《浙江省建筑工程预算定额》定额库 版
- 格式:xls
- 大小:331.00 KB
- 文档页数:47
浙江省建筑工程预算定额一、概述建筑工程预算定额是国家标准,旨在规范建筑工程造价的预算编制和控制。
本文将介绍浙江省建筑工程预算定额的主要内容和编制方法。
二、测量基准1. 建筑工程预算定额应以建筑工程设计图纸为依据,按照国家建筑标准测量规范进行测量。
2. 测量应准确、完整、规范,对于未列入定额的项目,可以根据实际情况进行估算,并提供相应的依据。
三、预算编制1. 项目划分根据建筑工程设计图纸和工程构件的特点,将建筑工程分为不同的项目,进行单独编制预算。
2. 项目构成每个项目的预算应包括工程量清单、计价规则、工料设备市场价、单位工程工程量表和工程量调整表等内容。
3. 预算计算根据测量结果和相应的计价规则,按照工程量乘以市场价的方式进行预算计算,并填写到单位工程工程量表和工程量调整表中。
4. 汇总与评审将各个项目的预算计算结果进行汇总,并进行评审确认,确保预算计算的准确性和合理性。
四、定额修订1. 建筑工程预算定额的修订周期为每五年一次,修订后的定额应及时执行。
2. 定额修订应符合国家相关政策和行业发展的需要,充分考虑建筑工程技术的进步和市场价格的变动。
五、预算编制的注意事项1. 考虑实际情况预算编制过程中,应充分考虑项目所处地理位置、工程规模、材料市场价格等实际情况,确保预算的合理性。
2. 遵循法律法规预算编制应符合国家相关法律法规的规定,严格按照建筑工程预算定额进行操作。
3. 注意细节预算编制要注意细节的准确性和完整性,例如单位工程工程量表中的项目名称、工程量计算公式等。
六、案例分析以浙江省XX工程项目为例,根据建筑工程预算定额,按照上述步骤进行预算编制,得出具体的预算结果。
七、总结建筑工程预算定额是建筑工程造价管理的基础,对于建筑工程的预算编制和控制起着重要的作用。
准确、合理地编制预算定额是保证建筑工程造价的有效控制和管理的关键。
浙江省建筑工程预算定额的编制和修订应遵循规范的操作流程和相关法律法规,确保预算计算的准确性和合理性。
浙江省建筑工程预算定额说明和计算规则
一、项目划分方面:
根据工程的性质和规模不同,将建筑工程分为若干个项目,每个项目又可以根据内容的不同进一步划分为几个子项目。
常见的项目划分有地基基础工程、主体结构工程、装饰装修工程、给排水与供电工程等。
二、计算方法方面:
建筑工程的预算定额计算有两种方法,一是直接计算法,二是应用比例系数法。
直接计算法主要是以工程量清单为依据,直接根据实际发生的工作量进行预算计算。
而应用比例系数法则是根据工作量的比例来进行预算计算,其中比例系数的确定是依据各类工程的实际情况和一定的经验统计。
三、取费标准方面:
建筑工程的取费标准一般是根据建筑工程造价中所包括的材料、工程量以及施工费用等进行确定的。
取费标准一般包含材料费、设备费、劳务费和管理费等。
其中管理费的计算一般是根据根据相应的管理费率乘以工程造价(或工程费用)得出。
四、计算公式方面:
建筑工程预算定额的计算公式一般包括工程量计算公式和费用计算公式两种。
工程量计算公式是根据工程量的大小、材料的消耗等进行计算得出,而费用计算公式则是通过材料的价格、工作量的费率等来计算得出。
一般来说,工程量计算公式是根据材料的数量乘以单价,费用计算公式则是根据材料的价格乘以单位的工程量。
综上所述,浙江省建筑工程预算定额说明和计算规则主要包括项目划分、计算方法、取费标准以及计算公式等内容。
通过科学合理的预算定额计算,可以为建筑工程提供准确可靠的费用预算,从而实现合理控制项目成本的目标。
外墙外保温(2)补充定额
外墙外保温(2)挤塑板、模压板粘贴
工作内容:基层清理,粘贴挤塑板、模压板,板面找平,贴网格布,调运及抹砂浆。
计量单位:100m2
注:
1、界面处理另套11-66定额。
涂料饰面套1-169、170定额。
2、设计板厚与定额不符时,板材单价按比例调整,其余不变。
3、设计不用锚固件者,每100m2实贴面积扣锚固件费用510元(其中人工费60元)。
4、工程量按展开面积计算。
屋面防水
工作内容:基层清理,刷胶粘剂,铺贴卷材。
计量单位:100m2
轻质砂加气混凝土砌块墙
工作内容:砂浆调制、运输、砌块砌筑、铺浆、找平、校正、切割部分砌块,清扫墙面等全过程。
计量单位:10m3
注:使用铁件及拉接件时按实计算。
墙面抹水泥砂浆底灰
工作内容:清理、湿润基层,调运砂浆,刷浆、抹灰,清扫落地灰等全过程。
计量单位:100㎡
注:1. 本定额适用于镶贴块料面的基层抹灰。
2. 定额按二遍考虑,如抹灰遍数不同时,另按每增减一遍定额调整。
3. 梁、柱面抹底灰,按相应定额乘系数1.1计算。
聚苯颗粒外墙外保温
工作内容:基层表面清理、修补、做厚度标志(塌饼、冲筋),砂浆调制、运输、抹平、压光、压嵌网络格布、钢丝网,抹抗裂砂浆,清扫落地灰等全过程。
计量单位:100 m2
注:1、界面处理另套11-66定额,涂料饰面套14-169、170定额,块料饰面套第十一章墙面镶贴块料相应定额。
2、工程量按实际展开面积计算。
3、本定额的聚苯颗粒是按原发料考虑的。
浙江省建筑工程预算定额2024版说明及计算规则1.简介:对建筑工程预算定额的作用、编制和应用进行了简单的介绍,指导用户如何正确使用该定额。
2.综合基价:根据工程所在地的地区因素将国家基价与地区基价相结合,形成该工程地区的综合基价。
综合基价是编制工程预算的基础,它包括了工料设备以及人工、管理费用等方面的成本内容。
3.定额项目:根据工程的特点和种类,将工程划分为不同的项目,对每个项目进行了详细的说明。
每个项目包括了工程量计算方法、工程技术要求、项目工程量、工程单价等内容,为编制预算提供了具体的数据。
4.工程数量计算规则:对工程量计算的基本方法和规则进行了说明,包括了清单工程量和综合单价工程量的计算方法,以及主要工程量的计算公式和依据。
5.单价计算规则:对价格的计算方法和规则进行了说明,包括了材料价格的计算、设备价格的计算以及人工价格的计算,为预算计算提供了依据。
6.附录:提供了一些相关的材料、设备以及人工价格指导,方便用户参考。
浙江省建筑工程预算定额2024版的编制过程是经过严格的审批和论证的,具有较高的权威性。
在进行工程预算编制时,用户应该根据工程的实际情况选择相应的项目和定额进行计算,并遵循规则和要求进行计算。
这样可以保证预算的准确性和可靠性,为工程的顺利进行提供有力的支持。
在实际应用中,用户应该按照预算定额的要求进行合理的调整和修订。
根据工程的具体情况进行适当的调整,以保证预算的科学性和合理性。
同时,要结合实际施工情况进行动态管理和控制,及时调整预算,确保工程的质量和进度。
总之,浙江省建筑工程预算定额2024版是一份权威的预算编制指导文件,它为预算编制和核算提供了规范和依据,有利于提高预算的准确性和可靠性,为工程项目的顺利进行提供有力支持。
同时,用户在使用预算定额时要根据实际情况进行灵活调整,以保证预算的科学性和合理性。
浙江省建筑工程预算定额说明及计算规则一、引言二、定额说明1.工程量清单工程量清单是根据设计图纸和施工方案编制的反映工程项目分部、分项的工程量和单位工程造价的表格,包括工程项目名称、工程量、单位工程造价、金额和技术要求等内容。
2.定额计算书定额计算书是根据国家有关建筑工程造价计算方法和浙江省建筑工程实际情况编制的一套详细说明工程项目定额计算依据的文件,包括定额计算依据、计算方法、计算公式、计算步骤和计算结果等内容。
3.费率表费率表是根据浙江省建筑工程费率管理规定编制的一套反映各种费用项目费率的表格,包括人工费率、材料费率、机械费率和管理费率等内容。
三、计算规则1.以建设工程的功能、结构、材料、施工工艺和质量要求为基础,确定每个工程项目的定额。
2.定额计算依据主要包括人工、材料、机械和管理费用等方面的定额单价和定额细则。
3.人工定额的计算主要根据实际工作量和工作效率进行,包括工种、工种工资、劳动力活动时间和数量,以及相关技术标准和规范。
4.材料定额的计算主要根据工程实际需要和市场价格进行,包括材料种类、规格、数量和费用。
5.机械定额的计算主要根据工程设备需求和租赁价格进行,包括机械种类、使用时间、数量和租赁费用。
6.管理费用的计算主要包括项目管理人员工资、办公费用、差旅费用和保险费用等。
7.定额的计算结果应精确、准确,能够真实反映工程项目的合理造价。
四、总结浙江省建筑工程预算定额是浙江省建筑工程费用计算的基础,具有重要的指导作用。
对于建筑工程项目的招投标和施工管理,定额的科学、合理和规范应用,能够有效地控制工程造价,保证工程质量和进度。
因此,各参与建筑工程的相关人员应深入学习和掌握浙江省建筑工程预算定额的内容和计算规则,提高建筑工程项目的管理水平和造价核算能力。
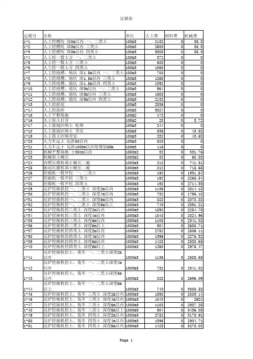
定额号名称单位人工费材料费机械费1-1人工挖槽坑 深3m以内 一、二类土100m32132035.3 1-2人工挖槽坑 深3m以内 三类土100m32680035.3 1-3人工挖槽坑 深3m以内 四类土100m33308035.3 1-4人工挖一般土方 一、二类土100m337200 1-5人工挖一般土方 三类土100m368000 1-6人工挖一般土方 四类土100m3106000 1-7人工挖地槽、地坑 深1.5m以内 一、二类土100m370800 1-8人工挖地槽、地坑 深1.5m以内 三类土100m3126000 1-9人工挖地槽、地坑 深1.5m以内 四类土100m3189200 1-10人工挖地槽、地坑 深3m以内 一、二类土100m396400 1-11人工挖地槽、地坑 深3m以内 三类土100m3150800 1-12人工挖地槽、地坑 深3m以内 四类土100m3213200 1-13人工挖淤泥100m3203600 1-14人工挖流砂100m3302400 1-15人工平整场地100m217200 1-16人工原土打夯100m22808.72 1-17人工就地回填土 松填100m324400 1-18人工就地回填土 夯实100m3536043.58 1-19人工借土回填夯实100m3232043.58 1-20人力车运土 运距50以内100m352000 1-21人力车运土 运距1000m以内每增加50m100m311600 1-22机械平整场地 ±30cm以内1000m2320331.76 1-23机械原土碾压1000m232068.88 1-24内燃压路机填土碾压二遍1000m32120741.31 1-25振动压路机填土碾压二遍1000m32120715.65 1-26挖掘机一般开挖 一、二类土1000m319201931.64 1-27挖掘机一般开挖 三类土1000m319202265.54 1-28挖掘机一般开挖 四类土1000m319202714.33 1-29反铲挖掘机挖一、二类土 深度2m以内1000m3113602014.18 1-30反铲挖掘机挖一、二类土 深度4m以内1000m373201795.18 1-31反铲挖掘机挖一、二类土 深度6m以内1000m382802078.88 1-32反铲挖掘机挖一、二类土 深度6m以上1000m374002391.21 1-33反铲挖掘机挖三类土 深度2m以内1000m3189202254.75 1-34反铲挖掘机挖三类土 深度4m以内1000m3104002024.96 1-35反铲挖掘机挖三类土 深度6m以内1000m3110802341.02 1-36反铲挖掘机挖三类土 深度6m以上1000m398402685.71 1-37反铲挖掘机挖四类土 深度2m以内1000m3275202506.11 1-38反铲挖掘机挖四类土 深度4m以内1000m3139602276.32 1-39反铲挖掘机挖四类土 深度6m以内1000m3142802588.65 1-40反铲挖掘机挖四类土 深度6m以上1000m3126002976.471-41反铲挖掘机挖土、装车 一、二类土深度2m以内1000m3113602588.651-42反铲挖掘机挖土、装车 一、二类土深度4m以内1000m373202341.021-43反铲挖掘机挖土、装车 一、二类土深度6m以内1000m382802696.091-44反铲挖掘机挖土、装车 一、二类土深度6m以上1000m374003080.581-45反铲挖掘机挖土、装车 三类土 深度2m以内1000m3189202883.14 1-46反铲挖掘机挖土、装车 三类土 深度4m以内1000m3104002621 1-47反铲挖掘机挖土、装车 三类土 深度6m以内1000m3110802987.25 1-48反铲挖掘机挖土、装车 三类土 深度6m以上1000m398403436.05 1-49反铲挖掘机挖土、装车 四类土 深度2m以内1000m3275203173.91 1-50反铲挖掘机挖土、装车 四类土 深度4m以内1000m3139602904.711-51反铲挖掘机挖土、装车 四类土 深度6m以内1000m3142803278.02 1-52反铲挖掘机挖土、装车 四类土 深度6m以上1000m3126003769.95 1-53机械挖淤泥、流砂 不装车 深度6m以内1000m340004569.1 1-54机械挖淤泥、流砂 不装车 深度6以上1000m346005254.95 1-55机械挖淤泥、流砂 装车 深度6m以内1000m346005254.95 1-56机械挖淤泥、流砂 装车 深度6m以上1000m352906043.24 1-57推土机推土 运距20m以内 一、二类土1000m319201552.41 1-58推土机推土 运距20m以内 三类土1000m319201686.48 1-59推土机推土 运距20m以内 四类土1000m319202046.36 1-60推土机推土 每增加10m1000m300564.51 1-61铲运机铲运土方 运距200m以内 一、二类土1000m319203520.53 1-62铲运机铲运土方 运距200m以内 三类土1000m319204771.37 1-63铲运机铲运土方 运距200m以内 四类土1000m319205971.27 1-64铲运机铲运土方 每增加50m1000m300734.88 1-65人工装土1000m3451200 1-66装载机装土1000m319201170.57 1-67自卸汽车运土1000m以内1000m319205003.49 1-68自卸汽车运土每增加1000m1000m3001259.9 1-69一般开挖软石100m3204283.98249.87 1-70一般开挖次坚石100m3284357.4413.06 1-71一般开挖普坚石100m3412459.28661.47 1-72一般开挖特坚石100m3532586.01900.95 1-73挖软石沟槽、基坑100m3572739.44671.05 1-74挖次坚石沟槽、基坑100m3816945.961130.91 1-75挖普坚石沟槽、基坑100m311681226.231819.39 1-76挖特坚石沟槽、基坑100m314961544.482463.15 1-77软石表面人工找平100m242400 1-78次坚石表面人工找平100m265200 1-79普坚石表面人工找平100m2143200 1-80人工凿软石地槽、地坑100m3110841.22059.72 1-81人工凿次坚石地槽、地坑100m3148051.972748.85 1-82人工凿普坚石地槽、地坑100m3201668.843746.39 1-83人工凿特坚石地槽、地坑100m3288493.815364.08 1-84机械凿软石100m321601228.38 1-85机械凿次坚石100m321601517.41 1-86机械凿普坚石100m321602095.47 1-87人力车运石碴 运距50m以内100m3106000 1-88人力车运石碴 运距1000以内每增加50m100m323200 1-89推土机推碴 运距20m以内1000m324804149.16 1-90推土机推碴 运距每增加10m1000m3001227.81 1-91挖掘机挖碴装车1000m319206193.42 1-92自卸汽车运碴 运距1000m以内1000m319206976.52 1-93自卸汽车运碴 运距每增加1000m1000m3001624.85 1-94砖基础拆除10m324000 1-95石砌体拆除10m319200 1-96素混凝土基础拆除10m3328 2.43580.61 1-97钢筋混凝土基础拆除10m3492 3.38744.76 1-98石碴回填100m36320306.14 1-99轻型井点安、拆10根500386.6446.69 1-100轻型井点使用套.天6029.41166.14 1-101喷射井点安、拆10根22801872.734194.48 1-102喷射井点使用套.天12098.751201.74 1-103真空深井降水安、拆深井 井深19m座4961730.431234.47 1-104真空深井降水使用 井深19m座.天0 6.85188.61 1-105真空深井降水安装、拆除 井深每增减1m座2036.9580.59 1-106真空深井降水使用 井深每增减1m座.天00.4701-107直流深井降水安、拆深井井深20m(钻孔D800)座6163293.941462.391-108直流深井降水(井管深:20m)(钻孔D800) 每增减1m座20164.93477.661-109使用座.天4045.41 1-110湿土排水100m31200458.2 2-1打预制钢筋混凝土方桩 桩长12m以内10m3359.4854.6802.63 2-2打预制钢筋混凝土方桩 桩长25m以内10m3297.9955.3881.99 2-3打预制钢筋混凝土方桩 桩长45m以内10m3255.4256.05753.04 2-4打预制钢筋混凝土方桩 桩长45m以上10m3222.3156.8817.5 2-5送预制钢筋混凝土方桩 桩长12m以内10m3510.8411.4803.7 2-6送预制钢筋混凝土方桩 桩长25m以内10m3321.6411.4740.62 2-7送预制钢筋混凝土方桩 桩长45m以内10m3269.6111.4620.81 2-8送预制钢筋混凝土方桩 桩长45m以上10m3212.8511.4609.47 2-9静力压预制钢筋混凝土方桩 桩长12m以内10m3241.2354.6549.36 2-10静力压预制钢筋混凝土方桩 桩长25m以内10m3189.255.3689.76 2-11静力压预制钢筋混凝土方桩 桩长45m以内10m3151.3656.05657.13 2-12静力压预制钢筋混凝土方桩 桩长45m以上10m3132.4456.8691.09 2-13静力压送预制钢筋混凝土方桩 桩长12m以内10m3345.2917.85565.04 2-14静力压送预制钢筋混凝土方桩 桩长25m以内10m3269.6123.64806.66 2-15静力压送预制钢筋混凝土方桩 桩长45m以内10m3222.3130.25821.34 2-16静力压送预制钢筋混凝土方桩 桩长45m以上10m3184.4737.66809.57 2-17包角钢电焊接预制方桩t1126.64451.181056.98 2-18包钢板电焊接预制方桩t1724.34544.58535.72 2-19打预应力钢筋混凝土管桩 桩径400mm以内100m340.56105.661081.43 2-20打预应力钢筋混凝土管桩 桩径500mm以内100m374.96156.441565.5 2-21打预应力钢筋混凝土管桩 桩径600mm以内100m385.28206.011996.85 2-22打预应力钢筋混凝土管桩 桩径600mm以上100m467.84256.662427.87 2-23送预应力钢筋混凝土管桩 桩径400mm以内100m488.4810.51056.72 2-24送预应力钢筋混凝土管桩 桩径500mm以内100m536.6415.41699.06 2-25送预应力钢筋混凝土管桩 桩径600以内100m553.8421.52180.53 2-26送预应力钢筋混凝土管桩 桩径600mm以上100m667.3628.62627.47 2-27压预应力钢筋混凝土管桩 桩径400mm以内100m196.08105.661022.53 2-28压预应力钢筋混凝土管桩 桩径500mm以内100m218.87156.441144.92 2-29压预应力钢筋混凝土管桩 桩径600mm以内100m245.1206.011565.61 2-30压预应力钢筋混凝土管桩 桩径600m以上100m307.02256.662252.47 2-31压送预应力钢筋混凝土管桩 桩径400mm以内100m282.0811.41160.46 2-32压送预应力钢筋混凝土管桩 桩径500mm以内100m313.0415.41287.83 2-33压送预应力钢筋混凝土管桩 桩径600mm以内100m350.8821.51782.49 2-34压送预应力钢筋混凝土管桩 桩径600mm以上100m436.8828.62636.3 2-35锤击式沉管灌注砂桩10m3554.7803.49483.71 2-36振动式沉管灌注砂桩 桩长12m以内10m3537.5803.49353.43 2-37振动式沉管灌注砂桩 桩长18m以内10m3464.4803.49307.83 2-38锤击式沉管灌注砂石桩10m3662.21395.68483.71 2-39振动式沉管灌注砂石桩 桩长12m以内10m3632.11395.68353.43 2-40振动式沉管灌注砂石桩 桩长18m以内10m3550.41395.68307.83 2-41锤击式沉管灌注混凝土桩成孔10m3391.381.03565.57 2-42振动式沉管灌注混凝土桩成孔 桩长12m以内10m3425.776.82473.14 2-43振动式沉管灌注混凝土桩成孔 桩长25m以内10m3331.178.69364.83 2-44振动式沉管灌注混凝土桩成孔 桩长25m以上10m3296.781.03330.63 2-45沉管灌注混凝土夯扩桩成孔10m3722.481.031041.842-46静压振拔式沉管灌注混凝土桩成孔桩长12m以内10m3404.276.82274.92-47静压振拔式沉管灌注混凝土桩成孔桩长25m以内10m3318.278.69214.992-48静压振拔式沉管灌注混凝土桩成孔桩长25m以上10m3288.181.03197.372-49静压沉管灌注混凝土扩头桩成孔10m3632.181.03429.98 2-50预制桩尖埋设10个34.40.90 2-51转盘式钻孔桩机成孔 桩径600mm以内10m3808.4258.891275.58 2-52转盘式钻孔桩机成孔 桩径mm800以内10m3604.58189.85955.33 2-53转盘式钻孔桩机成孔 桩径1000mm以内10m3420.97158.41773.63 2-54转盘式钻孔桩机成孔 桩径1200mm以内10m3339.27141.64627.78 2-55转盘式钻孔桩机成孔 桩径1500mm以内10m3288.96123.81532.66 2-56岩石层成孔增加费 桩径800mm以内10m33604.6935.363482.29 2-57岩石层成孔增加费 桩径800mm以上10m32163.3319.22664.44 2-58旋挖桩机成孔 桩径1000mm以内10m3245.96115.842053.91 2-59旋挖桩机成孔 桩径1500mm以内10m3170.28104.871425.69 2-60旋挖桩机成孔 桩径2000mm以内10m3137.1797.651717.76 2-61旋挖桩机成孔 桩径2000mm以上10m3118.2589.11486.73 2-62岩石层成孔增加费 桩径1000mm以内10m31264.244.838216.8 2-63岩石层成孔增加费 桩径1500mm以内10m3861.7236.895666.04 2-64岩石层成孔增加费 桩径2000mm以内10m3703.9128.957512.63 2-65岩石层成孔增加费 桩径2000mm以上10m3597.2722.886454.03 2-66冲抓锤冲孔 桩长15m以内 砂粘土层10m3549.97349.97819.96 2-67冲抓锤冲孔 桩长15m以内 碎卵石层10m32908.52718.234325.31 2-68冲抓锤冲孔 桩长30m以内 砂粘土层10m3691.01365.311050.11 2-69冲抓锤冲孔 桩长30m以内 碎卵石层10m33653.71729.745426.44 2-70冲抓锤冲孔 桩长30m以上 砂粘土层10m3872.9384.781294.79 2-71冲抓锤冲孔 桩长30m以上 碎卵石层10m34635.83743.316877.78 2-72冲击锤冲孔 桩长15m以内 砂粘土层10m3388.29434.71068.44 2-73冲击锤冲孔 桩长15m以内 碎卵石层10m32304.37778.475553.81 2-74冲击锤冲孔 桩长15m以内 岩石层10m36164.91955.3511877.03 2-75冲击锤冲孔 桩长30m以内 砂粘土层10m3443.33450.631342.05 2-76冲击锤冲孔 桩长30m以内 碎卵石层10m32570.11791.456808.7 2-77冲击锤冲孔 桩长30m以内 岩石层10m36879.14968.3314568.49 2-78冲击锤冲孔 桩长30m以上 砂粘土层10m3483.32470.691461.08 2-79冲击锤冲孔 桩长30m以上 碎卵石层10m32689.65807.977122.26 2-80冲击锤冲孔 桩长30m以上 岩石层10m37644.97984.5616184.67 2-81沉管桩灌注现拌混凝土10m3533.22554.47102.46 2-82沉管桩灌注商品混凝土10m3180.63377.640 2-83钻孔桩灌注现拌混凝土10m3292.42993.3282.71 2-84钻孔桩灌注商品混凝土10m390.34142.640 2-85旋挖桩灌注现拌混凝土10m3382.72869.2176.54 2-86旋挖桩灌注商品混凝土10m3116.13970.640 2-87冲孔桩灌注现拌混凝土10m3580.53291.1990.12 2-88冲孔桩灌注商品混凝土10m3176.34555.440 2-89注浆管埋设100m154.8873.4334.4 2-90声测管埋设100m210.71613.8849.95 2-91桩底(侧)后注浆t209.84328.38110.36 2-92泥浆池建造和拆除10m315.4819.130.23 2-93泥浆运输 运距5km以内10m3191.780439.5 2-94泥浆运输 运距每增减1km10m30035.31 2-95人工挖孔 桩径1500以内 孔深10m以内10m3490.221111.13 2-96人工挖孔 桩径1500以内 孔深15m以内10m3610.623137.06 2-97人工挖孔 桩径1500以内 孔深20m以内10m3718.127155.46 2-98人工挖孔 桩径1500以上 孔深10m以内10m3421.421106.8 2-99人工挖孔 桩径1500以上 孔深15m以内10m3524.623131.81 2-100人工挖孔 桩径1500以上 孔深20m以内10m3619.227148.83 2-101人工挖孔增加费 挖淤泥、流砂10m3447.230158.32 2-102人工挖孔增加费 入岩石层10m3834.22057.682-103制作安设混凝土护壁10m32962.73361.37583.86 2-104桩芯灌注现拌混凝土10m3541.82292.27227.39 2-105桩芯灌注商品混凝土10m3163.43083.45157.02 2-106打预制混凝土板桩 桩长10m以内10m3352.642.87862.74 2-107打预制混凝土板桩 桩长10m以上10m3232.254.87566.76 2-108送预制混凝土板桩桩 桩长10m以内10m3507.414.31238.86 2-109送预制混凝土板桩桩 桩长10m以上10m3335.414.3817.51 2-110打钢板桩 桩长10m以内t77.432.53190.64 2-111打钢板桩 桩长10m以上t38.732.5392.74 2-112拔钢板桩 桩长10m以内t60.28.6779.81 2-113拔钢板桩 桩长10m以上t38.78.6751.3 2-114安拆导向夹具10m16.3428.2729.77 2-115打圆木桩10m34158.18500.870 2-116送圆木桩10m31956.500 2-117接桩头10个245.1443.650 2-118双头喷浆深层水泥搅拌桩10m3107.5733.34158.96 2-119单头喷浆深层水泥搅拌桩10m3202.1733.34178.35 2-120单头喷粉深层水泥搅拌桩10m3202.1724.9210 2-121水泥掺量 每增减1%10m3056.960 2-122SMW工法二搅二喷搅拌桩10m3106.211012.67593.05 2-123插、拔型钢t29.67199.34181.07 2-124高压旋喷桩钻孔10m51.67.61136.6 2-125单重管法高压旋喷桩10m3356.92048.38461.23 2-126双重管法高压旋喷桩10m3382.71918.64594.87 2-127三重管法高压旋喷桩10m3412.81743.131199.71 2-128围护树根桩10m33156.23586.683717.17 2-129承重树根桩10m32416.64192.074738.64 2-130压密注浆钻孔10m137.6327.12 2-131压密注浆注浆10m3154.8514.72162.82 2-132锚杆(土钉)成孔、灌浆 钢筋100m665.64822.81138.82 2-133锚杆(土钉)成孔、灌浆 钢管100m578.35779.38171.73 2-134入岩增加费100m1604.33183.72281.87 2-135锚杆(土钉)制作、安装 钢筋t250.694194.634.23 2-136锚杆(土钉)制作、安装 钢管t216.294795.522.41 2-137喷射混凝土护坡 坡度 60°以内 厚度5cm100m21101.231314.831282.13 2-138喷射混凝土护坡 坡度 60°以内 每增1cm100m294.17259.61108.36 2-139喷射混凝土护坡 坡度 60°以上 厚度5cm100m21258.611489.831446.19 2-140喷射混凝土护坡 坡度 60°以上 每增1cm100m2107.93293.94119.7 2-141地下连续墙 导墙开挖10m381.7073.2 2-142地下连续墙 钢筋混凝土导墙浇灌10m37312214.0562.84 2-143地下连续墙 机械成槽 槽深20m以内10m3193.5602.681170.18 2-144地下连续墙 机械成槽 槽深30m以内10m3202.1602.681262.27 2-145地下连续墙 机械成槽 槽深40m以内10m3215602.681354.47 2-146地下连续墙 清底置换段464.42769.7 2-147地下连续墙 接头管安、拔 槽深20m以内段774201.6669.53 2-148地下连续墙 接头管安、拔 槽深30m以内段774423.21137.07 2-149地下连续墙 接头管安、拔 槽深40m以内段774654.81652.75 2-150地下连续墙 混凝土墙浇灌10m3103.24216.8226.1 2-151重锤夯实(一遍) 夯击能量1000kN·m以内100m2120.40293.68 2-152重锤夯实(一遍) 夯击能量2000kN·m以内100m2159.10501.47 2-153重锤夯实(一遍) 夯击能量3000kN·m以内100m2180.60685.29 2-154凿预制混凝土方桩头10个331.1411.3 2-155凿预应力混凝土管桩头10个163.4411.3 2-156凿沉管灌注混凝土桩头10个94.610 2-157凿钻孔灌注混凝土桩头 桩径800mm以内10个507.418.445.51 2-158凿钻孔灌注混凝土桩头 桩径800mm以上10个872.945.4111.713-1砂垫层10m3189.2710.85 3.34 3-2天然级配砂石垫层10m3197.8730.858.72 3-3人工级配砂石垫层10m3253.7950.8557.1 3-4塘渣垫层 压路机压实10m3116.1551.242.09 3-5塘渣垫层 夯实机夯实10m3154.8488.88.72 3-6块石垫层 疏排夯实10m3275.2546.7514.6 3-7块石干铺垫层10m3232.2845.198.72 3-8块石垫层10m3374.11200.3432.14 3-9碎石干铺垫层10m3197.8885.928.72 3-10碎石灌浆垫层10m3322.51378.2942.1 3-11灰土垫层10m3236.5808.569.59 3-12三合土垫层10m3374.11357.1913.73 3-13混凝土实心砖基础 240×115×5310m3438.62041.8822.26 3-14混凝土实心砖基础 190×90×5310m3528.92266.4924.01 3-15烧结普通砖基础10m3425.72305.7322.26 3-16蒸压砖基础10m3417.12094.7822.26 3-17块石浆砌基础10m3447.2135735.14 3-18块石干砌基础10m3305.3903.3 4.1 3-19块石灌混凝土基础10m3485.91423.9150.76 3-20砌混凝土实心砖墙 厚1砖10m3576.22082.7222.84 3-21砌混凝土实心砖墙 厚3/4砖10m3675.12085.9221.67 3-22砌混凝土实心砖墙 厚1/2砖10m3756.82090.4919.33 3-23砌混凝土实心砖墙 厚1/4砖10m3937.42113.5612.3 3-24砌混凝土实心砖方柱10m3778.32112.7322.84 3-25砌混凝土实心砖空花墙10m3649.31453.910.54 3-26混凝土实心砖贴砖 (1/2砖)10m3567.62250.3828.11 3-27混凝土实心砖贴砖 (1/4砖)10m3799.82462.7631.04 3-28混凝土实心砖砌地沟10m35162079.3822.26 3-29混凝土实心砖零星砌体10m3812.72085.6820.5 3-30砌混凝土实心砖墙 厚19010m3705.22310.2124.6 3-31砌混凝土实心砖墙 厚9010m3933.12335.9520.5 3-32砌混凝土实心砖空斗墙 一斗一盖10m3412.81834.4917.57 3-33砌混凝土实心砖空斗墙 三斗一盖10m3412.81752.4516.99 3-34砌混凝土实心砖空斗墙 五斗一盖10m3412.81728.9416.99 3-35砌混凝土实心砖空斗墙 全空斗10m3412.81691.0216.4 3-36砌混凝土多孔砖墙 厚1砖10m3460.11766.4418.16 3-37砌混凝土多孔砖墙 厚1/2砖10m36021754.2614.64 3-38砌混凝土多孔砖墙 厚190厚10m3417.11760.2515.23 3-39砌混凝土多孔砖方柱10m3627.81776.3216.99 3-40混凝土多孔砖零星砌体10m36451762.9115.81 3-41砌轻集料混凝土实心砖墙 厚1砖10m3541.82773.3922.84 3-42砌轻集料混凝土实心砖墙 厚1/2砖10m3709.52813.4119.33 3-43轻集料混凝土实心砖砌地沟10m3485.92780.8922.26 3-44轻集料混凝土实心砖零星砌体10m3761.12793.8920.5 3-45砌烧结普通砖墙 厚1砖10m3563.32340.8722.84 3-46砌烧结普通砖墙 厚3/4砖10m3653.62349.5721.67 3-47砌烧结普通砖墙 厚1/2砖10m37312361.1419.33 3-48砌烧结普通砖墙 厚1/4砖10m3907.32410.5112.3 3-49砌烧结普通砖方柱10m3756.82377.8822.84 3-50砌烧结普通砖空花墙10m3632.11651.2610.54 3-51烧结普通砖贴砖 (1/2砖)10m3550.42521.0328.11 3-52烧结普通砖贴砖(1/4砖)10m37742759.4131.04 3-53烧结普通砖砌地沟10m3498.82340.0322.26 3-54烧结普通砖零星砌体10m3786.92352.3320.5 3-55砌烧结普通砖空斗墙 一斗一盖10m3399.92068.7417.57 3-56砌烧结普通砖空斗墙 三斗一盖10m3399.91975.716.993-57砌烧结普通砖空斗墙 五斗一盖10m3399.91949.1916.99 3-58砌烧结普通砖空斗墙 全空斗10m3399.91906.2716.4 3-59砌烧结多孔砖墙 厚1砖10m3447.23518.8518.74 3-60砌烧结多孔砖墙 厚1/2砖10m3584.83582.8514.64 3-61砌烧结多孔砖墙 厚19010m3408.52958.3415.81 3-62砌烧结多孔砖方柱10m3606.33573.716.99 3-63烧结多孔砖零星砌体10m3627.83561.2915.81 3-64砌烧结空心砖墙 厚1砖(卧砌)10m3335.42322.7411.13 3-65砌烧结空心砖墙 厚1/2砖(卧砌)10m3438.62335.17.03 3-66砌烧结空心砖墙 厚190(卧砌)10m3374.12375.6411.71 3-67砌蒸压砖墙 厚1砖10m3550.42139.1222.84 3-68砌蒸压砖墙 厚1/2砖10m3718.12149.3919.33 3-69蒸压砖砌地沟10m3490.22139.4822.26 3-70蒸压砖零星砌体10m3769.72140.5820.5 3-71砌蒸压多孔砖墙 厚1砖10m3438.61794.8918.16 3-72砌蒸压多孔砖墙 厚1/2砖10m3571.91786.0314.06 3-73蒸压多孔砖零星砌体10m3614.91794.2715.23 3-74砌轻集料混凝土小型空心砌块墙 厚240mm10m3378.42642.8510.54 3-75砌轻集料混凝土小型空心砌块墙 厚190mm10m3447.22635.8210.54 3-76砌轻集料混凝土小型空心砌块墙 厚120mm10m3533.22645.019.96 3-77砌烧结空心砌块墙 厚240(卧砌)10m3361.22759.38.79 3-78砌烧结空心砌块墙 厚190(卧砌)10m3382.72759.38.79 3-79砌烧结空心砌块墙 厚115(卧砌)10m3451.527558.793-80砌蒸压粉煤灰加气混凝土砌块墙厚150mm以内 现拌砂浆10m34732194.4215.333-81砌蒸压粉煤灰加气混凝土砌块墙厚150mm以内 粘结剂10m3408.52385.7414.563-82砌蒸压粉煤灰加气混凝土砌块墙厚200mm以内 现拌砂浆10m33872189.8212.333-83砌蒸压粉煤灰加气混凝土砌块墙厚200mm以内 粘结剂10m3331.12381.1411.463-84砌蒸压粉煤灰加气混凝土砌块墙厚300mm以内 现拌砂浆10m3356.92188.2211.233-85砌蒸压粉煤灰加气混凝土砌块墙厚300mm以内 粘结剂10m33012379.5410.363-86砌蒸压砂加气混凝土砌块墙 厚150mm以内10m3408.52603.9914.06 3-87砌蒸压砂加气混凝土砌块墙 厚200mm以内10m3331.12599.3910.96 3-88砌蒸压砂加气混凝土砌块墙 厚300mm以内10m33012597.799.86 3-89陶粒增强加气砌块10m3326.84833.5213.7 3-90L型铁件100个129412.460 3-91聚氨酯(PU)发泡剂嵌缝100m172543.90 3-92干砌块石普通墙10m3550.4851.25 4.69 3-93浆砌块石普通墙10m3614.91352.3733.38 3-94干砌块石挡土墙10m3361.2812.95 1.76 3-95浆砌块石挡土墙10m3455.81339.133.38 3-96干砌块石护坡10m3292.4785.70 3-97浆砌块石护坡10m3494.51339.133.38 3-98砌方整石墙10m3614.92085.7114.06 3-99砌方整石柱10m31019.12080.4313.47 3-100砌混凝土实心砖烟囱 筒身全高20m以内10m3980.42419.825.19 3-101砌烧结普通砖烟囱 筒身全高20m以内10m3950.32726.2525.19 3-102砌混凝土实心砖烟囱 筒身全高40m以内10m3851.42324.2425.19 3-103砌烧结普通砖烟囱 筒身全高40m以内10m3825.62614.0925.19 3-104砌混凝土实心砖烟囱 筒身全高60m以内10m39892306.1725.77 3-105砌烧结普通砖烟囱 筒身全高60m以内10m3958.92592.5325.77 3-106楔形混凝土实心砖加工1000块219.3 6.203-107楔形烧结普通砖加工1000块2157.20 3-108楔形耐火砖加工1000块425.727.650 3-109楔形耐酸砖加工1000块442.9600 3-110混凝土实心砖砌烟囱内衬10m3877.21980.960 3-111烧结普通砖砌烟囱内衬10m3847.12284.610 3-112耐火砖砌烟囱内衬10m3950.38426.890 3-113耐酸砖砌烟囱内衬10m31449.110386.880 3-114混凝土实心砖砌烟道10m3696.62318.7326.36 3-115烧结普通砖砌烟道10m3675.12688.4726.36 3-116耐火砖砌烟道10m3632.18616.520 3-117混凝土实心砖砌烟道内衬10m3584.81956.30 3-118烧结普通砖砌烟道内衬10m3563.32254.450 3-119耐火砖砌烟道内衬10m3632.18616.810 3-120耐酸砖砌烟道内衬10m31449.110386.880 3-121烟囱、烟道内涂刷沥青耐酸漆隔绝层100m2240.8818.940 3-122烟囱、烟道内涂刷水玻璃隔绝层100m2176.3679.460 3-123烟囱、烟道内涂刷沥青隔绝层100m2176.32226.520 3-124烟囱、烟道内涂刷耐酸砂浆隔绝层100m21724.32095.80 3-125烟囱、烟道内涂刷耐火泥隔绝层100m2378.4779.240 3-126混凝土实心砖砌水塔身10m36882238.1824.6 3-127烧结普通砖砌水塔身10m3666.52516.5324.6 3-128混凝土实心砖砌水塔水槽壁10m3868.62237.1824.6 3-129烧结普通砖砌水塔水槽壁10m3838.52515.5324.6 3-130块石砌池底10m3434.31500.4138.66 3-131块石砌池壁10m36021500.4138.66 3-132池壁 混凝土实心砖10m35162170.4624.01 3-133烧结普通砖砌池壁10m3498.82440.8124.01 3-134混凝土实心砖砌圆形仓筒壁10m36882236.5824.6 3-135烧结普通砖砌圆形仓筒壁10m3666.52514.9324.6 3-136混凝土实心砖砌沉井10m3563.32071.6622.84 3-137烧结普通砖砌沉井10m3546.12329.3122.84 4-1C10现浇现拌砼基础垫层浇捣10m3402.481818.4651.29 4-2C20现浇现拌毛石砼基础浇捣10m3296.71804.9335.45 4-3C20现浇现拌砼及钢筋砼基础浇捣10m3320.352007.3243.01 4-4C20现浇现拌砼地下室底板、满堂基础浇捣10m3347.012329.4343.014-5C20现浇现拌砼及钢筋砼直、弧形挡土墙、地下室墙浇捣10m3458.812305.9870.994-6C20现浇现拌毛石砼挡土墙浇捣10m3368.941785.6460.64 4-7C20现浇现拌砼矩形柱、异形柱、圆形柱浇10m3727.562004.670.99 4-8C20现浇现拌砼构造柱浇捣10m3903.861991.38107.57 4-9C20现浇现拌砼框架柱接头浇捣10m31033.292149.86107.57 4-10C20现浇现拌砼基础梁浇捣10m3319.062026.2870.994-11C20现浇现拌砼单梁、连续梁、异形梁、弧形梁、吊车梁浇捣10m3496.652035.8370.994-12C20现浇现拌砼圈、过梁、拱形梁浇捣10m3819.152079.22107.57 4-13C20现浇现拌砼薄腹屋面梁浇捣10m3553.412145.5370.99 4-14C20现浇现拌砼板浇捣10m3411.942244.8876.87 4-15C20现浇现拌砼拱板浇捣10m3673.382354.0876.87 4-16C20现浇现拌砼直形、弧形墙浇捣厚10cm以10m3776.582204.3107.57 4-17C20现浇现拌砼直形、弧形墙浇捣厚10cm以10m3770.132013.3770.99 4-18C20现浇现拌砼地下室底板后浇带浇捣10m3389.152352.3765.084-19C20现浇现拌砼梁、板后浇带浇捣板厚20cm以内10m3563.732137.2123.234-20C20现浇现拌砼梁、板后浇带浇捣板厚20cm以上10m3488.052110.69122.464-21C20现浇现拌砼墙后浇带浇捣10m3832.052038.66107.574-22C20现浇现拌砼直形楼梯浇捣10m2173.72498.0925.39 4-23C20现浇现拌砼弧形楼梯浇捣10m2215.86717.7837.37 4-24C20现浇现拌砼雨篷浇捣10m3608.452082.1179.49 4-25C20现浇现拌砼阳台浇捣10m3541.82096.0278.41 4-26C20现浇现拌砼栏板、翻檐浇捣10m31029.422197.95108.21 4-27C20现浇现拌砼檐沟、挑檐浇捣10m3898.72431.87129.85 4-28C20现浇现拌砼小型构件浇捣10m3890.532453.52107.82 4-29C20现浇现拌砼地沟、电缆沟浇捣10m3490.22093.87107.82 4-30C20现浇现拌砼屋顶水箱浇捣10m3706.492157.576.434-31C20现浇现拌砼水塔顶、槽底、水槽内外壁浇捣10m3759.812442.42211.794-32C20现浇现拌砼筒式水塔身浇捣10m3598.992078.42211.79 4-33C20现浇现拌砼柱式水塔身浇捣10m3802.382019.93211.79 4-34C20现浇现拌砼回廊及平台浇捣10m3644.572137.8232.41 4-35C20现浇现拌砼倒锥形水塔浇捣10m3625.652258.41211.79 4-36C20现浇现拌砼贮水(油)池池底浇捣10m3660.482102.1543.01 4-37C20现浇现拌砼贮水(油)池池壁浇捣10m3734.442010.9107.57 4-38C20现浇现拌砼贮水(油)池池盖浇捣10m3660.482123.28128.19 4-39C20现浇现拌砼无梁盖柱浇捣10m3652.742010.73107.57 4-40C20现浇现拌砼沉淀池、水槽、壁基梁浇捣10m3659.192080.45117.84 4-41C20现浇现拌砼贮仓壁浇捣10m3758.952005.89211.79 4-42C20滑升钢模浇钢筋砼筒仓浇捣 内径8m以内10m3770.132029.43509.25 4-43C20滑升钢模浇钢筋砼筒仓浇捣内径10m以内10m3694.452025.37403.15 4-44C20滑升钢模浇钢筋砼筒仓浇捣内径12m以内10m3580.52022.31263.45 4-45C20滑升钢模浇钢筋砼筒仓浇捣内径16m以内10m3522.452021.61218.734-46C20滑升钢模浇钢筋砼烟囱浇捣筒身高度60m以内10m3584.372024.89443.84-47C20滑升钢模浇钢筋砼烟囱浇捣筒身高度80m以内10m3597.72028.44350.64-48C20滑升钢模浇钢筋砼烟囱浇捣筒身高度100m以内10m3571.92018.98671.094-49C20滑升钢模浇钢筋砼烟囱浇捣筒身高度120m以内10m3565.452018.8527.244-50C20滑升钢模浇钢筋砼烟囱浇捣筒身高度150m以内10m3526.752015.85480.314-51C20滑升钢模浇钢筋砼烟囱浇捣筒身高度180m以内10m3545.672015.85266.84-52C20滑升钢模浇钢筋砼烟囱浇捣筒身高度210m以内10m3483.752015.85266.84-53C20现浇现拌砼地沟底浇捣10m3340.992021.5550.92 4-54C20现浇现拌砼地沟壁浇捣10m3679.832015.3107.82 4-55C20现浇现拌砼地沟顶浇捣10m3381.412073.86128.44 4-56C20现浇现拌砼矩形、圆形沉井壁浇捣10m3657.91982.5570.74 4-57沉井铺抽枕木、回填砂石10m167.71676.1722.6 4-58沉井铁刃脚单面焊接安装t296.76075.24287.28 4-59沉井铁刃脚双面焊接安装t352.66126.54347.814-60沉井人工挖土(下沉明排水)全深10m以内一、二类土10m3408.50348.54-61沉井人工挖土(下沉明排水)全深10m以内三类土10m3421.40404.594-62沉井人工挖土(下沉明排水)全深10m以内四类土10m3567.60552.84-63沉井人工挖土(下沉明排水)全深20m以内一、二类土10m3477.30384.564-64沉井人工挖土(下沉明排水)全深20m以内三类土10m3494.50440.644-65沉井人工挖土(下沉明排水)全深20m以内四类土10m36020600.874-66沉井砂封底10m3220.597600 4-67沉井碎石封底10m3273.05922.670 4-68沉井块石封底10m3318.2881.020 4-69C20沉井毛石砼封底10m3722.41790.0342.2 4-70C20沉井砼、钢筋砼封底10m3761.11992.9550.92 4-71设备基础水泥砂浆二次灌浆10m31427.62830.9134.09 4-72C20设备基础细石砼二次灌浆10m314192625.9484.84 4-73C10现浇泵送商品砼基础垫层浇捣10m3131.582658.549.48 4-74C20现浇泵送商品毛石砼基础浇捣10m3112.232682.68 1.98 4-75C20现浇泵送商品砼及钢筋砼基础浇捣10m3116.13077.96 2.614-76C25现浇泵送商品砼地下室底板、满堂基础浇捣10m3104.493313.15 2.614-77C25现浇泵送商品砼及钢筋砼挡土墙、地下室墙(直、弧形)浇捣10m3189.633289.7 4.354-78C20现浇泵送商品毛石砼挡土墙浇捣10m3155.232663.39 3.624-79C20现浇泵送商品砼矩形柱、异形柱、圆形柱浇捣10m3391.733075.24 4.354-80C20现浇泵送商品砼构造柱浇捣10m3683.73062.02 6.57 4-81C20现浇泵送商品砼框架柱接头浇捣10m3722.43064.35 6.57 4-82C20现浇泵送商品砼基础梁浇捣10m3131.153096.92 4.354-83C20现浇泵送商品砼单梁、连续梁、异形梁、弧形梁、吊车梁浇捣10m3219.33106.47 4.354-84C20现浇泵送商品砼圈、过梁、拱形梁浇捣10m33443149.86 6.57 4-85C20现浇泵送商品砼薄腹屋面梁浇捣10m3219.33109.86 4.35 4-86C20现浇泵送商品砼板浇捣10m3204.253209.2110.08 4-87C20现浇泵送商品砼拱板浇捣10m33013318.4110.084-88C20现浇泵送商品砼直形、弧形墙浇捣厚10cm以内10m3307.023118.79 6.574-89C20现浇泵送商品砼直形、弧形墙浇捣厚10cm以上10m3341.423084.01 4.354-90C25现浇泵送商品砼地下室底板后浇带浇捣10m3135.453350.72 3.624-91C20现浇泵送商品砼梁、板后浇带浇捣板厚20cm以内10m3191.353223.5718.794-92C20现浇泵送商品砼梁、板后浇带浇捣板厚20cm以上10m3156.953197.0619.044-93C20现浇泵送商品砼墙后浇带浇捣10m3361.23125.21 6.57 4-94C20现浇泵送商品砼直形楼梯浇捣10m275.25754.35 1.55 4-95C20现浇泵送商品砼弧形楼梯浇捣10m2103.21086.94 2.22 4-96C20现浇泵送商品砼雨篷浇捣10m3341.853150.757.28 4-97C20现浇泵送商品砼阳台浇捣10m3328.953166.367.28 4-98C20现浇泵送商品砼栏板、翻檐浇捣10m3634.683112.45 6.57 4-99C20现浇泵送商品砼檐沟、挑檐浇捣10m3395.63346.3623.88 4-100C20现浇泵送商品砼小型构件浇捣10m3623.53275.75 6.57 4-101C20现浇泵送商品砼地沟、电缆沟浇捣10m3326.83164.51 6.57 4-102C20现浇泵送商品砼屋顶水箱浇捣10m3468.73121.838.684-103C25现浇泵送商品砼塔顶、槽底、水箱内外壁浇捣10m3296.73431.02116.24-104C20现浇泵送商品砼筒式塔身浇捣10m3218.443154.37116.2 4-105C20现浇泵送商品砼柱式塔身浇捣10m3313.93095.87116.2 4-106C20现浇泵送商品砼回廊及平台浇捣10m3226.613213.75133.51 4-107C20现浇泵送商品砼倒锥形水塔浇捣10m3279.53227.52116.2 4-108C20现浇泵送商品砼贮水(油)池池底浇捣10m32153172.79 2.61 4-109C20现浇泵送商品砼贮水(油)池池壁浇捣10m3265.313086.84 6.57 4-110C20现浇泵送商品砼贮水(油)池池盖浇捣10m3220.163199.2223.884-111C20现浇泵送商品砼无梁盖柱浇捣10m3292.833086.68 6.57 4-112C25现浇泵送商品砼沉淀池水槽、壁基梁浇10m3226.183380.7915.23 4-113C20现浇泵送商品砼贮仓壁浇捣10m3260.153162.22116.24-114C20滑升钢模浇泵送钢筋砼筒仓浇捣内径8m以内10m3221.883105.37158.824-115C20滑升钢模浇泵送钢筋砼筒仓浇捣内径10m以内10m3194.363101.32133.094-116C20滑升钢模浇泵送钢筋砼筒仓浇捣内径12m以内10m3153.943098.2591.414-117C20滑升钢模浇泵送钢筋砼筒仓浇捣内径16m以内10m3133.33097.5579.414-118C20滑升钢模浇泵送钢筋砼烟囱浇捣筒身高度60m以内10m3155.233100.83231.094-119C20滑升钢模浇泵送钢筋砼烟囱浇捣筒身高度80m以内10m3160.823093.93182.494-120C20滑升钢模浇泵送钢筋砼烟囱浇捣筒身高度100m以内10m3151.363094.92519.284-121C20滑升钢模浇泵送钢筋砼烟囱浇捣筒身高度120m以内10m3148.353094.75402.044-122C20滑升钢模浇泵送钢筋砼烟囱浇捣筒身高度150m以内10m3134.593091.8364.254-123C20滑升钢模浇泵送钢筋砼烟囱浇捣筒身高度180m以内10m3141.473091.8205.274-124C20滑升钢模浇泵送钢筋砼烟囱浇捣筒身高度210m以内10m3119.543091.8205.274-125C20现浇泵送商品砼地沟底浇捣10m3103.23092.199.48 4-126C20现浇泵送商品砼地沟壁浇捣10m3219.33076.29 6.57 4-127C20现浇泵送商品砼地沟顶浇捣10m3117.823134.8523.88 4-128C20现浇泵送商品砼矩形、圆形沉井壁浇捣10m3163.43052.31 4.35 4-129C20现浇泵送商品毛石砼沉井封底10m3191.352666.897.9 4-130C20现浇泵送商品砼、钢筋砼沉井封底10m3193.53063.599.48 4-131C20现浇泵送商品细石砼设备基础二次灌浆10m3626.943407.5316.95 4-132砼搅拌10m367.940.8352.16 4-133砼泵送 檐高60m以内10m317.2442.8 4-134砼泵送 超60m每增加10m10m30.860.2 2.14 4-135现浇砼基础垫层模板100m21150.251105.776.42 4-136现浇砼带形无梁式基础组合钢模100m21145.52981.9898 4-137现浇砼带形无梁式基础复合木模100m2993.3985.9242.1 4-138现浇砼带形有梁式基础组合钢模100m21100.8937.55121.47 4-139现浇砼带形有梁式基础复合木模100m2946121581.46 4-140现浇砼独立基础组合钢模100m21021.68958.5885.1 4-141现浇砼独立基础复合木模100m2887.951218.5853.04 4-142现浇砼杯形基础组合钢模100m21229.8971.9880.44 4-143现浇砼杯形基础复合木模100m21062.11125.7763.3 4-144现浇砼地下室底板、有梁式满堂基础组合钢100m21212.61087.688.85 4-145现浇砼地下室底板、有梁式满堂基础复合木100m21070.7974.5653.16 4-146现浇砼地下室底板、无梁式满堂基础组合钢100m21290987.7779.88 4-147现浇砼地下室底板、无梁式满堂基础复合木100m21173.9935.1243.35 4-148基础模板侧边弧形增加费每10m22.3617.46 1.794-149现浇砼设备基础组合钢模单个块体体积5m3以内100m21359.231157.96114.714-150现浇砼设备基础复合木模单个块体体积5m3以内100m21142.941288.3163.984-151现浇砼设备基础组合钢模单个块体体积5m3以上100m21313.221002.8196.684-152现浇砼设备基础复合木模单个块体体积5m3以上100m21121.871178.6261.384-153设备螺栓套 长度50cm以内10个43125.25 4.35 4-154设备螺栓套 长度每增加50cm10个34.4123.1 4.35 4-155现浇砼矩形柱 组合钢模100m21487.81081.03155.94 4-156现浇砼矩形柱 复合木模100m212041337.56118.07 4-157现浇砼异形柱 组合钢模100m21672.71211.23176.36 4-158现浇砼异形柱、圆形柱 复合木模100m21767.31779.8126.11 4-159现浇砼框架柱接头模板100m2451.52192.5953.46 4-160现浇砼柱支模超高每增加1m100m283.8560.63 5.41 4-161现浇砼基础梁 组合钢模100m21228.941276.79206.13 4-162现浇砼基础梁 复合木模100m21046.621571.22152.14 4-163现浇砼弧形基础梁模板100m21440.52469.8381.11 4-164现浇砼矩形梁 组合钢模100m21825.781405.03219.18 4-165现浇砼矩形梁 复合木模100m21502.851656.34174.59 4-166现浇砼异形梁模板100m21868.782048.7376.15 4-167现浇砼弧形梁模板100m21917.82322.9784.8 4-168现浇砼拱形梁模板100m22326.32790.49114.02 4-169现浇砼直形圈过梁 组合钢模100m21607.77993.42144.16 4-170现浇砼直形圈过梁 复合木模100m21308.49868.4144.82 4-171现浇砼弧形圈、过梁模板100m21904.91089.9551.66 4-172梁支模超高每增加1m100m2141.9102.5416.02 4-173现浇砼板 组合钢模100m21272.81159.49171.74 4-174现浇砼板 复合木模100m29461428.26136.13 4-175现浇砼无梁板 组合钢模100m21023.41263.72119.01 4-176现浇砼无梁板 复合木模100m2786.91376.9993.84 4-177现浇砼拱形板模板100m22055.42674.6691.54 4-178现浇砼薄壳屋盖模板100m22549.91539.19121.68 4-179弧形板增加费10m47.3129.69 3.84 4-180板支模超高每增加1m100m2107.5122.4819.31 4-181现浇砼直形墙 组合钢模100m212041048.73153.78 4-182现浇砼直形墙 复合木模100m2892.251222.9777.75 4-183现浇砼弧形墙模板100m21311.52221.8599.75 4-184现浇砼直形地下室外墙 组合钢模100m212041020.38122.01 4-185现浇砼直形地下室外墙 复合木模100m2954.61235.5577.84 4-186现浇砼弧形地下室外墙模板100m21268.52070.7480.89 4-187现浇砼大钢模板墙模板100m2399.47493.6260.76 4-188墙支模超高每增加1m100m283.8558.25 5.66 4-189现浇砼直形楼梯模板408.5439.2133.56 4-190现浇砼弧形楼梯模板703.051069.5275.71 4-191线条模板增加费 三道以内每100m75.68321.7710.15 4-192线条模板增加费 三道以上每100m127.71544.6715.23 4-193现浇砼全悬挑阳台、雨篷模板288.1212.2621.74 4-194现浇砼直形栏板、翻檐模板100m21182.5917.9374.92 4-195现浇砼弧形栏板、翻檐模板100m21625.41197.6338.7 4-196现浇砼檐沟、挑檐模板100m21723.87961.897.35 4-197现浇砼小型池槽模板100m21522.21306.8962.95 4-198现浇砼地沟、电缆沟模板100m2851.41202.3446.38 4-199现浇砼小型构件模板100m213762158.3184.14 4-200现浇砼屋顶水箱模板100m2855.71110.2163.63 4-201地下室底板后浇带模板增加费10m90.3128.66 3.44 4-202梁板后浇带模板增加费 板厚20cm以内10m122.12187.3914.95 4-203梁板后浇带模板增加费 板厚20cm以上10m122.55203.4514.08 4-204墙后浇带模板增加费 厚20cm以内10m83.85144.117.25 4-205墙后浇带模板增加费 厚20cm以上10m98.9172.497.56 4-206烟囱筒身液压滑升钢模 高度60m以内10m339132812.24342.86。
【实用】实习工作总结三篇总结是对某一特定时间段内的学习和工作生活等表现情况加以回顾和分析的一种书面材料,它能够使头脑更加清醒,目标更加明确,因此十分有必须要写一份总结哦。
总结怎么写才能发挥它的作用呢?下面是整理的实习工作总结3篇,仅供参考,希望能够帮助到大家。
经过这一年的实习,我学会了许多,也成长了许多。
尤其,我实习所在的律师事务所以及我的指导律师,为帮助我尽快的从一名实习律师成长为一名合格的执业律师,付出了极大的心血与艰辛的努力,借此机会,我对给予我极大帮助的律师事务所以及指导律师表示深深的感谢。
经过这一年的实习,我熟知并领会了最基本的律师职业道德与准则。
我知道要想成长为一名合格的执业律师,应该时刻谨记律师职业道德与准则。
诚信做人,认真做事,忠于事实,忠于法律,全心全意为当事人提供最优质的法律服务。
在我今后的律师职业生涯中,争取将每一个案件做成精品,不求达到令每一个当事人满意,但至少要尽力做到无愧我心,无愧我心中对法律的信仰。
经过这一年的实习,我掌握了最基本的案件处理流程,在协助指导律师处理具体案件的过程中,我不仅学会如何起草各种法律文书,还学会了如何分析案情。
在沟通成为时代主旋律的大背景下,我最大的收获是学会了与人沟通,学会了站在对方的角度思考问题,寻求问题的解决方案。
经过这一年的实习,我还深刻的认识到,要成长为一名合格的执业律师,还要具备较强的学习能力,不仅要不断学习业务理路知识,还要不断学习与之相关联的各学科知识。
实习岁月已经结束,即将迎来我的职业生涯,我希望用自己的汗水与辛勤的努力,做好个人工作计划,书写新的篇章。
经历三个星期的生产实习终于结束了,在**公司工作的这几天,我和公司的职工甚至领导都相处得很是融洽,大家对我也关怀备至,时常给我鼓励和帮助;我工作的时候也是兢兢业业,不仅顺利完成工作任务,工作之余还经常总结经验教训,不断提高工作效率,虽说工作中我也会犯一些错误,从而受到领导批评,但我认为这些错误和批评是能极大的促进我的工作热情,让我能在以后的工作中谨慎小心,提高工作效率。
浙江省建筑预算定额习题⼀写出下列项⽬的定额编号,计量单位、基价(如需换算,应列出换算式)①⼚房⼈⼒综合挖填地坑三类湿⼟,H=4m,桩基础:1—2H 27.15*1.05*1.06*1.08=32.635元/⽶3②房屋⼈⼒地槽综合挖⼆类湿⼟,地槽宽 3.5m,下有桩基,H=4.5m1—1H 21.67*1.05*1.05*1.06*1.08=27.351 元/⽶3③烟囱⼈⼒基础挖三类湿⼟,H=5.5m1—11H 15.08*1.153*1.18=27.063元/⽶3④⼈⼒车运三类湿⼟,运距S=465m1—20+1—21*9 (5.2+1.16*9)*1.18=18.455 元/⽶3⑤C25现浇钢筋混凝⼟杯形基础浇捣(商品泵送混凝⼟)上册P146、下册P2844—75H 319.7+(317-299)*1.015+228.22*0.004= 338.88元/⽶3⑥振动式混凝⼟灌注桩,H=25m,有钢筋笼2—43H 77.5+(33.11+36.483)*0.15=87.939元/⽶3⑦反铲挖机挖⼟、装⼟,⾃卸汽车运⼟,⼆类⼟,S=800m,H=5m,含⽔率30% 上册P2 ⼋、6 上册P19 下注1—43 + 1—67 3.524*1.15+5.195=9.248 元/⽶3⑧静⼒压Φ500预应⼒钢筋混凝⼟管桩,试桩上册P31 ⼋、2—28H 15.2+(2.1887+11.4492)*0.5=22.019元/⽶3习题⼆试计算图下图所⽰基础⼟⽅(三类⼟)、C10混凝⼟垫层、C20钢筋混凝⼟基础、M10⽔泥砂浆砌筑混凝⼟实⼼砖基础的⼯程量并套⽤定额。
(交付施⼯场地标⾼为-0.3)(商品泵送混凝⼟)套定额解:基础⼟⽅的⼯程量及直接⼯程费判定套⽤⼈⼯⼟⽅房屋基础⼟⽅综合定额H=1.7m,H湿=1.0m,C=0.3m,K=0.33m1—1剖⾯基础⼟⽅B1-1=1.5+0.2=1.7(m)L1-1外=10.8×2=21.6(m),L1-1内=10.8-1.7=9.1(m)L1-1=21.6+9.1=30.7(m)V1-1全=(1.7+2×0.3+0.33×1.7)×1.7×30.7=149.32(m3)V1-1湿=(1.7+2×0.3+0.33×1.0)×1.0×30.7=80.74(m3)V1-1⼲ =149.32-80.74=68.58(m3)2—2剖⾯基础⼟⽅ B2-2=1.7+0.2=1.9(m)L2-2=(4.5-1.5)×4+9×2=30(m)V2-2全=(1.9+2×0.3+0.33×1.7)×1.7×30=156.11(m3)V2-2湿=(1.9+2×0.3+0.33×1.0)×1.0×30=84.90(m3)V2-2⼲=156.11-84.90=71.21(m3)套定额计算直接⼯程费,见下表(2)C10混凝⼟垫层:(商品泵送混凝⼟)L1-1=30.7m, L2-2=30m浇捣⼯程量:V=1.7*0.1*30.7+1.9*0.1*30=10.92(m3)套定额4-73 280元/m3模板⼯程量S=10.92*1.94=21.18(m2)套定额4-135 23.32元/m2(3)C20钢筋混凝⼟基础:(商品泵送混凝⼟)L1-1=30.7m, L2-2=30m浇捣⼯程量:V=[1.5*0.2+0.15*(0.46+1.5)/2+0.46*0.45]*30.7+[1.7*0 .2+0.15*(0.46+1.7)/2+0.46*0.45]*30+[1/6*(2*0.46+1.7 )*0.15+0.45*0.46]*8*(1.5-0.46)/2+[1/6(2*0.46+1.5)*0 .15*+0.45*0.46]*2*(1.5-0.46)/2=20.078+21.27+1.134+0.278=42.76 (m3)套定额4-75 319.7元/m3模板⼯程量S=42.76*3.16=135.12(m2)套定额4-139 22.42元/㎡(4)M5⽔泥砂浆砌筑标准砖基础:L外=(3.6*3+4.5*2)*2=39.6mL内=3.6*3-0.24+(4.5-0.24)*4=27.6mH=1.1+2*(0.06*0.12)/0.24=1.16mV=1.16*(39.6+27.6)*0.24=18.71(m3)套定额3-13 250.3(元/m3)习题三试计算下图所⽰基础⼟⽅(⼆类⼟),C10混凝⼟垫层、C25钢筋混凝⼟基础、M10⽔泥砂浆砌筑混凝⼟实⼼砖基础的⼯程量并套⽤定额。
《浙江省建筑工程预算定额》定额库
浙江省建筑工程预算定额是根据国家有关建筑工程计价和定额的法律
法规、规范以及浙江省的实际情况编制的,旨在规范浙江省建筑工程项目
的预算编制工作,实现工程质量、工程造价和工程施工进度的有机统一2024版的《浙江省建筑工程预算定额》是建筑工程预算定额库的一
部分。
该定额库以《浙江省建筑工程预算定额》为主体,包含了建筑工程
的各个工程项目的定额数据,如土建工程、安装工程、装饰装修工程等。
每个工程项目都有详细的定额数据,包括工程量、定额单位工程量、价格、工程规模等。
这些定额数据是根据浙江省实际情况进行编制的,可以为建
筑工程项目的预算编制提供参考依据。
《浙江省建筑工程预算定额》定额库主要的作用是为建筑工程项目的
预算编制提供方便和准确的数据,以保证预算的准确性和合理性。
利用定
额库,可以快速计算出建筑工程项目的每个工程项目的预算,并根据具体
的情况进行调整和修正,从而确保项目的预算完整、科学和合理。
除了为建筑工程项目的预算编制提供数据支持外,定额库还可以用于
工程项目的招投标、合同签订和工程造价控制。
在招投标环节,可以根据
定额库提供的定额数据,确定工程项目的投标价;在合同签订环节,则可
以根据定额库提供的定额数据,确定工程项目的合同价格;在工程施工的
过程中,可以根据定额库提供的定额数据,进行工程造价的跟踪和控制,
确保工程项目的经济效益和质量安全。
总之,2024版的《浙江省建筑工程预算定额》定额库是建筑工程项
目预算编制的重要参考工具,为建筑工程项目的预算编制、招投标、合同
签订和工程造价控制提供了可靠的基础数据。
总说明《浙江省房屋建筑与装饰工程预算定额(2018版)》(以下简称本定额)是根据省住房和城乡建设厅、省发展和改革委、省财政厅《关于组织编制<浙江省房屋建筑与装饰工程预算定额(2018版)>的通知》(建建发[2017]166号),依据国家、省有关现行产品标准、设计规范和施工验收规范、质量评定标准、安全技术操作规程,结合《浙江省建筑工程预算定额(2010版)》、《房屋建筑与装饰工程消耗量定额》(TY01-31-2015)、《房屋建筑与装饰工程工程量计算规范》(GB50854-2013)等。
一、定额的编制原则及依据(一)编制原则1.符合国家现行法律、法规、标准规范和工程造价改革的要求。
2.定额水平要体现以社会平均水平为原则,在保证工程质量的前提下,维护建设工程各方的合法权益。
3.计价定额要体现简明适用原则,定额的实用性和可操作性要强,有利于工程量清单报价、有利于企业内部的经济核算和成本分析、有利于计算机软件的开发和应用。
4.定额编制应以充分体现国家相关政策及施工新规范和新标准为原则,贴近工程实际,满足各方需求。
(二)编制依据1.《房屋建筑与装饰工程工程量计算规范》(GB50854-2013);2.《房屋建筑与装饰工程消耗量定额》(TY01-31-2015);3.《建筑工程建筑面积计算规范》(GB/T50353-2013)4.《建设工程劳动定额》(建设工程)(LD/T 72.1~11—2008);5.《建设工程劳动定额》(装饰工程)(LD/T 73.1~4—2008);6.《建筑安装工程工期定额》(TY01-89-2016);7.《建设工程施工机械台班费用编制规则》;8.《装配式建筑工程消耗量定额》(TY01-01(01)-2016);9.《绿色建筑工程消耗量定额》(TY01-01(02)-2017);10.《浙江省建筑工程预算定额》(2010版);11.浙江省2018版计价依据编制统一性技术规定、《浙江省房屋建筑与装饰工程预算定额》(2018版)编制方案、成熟推广的新工艺、新技术、新结构、施工现场测定资料、实验资料和统计资料、建筑工程其他现行的相关标准、规范等。
下载地址:本定额是“工程定额电子查阅系统”定额库的定额之一,能够单独利用。
假设要实现对定额的海量搜索和查阅,请看以下介绍:“工程定额电子查阅系统”及建筑、装饰、安装、市政、园林、水电、公路、通信、冶金矿山井巷、城市轨道、抗震加固、人防、地铁工程定额库简介本“工程定额电子查阅系统”由工程定额库电子版与工程定额电子查阅程序组成。
目前本系统已含有十五个省或直辖市的建筑、装饰、安装、市政、园林、衡宇修缮、市政养护维修、城市环境卫生作业、仿古建筑、抗震加固、人防、地铁工程定额库和水电、公路、通信、冶金矿山井巷、城市轨道专业工程定额库,可实现对定额的海量搜索,对工程造价工作有专门大的帮忙作用。
“工程定额电子查阅系统”具有壮大的搜索功能,专门是能一次性在各省市、各行业全数定额库中搜索所有含查询字的定额,列出搜索结果清单,点取搜索结果清单中的任意条款,可即时查阅所有搜索到的定额;可按查询字在当前定额中搜索子目,也可按定额章节查阅定额。
本系统定额库数据包括定额数量、基价、工作内容、章节说明、配合比、台班定额等。
本系统还有自动检错功能, 定额计算结果不符时,会自动按工费、料费、机械费别离给出相应提示。
本系统将接踵注入一些省市和一些行业的工程定额,并在网页随时增加相关定额附件、更新系统程序,请持续关注该网页!本系统定额库已注入的定额包括浙江、山西、陕西、河南、湖南、天津、山东、北京、江苏、新疆、宁夏、四川、重庆、广东、湖北、水电、公路、城市轨道、通信、冶金矿山井巷工程等定额(详见后附“系统定额库已含有的定额列表”),在网页下载后即可查阅列表中的全数定额。
***********************************************************系统定额库已含有的定额列表:浙江省安装工程预算定额(2003)浙江省园林绿化及仿古建筑工程预算定额(2003)杭州市市政设施养护维修定额(2003)浙江省建筑工程预算定额(2003)浙江省市政工程预算定额(2003)杭州市地铁工程要紧项目编审指标(2002)杭州市地铁工程预算定额(2006)山西省安装工程消耗量定额(2005) 电子查阅版山西省建筑装饰工程消耗量定额(2005)电子查阅版山西省园林绿化工程消耗量定额(2005)电子查阅版山西市政保护工程预算定额(2005) 电子查阅版山西省仿古建筑工程预算定额(2005)电子查阅版山西省市政工程消耗量定额(2005)电子查阅版太原市修缮安装工程预算定额(2005)电子查阅版太原市修缮土建工程预算定额(2005)陕西省安装工程消耗量定额(2006)陕西省市政工程消耗量定额(2006)陕西省建筑工程消耗量定额(2006)陕西省园林工程消耗量定额(2006)湖南省仿古建筑及园林景观工程消耗量标准(2006)湖南省路灯安装工程预算定额(2004)湖南省建筑装饰装修工程消耗量标准(2006)湖南省市政工程消耗量标准(2006)河南省安装工程工程量清单综合单价(2020)河南省仿古建筑工程计价综合单价(2020)河南省园林工程工程量清单综合单价(2020)河南省建筑工程工程量清单综合单价(2020)河南省市政工程工程量清单综合单价(2020)河南省装饰工程工程量清单综合单价(2020)天津市安装工程预算基价(2020)天津市建筑工程预算基价(2020)天津市人防工程预算基价(2020)天津市市政工程预算基价(2020)天津市市政设施维修养护定额(2020)天津市园林工程预算基价(2020)天津市装饰装修工程预算基价(2020)山东省会市环境卫生作业计价定额(2005)山东省市政养护维修工程消耗量定额(2005)山东安装工程消耗量定额(2020基价)山东省衡宇修缮工程计价定额(2020)山东省仿古建筑工程计价定额(2020)山东省建筑工程消耗量定额(2006基价)山东省市政工程消耗量定额(2006基价)北京市安装工程单位估价表(2001)北京市衡宇修缮工程预算定额(2005)北京市建设工程概算定额(2004)北京市建筑工程预算定额(2001)北京市市政维修工程预算定额(97)全统安装乌鲁木齐地域单位估价汇总表(2004)全统建筑定额乌鲁木齐地域参考单价(2004)全统仿古建筑及园林定额新疆估价表(98)全统装饰工程消耗量定额新疆价目表(2003)新疆衡宇修缮工程预算定额(1999)全统市政工程预算定额新疆伊犁估价表(2002)全统建筑定额伊犁地域单位估价汇总表(2004)新疆区公路大体建设工程预算定额1996江苏省市政工程计价表2004江苏省建筑与装饰工程计价表2004江苏省安装工程计价表2004江苏省园林工程计价表2007四川省安装工程计价定额2020四川省仿古园林及维修工程计价定额2000四川省建筑装饰工程计价定额2020四川省抗震加固工程计价定额2020四川省市政工程计价定额2020四川省园林绿化工程计价定额2020宁夏安装工程计价定额2020宁夏建筑装饰装修工程计价定额2020宁夏市政工程计价定额2020宁夏园林绿化工程计价定额2020重庆市安装工程计价定额2020重庆市维修工程计价定额2020重庆市园林工程计价定额2020重庆市市政工程计价定额(2020)重庆市建筑装饰工程计价定额2020湖北省安装工程消耗量定额(2020)全统湖北衡宇修缮工程预算定额(2003)湖北省园林工程消耗量定额(2020)湖北省市政工程消耗量定额(2020)湖北省建筑装饰工程消耗量定额(2020)全国仿古建筑工程预算定额湖北省统一基价表(2006)水电安装预算定额2003版水电建筑预算定额2004版冶金工业建设工程预算定额2001版冶金矿山安装定额2006版冶金矿山井巷定额2006版全国城市轨道交通工程定额(2020)通信建设工程预算定额(2020)交通部公路大体建设工程综合指标(1996)交通部公路大体建设工程分项指标(1996)交通部公路大体建设工程概算定额2007交通部公路大体建设工程预算定额(2007)广东省公路大体建设工程预算定额1996广东省建筑与装饰工程综合定额(2020版)广东省土建装饰综合定额(2006版)广东省装饰工程综合定额(2006版)广东省市政工程综合定额(2020版)广东省市政工程综合定额(2006版)广东省园林工程综合定额(2020版)广东省园林工程综合定额(2006版)广东省安装工程综合定额(2020版)广东省安装工程综合定额(2006版)广州市衡宇修缮建筑工程预算定额(1998版)。
浙江省建筑工程预算定额(2003)一、《浙江省建筑工程预算定额》(2003版)(以下简称本定额)是根据省建设厅、省计委、省财政厅联合颁发的《关于组织编制<浙江省建设工程计价依据和计价办法的通知>》[建建发(2002)100号]及其有关规定,在《全国统一建筑工程基础定额》(GJD-101-95)和《浙江省建筑工程预算定额》(1994年)的基础上,结合本省实际情况编制的。
二、本定额按照国家标准GB50500-2003的要求及"政府宏观调控、企业自主报价、市场竞争形成价格"的改革思路进行管理、使用。
是编审工程标底、设计概算、施工图预算、竣工结算,调解处理工程造价纠纷,鉴定工程造价的依据;是工程量清单计价、投标报价、界定工程成本价的基础。
三、本定额适用于本省区域内的工业与民用建筑的新建、扩建、改建工程。
不适用于修建和其他专业工程,也不适用于国防、科研等有特殊要求的工程及实行产品出厂价格的各类建筑构配件。
四、本定额是按现行的建筑工程及施工验收规范、质量评定标准和安全操作规程,根据合理的施工组织和正常的施工条件编制的,是本省境内完成规定计量单位建筑分项工程所需的人工、材料、机械台班消耗量标准,它反映了本省社会平均消耗量水平。
企业可根据工程的特点并结合自身的技术力量和管理水平合理调整和换算。
五、定额的工作内容扼要地说明了主要工序,次要工序虽未一一列出,定额均已考虑。
六、本定额未包括的项目,可参照本省其他相应工程计价定额(单估表)计算,如仍缺项的,可由当地市级造价管理机构编制地区性补充定额,报省造价管理总站备案;或由预(结)算编制单位根据设计要求、结合工程实际情况、按照本定额编制原则,编制一次性补充定额,在预(结)算审查时审定,报当地造价管理站备案。
七、有关定额人工的说明和规定1、本定额的人工消耗量是以现行全国建筑安装工程统一劳动定额为基础,并结合本省实际情况编制的,已考虑了各项目施工操作的直接用工、其他用工(材料超运距、工种搭接、安全和质量检查以及临时停水、停电等)及人工幅度差。
定额号名称单位人工费材料费机械费1-1人工挖槽坑 深3m以内 一、二类土100m32132035.3 1-2人工挖槽坑 深3m以内 三类土100m32680035.3 1-3人工挖槽坑 深3m以内 四类土100m33308035.3 1-4人工挖一般土方 一、二类土100m337200 1-5人工挖一般土方 三类土100m368000 1-6人工挖一般土方 四类土100m3106000 1-7人工挖地槽、地坑 深1.5m以内 一、二类土100m370800 1-8人工挖地槽、地坑 深1.5m以内 三类土100m3126000 1-9人工挖地槽、地坑 深1.5m以内 四类土100m3189200 1-10人工挖地槽、地坑 深3m以内 一、二类土100m396400 1-11人工挖地槽、地坑 深3m以内 三类土100m3150800 1-12人工挖地槽、地坑 深3m以内 四类土100m3213200 1-13人工挖淤泥100m3203600 1-14人工挖流砂100m3302400 1-15人工平整场地100m217200 1-16人工原土打夯100m22808.72 1-17人工就地回填土 松填100m324400 1-18人工就地回填土 夯实100m3536043.58 1-19人工借土回填夯实100m3232043.58 1-20人力车运土 运距50以内100m352000 1-21人力车运土 运距1000m以内每增加50m100m311600 1-22机械平整场地 ±30cm以内1000m2320331.76 1-23机械原土碾压1000m232068.88 1-24内燃压路机填土碾压二遍1000m32120741.31 1-25振动压路机填土碾压二遍1000m32120715.65 1-26挖掘机一般开挖 一、二类土1000m319201931.64 1-27挖掘机一般开挖 三类土1000m319202265.54 1-28挖掘机一般开挖 四类土1000m319202714.33 1-29反铲挖掘机挖一、二类土 深度2m以内1000m3113602014.18 1-30反铲挖掘机挖一、二类土 深度4m以内1000m373201795.18 1-31反铲挖掘机挖一、二类土 深度6m以内1000m382802078.88 1-32反铲挖掘机挖一、二类土 深度6m以上1000m374002391.21 1-33反铲挖掘机挖三类土 深度2m以内1000m3189202254.75 1-34反铲挖掘机挖三类土 深度4m以内1000m3104002024.96 1-35反铲挖掘机挖三类土 深度6m以内1000m3110802341.02 1-36反铲挖掘机挖三类土 深度6m以上1000m398402685.71 1-37反铲挖掘机挖四类土 深度2m以内1000m3275202506.11 1-38反铲挖掘机挖四类土 深度4m以内1000m3139602276.32 1-39反铲挖掘机挖四类土 深度6m以内1000m3142802588.65 1-40反铲挖掘机挖四类土 深度6m以上1000m3126002976.471-41反铲挖掘机挖土、装车 一、二类土深度2m以内1000m3113602588.651-42反铲挖掘机挖土、装车 一、二类土深度4m以内1000m373202341.021-43反铲挖掘机挖土、装车 一、二类土深度6m以内1000m382802696.091-44反铲挖掘机挖土、装车 一、二类土深度6m以上1000m374003080.581-45反铲挖掘机挖土、装车 三类土 深度2m以内1000m3189202883.14 1-46反铲挖掘机挖土、装车 三类土 深度4m以内1000m3104002621 1-47反铲挖掘机挖土、装车 三类土 深度6m以内1000m3110802987.25 1-48反铲挖掘机挖土、装车 三类土 深度6m以上1000m398403436.05 1-49反铲挖掘机挖土、装车 四类土 深度2m以内1000m3275203173.91 1-50反铲挖掘机挖土、装车 四类土 深度4m以内1000m3139602904.711-51反铲挖掘机挖土、装车 四类土 深度6m以内1000m3142803278.02 1-52反铲挖掘机挖土、装车 四类土 深度6m以上1000m3126003769.95 1-53机械挖淤泥、流砂 不装车 深度6m以内1000m340004569.1 1-54机械挖淤泥、流砂 不装车 深度6以上1000m346005254.95 1-55机械挖淤泥、流砂 装车 深度6m以内1000m346005254.95 1-56机械挖淤泥、流砂 装车 深度6m以上1000m352906043.24 1-57推土机推土 运距20m以内 一、二类土1000m319201552.41 1-58推土机推土 运距20m以内 三类土1000m319201686.48 1-59推土机推土 运距20m以内 四类土1000m319202046.36 1-60推土机推土 每增加10m1000m300564.51 1-61铲运机铲运土方 运距200m以内 一、二类土1000m319203520.53 1-62铲运机铲运土方 运距200m以内 三类土1000m319204771.37 1-63铲运机铲运土方 运距200m以内 四类土1000m319205971.27 1-64铲运机铲运土方 每增加50m1000m300734.88 1-65人工装土1000m3451200 1-66装载机装土1000m319201170.57 1-67自卸汽车运土1000m以内1000m319205003.49 1-68自卸汽车运土每增加1000m1000m3001259.9 1-69一般开挖软石100m3204283.98249.87 1-70一般开挖次坚石100m3284357.4413.06 1-71一般开挖普坚石100m3412459.28661.47 1-72一般开挖特坚石100m3532586.01900.95 1-73挖软石沟槽、基坑100m3572739.44671.05 1-74挖次坚石沟槽、基坑100m3816945.961130.91 1-75挖普坚石沟槽、基坑100m311681226.231819.39 1-76挖特坚石沟槽、基坑100m314961544.482463.15 1-77软石表面人工找平100m242400 1-78次坚石表面人工找平100m265200 1-79普坚石表面人工找平100m2143200 1-80人工凿软石地槽、地坑100m3110841.22059.72 1-81人工凿次坚石地槽、地坑100m3148051.972748.85 1-82人工凿普坚石地槽、地坑100m3201668.843746.39 1-83人工凿特坚石地槽、地坑100m3288493.815364.08 1-84机械凿软石100m321601228.38 1-85机械凿次坚石100m321601517.41 1-86机械凿普坚石100m321602095.47 1-87人力车运石碴 运距50m以内100m3106000 1-88人力车运石碴 运距1000以内每增加50m100m323200 1-89推土机推碴 运距20m以内1000m324804149.16 1-90推土机推碴 运距每增加10m1000m3001227.81 1-91挖掘机挖碴装车1000m319206193.42 1-92自卸汽车运碴 运距1000m以内1000m319206976.52 1-93自卸汽车运碴 运距每增加1000m1000m3001624.85 1-94砖基础拆除10m324000 1-95石砌体拆除10m319200 1-96素混凝土基础拆除10m3328 2.43580.61 1-97钢筋混凝土基础拆除10m3492 3.38744.76 1-98石碴回填100m36320306.14 1-99轻型井点安、拆10根500386.6446.69 1-100轻型井点使用套.天6029.41166.14 1-101喷射井点安、拆10根22801872.734194.48 1-102喷射井点使用套.天12098.751201.74 1-103真空深井降水安、拆深井 井深19m座4961730.431234.47 1-104真空深井降水使用 井深19m座.天0 6.85188.61 1-105真空深井降水安装、拆除 井深每增减1m座2036.9580.59 1-106真空深井降水使用 井深每增减1m座.天00.4701-107直流深井降水安、拆深井井深20m(钻孔D800)座6163293.941462.391-108直流深井降水(井管深:20m)(钻孔D800) 每增减1m座20164.93477.661-109使用座.天4045.41 1-110湿土排水100m31200458.2 2-1打预制钢筋混凝土方桩 桩长12m以内10m3359.4854.6802.63 2-2打预制钢筋混凝土方桩 桩长25m以内10m3297.9955.3881.99 2-3打预制钢筋混凝土方桩 桩长45m以内10m3255.4256.05753.04 2-4打预制钢筋混凝土方桩 桩长45m以上10m3222.3156.8817.5 2-5送预制钢筋混凝土方桩 桩长12m以内10m3510.8411.4803.7 2-6送预制钢筋混凝土方桩 桩长25m以内10m3321.6411.4740.62 2-7送预制钢筋混凝土方桩 桩长45m以内10m3269.6111.4620.81 2-8送预制钢筋混凝土方桩 桩长45m以上10m3212.8511.4609.47 2-9静力压预制钢筋混凝土方桩 桩长12m以内10m3241.2354.6549.36 2-10静力压预制钢筋混凝土方桩 桩长25m以内10m3189.255.3689.76 2-11静力压预制钢筋混凝土方桩 桩长45m以内10m3151.3656.05657.13 2-12静力压预制钢筋混凝土方桩 桩长45m以上10m3132.4456.8691.09 2-13静力压送预制钢筋混凝土方桩 桩长12m以内10m3345.2917.85565.04 2-14静力压送预制钢筋混凝土方桩 桩长25m以内10m3269.6123.64806.66 2-15静力压送预制钢筋混凝土方桩 桩长45m以内10m3222.3130.25821.34 2-16静力压送预制钢筋混凝土方桩 桩长45m以上10m3184.4737.66809.57 2-17包角钢电焊接预制方桩t1126.64451.181056.98 2-18包钢板电焊接预制方桩t1724.34544.58535.72 2-19打预应力钢筋混凝土管桩 桩径400mm以内100m340.56105.661081.43 2-20打预应力钢筋混凝土管桩 桩径500mm以内100m374.96156.441565.5 2-21打预应力钢筋混凝土管桩 桩径600mm以内100m385.28206.011996.85 2-22打预应力钢筋混凝土管桩 桩径600mm以上100m467.84256.662427.87 2-23送预应力钢筋混凝土管桩 桩径400mm以内100m488.4810.51056.72 2-24送预应力钢筋混凝土管桩 桩径500mm以内100m536.6415.41699.06 2-25送预应力钢筋混凝土管桩 桩径600以内100m553.8421.52180.53 2-26送预应力钢筋混凝土管桩 桩径600mm以上100m667.3628.62627.47 2-27压预应力钢筋混凝土管桩 桩径400mm以内100m196.08105.661022.53 2-28压预应力钢筋混凝土管桩 桩径500mm以内100m218.87156.441144.92 2-29压预应力钢筋混凝土管桩 桩径600mm以内100m245.1206.011565.61 2-30压预应力钢筋混凝土管桩 桩径600m以上100m307.02256.662252.47 2-31压送预应力钢筋混凝土管桩 桩径400mm以内100m282.0811.41160.46 2-32压送预应力钢筋混凝土管桩 桩径500mm以内100m313.0415.41287.83 2-33压送预应力钢筋混凝土管桩 桩径600mm以内100m350.8821.51782.49 2-34压送预应力钢筋混凝土管桩 桩径600mm以上100m436.8828.62636.3 2-35锤击式沉管灌注砂桩10m3554.7803.49483.71 2-36振动式沉管灌注砂桩 桩长12m以内10m3537.5803.49353.43 2-37振动式沉管灌注砂桩 桩长18m以内10m3464.4803.49307.83 2-38锤击式沉管灌注砂石桩10m3662.21395.68483.71 2-39振动式沉管灌注砂石桩 桩长12m以内10m3632.11395.68353.43 2-40振动式沉管灌注砂石桩 桩长18m以内10m3550.41395.68307.83 2-41锤击式沉管灌注混凝土桩成孔10m3391.381.03565.57 2-42振动式沉管灌注混凝土桩成孔 桩长12m以内10m3425.776.82473.14 2-43振动式沉管灌注混凝土桩成孔 桩长25m以内10m3331.178.69364.83 2-44振动式沉管灌注混凝土桩成孔 桩长25m以上10m3296.781.03330.63 2-45沉管灌注混凝土夯扩桩成孔10m3722.481.031041.842-46静压振拔式沉管灌注混凝土桩成孔桩长12m以内10m3404.276.82274.92-47静压振拔式沉管灌注混凝土桩成孔桩长25m以内10m3318.278.69214.992-48静压振拔式沉管灌注混凝土桩成孔桩长25m以上10m3288.181.03197.372-49静压沉管灌注混凝土扩头桩成孔10m3632.181.03429.98 2-50预制桩尖埋设10个34.40.90 2-51转盘式钻孔桩机成孔 桩径600mm以内10m3808.4258.891275.58 2-52转盘式钻孔桩机成孔 桩径mm800以内10m3604.58189.85955.33 2-53转盘式钻孔桩机成孔 桩径1000mm以内10m3420.97158.41773.63 2-54转盘式钻孔桩机成孔 桩径1200mm以内10m3339.27141.64627.78 2-55转盘式钻孔桩机成孔 桩径1500mm以内10m3288.96123.81532.66 2-56岩石层成孔增加费 桩径800mm以内10m33604.6935.363482.29 2-57岩石层成孔增加费 桩径800mm以上10m32163.3319.22664.44 2-58旋挖桩机成孔 桩径1000mm以内10m3245.96115.842053.91 2-59旋挖桩机成孔 桩径1500mm以内10m3170.28104.871425.69 2-60旋挖桩机成孔 桩径2000mm以内10m3137.1797.651717.76 2-61旋挖桩机成孔 桩径2000mm以上10m3118.2589.11486.73 2-62岩石层成孔增加费 桩径1000mm以内10m31264.244.838216.8 2-63岩石层成孔增加费 桩径1500mm以内10m3861.7236.895666.04 2-64岩石层成孔增加费 桩径2000mm以内10m3703.9128.957512.63 2-65岩石层成孔增加费 桩径2000mm以上10m3597.2722.886454.03 2-66冲抓锤冲孔 桩长15m以内 砂粘土层10m3549.97349.97819.96 2-67冲抓锤冲孔 桩长15m以内 碎卵石层10m32908.52718.234325.31 2-68冲抓锤冲孔 桩长30m以内 砂粘土层10m3691.01365.311050.11 2-69冲抓锤冲孔 桩长30m以内 碎卵石层10m33653.71729.745426.44 2-70冲抓锤冲孔 桩长30m以上 砂粘土层10m3872.9384.781294.79 2-71冲抓锤冲孔 桩长30m以上 碎卵石层10m34635.83743.316877.78 2-72冲击锤冲孔 桩长15m以内 砂粘土层10m3388.29434.71068.44 2-73冲击锤冲孔 桩长15m以内 碎卵石层10m32304.37778.475553.81 2-74冲击锤冲孔 桩长15m以内 岩石层10m36164.91955.3511877.03 2-75冲击锤冲孔 桩长30m以内 砂粘土层10m3443.33450.631342.05 2-76冲击锤冲孔 桩长30m以内 碎卵石层10m32570.11791.456808.7 2-77冲击锤冲孔 桩长30m以内 岩石层10m36879.14968.3314568.49 2-78冲击锤冲孔 桩长30m以上 砂粘土层10m3483.32470.691461.08 2-79冲击锤冲孔 桩长30m以上 碎卵石层10m32689.65807.977122.26 2-80冲击锤冲孔 桩长30m以上 岩石层10m37644.97984.5616184.67 2-81沉管桩灌注现拌混凝土10m3533.22554.47102.46 2-82沉管桩灌注商品混凝土10m3180.63377.640 2-83钻孔桩灌注现拌混凝土10m3292.42993.3282.71 2-84钻孔桩灌注商品混凝土10m390.34142.640 2-85旋挖桩灌注现拌混凝土10m3382.72869.2176.54 2-86旋挖桩灌注商品混凝土10m3116.13970.640 2-87冲孔桩灌注现拌混凝土10m3580.53291.1990.12 2-88冲孔桩灌注商品混凝土10m3176.34555.440 2-89注浆管埋设100m154.8873.4334.4 2-90声测管埋设100m210.71613.8849.95 2-91桩底(侧)后注浆t209.84328.38110.36 2-92泥浆池建造和拆除10m315.4819.130.23 2-93泥浆运输 运距5km以内10m3191.780439.5 2-94泥浆运输 运距每增减1km10m30035.31 2-95人工挖孔 桩径1500以内 孔深10m以内10m3490.221111.13 2-96人工挖孔 桩径1500以内 孔深15m以内10m3610.623137.06 2-97人工挖孔 桩径1500以内 孔深20m以内10m3718.127155.46 2-98人工挖孔 桩径1500以上 孔深10m以内10m3421.421106.8 2-99人工挖孔 桩径1500以上 孔深15m以内10m3524.623131.81 2-100人工挖孔 桩径1500以上 孔深20m以内10m3619.227148.83 2-101人工挖孔增加费 挖淤泥、流砂10m3447.230158.32 2-102人工挖孔增加费 入岩石层10m3834.22057.682-103制作安设混凝土护壁10m32962.73361.37583.86 2-104桩芯灌注现拌混凝土10m3541.82292.27227.39 2-105桩芯灌注商品混凝土10m3163.43083.45157.02 2-106打预制混凝土板桩 桩长10m以内10m3352.642.87862.74 2-107打预制混凝土板桩 桩长10m以上10m3232.254.87566.76 2-108送预制混凝土板桩桩 桩长10m以内10m3507.414.31238.86 2-109送预制混凝土板桩桩 桩长10m以上10m3335.414.3817.51 2-110打钢板桩 桩长10m以内t77.432.53190.64 2-111打钢板桩 桩长10m以上t38.732.5392.74 2-112拔钢板桩 桩长10m以内t60.28.6779.81 2-113拔钢板桩 桩长10m以上t38.78.6751.3 2-114安拆导向夹具10m16.3428.2729.77 2-115打圆木桩10m34158.18500.870 2-116送圆木桩10m31956.500 2-117接桩头10个245.1443.650 2-118双头喷浆深层水泥搅拌桩10m3107.5733.34158.96 2-119单头喷浆深层水泥搅拌桩10m3202.1733.34178.35 2-120单头喷粉深层水泥搅拌桩10m3202.1724.9210 2-121水泥掺量 每增减1%10m3056.960 2-122SMW工法二搅二喷搅拌桩10m3106.211012.67593.05 2-123插、拔型钢t29.67199.34181.07 2-124高压旋喷桩钻孔10m51.67.61136.6 2-125单重管法高压旋喷桩10m3356.92048.38461.23 2-126双重管法高压旋喷桩10m3382.71918.64594.87 2-127三重管法高压旋喷桩10m3412.81743.131199.71 2-128围护树根桩10m33156.23586.683717.17 2-129承重树根桩10m32416.64192.074738.64 2-130压密注浆钻孔10m137.6327.12 2-131压密注浆注浆10m3154.8514.72162.82 2-132锚杆(土钉)成孔、灌浆 钢筋100m665.64822.81138.82 2-133锚杆(土钉)成孔、灌浆 钢管100m578.35779.38171.73 2-134入岩增加费100m1604.33183.72281.87 2-135锚杆(土钉)制作、安装 钢筋t250.694194.634.23 2-136锚杆(土钉)制作、安装 钢管t216.294795.522.41 2-137喷射混凝土护坡 坡度 60°以内 厚度5cm100m21101.231314.831282.13 2-138喷射混凝土护坡 坡度 60°以内 每增1cm100m294.17259.61108.36 2-139喷射混凝土护坡 坡度 60°以上 厚度5cm100m21258.611489.831446.19 2-140喷射混凝土护坡 坡度 60°以上 每增1cm100m2107.93293.94119.7 2-141地下连续墙 导墙开挖10m381.7073.2 2-142地下连续墙 钢筋混凝土导墙浇灌10m37312214.0562.84 2-143地下连续墙 机械成槽 槽深20m以内10m3193.5602.681170.18 2-144地下连续墙 机械成槽 槽深30m以内10m3202.1602.681262.27 2-145地下连续墙 机械成槽 槽深40m以内10m3215602.681354.47 2-146地下连续墙 清底置换段464.42769.7 2-147地下连续墙 接头管安、拔 槽深20m以内段774201.6669.53 2-148地下连续墙 接头管安、拔 槽深30m以内段774423.21137.07 2-149地下连续墙 接头管安、拔 槽深40m以内段774654.81652.75 2-150地下连续墙 混凝土墙浇灌10m3103.24216.8226.1 2-151重锤夯实(一遍) 夯击能量1000kN·m以内100m2120.40293.68 2-152重锤夯实(一遍) 夯击能量2000kN·m以内100m2159.10501.47 2-153重锤夯实(一遍) 夯击能量3000kN·m以内100m2180.60685.29 2-154凿预制混凝土方桩头10个331.1411.3 2-155凿预应力混凝土管桩头10个163.4411.3 2-156凿沉管灌注混凝土桩头10个94.610 2-157凿钻孔灌注混凝土桩头 桩径800mm以内10个507.418.445.51 2-158凿钻孔灌注混凝土桩头 桩径800mm以上10个872.945.4111.713-1砂垫层10m3189.2710.85 3.34 3-2天然级配砂石垫层10m3197.8730.858.72 3-3人工级配砂石垫层10m3253.7950.8557.1 3-4塘渣垫层 压路机压实10m3116.1551.242.09 3-5塘渣垫层 夯实机夯实10m3154.8488.88.72 3-6块石垫层 疏排夯实10m3275.2546.7514.6 3-7块石干铺垫层10m3232.2845.198.72 3-8块石垫层10m3374.11200.3432.14 3-9碎石干铺垫层10m3197.8885.928.72 3-10碎石灌浆垫层10m3322.51378.2942.1 3-11灰土垫层10m3236.5808.569.59 3-12三合土垫层10m3374.11357.1913.73 3-13混凝土实心砖基础 240×115×5310m3438.62041.8822.26 3-14混凝土实心砖基础 190×90×5310m3528.92266.4924.01 3-15烧结普通砖基础10m3425.72305.7322.26 3-16蒸压砖基础10m3417.12094.7822.26 3-17块石浆砌基础10m3447.2135735.14 3-18块石干砌基础10m3305.3903.3 4.1 3-19块石灌混凝土基础10m3485.91423.9150.76 3-20砌混凝土实心砖墙 厚1砖10m3576.22082.7222.84 3-21砌混凝土实心砖墙 厚3/4砖10m3675.12085.9221.67 3-22砌混凝土实心砖墙 厚1/2砖10m3756.82090.4919.33 3-23砌混凝土实心砖墙 厚1/4砖10m3937.42113.5612.3 3-24砌混凝土实心砖方柱10m3778.32112.7322.84 3-25砌混凝土实心砖空花墙10m3649.31453.910.54 3-26混凝土实心砖贴砖 (1/2砖)10m3567.62250.3828.11 3-27混凝土实心砖贴砖 (1/4砖)10m3799.82462.7631.04 3-28混凝土实心砖砌地沟10m35162079.3822.26 3-29混凝土实心砖零星砌体10m3812.72085.6820.5 3-30砌混凝土实心砖墙 厚19010m3705.22310.2124.6 3-31砌混凝土实心砖墙 厚9010m3933.12335.9520.5 3-32砌混凝土实心砖空斗墙 一斗一盖10m3412.81834.4917.57 3-33砌混凝土实心砖空斗墙 三斗一盖10m3412.81752.4516.99 3-34砌混凝土实心砖空斗墙 五斗一盖10m3412.81728.9416.99 3-35砌混凝土实心砖空斗墙 全空斗10m3412.81691.0216.4 3-36砌混凝土多孔砖墙 厚1砖10m3460.11766.4418.16 3-37砌混凝土多孔砖墙 厚1/2砖10m36021754.2614.64 3-38砌混凝土多孔砖墙 厚190厚10m3417.11760.2515.23 3-39砌混凝土多孔砖方柱10m3627.81776.3216.99 3-40混凝土多孔砖零星砌体10m36451762.9115.81 3-41砌轻集料混凝土实心砖墙 厚1砖10m3541.82773.3922.84 3-42砌轻集料混凝土实心砖墙 厚1/2砖10m3709.52813.4119.33 3-43轻集料混凝土实心砖砌地沟10m3485.92780.8922.26 3-44轻集料混凝土实心砖零星砌体10m3761.12793.8920.5 3-45砌烧结普通砖墙 厚1砖10m3563.32340.8722.84 3-46砌烧结普通砖墙 厚3/4砖10m3653.62349.5721.67 3-47砌烧结普通砖墙 厚1/2砖10m37312361.1419.33 3-48砌烧结普通砖墙 厚1/4砖10m3907.32410.5112.3 3-49砌烧结普通砖方柱10m3756.82377.8822.84 3-50砌烧结普通砖空花墙10m3632.11651.2610.54 3-51烧结普通砖贴砖 (1/2砖)10m3550.42521.0328.11 3-52烧结普通砖贴砖(1/4砖)10m37742759.4131.04 3-53烧结普通砖砌地沟10m3498.82340.0322.26 3-54烧结普通砖零星砌体10m3786.92352.3320.5 3-55砌烧结普通砖空斗墙 一斗一盖10m3399.92068.7417.57 3-56砌烧结普通砖空斗墙 三斗一盖10m3399.91975.716.993-57砌烧结普通砖空斗墙 五斗一盖10m3399.91949.1916.99 3-58砌烧结普通砖空斗墙 全空斗10m3399.91906.2716.4 3-59砌烧结多孔砖墙 厚1砖10m3447.23518.8518.74 3-60砌烧结多孔砖墙 厚1/2砖10m3584.83582.8514.64 3-61砌烧结多孔砖墙 厚19010m3408.52958.3415.81 3-62砌烧结多孔砖方柱10m3606.33573.716.99 3-63烧结多孔砖零星砌体10m3627.83561.2915.81 3-64砌烧结空心砖墙 厚1砖(卧砌)10m3335.42322.7411.13 3-65砌烧结空心砖墙 厚1/2砖(卧砌)10m3438.62335.17.03 3-66砌烧结空心砖墙 厚190(卧砌)10m3374.12375.6411.71 3-67砌蒸压砖墙 厚1砖10m3550.42139.1222.84 3-68砌蒸压砖墙 厚1/2砖10m3718.12149.3919.33 3-69蒸压砖砌地沟10m3490.22139.4822.26 3-70蒸压砖零星砌体10m3769.72140.5820.5 3-71砌蒸压多孔砖墙 厚1砖10m3438.61794.8918.16 3-72砌蒸压多孔砖墙 厚1/2砖10m3571.91786.0314.06 3-73蒸压多孔砖零星砌体10m3614.91794.2715.23 3-74砌轻集料混凝土小型空心砌块墙 厚240mm10m3378.42642.8510.54 3-75砌轻集料混凝土小型空心砌块墙 厚190mm10m3447.22635.8210.54 3-76砌轻集料混凝土小型空心砌块墙 厚120mm10m3533.22645.019.96 3-77砌烧结空心砌块墙 厚240(卧砌)10m3361.22759.38.79 3-78砌烧结空心砌块墙 厚190(卧砌)10m3382.72759.38.79 3-79砌烧结空心砌块墙 厚115(卧砌)10m3451.527558.793-80砌蒸压粉煤灰加气混凝土砌块墙厚150mm以内 现拌砂浆10m34732194.4215.333-81砌蒸压粉煤灰加气混凝土砌块墙厚150mm以内 粘结剂10m3408.52385.7414.563-82砌蒸压粉煤灰加气混凝土砌块墙厚200mm以内 现拌砂浆10m33872189.8212.333-83砌蒸压粉煤灰加气混凝土砌块墙厚200mm以内 粘结剂10m3331.12381.1411.463-84砌蒸压粉煤灰加气混凝土砌块墙厚300mm以内 现拌砂浆10m3356.92188.2211.233-85砌蒸压粉煤灰加气混凝土砌块墙厚300mm以内 粘结剂10m33012379.5410.363-86砌蒸压砂加气混凝土砌块墙 厚150mm以内10m3408.52603.9914.06 3-87砌蒸压砂加气混凝土砌块墙 厚200mm以内10m3331.12599.3910.96 3-88砌蒸压砂加气混凝土砌块墙 厚300mm以内10m33012597.799.86 3-89陶粒增强加气砌块10m3326.84833.5213.7 3-90L型铁件100个129412.460 3-91聚氨酯(PU)发泡剂嵌缝100m172543.90 3-92干砌块石普通墙10m3550.4851.25 4.69 3-93浆砌块石普通墙10m3614.91352.3733.38 3-94干砌块石挡土墙10m3361.2812.95 1.76 3-95浆砌块石挡土墙10m3455.81339.133.38 3-96干砌块石护坡10m3292.4785.70 3-97浆砌块石护坡10m3494.51339.133.38 3-98砌方整石墙10m3614.92085.7114.06 3-99砌方整石柱10m31019.12080.4313.47 3-100砌混凝土实心砖烟囱 筒身全高20m以内10m3980.42419.825.19 3-101砌烧结普通砖烟囱 筒身全高20m以内10m3950.32726.2525.19 3-102砌混凝土实心砖烟囱 筒身全高40m以内10m3851.42324.2425.19 3-103砌烧结普通砖烟囱 筒身全高40m以内10m3825.62614.0925.19 3-104砌混凝土实心砖烟囱 筒身全高60m以内10m39892306.1725.77 3-105砌烧结普通砖烟囱 筒身全高60m以内10m3958.92592.5325.77 3-106楔形混凝土实心砖加工1000块219.3 6.203-107楔形烧结普通砖加工1000块2157.20 3-108楔形耐火砖加工1000块425.727.650 3-109楔形耐酸砖加工1000块442.9600 3-110混凝土实心砖砌烟囱内衬10m3877.21980.960 3-111烧结普通砖砌烟囱内衬10m3847.12284.610 3-112耐火砖砌烟囱内衬10m3950.38426.890 3-113耐酸砖砌烟囱内衬10m31449.110386.880 3-114混凝土实心砖砌烟道10m3696.62318.7326.36 3-115烧结普通砖砌烟道10m3675.12688.4726.36 3-116耐火砖砌烟道10m3632.18616.520 3-117混凝土实心砖砌烟道内衬10m3584.81956.30 3-118烧结普通砖砌烟道内衬10m3563.32254.450 3-119耐火砖砌烟道内衬10m3632.18616.810 3-120耐酸砖砌烟道内衬10m31449.110386.880 3-121烟囱、烟道内涂刷沥青耐酸漆隔绝层100m2240.8818.940 3-122烟囱、烟道内涂刷水玻璃隔绝层100m2176.3679.460 3-123烟囱、烟道内涂刷沥青隔绝层100m2176.32226.520 3-124烟囱、烟道内涂刷耐酸砂浆隔绝层100m21724.32095.80 3-125烟囱、烟道内涂刷耐火泥隔绝层100m2378.4779.240 3-126混凝土实心砖砌水塔身10m36882238.1824.6 3-127烧结普通砖砌水塔身10m3666.52516.5324.6 3-128混凝土实心砖砌水塔水槽壁10m3868.62237.1824.6 3-129烧结普通砖砌水塔水槽壁10m3838.52515.5324.6 3-130块石砌池底10m3434.31500.4138.66 3-131块石砌池壁10m36021500.4138.66 3-132池壁 混凝土实心砖10m35162170.4624.01 3-133烧结普通砖砌池壁10m3498.82440.8124.01 3-134混凝土实心砖砌圆形仓筒壁10m36882236.5824.6 3-135烧结普通砖砌圆形仓筒壁10m3666.52514.9324.6 3-136混凝土实心砖砌沉井10m3563.32071.6622.84 3-137烧结普通砖砌沉井10m3546.12329.3122.84 4-1C10现浇现拌砼基础垫层浇捣10m3402.481818.4651.29 4-2C20现浇现拌毛石砼基础浇捣10m3296.71804.9335.45 4-3C20现浇现拌砼及钢筋砼基础浇捣10m3320.352007.3243.01 4-4C20现浇现拌砼地下室底板、满堂基础浇捣10m3347.012329.4343.014-5C20现浇现拌砼及钢筋砼直、弧形挡土墙、地下室墙浇捣10m3458.812305.9870.994-6C20现浇现拌毛石砼挡土墙浇捣10m3368.941785.6460.64 4-7C20现浇现拌砼矩形柱、异形柱、圆形柱浇10m3727.562004.670.99 4-8C20现浇现拌砼构造柱浇捣10m3903.861991.38107.57 4-9C20现浇现拌砼框架柱接头浇捣10m31033.292149.86107.57 4-10C20现浇现拌砼基础梁浇捣10m3319.062026.2870.994-11C20现浇现拌砼单梁、连续梁、异形梁、弧形梁、吊车梁浇捣10m3496.652035.8370.994-12C20现浇现拌砼圈、过梁、拱形梁浇捣10m3819.152079.22107.57 4-13C20现浇现拌砼薄腹屋面梁浇捣10m3553.412145.5370.99 4-14C20现浇现拌砼板浇捣10m3411.942244.8876.87 4-15C20现浇现拌砼拱板浇捣10m3673.382354.0876.87 4-16C20现浇现拌砼直形、弧形墙浇捣厚10cm以10m3776.582204.3107.57 4-17C20现浇现拌砼直形、弧形墙浇捣厚10cm以10m3770.132013.3770.99 4-18C20现浇现拌砼地下室底板后浇带浇捣10m3389.152352.3765.084-19C20现浇现拌砼梁、板后浇带浇捣板厚20cm以内10m3563.732137.2123.234-20C20现浇现拌砼梁、板后浇带浇捣板厚20cm以上10m3488.052110.69122.464-21C20现浇现拌砼墙后浇带浇捣10m3832.052038.66107.574-22C20现浇现拌砼直形楼梯浇捣10m2173.72498.0925.39 4-23C20现浇现拌砼弧形楼梯浇捣10m2215.86717.7837.37 4-24C20现浇现拌砼雨篷浇捣10m3608.452082.1179.49 4-25C20现浇现拌砼阳台浇捣10m3541.82096.0278.41 4-26C20现浇现拌砼栏板、翻檐浇捣10m31029.422197.95108.21 4-27C20现浇现拌砼檐沟、挑檐浇捣10m3898.72431.87129.85 4-28C20现浇现拌砼小型构件浇捣10m3890.532453.52107.82 4-29C20现浇现拌砼地沟、电缆沟浇捣10m3490.22093.87107.82 4-30C20现浇现拌砼屋顶水箱浇捣10m3706.492157.576.434-31C20现浇现拌砼水塔顶、槽底、水槽内外壁浇捣10m3759.812442.42211.794-32C20现浇现拌砼筒式水塔身浇捣10m3598.992078.42211.79 4-33C20现浇现拌砼柱式水塔身浇捣10m3802.382019.93211.79 4-34C20现浇现拌砼回廊及平台浇捣10m3644.572137.8232.41 4-35C20现浇现拌砼倒锥形水塔浇捣10m3625.652258.41211.79 4-36C20现浇现拌砼贮水(油)池池底浇捣10m3660.482102.1543.01 4-37C20现浇现拌砼贮水(油)池池壁浇捣10m3734.442010.9107.57 4-38C20现浇现拌砼贮水(油)池池盖浇捣10m3660.482123.28128.19 4-39C20现浇现拌砼无梁盖柱浇捣10m3652.742010.73107.57 4-40C20现浇现拌砼沉淀池、水槽、壁基梁浇捣10m3659.192080.45117.84 4-41C20现浇现拌砼贮仓壁浇捣10m3758.952005.89211.79 4-42C20滑升钢模浇钢筋砼筒仓浇捣 内径8m以内10m3770.132029.43509.25 4-43C20滑升钢模浇钢筋砼筒仓浇捣内径10m以内10m3694.452025.37403.15 4-44C20滑升钢模浇钢筋砼筒仓浇捣内径12m以内10m3580.52022.31263.45 4-45C20滑升钢模浇钢筋砼筒仓浇捣内径16m以内10m3522.452021.61218.734-46C20滑升钢模浇钢筋砼烟囱浇捣筒身高度60m以内10m3584.372024.89443.84-47C20滑升钢模浇钢筋砼烟囱浇捣筒身高度80m以内10m3597.72028.44350.64-48C20滑升钢模浇钢筋砼烟囱浇捣筒身高度100m以内10m3571.92018.98671.094-49C20滑升钢模浇钢筋砼烟囱浇捣筒身高度120m以内10m3565.452018.8527.244-50C20滑升钢模浇钢筋砼烟囱浇捣筒身高度150m以内10m3526.752015.85480.314-51C20滑升钢模浇钢筋砼烟囱浇捣筒身高度180m以内10m3545.672015.85266.84-52C20滑升钢模浇钢筋砼烟囱浇捣筒身高度210m以内10m3483.752015.85266.84-53C20现浇现拌砼地沟底浇捣10m3340.992021.5550.92 4-54C20现浇现拌砼地沟壁浇捣10m3679.832015.3107.82 4-55C20现浇现拌砼地沟顶浇捣10m3381.412073.86128.44 4-56C20现浇现拌砼矩形、圆形沉井壁浇捣10m3657.91982.5570.74 4-57沉井铺抽枕木、回填砂石10m167.71676.1722.6 4-58沉井铁刃脚单面焊接安装t296.76075.24287.28 4-59沉井铁刃脚双面焊接安装t352.66126.54347.814-60沉井人工挖土(下沉明排水)全深10m以内一、二类土10m3408.50348.54-61沉井人工挖土(下沉明排水)全深10m以内三类土10m3421.40404.594-62沉井人工挖土(下沉明排水)全深10m以内四类土10m3567.60552.84-63沉井人工挖土(下沉明排水)全深20m以内一、二类土10m3477.30384.564-64沉井人工挖土(下沉明排水)全深20m以内三类土10m3494.50440.644-65沉井人工挖土(下沉明排水)全深20m以内四类土10m36020600.874-66沉井砂封底10m3220.597600 4-67沉井碎石封底10m3273.05922.670 4-68沉井块石封底10m3318.2881.020 4-69C20沉井毛石砼封底10m3722.41790.0342.2 4-70C20沉井砼、钢筋砼封底10m3761.11992.9550.92 4-71设备基础水泥砂浆二次灌浆10m31427.62830.9134.09 4-72C20设备基础细石砼二次灌浆10m314192625.9484.84 4-73C10现浇泵送商品砼基础垫层浇捣10m3131.582658.549.48 4-74C20现浇泵送商品毛石砼基础浇捣10m3112.232682.68 1.98 4-75C20现浇泵送商品砼及钢筋砼基础浇捣10m3116.13077.96 2.614-76C25现浇泵送商品砼地下室底板、满堂基础浇捣10m3104.493313.15 2.614-77C25现浇泵送商品砼及钢筋砼挡土墙、地下室墙(直、弧形)浇捣10m3189.633289.7 4.354-78C20现浇泵送商品毛石砼挡土墙浇捣10m3155.232663.39 3.624-79C20现浇泵送商品砼矩形柱、异形柱、圆形柱浇捣10m3391.733075.24 4.354-80C20现浇泵送商品砼构造柱浇捣10m3683.73062.02 6.57 4-81C20现浇泵送商品砼框架柱接头浇捣10m3722.43064.35 6.57 4-82C20现浇泵送商品砼基础梁浇捣10m3131.153096.92 4.354-83C20现浇泵送商品砼单梁、连续梁、异形梁、弧形梁、吊车梁浇捣10m3219.33106.47 4.354-84C20现浇泵送商品砼圈、过梁、拱形梁浇捣10m33443149.86 6.57 4-85C20现浇泵送商品砼薄腹屋面梁浇捣10m3219.33109.86 4.35 4-86C20现浇泵送商品砼板浇捣10m3204.253209.2110.08 4-87C20现浇泵送商品砼拱板浇捣10m33013318.4110.084-88C20现浇泵送商品砼直形、弧形墙浇捣厚10cm以内10m3307.023118.79 6.574-89C20现浇泵送商品砼直形、弧形墙浇捣厚10cm以上10m3341.423084.01 4.354-90C25现浇泵送商品砼地下室底板后浇带浇捣10m3135.453350.72 3.624-91C20现浇泵送商品砼梁、板后浇带浇捣板厚20cm以内10m3191.353223.5718.794-92C20现浇泵送商品砼梁、板后浇带浇捣板厚20cm以上10m3156.953197.0619.044-93C20现浇泵送商品砼墙后浇带浇捣10m3361.23125.21 6.57 4-94C20现浇泵送商品砼直形楼梯浇捣10m275.25754.35 1.55 4-95C20现浇泵送商品砼弧形楼梯浇捣10m2103.21086.94 2.22 4-96C20现浇泵送商品砼雨篷浇捣10m3341.853150.757.28 4-97C20现浇泵送商品砼阳台浇捣10m3328.953166.367.28 4-98C20现浇泵送商品砼栏板、翻檐浇捣10m3634.683112.45 6.57 4-99C20现浇泵送商品砼檐沟、挑檐浇捣10m3395.63346.3623.88 4-100C20现浇泵送商品砼小型构件浇捣10m3623.53275.75 6.57 4-101C20现浇泵送商品砼地沟、电缆沟浇捣10m3326.83164.51 6.57 4-102C20现浇泵送商品砼屋顶水箱浇捣10m3468.73121.838.684-103C25现浇泵送商品砼塔顶、槽底、水箱内外壁浇捣10m3296.73431.02116.24-104C20现浇泵送商品砼筒式塔身浇捣10m3218.443154.37116.2 4-105C20现浇泵送商品砼柱式塔身浇捣10m3313.93095.87116.2 4-106C20现浇泵送商品砼回廊及平台浇捣10m3226.613213.75133.51 4-107C20现浇泵送商品砼倒锥形水塔浇捣10m3279.53227.52116.2 4-108C20现浇泵送商品砼贮水(油)池池底浇捣10m32153172.79 2.61 4-109C20现浇泵送商品砼贮水(油)池池壁浇捣10m3265.313086.84 6.57 4-110C20现浇泵送商品砼贮水(油)池池盖浇捣10m3220.163199.2223.884-111C20现浇泵送商品砼无梁盖柱浇捣10m3292.833086.68 6.57 4-112C25现浇泵送商品砼沉淀池水槽、壁基梁浇10m3226.183380.7915.23 4-113C20现浇泵送商品砼贮仓壁浇捣10m3260.153162.22116.24-114C20滑升钢模浇泵送钢筋砼筒仓浇捣内径8m以内10m3221.883105.37158.824-115C20滑升钢模浇泵送钢筋砼筒仓浇捣内径10m以内10m3194.363101.32133.094-116C20滑升钢模浇泵送钢筋砼筒仓浇捣内径12m以内10m3153.943098.2591.414-117C20滑升钢模浇泵送钢筋砼筒仓浇捣内径16m以内10m3133.33097.5579.414-118C20滑升钢模浇泵送钢筋砼烟囱浇捣筒身高度60m以内10m3155.233100.83231.094-119C20滑升钢模浇泵送钢筋砼烟囱浇捣筒身高度80m以内10m3160.823093.93182.494-120C20滑升钢模浇泵送钢筋砼烟囱浇捣筒身高度100m以内10m3151.363094.92519.284-121C20滑升钢模浇泵送钢筋砼烟囱浇捣筒身高度120m以内10m3148.353094.75402.044-122C20滑升钢模浇泵送钢筋砼烟囱浇捣筒身高度150m以内10m3134.593091.8364.254-123C20滑升钢模浇泵送钢筋砼烟囱浇捣筒身高度180m以内10m3141.473091.8205.274-124C20滑升钢模浇泵送钢筋砼烟囱浇捣筒身高度210m以内10m3119.543091.8205.274-125C20现浇泵送商品砼地沟底浇捣10m3103.23092.199.48 4-126C20现浇泵送商品砼地沟壁浇捣10m3219.33076.29 6.57 4-127C20现浇泵送商品砼地沟顶浇捣10m3117.823134.8523.88 4-128C20现浇泵送商品砼矩形、圆形沉井壁浇捣10m3163.43052.31 4.35 4-129C20现浇泵送商品毛石砼沉井封底10m3191.352666.897.9 4-130C20现浇泵送商品砼、钢筋砼沉井封底10m3193.53063.599.48 4-131C20现浇泵送商品细石砼设备基础二次灌浆10m3626.943407.5316.95 4-132砼搅拌10m367.940.8352.16 4-133砼泵送 檐高60m以内10m317.2442.8 4-134砼泵送 超60m每增加10m10m30.860.2 2.14 4-135现浇砼基础垫层模板100m21150.251105.776.42 4-136现浇砼带形无梁式基础组合钢模100m21145.52981.9898 4-137现浇砼带形无梁式基础复合木模100m2993.3985.9242.1 4-138现浇砼带形有梁式基础组合钢模100m21100.8937.55121.47 4-139现浇砼带形有梁式基础复合木模100m2946121581.46 4-140现浇砼独立基础组合钢模100m21021.68958.5885.1 4-141现浇砼独立基础复合木模100m2887.951218.5853.04 4-142现浇砼杯形基础组合钢模100m21229.8971.9880.44 4-143现浇砼杯形基础复合木模100m21062.11125.7763.3 4-144现浇砼地下室底板、有梁式满堂基础组合钢100m21212.61087.688.85 4-145现浇砼地下室底板、有梁式满堂基础复合木100m21070.7974.5653.16 4-146现浇砼地下室底板、无梁式满堂基础组合钢100m21290987.7779.88 4-147现浇砼地下室底板、无梁式满堂基础复合木100m21173.9935.1243.35 4-148基础模板侧边弧形增加费每10m22.3617.46 1.794-149现浇砼设备基础组合钢模单个块体体积5m3以内100m21359.231157.96114.714-150现浇砼设备基础复合木模单个块体体积5m3以内100m21142.941288.3163.984-151现浇砼设备基础组合钢模单个块体体积5m3以上100m21313.221002.8196.684-152现浇砼设备基础复合木模单个块体体积5m3以上100m21121.871178.6261.384-153设备螺栓套 长度50cm以内10个43125.25 4.35 4-154设备螺栓套 长度每增加50cm10个34.4123.1 4.35 4-155现浇砼矩形柱 组合钢模100m21487.81081.03155.94 4-156现浇砼矩形柱 复合木模100m212041337.56118.07 4-157现浇砼异形柱 组合钢模100m21672.71211.23176.36 4-158现浇砼异形柱、圆形柱 复合木模100m21767.31779.8126.11 4-159现浇砼框架柱接头模板100m2451.52192.5953.46 4-160现浇砼柱支模超高每增加1m100m283.8560.63 5.41 4-161现浇砼基础梁 组合钢模100m21228.941276.79206.13 4-162现浇砼基础梁 复合木模100m21046.621571.22152.14 4-163现浇砼弧形基础梁模板100m21440.52469.8381.11 4-164现浇砼矩形梁 组合钢模100m21825.781405.03219.18 4-165现浇砼矩形梁 复合木模100m21502.851656.34174.59 4-166现浇砼异形梁模板100m21868.782048.7376.15 4-167现浇砼弧形梁模板100m21917.82322.9784.8 4-168现浇砼拱形梁模板100m22326.32790.49114.02 4-169现浇砼直形圈过梁 组合钢模100m21607.77993.42144.16 4-170现浇砼直形圈过梁 复合木模100m21308.49868.4144.82 4-171现浇砼弧形圈、过梁模板100m21904.91089.9551.66 4-172梁支模超高每增加1m100m2141.9102.5416.02 4-173现浇砼板 组合钢模100m21272.81159.49171.74 4-174现浇砼板 复合木模100m29461428.26136.13 4-175现浇砼无梁板 组合钢模100m21023.41263.72119.01 4-176现浇砼无梁板 复合木模100m2786.91376.9993.84 4-177现浇砼拱形板模板100m22055.42674.6691.54 4-178现浇砼薄壳屋盖模板100m22549.91539.19121.68 4-179弧形板增加费10m47.3129.69 3.84 4-180板支模超高每增加1m100m2107.5122.4819.31 4-181现浇砼直形墙 组合钢模100m212041048.73153.78 4-182现浇砼直形墙 复合木模100m2892.251222.9777.75 4-183现浇砼弧形墙模板100m21311.52221.8599.75 4-184现浇砼直形地下室外墙 组合钢模100m212041020.38122.01 4-185现浇砼直形地下室外墙 复合木模100m2954.61235.5577.84 4-186现浇砼弧形地下室外墙模板100m21268.52070.7480.89 4-187现浇砼大钢模板墙模板100m2399.47493.6260.76 4-188墙支模超高每增加1m100m283.8558.25 5.66 4-189现浇砼直形楼梯模板408.5439.2133.56 4-190现浇砼弧形楼梯模板703.051069.5275.71 4-191线条模板增加费 三道以内每100m75.68321.7710.15 4-192线条模板增加费 三道以上每100m127.71544.6715.23 4-193现浇砼全悬挑阳台、雨篷模板288.1212.2621.74 4-194现浇砼直形栏板、翻檐模板100m21182.5917.9374.92 4-195现浇砼弧形栏板、翻檐模板100m21625.41197.6338.7 4-196现浇砼檐沟、挑檐模板100m21723.87961.897.35 4-197现浇砼小型池槽模板100m21522.21306.8962.95 4-198现浇砼地沟、电缆沟模板100m2851.41202.3446.38 4-199现浇砼小型构件模板100m213762158.3184.14 4-200现浇砼屋顶水箱模板100m2855.71110.2163.63 4-201地下室底板后浇带模板增加费10m90.3128.66 3.44 4-202梁板后浇带模板增加费 板厚20cm以内10m122.12187.3914.95 4-203梁板后浇带模板增加费 板厚20cm以上10m122.55203.4514.08 4-204墙后浇带模板增加费 厚20cm以内10m83.85144.117.25 4-205墙后浇带模板增加费 厚20cm以上10m98.9172.497.56 4-206烟囱筒身液压滑升钢模 高度60m以内10m339132812.24342.86。