合工大电磁场与电磁波第一章习题答案
- 格式:pdf
- 大小:207.47 KB
- 文档页数:11
1电磁场与电磁波第⼀章习题答案第⼀章习题解答1.2给定三个⽮量A ,B ,C :A =x a +2y a -3z aB = -4y a +z aC =5x a -2z a求:⑴⽮量A 的单位⽮量A a ;⑵⽮量A 和B 的夹⾓AB θ;⑶A ·B 和A ?B ⑷A ·(B ?C )和(A ?B )·C ;⑸A ?(B ?C )和(A ?B )?C解:⑴A a =A A(x a +2y a -3z a )⑵cos AB θ =A ·B /A BAB θ=135.5o⑶A ·B =-11, A ?B =-10x a -y a -4z a⑷A ·(B ?C )=-42(A ?B )·C =-42⑸A ?(B ?C )=55x a -44y a -11z a (A ?B )?C =2x a -40y a +5z a1.3有⼀个⼆维⽮量场F(r) =x a (-y )+y a (x),求其⽮量线⽅程,并定性画出该⽮量场图形。
解:由dx/(-y)=dy/x,得2x +2y =c1.6求数量场ψ=ln (2x +2y +2z )通过点P (1,2,3)的等值⾯⽅程。
解:等值⾯⽅程为ln (2x +2y +2z )=c则c=ln(1+4+9)=ln14那么2x +2y +2z =141.9求标量场ψ(x,y,z )=62x 3y +z e 在点P (2,-1,0)的梯度。
解:由ψ?=x a x ψ??+y a y ψ??+z a z ψ??=12x 3y x a +182x 2y y a +z e z a 得ψ?=-24x a +72y a +z a1.10 在圆柱体2x +2y =9和平⾯x=0,y=0,z=0及z=2所包围的区域,设此区域的表⾯为S:⑴求⽮量场A 沿闭合曲⾯S 的通量,其中⽮量场的表达式为A =x a 32x +y a (3y+z )+z a (3z -x) ⑵验证散度定理。
电磁场与电磁波课后习题及答案习题解答如题图所示为一长方形截面的导体槽,槽可视为无限长,其上有一块与槽相绝缘的盖板,槽的电位为零,上边盖板的电位为U0,求槽内的电位函数。
解根据题意,电位?(x,y)满足的边界条件为y?)?a(y,?) 0①?(0,) 0②?(x,0?③?(x,b)?U0 根据条件①和②,电位?(x,y)的通解应取为y ?(x,y)??Ansinh(n?1?n?yn?x)sin()aa b o U0 条件③,有 a 题图U0??Ansinh(? ax n?1n?bn?x)sin()aa sin(两边同乘以n?x)a,并从0到a对x积分,得到a2U0n?xAn?sin()dx?asinh(n?ba)?a04U0?,n?1,3,5,?n?sinh(n?ba)2U0?(1?cosn?) ??n?2,4,6,n?sinh(n?ba)?0,?(x,y)?故得到槽内的电位分布4U01?,sinh?n?1,3,5nn?(ban?ysinh()a?nx)sin(a ) 两平行无限大导体平面,距离为b,其间有一极薄的导体片y?d到y?b(???x??)。
上板和薄片保持电位U0,下板保持零电位,求板间电位的解。
设在薄片平面上,从y?0到y?d,电位线性变化,?(0,y)?U0yd。
y U0解应用叠加原理,设板间的电位为?(x,y)??1(x,y)??2(x,y) 其中,boxydxy oxy 题图?1(x,y)为不存在薄片的平行无限大导体平面间的电位,即?1(x,y)?U0yb;?2(x,y)是两个电位为零的平行导体板间有导体薄片时的电位,其边界条件为:①?2(x,0)??2(x,b)?0②?2(x,y)?0(x??) U0?U?y??0b?2(0,y)??(0,y)??1(0,y)???U0y ?U0y?b?d③(0?y?d)(d?y?b) ??xn?y?nb?2(x,y)?? Ansin()e?(x,y)的通解为bn?1根据条件①和②,可设 2 U0?U?y?n?y??0bAnsin()???bn?1?U0y?U0 y?b?d条件③有sin(两边同乘以d(0?y?d)(d?y?b) n?y)b,并从0到b 对y积分,得到b2U2Uyn?y11n?yAn?0?(1?)sin()dy?0?(?) ysin()dy?2U02bsin(n?d)b0bbbddbb(n?)db ?xU02bU0?1n?dn?y?nby?sin()sin()e 2?2?(x,y)?bd?bbn?1n故得到求在上题的解中,除开定出边缘电容。
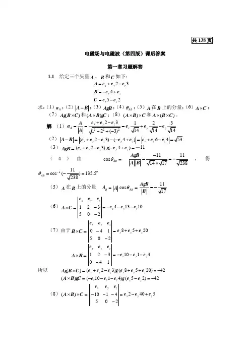
电磁场与电磁波(第四版)课后答案第一章习题解答1.1 给定三个矢量A 、B 和C 如下: 23x y z =+-A e e e4y z =-+B e e52x z =-C e e求:(1)A a ;(2)-A B ;(3)A B g ;(4)AB θ;(5)A 在B 上的分量;(6)⨯A C ;(7)()⨯A B C g 和()⨯A B C g ;(8)()⨯⨯A B C 和()⨯⨯A BC 。
解 (1)23A x y z +-===-e e e A a e e e A (2)-=A B (23)(4)x y z y z +---+=e e e e e 64x y z +-=e e e (3)=A B g (23)x y z +-e e e (4)y z -+=e e g -11 (4)由cos AB θ===A B A B g,得1cos AB θ-=(135.5=o (5)A 在B 上的分量 B A=A cos AB θ==A B B g (6)⨯=A C 123502xyz-=-e e e 41310x y z ---e e e (7)由于⨯=B C 041502xyz-=-e e e 8520x y z ++e e e⨯=A B 123041xyz-=-e e e 1014x y z ---e e e所以 ()⨯=A B C g (23)x y z +-e e e g (8520)42x y z ++=-e e e ()⨯=A B C g (1014)x y z ---e e e g (52)42x z -=-e e(8)()⨯⨯=A B C 1014502xyz---=-e e e 2405x y z -+e e e()⨯⨯=A B C 1238520x y z -=e e e 554411x y z --e e e1.2 三角形的三个顶点为1(0,1,2)P -、2(4,1,3)P -和3(6,2,5)P 。
第6章习题答案6-1 在1=r μ、4=r ε、0=σ的媒质中,有一个均匀平面波,电场强度是 若已知MHz 150=f ,波在任意点的平均功率流密度为2μw/m 265.0,试求:(1)该电磁波的波数?=k 相速?=p v 波长?=λ波阻抗?=η (2)0=t ,0=z 的电场?)0,0(=E(3)时间经过μs 1.0之后电场)0,0(E 值在什么地方?(4)时间在0=t 时刻之前μs 1.0,电场)0,0(E 值在什么地方? 解:(1))rad/m (22πεπμεω===r cfk(2)∵ 6200210265.02121-⨯===m rm av E E S εεμη∴ (V /m)1000.12-⨯=m E(3) 往右移m 15=∆=∆t v z p (4) 在O 点左边m 15处6-2 一个在自由空间传播的均匀平面波,电场强度的复振幅是 试求: (1)电磁波的传播方向?(2)电磁波的相速?=p v 波长?=λ频率?=f (3)磁场强度?=H(4)沿传播方向单位面积流过的平均功率是多少?解:(1) 电磁波沿z 方向传播。
(2)自由空间电磁波的相速m/s 1038⨯==c v p∵ πω20==ck∴ c πω20=∴ Hz 1031029⨯===c f πω(3))A/m )((10652120j )220(j 7y z x z z e e .e e E e H πππη-+--+⨯=⨯=(4))W/m (106522)Re(21211*z z av.e e H E S *-⨯=⋅=⨯=ηE E 6-3 证明在均匀线性无界无源的理想介质中,不可能存在z e E kze E j 0-=的均匀平面电磁波。
证 ∵ 0j j 0≠-=⋅∇-kzekE Ε,即不满足Maxwell 方程∴ 不可能存在z e E kze E j 0-=的均匀平面电磁波。
6-4在微波炉外面附近的自由空间某点测得泄漏电场有效值为1V/m ,试问该点的平均电磁功率密度是多少?该电磁辐射对于一个站在此处的人的健康有危险吗?(根据美国国家标准,人暴露在微波下的限制量为10-2W/m 2不超过6分钟,我国的暂行标准规定每8小时连续照射,不超过3.8×10-2W/m 2。
电磁场与电磁波(第四版)课后答案第一章习题解答1.1 给定三个矢量A 、B 和C 如下: 23x y z =+-A e e e4y z =-+B e e 52x z =-C e e求:(1)A a ;(2)-A B ;(3)A B ;(4)AB θ;(5)A 在B 上的分量;(6)⨯A C ;(7)()⨯A B C 和()⨯A B C ;(8)()⨯⨯A B C 和()⨯⨯A BC 。
解 (1)23A x y z+-===e e e A a e e e A (2)-=A B (23)(4)x y z y z +---+=e e e e e 64x y z +-=e e e(3)=A B (23)x y z +-e e e (4)y z -+=e e -11 (4)由c o sAB θ=111238=A B AB ,得 1cos AB θ-=(135.5= (5)A 在B 上的分量 B A=A cos AB θ==A B B (6)⨯=A C 123502xyz-=-e e e 41310x y z ---e e e (7)由于⨯=B C 041502xyz-=-e e e 8520x y z ++e e e⨯=A B 123041xyz-=-e e e 1014x y z ---e e e所以 ()⨯=A B C (23)x y z +-e e e (8520)42x y z ++=-e e e ()⨯=A B C (1014)x y z ---e e e (52)42x z -=-e e(8)()⨯⨯=A B C 1014502xyz---=-e e e 2405x y z -+e e e()⨯⨯=A B C 1238520x y z -=e e e 554411x y z --e e e1.2 三角形的三个顶点为1(0,1,2)P -、2(4,1,3)P -和3(6,2,5)P 。
(1)判断123PP P ∆是否为一直角三角形; (2)求三角形的面积。
第一章习题解答【习题Ll解】【习题L2解】【习题L3解】(1)要使ALR,则须散度A-B=O所以从Z∙5=T+3H8c=0可得:3b+8c=l即只要满足3b÷8c=l就可以使向量二和向量了垂直。
(2)要使4||月,则须旋度AxB=O所以从可得b=-3,c=-8【习题1・4解】A=I2以+9e y+6z,B=CIeX+be y,因为3JLA,所以应有A∙3=0g∣j(12久+9e y+e z^∙^ae x+Z?Gy)=12Q+9/?=0(I)又因为同=1;所以病存=1;(2)一4由⑴,⑵解得Q=±《,"=+W【习题1.5解】由矢量积运算规则4_B=A?C a x a2a3=(%Z-+(a3x-a x z)e y+(01y-a2x)e7xyz =8名+纥5+BZeZ取一线元:dl=e x dx+e y dy+e z dz则有dx_dy_dz则矢量线所满足的微分方程为丁二万一=Hιy xy"z或写成=常数)a2z-a3ya3x-a l za↑y-a2x求解上面三个微分方程:可以直接求解方程,也可以采用以下方法d(qx)="(/丁)二d(%z)a i a2z-a i a3ya2a3x-a l a2za l a3y-a2a i xxdx_ydy_ZdZx(a2z-a3y)y{a3x-a x z)z(a l y-a2x)由(1)(2)式可得d(a2y)=k(a2a3x-aλa2z)ydy=k(a3xy-a}yz)(4)对⑶⑷分别求和所以矢量线方程为【习题L6解】矢量场A=(αxz+x2)eχ+Sy+孙2)0+{z-z1-∖-cxz-2xyz)e z假设A是一个无源场,则应有divΛ=O即:divA=V•4=空L+空L+空■=O∂x∂y∂z因为A=axz+X2∕ξ=by+xy1A z=z-z1+cxz-2xyzx所以有divA=az+2x+b+2xy+l-2z+cχ-2xy=X(2+c)÷z(a-2)+b+l=0 得a=2,b=-1,c=-2【习题1.7解】设矢径r的方向与柱面垂直,并且矢径不到柱面的距离相等(r=a)f∙ds-[rds=a∖ds=a2πah所以,①=S JSJS【习题1.8解】φ=3X2y i A=X2yze v+3xy2e^而rot((∕A)=Vx(以)=×A÷V^×A又=巴?十3?+再等=6xye x+3jc2e y ox-oy∂z所以+9x3y2e v-lSx2y3e v+6x3y2ze z=3X2y2[(9X一X2)e x-9yeγ+4xze z]【习题1.9解】所以&CyCzrotA=VXA=———∂x∂y∂zA x A y A(-1+1)&+(4/Z-4xz)e、+(2y-2y)&=6由于场H的旋度处处等于0,所以矢量场A为无旋场。
《电磁场与电磁波》知识点及参考答案第1章 矢量分析1、如果矢量场F 的散度处处为0,即0F∇⋅≡,则矢量场是无散场,由旋涡源所产生,通过任何闭合曲面S 的通量等于0。
2、如果矢量场F 的旋度处处为0,即0F ∇⨯≡,则矢量场是无旋场,由散度源所产生,沿任何闭合路径C 的环流等于0。
3、矢量分析中的两个重要定理分别是散度定理(高斯定理)和斯托克斯定理, 它们的表达式分别是:散度(高斯)定理:SVFdV F dS ∇⋅=⋅⎰⎰和斯托克斯定理:sCF dS F dl∇⨯⋅=⋅⎰⎰。
4、在有限空间V 中,矢量场的性质由其散度、旋度和V 边界上所满足的条件唯一的确定。
( √ )5、描绘物理状态空间分布的标量函数和矢量函数,在时间为一定值的情况下,它们是唯一的。
( √ )6、标量场的梯度运算和矢量场的旋度运算都是矢量。
( √ )7、梯度的方向是等值面的切线方向。
(× )8、标量场梯度的旋度恒等于0。
( √ ) 9、习题1.12, 1.16。
第2章 电磁场的基本规律(电场部分)1、静止电荷所产生的电场,称之为静电场;电场强度的方向与正电荷在电场中受力的方向相同。
2、在国际单位制中,电场强度的单位是V/m(伏特/米)。
3、静电系统在真空中的基本方程的积分形式是:V V sD d S d V Q ρ⋅==⎰⎰和0lE dl ⋅=⎰。
4、静电系统在真空中的基本方程的微分形式是:V D ρ∇⋅=和0E∇⨯=。
5、电荷之间的相互作用力是通过电场发生的,电流与电流之间的相互作用力是通过磁场发生的。
6、在两种媒质分界面的两侧,电场→E 的切向分量E 1t -E 2t =0;而磁场→B 的法向分量B 1n -B 2n =0。
7、在介电常数为e 的均匀各向同性介质中,电位函数为 2211522x y z ϕ=+-,则电场强度E=5x y zxe ye e --+。
8、静电平衡状态下,导体内部电场强度、磁场强度等于零,导体表面为等位面;在导体表面只有电场的法向分量。
电子信息学院电磁场与电磁波第一章复习题练习姓名学号班级分数1-7题,每题5分;8-15题,每题5分,16题10分,17题15分。
8:解:不总等于,讨论合理即可9. 已知直角坐标系中的点P1(-3,1,4)和P2(2,-2,3):(1)在直角坐标系中写出点P1、P2的位置矢量r1和r2;(2)求点P1到P2的距离矢量的大小和方向;(3)求矢量r1在r2的投影;解:(1)r1=-3a x+a y+4a z;r2=2a x-2a y+3a z(2)R=5a x-3a y-a z(3) [(r1•r2)/ │r2│] =(17)½10.用球坐标表示的场E=a r 25/r2,求:(1)在直角坐标系中的点(-3,4,-5)处的|E|和E z;(2)E与矢量B=2a x-2a y+a z之间的夹角。
解:(1)0.5;2½/4;(2)153.611.试计算∮s r·d S的值,式中的闭合曲面S是以原点为顶点的单位立方体,r为空间任一点的位置矢量。
解:学习指导书第13页12.从P(0,0,0)到Q(1,1,0)计算∫cA·d l,其中矢量场A的表达式为A=ax 4x-ay14y2.曲线C沿下列路径:(1) x=t,y=t2;(2)从(0,0,0)沿x轴到(1,0,0),再沿x=1到(1,1,0);(3)此矢量场为保守场吗?解:学习指导书第14页13.求矢量场A =a x yz+a y xz+a z xy 的旋度。
A ∇⨯=x a (x -x )+y a (y -y )+z a (z -z )=0 14.求标量场u=4x 2y+y 2z-4xz 的梯度。
u ∇=x a u x ∂∂+y a u y ∂∂+z a u z ∂∂=x a (8xy-4z)+y a (42x +2yz)+z a (2y -4x)15.求矢量场A =a x x 2y+a y yz+a z 3z 2在点P (1,1,0)的散度。
第一章习题解答1.1 给定三个矢量A 、B 和C 如下:A e x e y 2 e z 3 Be y 4 e zC e x 5 e z 2求:( 1) a A ;( 2) AB;(3)AgB;(4)AB ;( 5)A 在B 上的分量;( 6) A C;( 7) Ag(B C)和(A B )gC ;( 8) ( A B ) C 和A (B C ) 。
解 ( 1) a AA e x e y 2 e z 31 e y2 e z3 A12 22 (e x14143)214(2)A B (e xe y 2 e z 3) ( e y 4 e z )e x e y 6 e z 453(3)AgB(e x e y 2 e z 3) g( e y 4 e z )-11( 4)由 cosABAgB11 11 ,得 AB cos 1 (11 ) 135.5oA B1417238 238( 5) A 在B 上的分量A BA cos ABAgB 11B17e x e y e z(6)A C1 2 3 e x 4 e y 13 e z 105 02e x e y e z( 7)由于 BC0 4 1 e x 8 e y 5 e z 205 0 2e x e y e zA B1 2 3 e x 10 e y 1 e z 40 4 1所以Ag(B C ) (e xe y 2 e z 3)g (e x 8 e y 5 e z 20)42( A B )gC( e x 10 e y 1 e z 4)g( e x 5 e z 2)42e xe ye z(8)(A B) C10 1 4 e x 2 e y 40 e z 5 5 0 2e xe y e zA(BC)1 2 3 e x 55 e y 44 e z 1185 201.2 三角形的三个顶点为P 1(0,1, 2) 、 P 2 (4,1, 3) 和 P 3 (6, 2,5) 。
( 1)判断 PP 12 P 3 是否为一直角三角形;( 2)求三角形的面积。
电子信息学院电磁场与电磁波第一章复习题练习姓名学号班级分数1-7题,每题5分;8-15题,每题5分,16题10分,17题15分。
8:解:不总等于,讨论合理即可9. 已知直角坐标系中的点P1(-3,1,4)和P2(2,-2,3):(1)在直角坐标系中写出点P1、P2的位置矢量r1和r2;(2)求点P1到P2的距离矢量的大小和方向;(3)求矢量r1在r2的投影;解:(1)r1=-3a x+a y+4a z;r2=2a x-2a y+3a z(2)R=5a x-3a y-a z(3) [(r1•r2)/ │r2│] =(17)½10.用球坐标表示的场E=a r 25/r2,求:(1)在直角坐标系中的点(-3,4,-5)处的|E|和E z;(2)E与矢量B=2a x-2a y+a z之间的夹角。
解:(1)0.5;2½/4;(2)153.611.试计算∮s r·d S的值,式中的闭合曲面S是以原点为顶点的单位立方体,r为空间任一点的位置矢量。
解:学习指导书第13页12.从P(0,0,0)到Q(1,1,0)计算∫cA·d l,其中矢量场A的表达式为A=ax 4x-ay14y2.曲线C沿下列路径:(1) x=t,y=t2;(2)从(0,0,0)沿x轴到(1,0,0),再沿x=1到(1,1,0);(3)此矢量场为保守场吗?解:学习指导书第14页13.求矢量场A =a x yz+a y xz+a z xy 的旋度。
A ∇⨯=x a (x -x )+y a (y -y )+z a (z -z )=0 14.求标量场u=4x 2y+y 2z-4xz 的梯度。
u ∇=x a u x ∂∂+y a u y ∂∂+z a u z ∂∂=x a (8xy-4z)+y a (42x +2yz)+z a (2y -4x)15.求矢量场A =a x x 2y+a y yz+a z 3z 2在点P (1,1,0)的散度。
电磁场 与电磁波(第四版) 课后答案第一章 习 题 解答1.1 给定三个矢量A 、B 和C 如下: 23x y z =+-A e e e4y z =-+B e e 52x z =-C e e求:(1)A a ;(2)-A B ;(3)A B ;(4)AB θ;(5)A 在B 上的 分量;(6)⨯A C ;(7)()⨯A B C 和()⨯A B C ;(8)()⨯⨯A B C 和()⨯⨯A B C 。
解 (1)23A x y z+-===e e e A a e e e A (2)-=A B (23)(4)x y z y z +---+=e e e ee 64x y z +-=e e e (3)=A B (23)x y z +-e e e (4)y z -+=e e -11 (4)由c o sAB θ=11238=A B A B ,得1c o s ABθ-=(135.5= (5)A 在B 上的分 量 B A =A c o s AB θ==A B B (6)⨯=A C 123502x yz-=-e e e 41310x y z ---e e e(7)由于⨯=B C 041502x y z-=-e e e 8520x y z ++e e e⨯=A B 123041xyz-=-e e e 1014x y z ---e e e所以 ()⨯=A B C (23)x y z +-e e e (8520)4x y z ++=-e e e ()⨯=A B C (1014)x y z ---e e e (52)42x z -=-e e(8)()⨯⨯=A B C 1014502x y z---=-e e e 2405x y z -+e e e()⨯⨯=A B C 1238520xy z -=e e e 554411x y z --e e e1.2 三角形的三个顶点 为1(0,1,2)P -、2(4,1,3)P -和3(6,2,5)P 。
第一章习题解答【习题1.1解】222222222222222222222222222222222222cos cos cos cos cos cos 1xx x y z yx y z z x y z x y z x y z x y z x y z x y z x y z 矢径r 与轴正向的夹角为,则同理,矢径r 与y 轴正向的夹角为,则矢径r 与z 轴正向的夹角为,则可得从而得证a a b b g g a b g =++=++=++++=++++++++++==++【习题1.2解】924331329(243)54(9)(243)236335x y z x y z x y z x y z x y z x y z x y z x y z A B e e e e e e e e e A B e e e e e e e e e A B e e e e e e A B +=--+-+=-+=----+=---∙=--∙-+=+-=⨯()()-()(9)(243)19124331514x y z x y z x y z x y ze e e e e e e e e e e e =--⨯-+=---=--+【习题1.3解】已知,38,x y z x y z A e be ce B e e e =++=-++ (1)要使A B ⊥,则须散度 0A B =所以从 1380A B b c =-++=可得:381b c += 即只要满足3b+8c=1就可以使向量和向量垂直。
(2)要使A B ,则须旋度 0A B ⨯= 所以从1(83)(8)(3)0138xy zx y z e e e A B b c b c e c e b e ⨯==--+++=- 可得 b=-3,c=-8 【习题1.4解】已知129x y z A e e e =++,x y B ae be =+,因为B A ⊥,所以应有0A B ∙= 即()()1291290xy z x y ee e ae be a b ++∙+=+= ⑴又因为 1B =; 所以221a b +=; ⑵由⑴,⑵ 解得 34,55a b =±=【习题1.5解】由矢量积运算规则123233112()()()x y zx y z x x y y z ze e e A Ca a a a z a y e a x a z e a y a x e xyzB e B e B e B =?=-+-+-=++取一线元:x y z dl e dx e dy e dz =++则有xy z xyz e e e dlB B B dx dy dzB ?=则矢量线所满足的微分方程为 x y zd x d y d z B B B == 或写成233112()dx dy dzk a z a y a x a z a y a x==---=常数 求解上面三个微分方程:可以直接求解方程,也可以采用下列方法k xa a y a a z a d z a a x a a y a d y a a z a a x a d =-=-=-323132132231211)()()( (1)k x a y a z zdzz a x a y ydy y a z a x xdx =-=-=-)()()(211332 (2)由(1)(2)式可得)()(31211y a a x a a k x a d -=)()(21322z a a x a a k y a d -= (3) )()(32313x a a y a a k z a d -= )(32xy a xz a k xdx -=)(13yz a xy a k ydy -= (4))(21xz a yz a k zdz -=对(3)(4)分别求和0)()()(321=++z a d y a d x a d 0)(321=++z a y a x a d0=++zdz ydy xdx 0)(222=++z y x d所以矢量线方程为1321k z a y a x a =++ 2222k z y x =++【习题1.6解】已知矢量场222()()(2)x y z A axz x e by xy e z z cxz xyz e =++++-+- 若 A 是一个无源场 ,则应有 div A =0即: div A =0y x zA A A A x y z∂∂∂∇⋅=++=∂∂∂ 因为 2x A axz x =+ 2y A by xy =+ 22z A z z cxz xyz =-+- 所以有div A =az+2x+b+2xy+1-2z+cx-2xy =x(2+c)+z(a-2)+b+1=0 得 a=2, b= -1, c= - 2 【习题1.7解】设矢径 r 的方向与柱面垂直,并且矢径 r到柱面的距离相等(r =a )所以,2sssr ds rds a ds a ah πΦ===⎰⎰⎰=22a h π=【习题1.8解】已知23x y φ=,223yz A x yze xy e =+ 而 A A A A rot⨯∇+⨯∇=⨯∇=φφφφ)()(2222(6)3203xy zx y ze e e A xy x y e y e xyze x y z x yz xy ∂∂∂∇⨯==--+∂∂∂ 2223[(6)32]x y z A x y xy x y e y e xyze φ∴∇⨯=--+又y x z y xe x e xy ze y e x e 236+=∂∂+∂∂+∂∂=∇φφφφ 232233222630918603xy z x y z e e e A xyx x y e x y e x y ze x yz xy φ∇⨯==-+所以222()3[(6)32]x y z rot A A A x y xy x y e y e xyze φφφ=∇⨯+∇⨯=--+ +z y x e z y x e y x e y x 2332236189+-=]49)9[(3222z y x e xz e y e x x y x+--【习题1.9解】已知 222(2)(2)(22)x y zA y x z e x y z e x z y z e =++-+-+ 所以()()1144(22)0xyzyy x x z z x y z x yzx y z A A A A A A rot A A x y z y z z x x y A A A xz xz y y e e ee e e e e e ∂∂⎛⎫⎛⎫∂∂∂∂∂∂∂⎛⎫=∇⨯==-+-+- ⎪ ⎪ ⎪∂∂∂∂∂∂∂∂∂⎝⎭⎝⎭⎝⎭-++-+-=由于场A 的旋度处处等于0,所以矢量场A 为无旋场。