框架梁柱内力组合表
- 格式:xls
- 大小:37.50 KB
- 文档页数:4
工程建设与设计______Construction&Design For P roject提高单跨框架结构抗震性能的几种方法Several Methods to Improve the Seismic Performance of Single Span FrameStructure闫艳伟\李晓蕾2(1•中元国际工程有限公司,北京100038;2.西安理工大学土木建筑工程学院,西安710048)YAN Yan-wei1,LI Xiao-lei2(1.China IPPR International Engineering Co.Ltd.,Beijing100038,China;2.School of Civil Engineering and Architecture,Xi'an University of Technology,Xi'an71004&China)【摘要】单跨框架结构冗余度小,在地震中很容易形成机构并发生倒塌破坏,故在设计中应增加延性,提高其抗震性能。
结合实际工程,以一工业厂房附属用房中的单跨框架结构为例,对比分析了加强抗震措施、中震弹性设计与中震不屈服设计、对结构重要部位进行包络设计三种提升结构综合抗震性能的方法结果表明,可通过提高抗震等级和抗震构造措施以及对结构重要部位进行包络设计来有效提高结构抗震性能,对关键构件进行中震抗震设计能保证其具有较好的延性,但建筑物的整体造价会有所提高[Abstract]Due to the small redundancy of single span frame structure,it is easily forming mechanism and collapsed under the earthquake.Then,the seismic performance of s ingle span frame structure should be improved by strengthening structure bined with practical engineering,a single span frame structure in industrial workshop accessory occupancy as an example,three methods are proposed as follows: strengthen aseismic measures,elastic and non-yielding design under moderate earthquake,envelope design for the important parts of the structure.The comparative analysis was made in this paper,and results shows that improving seismic grade and seismic construction as well as envelope design for important part of t he structure are affect measures for strengthening the structural seismic performance.Seismic design for key component of s tructure under moderate earthquake will ensure the good ductility;however,the overall cost of s tructure will be increased.【关键词】单跨框架;抗震措施涎性;性能设计[Keywords]single-span frame structure;seismic measures;ductility;performance design【中图分类号】TU323.5;TU352【文献标志码】B【文章编号11007-9467(2019)02-0048-04 [DOI]10.13616/ki.gcjsysj.2019.02.0151引言单跨框架结构指由2根柱1根梁组成的结构,其抗侧刚度小,结构超静定次数少,耗能能力弱,结构冗余度小,不能形成多道抗震防线,在超越抗震设防的强震作用下,一旦框架柱出现塑性枝,则整个结构出现连续倒塌的可能性很大。
第8章 一榀框架计算8.7框架内力计算框架结构承受的荷载主要有恒载、活载、风荷载、地震作用。
其中恒载、活载为竖向荷载,风荷载和地震为水平作用。
手算多层多跨框架结构的内力和侧移时,采用近似方法。
求竖向荷载作用下的内力采用分层法,求水平荷载作用下的内力采用反弯点法、D 值法。
在计算各项荷载作用下的效应时,一般按标准值进行计算,然后进行荷载效应组合。
8.7.2框架内力计算1。
恒载作用下的框架内力 (1)计算简图将图8-12(a )中梁上梯形荷载折算为均布荷载。
其中a=1。
8m ,l=6.9m ,=1800/69000.26a α==,顶层梯形荷载折算为均布荷载值:232312+=120.26+0.2621.31=18.8kN m q αα-⨯-⨯⨯()(),顶层总均布荷载为18.8+4.74=23.54kN m 。
其他层计算方法同顶层,计算值为21.63kN m 。
中间跨只作用有均布荷载,不需折算。
由于该框架为对称结构,取框架的一半进行简化计算,计算简图见8-19。
(2)弯矩分配系数节点A 1:101044 1.18 4.72A A A A S i ==⨯=111144 1.33 5.32A B A B S i ==⨯=12120.940.94 1.61 5.796A A A A S i =⨯=⨯⨯=()0.622 1.3330.84415.836AS =++=∑1010 4.720.29815.836A A A A AS S μ===∑图8-19 恒载作用下计算简图(括号内数值为梁柱相对线刚度)1111 5.320.33615.836A B A B AS S μ===∑1212 5.7960.36615.836A A A A AS S μ===∑ 节点B 1:11112 1.12 2.24B D B D S i ==⨯=18.076BS =∑1111 5.320.29418.076B A B A BS S μ===∑1010 4.720.32118.076B B B B BS S μ===∑ 1212 5.7960.32118.076B B B B BS S μ===∑1111 2.240.12418.076B D B D BS S μ===∑节点A 2:()210.94 1.610.4170.94 1.610.776 1.33A A μ⨯⨯==⨯⨯++230.940.7760.20113.91A A μ⨯⨯==224 1.330.38213.91A B μ⨯==节点B 2:224 1.330.3294 1.330.94 1.61+0.940.7762 1.12B A μ⨯==⨯+⨯⨯⨯⨯+⨯210.94 1.610.35916.15B B μ⨯⨯==212 1.120.13916.15B C μ⨯==230.940.7760.17316.15B B μ⨯⨯==节点A 3 、A 4、A 5与A 2相同B 3、B 4、B 5与B 2相同。
柱顶N 193.6712.277.94-11.6311.63177.64柱底N 223.6212.277.94-11.6311.63206.39柱顶N 450.4859.5555.22-35.1335.13422.43柱底N 480.4359.5555.22-35.1335.13451.18柱顶N 707.21106.92102.59-67.9267.92657.53柱底N 737.16106.92102.59-67.9267.92686.28柱顶N 963.94154.29149.96-109.23109.23883.76柱底N 993.89154.29149.96-109.23109.23912.52柱顶N 1220.64201.65197.32-153.74153.741106.64柱底N 1250.59201.65197.32-153.74153.741135.39柱顶N 1477.13249.77245.44-206.60206.601320.99柱底N1525.64249.77245.44-206.60206.601367.56截面柱顶柱底柱顶柱底柱顶柱底柱顶柱底γRE (∑Mc=ηc ∑--116.8088.43130.58112.96146.70126.86γREN--495.50524.25798.80827.551110.961139.712SEk左震组合内力截面1层次6543层次 4.003.00SQk和雪载6.005.00SGk 表6.31(b) 横向框架C柱柱端组合弯矩设计值的调整6.00-18.62-2.81-2.3417.19-17.19-1.19-39.18-27.955.00-14.19-4.16-4.2128.44-28.4414.81-48.05-23.324.00-14.57-3.98-3.9837.16-37.1624.17-57.95-23.653.00-14.65-3.99-3.9943.64-43.6431.24-65.20-23.772.00-14.96-4.15-4.1548.20-48.2035.89-70.64-24.351.00-5.76-1.56-1.5656.36-56.3655.61-68.95-9.34M -38.18-3.10-1.92-62.7462.74-96.40N 239.5617.1611.25-11.4211.42223.50M 30.50 3.84 3.5038.45-38.4566.51N 269.5117.1611.25-11.4211.42252.25M -28.08-3.85-4.00-88.9488.94-121.37N 555.6192.0086.09-34.7334.73538.59M 28.84 3.84 3.8472.77-72.77105.21N 585.5692.0086.09-34.7334.73567.34M -28.84-3.84-3.84-109.89109.89-143.82N 871.74166.75160.84-69.0669.06842.25M 28.84 3.84 3.84101.43-101.43135.02N 901.69166.75160.84-69.0669.06871.00M -28.84-3.84-3.84-124.11124.11-158.60N 1187.87241.50235.59-110.63110.631138.38M 28.88 3.83 3.83124.11-124.11158.64N 1217.82241.50235.59-110.63110.631167.14M -28.74-3.87-3.87-137.07137.07-172.00N 1504.03316.26310.35-162.10162.101424.25M 31.82 3.54 3.54137.07-137.07174.80N 1533.98316.26310.35-162.10162.101453.00M -21.56-2.57-2.57-131.64131.64-158.84N 1819.50390.26384.35-207.98207.981714.91M 10.78 1.29 1.29214.79-214.79234.35N 1868.01390.26384.35-207.98207.981761.48柱顶N 239.5617.1611.25-11.4211.42223.50柱底N 269.5117.1611.25-11.4211.42252.25柱顶N 555.6192.0086.09-34.7334.73538.59柱底N 585.5692.0086.09-34.7334.73567.34柱顶N 871.74166.75160.84-69.0669.06842.25柱底N 901.69166.75160.84-69.0669.06871.00柱顶N 1187.87241.50235.59-110.63110.631138.38柱底N 1217.82241.50235.59-110.63110.631167.14柱顶N 1504.03316.26310.35-162.10162.101424.25柱底N1533.98316.26310.35-162.10162.101453.00SGk SQk和雪载SEk左震组合右震组合 1.35SGk+SQk 柱顶柱底柱顶柱底柱顶柱底柱顶柱底柱顶柱底柱顶柱底表6.33(a) 横向框架D柱弯矩和轴力组层次截面内力SGk SQk和雪载SEk 左震组合表6.32 横向框架C柱剪力组合(kN)层次SGk SQk和雪载SEk 左震组合65432层次截面内力3.002.001.006.005.004.00柱顶N 1819.50390.26384.35-207.98207.981714.91柱底N 1868.01390.26384.35-207.98207.981761.48截面柱顶柱底柱顶柱底柱顶柱底柱顶柱底γRE (∑Mc=ηc ∑--142.09122.15166.97157.94185.53186.44γREN--538.59567.34842.25871.001138.381167.14619.08 1.93 1.5128.11-28.1151.29-10.8327.69515.81 2.14 2.1844.92-44.9266.87-32.4023.48416.02 2.13 2.1358.70-58.7082.29-47.4423.76316.03 2.13 2.1368.95-68.9593.63-58.7523.77216.82 2.06 2.0676.15-76.15102.35-65.9424.7716.600.790.7970.70-70.7085.26-70.999.701表6.33(b) 横向框架C柱柱端组合弯矩设计值的调整层次 6.005.004.003.00表6.34 横向框架C柱剪力组合(kN)层次SGk SQk和雪载SEk 左震组合右震组合 1.35SGk+SQkN Nmin Nmax 201.83273.72249.58230.58314.16285.52495.50667.70623.95524.25708.13659.89798.801061.65998.34827.551102.091034.281110.961455.611372.731139.711496.041408.671426.421849.511747.081455.171889.951783.021750.722243.902122.231797.292309.382180.45柱顶柱底柱顶柱底135.32164.17160.00248.561426.421455.171750.721797.29右震组合 1.35SGk+S Qk 1.2SGk+1.4SQk 红色字体绿色字体紫色字体1.002.00调整-26.28 -22.85 -23.06 -23.17 -23.76 -9.1025.95-54.64-50.16 247.25340.57311.50 -8.4645.0241.98 276.01381.00347.44 63.62-41.76-39.09 610.83842.07795.53 -46.1542.7739.98 639.58882.51831.47 84.76-42.77-39.98 985.901343.601279.54 -75.9642.7739.98 1014.651384.031315.48 99.54-42.77-39.98 1368.491845.121763.54 -99.5142.8240.02 1397.251885.561799.48 113.10-42.67-39.91 1761.422346.702247.60 -110.3146.5043.14 1790.172387.132283.54 114.97-31.68-29.47 2147.512846.592729.76 -212.4115.8414.74 2194.082912.072787.98 247.25340.57311.50 276.01381.00347.44 610.83842.07795.53 639.58882.51831.47 985.901343.601279.54 1014.651384.031315.48 1368.491845.121763.54 1397.251885.561799.48 1761.422346.702247.60 1790.172387.132283.54M轴力组合右震组合1.35SGk+SQk1.2SGk+1.4SQkMmax M1.2SGk+1.4SQk 剪力设计值右震组合1.35SGk+SQk红色字体绿色字体绿色字体紫色字体紫色字体1.2SGk+1.4SQkN Nmin Nmax红色字体2147.512846.592729.762194.082912.072787.98柱顶柱底柱顶柱底202.14204.07185.44304.661424.251453.001714.911761.4825.6021.9722.2122.2223.079.03调整2.00 1.001.2SGk+1.4SQk 剪力设计值。
附表2 框架梁由永久荷载效应控制的内力组合表 kN(kN·m)B梁注:恒载、(楼面)活载的荷载分项系数分别为1.35、1.4;内力组合值均乘以ro=1;为简化计算取 1.35SGk+1.0SQk进行组合。
上柱左梁右梁左梁-89.24-0.225-122.45122.45-0.12104.32-0.233-18.13-0.27520.08-14.93-0.147-28.98下柱24.5421.53-25.31-18.29-49.1426.3224.11-27.11-31.00-52.63第五层29.4724.57-27.36-33.20-53.1330.03 6.6824.72-27.49-33.52-9.03-53.3730.21 6.75-33.67-9.057.16-9.267.38-10.45上柱8.46-8.45-0.177-0.113-72.34-0.146-98.3498.34-0.09386.08-0.181-12.26-0.177 6.98-6.95-0.113-13.53下柱8.46 6.08-8.60-8.45-16.737.38 5.91-7.62-10.45-14.84第四层7.16 5.57-7.45-9.26-14.506.7511.90 5.51-7.43-9.05-13.89-14.466.6811.84-9.03-13.8211.79-13.8011.02-13.90上柱11.31-9.83-0.177-0.113-72.34-0.146-98.3498.34-0.09386.08-0.181-12.26-0.1779.33-8.09-0.113-15.74下柱11.319.09-11.44-9.83-22.2711.029.72-11.36-13.90-22.10第三层11.799.77-11.37-13.80-22.1311.849.739.81-11.44-13.82-12.29-22.2611.909.82-13.89-12.3610.06-12.6610.02-13.19上柱10.80-9.62-0.177-0.113-72.34-0.146-98.3498.34-0.09386.08-0.181-12.26-0.1778.91-7.92-0.113-15.41下柱10.808.27-10.86-9.62-21.1310.028.30-10.42-13.19-20.28第二层10.068.10-10.17-12.66-19.809.8215.688.03-10.12-12.36-16.91-19.699.7315.64-12.29-16.8915.43-16.7414.59-15.81上柱12.62-10.76-0.205-0.124-72.34-0.168-98.3498.34-0.10286.08-0.197-12.26-0.12710.34-8.85-0.077-17.10下柱7.8211.96-13.01-6.68-25.129.0412.65-13.77-9.82-26.59第一层9.5612.82-13.89-10.39-26.83恒载作用下右梁左梁右梁左梁18.13-0.254-339.16-0.086-357.29357.29-0.175324.0893.51-0.1631.66-62.25-0.325107.8958.9036.53-58.18-115.6267.10 108.3867.9636.70-59.57-108.05109.0868.2736.93-59.49-110.64109.1268.7122.3936.94-59.52-110.48-20.8468.7322.43-110.54-20.8922.43-21.0823.27-20.3525.78-28.1543.57-0.121-0.19712.26-0.193-258.42-0.065-270.68270.68-0.106244.6841.12-0.12113.85-15.15-0.19737.1125.7812.50-10.95-28.1525.26 35.7823.2712.05-11.34-20.3535.7822.4312.05-11.24-21.0835.7122.4330.4312.03-11.21-20.89-40.4222.3930.38-20.84-40.3930.19-40.1930.56-39.1030.05-45.8430.47-0.121-0.19712.26-0.193-258.42-0.065-270.68270.68-0.106244.6847.94-0.12116.14-24.66-0.19748.7530.0516.42-21.04-45.8433.52 48.1530.5616.22-21.63-39.1048.4530.1916.32-21.73-40.1948.5430.3828.4716.35-21.75-40.39-34.9730.4328.50-40.42-34.9928.69-35.0929.64-35.8029.50-42.2931.36-0.121-0.19712.26-0.193-258.42-0.065-270.68270.68-0.106244.6847.05-0.12115.85-22.76-0.19747.2829.5015.92-19.26-42.2935.1445.7629.6415.41-18.88-35.8045.4728.6915.31-18.83-35.0945.4128.5031.2315.29-18.82-34.99-42.0228.4731.22-34.97-42.0131.15-41.9830.68-41.7626.77-39.7741.10-0.133-0.23112.26-0.212-213.70-0.072-225.96225.96-0.125199.9642.68-0.08314.49-21.52-0.14448.9116.7116.61-22.60-24.7919.1249.6519.1516.86-22.72-26.0349.7619.4416.90-22.73-26.17作用下的迭代计算-122.45122.45-18.1318.13-357.29357.2921.94-30.26 2.37164.8614.37-82.10 -100.5192.19-15.76182.99-342.92275.19-76.37159.85q35.65q19.88q45.38 1/8ql*l183.671/8ql*l27.061/8ql*l535.93跨中-87.32跨中72.31跨中-226.87左端剪力115.73左端剪力-17.88左端剪力227.52右端剪力-113.14右端剪力-83.48右端剪力-213.58-51.72113.51-98.3498.34-12.2612.26-270.68270.683.59-9.35 6.7956.9612.84-10.40-94.7588.99-5.4769.22-257.84260.28-31.9575.21q28.63q13.51q34.38 1/8ql*l147.501/8ql*l18.391/8ql*l406.02跨中-55.63跨中18.95跨中-146.96左端剪力92.80左端剪力 2.97左端剪力166.84右端剪力-91.01右端剪力-41.61右端剪力-167.34-36.8283.25-98.3498.34-12.2612.26-270.68270.688.19-13.06 4.0374.8310.95-27.15-90.1585.28-8.2387.09-259.73243.53-40.0889.34q28.63q13.51q34.38 1/8ql*l147.501/8ql*l18.391/8ql*l406.02跨中-59.79跨中29.27跨中-154.39左端剪力92.66左端剪力-1.61左端剪力168.75右端剪力-91.14右端剪力-46.19右端剪力-165.42-38.4887.37-98.3498.34-12.2612.26-270.68270.685.94-12.216.0371.1311.77-22.34-92.4086.13-6.2383.39-258.91248.34-29.2088.17q28.63q13.51q34.38 1/8ql*l147.501/8ql*l18.391/8ql*l406.02跨中-58.24跨中26.42跨中-152.40左端剪力92.88左端剪力-1.09左端剪力168.17右端剪力-90.93右端剪力-45.67右端剪力-166.00-46.1190.92-98.3498.34-12.2612.26-225.96225.9611.74-14.97-3.8972.7011.07-28.57-86.6083.37-16.1584.96-214.89197.39-20.7938.88q28.63q13.51q28.70 1/8ql*l147.501/8ql*l18.391/8ql*l338.94跨中-62.52跨中32.17跨中-132.80左端剪力92.40左端剪力 1.44左端剪力141.28右端剪力-91.40右端剪力-43.14右端剪力-137.68-241.92 -152.22 -82.10 -101.69 -115.82 -110.37-111.97 -119.01 -52.34。
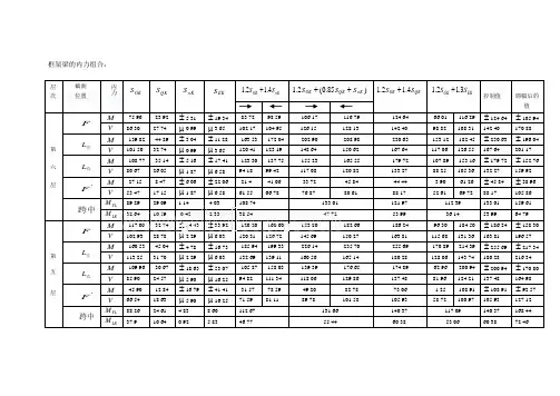
框架梁的内力组合:层次截面位置内力GKSQKSwKSEKSwKGKSS4.12.1+)85.0(2.1wKQKGKSSS++QKGKSS4.12.1+EKGKSS3.12.1+控制值调幅后的值第六层FM-75.96 -23.92- ±5.31 ±19.34 -83.72 -98.59 -106.17 -116.79 -124.64 -66.01 -116.29 ±124.64 ±105.94 V86.30 27.74 μ0.99 μ3.65 102.17 104.95 126.15 128.13 142.40 98.82 108.31 142.40 170.88左LM-139.82 -44.89- ±3.04 ±11.28 -163.53 -172.04 -202.90 -208.98 -230.63 -153.12 -182.45 ±230.63 ±196.04 V101.50 32.74 μ0.99 μ3.65 120.41 123.19 148.64 150.62 167.64 117.06 126.55 167.64 201.17右LM-108.77 -35.14- ±5.16 ±17.41 -123.30 -137.75 -155.23 -165.55 -179.72 -107.89 -153.16 ±179.72 ±152.76 V80.67 26.05 μ1.87 μ6.58 94.18 99.42 117.08 120.82 133.27 88.25 105.36 132.27 159.92 'FM-27.15 -8.47 ±6.06 ±22.06 -21.4 -41.06 -33.72 -45.84 -44.44 -3.90 -61.26 ±45.84 ±38.96 V53.47 17.15 μ1.87 μ6.58 61.55 66.78 76.87 80.61 88.17 52.61 69.72 88.17 105.86 跨中FLM89.29 29.09 1.14 -4.03 108.74 133.01 121.97 112.39 133.01 159.61 LRM32.64 10.59 -0.45 -2.33 38.54 47.72 53.99 36.14 53.99 64.79第五层FM-117.00 -32.74 ±14.43 ±33.92 -120.20 -160.60 -153.80 -182.66 -186.24 -96.30 -184.50 ±186.24 ±158.30 V102.93 28.78 μ2.29 μ6.03 120.31 126.72 145.69 150.27 163.81 115.68 131.36 163.81 196.57左LM-160.53 -45.04 ±4.78 ±16.73 -185.94 -199.33 -226.14 -235.70 -255.69 -170.89 -214.39 ±255.69 ±217.34 V113.25 31.70 μ2.29 μ6.03 132.69 139.11 160.56 165.14 180.28 128.06 143.74 180.28 216.34右LM-109.96 -30.67 ±18.63 ±53.07 -105.87 -158.03 -139.39 -176.65 -174.89 -62.96 -200.94 ±200.94 ±170.80 V85.90 24.57 μ5.90 μ16.25 94.82 111.34 118.06 129.86 137.48 81.96 124.21 137.48 164.98 'FM-45.90 -12.84 ±16.79 ±41.41 -31.57 -78.59 -49.20 -82.78 -73.06 -1.25 -108.91 ±108.91 ±92.57 V66.54 18.63 μ5.90 μ16.25 71.59 81.11 89.78 101.58 105.93 58.72 100.97 105.93 127.12 跨中FLM88.26 24.61 4.83 8.60 112.67 131.66 140.37 117.09 140.37 168.44 LRM37.9 10.64 0.92 5.83 46.77 55.44 60.38 53.06 60.38 72.46第四层FM-118.43 -33.13 ±24.89 ±64.04 -107.27 -176.96 -145.39 -195.17 -188.50 -58.86 -225.37 ±225.37 ±191.56 V103.14 28.85 μ5.07 μ11.40 116.67 130.87 143.22 153.36 164.16 108.95 138.59 164.16 196.99左LM-160.14 -44.80 ±17.71 ±31.76 -167.37 -216.96 -204.54 -239.96 -254.89 -149.88 -234.46 ±254.89 ±216.66 V113.08 31.63 μ5.07 μ11.40 128.60 142.79 157.51 167.65 179.98 120.88 150.52 179.98 215.98右LM-110.24 -30.83 ±19.35 ±61.93 -105.20 -159.38 -139.14 -177.78 -175.45 -51.78 -212.80 ±212.80 ±180.88 V87.78 24.55 μ7.99 μ22.39 94.15 116.52 117.21 134.19 139.71 76.23 134.44 139.71 167.65 'FM-46.87 -13.12 ±28.59 ±72.42 -16.22 -96.25 -38.81 -95.99 -74.61 34.90 -147.39 ±147.39 ±125.28 V66.66 18.65 μ7.99 μ22.39 68.81 91.18 81.15 103.83 106.10 50.89 109.10 109.10 130.92 跨中FLM87.74 24.53 3.59 16.14 110.31 129.73 139.63 126.27 139.63 167.56 LRM37.27 10.42 -4.62 -5.25 38.26 48.96 59.31 37.90 59.31 71.17第三层FM-124.09 -34.09 ±34.75 ±75.81 -100.26 -197.56 -143.13 -212.63 -196.63 -50.36 -247.46 ±247.46 ±210.34 V103.95 29.33 μ7.39 μ14.10 114.39 135.09 142.38 157.06 165.80 106.41 143.07 165.80 198.96左LM-159.05 -41.77 ±27.30 ±42.65 -152.64 -229.08 -199.06 -253.66 -249.34 -135.42 -246.31 ±253.66 ±215.61 V112.27 31.15 μ7.39 μ14.10 124.38 145.07 153.81 168.59 178.33 116.39 153.05 178.33 214.00右LM-106.39 -31.68 ±28.36 ±80.59 -87.59 -167.75 -126.24 -182.96 -172.02 -22.90 -232.44 ±232.44 ±197.57 V86.54 24.53 μ11.62 μ28.64 87.58 120.12 113.08 136.32 138.19 66.62 141.08 141.08 169.30 'FM-50.50 -14.13 ±41.36 ±91.27 -2.70 -118.50 -31.25 -113.97 -80.38 58.05 -179.25 ±179.25 ±152.36 V67.90 18.67 μ11.62 μ28.64 65.21 97.75 85.73 108.97 107.62 44.25 118.71 118.71 142.45 跨中FLM85.46 25.57 3.73 16.58 107.77 128.02 138.35 124.11 138.35 166.19 LRM37.38 9.47 -6.50 -5.34 35.76 46.41 58.11 37.91 58.11 69.73第二层FM-127.59 -35.44 ±42.21 ±88.54 -94.01 -212.20 -141.02 -225.44 -202.72 -38.01 -268.21 ±268.21 ±227.98 V104.41 29.18 μ9.50 μ16.12 111.99 139.22 140.60 159.60 166.14 104.34 146.25 166.14 199.37左LM-158.65 -44.38 ±37.63 ±46.84 -137.70 -243.06 -190.47 -265.73 -252.51 -129.49 -251.27 ±265.73 ±225.87 V111.81 31.30 μ9.50 μ16.12 120.87 147.47 151.28 170.28 177.99 113.22 155.13 177.99 213.59 右L M-103.04 -28.93 ±45.22 ±96.70 -60.34 -186.96 -102.93 -193.37 -164.01 2.06 -249.36 ±249.36 ±211.96框架外柱的内力组合:层次控制截面内力A 轴 外 柱GK SQK SwK S EK S wK GK S S 4.12.1+ )85.0(2.1wK QK GK S S S ++ QK GK S S 4.12.1+)(3.12.1max M S S EK GK +控制值调幅后的值第六层 上M -75.96 -23.92 ±5.31 ±19.34 -83.72 -98.59 -106.17 -116.79 -124.64 -66.01 -116.29 -124.64 137.10 N 86.30 27.74 ±0.99 ±3.65 104.95 102.17 128.13 126.15 142.40 108.31 98.82 142.40 142.40 下M -58.50 -13.67 μ3.04 μ11.05 -74.46 -65.94 -84.86 -78.78 -89.34 -84.57 -55.84 -89.34 -98.27 N 106.93 48.73 ±0.99 ±3.65 129.74 126.97 170.73 168.75 196.54 133.10 123.61 196.54 196.54 V 86.30 27.74 μ0.99 μ3.65 102.17 104.95 126.15 128.13 196.54 98.82 108.31 142.40 156.64 第五 层上M -58.50 -13.67 ±11.39 ±22.87 -54.25 -86.15 -70.43 -93.21 -89.34 -40.47 -99.93 -99.93 109.92 N 209.86 77.15 ±3.28 ±9.68 256.42 247.24 320.69 314.13 359.84 264.42 239.25 359.84 359.84 下M -63.91 -17.88 μ8.25 μ31.58 -108.24 -85.14 -100.14 -83.64 -101.72 -117.75 -35.64 -117.75 -129.53 N 230.91 97.78 ±3.28 ±9.68 281.18 272.00 362.98 356.42 413.48 289.17 260.00 413.48 413.48 V 102.93 28.78 μ2.29 μ6.03 120.31 126.72 145.69 150.27 163.81 115.68 131.36 163.81 180.19 第四层上M -54.52 -12.25 ±16.64 ±32.46 -33.13 -97.72 -67.75 -90.03 -86.77 -23.23 -107.62 -107.62 118.38 N 333.63 126.63 ±8.35 ±21.08 412.05 388.67 516.34 499.64 539.65 427.76 372.95 539.65 539.65 下M -55.28 -15.04 μ13.62 μ39.67 -85.40 -47.29 -92.74 -65.50 -87.39 -117.91 -14.77 -117.91 -129.70 N 354.26 147.26 ±8.35 ±21.08 436.80 413.42 558.63 541.93 631.28 452.52 397.71 631.28 631.28 V 103.14 28.85 ±5.07 ±11.40 120.67 134.87 143.22 153.36 164.16 108.95 138.59 164.16 180.57 第三层上M -68.81 -19.05 ±21.13 ±36.14 -52.99 -112.15 -80.63 -122.89 -112.24 -38.59 -132.55 -132.55 145.81 N 458.21 176.59 ±15.74 ±35.18 571.89 527.82 715.69 684.21 797.08 595.59 504.12 797.08 797.08 下M -63.80 -19.02 μ17.29 μ44.17 -100.77 -52.35 -110.02 -75.44 -103.19 -133.98 -19.14 -133.98 147.38 N483.17201.55±15.74 ±35.18620.11557.77766.86735.38861.97625.54534.07861.97861.97框架外柱的内力组合:层次控制截面内力C 轴 外 柱GK SQK SwK S EK S wK GK S S 4.12.1+ )85.0(2.1wK QK GK S S S ++ QK GK S S 4.12.1+)(3.12.1max M S S EK GK + 控制值调幅后的值第六层 上M -27.15 -8.47 ±6.06 ±22.06 -24.10 -41.06 -33.72 -45.84 -44.44 -3.90 -61.26 -61.26 67.39 N 53.47 17.15 ±1.87 ±6.58 66.78 61.55 80.61 76.87 88.17 72.72 55.61 88.17 151.83 下M -22.95 -6.42 μ4.04 μ14.71 -33.20 -21.88 -37.04 -28.96 -36.53 -46.66 -8.42 -46.66 51.33 N 74.10 37.78 ±1.87 ±6.58 91.54 86.30 122.90 119.16 141.81 97.47 80.37 205.47 205.47 V 53.47 17.15 μ1.87 μ6.58 61.55 66.78 76.87 80.61 88.17 55.61 72.72 88.17 167.01 第五 层上M -22.95 -6.42 ±12.75 ±26.70 -9.69 45.39 -20.25 -45.75 -36.53 7.17 62.25 62.25 68.48 N 140.64 56.41 ±7.77 ±22.83 179.65 157.89 224.49 208.95 247.74 198.46 139.07 247.74 389.27 下M -25.54 -7.15 μ9.62 μ35.40 -44.12 -17.18 -46.35 -27.11 -40.66 -76.67 15.37 -76.67 84.34 N 161.27 77.04 ±7.77 ±22.83 204.40 182.65 226.78 251.24 301.38 223.22 163.83 301.38 442.91 V 66.54 18.63 μ5.90 μ16.25 71.59 88.11 89.78 101.58 105.93 58.72 100.97 105.93 206.58 第四层上M -21.33 -5.97 ±18.97 ±37.02 0.96 -52.15 -11.70 49.64 -33.95 22.53 -73.72 -73.72 81.09 N 227.93 95.69 ±15.76 ±45.22 295.58 251.45 370.61 339.09 407.48 332.30 214.73 407.48 626.88 下M -22.73 -6.36 μ15.52 μ45.24 -49.00 -5.55 -48.20 -17.16 -36.18 -86.09 31.54 -86.09 94.70 N 248.56 116.32 ±15.76 ±45.22 320.34 276.21 412.90 381.38 461.12 257.06 239.49 461.12 680.51 V 66.66 18.65 ±7.99 ±22.39 68.81 91.18 87.85 103.83 106.10 50.89 109.10 109.10 202.37 第三层上M -27.77 -7.77 ±25.84 ±46.30 2.85 -69.50 -14.09 -65.77 -44.20 -26.87 -93.51 -93.51 102.86 N 316.46 134.99 ±27.38 ±73.86 418.08 341.42 521.87 467.11 568.74 475.77 283.73 568.74 866.00 下M-26.40-7.38μ22.01 μ54.03-62.49-0.87-59.96-15.94-42.01-101.9238.56-101.92112.11N 341.42 159.95 ±27.38 ±73.86 448.04 371.37 573.04 518.28 633.63 505.72 313.69 633.63 753.52 V 67.90 18.67 μ11.62 μ28.64 65.21 97.75 85.73 108.97 107.62 44.25 118.71 118.71 204.04 第二 层上M -26.40 -7.38 ±33.52 ±55.28 15.25 -78.61 -4.43 -71.47 -42.01 40.18 -103.54 -103.54 113.89 N 410.27 179.20 ±47.73 ±108.20 559.15 425.50 692.37 596.91 743.20 632.98 351.66 743.20 1118.33 下M -30.09 -8.41 μ28.55 μ55.28 -76.08 3.86 -71.81 -14.71 -47.88 -107.97 35.76 -107.97 118.78 N 453.23 204.16 ±47.73 ±108.20 589.10 455.45 743.54 648.08 767.27 662.94 381.62 767.27 1183.23 V 68.85 19.25 μ16.35 μ34.34 59.73 105.51 82.63 86.08 115.33 37.98 127.26 127.26 206.18 第一层上M -18.16 -5.07 ±0.00 ±40.57 -21.79 -21.79 -26.10 -26.10 -28.89 30.68 -74.53 -74.53 81.98 N 503.08 223.21 ±0.00 ±138.28 603.70 603.70 793.42 793.42 916.19 783.46 423.93 916.19 1369.19 下 M -9.08 -2.54 μ0.00 μ82.36 -10.90 -10.90 -13.06 -13.06 -14.45 -117.96 96.17 -117.96 -129.76 N 528.04 248.17 ±0.00 ±138.28 633.65 633.65 844.75 844.75 981.07 813.41 453.88 981.07 987.01 V67.85 19.05 μ0.00μ30.0851.42 51.42 97.61 97.61 108.09 42.32 120.52 120.52 132.57框架内柱的内力组合:层次控制截面内力B 轴 内 柱GK SQK SwK S EK S wK GK S S 4.12.1+ )85.0(2.1wK QK GK S S S ++ QK GK S S 4.12.1+)(3.12.1max M S S EK GK + 控制值调幅后的值第六层上M -31.05 -9.75 ±8.20 ±28.69 -25.78 -48.74 -37.35 -53.75 -50.91 0.04 -74.55 74.55 82.01 N 182.17 58.97 ±2.86 ±10.23 222.61 214.60 271.44 265.72 300.91 231.90 205.31 300.91 300.91 下M -35.91 -7.58 μ6.71 μ23.47 21.70 40.49 17.94 31.36 -41.70 0.58 61.60 61.60 67.76 N223.43100.05±2.86 ±10.23272.12264.11356.02350.30408.19281.31254.82408.19408.91。
第7章 框架结构的内力组合§7.1框架结构梁内力组合§7.1.1. 框架结构梁的内力组合在竖向荷载作用下,可以考虑梁端塑性变形内力重分布而对梁端负弯距进行调幅,调幅系数为现浇框架:0.8-0.9,本设计取0.85。
计算结果见表7-1 横梁弯矩调幅。
由于风荷载作用下的组合与考虑地震组合相比,一般较小,对于结构设计不起控制作用,故不考虑。
只考虑以下三种组合形式: 一.由可变荷载效应控制的组合:1.2 1.4QK QKS S S =+(71)-二.由永久荷载效应控制的组合:1.35 1.40.7QK QK S S S =+⨯⨯ (72)-三.竖向荷载与水平地震作用下的组合:1.2(0.5) 1.3QK QK EK S r S S =+⨯+ (73)-具体组合过程见表7.2,其中弯矩KN.m ,剪力KN ,弯矩的上部受拉为负,剪力的产生顺时针为正。
表7-1 横梁弯矩调幅§7.1.2 梁端弯矩控制值梁的支座截面考虑了柱支撑宽度的影响,按支座边缘截面的弯矩计算,即:`/2=-⨯(7-4),M M V b式中:M为梁内力组合表中支座轴线的弯矩值;V为相应的支座剪力;b为相应的柱的宽度;计算结果见表7-3表7-3 梁端弯矩控制值§7.1.3梁端截面组合的剪力设计值调整为防止梁在弯曲屈服前发生剪切破坏,即保证“强剪弱弯”截面设计须对有地震作用的组合剪力设计值按(7-5)进行调整。
()/lr vb b b n GB V M M l V η=-+ (7-5)式中:n l 为梁的净跨;GB V :为梁的重力荷载代表值,按简支梁分析的梁端截面剪力设计值;,l r b b M M :分别为梁左右净截面,逆时针或顺时针方向的弯矩设计值;vb η:为梁端剪力增大系数,对于二级框架取1.2 计算结果见表7-4§7.2框架结构柱的内力组合§7.2.1框架结构柱的内力组合柱上端控制值截面在梁底,下端在梁顶,应按轴线计算简图所得的柱端内力值换成控制截面的相应值,此计算为简化起见,采用轴线处内力值。
一框架结构设计任务书1.1 工程概况:本工程为成都万达购物广场----成仁店,钢筋混凝土框架结构。
梁板柱均为现浇,建筑面积约为5750m2,宽27米,长为45米,建筑方案确定。
建筑分类为乙类公共类建筑,二类场地,抗震等级三级。
图1-1 计算平面简图1.2 设计资料1)气象条件:基本风压3155KN/m22)抗震设防:设防烈度7度3)屋面做法:20厚水泥砂浆面层一层油毡隔离层40厚挤塑聚苯板保温层15厚高分子防水卷材20厚1:3水泥砂浆找平1:6水泥焦渣1%找坡层,最薄处30厚120厚现浇钢筋混凝土板粉底4)楼面做法:8~13厚铺地砖面层100厚钢筋砼楼板吊顶1.3设计内容1)确定梁柱截面尺寸及框架计算简图2)荷载计算3)框架纵横向侧移计算;4)框架在水平及竖向力作用下的内力分析;5)内力组合及截面设计;6)节点验算。
二 框架结构布置及结构计算简图确定2.1 梁柱截面的确定通过查阅规范,知抗震等级为3级,允许轴压比为[μ]=0.85由经验知n=12~14kn/m 2 取n=13kn/m 2拟定轴向压力设计值 N=n •A=13kn/m 2×81m 2×5=5265KN拟定柱的混凝土等级为C30,f c =14.3N/mm 2 柱子尺寸拟定700mm ×700mmμ= c f s N A =52650.0143700700⨯⨯=0.75<[μ]=0.85 满足初步确定截面尺寸如下:柱:b ×h=700mm ×700mm梁(BC 跨、CE 、EF 跨)=L/12=9000/12=750mm 取h=800mm ,b=400mm纵梁=L/12=9000/15=600mm 取h=600mm ,b=300mm现浇板厚取h=120mm2.2 结构计算简图结构计算简图如下:图2-1结构计算简图图2-2平面计算简图三荷载计算:3.1恒载标准值计算1)①屋面板恒荷载标准值20厚1:3水泥砂浆面层0.02×20=0.4 KN/M 2 一层油毡隔离层0.05 KN/M 2 40厚挤塑苯板保温层0.04×0.5 =0.02 KN/M 2 15厚高分子防水卷材0.04KN/M 2 20厚1:3水泥砂浆找平0.02×20 =0.4 KN/M 2 1:6水泥渣1%找坡层最薄处30厚(0.03+0.045)/2×14=0.525 KN/M 2 120厚现浇钢筋混凝土板0.12×25=3 KN/M 2 12厚板底抹灰0.012×20=0.24 KN/M 2 合计 4.675KN/M 2屋面板传递给边柱的集中荷载: 4.675×1.5×9=63KN中柱的集中荷载: 4.675×3×9=126.23KN②屋顶次梁恒载标准值单向板传给次梁的荷载 4.675×3=14.025 KN/M 次梁自重0.3×(0.6-0.12)) ×25=3.6 KN/M 次梁粉刷(0.6-0.12)×0.02×17×2=0.326 KN/M 合计18 KN/M图3-1 次梁计算单元及板传力图③屋顶框架梁所受恒荷载标准值次梁传给框架梁恒荷载18×9=162KN④屋顶框架梁重量梁自重:0.4×﹙0.8-0.12﹚×25=6.8KN/M粉刷:﹙0.8-0.12﹚×0.02×17×2=0.46KN/M 合计7.26KN/M 2)①楼面板恒载标准值8~13厚铺地砖面层0.6 KN/M 2 20厚1:2水泥砂浆结合层0.02×20=0.4 KN/M 2 120厚钢筋砼楼板0.12×25=3 KN/M 2 石膏板吊顶0.2 KN/M 2合计 4.2 KN/M 2楼面板传递给边柱的集中荷载: 4.2×1.5×9=56.7KN中柱的集中荷载: 4.2×3×9=113.4KN②2~5层纵向次梁恒载标准值计算简图见图3楼面单向板传给纵向次梁恒荷载 4.2×3=12.6 KN/M 次梁自重0.3×(0.6-0.12)×25=3.6KN/M 合计16.2 KN/M③2~5层框架梁所受恒荷载标准值次梁传递给框架梁恒荷载16.2×9≈150 KN③2~5层框架梁恒载标准值框架梁自重0.4×(0.8-0.12)×25=6.8 KN/M 3)四层建在所取一榀框架梁上的填充墙恒荷载标准值墙自重0.2×(3.3-0.8)×10.3≈5.2KN/M 粉刷(3.3-0.8)×0.02×17×2=1.7KN/M 合计取(因为有构造柱取大点)7.2KN/M4)柱自重标准值1~3层柱自重:0.7×0.7×(4.2-0.12)×25=49.98KN大理石贴面:0.5×4×0.7×4.2=5.88KN 合计55.86KN 4~5层柱自重:0.7×0.7×(3.3-0.12)×25=38.96KN大理石贴面:0.5×4×0.7×3.3=4.62KN合计43.58KN5)外墙自重标准值5层外墙作用在边柱的集中荷载墙自重:0.2×(3.3-0.12)×10.3×(9-07)=54.37KN粉刷:2×0.02×(3.3-0.12)×17(9-0.7)=17.95KN合计72.32KN4层玻璃幕墙作用在边柱的集中荷载玻璃幕墙自重: 1.5kn/m2×(9-0.7)×(3.3-0.12)=26.15KN2~3层外墙作用在边柱的集中荷载墙自重:0.2×(4.2-0.12)×10.3×(9-07)=69.76KN粉刷:2×0.02×(4.2-0.12)×17(9-0.7)=23.03KN合计92.79KN3.2活荷载标准值计算1)①屋面板活荷载标准值(不上人):0.5KN/M²②顶层次梁受板传递的活荷载标准值(计算简图见图2)0.5×3=1.5KN/M③框架梁受次梁传递的活荷载标准值1.5×9=13.5KN④屋面板传递给边柱的集中荷载:0.5×1.5×9=6.75KN中柱的集中荷载:0.5×3×9=13.5KN2)①5层楼面板活荷载标准值:5KN/M²②5层次梁受板传递的活荷载标准值(计算简图见图3)5×3=15KN/M③框架梁受次梁传递的活荷载标准值15×9=135KN④5层面板传递给边柱的集中荷载:5×1.5×9=67.5KN中柱的集中荷载:5×3×9=135KN3)①4层楼面板活荷载标准值: 2.5KN/M²②4层次梁受板传递的活荷载标准值(计算简图见图3)2.5×3=7.5KN/M③框架梁受次梁传递的活荷载标准值7.5×9=67.5KN④屋面板传递给边柱的集中荷载: 2.5×1.5×9=33.75KN中柱的集中荷载: 2.5×3×9=67.5KN4)①2~3层楼面板活荷载标准值: 3.5KN/M²②2~3层次梁受板传递的活荷载标准值(计算简图见图3)3.5×3=10.5KN/M③框架梁受次梁传递的活荷载标准值10.5×9=94.5KN④屋面板传递给边柱的集中荷载: 3.5×1.5×9=47.25KN中柱的集中荷载: 3.5×3×9=94.5KN四 内力计算4.1 恒荷载作用下的内力计算刚度计算梁线刚度: 截面的惯性矩 I b0= 312bh = 340080012⨯=17×109mm 4考虑现浇楼板对框架梁截面惯性矩的影响,中框架梁取 I 中=2I b0 边框架取 I 边=1.5I b0i 边跨梁= 91.517109000⨯⨯E =28×105E i 中跨梁= 9217109000⨯⨯E=38×105E柱线刚度: 截面的惯性矩 I C =312bh =370070012⨯=20×109mm 4i 4~5层柱= 92010 3300⨯E =60×105Ei 1~3层柱= 92010 4200⨯E =48×105E取105E 值作为基准值1,算得各杆件相对线刚度(见下图)图4-1 梁柱相对线刚度图图4-2 恒载作用下的计算简图由于分布荷载在梁汇总产生的内力远小于集中荷载,所以将梁的分布荷载近似等效为作用在次梁处的集中荷载,以便于计算。
摘要本设计是武汉地区一大学宿舍楼。
该工程占地40002m,共六层,层高均为3m;结构形式为钢筋混凝土框架结构;抗震要求为六度设防。
本结构设计只选取一榀有代表性的框架(8号轴对应的框架)进行计算。
本设计包括以下内容:一、开题报告,即设计任务,目的要求;二、荷载计算,包括恒荷载,活载,风荷载;三、内力计算和内力组合;四、框架梁柱配筋计算;五、现浇板,楼梯和基础计算;六、参考文献,结束语和致谢。
该设计具有以下特点:一、在考虑建筑结构要求的同时考虑了施工要求及可行性;二、针对不同荷载特点采用多种不同计算方法,对所学知识进行了全面系统的复习;三、框架计算中即运用了理论公式计算又运用了当前工程设计中常用的近似计算方法。
AbstractThis article is to explain a design of a 6-storey-living building in Wuhan. The building is to use frame structure with steel and concrete with the seismic requirements for the minimum security 7.The structural design only selected the framework on the 7th axis for calculation. Throughout the design, it mainly used some basic concept such as the structural system selection, the structure of planar and vertical layout, columns and beams section to determine, load statistics, combination of internal forces, together with the methods of construction and structure.On the preliminary design stage, in order to determine or estimate the structure of layout elements cross-section size, it requires the use of some simple approximate calculation methods, in order to solve the problem quickly and provincially. Therefore, in the designing, the use of a framework structure similar to hand-counting methods, including the role of vertical load under the hierarchical method, the level of seismic shear and D value method to master the basic methods of structural analysis to establish the structure of mechanical behavior of the basic concepts; in the design of the foundation, foundation bearing capacity of soil is an important basis for the design. Bearing capacity of foundation soil is not only related to the nature of soil, but also based on the form and size of upper part. I selected the reinforced concrete foundation which has a better shear capacity and bending capacityKeywords: frame structure, load statistics, combination of internal forces, shear method, carrying capacity1 绪论我所学的专业是土木工程,偏向建筑结构方向,专业的主要课程是力学和结构两大类,注重培养学生侧重于力学理论在结构工程中的应用;可以熟练地对建筑结构进行计算并应用所学的力学理论对计算结果进行分析。
框架在地震和重力作用下内力计算学生姓名:张育霜学号:20120322029指导老师:1建筑说明 (1)1.1工程概况 (1)1.2 设计资料 (1)1.3总平面设计 (1)1.4主要房间设计 (1)1.5辅助房间设计 (1)1.6交通联系空间的平面设计 (2)1.7剖面设计 (2)1.8立面设计 (3)1.9构造设计 (3)2框架结构布置 (3)2.1计算单元 (4)2.2框架截面尺寸 (4)2.3梁柱的计算高度(跨度) (4)2.4框架计算简图 (5)3恒荷载及其内力分析 (6)3.1屋面恒荷载 (6)3.2楼面恒荷载 (7)3.3构件自重 (7)3.6恒荷载作用下内力分析 (10)4活荷载及其内力分析 (13)4.1屋面活荷载 (13)4.2楼面活荷载 (13)4.3内力分析 (13)5重力荷载及水平振动计算 (17)5.1重力荷载代表值计算 (17)5.2水平地震作用计算 (17)6内力组合计算 (22)6.1框架梁内力组合 (22)6.2框架柱内力组合 (25)7截面设计 (31)7.1框架梁的配筋计算 (31)7.2框架柱的配筋计算 (40)7.3框架梁、柱配筋图 (52)8基础设计 (55)8.1对A柱基础配筋计算 (55)8.2 对B柱基础配筋计算....................................... 错误!未定义书签9双向板的设计...................................................... 错误!未定义书签9.1设计资料................................................. 错误!未定义书签9.2荷载设计值............................................... 错误!未定义书签参考文献.......................................................... 错误!未定义书签1建筑说明1.1工程概况本建筑位于北京市某高校内,六层现浇钢筋混凝土框架结构,房间开间7.2米,层高3.6米。
内力组合《抗震规范》第条规定如下。
截面抗震验算结构构件的地震作用效应和其他荷载效应的基本组合,应按下式计算:G GE Eh Ehk Ev Evk w w wkS S S S S γγγψγ=+++ ()式中: S ——结构构件内力组合的设计值,包括组合的弯矩、轴向力和剪力设计值;γG ——重力荷载分项系数,一般情况应采用,当重力荷载效应对构件承载能力有利时,不应大于; γEh 、γEv ——分别为水平、竖向地震作用分项系数,应按表 采用; γw ——风荷载分项系数,应采用;s GE ——重力荷载代表值的效应,有吊车时尚应包括悬吊物重力标准值的效应; s Ehk ——水平地震作用标准值的效应,尚应乘以相应的增大系数或调整系数; s Evk ——竖向地震作用标准值的效应,尚应乘以相应的增大系数或调整系数; s wk ——风荷载标准值的效应 ;ψw ——风荷载组合值系数,一般结构取,风荷载起控制作用的高层建筑应采用。
注:本规范一般略去表示水平方向的下标。
表 地震作用分项系数结构构件的截面抗震验算,应采用下列设计表达式:RE RS γ=式中: γRE ——承载力抗震调整系数,除另有规定外,应按表采用;R ——结构构件承载力设计值。
表 承载力抗震调整系数当仅计算竖向地震作用时,各类结构构件承载力抗震调整系数均宜采用。
本次毕业设计,各截面不同内力的承载力抗震调整系数取值如下表结构安全等级设为二级,故结构重要性系数为0 1.0γ=根据《建筑结构荷载规范》和《建筑抗震设计规范》,组合三种工况:恒荷载控制下、活荷载控制下和有地震作用参加的组合。
其具体组合方法如下: 恒荷载控制下:Gk Qk S 1.35S 1.40.7S =+⨯ 活荷载控制下:Gk Qk S 1.2S 1.4S =+有地震作用参加的:Gk Qk Ehk S 1.2(S 0.5S ) 1.3S =+± Gk Qk Ehk S 1.0(S 0.5S ) 1.3S =+±对柱进行非抗震内力组合时,根据规范,对活载布置计算的荷载进行折减,折减系数由上而下分别为,,,,。
梁宽度(b)0.315柱宽(b c )0.3柱截面积(A c )190202.0202柱边长436.1215659底层柱高(m) 4.5线刚度(i)9.3006E+11宽(b)250恒载标准值计算b2. 20厚1:3水泥砂浆结合层第一页:荷载及内力计算;第c1. 12厚1:2水泥砂浆粘结10厚缸砖面层,块间留缝<10,1:1水泥砂浆3. 二毡三油上撒绿豆砂4. 刷冷底子油一道屋面(不上人)7. 结构层4. 25厚1:2.5水泥砂浆找平层5. 保温兼找坡层(水泥膨胀蛭石, 最薄处35mm)6. 25厚1:3水泥砂浆找平层(梁截面宽度不宜小于1/2柱宽,且不应小于250mm。
)各层楼面梁自重(kN/m)(1)纵向框架梁b1:0.25梁自重3抹灰层:粉刷石膏砂浆0.1815合计 3.1815 (2)横向AB、CD跨框架梁b2:0.25梁自重 2.375抹灰层:粉刷石膏砂浆0.1515合计 2.5265 (3)横向BC跨框架梁b3:0.25梁自重 1.75抹灰层:粉刷石膏砂浆0.1215合计 1.8715 (4)基础梁b4:0.25梁自重 1.75抹灰层:粉刷石膏砂浆0.1215合计 1.8715柱自重(kN/m)柱边长b0.5柱自重 6.25抹灰层:粉刷石膏砂浆0.3合计 6.55外纵墙1自重(kN/m)(1)标准层纵墙在计算单元内相对高度h 1.551724138纵向梁高0.6h'1.448275862纵墙1.706896552铝合金窗0.506896552水刷石外墙面0.775862069粉刷石膏砂浆内墙面0.232758621合计3.222413793(2)底层纵墙在计算单元内相对高度h 1.951724138纵向梁高0.6基础顶面至室外地面的高度0.5h'1.448275862纵墙2.146896552铝合金窗0.506896552水刷石外墙面0.975862069粉刷石膏砂浆内墙面0.232758621合计3.862413793(1)标准层层高 3.6纵墙3.3粉刷石膏浆内墙面0.9合计4.2(2)底层底层柱高4.5基础顶面至室外地面的高度0.5纵墙3.74粉刷石膏浆内墙面0.9合计4.64(1)标准层层高 3.6横墙3.41水刷石外墙面1.55粉刷石膏砂浆内墙面0.465合计5.425(2)底层底层柱高4.5基础顶面至室外地面的高度0.5横墙3.85水刷石外墙面2粉刷石膏砂浆内墙面0.465合计6.315内纵墙自重(kN/m)外横墙自重(kN/m)(1)标准层层高 3.6横墙3.41粉刷石膏浆内墙面0.93合计4.34(2)底层底层柱高4.5基础顶面至室外地面的高度0.5横墙3.85粉刷石膏浆内墙面0.93合计4.78(1)标准层纵墙在计算单元内相对高度h 1.709090909横向梁高0.5h'1.390909091走廊尽头墙 1.88铝合金窗0.486818182水刷石外墙面0.854545455粉刷石膏砂浆内墙面0.256363636合计3.477727273(2)底层纵墙在计算单元内相对高度h 2.109090909横向梁高0.5基础顶面至室外地面的高度0.5h'1.390909091走廊尽头墙 2.32铝合金窗0.486818182水刷石外墙面1.054545455粉刷石膏砂浆内墙面0.256363636合计4.117727273墙高1.5墙1.65压顶的混凝土0.5水刷石外墙面 1.7合计3.85不上人屋面0.5活荷载标准值计算(kN/m 2)内横墙自重(kN/m)女儿墙自重(kN/m)走廊尽头墙(kN/m)房间2走廊2S k =1.0×0.10 kN/ m 2l oy 8400l oy /l oz2.666666667梯形短边宽a 1.575荷载q屋面总荷载 6.451-2c 2+c 31恒荷载20.3175活荷载 1.575楼面总荷载 3.861-2c 2+c 31恒荷载12.159活荷载 6.3A—B梁自重2.5265恒荷载=梁自重+板传恒荷载22.844活荷载=板传活荷载 1.575内横墙自重4.2恒荷载=内横墙自重+梁自重+板传恒荷载18.8855活荷载=板传活荷载 6.3梁自重1.8715屋面梁、楼面梁恒荷载=梁自重 1.8715活荷载楼面梁因为是单向板,B、C间梁不实验室梯形荷载等效1=(1-2c2+c 3)q,c=a/l,A—B轴间框架梁屋面板传给梁(即屋面板两个梯形荷载等效为均布荷载):屋面梁B—C轴间框架梁A—B轴间框架梁均布荷载为:楼面板传给梁(即楼面板两个梯形荷载等效为均布荷载):板传至梁上的三角1=5/8q雪荷载标准值(kN/m 2)恒荷载和活荷载作用下框架的受荷图A轴柱纵向集中荷载的计算屋面板三角形荷载等效为均布荷载:屋面总荷载 6.45恒荷载0活荷载0楼面板三角形荷载等效为均布荷载:楼面总荷载 3.86恒荷载0活荷载0顶层柱恒荷载=女儿墙自重+外纵框架梁自重+板传恒荷载+次梁传恒女儿墙重度 3.85柱网长 6.3女儿墙自重24.255顶层柱恒荷载138.6525顶层柱活荷载=板传活荷载A轴柱屋面板传活荷载0柱网长 6.3顶层柱活荷载 6.615标准层柱恒荷载=外纵墙自重+外纵框架梁自重+板传恒荷载+次梁传外纵墙重度 3.222413793柱网长 6.3外纵墙自重18.69标准层柱恒荷载98.8218标准层柱活荷载=板传活荷载A轴柱楼面板传活荷载0柱网长 6.3标准层柱活荷载26.46基础顶面恒荷载=底面外纵墙自重+基础梁自重底面外纵墙重度 3.862413793柱网长 6.3底面外纵墙自重22.402基础顶面恒荷载33.2567B轴柱纵向集中荷载的计算走廊屋面板均布荷载:屋面总荷载 6.45恒荷载8.7075活荷载0.675走廊楼面板均布荷载:楼面总荷载 3.86恒荷载 5.211活荷载 2.7顶层柱恒荷载=内纵框架梁自重+板传恒荷载+次梁传恒荷载内纵框架梁重度 3.1815柱网长 6.3内纵框架梁自重18.4527顶层柱恒荷载164.901顶层柱活荷载=板传活荷载屋面板传活荷载重度0柱网长 6.3屋面活荷载(三角形)0顶层柱活荷载10.53标准层柱恒荷载=内纵墙自重+内纵框架梁自重+板传恒荷载+次梁传内纵墙重度 4.2走廊楼面恒荷载 5.211柱网长 6.3内纵墙自重24.36标准层柱恒荷载134.7156标准层柱活荷载=板传活荷载B轴柱楼面板传活荷载重度0走廊楼面活荷载 2.7柱网长 6.3B轴柱楼面板传活荷载0标准层柱活荷载52.2基底面内纵墙重度 4.64柱网长 6.3底面内纵墙自重26.912基础顶面恒荷载37.7667风荷载标准值计算基本风压( kN/m2)0.3风振系数(因屋高度小于30m)1计算单元迎风面宽度 6.3水平地震作用计算重力荷载代表值计算屋面处重力荷载标准值计算(KN)女儿墙565.6933333女儿墙重度总长屋面板7063.058167屋面板重度总长梁1323.1906(这个分类与上面的不完全相同)梁1重度梁1数轴网长梁1重力柱484.176柱重度柱数墙648.19外纵墙1重度墙长数量顶层总重力荷载标准值10084.30793 标准层楼面处重力荷载标准值计算(KN)墙1296.379658楼面板4226.884422屋面板重度纵跨数梁1323.1906柱1002.936柱重度柱数标准层层总重力荷载标准值7849.390681 底层楼面处重力荷载标准值计算(KN)底层墙737.0598292外纵墙1重度墙长数量墙1385.249658楼面板4226.884422梁1323.1906柱1262.316底层楼面处重力荷载标准值8197.640681 屋顶雪荷载标准值计算(KN)雪重度纵跨数屋顶雪荷载标准值109.5047778 楼面活荷载标准值计算(KN)房间活荷载轴网长纵跨数楼面活荷载代表值/标准值1998.32 总重力设计值/代表值计算(KN)屋面处12254.4762屋面处结构和构件自重标准层楼面处12216.91682楼面处结构和构件自重底层楼面12634.81682底层露面处结构和构件自重框架柱抗侧刚度D和结构基本自振周期计算横向D值计算AB、CD梁的相对线刚度底层柱高结构基本自振周期计算自振周期T10.468636932折减系数多遇水平地震作用计算最大影响系数Geq<5Tg,故:1影响系数1附加顶部集中力为AB、CD轴梁的相对线刚度i1当(i1+i2)<(i3+i4)时当(i1+i2)>(i3+i4)时上层层高h1修正系数阿尔法2修正系数阿尔法3水平地震作用下内力计算位移验算:根据《建筑抗震刚重比和剪重比验算(见上表)利用力学求解器分别算出活荷载、恒荷载、风荷载作用下框架梁因为(T1<1.4Tg),需要考虑顶部横重力荷载代表值作用下框架的内力均布重力荷载代表值计算屋面q AB=q CD框架梁上的均布荷载q BC框架梁上的均布荷载楼面q AB=q CD框架梁上的均布荷载q BC框架梁上的均布荷载作用于A柱集中重力荷载代表值计算屋面处139.314恒荷载雪荷载标准楼层处124.9218恒荷载基础顶面处37.7667 作用于B柱集中重力荷载代表值计算屋面处170.166恒荷载雪荷载标准楼层处160.8156恒荷载基础顶面处37.7667控制截面的弯矩标准值M'控制截面的弯矩标准值M'0各种荷载作用下梁控制截面的内力与M相应的梁柱中线柱控制截面的内力值为绘制出内力组合梁控制截面的内力值为梁柱中线交点框架梁内力组合非地震作用下框架梁内力组合(见上表)地震作用下框架梁内力组合梁端截面组合剪力设计值调整调整后的剪力设计值V b梁的剪力增大系数梁左框架梁内力组合地震作用下框架梁AB、BC的内力组合见下表框架柱内力组合、框架柱A柱端截面组合弯矩设计值和组合剪力设计值的调整(1)对“ 及相应的 ”组合弯矩设计值和组合剪力设计 为了使框架结构在地震作用下塑性铰首先在梁中出现,就必须满为了防止柱在压弯破坏前发生剪框架顶层柱和轴压比小于0.15的的增大系数后作为设计值。
第8章 框架柱正、斜截面配筋计算§8.1 框架柱的截面设计§8.1.1框架柱截面设计 一. B 柱截面设计: 1. 轴压比验算:底层柱:max 2392.28N KN =[]32/2392.2810/(14.3/600600)0.4650.8N c c N f A N N mm mm mm μ=⨯=⨯⨯⨯=≤则底层柱B 的轴压比满足要求。
2. 截面尺寸复核:取060040560h mm mm mm =-=,max 114.35V KN =因为/560/6000.9334w h b ==≤,所以200.250.25 1.014.3/6005601201.2114.35c c f bh N mm mm mm KN KN β=⨯⨯⨯⨯=>满足要求.3. 正截面受弯承载力计算由于柱同一截面分别承受正反弯矩,故采用对称配筋。
一层: B 轴柱:21014.3/6005600.552642.64b c b N f bh N mm mm mm KN αξ==⨯⨯⨯=从柱内力组合表可见:最不利组合为:M=470.8KN.m N=2392.28KNN=2392.28KN<2642.64b N KN =0/470.8./2392.28196.8e M N KN m KN mm === (20,600/3020)20a e max mm mm mm === 0196.820216.8i a e e e mm mm mm =+=+=0/4550/6007.68L h ==< ,考虑偏心矩增大系数100.2 2.7/ 2.7 2.7216.8/560 1.25i e h ξ=+⨯=+⨯= ,取 1 1.0ξ=201.150.01/ 1.150.017.6 1.074L h ξ=-⨯=-⨯= , 取 2 1.0ξ= 201201(/)/(1400/)i L h e h ηκξξ=+⨯⨯⨯⨯=21(7.6) 1.0 1.0/(1400216.8/560) 1.107+⨯⨯⨯=01.107216.82400.30.3560168i e h η⨯=⨯=>=⨯= ,按大偏心受压计算。
★★★内力组合与xx弯矩调幅一、控制截面1.柱:上、下端截面2.xx:左、中、右截面3.截面配筋设计时,应取梁端内力,而不是计算简图中的轴线处内力!P67图4-18: M’=M-V*b/2V’=V-(g+p)*b/2g、p:xxxx分布的恒载和活载。
当计算水平荷载或竖向集中荷载产生的内力时,则V’=V。
二、荷载效应组合——按第三章第二节要求(七种可能,实际多余七种计算)P36-39三、最不利内力组合1.xx截面:+Mmax—配置底筋-Mmax—配置支座面筋Vmax—配置箍筋2.跨中截面:+Mmax—配置底筋3.柱端截面:(1)|M|max及相应的N,V(2) Nmax及相应的M,V(3) Vmax及相应的M,N四、竖向最不利位置按P70第四种方法:不考虑活荷载的最不利布置,按均布处理,对梁跨中弯矩M乘扩大系数1.1-1.2***JGJ3-2010第5.1.8条/p455.1.8高层建筑结构内力计算中,当楼面活荷载大于4kN/m2时,应考虑楼面活荷载不利布置引起的结构内力的增大;当整体计算中未考虑楼面活荷载不利布置时,应适当增大楼面梁的计算弯矩。
对应条文说明:5.1.8目前国内钢筋混凝土结构高层建筑由恒载和活载引起的单位面积重力,框架与框架-剪力墙结构约为12kN/m2~14kN/m2,剪力墙和筒体结构约为13kN/m2~16kN/m2,而其中活荷载部分约为2kN/m2~3kN/m2,只占全部重力的15%~20%,活载不利分布的影响较小。
另一方面,高层建筑结构层数很多,每层的房间也很多,活载在各层间的分布情况极其繁多,难以一一计算。
如果活荷载较大,其不利分布对梁弯矩的影响会比较明显,计算时应予考虑。
除进行活荷载不利分布的详细计算分析外,也可将未考虑活荷载不利分布计算的框架梁弯矩乘以放大系数予以近似考虑,该放大系数通常可取为1.1~1.3,活载大时可选用较大数值。
近似考虑活荷载不利分布影响时,梁正、负弯矩应同时予以放大。