空间解析几何与向量代数
- 格式:docx
- 大小:38.24 KB
- 文档页数:3
第七章 空间解析几何与向量代数 为了学习多元函数微积分的需要,本章首先建立空间直角坐标系,并引进在工程技术 上有着广泛应用的向量,介绍向量的一些运算.然后以向量为工具来讨论空间的平面与直线 方程,最后介绍空间曲面与空间曲线及二次曲面.第一节 空间直角坐标系一、 空间直角坐标系众所周知,实数x 与数轴上的点是一一对应的,二元数组(x ,y )与坐标平面上的点是一一对应的,从而可以用代数的方法讨论几何问题.类似地,通过建立空间直角坐标系,把空间中的点与一个三元有序数组(x ,y ,z )建立一一对应关系,用代数的方法研究空间问题.1.空间直角坐标系的建立过空间定点O 作三条互相垂直的数轴,它们都以O 为原点,并且通常取相同的长度单位.这三条数轴分别称为x 轴、y 轴、z 轴.各轴正向之间的顺序通常按下述法则确定:以右手握住z 轴,让右手的四指从x 轴的正向以π/2的角度转向y 轴的正向,这时大拇指所指的方向就是z 轴的正向.这个法则叫做右手法则(图7-1).这样就组成了空间直角坐标系.O 称为坐标原点,每两条坐标轴确定的平面称为坐标平面,简称为坐标面.x 轴与y 轴所确定的坐标面称为xOy 坐标面.类似地有yOz 坐标面、zOx 坐标面.这些坐标面把空间分成八个部分,每一部分称为一个卦限(图7-2).x 、y 、z 轴的正半轴的卦限称为第Ⅰ卦限,从第Ⅰ卦限开始,从z 轴的正向向下看,按逆时针方向,先后出现的卦限依次称为第Ⅱ、Ⅲ、Ⅳ卦限,第Ⅰ、Ⅱ、Ⅲ、Ⅳ卦限下方的空间部分依次称为第Ⅴ、Ⅵ、Ⅶ、Ⅷ卦限。
图7-1 图7-22.空间中点的直角坐标设M 为空间的一点,若过点M 分别作垂直于三坐标轴的平面,与三坐标轴分别相交于P ,Q ,R 三点,且这三点在x 轴、y 轴、z 轴上的坐标依次为x ,y ,z ,则点M 唯一地确定了一个有序数组(x ,y ,z ).反之,设给定一个有序数组(x ,y ,z ),且它们分别在x 轴、y 轴和z 轴上依次对应于P ,Q 和R 点,若过P ,Q 和R 点分别作平面垂直于所在坐标轴,则这三个平面确定了唯一的交点M .这样,空间的点就与一个有序数组(x ,y ,z )之间建立了一一对应关系(图7-3).有序数组(x ,y ,z )就称为点M 的坐标,记为M (x ,y ,z ),它们分别称为横坐标、纵坐标和竖坐标.显然,原点O的坐标为(0,0,0),坐标轴上的点至少有两个坐标为0,坐标面上的点至少有一个坐标为0.例如,在x轴上的点,均有y=z=0;在xOy坐标面上的点,均有z =0.图7-3 图7-4二、空间两点间的距离公式设空间两点M1(x1, y1, z1)、M2 (x2, y2, z2),求它们之间的距离d=12M M.过点M 1,M2各作三个平面分别垂直于三个坐标轴,形成如图7-4所示的长方体.易知 2222121212()d M M M Q QM M QM==+∆是直角三角形222121()M P PQ QM M PQ=++∆是直角三角形222122M P P M QM''''=++()()()222212121x x y y z z=-+-+-所以d=(7-1-1 )特别地,点M(x,y,z)与原点O(0,0,0)的距离(图7-3)d OM==例1在z轴上求与两点A(-4,1,7)和B(3,5,-2)等距离的点.解因所求的点M在z轴上,故设该点坐标为M(0,0,z),依题意MA MB=,即=解得z=149,所求点为M ( 0,0,149).习题7-11.在空间直角坐标系中,定出下列各点的位置:A (1,3,2),B (1,2,-1),C (-1,-2,3),D(0,-2,0),E (-3,0,1).2. 求点(a ,b ,c )关于(1) 各坐标面;(2) 各坐标轴;(3) 坐标原点的对称点的坐标.3. 自点P 0(x 0, y 0, z 0)分别作各坐标面和坐标轴的垂线,写出各垂足的坐标.4. 求点M (4,-3,5)到各坐标轴间的距离.5. 在y Oz 面上,求与三个已知点A (3,1,2),B (4,-2,2)和C (0,5,1)等距离的点.6. 试证明以三点A (4,1,9),B (10,-1,6),C (2,4,3)为顶点的三角形是等腰直角三角形.第二节 向量及其运算一、 向量的概念在物理学和工程技术中经常会碰到一些既有大小又有方向的量,如力、速度等,我们把这类量称为向量(或矢量).空间中的向量常用具有一定长度且标有方向的线段(称为有向线段)来表示。
b a b≤+,向量与数的乘法a ,方向与、向量与数量乘法的性质(运算律和方向,所以在数学上我们研究与起点无关的向量,并称这种向量为自由向量(以后简称向量),即只考虑向量的大小和方向,而不论它的起点在什么地方。
当遇到与起点有关的向量时(例如,谈到某一质点的运动速向量A B ''在轴上的投影,记为投影AB 。
向量在轴上的投影性质:性质1(投影定理)=cos AB ϕ与向量AB 的夹角。
)=Prj 1a +Prj 2a 。
性质可推广到有限个向量的情形。
:向量a 在坐标轴上的投影向量向量a 在三条坐标轴上的投影由向量在轴上的投影定义,a 在直角坐标系Oxyz 中的坐标{,,x y z a a a 量的投影具有与坐标相同的性质。
利用向量的坐标,可得向量的加法、减法以及向量与数的乘法的运算如下:利用向量加法的交换律与结合律,以及向量与数乘法的结合律与分配律,有{,x y a a a λλλ=由此可见,对向量进行加、2x a a a =+acos a b cos a b (,)a b =为向量之间的夹角并且0θπ≤≤。
2a =,因此我们可以把a a ∙简记为x y z z 由向量的坐标还可以计算两个向量之间的夹角, cos ab θ所以2cos xa b a ba θ∙==+两个向量垂直的充分必要条件是sin a b θ,它的方向是垂直于。
a b ⨯=sin a b b 为两边的平行四边形的面积。
如果向量a ={,,a a a },{,}b b =则a b ⨯=..........x y zi j a a b b b 两向量平行的充分必要条件为也就是说两向量共线,其对应坐标成比例。
决;在求向量,特别是求垂直向量问题时常用向量积。
注意向量的平行、垂直关系及角度。
利。
第七章向量代数与空间解析几何空间解析几何是多元函数微积分学必备的基础知识.本章首先建立空间直角坐标系,然后引进有广泛应用的向量代数,以它为工具,讨论空间的平面和直线,最后介绍空间曲面和空间曲线的部分内容.第一节空间直角坐标系平面解析几何是我们已经熟悉的,所谓解析几何就是用解析的,或者说是代数的方法来研究几何问题.坐标法把代数与几何结合起来.代数运算的基本对象是数,几何图形的基本元素是点.正如我们在平面解析几何中所见到的那样,通过建立平面直角坐标系使几何中的点与代数的有序数之间建立一一对应关系.在此基础上,引入运动的观点,使平面曲线和方程对应,从而使我们能够运用代数方法去研究几何问题.同样,要运用代数的方法去研究空间的图形——曲面和空间曲线,就必须建立空间内点与数组之间的对应关系.一、空间直角坐标系空间直角坐标系是平面直角坐标系的推广.过空间一定点O,作三条两两互相垂直的数轴,它们都以O为原点.这三条数轴分别叫做x轴(横轴)、y轴(纵轴)、z轴(竖轴),统称坐标轴.它们的正方向按右手法则确定,即以右手握住z轴,右手的四个手指指向x轴的正向以π2角度转向y轴的正向时,大拇指的指向就是z轴的正向(图7-1),这样的三条坐标轴就组成了一空间直角坐标系Oxyz,点O叫做坐标原点.图7-1三条坐标轴两两分别确定一个平面,这样定出的三个相互垂直的平面:xOy,yOz,zOx,统称为坐标面.三个坐标面把空间分成八个部分,称为八个卦限,上半空间(z>0)中,从含有x 轴、y轴、z轴正半轴的那个卦限数起,按逆时针方向分别叫做Ⅰ,Ⅱ,Ⅲ,Ⅳ卦限,下半空间(z<0)中,与Ⅰ,Ⅱ,Ⅲ,Ⅳ四个卦限依次对应地叫做Ⅴ,Ⅵ,Ⅶ,Ⅷ卦限(图7-2).图7-2确定了空间直角坐标系后,就可以建立起空间点与数组之间的对应关系.设M为空间的一点,过点M作三个平面分别垂直于三条坐标轴,它们与x轴、y轴、z 轴的交点依次为P、Q、R(图7-3).这三点在x轴、y轴、z轴上的坐标依次为x,y,z.这样,空间的一点M就惟一地确定了一个有序数组(x,y,z),它称为点M的直角坐标,并依次把x,y和z叫做点M的横坐标,纵坐标和竖坐标.坐标为(x,y,z)的点M通常记为M(x,y,z).图7-3反过来,给定了一有序数组(x,y,z),我们可以在x轴上取坐标为x的点P,在y轴上取坐标为y的点Q,在z轴上取坐标为z的点R,然后通过P、Q与R分别作x轴,y轴与z 轴的垂直平面,这三个平面的交点M就是具有坐标(x,y,z)的点(图7-3).从而对应于一有序数组(x,y,z),必有空间的一个确定的点M.这样,就建立了空间的点M和有序数组(x,y,z)之间的一一对应关系.如图7-3所示x轴,y轴和z轴上的点的坐标分别为P(x,0,0),Q(0,y,0),R(0,0,z);xOy面,yOz面和zOx面上的点的坐标分别为A(x,y,0),B(0,y,z),C(x,0,z);坐标原点O的坐标为O(0,0,0).它们各具有一定的特征,应注意区分.二、空间两点间的距离设M1(x1,y1,z1)、M2(x2,y2,z2)为空间两点,为了用两点的坐标来表达它们间的距离d,我们过M1,M2各作三个分别垂直于三条坐标轴的平面.这六个平面围成一个以M1,M2为对角线的长方体(图7-4).根据勾股定理,有图7-4|M 1M 2|2=|M 1N |2+|NM 2|2=|M 1P |2+|M 1Q |2+|M 1R |2.由于|M 1P |=|P 1P 2|=|x 2-x 1|,|M 1Q |=|Q 1Q 2|=|y 2-y 1|,|M 1R |=|R 1R 2|=|z 2-z 1|,所以d =|M 1M 2|=212212212)()()(z z y y x x -+-+-,这就是两点间的距离公式.特别地,点M (x,y,z )与坐标原点O (0,0,0)的距离为d =|OM |=222z y x ++。
向量代数和空间解析几何向量代数和空间解析几何是数学中非常重要的概念,既可以处理经典几何问题,又可以用于表达数学模型。
它们在科学技术、计算机图形学、矩阵计算等方面都有着广泛的应用。
向量代数是计算机科学家和数学家在处理空间问题时最常使用的方法。
它利用向量来描述空间中的点、直线和平面。
向量代数可以用来计算空间的大小、形状、方向、坐标变换等概念。
向量代数涉及的内容主要有线性代数系统、矩阵运算、向量空间等。
它在科技计算机图形学、建模和科学仿真中被广泛使用。
空间解析几何是在几何学中一类研究空间几何结构的重要分支学科。
它被广泛应用于工程、机械、制图学等方面,是解决建筑、室内装潢、雕塑、建筑园林设计、制图学等问题的基础学科。
主要内容有平面几何和立体几何,包括平面的直线、圆弧、多边形等,立体的点、直线、面等概念。
空间解析几何主要用来解决解空间几何图形的问题,是几何学中一类重要的问题。
向量代数和空间解析几何之间有着千丝万缕的联系,它们都是分析和处理空间几何图形的重要工具。
向量代数主要用来解决空间的大小、形状、方向等问题,而空间解析几何则主要用于处理空间中的点、直线和平面等结构。
它们的结合可以清楚的表示空间的量化和定义,是建立数学模型的基础和工具。
向量代数和空间解析几何在科技、计算机图形学、建模和科学仿真方面都有着广泛的应用。
它们可以帮助我们更准确地表示和分析空间问题,为解决实际问题提供帮助,在进一步提高科学技术水平中发挥着重要的作用。
综上所述,向量代数和空间解析几何是数学中重要的概念,可以在科学技术、计算机图形学、矩阵计算等方面得到广泛应用,为解决实际问题提供帮助,在进一步提高科学技术水平中发挥着重要的作用。
它们的结合可以更为清楚地表示和分析空间几何图形,为建立数学模型提供基础。
第一节 空间解析几何与向量代数一、空间直角坐标 (一)空间直角坐标系在空间取定一点O ,和以O 为原点的两辆垂直的三个数轴,依次记作x 轴(横轴)、y 轴(纵轴)、z 轴(竖轴),构成一个空间直角坐标系(图1-1-1)。
通常符合右手规则,即右手握住z 轴,当右手的四个手指从正向x 轴以2π角度转向正向y 轴时,大拇指的指向就是z 轴的正向。
并设i、j 、k 为x轴、y 轴、z 轴上的单位向量,又称为O xyz 坐标系,或[i,j,k]坐标系。
(二)两点间的距离在空间直角坐标系中,M 1(x 1,y 1,z 1)与M 2(x 2,y 2,z 2)之间的距离为()()()221221221z z y y x x d -+-+-=(1-1-1)(三)空间有向直线方向的确定设有一条有向直线L ,它在三个坐标系正向的夹角分别为α、β、γ(πγβα≤≤,,0),称为直线L 的方向角;{γβαcos ,cos ,cos }称为直线L 的方向余弦,三个方向余弦有以下关系1cos cos cos 222=++γβα (1-1-2)二、向量代数 (一)向量的概念空间具有一定长度和方向的线段称为向量。
以A 为起点,B 为终点的向量,记作AB ,或简记作a 。
向量a 的长记作a ,又称为向量a 的模,两向量a和b 若满足:①b a =,②b a //,③b a ,指向同一侧,则称b a=。
与a方向一致的=单位向量记作0a ,则0a =aa。
若0a={γβαcos ,cos ,cos },也即为a的方向余弦。
(二)向量的运算 1.两向量的和以b a,为边的平行四边形的对角线(图1-1-2)所表示的向量c ,称为向量a和b 的和,记作b a c+= (1-1-3)一般说,n 个向量1a ,2a,…,n a 的和可定义如下:先作向量1a ,再以1a 的终点为起点作向量2a,…,最后以向量1-n a 的终点为起点作向量n a,则以向量1a的起点为起点、以向量n a 的终点为终点的向量b 称为1a ,2a,…,n a 的和,即 n a a a b+++=21(1-1-4) 2.两向量的差设a 为一向量,与a 的模相同,而方向相反的向量叫做a 的负向量,记作a -,规定两个向量a和b 的差为()ba b a-+=- (1-1-5)3.向量与数的乘法设λ是一个数,向量a 和λ的乘积a λ规定为:当λ>0时,a λ表示一个向量,它的方向与a 的方向相同,它的模等于a 的λ倍,即a a λλ=;当λ=0时,aλ是零向量,即0=aλ; 当λ<0时,a λ表示一个向量,它的方向与a的方向相反,它的模等于a 的λ倍,即a a λλ=。
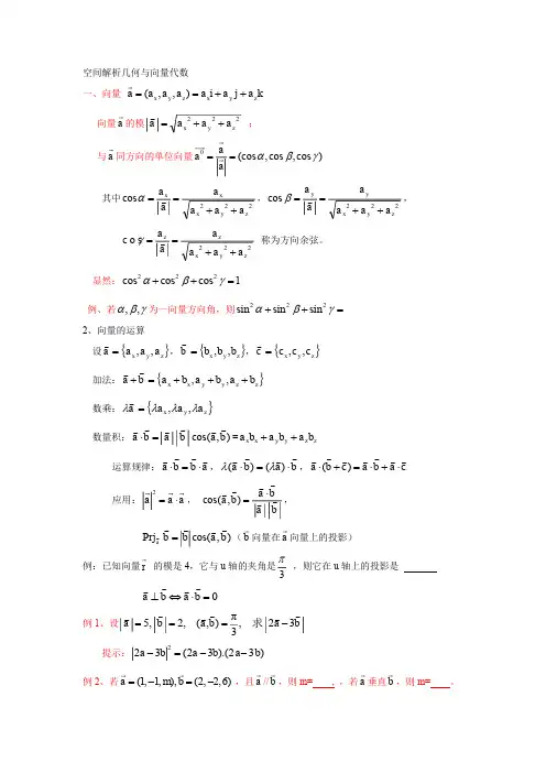
空间解析几何与向量代数向量及其运算目的:理解向量的概念及其表示;掌握向量的运算,了解两个向量垂直、平行的条件;掌握空间直角坐标系的概念,能利用坐标作向量的线性运算;重点与难点重点:向量的概念及向量的运算。
难点:运算法则的掌握过程:一、向量既有大小又有方向的量称作向量通常用一条有向线段来表示向量,有向线段的长度表示向量的大小.有向线段的方向表示向量的方向•向量的表示方法有两种:a、AB向量的模:向量的大小叫做向量的模,向量a、AB的模分别记为|a'|、|AB| .单位向量:模等于1的向量叫做单位向量.零向量:模等于0的向量叫做零向量.记作0规定:0方向可以看作是任意的,相等向量:方向相同大小相等的向量称为相等向量平行向量(亦称共线向量):两个非零向量如果它们的方向相同或相反.就称这两个向量平行记作a // b规定:零向量与任何向量都平行,二、向量运算向量的加法向量的加法:设有两个向量a与b.平移向量使b的起点与a的终点重合.此时从a 的起点到b的终点的向量c称为向量a与b的和.记作a+b .即c=a+b .当向量a与b不平行时.平移向量使a与b的起点重合.以a、b为邻边作一平行四边形从公共起点到对角的向量等于向量a与b的和a b向量的减法:设有两个向量a与b .平移向量使b的起点与a的起点重合.此时连接两向量终点且指向被减数的向量就是差向量。
T T T T TAB =AO OB =0B -CA .2、向量与数的乘法向量与数的乘法的定义:向量a与实数,的乘积记作 a .规定■ a是一个向量.它的模它的方向当■ >0时与a相同.当■ <0时与a相反,(1) 结合律,(七)=±a)=C;L)a ;(2) 分配律(kj a = 'a;'(a b) =■ a …b例1在平行四边形ABCD中.设AB =a . AD二b试用a和b表示向量MA’、MB’、MC‘、MD .其中M是平行四边形对角线的交点----- ■> ----- i ---- i A解:a 〜b = AC = 2 AM 于是MA = (a 亠b),因为MC —MA” .所以MC =1(a b).又因 T b = BD =2 MD .所以MD =2(b_a).由于MB =—MD“ .所以MB‘=2(a—b).定理1设向量a式0.那么.向量b平行于a的充分必要条件是:存在唯一的实数,.使b二,a,三、空间直角坐标系过空间一个点O,作三条互相垂直的数轴,它们都以O为原点。
空间解析几何与向量代数》知识点、公式总结空间解析几何与向量代数是数学中非常重要的分支,它们在物理、工程、计算机科学等领域得到了广泛的应用。
以下是一些知识点和公式的总结:一、向量的数量积与向量积1. 向量的数量积:两个向量 a 和 b 的数量积 (也叫数量积或点积) 定义为一个新的向量,记作 a·b,其大小为|a|·|b|,方向遵循右手法则,即对于任意的向量 c,(a·b)·c=a·(b·c)。
2. 向量积:两个向量 a 和 b 的向量积 (也叫向量积或叉积)定义为一个新的向量,记作 a×b,其大小为|a|·|b|,方向遵循右手法则,即对于任意的向量 c,(a×b)·c=a·(b×c)。
二、向量的混合积1. 向量的混合积:三个向量的混合积 (也叫叉积) 定义为一个新的向量,记作 (ab)c,其大小为|a|·|b|,方向遵循右手法则,即对于任意的向量 d,(ab)c·d=a·(b·c)d。
2. 向量共面的条件:三个向量 a、b、c 共面的条件是它们对应的三条法向量共面。
三、空间平面及其方程1. 空间平面的方程:空间中两个不共线的平面的方程分别为Px+My+Nz=C 和 Px+My+Nz=D,其中 P、M、N 为平面上的任意三个点,C 和D 为已知常数。
2. 平面的点法式方程:设 M(x0,y0,z0) 为平面上的已知点,n(A,B,C) 为法向量,M(x,y,z) 为平面上的任一点,则平面的点法式方程为 A(x-x0)B(y-y0)C(z-z0)=0。
四、空间直线及其方程1. 空间直线的方程:空间中一条直线的方程为 x+My+Nz=C,其中 P、M、N 为直线上的任意三个点,C 为已知常数。
2. 空间直线的参数方程:空间中一条直线的参数方程为x=f(t),y=g(t),z=h(t),其中 t 为参数,f、g、h 分别为直线上的点的 x、y、z 坐标。
高等数学向量代数与空间解析几何总结高等数学是大学数学学科的一门重要基础课程,其中向量代数与空间解析几何是其重要的内容之一、本文将对向量代数与空间解析几何的主要内容进行总结,让我们一起来了解一下吧!向量代数是研究向量的代数性质和运算法则的数学分支,旨在通过研究向量的各种运算进行分析与求解问题。
空间解析几何则是研究点、线、面等几何对象在三维空间中的位置关系和几何性质的学科。
首先,我们先来了解一下向量代数的基本概念和运算法则。
在向量代数中,向量是具有大小和方向的量,通常用一个有向线段表示。
向量的加法是指两个向量相加,得到一个新的向量,其结果是由两个向量的平行四边形法则确定的。
向量的乘法有数量乘法和点乘法两种形式。
数量乘法是指数与向量相乘,得到一个新的向量,其长度与原向量的长度相乘,方向与原向量相同或相反。
点乘法是指两个向量进行点乘,得到一个实数结果,其大小等于两个向量的长度相乘再乘以它们的夹角的余弦值,方向与夹角为锐角的原向量相同,为钝角时与原向量相反。
向量代数的运算法则包括交换律、结合律和分配律。
接下来,我们来了解一下空间解析几何的基本内容。
空间解析几何主要研究三维空间中的点、直线和平面的位置关系和几何性质。
其中,点是空间中没有大小、没有方向的对象,用坐标表示。
直线是由无数个点组成的无限延伸的几何对象,可以通过两点确定一条直线,也可以通过点和方向向量确定一条直线。
平面是由无数个点组成的无限延伸的几何对象,可以通过三个点确定一个平面,也可以通过点和法向量确定一个平面。
空间解析几何要求我们掌握点与点之间的距离、点与直线之间的关系、直线与直线之间的关系、点与平面之间的关系、直线与平面之间的关系等内容。
对于这些关系,我们可以通过向量的性质和运算进行解决。
在向量代数与空间解析几何中,还有一些重要的概念与定理需要了解。
例如,向量的模长是指向量的长度,可以通过向量的坐标和勾股定理求得。
向量的单位向量是指长度为1的向量,可以通过将向量的坐标除以其模长得到。
第八章 空间解析几何与向量代数
一、 选择题
1.设}.4,,1{},2,3,{y b x a -==ϖϖ若b a ϖϖ//,则B
(A )、x=0.5y=6(B)、x=-0.5y=6
(C)、x=1y=-7(D)、x=-1y=-3
2.平面x-2z=0的位置是 D 。
(A)、平行XOZ坐标面。
(B)、平行OY轴 (C)、垂直于OY轴 (D)、通过OY轴
3.下列平面中通过坐标原点的平面是 C 。
(A)、x=1(B)、x+2z+3y+4=0(C)、3(x-1)-y+(y+3)=0(D)、x+y+z=1
4.已知二平面π1:mx+y-3z+1=0与π2:7x-2y-z=0当m = B π1⊥π2。
(A)、1/7 (B)、-1/7 (C)、7 (D)、-7
5.二平面π1:x+y-11=0,π2:3x+8=0的夹角θ= C 。
(A)、2
π (B)、π/3 (C)、π/4 (D)、π/6 6.下列直线中平行与XOY 坐标面的是D 。
(A )233211+=+=-z y x (C )1
0101z y x =-=+ (B ){
4404=--=--y x z x (D )⎪⎩⎪⎨⎧==+=4321z t
y t x 7.直线L 1:{7272=-+=++-z y x z y x 与L 2:{836302=-+=--z y x z y x 的关系是B 。
(A )、L 1⊥L 2(B )、L 1//L 2(C )、L 1与L 2相交但不垂直。
(D )、L 1与L 2为异面直线。
二、填空题
1.点P(1,2,1)到平面x+2y+2z-10=0的距离是 1 。
2.当l =-4,及m=3时,二平面2x+my+3z-5=0与l x-6y-6z+2=0互相平行。
3.过点P(4,-1,3)且平行于直线
51232-==-z y x 的直线方程 为
5
32/1134-=+=-z y x 。
三、计算题
1·求过点(301)且与平面3x 7y 5z 120平行的平面方程
解所求平面的法线向量为n (375)所求平面的方程为
3(x 3)7(y 0)5(z 1)0即3x 7y 5z 40
2.求过点(230)且以n (123)为法线向量的平面的方程
解根据平面的点法式方程得所求平面的方程为
(x 2)2(y 3)3z 0
即x 2y 3z 80
3·求过三点M 1(214)、M 2(132)和M 3(023)的平面的方程
解我们可以用→→3121M M M M ⨯作为平面的法线向量n
因为→)6 ,4 ,3(21--=M M →)1 ,3 ,2(31--=M M
所以
根据平面的点法式方程得所求平面的方程为
14(x 2)9(y 1)(z 4)0
即14x 9yz 150
4·求过点(413)且平行于直线51123-==-z y x 的直线方程 解所求直线的方向向量为s (215)所求的直线方程为
5·求过两点M 1(321)和M 2(102)的直线方程
解所求直线的方向向量为s (102)(321)(421)所求的直线方程为
6.求与两平面x 4z 3和2xy 5z 1的交线平行且过点(325)的直线的方程 解平面x 4z 3和2xy 5z 1的交线的方向向量就是所求直线的方向向量s 因为)34(
512 401 )52()4(k j i k j i k j i k i s ++-=---=--⨯-= 所以所求直线的方程为
7.一个平面过两点M 1(1111)、M 2(011),且垂直于平面x+y+z=0,求其方程
解:1098=-+z y x。