积分变换总结
- 格式:ppt
- 大小:142.50 KB
- 文档页数:4
积分变换是微积分中的重要概念,通过积分变换可以将一个函数从一个域变换到另一个域,为解决各种数学和物理问题提供了强大的工具。
在积分变换中,常用的有傅里叶变换、拉普拉斯变换和洛朗变换等。
1.傅里叶变换傅里叶变换是一种将函数从时域变换到频域的方法。
给定一个函数f(x),其傅里叶变换定义为:F(ω) = ∫[−∞,+∞]f(x) e^(-iωx)dx在傅里叶变换中,ω 是频率,在频域中表示一个周期,而F(ω) 是函数在频域中的表示。
通过傅里叶变换,我们可以将一个函数在时域中的性质转化为频域中的性质,例如信号的频谱分析、滤波器设计等都离不开傅里叶变换的应用。
2.拉普拉斯变换拉普拉斯变换是一种将函数从时域变换到复平面上的方法。
给定一个函数f(t),其拉普拉斯变换定义为:F(s) = ∫[0,∞]f(t) e^(-st)dt在拉普拉斯变换中,s 是一个复变量,表示一个点在复平面上的位置,而 F(s) 是函数在复平面上的表示。
通过拉普拉斯变换,我们可以将一个函数的微分方程转化为代数方程,在控制论、电路分析等领域有广泛的应用。
3.洛朗变换洛朗变换是一种将函数从时域变换到复平面上的方法。
给定一个函数f(t),其洛朗变换定义为:F(z) = ∑[-∞,+∞]f(n) z^(-n)在洛朗变换中,z 是一个复变量,表示一个点在复平面上的位置,而 F(z) 是函数在复平面上的表示。
通过洛朗变换,可以将一个离散的序列转化为复平面上的函数,广泛应用于信号处理和系统分析等领域。
总结起来,积分变换是将函数从一个域变换到另一个域的方法,通过傅里叶变换、拉普拉斯变换和洛朗变换等方法,可以将函数的特性在时域、频域或复平面上进行分析。
积分变换在数学和物理领域中有着广泛的应用,为解决各种问题提供了强大的工具。
熟练掌握积分变换的应用方法和性质,将有助于我们深入理解微积分的原理和应用。
积分变换小结积分变换是微积分中的一个重要概念,它具有广泛的应用和深远的影响。
积分变换可以理解为对函数进行一种变换,使得原函数转化为另一种函数形式,从而使问题的求解变得更加简单和方便。
首先,我们来看积分变换的定义。
积分变换,又称作拉普拉斯变换,是一种对函数进行积分操作的变换。
具体而言,对于一个定义在实数域上的函数f(t),其拉普拉斯变换F(s)可表示为:F(s) = ∫[0,∞] f(t)e^(-st)dt其中,s是变量,称为变换域;t是积分变换的自变量,称为原函数的自变量;e^(-st)是指数函数,起到权重的作用。
积分变换的主要特点是可以将时间域上的乘法运算转化为频率域上的加法运算,利用积分变换可以把微分方程转化为代数方程,从而简化了问题的求解过程。
积分变换的求解过程可以通过拉普拉斯变换表来进行,表中记录了常见函数的积分变换和逆变换的结果。
利用表中的结果,我们可以很方便地对函数进行积分变换和逆变换。
积分变换的一些常见性质也是应用广泛的,例如线性性质、时移性质、频移性质、微分性质等。
这些性质可以用来简化函数的积分变换过程,使得求解问题更加高效。
积分变换在工程中有很多重要的应用。
例如,在信号处理中,拉普拉斯变换可以将时域上的连续信号转化为频域上的复数函数,从而方便对信号进行分析和处理。
在控制系统中,拉普拉斯变换可以将微分方程转化为代数方程,从而方便对系统的稳定性和响应性能进行分析。
在电路分析中,拉普拉斯变换可以简化电路的求解过程,方便对电路的输入输出关系进行研究。
综上所述,积分变换是微积分中的一个重要工具,它可以将函数表示方式进行变换,从而方便对问题进行分析和求解。
积分变换具有广泛的应用领域,例如信号处理、控制系统、电路分析等。
熟练掌握积分变换的理论和应用,对于理解和解决实际问题具有重要意义。
因此,学习和掌握积分变换是每个工科学生和工程师必备的基本技能。
重积分的积分变换和积分替换积分是高等数学中的一个重要概念,它被广泛应用在各个领域中,包括物理学、统计学、经济学等。
在微积分中,一类重要的积分就是重积分。
和单变量积分不同,重积分涉及到多个变量,其计算难度往往更大。
近年来,学者们发现,利用积分变换和积分替换的技巧,可以有效地简化重积分的计算过程。
本文就介绍一些有关积分变换和积分替换的基本知识和重要应用。
一、积分变换积分变换是将一类积分变换成另一类积分的过程,通常是通过一些数学技巧来实现的。
积分变换有很多种,包括线性变换、仿射变换、圆柱变换、球坐标变换等。
在这里,我们主要介绍球坐标变换和柱坐标变换两种。
1. 球坐标变换球坐标变换是将三维空间中的积分转化为球坐标系下的积分。
通过这种变换,可以将具有各向同性的问题转化为与方向无关的问题,从而简化积分的计算。
球坐标系下的积分变量包括径向距离r、极角θ和方位角φ。
一般来说,球坐标变换的步骤如下:(1)将被积函数写成球坐标的形式;(2)将坐标变量x、y、z表示为r、θ和φ的函数;(3)将分子(dx dy dz)替换成球坐标系下的积分元素r²sinθ dr dθ dφ;(4)对变量r、θ和φ进行变量替换,计算出新的积分区域。
例如,设空间中有一个函数f(x,y,z),要求其在球形区域内的积分。
那么,将被积函数转化为球坐标系下的形式:f(x,y,z)→f(r,θ,φ)然后,把直角坐标系下的坐标写成球坐标系下的形式:x=r sinθ cosφ;y=r sinθ sinφ;z=r cosθ。
接着,计算出雅可比行列式,替换分子,并对积分区域进行调整。
最终得到球坐标下的积分表达式:∫∫∫f(x,y,z) dxdydz = ∫∫∫f(r,θ,φ) r²sinθ dr dθ dφ2. 柱坐标变换柱坐标变换是将三维空间中的积分转化为柱坐标系下的积分。
柱坐标系下的积分变量包括径向距离r、极角θ和高度z。
柱坐标变换的一般步骤如下:(1)将被积函数写成柱坐标系下的形式;(2)将直角坐标系下的坐标表示为柱坐标系下的形式;(3)将分子(dx dy dz)替换成柱坐标下的积分元素r d r dθ dz;(4)对变量r、θ和z进行变量替换,计算出新的积分区域。
复变函数复习重点(一)复数的概念1.复数的概念:z x iy =+,,x y 是实数,()()Re ,Im x z y z ==.21i =-.注:一般两个复数不比较大小,但其模(为实数)有大小. 2.复数的表示1)模:22zx y =+;2)幅角:在0z ≠时,矢量与x 轴正向的夹角,记为()Arg z (多值函数);主值()arg z 是位于(,]ππ-中的幅角。
3)()arg z 与arctan y x之间的关系如下:当0,x > arg arctanyz x=;当0,arg arctan 0,0,arg arctan yy z x x y y z xππ⎧≥=+⎪⎪<⎨⎪<=-⎪⎩;4)三角表示:()cos sin z z i θθ=+,其中arg z θ=;注:中间一定是“+”号。
5)指数表示:i z z e θ=,其中arg z θ=。
(二) 复数的运算1.加减法:若111222,z x iy z x iy =+=+,则()()121212z z x x i y y ±=±+±2.乘除法:1)若111222,z x iy z x iy =+=+,则()()1212122112z z x x y y i x y x y =-++;()()()()112211112121221222222222222222x iy x iy z x iy x x y y y x y x i z x iy x iy x iy x y x y +-++-===+++-++。
2)若121122,i i z z e z z e θθ==, 则()121212i z z z z e θθ+=;()121122i z z e z z θθ-=3.乘幂与方根1) 若(cos sin )i z z i z e θθθ=+=,则(cos sin )n nn in z z n i n z e θθθ=+=。
一、傅里叶变换1、傅里叶积分存在定理:设()f t 定义在(),-∞+∞内满足条件:1)()f t 在任一有限区间上满足狄氏条件; 2)()f t 在(),-∞+∞上绝对可积(即()f t dt +∞-∞⎰收敛;则傅氏积分公式存在,且有()()()()()(),1[]11002,2iw iwt f t t f t f e d e dw f t f t t f t τττπ+∞+∞--∞-∞⎧⎪=-⎨++-⎪⎩⎰⎰是的连续点是的第一类间断点2、傅里叶变换定义式:()[]()()iwt F f t F w f t e dt +∞--∞==⎰ 1-2 傅里叶逆变换定义式:()11[]()()2iwt F F w f t F w e dw π+∞--∞==⎰1-33、常用函数的傅里叶变换公式()1()FFf t F ω-−−→←−− 矩形脉冲函数1,22()sin 20,2F F E t E f t t ττωτω-⎧≤⎪⎪−−→=⎨←−−⎪>⎪⎩1-4 单边指数衰减函数()()1,0110,0tFFe t e t F e t iw j t βββω--⎧≥−−→=⇒=⎡⎤⎨←−−⎣⎦++<⎩ 1-5 单位脉冲函数 ()11FFt δ-−−→←−− 1-6 单位阶跃函数 ()()11FFu t w iwπδ-−−→+←−− 1-7 ()112F Fw πδ-−−→←−− 1-8 ()12F Ft j πδω-−−→'←−− 1-9 ()0102F j t Fe ωπδωω-−−→-←−− 1-10 ()()1000cos FFt ωπδωωδωω-−−→++-⎡⎤←−−⎣⎦1-11()()1000sin F Ft j ωπδωωδωω-−−→+--⎡⎤←−−⎣⎦1-12 4、傅里叶变换的性质设()()[]F f t F w =, ()()[]i i F f t F w =(1)线性性:()()1121()()FFf t f t F F αβαωβω-−−→++←−−1-13 (2)位移性:()()010Fj t Ff t t e F ωω--−−→-←−− 1-14 ()010()F j t Fe f t F ωωω-−−→-←−− 1-15 (3)微分性:()1()FFf t j F ωω-−−→'←−− 1-16 ()()()1()F n n Ff t j F ωω-−−→←−− 1-17 ()()1()FFjt f t F ω-−−→'-←−− 1-18 ()()()()1()Fn n Fjt f t F ω-−−→-←−− 1-19 (4)积分性:()11()tFFf t dt F j ωω--∞−−→←−−⎰ 1-20 (5)相似性:11()FFf at F a a ω-⎛⎫−−→←−− ⎪⎝⎭1-21 (6)对称性:()1()2FFF t f πω-−−→-←−− 1-22 上面性质写成变换式如下面:(1)线性性:[]1212()()()()F f t f t F w F w αβαβ⋅+⋅=⋅+⋅ 1-13-1[]11212()()()()F F w F w f t f t αβαβ-⋅+⋅=⋅+⋅(,αβ是常数)1-13-2(2)位移性:[]0()F f t t -=()0iwt e F w - 1-14()000()()iw t w w w F e f t F w F w w =-⎡⎤==-⎣⎦ 1-15(3)微分性:设+∞→t 时,0→)t (f , 则有[]()()()()[]()F f t iw F f t iw F w '== 1-16()()()()()[]()n n n F f t iw F f t iw F w ⎡⎤==⎣⎦1-17[]()()dF tf t jF w dw= 1-18 ()()nnnn d F t f t j F w dw ⎡⎤=⎣⎦ 1-19(4)积分性:()()tF w F f t dt iw-∞⎡⎤=⎢⎥⎣⎦⎰ 1-20(5)相似性:[]1()()wF f at F a a=1-21-1 翻转性:1=a 时()()w F t f F -=-][ 1-21-2(6)对称性:设 ()()w F t f −→←,则 ()()w f t F π2−→←- 或 ()()2F t f w π←−→- 1-225、卷积公式 :)()(21t f t f *=τττd t f f )()(21-⎰+∞∞-。
积分变换文字总结第1篇我们称 \mathcal{L}[f(t)]=F(s)=\int_{0}^{+\infty} f(t)e^{-st}\mathrm{d}t为拉普拉斯变换。
拉普拉斯变换是一个特殊的傅里叶变换。
我们可以直接有定义得出:\mathcal{L}[f(t)]=\mathcal{F}[f(t)u(t)e^{-\beta t}]我们有:拉普拉斯变换也满足如下几个性质:这个微分性质可以用来求一些特殊函数的拉普拉斯变换,比如:f(t)=e^t\Rightarrow f(0)=1,f'(t)=e^t\Rightarrow\mathcal{L}[e^t]=s\mathcal{L}[e^t]-1\Rightarrow(s-1)\mathcal{L}[e^t]=1 所以 \mathcal{L}[e^t]=\frac{1}{s-1}积分性质也能得到一个非常重要的计算反常积分的方法:\mathcal{L}[\frac{f(t)}{t}]=\int_0^{+\infty}\frac{f(t)}{t}e^{-st}\mathrm{d}t=\int_s^{+\infty}F(s')\mathrm{d}s' 取 s=0 有我们还有性质:我们可以由位移性质得到一个比较重要的拉普拉斯变换}}:\mathcal{L}^{-1}[\frac{1}{s+a}]=\mathcal{L}^{-1}[\frac{1}{s-1+(1+a)}]=\mathcal{L}^{-1}\{\frac{1}{[s-(-1-a)]-1}\}=e^{-(1+a)t}e^t=e^{-at}即: \mathcal{L}[e^{at}]=\frac{1}{s-a}不同于傅里叶变换,我们并没有直接给出拉普拉斯逆变换的公式,不过我们说过有\mathcal{L}[f(t)]=\mathcal{F}[f(t)u(t)e^{-\beta t}] 所以我们可以得到:注意奇点和所要用的函数并不一样!我们可以用此性质来求微分方程:如: y''+2y'-3y=e^{-t},y(0)=0,y'(0)=1令 \mathcal{L}[y(t)]=Y(s)\Rightarrow s^2Y(s)-1+2sY(s)-3Y(s)=\frac{1}{s+1}\Rightarrow Y(s)=\frac{s+2}{(s+1)(s-1)(s+3)}\Rightarrow...剩下的就很好处理了。
积分变换复习提纲(20学时)——基本内容第一章 Fourier变换(一)目的与要求1.熟悉Fourier积分公式与Fourier积分存在定理,理解Fourier变换与逆变换的概念,单位脉冲函数的概念;2.了解周期函数的Fourier级数及其复数形式,Fourier变换的物理意义-频谱,卷积与卷积定理,单位脉冲函数的性质;3.掌握一些函数的Fourier变换与逆变换的求法,Fourier变换与逆变换的性质。
(二)教学内容第一节Fourier积分1.主要内容:傅里叶积分。
2.基本概念和知识点:Fourier积分公式与Fourier积分存在定理。
3.问题与应用(能力要求):熟悉Fourier积分公式与Fourier积分存在定理.第二节Fourier变换1.主要内容:傅里叶变换.2.基本概念和知识点:傅里叶变换及其逆变换的概念,单位脉冲函数的性质,Fourier变换的物理意义—频谱。
3.问题与应用(能力要求):理解傅里叶变换及其逆变换的概念,了解单位脉冲函数的性质,Fourier变换的物理意义—频谱。
第三节Fourier变换的性质1.主要内容:傅里叶变换的性质。
2.基本概念和知识点:傅里叶变换的性质。
3.问题与应用(能力要求):掌握傅里叶变换的性质,一些函数的Fourier变换与逆变换的求法。
第四节卷积与相关函数1.主要内容:卷积与相关函数。
2.基本概念和知识点:卷积与相关函数的概念,卷积定理。
3.问题与应用(能力要求):了解卷积与相关函数的概念,卷积定理。
第五节Fourier变换的应用1.主要内容:Fourier变换的应用。
2.基本概念和知识点:微分方程的Fourier变换解法。
3.问题与应用(能力要求):掌握一些微分方程的Fourier变换解法。
(三)课后练习;31),3);4;习题二1;31);7;9;12;习题三2;3;4;7;8;10;112),习题一21)2);习题四16) 8);2;52) 4)5)6).习题五1;2;32);42)。
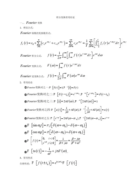
积分变换常用结论一、、Fourier 变换 1、理论公式:Fourier 级数的复指数形式:()()()20121n n n n n T j t j t j tj j t T T n n nT n n n f t c c e c e c ef ed e Tωωωωτωττ∞+∞+∞---==-∞=-∞⎡⎤=++==⎢⎥⎣⎦∑∑∑⎰Fourier 积分公式:()()12j j tf t f e de d ωτωττωπ+∞+∞--∞-∞⎡⎤=⎢⎥⎣⎦⎰⎰Fourier 变换公式: ()()j F f ed ωτωττ+∞--∞=⎰ Fourier 逆变换公式:()()12j t f t F e d ωωωπ+∞-∞=⎰2、常用结论①()[]()11,1Fourier t t δδ-==⎡⎤⎣⎦变换对之一:F F②()()00100,j t j t Fourier t t e e t t ωωδδ---⎡⎤-==-⎡⎤⎣⎦⎣⎦变换对之二:F F③[]()()112,21Fourier πδωπδω-==⎡⎤⎣⎦变换对之三:F F④()()()()111,Fourier u t u t j j πδωπδωωω-⎡⎤=++=⎡⎤⎢⎥⎣⎦⎣⎦变换对之四:FF⑤()()0012,2j tj tFourier e e ωωπδωωπδωω-⎡⎤=--=⎡⎤⎣⎦⎣⎦变换对之五:F F⑥[]()()000sin t j ωπδωωδωω=+--⎡⎤⎣⎦F⑦[]()()000cos t ωπδωωδωω=-++⎡⎤⎣⎦F⑧()220,01,0t t j f t e t j ββωβωβω-⎡<⎤⎧-===⎨⎢⎥≥++⎩⎣⎦F⑨()()21'tu t j πδωω=-+⎡⎤⎣⎦F . 3、常用性质位移性质:()()00j t f t t e f t ω±±=⎡⎤⎡⎤⎣⎦⎣⎦F F()()010j tF e f t ωωω±-=⎡⎤⎣⎦ F微分性质:()()'f t j f t ω=⎡⎤⎡⎤⎣⎦⎣⎦F F()()()()n n f t j f t ω⎡⎤=⎡⎤⎣⎦⎣⎦F F ()()dF jtf t d ωω=-⎡⎤⎣⎦F .()()()n n nn d F j t f t d ωω⎡⎤=-⎣⎦F . 积分性质:()()1t f t dt f t j ω-∞⎡⎤=⎡⎤⎣⎦⎢⎥⎣⎦⎰F F 4、卷积定理:假定()1f t ,()2f t 都满足Fourier 积分定理中的条件,且()()11f t F ω=⎡⎤⎣⎦F ,()()22f t F ω=⎡⎤⎣⎦F , 则()()()()1212f t f t F F ωω*=⋅⎡⎤⎣⎦F二、Laplace 变换 1、变换公式:()()0st F s f t e dt +∞-=⎰()s 是一个复参数2、与Fourier 变换的比较。
场论中的积分变换公式积分变换公式是控制工程中常用的数学工具,用于将时间域中的函数转换为复频域中的函数。
它在研究信号的频谱特性、系统的稳定性、性能指标等方面具有重要作用。
以下是常见的几种积分变换公式:1.常数函数的积分变换公式:∫[0, t]1 dt = T其中,T表示积分上限。
2.单位冲激函数(单位脉冲函数)的积分变换公式:∫[0, t]δ(t) dt = 1其中,δ(t)表示单位冲激函数。
3.单位阶跃函数的积分变换公式:∫[0, t]u(t) dt = t其中,u(t)表示单位阶跃函数。
4.积分的线性性质:若F(t)的积分为F(s),G(t)的积分为G(s),则kF(t)+mG(t)的积分为kF(s)+mG(s)。
其中,k和m为常数。
5.拉普拉斯变换与积分变换的关系:L{f(t)}=F(s)-F(0-)其中,L表示拉普拉斯变换,F(t)表示时间域函数,F(s)表示复频域函数。
6.数学常函数e的积分变换公式:∫[0, t]e^(st) dt = 1 / s其中,s为复频域变量。
7.e的负幂函数的积分变换公式:∫[0, t]e^(-st) dt = 1 / (s + a)其中,s为复频域变量,a为常数。
8.正弦函数的积分变换公式:∫[0, t] sin(ωt) dt = ω / (s^2 + ω^2)其中,s为复频域变量,ω为角频率。
9.余弦函数的积分变换公式:∫[0, t] cos(ωt) dt= s / (s^2 + ω^2)其中,s为复频域变量,ω为角频率。
上述是常见的几种积分变换公式,它们在控制工程中具有广泛的应用。
通过积分变换公式,可以将时间域中的函数转换为复频域中的函数,以便研究系统的频谱特性、稳定性、性能指标等。
积分变换公式是控制理论中的重要工具,对于控制系统的分析与设计起到至关重要的作用。
积分变换公式知识点总结一、积分变换的概念积分变换是微积分学中的一个重要概念,它是对函数进行变换的一种方法,通过对函数进行积分变换,可以得到原函数的一些新的性质和特征。
积分变换被广泛应用于信号处理、控制系统、电路分析等领域。
二、常见的积分变换公式1. 恒等式公式1)积分的线性性质:若f(t)和g(t)都在区间[a, b]上可积,则有∫[a, b](af(t) + bg(t))dt = a∫[a, b]f(t)dt + b∫[a, b]g(t)dt。
2)区间可加性:如果函数f(t)在区间[a, c]上可积,那么f(t)在区间[a, b]和区间[b, c]上都可积,并且有∫[a, c]f(t)dt = ∫[a, b]f(t)dt + ∫[b, c]f(t)dt。
3)可积函数的基本性质:若函数f(t)在区间[a, b]上可积,那么f(t)在这个区间的任何子集上也可积,且积分的值是相同的。
2. 基本积分变换公式1)积分的基本性质:∫kf(t)dt = k∫f(t)dt,其中k为常数。
2)换元积分法:∫f(u)du = ∫f(u(t))u'(t)dt。
3)分部积分法:∫udv = uv - ∫vdu。
3. 常用的积分变换公式1)指数函数的积分变换:∫e^x dx = e^x + C。
2)三角函数的积分变换:∫sin(x)dx = -cos(x) + C,∫cos(x)dx = sin(x) + C。
3)对数函数的积分变换:∫1/x dx = ln|x| + C。
三、积分变换的应用1. 信号处理中的应用积分变换在信号处理领域有着重要的应用,特别是在分析和处理一些特殊的信号时,比如正弦信号、脉冲信号等。
通过对这些信号进行积分变换,可以得到它们的频谱特性,从而更好地理解和处理这些信号。
2. 控制系统中的应用在控制系统中,积分变换也有着重要的应用。
例如在PID控制器中,积分环节能够消除系统的静态误差,改善系统的稳定性和精度。
积分变换知识点总结复一、积分变换的基本概念1.1 定义积分变换是指通过对一个函数进行积分,得到一个新的函数,这个新的函数通常表示原函数在某种意义上的平均值或累积值。
积分变换在数学领域有许多不同的应用,包括微积分、概率统计、信号处理、控制系统等方面。
1.2 基本性质积分变换有许多基本的性质,其中包括线性性质、平移性质、尺度性质等。
线性性质指的是积分变换满足线性运算规律,即对于两个函数f(t)和g(t),有积分变换的线性组合也可以进行积分变换;平移性质指的是如果函数f(t)的积分变换是F(s),那么函数f(t-a)的积分变换就是e^(-as)F(s);尺度性质指的是如果函数f(t)的积分变换是F(s),那么函数af(t)的积分变换就是1/a*F(s)。
这些基本性质是积分变换在数学推导和应用中非常重要的规律。
1.3 常见的积分变换在实际应用中,有一些常见的积分变换形式,包括拉普拉斯变换、傅里叶变换、Z变换等。
这些不同的积分变换形式在不同的领域有着不同的应用,比如在控制系统中常用的拉普拉斯变换,信号处理中常用的傅里叶变换等。
二、积分变换的应用2.1 积分变换在微积分中的应用在微积分中,积分变换可以用来求函数的定积分、不定积分等,这对于解决一些复杂的数学问题非常有用。
比如利用积分变换可以求出函数的面积、体积等,还可以用来解决微分方程等问题。
2.2 积分变换在信号处理中的应用在信号处理中,积分变换可以用来分析和处理信号的频谱、频率等特性,比如在音频、视频等信号的处理和分析中经常会用到傅里叶变换等积分变换方法。
2.3 积分变换在控制系统中的应用在控制系统中,积分变换可以用来分析和设计控制系统的性能、稳定性等。
比如在设计PID控制器时,会用到拉普拉斯变换等积分变换的方法。
2.4 积分变换在概率统计中的应用在概率统计中,积分变换可以用来求解概率密度函数、概率分布函数等,对于分析随机变量的性质和分布有着重要的作用。
积分变换知识点总结1. 积分变换的基本概念积分变换是微积分中的一个重要概念,它是对函数进行积分运算,从而得到一个新的函数。
在数学中,积分变换可以分为定积分和不定积分两种,其中定积分是对一个函数在一个区间内的积分,而不定积分是对一个函数的不定积分,即求出函数的原函数。
2. 积分变换的性质在进行积分变换的时候,有一些基本的性质需要了解。
比如,积分的线性性质,即对于两个函数的和的积分等于这两个函数的积分的和;积分的可加性,即对于一个函数的积分再加上另一个函数的积分等于这两个函数的和的积分;积分的常数倍性质,即一个函数乘以一个常数的积分等于这个函数的积分再乘以这个常数。
3. 积分变换的应用积分变换在实际应用中有着广泛的应用。
在信号处理中,积分变换可以用来对信号进行变换,从而得到信号的一些特性;在控制系统中,积分变换可以用来对系统进行建模,从而实现对系统状态的控制;在通信系统中,积分变换可以用来对信号进行编码和解码。
4. 积分变换的计算方法在实际应用中,积分变换的计算方法有很多种,比如换元积分法、分部积分法、定积分法等。
不同的计算方法有不同的适用范围,需要根据实际情况选择最合适的方法进行计算。
5. 积分变换的数学原理积分变换的数学原理是微积分的基础知识,在进行积分变换的时候,需要了解积分的定义、积分的性质、积分的计算方法等。
此外,还需要了解在实际应用中,积分变换的数学原理如何转化为实际问题的解决方法。
6. 积分变换的数学模型在控制系统、信号处理、通信系统等领域中,积分变换可以用来建立数学模型,从而描述系统的行为。
积分变换的数学模型可以是常微分方程、偏微分方程等,通过对数学模型进行求解,可以得到系统的状态和性能等信息。
总的来说,积分变换是微积分中非常重要的概念,它可以应用在各个领域中,对相关问题进行分析和解决。
在实际应用中,通过对积分变换的认识和理解,可以更好地应用积分变换来解决实际问题。
因此,对积分变换的知识点进行总结和理解,对于建立数学模型、解决实际问题都有着重要的意义。