为边](2)若AD =2DC ,求cos∠ABC .[关键点:∠BDA 和∠BDC 互补]高考改编在△ABC 中,内角A ,B ,C 的对边分别为a ,b ,c ,已知b sin C +a sin A =b sin B +c sin C . (1)求A ;(2)设D 是线段BC 的中点,若c =2,AD =13,求a . 解 (1)根据正弦定理,由b sin C +a sin A =b sin B +c sin C , 可得bc +a 2=b 2+c 2, 即bc =b 2+c 2-a 2,由余弦定理可得,cos A =b 2+c 2-a 22bc =12,因为A 为三角形内角,所以A =π3.(2)因为D 是线段BC 的中点,c =2,AD =13, 所以∠ADB +∠ADC =π, 则cos∠ADB +cos∠ADC =0,所以AD 2+BD 2-AB 22AD ·BD +AD 2+DC 2-AC 22AD ·DC=0,即13+a 24-22213·a 2+13+a 24-b2213·a2=0,整理得a 2=2b 2-44,又a 2=b 2+c 2-2bc cos A =b 2+4-2b , 所以b 2+4-2b =2b 2-44, 解得b =6或b =-8(舍), 因此a 2=2b 2-44=28, 所以a =27.思维升华 解三角形问题的技巧(1)解三角形时,如果式子中含有角的余弦或边的二次式,要考虑用余弦定理;如果式子中含有角的正弦或边的一次式时,则考虑用正弦定理,以上特征都不明显时,则要考虑两个定理都有可能用到.(2)三角形解的个数的判断:已知两角和一边,该三角形是确定的,其解是唯一的;已知两边和一边的对角,该三角形具有不唯一性,通常根据三角函数值的有界性和大边对大角定理进行判断.跟踪训练1 (2021·北京)已知在△ABC 中,c =2b cos B ,C =2π3.(1)求B 的大小;(2)在下列三个条件中选择一个作为已知,使△ABC 存在且唯一确定,并求出BC 边上的中线的长度.①c =2b ;②周长为4+23;③面积为S △ABC =334.解 (1)∵c =2b cos B ,则由正弦定理可得sin C =2sin B cos B , ∴sin2B =sin2π3=32,∵C =2π3, ∴B ∈⎝ ⎛⎭⎪⎫0,π3,2B ∈⎝⎛⎭⎪⎫0,2π3, ∴2B =π3,解得B =π6.(2)若选择①:由正弦定理结合(1)可得 c b =sin C sin B =3212=3, 与c =2b 矛盾,故这样的△ABC 不存在; 若选择②:由(1)可得A =π6,设△ABC 的外接圆半径为R , 则由正弦定理可得a =b =2R sinπ6=R , c =2R sin2π3=3R , 则周长为a +b +c =2R +3R =4+23, 解得R =2,则a =2,c =23, 由余弦定理可得BC 边上的中线的长度为232+12-2×23×1×cosπ6=7; 若选择③:由(1)可得A =π6,即a =b ,则S △ABC =12ab sin C =12a 2×32=334,解得a =3,则由余弦定理可得BC 边上的中线的长度为b 2+⎝ ⎛⎭⎪⎫a 22-2×b ×a 2×cos 2π3=3+34+3×32=212. 题型二 正弦定理、余弦定理的简单应用 命题点1 三角形形状判断 例2 在△ABC 中,c -a 2c =sin 2 B 2(a ,b ,c 分别为角A ,B ,C 的对边),则△ABC 的形状为( )A .直角三角形B .等边三角形C .等腰三角形或直角三角形D .等腰直角三角形 答案 A解析 由cos B =1-2sin 2B2,得sin 2B 2=1-cos B2,所以c -a 2c =1-cos B2, 即cos B =ac.方法一 由余弦定理得a 2+c 2-b 22ac =ac,即a 2+c 2-b 2=2a 2,所以a 2+b 2=c 2.所以△ABC 为直角三角形,无法判断两直角边是否相等. 方法二 由正弦定理得cos B =sin Asin C ,又sin A =sin(B +C )=sin B cos C +cos B sin C , 所以cos B sin C =sin B cos C +cos B sin C , 即sin B cos C =0,又sin B ≠0,所以cos C =0,又角C 为三角形的内角,所以C =π2,所以△ABC 为直角三角形,无法判断两直角边是否相等.延伸探究将“c -a 2c =sin 2 B 2”改为“sin A sin B =a c,(b +c +a )(b +c -a )=3bc ”,试判断△ABC 的形状.解 因为sin A sin B =ac ,所以a b =a c,所以b =c . 又(b +c +a )(b +c -a )=3bc , 所以b 2+c 2-a 2=bc ,所以cos A =b 2+c 2-a 22bc =bc 2bc =12.因为A ∈(0,π),所以A =π3, 所以△ABC 是等边三角形.思维升华 判断三角形形状的两种思路(1)化边:通过因式分解、配方等得出边的相应关系,从而判断三角形的形状.(2)化角:通过三角恒等变形,得出内角的关系,从而判断三角形的形状.此时要注意应用A +B +C =π这个结论. 命题点2 三角形的面积例3 (2022·沧州模拟)在①sin A ,sin C ,sin B 成等差数列;②a ∶b ∶c =4∶3∶2;③b cos A =1这三个条件中任选一个,补充在下面问题中.若问题中的三角形存在,求该三角形面积的值;若问题中的三角形不存在,说明理由.问题:是否存在△ABC ,它的内角A ,B ,C 的对边分别为a ,b ,c ,且a (sin A -sin B )+b sinB =c sinC ,c =1,?注:如果选择多个条件分别解答,按第一个解答计分. 解 因为a (sin A -sin B )+b sin B =c sin C , 由正弦定理得a (a -b )+b 2=c 2, 即a 2+b 2-c 2=ab ,所以cos C =a 2+b 2-c 22ab =12,又C ∈(0,π), 所以C =π3.选择①:因为sin A ,sin C ,sin B 成等差数列, 所以sin A +sin B =2sin C ,即a +b =2c =2, 由a 2+b 2-c 2=a 2+b 2-1=ab , 得(a +b )2-3ab =1,所以ab =1, 故存在满足题意的△ABC ,S △ABC =12ab sin C =12×1×sin π3=34. 选择②:因为a ∶b ∶c =4∶3∶2, 所以A >B >C =π3,这与A +B +C =π矛盾,所以△ABC 不存在. 选择③: 因为b cos A =1,所以b ·b 2+1-a 22b=1,得b 2=1+a 2=c 2+a 2, 所以B =π2,此时△ABC 存在.又C =π3,所以A =π6,所以a =1×tanπ6=33, 所以S △ABC =12ac =36.思维升华 三角形面积公式的应用原则(1)对于面积公式S =12ab sin C =12ac sin B =12bc sin A ,一般是已知哪一个角就使用哪一个公式.(2)与面积有关的问题,一般要用到正弦定理或余弦定理进行边和角的转化. 命题点3 与平面几何有关的问题例4 如图,在平面四边形ABCD 中,已知A =π2,B =2π3,AB =6.在AB 边上取点E ,使得BE=1,连接EC ,ED .若∠CED =2π3,EC =7.(1)求sin∠BCE 的值; (2)求CD 的长.解 (1)在△BEC 中,由正弦定理, 知BE sin∠BCE =CEsin B.∵B =2π3,BE =1,CE =7,∴sin∠BCE =BE ·sin B CE =327=2114. (2)∵∠CED =B =2π3,∴∠DEA =∠BCE ,∴cos∠DEA =1-sin 2∠DEA =1-sin 2∠BCE =1-328=5714. ∵A =π2,∴△AED 为直角三角形,又AE =5,∴ED =AE cos∠DEA =55714=27.在△CED 中,CD 2=CE 2+DE 2-2CE ·DE ·cos∠CED=7+28-2×7×27×⎝ ⎛⎭⎪⎫-12=49. ∴CD =7. 教师备选1.在△ABC 中,已知a 2+b 2-c 2=ab ,且2cos A sin B =sin C ,则该三角形的形状是( ) A .直角三角形 B .等腰三角形 C .等边三角形 D .钝角三角形答案 C解析 ∵a 2+b 2-c 2=ab ,∴cos C =a 2+b 2-c 22ab =12,又C ∈(0,π), ∴C =π3,由2cos A sin B =sin C ,得cos A =sin C 2sin B =c 2b =c 2+b 2-a22bc ,∴b 2=a 2,即b =a ,又C =π3,故三角形为等边三角形.2.已知△ABC 的内角A ,B ,C 所对的边分别为a ,b ,c ,且a cos C -c cos(B +C )=-b3cos A +B .(1)求tan C ;(2)若c =3,sin A sin B =1627,求△ABC 的面积.解 (1)∵a cos C -c cos(B +C ) =-b3cos A +B ,∴a cos C +c cos A =b3cos C.由正弦定理得sin A cos C +sin C cos A =sin B3cos C ,∴sin(A +C )=sin B3cos C ,即sin B =sin B3cos C ,又∵sin B ≠0, ∴cos C =13,∴sin C =1-⎝ ⎛⎭⎪⎫132=223, tan C =sin Ccos C =2 2.(2)若c =3,由正弦定理asin A =bsin B =csin C,得asin A =b sin B =3223=924, 则a =924sin A ,b =924sin B ,则ab =924sin A ·924sin B =16216sin A sin B=16216×1627=6, ∴S △ABC =12ab sin C =12×6×223=2 2.思维升华 平面几何图形中研究或求与角有关的长度、角度、面积的最值、优化设计等问题,通常是转化到三角形中,利用正、余弦定理通过运算的方法加以解决.在解决某些具体问题时,常先引入变量,如边长、角度等,然后把要解三角形的边或角用所设变量表示出来,再利用正、余弦定理列出方程,解之,若研究最值,常使用函数思想.跟踪训练 2 (1)在△ABC 中,内角A ,B ,C 所对的边分别是a ,b ,c ,若c -a cos B = (2a -b )cos A ,则△ABC 的形状为( )A .等腰三角形B .直角三角形C .等腰直角三角形D .等腰或直角三角形答案 D解析 因为c -a cos B =(2a -b )cos A ,C =π-(A +B ),所以由正弦定理得sin C -sin A cos B=2sin A cos A -sin B cos A ,所以sin A cos B +cos A sin B -sin A cos B=2sin A cos A -sin B cos A ,所以cos A (sin B -sin A )=0,所以cos A =0或sin B =sin A ,所以A =π2或B =A 或B =π-A (舍去), 所以△ABC 为等腰或直角三角形.(2)(2022·郑州模拟)如图,在△ABC 中,AB =9,cos B =23,点D 在BC 边上,AD =7,∠ADB 为锐角.①求BD ;②若∠BAD =∠DAC ,求sin C 的值及CD 的长.解 ①在△ABD 中,由余弦定理得AB 2+BD 2-2AB ·BD ·cos B =AD 2,整理得BD 2-12BD +32=0,所以BD =8或BD =4.当BD =4时,cos∠ADB =16+49-812×4×7=-27,则∠ADB >π2,不符合题意,舍去; 当BD =8时,cos∠ADB =64+49-812×8×7=27,则∠ADB <π2,符合题意,所以BD =8.②在△ABD 中,cos∠BAD =AB 2+AD 2-BD 22AB ·AD =92+72-822×9×7=1121,所以sin∠BAD =8521,又sin∠ADB =357,所以sin C =sin(∠ADB -∠CAD )=sin(∠ADB -∠BAD )=sin∠ADB cos∠BAD -cos∠ADB sin∠BAD=357×1121-27×8521=175147,在△ACD 中,由正弦定理得CD sin∠CAD =ADsin C ,即CD =ADsin C ·sin∠CAD =7175147×8521=39217.课时精练1.△ABC 的内角A ,B ,C 的对边分别为a ,b ,c .若△ABC 的面积为a 2+b 2-c 24,则C 等于() A.π2 B.π3C.π4D.π6答案 C 解析 根据题意及三角形的面积公式知12ab sin C =a 2+b 2-c 24, 所以sin C =a 2+b 2-c 22ab=cos C , 所以在△ABC 中,C =π4. 2.(2022·北京西城区模拟)在△ABC 中,C =60°,a +2b =8,sin A =6sin B ,则c 等于( ) A.35 B.31 C .6D .5答案 B解析 因为sin A =6sin B ,由正弦定理可得a =6b ,又a +2b =8,所以a =6,b =1,因为C =60°,所以c 2=a 2+b 2-2ab cos C ,即c 2=62+12-2×1×6×12, 解得c =31.3.(2022·济南质检)已知△ABC 的内角A ,B ,C 对应的边分别为a ,b ,c ,a =4,cos2A = -725,则△ABC 外接圆半径为( ) A .5B .3C.52D.32答案 C解析 因为cos2A =-725, 所以1-2sin 2A =-725, 解得sin A =±45, 因为A ∈(0,π),所以sin A =45,又a =4,所以2R =a sin A =445=5, 所以R =52. 4.(2022·河南九师联盟联考)在△ABC 中,角A ,B ,C 的对边分别为a ,b ,c ,若c =2b ,sin 2A -3sin 2B =12sin A sin C ,则角C 等于( ) A.π6B.π3C.π2D.2π3答案 B解析 ∵sin 2A -3sin 2B =12sin A sin C , 由正弦定理可得a 2-3b 2=12ac , ∵c =2b ,∴a 2-3b 2=12a ·2b =ab , 由余弦定理可得cos C =a 2+b 2-c 22ab =a 2-3b 22ab =12, ∵0<C <π,∴C =π3. 5.(多选)(2022·山东多校联考)在△ABC 中,角A ,B ,C 的对边分别为a ,b ,c ,2b sin A =5a cos B ,AB =2,AC =26,D 为BC 的中点,E 为AC 上的点,且BE 为∠ABC 的平分线,下列结论正确的是( )A .cos∠BAC =-66 B .S △ABC =3 5 C .BE =2D .AD = 5答案 AD解析 由正弦定理可知2sin B sin A =5sin A cos B ,∵sin A ≠0,∴2sin B =5cos B .又sin 2B +cos 2B =1,∴sin B =53,cos B =23,在△ABC 中,AC 2=AB 2+BC 2-2AB ·BC cos B ,得BC =6.A 项,cos∠BAC =AB 2+AC 2-BC 22AB ·AC =4+24-362×2×26=-66;B 项,S △ABC =12AB ·BC sin B =12×2×6×53=25;C 项,由角平分线性质可知AEEC =AB BC =13,∴AE =62.BE 2=AB 2+AE 2-2AB ·AE cos A =4+32-2×2×62×⎝ ⎛⎭⎪⎫-66=152,∴BE =302;D 项,在△ABD 中,AD 2=AB 2+BD 2-2AB ·BD cos B=4+9-2×2×3×23=5,∴AD = 5.6.(多选)(2022·张家口质检)下列命题中,正确的是( )A .在△ABC 中,A >B ,则sin A >sin BB .在锐角△ABC 中,不等式sin A >cos B 恒成立C .在△ABC 中,若a cos A =b cos B ,则△ABC 必是等腰直角三角形D .在△ABC 中,若B =60°,b 2=ac ,则△ABC 必是等边三角形答案 ABD解析 对于A ,由A >B ,可得a >b ,利用正弦定理可得sin A >sin B ,正确;对于B ,在锐角△ABC 中,A ,B ∈⎝ ⎛⎭⎪⎫0,π2,∵A +B >π2, ∴π2>A >π2-B >0, ∴sin A >sin ⎝ ⎛⎭⎪⎫π2-B =cos B , ∴不等式sin A >cos B 恒成立,正确;对于C ,在△ABC 中,由a cos A =b cos B ,利用正弦定理可得sin A cos A =sin B cos B ,∴sin2A =sin2B ,∵A ,B ∈(0,π),∴2A =2B 或2A =π-2B ,∴A =B 或A +B =π2, ∴△ABC 是等腰三角形或直角三角形,∴是假命题,错误;对于D ,由于B =60°,b 2=ac ,由余弦定理可得b 2=ac =a 2+c 2-ac ,可得(a -c )2=0,解得a =c ,可得A =C =B =60°,故正确.7.(2022·潍坊质检)已知△ABC 的内角A ,B ,C 的对边分别是a ,b ,c ,且b =3,a -c =2,A =2π3.则△ABC 的面积为. 答案 1534解析 由余弦定理得a 2=b 2+c 2-2bc cos A ,∵b =3,a -c =2,A =2π3, ∴(c +2)2=32+c 2-2×3c ×⎝ ⎛⎭⎪⎫-12, 解得c =5,则△ABC 的面积为S =12bc sin A =12×3×5×32=1534. 8.(2021·全国乙卷)记△ABC 的内角A ,B ,C 的对边分别为a ,b ,c ,面积为3,B =60°,a 2+c 2=3ac ,则b =.答案 2 2解析 由题意得S △ABC =12ac sin B =34ac =3,则ac =4,所以a 2+c 2=3ac =3×4=12,所以b 2=a 2+c 2-2ac cos B =12-2×4×12=8,则b =22(负值舍去).9.(2022·南平模拟)在①2c cos B =2a -b ,②△ABC 的面积为34(a 2+b 2-c 2),③cos 2A -cos 2C =sin 2B -sin A sin B ,这三个条件中任选一个,补充在下面的问题中,并加以解答.(如果选择多个条件作答,则按所选的第一个条件给分)已知△ABC 的内角A ,B ,C 所对的边分别是a ,b ,c ,且.(1)求角C 的大小;(2)若c =2且4sin A sin B =3,求△ABC 的面积.解 (1)若选条件①2c cos B =2a -b ,则2c ·a 2+c 2-b 22ac=2a -b , 即a 2+b 2-c 2=ab ,所以cos C =12, 又因为C ∈(0,π),所以C =π3. 若选条件②△ABC 的面积为34(a 2+b 2-c 2), 则34(a 2+b 2-c 2)=12ab sin C , 即sin C =3cos C ,所以tan C =3,又因为C ∈(0,π),所以C =π3. 若选条件③cos 2A -cos 2C =sin 2B -sin A sin B ,则(1-sin 2A )-(1-sin 2C )=sin 2B -sin A sin B ,即sin 2A +sin 2B -sin 2C =sin A sin B ,即a 2+b 2-c 2=ab ,所以cos C =12,又因为C ∈(0,π),所以C =π3. (2)因为c =2, 所以a sin A =b sin B =c sin C =2sin π3=43, 所以sin A =34a ,sin B =34b , 又因为4sin A sin B =3,所以ab =4,△ABC 的面积为12ab sin C = 3. 10.(2022·湘豫联盟联考)如图,在△ABC 中,∠B =60°,AB =8,AD =7,点D 在BC 上,且cos∠ADC =17.(1)求BD ;(2)若cos∠CAD =32,求△ABC 的面积. 解 (1)∵cos∠ADB =cos(π-∠ADC )=-cos∠ADC =-17. 在△ABD 中,由余弦定理得82=BD 2+72-2·BD ·7·cos∠ADB ,解得BD =3或BD =-5(舍).(2)由已知sin∠ADC =437,sin∠CAD =12, ∴sin C =sin(∠ADC +∠CAD )=437×32+17×12=1314. 由正弦定理得CD =AD sin∠CAD sin C =7×121314=4913, ∴BC =3+4913=8813,∴S △ABC =12×8×8813×32=176313.11.在△ABC 中,三个内角A ,B ,C 的对边分别为a ,b ,c ,若△ABC 的面积为S ,且4S =(a+b )2-c 2,则sin ⎝ ⎛⎭⎪⎫π4+C 等于 ( ) A .1B .-22C.22D.32 答案 C解析 因为S =12ab sin C , cos C =a 2+b 2-c 22ab, 所以2S =ab sin C ,a 2+b 2-c 2=2ab cos C .又4S =(a +b )2-c 2=a 2+b 2-c 2+2ab ,所以2ab sin C =2ab cos C +2ab .因为ab ≠0,所以sin C =cos C +1.因为sin 2C +cos 2C =1,所以(cos C +1)2+cos 2C =1,解得cos C =-1(舍去)或cos C =0,所以sin C =1,则sin ⎝ ⎛⎭⎪⎫π4+C =22(sin C +cos C )=22. 12.(2022·焦作模拟)在△ABC 中,内角A ,B ,C 的对边a ,b ,c 依次成等差数列,△ABC 的周长为15,且(sin A +sin B )2+cos 2C =1+sin A sin B ,则cos B 等于( )A.1314B.1114C.12D .-12答案 B解析 因为(sin A +sin B )2+cos 2C=1+sin A sin B ,所以sin 2A +sin 2B +2sin A ·sin B +1-sin 2C=1+sin A ·sin B ,所以由正弦定理得a 2+b 2-c 2=-ab ,又a ,b ,c 依次成等差数列,△ABC 的周长为15,即a +c =2b ,a +b +c =15, 由⎩⎪⎨⎪⎧ a 2+b 2-c 2=-ab ,a +c =2b ,a +b +c =15,解得⎩⎪⎨⎪⎧ a =3,b =5,c =7.cos B =a 2+c 2-b 22ac =32+72-522×3×7=1114. 13.(2022·开封模拟)在平面四边形ABCD 中,BC ⊥CD ,∠B =3π4,AB =32,AD =210,若AC =35,则CD 为.答案 1或5解析 因为在△ABC 中,∠B =3π4,AB =32, AC =35,由正弦定理可得AC sin B =AB sin∠ACB, 所以sin∠ACB =AB ·sin B AC =32×2235=55, 又BC ⊥CD ,所以∠ACB 与∠ACD 互余,因此cos∠ACD =sin∠ACB =55, 在△ACD 中,AD =210,AC =35,由余弦定理可得cos∠ACD =55=AC 2+CD 2-AD 22AC ·CD =5+CD 265CD, 所以CD 2-6CD +5=0,解得CD =1或CD =5.14.(2022·大连模拟)托勒密(Ptolemy)是古希腊天文学家、地理学家、数学家,托勒密定理就是由其名字命名,该定理指出:圆的内接凸四边形两组对边乘积的和等于两条对角线的乘积.已知凸四边形ABCD 的四个顶点在同一个圆的圆周上,AC ,BD 是其两条对角线,AB =AD ,∠BAD =120°,AC =6,则四边形ABCD 的面积为.答案 9 3 解析 在△ABD 中,设AB =a ,由余弦定理得BD 2=AB 2+AD 2-2AB ·AD ·cos∠BAD =3a 2,所以BD =3a ,由托勒密定理可得a (BC +CD )=AC ·3a ,即BC +CD =3AC ,又∠ABD =∠ACD =30°,所以四边形ABCD 的面积 S =12BC ·AC sin30°+12CD ·AC sin30°=14(BC +CD )·AC =34AC 2=9 3.15.(多选)中国南宋时期杰出数学家秦九韶在《数书九章》中提出了“三斜求积术”,即以小斜幂,并大斜幂,减中斜幂,余半之,自乘于上;以小斜幂乘大斜幂,减上,余四约之,为实;一为从隅,开平方得积.把以上文字写成公式,即S =14⎣⎢⎡⎦⎥⎤c 2a 2-⎝ ⎛⎭⎪⎫c 2+a 2-b 222(S 为三角形的面积,a ,b ,c 为三角形的三边).现有△ABC 满足sin A ∶si n B ∶sin C =2∶3∶7,且△ABC 的面积S △ABC =63,则下列结论正确的是( )A .△ABC 的周长为10+27B .△ABC 的三个内角满足A +B =2CC .△ABC 的外接圆半径为4213D .△ABC 的中线CD 的长为3 2答案 AB解析 A 项,设△ABC 的内角A ,B ,C 所对的边分别为a ,b ,c ,因为sin A ∶sin B ∶sin C =2∶3∶7,所以由正弦定理可得a ∶b ∶c =2∶3∶7,设a =2t ,b =3t ,c =7t (t >0),因为S △ABC =63,所以63=14⎣⎢⎡⎦⎥⎤7t 2×4t 2-⎝ ⎛⎭⎪⎫7t 2+4t 2-9t 222,解得t =2,则a =4,b =6,c =27,故△ABC 的周长为10+27,A 正确;B 项,因为cos C =a 2+b 2-c 22ab =16+36-282×4×6=12, 所以C =π3,A +B =π-π3=2π3=2C , 故B 正确;C 项,因为C =π3,所以sin C =32, 由正弦定理得2R =c sin C =2732=4213, R =2213, C 错误;D 项,由余弦定理得cos B =a 2+c 2-b 22ac =16+28-362×4×27=714, 在△BCD 中,BC =4,BD =7,由余弦定理得cos B =16+7-CD 22×4×7=714, 解得CD =19,D 错误.16.(2021·新高考全国Ⅱ)在△ABC 中,角A ,B ,C 所对的边分别为a ,b ,c ,b =a +1,c =a +2.(1)若2sin C =3sin A ,求△ABC 的面积;(2)是否存在正整数a ,使得△ABC 为钝角三角形?若存在,求出a 的值;若不存在,说明理由. 解 (1)因为2sin C =3sin A ,则2c =2(a +2)=3a ,则a =4,故b =5,c =6,cos C =a 2+b 2-c 22ab =18,所以C 为锐角, 则sin C =1-cos 2C =378,因此, S △ABC =12ab sin C =12×4×5×378=1574. (2)显然c >b >a ,若△ABC 为钝角三角形,则C 为钝角,由余弦定理可得cos C =a 2+b 2-c 22ab =a 2+a +12-a +222a a +1=a 2-2a -32a a +1<0,则0<a <3,由三角形三边关系可得a +a +1>a +2, 可得a >1,因为a ∈N *,故a =2.。
1.在△ABC 中,A =60°,a =43,b =42,则( ) A .B =45°或135° B .B =135° C .B =45° D .以上答案都不对.以上答案都不对解析:选C.sin B c =2,b =6,B =120°,则a 等于( ) A.6 B .2 C.3 D.2 解析:选D.由正弦定理6sin 120°=2sin C ⇒sin C =12, 于是C =30°⇒A =30°⇒a =c = 2. 3.在△ABC 中,若tan A =13,C =150°,BC =1,则AB =__________. 解析:在△ABC 中,若tan A =13,C =150°, ∴则根据正弦定理知AB =BC ·sin C sin A =102. 答案:1024.已知△ABC 中,AD 是∠BAC D,求证:BD DC =AB AC. 证明:如图所示,设∠ADB =θ,则∠ADC =π-θ. 在△ABD 中,由正弦定理得: BD sin A 2=AB sin θ,即BDAB =sin A2sin θ;① 在△ACD 中,CD sin A 2=ACsin (π-θ),解三角函数:正弦定理=22,∵a >b ,∴B =45°45°. . 2.△ABC 的内角A ,B ,C 的对边分别为a ,b ,c ,若A 为锐角,sin A =110,BC =1,的平分线,交对边BC 于∴CDAC =sinA2 sin θ.②由①②得BDAB=CDAC,∴BDDC=ABAC. 一、选择题1.在△ABC中,a=5,b=3,C=120°,则sin A∶sin B的值是() A.53 B.35C.37 D.5B=ab=53. 2.在△ABC中,若sin Aa=cos Cc,则C的值为() A.30°B.45°C.60°D.90°解析:选B.∵sin Aa=cos Cc,∴sin Acos C=ac,又由正弦定理ac=sin Asin C. ∴cos C=sin C,即C=45°,故选B. 3.15,b=10,A =60°,则cos B=() A.-223 B.223C.-63D.63解析:选D.由正弦定理得15sin 60°=10sin B,∴sin B=10·10·sin 60°sin 60°15=10×3215=33. ∵a>b,A 7解析:选A.根据根据正弦定理正弦定理得sin A sin (2010年高考湖北卷)在△ABC中,a==60°,∴B为锐角.∴cos B=1-sin2B=1-(33)2=63. 4.在△ABC中,a=b sin A,则△ABC一定是() A.锐角三角形.锐角三角形 B.直角三角形C.钝角三角形.钝角三角形 D.等腰三角形解析:选B.由题意有a sin A =b =bsin 3,a =3,b =1,则c =( ) A .1 B .2 C.3-1 D.3 解析:选 B..两解.两解 B .一解.一解 C .无解.无解 D .无穷多解.无穷多解解析:选B.因c sin A =23<4,且a =c ,故有唯一解.二、填空题7.在△ABC 中,已知BC =5,sin C =2sin A ,则AB =________. 解析:AB =sin C sin A BC =2BC=2 5. 答案:25 8.在△ABC 中,B =30°,C =120°,则a ∶b ∶c =________. 解析:A =180°-30°-120°=30°, 由正弦定理得: a ∶b ∶c =sin A ∶sin B ∶sin C =1∶1∶ 3. 答案:1∶1∶3 在△ABC 中,若b =1,c =3,∠C =2π3,则a =________. 解析:由正弦定理,有3sin 2π3=1sin B , B ,则sin B =1,即角B 为直角,故△ABC是直角三角形.5.在△ABC 中,角A 、B 、C 的对边分别为a 、b 、c ,已知A =π由正弦定理a sin A =b sin B ,可得3sin π3=1sin B ,∴sin B =12,故B =30°或150°150°. . 由a >b ,得A >B ,∴B =30°30°. . 故C =90°,由,由勾股定理勾股定理得c =2. 6.(2011年天津质检)在△ABC 中,如果A =60°,c =4,a =4,则此三角形有( ) A9.(2010年高考北京卷)=6,=. =a2R∶b2R∶c2R=×4A=bsin B,得=a sin Bb=×322=534>=532,所以cos(π-cos(π-cos(π2-cos(π2-a·a2Rcos(π2-cos(π2-2.=π15=根据正弦定理正弦定理asin =b·b2R,。
正弦定理练习题1.在△ ABC 中, / A = 45 ° , / B = 60 ° a = 2,贝U b 等于() A. 6B. .2C. .3D . 2,6 2.在△ ABC 中, 已知a = 8 ,B = 60 ° ,C = 75 ° 则 b 等于()A . 4 .2B . 4 3C . 4632DE3. 在△ ABC 中,角A 、B 、C 的对边分别为a 、b 、c , A = 60°a = 4羽,b = 02,则角 B为()A . 45或135 °B . 135 °C . 45 °D .以上答案都不对 4.在△ ABC 中,a : b : c =1 : 5 : 6,贝U sinA : sinB : sinC 等于()A . 1 : 5 : 6B . 6 : 5 : 1C . 6: 1 : 5D .不确定5. 在△ ABC 中,a , b , c 分别是角 A , B , C 所对的边,若 A = 105 ° B = 45 ° b = {2,则c =( )1 1A . 1B ・2C . 2 D.4 6. 在△ ABC 中,若需=?,则厶ABC 是()cos B aA .等腰三角形B .等边三角形C .直角三角形D .等腰三角形或直角三角形7. 已知△ ABC 中,AB = V 3, AC = 1,Z B = 30 ° 则厶 ABC 的面积为()养B 汙 廿或3 或于& △ ABC 的内角A 、B 、C 的对边分别为 a 、b 、c.若c = .2, b = . 6, B = 120。
,则a 等于()A. . 6B . 2C. ,3D. . 29. ____________________________________________________________________________ 在厶ABC 中,角A 、B 、C 所对的边分别为a 、b 、c,若a = 1, c = .3,C =扌,则A = _____________________ 10. ________________________________________________________ 在△ ABC 中,已知 a = 433, b = 4, A = 30° 则 sinB = _________________________________________ . 11. 在△ ABC 中,已知/ A = 30 ° / B = 120 ° b = 12 ,贝U a + c = ______________12. ________________________________________________ 在△ ABC 中,a = 2bcosC ,则厶ABC 的形状为 ________________________________________________ . c =14. 已知△ ABC 中,/ A : / B : / C = 1 : 2 : 3 ,115. 在△ ABC 中,已知 a = 3 .2 , cosC = 3 , S MBC = 4,3 ,贝V b = _____________ 16. 在△ ABC 中,b = 4*3, C = 30 ° ° c = 2,则此三角形有 _____________ 组解.13.在厶ABC 中, A = 60 ° a = 6 .3 , b = 12 , S ^ ABC = 18 .3,则 a + b + c sinA + si nB +a — 2b +c sin A — 2si n B + sinC17. A ABC 中,ab = 60.3 , sin B= sin C, △ ABC 的面积为15 3 ,求边b 的长.正弦定理1.在△ ABC 中,/ A = 45 ° , / B = 60 ° a = 2 , A. 6 B. 2 C. 3解析:选A.应用正弦定理得: 壬=匕,si nA si nB C = 75 ° 则b 等于( 求得 b = asinB 2.在△ ABC 中,已知 a = 8, B = 60 °A . 4 ,2B . 4 ,3 解析:选C.A = 45°由正弦定理得 sinA 则b 等于(C . 46 asi nB b =辭=4® )D . 2 6,6.3.在△ ABC 中,角 A 、B 、C 的对边分别为 为() A . 45 或 135 ° a 、 b 、c , A = 60 ° a = 4,3 , b = 4,2 ,则角 B B . 135° C . 45° a b 解析:选C.由正弦定理一三=」得:sin B = csinA si nB a 2 4. 在△ ABC 中,a : b : c = 1 : 5 : 6,贝U sinA : sinB : sinC 等于()A . 1 : 5 : 6 C . 6 : 1 : 5 解析:选A.由正弦定理知sinA : sinB 5. 在△ ABC 中, =( )a ,b ,c 分别是角A , B , 1 B.2 C . D •以上答案都不对bSin ^-^2,又•/ a>b , ••• B<60° ••• B = 45°B . 6 : 5 : 1 D .不确定 :sinC = a : b : c = 1 : 5 : 6.C 所对的边,若 A = 105 ° B = 45 ° b = 2,贝U c解析:选 A.C =呃―10—45° 30° 由 si^B sinC 1 D ・4 c 伯 \/2 冶in 30 ° “ 得c =飞帚 =1. 6.在△ ABC 中,若 cOsB = b ,则厶 ABC 是() cos B a A •等腰三角形 B •等边三角形 b sin B 解析:选 D. •••-=—=, a sin A sin AcosA = sin BcosB , •即 2A = 2B 或 2A + 2B = C •直角三角形 D •等腰三角形或直角三角形 cos A sin Bcos B sin A sin2A = sin2B n n,即 A = B ,或 A + B = 2 7.已知△ ABC 中,AB =-. 3 , AC = 1, / B = 30° 则厶 ABC 的面积为( ) 3 3 A.f B.〒 0宁或3 D. 43或~2 解析:选D.J AB =座,求出sinC =」, sinC si nB 2•••/ C 有两解,即/ C = 60°或 120°,•/ 1再由&ABC = ^AB ACsinA 可求面积. & △ ABC 的内角A 、B 、C 的对边分别为 A. 6C. 3•/ AB > AC , A = 90°或 30°解析:选D.由正弦定理得矗a 、b 、 B . D. i 2二 sinC ,c.若 c = 2 , b = 6 , B = 120 ° 则 a 等于( ) 2 .c 1 • si nC =-2又••• C 为锐角,则 C = 30° • A = 30°△ ABC 为等腰三角形,a = c = .2.9.在厶ABC 中,角A 、B 、C 所对的边分别为a 、b 、c,若a = 1, c = .'3, C =扌,则A =解析:由正弦定理得:岂=壬,sinA sinCa sinC 1 所以 sinA = =-. c 2nn又 v a < c ,「. A < C =—,• A =二3答案:n6n6.10.在△ ABC 中,已知 a = ^J 3,解析:由正弦定理得ab = 4, A = 30° 贝U sinB =?sinB = a sinA sinB 1bsinA 4 ^2 •.; 3—2 . 4.33答案:-2-11. 在△ ABC 中, 解析:C = 180° — 120° — 30°= 30° • a = c ,已知/ A = 30° / B = 120 ° b = 12,贝U a + c = ,a b12 >sin30 ° , _ 由 = 得,a == 4 3, si nA si nB si n120•- a + c = 8 3答案:8 '312. 在△ ABC 中,a = 2bcosC ,则△ ABC 的形状为—解析:由正弦定理,得 a = 2R sinA , b = 2R sinB , 代入式子a = 2bcosC ,得2RsinA = 2 2R sinB cosC , 所以 sinA = 2sinB cosC ,即 sinB cosC + cosB sinC = 2sinB cosC , 化简,整理,得si n(B — C) = 0.•/ 0°< B v 180° 0°< C v 180° •••— 180°< B — C < 180° • B — C = 0° B = C.答案:等腰三角形sin120 13.在△ ABC 中, A = 60 ° a = 6 阪 b = 12, S "BC =聞,则艸:蔦;:si nCc =解析:由正弦定理得a +b +c .. i aA == 12,又 S^ABC = TbcsinA , •彳sinA + sinB + sinC sinA sin602 2X12 冶in60 冷=18雨,c = 6.答案: 12 614.已知△ ABC 中,/ A :/ B :/C =1 : 2: 3, a =1, a — 2b + c由/ A :Z B :/C =1 :••• 2R=-^ = — = 2,sinA si n30又 v a = 2Rsin A , b = 2Rsin B ,a — 2b +c 解析: 2 : 3得,/ A = 30°则 sin A — 2sin B + sin C/ B = 60° , / C = 90°c = 2Rsi n C ,2R sin A — 2si nB + sin C sin A — 2s in B + sinC 答案:2=2R = 2. sin A — 2si n B + sin C解:由 sinCcosC = $ 得 sinC = 1, 又 C € (0, n )所以 C = Z 或 C = 5^ 由 sin Bsin C = cos 2A ,得1sin Bsi n C = Q1 — cos(B + C)],即 2sin Bsin C = 1 — cos(B + C),即 2sin Bsin C + cos(B + C)= 1,变形得 cos Bcos C + sin Bsi n C = 1, 即 cos(B — C)= 1,所以 B = C = n B = C =严(舍去),2nA = n — (B + C) = 3 .由正弦定理一匕=—七=—七,得sin A sin B sin C1- sin B 2 2 b = c = a = 2 3X _ = 2.sin A x 也2故 A = 2n ,B =n , b = c = 2.3 619. (2009年高考四川卷)在厶ABC 中,A 、B 为锐角,角A 、B 、C 所对应的边分别为15.在△ ABC 中,已知 a = 3,2 cosC = 3,ABC = 4治,贝H b= ________ ,解析:依题意, sinC = 23^, S^ABC = ^absinC = 4 3, 解得b = 2 3. 答案:2 316. _______________________________________________________ 在△ABC 中,b = 4書,C = 30° c = 2,则此三角形有 ________________________ 组解._ 1 _解析:••• bsinC = 4 3 2它且c = 2,••• c< bsi nC ,「.此三角形无解. 40 km/h 的速度沿着方位角 船在 65° 17.如图所示,货轮在海上以向线的水平转角)为140°的方向航行,为了确定船位, 航行半小时后船到达 C 点,观测灯塔 A 的方位角是 距离是多少?(指从正北方向顺时针转到目标方B 点观测灯塔A 的方位角为110° 则货轮到达C 点时,与灯塔A 的1解:在△ ABC 中,BC = 40 X- = 20,/ ABC = 140° — 110°= 30°/ ACB = (180。
高考数学《正弦定理、余弦定理及解三角形》真题练习含答案一、选择题1.设△ABC 的内角A ,B ,C 所对的边长分别为a ,b ,c ,若a =2 ,b =3 ,B =π3,则A =( )A .π6B .56 πC .π4D .π4 或34 π答案:C解析:由正弦定理得a sin A =b sin B ,∴sin A =a sin B b =2×323=22 ,又a <b ,∴A为锐角,∴A =π4.2.在△ABC 中,b =40,c =20,C =60°,则此三角形解的情况是( ) A .有一解 B .有两解C .无解D .有解但解的个数不确定 答案:C解析:由正弦定理b sin B =c sin C ,∴sin B =b sin Cc =40×3220 =3 >1,∴角B 不存在,即满足条件的三角形不存在.3.在△ABC 中,角A ,B ,C 所对的边分别为a ,b ,c ,若a =2,b =3,c =7 ,则角C =( )A .π6B .π4C .π3D .π2答案:C解析:由余弦定理得c 2=a 2+b 2-2ab cos C ,得cos C =a 2+b 2-c 22ab =4+9-72×2×3 =12,又C 为△ABC 内角,∴C =π3 .4.已知△ABC 中,内角A ,B ,C 的对边分别为a ,b ,c ,若a 2=b 2+c 2-bc ,bc =4,则△ABC 的面积为( )A .12 B .1 C .3 D .2答案:C解析:由余弦定理得a 2=b 2+c 2-2bc cos A ,又a 2=b 2+c 2-bc ,∴2cos A =1,cos A =12 ,∴sin A =1-cos 2A =32 ,∴S △ABC =12 bc sin A =12 ×4×32=3 . 5.在△ABC 中,a ,b ,c 分别是内角A ,B ,C 的对边.若b sin A =3c sin B ,a =3,cos B =23,则b =( )A.14 B .6 C .14 D .6 答案:D解析:∵b sin A =3c sin B ,由正弦定理得ab =3bc ,∴a =3c ,又a =3,∴c =1,由余弦定理得b 2=a 2+c 2-2ac ·cos B =9+1-2×3×23=6,∴b =6 .6.设△ABC 的内角A ,B ,C 所对的边分别为a ,b ,c ,若b cos C +c cos B =a sin A ,则△ABC 的形状为( )A .锐角三角形B .直角三角形C .钝角三角形D .不确定 答案:B解析:∵b cos C +c cos B =a sin A ,∴sin B cos C +sin C cos B =sin 2A ,∴sin A =1,又A 为△ABC 的内角,∴A =90°,∴△ABC 为直角三角形.7.钝角三角形ABC 的面积是12,AB =1,BC =2 ,则AC =( )A .5B .5C .2D .1 答案:B解析:∵S △ABC =12 AB ×BC ×sin B =22 sin B =12 ,∴sin B =22,若B =45°,由余弦定理得AC 2=AB 2+BC 2-2AB ·BC ·cos 45°=1+2-2×2 ×22 =1,则AC =1,则AB 2+AC 2=BC 2,△ABC 为直角三角形,不合题意;当B =135°时,由余弦定理得AC 2=AB 2+BC 2-2AB ·BC cos 135°=1+2+2×2 ×22=5,∴AC =5 .8.如图,设A ,B 两点在河的两岸,一测量者在A 所在的同侧河岸边选定一点C ,测出AC 的距离为50 m ,∠ACB =45°,∠CAB =105°后,就可以计算出A ,B 两点的距离为( )A .502 mB .503 mC .252 mD .2522m答案:A解析:由正弦定理得AC sin B =ABsin C,∴AB =AC ·sin Csin B =50×22sin (180°-45°-105°) =502 .9.[2024·全国甲卷(理)]记△ABC 的内角A ,B ,C 的对边分别为a ,b ,c ,已知B =60°,b 2=94ac ,则sin A +sin C =( )A .32 B .2C .72D .32答案:C解析:∵b 2=94 ac ,∴由正弦定理可得sin 2B =94sin A sin C .∵B =60°,∴sin B =32 ,∴34 =94 sin A sin C ,∴sin A sin C =13.由余弦定理可得b 2=a 2+c 2-2ac cos B =a 2+c 2-ac ,将b 2=94 ac 代入整理得,a 2+c 2=134ac ,∴由正弦定理得sin 2A +sin 2C =134 sin A sin C ,则(sin A +sin C )2=sin 2A +sin 2C +2sin A sin C =134 sin A sin C+2sin A sin C =214 sin A sin C =214 ×13 =74 ,∴sin A +sin C =72 或-72(舍).故选C.二、填空题10.在△ABC 中,内角A ,B ,C 所对的边分别为a ,b ,c ,若(a +b +c )(a -b +c )=ac ,则B =________.答案:23π解析:由(a +b +c )(a -b +c )=ac 得a 2+c 2-b 2+ac =0.由余弦定理得cos B =a 2+c 2-b 22ac =-12 ,又B 为△ABC 的内角,∴B =23π.11.在△ABC 中,内角A ,B ,C 所对的边分别为a ,b ,c ,且c =a cos B ,①则A =________;②若sin C =13,则cos (π+B )=________.答案:①90° ②-13解析:①∵c =a ·cos B ,∴c =a ·a 2+c 2-b 22ac,得a 2=b 2+c 2,∴∠A =90°;②∵cos B =cos (π-A -C )=sin C =13 .∴cos (π+B )=-cos B =-sin C =-13 .12.[2023·全国甲卷(理)]在△ABC 中,∠BAC =60°,AB =2,BC =6 ,∠BAC 的角平分线交BC 于D ,则AD =________.答案:2 解析:方法一 由余弦定理得cos 60°=AC 2+4-62×2AC ,整理得AC 2-2AC -2=0,得AC=1+3 .又S △ABC =S △ABD +S △ACD ,所以12 ×2AC sin 60°=12 ×2AD sin 30°+12 AC ×AD sin30°,所以AD =23AC AC +2 =23×(1+3)3+3=2.方法二 由角平分线定理得BD AB =CD AC ,又BD +CD =6 ,所以BD =26AC +2,CD =6AC AC +2 .由角平分线长公式得AD 2=AB ×AC -BD ×CD =2AC -12AC(AC +2)2 ,又由方法一知AC =1+3 ,所以AD 2=2+23 -12×(1+3)(3+3)2=2+23 -(23 -2)=4,所以AD =2.[能力提升]13.(多选)在△ABC 中,角A ,B ,C 的对边分别为a ,b ,c ,a =8,b <4,c =7,且满足(2a -b )cos C =c ·cos B ,则下列结论正确的是( )A .C =60°B .△ABC 的面积为63 C .b =2D .△ABC 为锐角三角形 答案:AB解析:∵(2a -b )cos C =c cos B ,∴(2sin A -sin B )cos C =sin C cos B ,∴2sin A cos C =sin B cos C +cos B sin C ,即2sin A cos C =sin (B +C ),∴2sin A cos C =sin A .∵在△ABC 中,sin A ≠0,∴cos C =12 ,∴C =60°,A 正确.由余弦定理,得c 2=a 2+b 2-2ab cos C ,得49=64+b 2-2×8b cos 60°,即b 2-8b +15=0,解得b =3或b =5,又b <4,∴b =3,C 错误.∴△ABC 的面积S =12 ab sin C =12 ×8×3×32 =63 ,B 正确.又cos A =b 2+c 2-a 22bc=9+49-642×3×7<0,∴A 为钝角,△ABC 为钝角三角形,D 错误. 14.[2023·全国甲卷(理)]已知四棱锥P ABCD 的底面是边长为4的正方形,PC =PD =3,∠PCA =45°,则△PBC 面积为( )A .22B .32C .42D .62 答案:C解析:如图,过点P 作PO ⊥平面ABCD ,垂足为O ,取DC 的中点M ,AB 的中点N ,连接PM ,MN ,AO ,BO .由PC =PD ,得PM ⊥DC ,又PO ⊥DC ,PO ∩PM =P ,所以DC ⊥平面POM ,又OM ⊂平面POM ,所以DC ⊥OM .在正方形ABCD 中,DC ⊥NM ,所以M ,N ,O 三点共线,所以OA =OB ,所以Rt △P AO ≌Rt △PBO ,所以PB =P A .在△P AC 中,由余弦定理,得P A =PC 2+AC 2-2PC ·AC cos 45° =17 ,所以PB =17 .在△PBC 中,由余弦定理,得cos ∠PCB =PC 2+BC 2-BP 22PC ·BC =13 ,所以sin ∠PCB =223 ,所以S △PBC =12 PC ·BCsin ∠PCB =42 ,故选C.15.[2022·全国甲卷(理),16]已知△ABC 中,点D 在边BC 上,∠ADB =120°,AD =2,CD =2BD .当ACAB取得最小值时,BD =________.答案:3 -1解析:以D 为坐标原点,DC 所在的直线为x 轴,DC →的方向为x 轴的正方向,过点D 且垂直于DC 的直线为y 轴,建立平面直角坐标系(图略),易知点A 位于第一象限.由AD =2,∠ADB =120°,得A (1,3 ).因为CD =2BD ,所以设B (-x ,0),x >0,则C (2x ,0).所以AC=(2x -1)2+(0-3)2=4x 2-4x +4,AB =(-x -1)2+(0-3)2=x 2+2x +4 ,所以⎝⎛⎭⎫AC AB 2=4x 2-4x +4x 2+2x +4.令f (x )=4x 2-4x +4x 2+2x +4,x >0,则f ′(x )=(4x 2-4x +4)′(x 2+2x +4)-(4x 2-4x +4)(x 2+2x +4)′(x 2+2x +4)2=(8x -4)(x 2+2x +4)-(4x 2-4x +4)(2x +2)(x 2+2x +4)2=12(x 2+2x -2)(x 2+2x +4)2 .令x 2+2x -2=0,解得x =-1-3 (舍去)或x =3 -1.当0<x <3 -1时,f ′(x )<0,所以f (x )在(0,3 -1)上单调递减;当x >3 -1时,f ′(x )>0,所以f (x )在(3 -1,+∞)上单调递增.所以当x =3 -1时,f (x )取得最小值,即ACAB 取得最小值,此时BD =3 -1.16.在△ABC 中,内角A ,B ,C 的对边分别为a ,b ,c ,若△ABC 的面积为S ,且6S =(a +b )2-c 2,则tan C =________.答案:125解析:由余弦定理得2ab cos C =a 2+b 2-c 2,又6S =(a +b )2-c 2,所以6×12 ab sin C =(a +b )2-c 2=a 2+b 2-c 2+2ab =2ab cos C +2ab ,化简得3sin C =2cos C +2,结合sin 2C +cos 2C =1,解得sin C =1213 ,cos C =513 ,所以tan C =125.。
A.6B.2 3 6 应用正弦定理得:=,求得== 6. 42 43 46 D.32 = 6. 3,42,则角由正弦定理=得:==2,又∵=2,则B.1 D.1 ,由=得=2×2×sin 30°sin 30°=中,若cos A =,则△∵=sin B ,∴cos A =sin B ,π. =3A.3 B.3C.3或3 D.3或3 D.=,求出=3,∵1AB =2,6A.6 C.3 D.2 由正弦定理得6=2, =1. = 2. 3,π,则A =c sin C, 所以sin A =a ·sin C c =12. 又∵a <c ,∴A <C =π3,∴A =π6. 答案:π610.在△ABC 中,已知a =433,b =4,A =30°,则sin B =________. 解析:由正弦定理得a sin A =b sin B⇒sin B =b sin A a =4×12433=32. 答案:3211.在△ABC 中,已知∠A =30°,∠B =120°,b =12,则a +c =________. 解析:C =180°-120°-30°=30°,∴a =c ,由a sin A =b sin B 得,a =12×12×sin30°sin30°sin120°=43,∴a +c =8 3. 答案:83 12.在△ABC 中,a =2b cos C ,则△ABC 的形状为________.解析:由正弦定理,得a =2R ·sin A ,b =2R ·sin B ,代入式子a =2b cos C ,得,得2R sin A =2·2·22R ·sin B ·cos C ,所以sin A =2sin B ·cos C ,即sin B ·cos C +cos B ·sin C =2sin B ·cos C ,化简,整理,得sin(B -C )=0. ∵0°<B <180°,0°<C <180°,∴-180°<B -C <180°,∴B -C =0°,B =C . 答案:等腰三角形答案:等腰三角形13.在△ABC 中,A =60°,a =63,b =12,S △ABC =183,则a +b +c sin A +sin B +sin C =________,c =________. 解析:由正弦定理得a +b +c sin A +sin B +sin C =a sin A =63sin60°=12,又S △ABC =12bc sin A ,∴12×12×12×sin60°sin60°sin60°××c =183, ∴c =6. 答案:12 6 14.已知△ABC 中,∠A ∶∠B ∶∠C =1∶2∶3,a =1,则a -2b +c sin A -2sin B +sin C =________. 解析:由∠A ∶∠B ∶∠C =1∶2∶3得,∠A =30°,∠B =60°,∠C =90°,∴2R =a sin A =1sin30°=2, 又∵a =2R sin A ,b =2R sin B ,c =2R sin C , ∴a -2b +c sin A -2sin B +sin C =2R sin A -2sin B +sin C sin A -2sin B +sin C =2R =2. 答案:2 15.在△ABC 中,已知a =32,cos C =13,S △ABC =43,则b =________. 解析:由解析:由正弦定理正弦定理得:a sin解析:依题意,sin C =223,S △ABC =12ab sin C =43, 解得b =2 3. 答案:23 16.在△ABC 中,b =43,C =30°,c =2,则此三角形有________组解.组解.解析:∵b sin C =43×12=23且c =2, ∴c <b sin C ,∴此三角形无解.,∴此三角形无解.答案:0 17.如图所示,货轮在海上以40 km/h 的速度沿着方位角(指从正北方向顺时针转到目标方向线的水平转角)为140°的方向航行,为了确定船位,船在B 点观测灯塔A 的方位角为110°,航行半小时后船到达C 点,观测灯塔A 的方位角是65°,则货轮到达C 点时,与灯塔A 的距离是多少?的距离是多少?=BC ·sin ∠ABCsin A =20sin30°sin45°=102(km). 即货轮到达C 点时,与灯塔A 的距离是102 2 km. km. 18.在△ABC 中,a 、b 、c 分别为角A 、B 、C 的对边,若a =23,sin C 2cos C 2=14,sin B sin C =cos 2A 2,求A 、B 及b 、c . 解:由sin C 2cos C 2=14,得sin C =12,又C ∈(0,π),所以C =π6或C =5π6. 由sin B sin C =cos 2A 2,得,得 sin B sin C =12[1-cos(B +C )], 即2sin B sin C =1-cos(B +C ), 即2sin B sin C +cos(B +C )=1,变形得,变形得cos B cos C +sin B sin C =1,即cos(B -C )=1,所以B =C =π6,B =C =5π6(舍去), A =π-(B +C )=2π3. 由正弦定理a sin A =b sin B =c sin C,得,得 b =c =a sin B sin A =23×1232=2. 故A =2π3,B =π6,b =c =2. 19.(2009年高考四川卷)在△ABC 中,A 、B 为锐角,角A 、B 、C 所对应的边分别为a 、b 、c ,且cos cos 22A =35,sin B =1010.(1)求A +B 的值;(2)若a -b =2-1,求a ,b ,c 的值.的值. 解:在△ABC 中,BC =40×12=20, ∠ABC =140°-110°=30°,∠ACB =(180°-140°140°))+65°=105°, 所以∠A =180°-(30°+105°105°))=45°, 由正弦定理得AC=10,=1-sin 2B =310. =3,∴=5,25,25×310-5×10=2. =π4. 3π4,∴=2A =b sin B =c sin C 得5a =10b =2c ,即a =2b ,c =5b ∵a -b =2-1,∴2b -b =2-1,∴=2,c = 5. ABC 中,ab =603,153,求边=1153=1603×3×sin =12,∴∠603,a sin A =b sin B ,∴215. 215. 2. :a sin 。
正弦定理、余弦定理 专题一、选择题1.设ABC ∆的外接圆半径为R ,且已知4,45AB C ==︒,则R 的值为A ...2.在ABC ∆中,,33A BC π==,则ABC ∆的周长为A .)33B π++ B .)36B π++ C .6sin()33B π++ D .6sin()36B π++ 3.在ABC ∆中,,,a b c 成等差数列,则sin sin A C ⋅等于A .2cosB B .21cos B -C .21cos B +D .21sin B +4.在ABC ∆中,30,8,A a b =︒==ABC ∆的面积S 等于A ..16 C .或16 D . 或二、填空题5.在ABC ∆中,2,45a b A ===︒,则C B -= 。
6.在ABC ∆中,60,45,2A C b ==︒=,则此三角形的最小边的长为 。
7.在ABC ∆中,若sin :sin :sin ::A B C m n l =,且a b c s ++=,则a = 。
8.在ABC ∆中,已知tan2A B a b a b--=+,则ABC ∆的形状为 。
三、解答题9.在四边形ABCD 中,AB a =,四个角,,,A B C D 的度数之比为3:7:4:10,且30CDB ∠=︒,求BC 的长。
10.设ABC ∆的三内角,,A B C 成等差数列,三条边,,a b c 的倒数也成等差数列,求角,,A B C 。
11.在一个三角形中,若有一个内角不小于120︒正弦定理、余弦定理参考答案一、选择题1.B2.D3.B4.D二、填空题5.75︒6.1)7.mSm n l ++8.等腰三角形或直角三角形三、解答题9.3BC =10.3A B C π===11.略。
6.4.2 正余弦定理(精练)【题组一 余弦定理】1.(2020·福建宁德市·高一期末)在三角形ABC 中,角A ,B ,C 所对的边分别为a ,b ,c ,其中2a =,b =3B π=,则边c 的长为______.【答案】4【解析】因为2a =,b =3B π=,所以2222222cos 222cos3b ac ac B c c π=+-∴=+-⋅⋅⋅,228004c c c c ∴--=>∴=故答案为:42.(2020·上海高一课时练习)在ABC中,若a b c ===,则A =________.【答案】60°【解析】由余弦定理的推论得2222221cos 22b c aA bc +-+-===, 0180A <<,60A ∴=.故答案为:60°3.(2020·长春市第二实验中学高一期中)在ABC 中,若::5:7:8a b c =,则B 的大小是_______. 【答案】3π【解析】::5:7:8a b c =设5a k =,7b k =,8c k =,由余弦定理可得2221cos 22a cb B ac +-==;3B π∴∠=.故答案为:3π. 3.(2020·湖北荆门外语学校高一期中)在ABC 中,内角、、A B C 对应的边分别为ab c 、、,若120,2Ab =︒=,1c =,则边长a 为( )A B C D .2【答案】A【解析】在ABC 中, 120,2A b =︒=,1c =,所以22212cos 4122172a b c bc A =+-=+-⨯⨯⨯=,a ∴= A.4.(2020·安徽高一期末)在ABC 中,角A ,B ,C 所对的边分别为a ,b ,c .已知3b =,c =4A π=,则a =( )A .5 BC .29D【答案】B【解析】由余弦定理得a ===.故选:B 5.(2020·吉林长春市)在ABC ∆中,角A ,B ,C 所对的边分别为a ,b ,c ,::3:2:4a b c =,则cos C 。
课时作业3 应用举例时间:45分钟 满分:100分课堂训练1.海上有A 、B 两个小岛相距10海里,从A 岛望C 岛和B 岛成60°的视角,从B 岛望C 岛和A 岛成75°的视角,则B 、C 间的距离是( )A .103海里B .106海里C .52海里D .56海里【答案】 D【解析】 如图,∠A =60°,∠B =75°, 则∠C =45°, 由正弦定理得:BC =AB ·sin A sin C =10×sin60°sin45°=5 6.2.如图所示,设A 、B 两点在河的两岸,一测量者在A 所在的河岸边选定一点C ,测出AC 的距离为50m ,∠ACB =45°,∠CAB =105°后,就可以计算出A 、B 两点的距离为( )A .502mB .503mC .252m D.2522m【答案】 A【解析】 因为∠ACB =45°,∠CAB =105°,所以∠ABC =30°,根据正弦定理可知,AC sin ∠ABC =AB sin ∠ACB ,即50sin30°=ABsi n45°,解得AB =502m ,选A.3.从某电视塔的正东方向的A 处,测得塔顶仰角是60°;从电视塔的西偏南30°的B 处,测得塔顶仰角为45°,A ,B 间距离是35m ,则此电视塔的高度是________m.【答案】 521【解析】 如图所示,塔高为OC ,则∠OAC =60°,∠AOB =180°-30°=150°,∠CBO =45°,AB =35,设电视塔高度为h m,则OA=33h,OB=h,在△AOB中由余弦定理可得AB2=OA2+OB2-2OA·OB·cos∠AOB,即352=(33h)2+h2-2×33h×h×(-32)解得h=521.4.如图所示,海中小岛A周围38海里有暗礁,一船正向南航行,在B处测得小岛A在船的南偏东30°,航行30海里后,在C处测得小岛在船的南偏东45°,如果此船不改变航向,继续向南航行,有无触礁的危险?【分析】船继续向南航行,有无触礁的危险,取决于A到直线BC的距离与38海里的大小,于是我们只要先求出AC或AB的大小,再计算出A到BC的距离,将它与38海里比较大小即可.【解析】在△ABC中,BC=30,∠B=30°,∠ACB=135°,∴∠BAC=15°由正弦定理BCsin A=ACsin B,即:30sin15°=ACsin30°∴AC=60cos15°=60cos(45°-30°)=60(cos45°cos30°+sin45°sin30°)=15(6+2),∴A到BC的距离为d=AC sin45°=15(3+1)≈40.98海里>38海里,所以继续向南航行,没有触礁危险.课后作业一、选择题(每小题5分,共40分)1.已知两座灯塔A和B与海洋观察站C的距离相等,灯塔A在观察站C的北偏东40°,灯塔B在观察站C的南偏东60°,则灯塔A 在灯塔B的( )A .北偏东10°B .北偏西10°C .南偏东10°D .南偏西10°【答案】 B【解析】 如图所示,∠ECA =40°,∠FCB =60°,∠ACB =180°-40°-60°=80°,∵AC =BC ,∴∠A =∠ABC =180°-80°2=50°,∴∠ABG =180°-∠CBH -∠CBA =180°-120°-50°=10°.故选B.2.某市在“旧城改造”工程中,计划在如下图所示的一块三角形空地上种植草皮以美化环境.已知这种草皮价格为a 元/m 2,则购买这种草皮需要( )A.450a元B.225a元C.150a元D.300a元【答案】 C【解析】S△=12×20×30×sin150°=12×20×30×12=150(m2),∴购买这种草皮需要150a元,故选C.3.有一长为10m的斜坡,倾斜角为75°.在不改变坡高和坡顶的前提下,通过加长坡面的方法将它的倾斜角改为30°,则坡底要延长的长度(单位:m)是( )A.5 B.10C.10 2 D.10 3【答案】 C【解析】如图,设将坡底加长到B′时,倾斜角为30°.在△ABB′中,利用正弦定理可求得BB′的长度.在△ABB ′中,∠B ′=30°,∠BAB ′=75°-30°=45°,AB =10m. 由正弦定理,得BB ′=AB sin45°sin30°=10×2212=102(m).∴坡底延长102m 时,斜坡的倾斜角将变为30°.4.一船以226km/h 的速度向正北航行,在A 处看灯塔S 在船的北偏东45°,1小时30分后航行到B 处,在B 处看灯塔S 在船的南偏东15°,则灯塔S 与B 之间的距离为( )A .66 kmB .132 kmC .96 kmD .33 km【答案】 A【解析】 如图,∠ASB =180°-15°-45°=120°, AB =226×32=336,由正弦定理336sin120°=SBsin45°,∴SB =66(km).5.据新华社报道,强台风“珍珠”在饶平登陆.台风中心最大风力达到12级以上,大风降雨给灾区带来严重的灾害,不少大树被大风折断.某路边一树干被台风吹断后,树尖与地面成45°角,树干也倾斜,与地面成75°角,树干底部与树尖着地处相距20米,则折断点与树干底部的距离是( )A.2063米B .106米 C.1063米D .202米【答案】 A【解析】 设树干底部为O ,折断点为P ,树尖着地处为M ,如图,△OPM 中,∠P =180°-∠M -∠O =180°-45°-75°=60°,由正弦定理得PO sin M =MOsin P ,∴PO =MO sin M sin P =20×sin45°sin60°=2063.6.甲船在B 岛的正南A 处,AB =10km ,甲船以4 km/h 的速度向正北航行,同时,乙船自B 岛出发以6km/h 的速度向北偏东60°的方向驶去,当甲、乙两船相距最近时,它们航行的时间是( )A.1507min B.157h C .21.5min D .2.15h【答案】 A 【解析】如图,设经过x小时时距离为s,则在△BPQ中,由余弦定理知:PQ2=BP2+BQ2-2BP·BQ·cos120°,即s2=(10-4x)2+(6x)2-2(10-4x)×6x×(-1 2 )=28x2-20x+100.当x=-b2a=514时,s2最小,此时x=514h=1507min.7.一艘船以4km/h的速度与水流方向成120°角的方向航行,已知河水流速为2km/h,则经过3h,该船实际航程为( ) A.215km B.6kmC.221km D.8km【答案】 B【解析】如图,∵|OA→|=2,|OB→|=4,∠AOB=120°,∴∠A=60°,|OC→|=22+42-2×2×4cos60°=2 3.经过3h,该船的航程为23×3=6(km).8.如图,△ABC是简易遮阳棚,A、B是南北方向上的两个定点,正东方向射出的太阳光线与地面成40°角,为了使遮阴影面ABD面积最大,遮阳棚ABC与地面所成的角为( )A.75° B.60°C.50° D.45°【答案】 C【解析】 如图,作CE ⊥平面ABD 于点E ,则∠CDE 是太阳光线与地面所成的角,即∠CDE =40°,延长DE 交直线AB 于点F ,连接CF ,则∠CFD 是遮阳棚与地面所成的角,设为α.要使S △ABD 最大,只需DF 最大.在△CFD 中,CF sin40°=DF sin 140°-α. ∴DF =CF ·sin 140°-αsin40°.∵CF 为定值,∴当α=50°时,DF 最大.二、填空题(每小题10分,共20分)9.如图在山脚A 测得山顶P 的仰角为α,沿倾斜角为β的斜坡向上走a 米到B ,又测得山顶P 的仰角为γ,则山高为________.【答案】 a sin α·sin γ-βsin γ-αm 【解析】 在△PAB 中,已知∠BAP =α-β,∠APB =γ-α,AB =a ,由正弦定理可得PA =a sin γ-βsin γ-α, 在Rt △PAQ 中,PQ =PA sin α=a sin αsin γ-βsin γ-α. 10.一只蚂蚁沿东北方向爬行x cm 后,再向右转105°爬行20cm ,又向右转135°,这样继续爬行可回到出发点处,那么x =________.【答案】 2036【解析】如图△ABC中,∠A=45°+15°=60°,∠B=45°+30°=75°,∠ACB=45°,由正弦定理知xsin∠ACB =20sin A,∴x=2036.三、解答题(每小题20分,共40分.解答应写出必要的文字说明、证明过程或演算步骤)11.A、B是海平面上的两个点,相距800 m,在A点测得山顶C 的仰角为45°,∠BAD=120°,又在B点测得∠ABD=45°,其中D 是点C到水平面的垂足,求山高CD.【分析】 如图,由于CD ⊥平面ABD ,∠CAD =45°,所以CD =AD .因此,只需在△ABD 中求出AD 即可.【解析】 在△ABD 中,∠BDA =180°-45°-120°=15°,由AB sin15°=AD sin45°,得AD =AB ·sin45°sin15°=800×226-24=800(3+1)(m).∵CD ⊥平面ABD ,∠CAD =45°∴CD =AD =800(3+1)≈2 (m).答:山高CD 为2 m.12.如图,一辆汽车从O点出发,沿海岸一条直线公路以100千米/小时的速度向东匀速行驶,汽车开动时,在O点南偏东方向距O 点500千米且与海岸距离为300千米的海上M处有一快艇,与汽车同时出发,要把一件重要的物品递送给这辆汽车的司机,问快艇至少必须以多大的速度行驶,才能把物品递送到司机手中?并求快艇以最小速度行驶时方向与OM所成的角.【分析】根据题意画出示意图如图所示.在△MON中,利用余弦定理得到速度v关于时间t的函数关系式,然后利用二次函数求最值.【解析】 如图所示,设快艇从M 处以v 千米/小时的速度出发,沿MN 方向航行,t 小时后与汽车相遇.在△MON 中,MO =500,ON =100t ,MN =vt ,设∠MON =α,由题意得sin α=35,则cos α=45. 由余弦定理,得MN 2=OM 2+ON 2-2OM ·ON ·cos α,即v 2t 2=5002+1002t 2-2×500×100t ×45. v 2=5002×1t 2-2×500×80×1t +1002=(500×1t-80)2+3 600. 当1t =80500,即t =254时,v 2min =3 600. 即快艇至少必须以60千米/小时的速度行驶,此时MN =60×254=375,MQ 是M 到ON 的距离,且MQ =300. 设∠MNO =β,则sin β=300375=45.所以可得α+β=90°, 即MN 与OM 所成的角为90°.。
完整版)正弦定理与余弦定理练习题1.已知三角形ABC中,a=4,b=43,A=30°,求角B的大小。
解:根据正弦定理,有XXX,即sinB=43/4×sin30°=21.5/4.由此可知B的大小为30°或150°,故选B。
2.已知锐角三角形ABC的面积为33,BC=4,CA=3,求角C的大小。
解:根据面积公式,有33=1/2×4×3×sinC,即sinC=22/3.由此可知C的大小为arcsin(22/3)≈75°,故选A。
3.已知三角形ABC中,a,b,c分别是角A,B,C所对的边,且(2a+c)cosB+bcosC=0,求角B的大小。
解:根据余弦定理,有c^2=a^2+b^2-2abcosC,即cosC=(a^2+b^2-c^2)/(2ab)。
代入已知式中,得(2a+c)cosB-b(a^2+b^2-c^2)/(2ab)=0,化简得(4a^2+2ac-b^2)cosB=2abc。
由此可知cosB=(2abc)/(4a^2+2ac-b^2)。
代入cosine double angle formula,得cos2B=(4a^2b^2c^2)/(4a^2b^2+2a^2c^2-2ab^3+2abc^2-2b^2c^2-b^4)。
由于cos2B≤1,可列出不等式4a^2b^2+2a^2c^2-2ab^3+2abc^2-2b^2c^2-b^4≥4a^2b^2c^2,即b^4-2ab^3+(2ac-2c^2-4a^2)b+6a^2c^2-5a^2b^2≤0.考虑b的取值,当b=0时,不等式显然成立;当b>0时,由于a,b,c均为正数,不等式两边同除以b^4后,得到一个关于x=ac/b^2的一元二次不等式6x^2-5x-2≤0.解得x∈[2/3,1],即ac/b^2∈[2/3,1]。
由此可知cosB的取值范围为[1/2,√3/2],故角B的大小为arccos(1/2)≈60°或arccos(√3/2)≈30°,故选B。
正弦定理与余弦定理练习题1.已知△ABC中,A:B:C=1:1:4,则a:b:c等于()A.1:1:4 B.1:1:2 C.1:1:D.2:2:2.(2015•浙江)任给△ABC,设角A,B,C所对的边分别为a,b,c,则下列等式成立的是()A.c2=a2+b2+2abcosC B.c2=a2+b2﹣2abcosC C.c2=a2+b2+2absinC D.c2=a2+b2﹣2absinC3.在三角形ABC中,A=120°,AB=5,BC=7,则的值为()A.B.C.D.4.在△ABC中,A=60°,a=4,b=4,则B等于()A.B=45°或135°B.B=135°C.B=45°D.以上答案都不对5.在锐角△ABC中,角A,B,C所对的边分别为a,b,c,若,a=2,,则b的值为()A.B. C. D.6.在△ABC中,内角A,B,C所对应的边分别为a,b,c,若bsinA﹣acosB=0,且b2=ac,则的值为()A.B.C.2 D.47.△ABC中,AB=,AC=1,∠B=30°,则∠C等于()A.60°B.90°C.120°D.60°或120°8.已知a,b,c分别是△ABC的三个内角A,B,C所对的边,若,则sinC=()A.0 B.2 C.1 D.﹣19.已知a,b,c分别为△ABC的三个内角A,B,C的对边,若a=2,b=2,A=60°,则角B等于()DA.45°或135°B.135°C.60°D.45°10.在△ABC中,tan=2sinC,若AB=1,求△ABC周长的取值范围()A.(2,3] B.[1,3] C.(0,2] D.(2,5]11.在△ABC中,内角A,B,C的对边分别为a,b,c,且b2+c2+bc﹣a2=0,则=()A.﹣B.C.﹣D.12.在△ABC中,已知C=,b=4,△ABC的面积为,则c=()A.B. C. D.13.在△ABC中,三内角A,B,C的对边分别为a,b,c,面积为S,若S+a2=(b+c)2,则cosA等于()A.B.﹣C.D.﹣14.在三角形A BC中,∠C=60°,AC+BC=6,A B=4,则AB边上的高为()A. B.C. D.15.在△ABC中,三个内角A,B,C所对的边为a,b,c,若S△ABC=2,a+b=6,=2cosC,则c=()A.2 B.4 C.2D.316.在△ABC中,内角A,B,C所对的边分别是a,b,c.已知A=45°,a=6,b=,则B的大小为(A )A.30°B.60°C.30°或150°D.60°或120°17在△ABC中,B=,c=150,b=50,则△ABC为()A.直角三角形B.等腰三角形或直角三角形C.等边三角形D.等腰三角形18.在△ABC中,如果a+c=2b,B=30°,△ABC的面积为,那么b等于()A.B.C.D.19.若(a+b+c)(b+c﹣a)=3bc且sinA=2sinBcosC,则△ABC是()A.直角三角形B.等腰三角形C.等边三角形D.等腰直角三角形20.(2015•安徽)在△ABC中,AB=,∠A=75°,∠B=45°,则AC=.21.(2015•广东)设△ABC的内角A,B,C的对边分别为a,b,c.若a=,sinB=,C=,则b=.22.(2015•北京)在△ABC中,a=4,b=5,c=6,则=.23..(2015•重庆)在△ABC中,B=120°,AB=,A的角平分线AD=,则AC=.24.在△ABC中,角A、B、C的对边分别为a,b,c,若S表示△ABC的面积,若acosB+bcosA=csinC,,则∠B=.25.在△ABC中,已知A=45°,b=1,且△ABC仅有一个解,则a的取值范围是.26.已知△ABC的三边a,b,c和其面积S满足S=c2﹣(a﹣b)2,则tanC=.27.设△ABC的三边长分别为a、b、c,面积为S,且满足S=a2﹣(b﹣c)2,b+c=8,则S的最大值为.28.在△ABC中,角A,B,C所对的边长分别为a,b,c,若,则角B的值为29(2015•山东)△ABC中,角A,B,C所对的边分别为a,b,c,已知cosB=,sin(A+B)=,ac=2,求sinA和c的值.30.(2015•陕西)△ABC的内角A,B,C所对的边分别为a,b,c.向量=(a,b)与=(cosA,sinB)平行.(Ⅰ)求A;(Ⅱ)若a=,b=2,求△ABC的面积.31.已知a,b,c分别为△ABC三个内角A,B,C的对边,c=asinC﹣ccosA.(1)求角A;(2)若a=2,△ABC的面积为,求b,c.32.在锐角△ABC中,a,b,c分别为角A、B、C所对的边,且a=2csinA.(Ⅰ)确定角C的大小;(Ⅱ)若c=,且△ABC的面积为,求a+b的值.33.在△ABC中,a,b,c分别是角A,B,C的对边,且2cosAcosC+1=2sinAsinC.(Ⅰ)求B的大小;(Ⅱ)若,,求△ABC的面积.34.△ABC中,角A,B,C所对的边之长依次为a,b,c,且cosA=,5(a2+b2﹣c2)=3ab.(Ⅰ)求cos2C和角B的值;(Ⅱ)若a﹣c=﹣1,求△ABC的面积.35.在△ABC中,角A、B、C所对的边分别为a、b、c,已知sin(A+)+2cos(B+C)=0,(1)求A的大小;(2)若a=6,求b+c的取值范围.36.在锐角△ABC中,a、b、c分别为内角A、B、C所对的边长,且满足.(1)求∠B的大小;(2)若b=,△ABC的面积S△ABC=,求a+c的值.37.如图,在△ABC中,D为边AB上一点,DA=DC.已知B=,BC=1.(Ⅰ)若DC=,求角A的大小;(Ⅱ)若△BCD面积为,求边AB的长.答案1-5CBDCA 6-10CDCDA 11-15BCDAC 16-19ABBD286420.221.122.123.624.4525.126.27.28.601201517a a ︒≥=︒︒或或29.解:①因为△ABC 中,角A ,B ,C 所对的边分别为a ,b ,c 已知cosB=,sin (A+B )=,ac=2,所以sinB=,sinAcosB+cosAsinB=,所以sinA+cosA=,结合平方关系sin 2A+cos 2A=1, 得27sin 2A ﹣6sinA ﹣16=0,解得sinA=或者sinA=﹣(舍去);②由正弦定理,由①可知sin (A+B )=sinC=,sinA=,所以a=2c ,又ac=2,所以c=1.30.解:(Ⅰ)因为向量=(a ,b )与=(cosA ,sinB )平行,所以asinB ﹣=0,由正弦定理可知:sinAsinB ﹣sinBcosA=0,因为sinB ≠0,所以tanA=,可得A=;(Ⅱ)a=,b=2,由余弦定理可得:a 2=b 2+c 2﹣2bccosA ,可得7=4+c 2﹣2c ,解得c=3,△ABC 的面积为:=. 31.解:(1)由正弦定理==化简已知的等式得:sinC=sinAsinC ﹣sinCcosA ,∵C 为三角形的内角,∴sinC ≠0,∴sinA ﹣cosA=1,整理得:2sin (A ﹣)=1,即sin (A ﹣)=,∴A ﹣=或A ﹣=,解得:A=或A=π(舍去),则A=; (2)∵a=2,sinA=,cosA=,△ABC 的面积为,∴bcsinA=bc=,即bc=4①;∴由余弦定理a 2=b 2+c 2﹣2bccosA 得:4=b 2+c 2﹣bc=(b+c )2﹣3bc=(b+c )2﹣12,整理得:b+c=4②, 联立①②解得:b=c=2. 32.解:(I )∵a=2csinA .∴由正弦定理可得sinA , 又sinA ≠0,∴sinC=,∵A 为锐角,∴. (2)∵c=,,且△ABC 的面积为,∴=,化为ab=6,由余弦定理可得:==(a+b )2﹣3ab ,∴a+b=5.33.解:(Ⅰ)由2cosAcosC+1=2sinAsinC 得:∴2(cosAcosC ﹣sinAsinC )=﹣1,∴,∴,又0<B <π,∴.(Ⅱ)由余弦定理得:,∴,又,,∴,故,∴.34.解:(I )由∵cosA=,0<A <π,∴sinA==,∵5(a 2+b 2﹣c 2)=3ab ,∴cosC==,∵0<C <π,∴sinC==,∴cos2C=2cos 2C ﹣1=,∴cosB=﹣cos(A+C)=﹣cosAcosC+sinAsinC=﹣×+×=﹣∵0<B<π,∴B=.(II)∵=,∴a==c,∵a﹣c=﹣1,∴a=,c=1,∴S=acsinB=××1×=.35.解:(1)由条件结合诱导公式得,sinAcos+cosAsin=2cosA,整理得sinA=cosA,∵cosA≠0,∴tanA=,∵0<A<π,∴A=;(2)由正弦定理得:,∴,,∴==,∵,∴,即6<b+c≤12(当且仅当B=时,等号成立)36.解:(1)由正弦定理:=,得==,∴sinB=,又由B为锐角,得B=;(2)∵S△ABC=acsinB=,sinB=,∴ac=3,根据余弦定理:b2=a2+c2﹣2accosB=7+3=10,∴(a+c)2=a2+c2+2ac=16,则a+c=4.37.解:(1)在△BCD中,B=,BC=1,DC=,由正弦定理得到:,解得,则∠BDC=60°或120°.又由DA=DC,则∠A=30°或60°.(2)由于B=,BC=1,△BCD面积为,则,解得.再由余弦定理得到=,故,又由AB=AD+BD=CD+BD=,故边AB的长为:.。
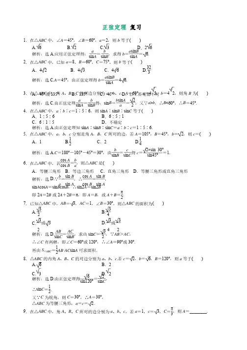
正弦定理练习题1.在三角形ABC中,已知∠A=45°,∠B=60°,a=2,则b等于(B)2.2.在三角形ABC中,已知a=8,∠B=60°,∠C=75°,则b等于(C)43.3.在三角形ABC中,已知∠A=60°,a=43,b=42,则∠B等于(A)45°或135°。
4.在三角形ABC中,已知a:b:c=1:5:6,则.5.在三角形ABC中,a、b、c分别是∠A、∠B、∠C所对的边,若∠A=105°,∠B=45°,b=2,则c等于(C)2.6.在三角形ABC中,若cosA=cosB,则三角形ABC是(D)等腰三角形或直角三角形。
7.已知三角形ABC中,AB=3,AC=1,∠B=30°,则三角形ABC的面积为(A)3.8.三角形ABC的内角A、B、C的对边分别为a、b、c。
若c=2,b=6,∠B=120°,则a等于(B)2.9.在三角形ABC中,∠A、∠B、∠C所对的边分别为a、b、c,若a=1,c=3,∠C=43°,则∠A=(C)63°。
10.在三角形ABC中,已知a=√3,b=4,∠A=30°,则sinB=(B)1/2.11.在三角形ABC中,已知∠A=30°,∠B=120°,b=12,则a+c=(D)24.12.在三角形ABC中,若a=2bcosC,则三角形ABC的形状为(A)等腰三角形。
13.在三角形ABC中,∠A=60°,a=63,b=12,S△ABC=183,则sinA+sinB+sinC=(C)2.14.已知三角形ABC中,∠A:∠B:∠C=1:2:3,a=1,则sinA-2sinB+sinC=(B)-1.15.在三角形ABC中,a=32,cosC=1/3,S△ABC=43,则b=(A)24.16.在三角形ABC中,b=43,C=30°,c=2,则此三角形有(B)两组解。
专题6.7 正弦、余弦定理知识储备一.余弦定理在△ABC 中,角A ,B ,C 的对边分别是a ,b ,c ,则有【思考】在a 2=b 2+c 2-2bc cos A 中,若A =90°,公式会变成什么? 【答案】a 2=b 2+c 2,即勾股定理. 二.正弦定理在一个三角形中,各边和它所对角的正弦的比相等.即CcB b A a sin sin sin == 三.正弦定理的变形公式1.a =2R sin A ,b =2R sin B ,c =2R sin C .2.RcC R b B R a A 2sin ,2sin ,2sin ===(其中R 是△ABC 外接圆的半径). 【思考】在正弦定理中,三角形的各边与其所对角的正弦的比都相等,那么这个比值等于多少?与该三角形外接圆的直径有什么关系?【答案】等于2R (R 为该三角形外接圆的半径),与该三角形外接圆的直径相等.能力检测姓名:__________________ 班级:______________ 得分:_________________注意事项:本试卷满分150分,考试时间120分钟,试题共16题.答卷前,考生务必用0.5毫米黑色签字笔将自己的姓名、班级等信息填写在试卷规定的位置.一、单项选择题(本大题共8小题,每小题5分,共40分)在每小题所给出的四个选项中,只有一项是符合题目要求的.1.(2021·广西桂林市·高二期末(理))ABC 的内角A ,B ,C 的对边分别为a ,b ,c ,若45A =︒,60B =︒,2a =,则b =( )ABCD.【答案】A【解析】因为45A =︒,60B =︒,2a =,所以由正弦定理可得sin sin a bA B=, 则b=2sin 2sin 60sin sin 45a B A ===,故选:A. 2.(2021·云南高三期末)在ABC 中,若4AC =,6AB =,BC =A ∠=( )A .6πB .4π C .3π D .2π 【答案】C【解析】由余弦定理可得:2221636281cos 22462b c a A bc +-+-===⨯⨯又()0,A π∈所以3A π=故选:C3.(2021·广西桂林市·高二期末(理))ABC 的内角,,A BC 的对边分别为,,a b c ,且1a =,c =6B π=,则ABC 的面积为( )A .32B .34C D 【答案】D【解析】在ABC 中,由1a =,c =6B π=,则111sin 12224ABCSac B ==⨯=. 故选:D .4.(2021·河南新乡市·高二期末(文))在ABC 中,角A ,B ,C 所对的边分别为a ,b ,c ,若sin 2sin sin b B c C a A +=,则ABC 的形状为( ) A .锐角三角形 B .直角三角形 C .钝角三角形 D .不确定【答案】C【解析】因为2222b c a +=,所以2222cos 022b c a c A bc bc+--==<,所以90A >︒,所以ABC 的形状为钝角三角形.故选C5.(2021·河南信阳市·高二期末(理))已知ABC 中,角,,A B C 所对的边分别为,,a b c ,且22226c ab a b +=++,若ABC 的面积为2,则tan C 的值为( )A B C .1 D 1【答案】B【解析】由题意22222262cos c a b ab a b ab C =+-+=+-即()1cos 3ab C -=①,1sin 2S ab C ==①联立①①得1cossin C C -=sin 2sin 3C C C π⎛⎫=+= ⎪⎝⎭即sin 32C π⎛⎫+= ⎪⎝⎭又0C π<<4333C πππ∴<+< 2,333C C πππ∴+==tan C ∴=B . 6.(2021·江苏镇江市·高一期末)如皋定慧寺原有佛塔毁于五代时期,现在的观音塔为2002年6月12日奠基,历时两年完成的,是仿明清古塔建筑,框架七层、八角彩绘,总建筑面积700多平方米.塔内供奉观音大士铜铸32应身,玻璃钢彩铸大悲咒出相84尊,有通道拾级而上可登顶层.塔名由中国书法协会名誉主席、中国佛教协会顾问、国学大师启功先生题写.塔是佛教的工巧明(即工艺学,比如建筑学就是工巧明之一),东汉明帝永平年间方始在我国兴建.所谓救人一命胜造七级浮屠,这七级浮屠就是指七级佛塔.下面是观音塔的示意图,游客(视为质点)从地面D 点看楼顶点A 的仰角为30,沿直线DB 前进51米达到E 点,此时看点C 点的仰角为45︒,若23BC AC =,则该八角观音塔的高AB 约为( ) 1.73≈)A .8米B .9米C .40米D .45米【答案】D【解析】设AC x =,由23BC AC =得,32BC x =因为45CEB ∠=︒,所以32BE BC x ==,在Rt ABD △中,32tan 3033512x xAB BD x +︒===+,解得18x =≈所以5452AB x =≈故选D7.(2021·全国高三专题练习(理))秦九韶,字道古,汉族,鲁郡(今河南范县)人,南宋著名数学家,精研星象、音律、算术、诗词、弓、剑、营造之学.1208年出生于普州安岳(今四川安岳),咸淳四年(1268)二月,在梅州辞世. 与李冶、杨辉、朱世杰并称宋元数学四大家.他在著作《数书九章》中创用了“三斜求积术”,即是已知三角形的三条边长,,a b c ,求三角形面积的方法.其求法是:“以小斜幂并大斜幂减中斜幂,余半之,自乘于上,以小斜幂乘大斜幂减上,余四约之,为实.一为从隅,开平方得积.”若把以上这段文字写成公式,即为S =,若ABC 满足2sin c A 2sin C =,3cos 5B =,且a<b<c ,则用“三斜求积”公式求得ABC 的面积为( ) A .35B .45 C .1 D .54【答案】B【解析】因为2sin c A 2sin C =,所以22,2ac c ac =∴=.因为3cos 5B =,所以22222236,2525a cb ac b ac +-+-=∴=,所以45S ==.故选:B 8.(2021·江西新余市·高二期末(文))在ABC 中,a ,b ,c 分别为内角A ,B ,C 所对的边,b c =且sin 1cos sin cos B B A A-=,若点O 是ABC 外一点,()0AOB θθπ∠=<<,2OA =,1OB =.则平面四边形OACB 的面积的最大值是( )A B .44+ C .3 D .42+ 【答案】A【解析】在ABC 中,sin 1cos sin cos B BA A-=,sin cos cos sin sin B A B A A ∴+=, 即sin()sin()sin sin A B C C A π+=-==A C ∴=,b c =,∴ABC 是等边三角形,OACB AOBABCS SS∴=+211||||sin ||22OA OB AB θ=⋅+⨯)22121sin ||||2||||cos 2OA OB OA OB θθ=⨯⨯⨯+-⋅sin (41221cos )4θθ=++-⨯⨯⨯sin 4θθ=-+2sin 34πθ⎛⎫=-+ ⎪⎝⎭ 0θπ<<,2333πππθ∴-<-<, 则当32ππθ-=,即56πθ=时,sin 3πθ⎛⎫- ⎪⎝⎭取得最大值1,故四边形OACB 面积的最大值为2=故选A.二、多项选择题:本题共4小题,每小题5分,共20分。
正弦定理与余弦定理练习第一套正弦定理(一)●作业导航掌握正弦定理,会利用正弦定理求已知两角和任意一边或两边和一边对角的三角形问题.一、选择题(本大题共5小题,每小题3分,共15分)1.已知△ABC 中,a =4,b =43,∠A =30°,则∠B 等于()A .30°B .30°或150°C .60°D .60°或120°2.已知△ABC 中,AB =6,∠A =30°,∠B =120°,则△ABC 的面积为()A .9B .18C .93D .1833.已知△ABC 中,a ∶b ∶c =1∶3∶2,则A ∶B ∶C 等于()A .1∶2∶3B .2∶3∶1C .1∶3∶2D .3∶1∶24.已知△ABC 中,sin A ∶sin B ∶sin C =k ∶(k +1)∶2k (k≠0),则k 的取值范围为()A .(2,+∞)B .(-∞,0)C .(-21,0)D .(21,+∞) 5.在△ABC 中,sin A >sin B 是A >B 的()A .充分不必要条件B .必要不充分条件C .充要条件D .既不充分也不必要条件二、填空题(本大题共5小题,每小题3分,共15分)1.在△ABC 中,若∠B =30°,AB =23,AC =2,则△ABC 的面积是________.2.在△ABC 中,若b =2c sin B ,则∠C =________.3.设△ABC 的外接圆半径为R ,且已知AB =4,∠C =45°,则R =________.4.已知△ABC 的面积为23,且b =2,c =3,则∠A =________.5.在△ABC 中,∠B =45°,∠C =60°,a =2(3+1),那么△ABC 的面积为________.三、解答题(本大题共5小题,每小题6分,共30分)1.在△ABC 中,∠C =60°,BC =a ,AC =b ,a +b =16.(1)试写出△ABC 的面积S 与边长a 的函数关系式.(2)当a 等于多少时,S 有最大值?并求出这个最大值.2.在△ABC 中,已知a 2-a =2(b +c ),a +2b =2c -3,若sin C ∶sin A =4∶13,求a ,b ,c .3.在△ABC 中,求证2tan 2tanBA BA b a b a +-=+-.4.△ABC 中,A 、B 、C 成等差数列,b =1,求证:1<a +c ≤2.5.在一个三角形中,若有一个内角不小于120°,求证:最长边与最短边之比不小于3.参考答案一、选择题(本大题共5小题,每小题3分,共15分)1.D 分析:由正弦定理得,B bA a sin sin =,∴sin B =23sin =aA b ,∴∠B =60°或∠B =120°.2.C 分析:∵∠A =30°,∠B =120°,∴∠C =30°,∴BA =BC =6,∴S △ABC =21×BA ×BC ×sin B =21×6×6×23=93.3.A 分析:由正弦定理得,C cB b A a sin sin sin ==,∴sin A ∶sin B ∶sin C =1∶3∶2=21∶23∶1,∴A ∶B ∶C =30°∶60°∶90°=1∶2∶3.4.D 分析:利用正弦定理及三角形两边之和大于第三边.5.C 分析:A >B ⇔a >b ⇔2Rsin A >2Rsin B ⇔sin A >sin B .二、填空题(本大题共5小题,每小题3分,共15分)1.23或3分析:sin C =23230sin 32=︒,于是,∠C =60°或120°,故∠A =90°或30°,由S △ABC =21×AB ×AC ×sin A ,可得S △ABC =23或S △ABC =3.2.30°或150°分析:由b =2c sin B 及正弦定理C cB B c Cc B b sin sin sin 2sin sin ==得,∴sin C =21,∴∠C =30°或150°.3.22分析:∵c =2R sin C ,∴R =22sin 2=C c.4.60°或120°分析:∵S △ABC =21bc sin A ,∴23=21×2×3sin A ,∴sin A=23,∴∠A =60°或120°.5.6+23分析:∵B bA a sin sin =,∴︒=︒-︒-︒+45sin )6045180sin()13(2b,∴b =4.∴S △ABC =21ab sin C =6+23.三、解答题(本大题共5小题,每小题6分,共30分)1.解:(1)∵a +b =16,∴b =16-aS =21ab sin C =21a (16-a )sin60°=43(16a -a 2)=-43(a -8)2+163(0<a <16)(2)由(1)知,当a =8时,S 有最大值163.2.解:∵sin C ∶sin A =4∶13∴c ∶a =4∶13设c =4k ,a =13k ,则⎪⎩⎪⎨⎧-=++=-38213)4(213132k b k k b kk∵k =133时b <0,故舍去.∴k =1,此时a =13,b =2135-,c =4.3.证明:由正弦定理,知a =2R sin A ,b =2R sin B2tan2tan2cos 2sin 22cos 2sin 2)22sin(22sin()22sin()22sin(sin sin sin sin sin 2sin 2sin 2sin 2B A B A B A B A B A B A B A B A B A B A B A B A B A B A BA BA B R A R B R A R b a b a +-=-++-=--++-++--+--++=+-=+-=+-∴4.证明:∵A 、B 、C 成等差数列,∴2B =A +C ,又A +B +C =π,∴B =3π,A +C =32π.∵b =1,设△ABC 的外接圆半径为R ,∴b =2R sin 3π∴1=2R ·23,∴3R =1.∴a +c =2R sin A +2R sin C =2R (sin A +sin C )=2R [sin(32π-C )+sin C ]=2R (23cos C +23sin C )=23R (21cos C +23sin C )=23R sin(C +6π)=2sin(C +6π)∵A +C =32π,∴0<C <32π∴6π<C +6π<65π∴21<sin(C +6π)≤1∴1<2sin(C +6π)≤2 ∴1<a +c ≤2.5.证明:在△ABC 中,设C ≥120°,则c 最长,令最短边为a ,由正弦定理得A B A A C a c sin )sin(sin sin +==∵A ≤B∴2A ≤A +B ≤180°-C ≤60°∵正弦函数在(0,3π)上是增函数,∴sin(A +B )≥sin2A >0∴A B A a c sin )sin(+=≥A A A A A sin cos sin 2sin 2sin ==2cos A ∴a c≥2cos A ∵2A ≤60° ∴0°<A ≤30°∴cos A ≥cos30°=23∴a c ≥2·23∴a c≥3∴最长边与最短边之比不小于第二套正弦定理练习(二)1.在ABC ∆中,已知角04345,2,,3B c b ===则角A 的值是()A.15°B.75°C.105°D.75°或15°2.ABC ∆中,bsinA<a<b,则此三角形有()A.一解B.两解C.无解D.不确定3.若sin cos cos ,A B CABC a b c==∆则是()A.等边三角形B.有一内角是30°C.等腰直角三角形D.有一内角是30°的等腰三角形4.在ABC ∆中,已知0060,45,8,B C BC AD BC ===⊥于D,则AD 长为()A.4(31)- B.4(3+1)3+3)D.4(33)5.在ABC ∆中,A>B 是sinA>sinB 的()A.充分不必要条件B.必要不充分条件C.充要条件D.既不充分也不必要条件6.在ABC ∆中,060,6,14B b a ===,则A=7.在ABC ∆ABC ∆中,已知cos 2cos 21sin 2sin cos ,cos sin B C A B C C B +=+==求证:b=c 且A=900。
正弦定理测试题及答案一、选择题1. 在三角形ABC中,如果sinA:sinB:sinC = 2:3:4,那么边a:b:c的比例是:A. 2:3:4B. 3:4:5C. 4:3:2D. 1:√2:22. 已知三角形ABC中,a=5, b=7, A=60°,使用正弦定理求边c的长度。
A. 6B. 7C. 8D. 9二、填空题3. 若三角形ABC的三边长分别为a、b、c,且a/sinA = b/sinB =c/sinC,根据正弦定理,可以得出a = ________。
4. 在三角形ABC中,如果sinA = 1/2,且A为锐角,那么角A的度数为 ________。
三、解答题5. 已知三角形ABC的三边长分别为a=3,b=4,c=5,求角A、B、C的度数。
6. 在三角形ABC中,如果a=5,b=7,c=8,且角A=45°,求角B和角C的度数。
四、证明题7. 证明:在任意三角形ABC中,边a、b、c与角A、B、C满足正弦定理的关系。
答案:一、选择题1. 答案:A2. 答案:C二、填空题3. 答案:b*sinA/c4. 答案:30°三、解答题5. 解:根据正弦定理,我们有:a/sinA = b/sinB = c/sinC将已知的边长代入,得到:3/sinA = 4/sinB = 5/sinC由于3:4:5是一组勾股数,我们可以推断出三角形ABC是一个直角三角形,其中角C为直角。
因此,角A和角B可以通过以下方式求得: sinA = 3/5, cosA = 4/5, tanA = 3/4sinB = 4/5, cosB = 3/5, tanB = 4/3由于sinA < sinB,我们知道角A < 角B,且角A和角B的度数可以通过反正弦函数求得。
6. 解:已知a=5,b=7,c=8,A=45°,我们可以使用正弦定理求得sinB和sinC:sinB = b*sinA/a = 7*√2/2/5 = 7√2/10sinC = c*sinA/a = 8*√2/2/5 = 8√2/5然后,我们可以通过反正弦函数求得角B和角C的度数。
正弦定理、余弦定理练习题及答案正弦定理、余弦定理练习题年级__________ 班级_________ 学号_________ 姓名__________ 分数____一、选择题(共20题,题分合计100分)1.已知在△ABC中,sin A:sin B:sin C=3:2:4,那么cos C的值为A.-B.C.-D.2.在△ABC中,a=λ,b=λ,A=45°,则满足此条件的三角形的个数是A.0B.1C.2D.无数个3.在△ABC中,b cos A=a cos B,则三角形为A.直角三角形B.锐角三角形C.等腰三角形D.等边三角形4.已知三角形的三边长分别为x2+x+1,x2-1和2x+1(x>1),则最大角为A.150°B.120°C.60°D.75°5.在△ABC中,=1,=2,(+)·(+)=5+2则边||等于A.B.5-2 C. D.6.在△ABC中,已知B=30°,b=50,c=150,那么这个三角形是A.等边三角形B.直角三角形C.等腰三角形D.等腰三角形或直角三角形7.在△ABC中,若b2sin2C+c2sin2B=2bc cos B cos C,则此三角形为A.直角三角形B.等腰三角形C.等边三角形D.等腰直角三角形8.正弦定理适应的范围是A.Rt△B.锐角△C.钝角△D.任意△9.已知△ABC中,a=10,B=60°,C=45°,则c=A.10+B.10(-1)C.(+1)D.1010.在△ABC中,b sin A<a<b,则此三角形有A.一解B.两解C.无解D.不确定11.三角形的两边分别为5和3,它们夹角的余弦是方程5x2-7x-6=0的根,则三角形的另一边长为A.52B.2C.16D.412.在△ABC中,a2=b2+c2+bc,则A等于A.60°B.45°C.120D.30°13.在△ABC中,,则△ABC是A.锐角三角形B.直角三角形C.钝角三角形D.任意三角形14.在△ABC中,a=2,A=30°,C=45°,则△ABC的面积S△ABC等于A. B.2 C.+1 D.(+1)15.已知三角形ABC的三边a、b、c成等比数列,它们的对角分别是A、B、C,则sin A sin C 等于A.cos2BB.1-cos2BC.1+cos2BD.1+sin2B16.在△ABC中,sin A>sin B是A>B的A.充分不必要条件B.必要不充分条件C.充要条件D.既不充分也不必要条件17.在△ABC中,b Cos A=a cos B,则三角形为A.直角三角形B.锐角三角形C.等腰三角形D.等边三角形18.△ABC中,sin2A=sin2B+sin2C,则△ABC为A.直角三角形B.等腰直角三角形C.等边三角形D.等腰三角形19.△ABC中,A=60°,b=1,这个三角形的面积为,则△ABC外接圆的直径为A. B. C. D.20.在△ABC中,,则k为A.2RB.RC.4RD.(R为△ABC外接圆半径)二、填空题(共18题,题分合计75分)1.在△ABC中,A=60°,C=45°,b=2,则此三角形的最小边长为.2.在△ABC中,= .3.在△ABC中,a∶b∶c=(+1)∶∶2,则△ABC的最小角的度数为.4.在△ABC中,已知sin A∶sin B∶sin C=6∶5∶4,则sec A= .5.△ABC中,,则三角形为_________.6.在△ABC中,角A、B均为锐角且cos A>sin B,则△ABC是___________.7.在△ABC中,若此三角形有一解,则a、b、A满足的条件为____________________.8.已知在△ABC中,a=10,b=5,A=45°,则B= .9.已知△ABC中,a=181,b=209,A=121°14′,此三角形解.10.在△ABC中,a=1,b=1,C=120°则c= .11.在△ABC中,若a2>b2+c2,则△ABC为;若a2=b2+c2,则△ABC为;若a2<b2+c2且b2<a2+c2且c2<a2+b2,则△ABC为.12.在△ABC中,sin A=2cos B sin C,则三角形为_____________.13.在△ABC中,BC=3,AB=2,且,A= .14.在△ABC中,B=,C=3,B=30°,则A= .15.在△ABC中,a+b=12,A=60°,B=45°,则a= ,b= .16.若2,3,x为三边组成一个锐角三角形,则x的范围为.17.在△ABC中,化简b cos C+c cos B= .18.钝角三角形的边长是三个连续自然数,则三边长为.三、解答题(共24题,题分合计244分)1.已知在△ABC中,c=10,A=45°,C=30°,求a、b和B.2.已知△ABC的三边长a=3,b=4,c=,求三角形的最大内角.3.已知在△ABC中,∠A=45°,a=2,c=,解此三角形.4.在四边形ABCD中,BC=a,DC=2a,四个角A、B、C、D度数的比为3∶7∶4∶10,求AB的长.5.在△ABC中,A最大,C最小,且A=2C,A+C=2B,求此三角形三边之比.6.证明:在△ABC中,.(其中R为△ABC的外接圆的半径)7.在△ABC中,最大角A为最小角C的2倍,且三边a、b、c为三个连续整数,求a、b、c的值.8.如下图所示,半圆O的直径MN=2,OA=2,B为半圆上任意一点,以AB为一边作正三角形ABC,问B在什么位置时,四边形OACB面积最大?最大面积是多少?9.在△ABC中,若sin A∶sin B∶sin C=m∶n∶l,且a+b+c=S,求a.10.根据所给条件,判断△ABC的形状(1)a cos A=b cos B(2)11.△ABC中,a+b=10,而cos C是方程2x2-3x-2=0的一个根,求△ABC周长的最小值.12.在△ABC中,a、b、c分别是角A、B、C的对边,设a+c=2b,A-C=,求sin B的值.13.已知△ABC中,a=1,b=,A=30°,求B、C和c.14.在△ABC中,c=2,tan A=3,tan B=2,试求a、b及此三角形的面积.15.已知S△ABC=10,一个角为60°,这个角的两边之比为5∶2,求三角形内切圆的半径.16.已知△ABC中,,试判断△ABC的形状.17.已知△ABC的面积为1,tan B=,求△ABC的各边长.18.求值:19.已知△ABC的面积,解此三角形.20.在△ABC中,a=,b=2,c=+1,求A、B、C及S△.21.已知(a2+bc)x2+2=0是关于x的二次方程,其中a、b、c 是△ABC的三边,(1)若∠A为钝角,试判断方程根的情况.(2)若方程有两相等实根,求∠A的度数.22.在△ABC中,(a2+b2)sin(A-B)=(a2-b2)sin(A+B),判断△ABC的形状.23.在△ABC中,a>b,C=,且有tan A·tan B=6,试求a、b以及此三角形的面积.24.已知:k是整数,钝角△ABC的三内角A、B、C所对的边分别为a、b、c(1)若方程组有实数解,求k的值.(2)对于(1)中的k值,若且有关系式,试求A、B、C的度数.正弦定理、余弦定理答案一、选择题(共20题,合计100分)1 A 2A3C 4 B 5 C 6D 7A 8 D 9B 10 B 11 B 12C 13C 14C 15.B16. C 17:C 18A 19C 20. A二、填空题(共18题,合计75分)1. 2(-1)2 3. 45° 4. 8 5.等腰三角形 6.:钝角三角形7. a=b sin A或b<a8. 60°或120°9无10.11.钝角三角形直角三角形锐角三角形12.等腰三角形13. 120°14.或215. 36-1216.<x<17.a18. 2、3、4三、解答题(共24题,合计244分)1.a=B=105°b=2.∠C=120°3.∠B=75°或∠B=15°b=+1,∠C=60°,∠B=75°或b=-1,∠C=120°,∠B=15°4. AB的长为5.:此三角形三边之比为6∶5∶47.a=6,b=5,c=48.当θ=时,S四边形OACB最大,最大值为+29.10(1)△ABC是等腰三角形或直角三角形(2)△ABC为等边三角形11△ABC周长的最小值为12.13.B1=60°,B2=120°;C1=90°,C2=30°;c1=2, c2=114..15.16.等边三角形17.18.20. A=60°,B=45°,C=75°,S△=21. (1)没有实数根(2)60°22.等腰三角形或直角三角形23.24.(1)k=1,2,3 (2)C=45°,B=15°。
π ∴∠A =3.故∠B =30 °或150 °,课时作业 1 正弦定理时间:45 分钟满分: 100分课堂训练1.(2013 ·湖南理, 3)在锐角△ ABC 中,角 为 a ,b.若 2asinB = 3b ,则角 A 等于 ( ) A ,B 所对的边长分别πA.12π B.6π π C.4ππ D.3π答案】 D解析】 本题考查了正弦定理由 asinA =sinBb,得 sinA = 23, 2.在△ ABC 中,角 A 、B 、C 的对边分别为 a 、 b 、 c ,已知∠ A = 3π, a = 3, b =1,则 c 等于( A .1 B .2 C. 3- 1D. 3答案】解析】 a由正弦定理 asinA =sinB,可得 3π sin ππ=sinB 311,sinB =2,由 a>b ,得∠A> ∠B.∴∠B =30 °,故∠C =90 °, 由勾股定理得 c = 2,故选 B.153.在△ ABC 中,若 tanA =3,C =6π,BC =1,则AB = ______【答案】 210【解析】 ∵tanA =13,且 A 为△ABC 的内角,∴sinA = 110.由正弦104.在△ABC 中,若∠B =30°,AB =2 3,AC =2,求△ ABC 的周 长.【分析】 本题是已知两边及其一边所对的角,要求其周长,自然要考虑去寻求第三边 BC ,但 BC 的对角∠ A 未知,只知道∠ B ,可 结合条件由正弦定理先求出∠ C ,再由三角形内角和定理求出∠A.【解析】 由正弦定理,得 sinC =AB A s C inB = 23.∵AB>AC ,∴∠C>∠B ,又∵0°<∠C<180 ,°∴∠C =60 °或120 .°(1)如图(1),当∠C =60°时,∠A =90°,BC =4,△ABC 的周长为 6 + 2 3;定理得 AB =BCsinCsinA 1×sin 56π10 102(2)如图(2),当∠C=120°时,∠A=30°,∠A=∠B,BC=AC=2,△ABC 的周长为4+2 3.综上,△ABC的周长为6+2 3或4+2 3.【规律方法】已知三角形两边和其中一边的对角时,应先由正弦定理求出正弦值,再判定这个角是否最大,若最大,则有两角,分别为一个锐角、一个钝角,且两角互补,否则只有一解,且为锐角.课后作业一、选择题(每小题 5 分,共40分)1.在△ ABC 中,sinA=sinC,则△ ABC 是( )A .直角三角形B.等腰三角形C.锐角三角形D.钝角三角形【答案】B【解析】∵sinA=sinC,∴由正弦定理得a=c,∴△ABC 为等腰三角形,故选 B.2.已知△ ABC 的三个内角之比为A:B:C=1:2:3,那么 a b c=()A .1:2:3 B.1:2: 3C.1: 2 : 3 D.1: 3 :2答案】 D解析】 设∠A =k ,∠B =2k ,∠C =3k ,由∠A +∠B +∠C =180°得,k +2k +3k =180 °,∴k =30 °,故∠A =30 °,∠B =60 °,∠C =90 °.由正弦定理得 a:b:c = sinA:sinB:sinC =sin30 :s °in60 :sin °90 = 1: 3 :2.3.在△ ABC中,A .b =4 2 已知 a =8,∠B = 60°,∠C = 75°,则()B .b =4 3C .b =4 6 32D .b = 3答案】 C4.已知△ ABC 中, a =1,b = 3,A =6π,则 B =( )B.23π5π D.6π或6答案】∴sinB = 3·s 1in30=°23,∴B=5.在△ ABC 中,已知∠ A =30°,a =8,b =8 3,则△ ABC 的面 积 S 等于( )解析】 ∠A =180°-60°-75°=45,由si a nA =si b nB 可得 b = asinB sinA8sin60 sin45=°4 6. π A.3πC.3π或23π解析】由si a nA =sin b sinA sinbsinAsinB = a ,.A.32 3B.16正弦定理练习含答案C.32 6或16【答案】DD.32 3或16 3解析】由正弦定理,知bsinA 8 3sin30 ° 3 a=8=2,又b>a,∴∠B>∠A,∴∠B=60 °或120 .°∴∠C=90 °或30 °.1∴S=2absinC 的值有两个,即32 3或16 3.cosA b 86.在△ ABC 中,c co o s s B A=a b=85,则△ ABC 的形状为( )A .钝角三角形B.锐角三角形C.等腰三角形D.直角三角形【答案】D【解析】∵cosB=a=sinA,即sin2A=sin2B,∴∠A=∠B或∠Aππ +∠B=2,又cosA≠cosB,∴∠A≠∠B,∴∠A+∠B=2,∴△ABC 为直角三角形.7.已知△ ABC 中,2sinB-3sinA=0,∠ C=6,S△ABC=6,则 a =( )A.2B.4C.6D.8【答案】B【解析】ab由正弦定理得sinA=sinB,故由2sinB-3sinA=0,sinB=得2b=3a.①又S△ABC=21absinC=12absin6π=6,∴ab=24.②解①②组成的方程组得a=4,b= 6.故选 B.8.在△ ABC 中,∠A=60°,a=13,则sinA+a+sin b B++c sinC等于()A.8 3 A.3 B.2 39 B. 3C.26 3C.3D .2 3【答案】B【解析】由a=2RsinA,b=2RsinB,c=2RsinC 得a+b+c=2R=a 13== 2 39.=2R===sinA+sinB+sinC sinA sin60 ° 3二、填空题(每小题10 分,共20 分)b 2-c2c2-a2a2-b29.在△ ABC 中, 2 sin2A+ 2 sin2B+ 2 sin2C 的值为abc【答案】0【解析】可利用正弦定理的变形形式a=2RsinA,b=2RsinB,c=2RsinC 代入原式即可.10.在锐角三角形aABC 中,若∠ A=2∠B,则的取值范围答案】( 2,3)解析】 ∵△ABC 为锐角三角形,且∠ A =2∠B ,0<2∠B<2π,π0<π-3∠B<2,a sinA∵∠A =2∠B ,∴sinA =sin2B =2sinBcosB ,∴b =sinB = 2cosB ∈( 2,3).三、解答题(每小题 20分,共 40分.解答应写出必要的文字说明、 证明过程或演算步骤 )11.(1)在△ ABC 中,已知 a = 5,∠ B =45°,∠ C = 105°,求 b. (2)在△ABC 中,已知∠ A =45°,a =2,b = 2,求 B. 【解析】 (1)∵∠A +∠B +∠C =180°,∴∠A =180°- (∠B +∠C)=a b sinB180°- (45 °+ 105°) = 30°.由正弦定理 sinA = sinB ,得 b = a ·sinA =a b bsinA 2sin45sinA =sinB ,得sinB=a =2又∵0°<∠B<180 ,°且 a>b ,∴∠B =30 °.【规律方法】 (1)中要注意在△ABC 中,∠A +∠B +∠C =180°的sin455·sin30= 5 2. (2)由正弦定理12.6+2运用,另外sin105 =°sin75 =°sin(45 +°30)=4 .(2)中要注意运用三角形中大边对大角的性质,判定解的个数.12.在△ ABC 中,已知sinA =sinB+sinC cosB+cosC判断△ ABC 的形状.分析】当式子中只有角或只有边时,一般将其一端化为零,另一端化为因式之积,再因式分解,进而判断三角形的形状.sinB+sinC【解析】∵sinA=,cosB+cosC∴sinAcosB+sinAcosC=sinB+sinC.∵∠A+∠B+∠C=π,∴sinAcosB+sinAcosC=sin(A+C)+sin(A+B).∴sinAcosB+sinAcosC=sinAcosC+cosAsinC+sinAcosB+cosAsinB.∴cosAsinC+sinBcosA=0.∴cosA(sinB+sinC)=0.∵∠B,∠C∈(0,π),∴sinB+sinC≠0.π∴cosA=0,∴∠A=2,∴△ABC 为直角三角形.。