绝对值函数系列习题(二次函数)
- 格式:doc
- 大小:569.50 KB
- 文档页数:8
高考数学二次函数绝对值的问题典型试题及答案详解 二次函数是最简单的非线性函数之一,而且有着丰富的内容,它对近代数仍至现代数学影响深远,这部分内容为历年来高考数学考试的一项重点考查内容,经久不衰,以它为核心内容的高考试题,形式上也年年有变化,此类试题常常有绝对值,充分运用绝对值不等式及二次函数、二次方程、二次不等式的联系,往往采用直接法,利用绝对值不等式的性质进行适当放缩,常用数形结合,分类讨论等数学思想,以下举例说明例1 设为实数,函数, (1)讨论的奇偶性;(2)求的最小值解;(1)时,为偶函数时,为非奇非偶函数(2)当当当例2 已知函数,. (1)若关于的方程只有一个实数解,求实数的取值范围;(2)若当时,不等式恒函数成立,求实数的取值范围;(3)求函数在区间[-2,2]上的最大值(直接写出结果,不需给出演a 2()||1f x x x a =+-+x R ∈()f x ()f x 0a =()f x 0a ≠()f x 22222131,24()||1131,24x x a x a x a f x x x a x x a x a x a ⎧⎛⎫+-+=++-≥⎪ ⎪⎪⎝⎭=+-+=⎨⎪⎛⎫-++=-++< ⎪⎪⎝⎭⎩()min 13,24a f x a ≤-=-()2min 11,122a f x a -<<=+()min 13,24a f x a ≥=+1)(2-=x x f |1|)(-=x a x g x )(|)(|x g x f =a R x ∈)()(x g x f ≥a )(|)(|)(x g x f x h +=算步骤).解:(1)方程,即,变形得,显然,已是该方程的根,从而欲原方程只有一解,即要求方程,有且仅有一个等于1的解或无解 ,结合图形得.(2)不等式对恒成立,即(*)对恒成立, ①当时,(*)显然成立,此时;②当时,(*)可变形为,令因为当时,,当时,,所以,故此时.综合①②,得所求实数的取值范围是.(3)因为=|()|()f x g x =2|1||1|x a x -=-|1|(|1|)0x x a -+-=1x =|1|x a +=0a<()()f x g x ≥x ∈R 2(1)|1|x a x --≥x ∈R 1x =a ∈R 1x ≠21|1|x a x -≤-21,(1),1()(1),(1).|1|x x x x x x x ϕ+>⎧-==⎨-+<-⎩1x >()2x ϕ>1x <()2x ϕ>-()2x ϕ>-2a -≤a 2a -≤2()|()|()|1||1|h x f x g x x a x =+=-+-2221,(1),1,(11),1,(1).x ax a x x ax a x x ax a x ⎧+--⎪--++-<⎨⎪-+-<-⎩≤≥当时,结合图形可知在上递减,在上递增, 且,经比较,此时在上的最大值为.当时,结合图形可知在,上递减, 在,上递增,且,, 经比较,知此时在上的最大值为.当时,结合图形可知在,上递减, 在,上递增,且,, 经比较,知此时 在上的最大值为.当时,结合图形可知在,上递减, 在,上递增,且, ,经比较,知此时 在上的最大值为.当时,结合图形可知在上递增,在上递减, 故此时 在上的最大值为.综上所述,当时,在上的最大值为;当时, 在上的最大值为;当时, 在上的最大值为0.1,22a a >>即()h x [2,1]-[1,2](2)33,(2)3h a h a -=+=+()h x [2,2]-33a +01,22a a 即0≤≤≤≤()h x [2,1]--[,1]2a -[1,]2a --[1,2](2)33,(2)3h a h a -=+=+2()124a a h a -=++()h x [2,2]-33a +10,02a a -<<即-2≤≤()h x [2,1]--[,1]2a -[1,]2a --[1,2](2)33,(2)3h a h a -=+=+2()124a a h a -=++()h x [2,2]-3a +31,222a a -<-<-即-3≤≤()h x [2,]2a -[1,]2a -[,1]2a [,2]2a -(2)330h a -=+<(2)30h a =+≥()h x [2,2]-3a +3,322a a <-<-即()h x [2,1]-[1,2]()h x [2,2]-(1)0h =0a ≥()h x [2,2]-33a +30a -<≤()h x [2,2]-3a +3a <-()h x [2,2]-练习:1. 已知函数.(1)讨论函数的奇偶性;(2)求函数的最小值2. 已知函数(1)若,,求的值(2)若时,恒成立,求的取值范围3. 已知函数,其中a 是实数.(1)判断的奇偶性,并说明理由;(2)当时,的最小值为,求a 的值答案:1.(1)函数为偶函数非奇非偶函数(2)2||)(2+-+=a x x x f )(x f )(x f ()221()f x x mx m R =-+∈2m =[]0,3x ∈()()max min D f x f x =-[]0,2x ∈()8f x ≤m |21|21)(2a x x x f -++=)(x f ]1,1[-∈x )(x f 221a 0a =0a ≠()22117,2(),24x a f x x x a x a ≥=++-=++-()22217,224x a f x x x a x a ⎛⎫<=-++=-++ ⎪⎝⎭2.(1)4(2)分类讨论二次函数对称轴与区间的关系,寻找最大值的位置 当在上递增 ,当在上递减,上递增当在上递减 综上所述: 3.(1)①当时,,有,所以为偶函数; ②当时,,所以不是奇函数;又因为,而, 即,所以不是偶函数; 综上,当时,既不是奇函数也不是偶函数.(2)①若,即,当时,,2min 71,4211()2,2271,42a a f x a a a a ⎧-≤-⎪⎪⎪=+-<<⎨⎪⎪+≥⎪⎩0,m <()f x []0,2()32804f m ≤∴-≤<02,m ≤≤()f x []0,m [],2m ()()833428f m m f ⎧≥-⎪∴-≤≤⎨≤⎪⎩2,m >()f x []0,2()132824f m ≥-∴<≤31344m -≤≤21=a ||21)(2x x x f +=)()(-x f x f =)(x f 21≠a 0|21|)0(≠-=a f )(x f 2)12(21)1-2(-=a a f |21|2)12(21)2-(12a a a f -+-=)12()2-(1-≠a f a f )(x f 21≠a )(x f 2213(1)2,2122()11(1)2,2122x a x a f x x a x a ⎧--+<-⎪⎪=⎨⎪++-≥-⎪⎩112-≤-a 0≤a ]1,1[-∈x a x a x x x f 221)1(212121)(22-++=-++=故在上递增,所以,得.②若,即, 当时,, 故在上递减,所以,得或.③若,即, 故在上递减,在上递增; 所以,得.综上,或或或.)(x f ]1,1[-=-=-=a f x f 221)1()(min 221a 52--=a 112≥-a 1≥a ]1,1[-∈x a x a x x x f 223)1(212121)(22+--=+--=)(x f ]1,1[-=+-==a f x f 223)1()(min 221a 1=a 3=a 1121<-<-a 10<<a ⎪⎪⎩⎪⎪⎨⎧≤≤--++-<≤-+--=)112(221)1(21)121(223)1(21)(22x a ax a x ax x f )(x f ]12,1[--a ]1,1[2-a 22min 212122)12()(a a a a f x f =+-=-=31=a 52--=a 31=a 1=a 3=a。
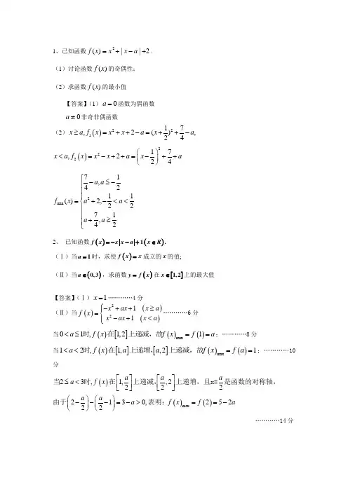
1、已知函数2||)(2+-+=a x x x f .(1)讨论函数)(x f 的奇偶性;(2)求函数)(x f 的最小值【答案】(1)0a =函数为偶函数0a ≠非奇非偶函数(2)()22117,2(),24x a f x x x a x a ≥=++-=++- ()22217,224x a f x x x a x a ⎛⎫<=-++=-++ ⎪⎝⎭ 2min 71,4211()2,2271,42a a f x a a a a ⎧-≤-⎪⎪⎪=+-<<⎨⎪⎪+≥⎪⎩2、 已知函数()()1.f x x x a x R =--+∈(Ⅰ)当1a =时,求使()f x x =成立的x 的值;(Ⅱ)当()0,3a ∈,求函数()y f x =在[]1,2x ∈上的最大值【答案】(Ⅰ)1x =…………4分(Ⅱ)当()()()2211x ax x a f x x ax x a ⎧-++≥⎪=⎨-+<⎪⎩…………6分 当()[]()()max 01,1,21a f x f x f a <≤==时在上递减,故;…………8分当()[][]()()max 12,1,,21a f x a a f x f a <<==时在上递增,上递减,故; (10)分()()()max 23,1,,22222130,25222a a a a f x a a a f x f a ⎡⎤⎡⎤≤<⎢⎥⎢⎥⎣⎦⎣⎦⎛⎫⎛⎫---=->==- ⎪ ⎪⎝⎭⎝⎭当时在上递减,上递增,且x=是函数的对称轴,由于表明: …………14分综上:()(01)1(12)52(23)a a f x a a a <≤⎧⎪=<<⎨⎪-≤<⎩3、已知()21f x x mx =++,若()3f x ≤在(]0,1上恒成立,求实数m 的取值范围【答案】法1:利用分离变量42x m x x x ⎛⎫-+≤≤- ⎪⎝⎭ 51m ∴-≤≤ 法2:分类讨论函数图像(1)02m -≤时()13f ≤01m ∴≤≤ (2)12m -≥时()13f ≤52m ∴-≤≤- (3)012m <-<时()13,32m f f ⎛⎫≤-≤ ⎪⎝⎭20m ∴-<<4、已知二次函数2()f x x bx c =++的图象过点(1,13),且函数对称轴方程为12x =-. (1)求函数()f x 的解析式;(2)设函数2()()13g x f x x x ⎡⎤=--⋅⎣⎦,求()g x 在区间[,2]t 上的最小值()H t 【答案】(1)∵ 2()f x x bx c =++的对称轴方程为12x =-,∴ 1b =. ……… 2分 又2()f x x bx c =++的图象过点(1,13),∴ 113b c ++=,∴ 11c =.∴ ()f x 的解析式为2()11f x x x =++. ………………………………………… 4分(2) 由:(1)得:22(1)1,(0),()(2)||(1)1,(0).=x x g x x x x x ⎧--≥=-⋅⎨--+<⎩ …………… 6分 结合图象可知:当12t ≤<,2min ()2g x t t =-;当11t ≤<,min ()1g x =-;当1t <-2min ()2g x t t =-+.……………………………… 9分∴ 综上:222,()1,2,t t H t t t ⎧-⎪=-⎨⎪-+⎩(12),(11),(1t t t ≤<-<<- ……………………………………… 11分5、(15嘉兴文基础测试20)已知函数()221()f x x mx m R =-+∈(1)若2m =,[]0,3x ∈,求()()max min D f x f x =-的值(2)若[]0,2x ∈时,()8f x ≤恒成立,求m 的取值范围【答案】(1)4,(2)当0,m <()f x 在[]0,2上递增 ,()32804f m ≤∴-≤< 当02,m ≤≤()f x 在[]0,m 上递减,[],2m 上递增()()833428f m m f ⎧≥-⎪∴-≤≤⎨≤⎪⎩ 当2,m >()f x 在[]0,2上递减()132824f m ≥-∴<≤ 综上所述:31344m -≤≤。
二次函数练习题及答案一、选择题1. 将抛物线23y x =先向左平移2个单位,再向下平移1个单位后得到新的抛物线,则新抛物线的解析式是 ( )A 23(2)1y x =++B 。
23(2)1y x =+-C 。
23(2)1y x =-+ D.23(2)1y x =-- 2.将抛物线22+=x y 向右平移1个单位后所得抛物线的解析式是………………( ) A.32+=x y ; B.12+=x y ;C.2)1(2++=x y ; D.2)1(2+-=x y .3.将抛物线y= (x —1)2+3向左平移1个单位,再向下平移3个单位后所得抛物线的解析式为( )A .y=(x —2)2B .y=(x —2)2+6C .y=x 2+6D .y=x 24.由二次函数1)3(22+-=x y ,可知( )A .其图象的开口向下B .其图象的对称轴为直线3x =-C .其最小值为1D .当x<3时,y 随x 的增大而增大5.如图,抛物线的顶点P 的坐标是(1,﹣3),则此抛物线对应的二次函数有( )A .最大值1B .最小值﹣3C .最大值﹣3D .最小值16.把函数()y f x ==246x x -+的图象向左平移1个单位,再向上平移1个单位,所得图象对应的函数的解析式是( )A .2(3)3y x =-+B .2(3)1y x =-+C .2(1)3y x =-+D .2(1)1y x =-+7.抛物线c bx x y ++=2图像向右平移2个单位再向下平移3个单位,所得图像的解析式为322--=x x y ,则b 、c 的值为A . b=2, c=2 B. b=2,c=0 C 。
b= -2,c=-1 D 。
b= -3, c=2二、填空题8.二次函数y=-2(x -5)2+3的顶点坐标是 .9.已知二次函数2y x bx c =-++中函数y 与自变量x 之间的部分对应值如下表所示,点11(,)A x y 、22(,)B x y 在函数图象上,当1201,23x x <<<<时,则1y 2y (填“>”或“<”).x 0 1 2 3 y1- 2 3 210.在平面直角坐标系中,将抛物线223y x x =++绕着它与y 轴的交点旋转180°,所得抛物线的解析式为 .11.求二次函数2245y x x =--的顶点坐标(___)对称轴____。
常见绝对值类问题汇总——辽宁数学小丸子编辑【题1】已知32()(0)f x ax bx cx d a =+++≠,当1x ≤时,'()f x M ≤恒成立,求a 的最大值【题2】设1()42(,)x x f x a b a b R +=+⋅+∈,若对于1[0,1],()2x f x ∀∈≤都成立,求b 【题3】2()f x x bx c =++在定区间[,]m n 上的最大值为M ,则M 有一个最小值2()8m n -,当且仅【题4】设,,a b c R ∈,对任意满足1x ≤的实数x ,都有21ax bx c ++≤,则a b c ++的最大可能值为___【题5】设函数(),,f x x ax b a b R =--∈,若对任意实数,a b ,总存在实数0[0,4]x ∈使得不等式0()f x m ≥成立,求实数m 的取值范围【题6】设2()(0)f x ax bx c a =++≠,当1x ≤时,总有()1f x ≤,求证:当2x ≤时,()7f x ≤【推广】设2()(0)f x ax bx c a =++≠,当1x ≤时,总有()f x k ≤,求证:当x n ≤时,2()(21)f x n k≤-【题7】已知二次函数22(),(),(1)1,(0)1,(1)1f x ax bx c g x cx bx a f f f =++=++-≤≤≤求证:当11x -≤≤时,(1)5()4f x ≤(2)()2g x ≤【题8】设函数2()f x ax bx c =++对一切[1,1]x ∈-都有()1f x ≤,求证对一切[1,1]x ∈-都有24ax b +≤【推广】设函数2()f x ax bx c =++对一切[1,1]x ∈-都有()1f x ≤,求证对一切[1,1]x ∈-都有2(*)nax b n n N +≤∈【题9】设,,a b c R ∈,对任意满足01x ≤≤的实数x ,都有21ax bx c ++≤,则a b c ++的最大可能值为___【题10】设函数1()(1,)f x x c b c R x b=++<-∈-,函数()()g x f x =在区间[1,1]-上的最大值为M ,若M k ≥对任意的,b c 成立,求k 最大。
含绝对值的函数知识定位灵活的掌握含有绝对值的函数,主要包括图像画法、函数解析式、与分段函数之间的联系。
本节我们通过一些实例的求解,旨在介绍数学竞赛中与二次函数相关问题的常见题型及其求解方法本讲将通过例题来说明这些方法的运用知识梳理1、用“三点定形法”画单绝对值函数)0()(≠+-=a k h x a x f 的图象:)0()(≠+-=a k h x a x f 与)0()()(2≠+-=a k h x a x g 的图象类似,它们的顶点都是(k h ,),开口方向相同,对称轴相同,单调区间相同。
所不同的是前者的图象是折线,在对称轴两侧是两条射线,而后者的图象是抛物线,在对称轴两侧是两条曲线。
所以可用三点定其型。
三点中,顶点(k h ,)必取,然后在其两侧任意各取一点,分别以顶点为端点,过另一点作出射线,即得)0()(≠+-=a k h x a x f 的图象。
2.用“两点定形法”作双绝对值差式函数b x a x x f ---=)(的图象(1)当a<b 时,⎪⎩⎪⎨⎧>-≤≤-+<-=---=)()(2)()(b x a b b x a ba x a x ba b x a x x f ,可见其图象是由两端为两条平行的射线,中间为连接两射线的端点构成的图形,而图象总是在两个绝对值代数式的零点处转折。
(2)当a>b 时同理。
据此,可以点))(,()),(,(b f b a f a 确定函数b x a x x f ---=)(的图象3.用“多点定形法”作多绝对值函数)()(212211i i i a a a a x m a x m a x m x f <<<-++-+-= 的图象因为⎪⎪⎩⎪⎪⎨⎧≥+++-++++<≤+++-+---+<++++----=)()()()()()()()()()(221121212211211221121i i i i i i i i i i a x a m a m a m x m m m a x a a m a m a m x m m m a x a m a m a m x m m m x f可知其图象是由i 个顶点i A A A 21、、、 决定的折线图,各顶点横坐标由各绝对值代数式的零点决定,中间由1-i 条顺次连接相邻两点的线段组成,两端为两条射线。
复习二次函数一、选择题:1. 抛物线3)2(2+-=x y 的对称轴是( )A. 直线3-=xB. 直线3=xC. 直线2-=xD. 直线2=x2. 二次函数c bx ax y ++=2的图象如右图,则点),(acb M 在( )A. 第一象限B. 第二象限C. 第三象限D. 第四象限3. 已知二次函数c bx ax y ++=2,且0<a ,0>+-c b a ,则一定有( ) A. 042>-ac bB. 042=-ac bC. 042<-ac bD. ac b 42-≤04. 把抛物线c bx x y ++=2向右平移3个单位,再向下平移2个单位,所得图象的解析式是532+-=x x y ,则有( ) A. 3=b ,7=c B. 9-=b ,15-=c C. 3=b ,3=cD. 9-=b ,21=c5. 下面所示各图是在同一直角坐标系内,二次函数c x c a ax y +++=)(2与一次函数c ax y +=的大致图象,有且只有一个是正确的,正确的是( )D6. 抛物线322+-=x x y 的对称轴是直线( ) A. 2-=xB. 2=xC. 1-=xD. 1=x7. 二次函数2)1(2+-=x y 的最小值是( ) A. 2-B. 2C. 1-D. 18. 二次函数c bx ax y ++=2的图象如图所示,若c b a M ++=24c b a N +-=,b a P -=4,则( )A. 0>M ,0>N ,0>PB. 0<M ,0>N ,0>PC. 0>M ,0<N ,0>PD. 0<M ,0>N ,0<P二、填空题:9. 将二次函数322+-=x x y 配方成kh x y +-=2)(的形式,则y =______________________.10. 已知抛物线c bx ax y ++=2与x 轴有两个交点,那么一元二次方程02=++c bx ax 的根的情况是______________________.11. 已知抛物线c x ax y ++=2与x 轴交点的横坐标为1-,则c a +=_________. 12. 请你写出函数2)1(+=x y 与12+=x y 具有的一个共同性质:_______________. 13. 已知二次函数的图象开口向上,且与y 轴的正半轴相交,请你写出一个满足条件的二次函数的解析式:_____________________. 14. 如图,抛物线的对称轴是1=x ,与x 轴交于A 、B 两点,若B 点坐标是)0,3(,则A点的坐标是三、解答题:1. 已知函数12-+=bx x y 的图象经过点(3,2).(1)求这个函数的解析式; (2)当0>x 时,求使y ≥2的x 的取值范围.2、如右图,抛物线n x x y ++-=52经过点)0,1(A ,与y 轴交于点B .(1)求抛物线的解析式;(2)P 是y 轴正半轴上一点,且△P AB 是以AB 为腰的等腰三角形,试求点P 的坐标.3.如图,抛物线y 1=﹣x 2+2向右平移1个单位得到抛物线y 2,回答下列问题: (1)抛物线y 2的顶点坐标 ; (2)阴影部分的面积S= ;(3)若再将抛物线y 2绕原点O 旋转180°得到抛物线y 3,求抛物线y 3的解析式.4.(1999•烟台)如图,已知抛物线y=ax 2+bx+交x 轴正半轴于A ,B 两点,交y 轴于点C ,且∠CBO=60°,∠CAO=45°,求抛物线的解析式和直线BC 的解析式.5.如图,抛物线y=x 2+bx ﹣c 经过直线y=x ﹣3与坐标轴的两个交点A ,B ,此抛物线与x 轴的另一个交点为C ,抛物线的顶点为D .(1)求此抛物线的解析式;(2)点P为抛物线上的一个动点,求使S△APC:S△ACD=5:4的点P的坐标.6.如图,抛物线y=a(x+1)2的顶点为A,与y轴的负半轴交于点B,且OB=OA.(1)求抛物线的解析式;(2)若点C(﹣3,b)在该抛物线上,求S△ABC的值.7.如图,抛物线y=x2﹣2x+c的顶点A在直线l:y=x﹣5上.(1)求抛物线顶点A的坐标及c的值;(2)设抛物线与y轴交于点B,与x轴交于点C、D(C点在D点的左侧),试判断△ABD的形状.8、某公司推出了一种高效环保型洗涤用品,年初上市后,公司经历了从亏损到赢利的过程,下面的二次函数图象(部分)刻画了该公司年初以来累积利润s(万元)与销售时间t(月)之间的关系(即前t个月的利润总和s与t之间的关系).(1)由已知图象上的三点坐标,求累积利润s(万元)与销售时间t(月)之间的函数关系式;(2)求截止到几月累积利润可达到30万元;(3)求第8个月公司所获利润是多少万元?参考答案 一、选择题:二、填空题: 1. 2)1(2+-=x y2. 有两个不相等的实数根3. 14. (1)图象都是抛物线;(2)开口向上;(3)都有最低点(或最小值)5. 358512+-=x x y 或358512-+-=x x y 或178712+-=x x y 或178712-+-=x x y 6. 122++-=x x y 等(只须0<a ,0>c ) 7. )0,32(-8. 3=x ,51<<x ,1,4 三、解答题:1. 解:(1)∵函数12-+=bx x y 的图象经过点(3,2),∴2139=-+b . 解得2-=b . ∴函数解析式为122--=x x y .(2)当3=x 时,2=y .根据图象知当x ≥3时,y ≥2.∴当0>x 时,使y ≥2的x 的取值范围是x ≥3.2. 解:(1)由题意得051=++-n . ∴4-=n . ∴抛物线的解析式为452-+-=x x y .(2)∵点A 的坐标为(1,0),点B 的坐标为)4,0(-. ∴OA =1,OB =4.在Rt △OAB 中,1722=+=OB OA AB ,且点P 在y 轴正半轴上.①当PB =P A 时,17=PB . ∴417-=-=OB PB OP . 此时点P 的坐标为)417,0(-.②当P A =AB 时,OP =OB =4 此时点P 的坐标为(0,4).3. 解:(1)设s 与t 的函数关系式为c bt at s ++=2,由题意得⎪⎩⎪⎨⎧=++-=++-=++;5.2525,224,5.1c b a c b a c b a 或⎪⎩⎪⎨⎧=-=++-=++.0,224,5.1c c b a c b a 解得⎪⎪⎩⎪⎪⎨⎧=-==.0,2,21c b a ∴t t s 2212-=.(2)把s =30代入t t s 2212-=,得.221302t t -= 解得101=t ,62-=t (舍去) 答:截止到10月末公司累积利润可达到30万元. (3)把7=t 代入,得.5.10727212=⨯-⨯=s 把8=t 代入,得.16828212=⨯-⨯=s 5.55.1016=-. 答:第8个月获利润5.5万元.4. 解:(1)由于顶点在y 轴上,所以设这部分抛物线为图象的函数的解析式为1092+=ax y . 因为点)0,25(-A 或)0,25(B 在抛物线上,所以109)25(·02+-=a ,得12518-=a . 因此所求函数解析式为109125182+-=x y (25-≤x ≤25).(2)因为点D 、E 的纵坐标为209,所以10912518209+-=,得245±=x .所以点D 的坐标为)209,245(-,点E 的坐标为)209,245(.所以225)245(245=--=DE .因此卢浦大桥拱内实际桥长为385227501.01100225≈=⨯⨯(米).5. 解:(1)∵AB =3,21x x <,∴312=-x x . 由根与系数的关系有121=+x x .∴11-=x ,22=x . ∴OA =1,OB =2,2·21-==amx x . ∵1tan tan =∠=∠ABC BAC ,∴1==OBOCOA OC . ∴OC =2. ∴2-=m ,1=a .∴此二次函数的解析式为22--=x x y .(2)在第一象限,抛物线上存在一点P ,使S △P AC =6.解法一:过点P 作直线MN ∥AC ,交x 轴于点M ,交y 轴于N ,连结P A 、PC 、MC 、NA . ∵MN ∥AC ,∴S △MAC =S △NAC = S △P AC =6. 由(1)有OA =1,OC =2. ∴6121221=⨯⨯=⨯⨯CN AM . ∴AM =6,CN =12. ∴M (5,0),N (0,10).∴直线MN 的解析式为102+-=x y .由⎩⎨⎧--=+-=,2,1022x x y x y 得⎩⎨⎧==;4311y x ⎩⎨⎧=-=18,422y x (舍去) ∴在 第一象限,抛物线上存在点)4,3(P ,使S △P AC =6. 解法二:设AP 与y 轴交于点),0(m D (m >0) ∴直线AP 的解析式为m mx y +=.⎩⎨⎧+=--=.,22m mx y x x y ∴02)1(2=--+-m x m x .∴1+=+m x x P A ,∴2+=m x P . 又S △P AC = S △ADC + S △PDC =P x CD AO CD ·21·21+=)(21P x AO CD +. ∴6)21)(2(21=+++m m ,0652=-+m m ∴6=m (舍去)或1=m .∴在 第一象限,抛物线上存在点)4,3(P ,使S △P AC =6.提高题1. 解:(1)∵抛物线c bx x y ++=2与x 轴只有一个交点,∴方程02=++c bx x 有两个相等的实数根,即042=-c b . ① 又点A 的坐标为(2,0),∴024=++c b . ② 由①②得4-=b ,4=a .(2)由(1)得抛物线的解析式为442+-=x x y . 当0=x 时,4=y . ∴点B 的坐标为(0,4).在Rt △OAB 中,OA =2,OB =4,得5222=+=OB OA AB . ∴△OAB 的周长为5265241+=++.2. 解:(1)76)34()10710710(1022++-=--⨯++-⨯=x x x x x S . 当3)1(26=-⨯-=x 时,16)1(467)1(42=-⨯-⨯-⨯=最大S . ∴当广告费是3万元时,公司获得的最大年利润是16万元.(2)用于投资的资金是13316=-万元.经分析,有两种投资方式符合要求,一种是取A 、B 、E 各一股,投入资金为13625=++(万元),收益为0.55+0.4+0.9=1.85(万元)>1.6(万元);另一种是取B 、D 、E 各一股,投入资金为2+4+6=12(万元)<13(万元),收益为0.4+0.5+0.9=1.8(万元)>1.6(万元).3. 解:(1)设抛物线的解析式为2ax y =,桥拱最高点到水面CD 的距离为h 米,则),5(h D -,)3,10(--h B .∴⎩⎨⎧--=-=.3100,25h a h a 解得⎪⎩⎪⎨⎧=-=.1,251h a∴抛物线的解析式为2251x y -=.(2)水位由CD 处涨到点O 的时间为1÷0.25=4(小时), 货车按原来速度行驶的路程为40×1+40×4=200<280, ∴货车按原来速度行驶不能安全通过此桥. 设货车的速度提高到x 千米/时, 当2801404=⨯+x 时,60=x .∴要使货车安全通过此桥,货车的速度应超过60千米/时. 4. 解:(1)未出租的设备为10270-x 套,所有未出租设备的支出为)5402(-x 元. (2)54065101)5402()1027040(2++-=----=x x x x x y . ∴540651012++-=x x y .(说明:此处不要写出x 的取值范围) (3)当月租金为300元时,租赁公司的月收益为11040元,此时出租的设备为37套;当月租金为350元时,租赁公司的月收益为11040元,此时出租的设备为32套.因为出租37套和32套设备获得同样的收益,如果考虑减少设备的磨损,应选择出租32套;如果考虑市场占有率,应选择出租37套. (4)5.11102)325(1015406510122+--=++-=x x x y . ∴当325=x 时,y 有最大值11102.5. 但是,当月租金为325元时,租出设备套数为34.5,而34.5不是整数,故租出设备应为34套或35套. 即当月租金为为330元(租出34套)或月租金为320元(租出35套)时,租赁公司的月收益最大,最大月收益均为11100元.16.如图,抛物线y 1=﹣x 2+2向右平移1个单位得到抛物线y 2,回答下列问题:(1)抛物线y 2的顶点坐标 (1,2) ; (2)阴影部分的面积S= 2 ;(3)若再将抛物线y 2绕原点O 旋转180°得到抛物线y 3,求抛物线y 3的解析式.20.(1999•烟台)如图,已知抛物线y=ax+bx+交x轴正半轴于A,B两点,交y轴于点C,且∠CBO=60°,∠CAO=45°,求抛物线的解析式和直线BC的解析式.)OA=OC=点坐标(解得﹣((,x+的另一个交点为C,抛物线的顶点为D.(1)求此抛物线的解析式;(2)点P为抛物线上的一个动点,求使S△APC:S△ACD=5:4的点P的坐标.,×(27.如图,抛物线y=a(x+1)的顶点为A,与y轴的负半轴交于点B,且OB=OA.(1)求抛物线的解析式;(2)若点C(﹣3,b)在该抛物线上,求S△ABC的值.)﹣×﹣28.如图,抛物线y=x2﹣2x+c的顶点A在直线l:y=x﹣5上.(1)求抛物线顶点A的坐标及c的值;(2)设抛物线与y轴交于点B,与x轴交于点C、D(C点在D点的左侧),试判断△ABD 的形状.=1精品文档考试教学资料施工组织设计方案。
含绝对值的二次函数含绝对值的二次函数其本质是分段函数,研究含绝对值的二次函数就是分段研究二次函数的局部性态.设定分类讨论的标准是问题解决的前提条件,数形结合则是问题能否正确解决的关键 所在.例1.解下列各题:(1)(2010全国)直线1=y 与曲线a x x y +-=2有4个交点,则实数a 的取值范围是 .(2)(2008浙江)已知t 为常数,函数t x x y --=22在区间]3,0[上的最大值为2,则=t .(3)设集合{}{}2,,022<=∈<++-=x x B R a a a x x x A ,若Φ≠A 且B A ⊆,则实数a 的取值范围是 .例2.设函数R x a x x x f ∈+-+=,1)(2(1)判断函数)(x f 的奇偶性;(2)求函数)(x f 的最小值.例3.已知函数1)(,1)(2-=-=x a x g x x f .(1)若关于x 的方程)()(x g x f =只有一个实数解,求实数a 的取值范围;(2)若R x ∈时,)()(x g x f ≥恒成立,求实数a 的取值范围;(3)求函数)()()(x g x f x h +=在区间]2,2[-上的最大值.例4.设a 为实数,函数2()2()f x x x a x a =+--.(1)若(0)1f ≥,求实数a 的取值范围;(2)求()f x 的最小值.5.含绝对值的二次函数班级 姓名一、综合练习1.设b a <<0,且xx x f ++=11)(,则下列大小关系式成立的是( ) (A ))()2()(ab f b a f a f <+< (B ))()()2(ab f b f b a f <<+ (C ))()2()(a f b a f ab f <+< (D ))()2()(ab f b a f b f <+< 2.已知{}n a 为等差数列,n S 是{}n a 的前n 项和,若9843=++a a a ,则9S = .3.直线750x y +-=截圆221x y +=所得的两段弧长之差的绝对值是 .4.函数y k x a b =--+与y k x c d =-+的图象1(k 0k )3>≠且交于两点)3,8(),5,2(,则c a +的值是_______________. 5.任意满足305030x y x y x -+≤⎧⎪+-≥⎨⎪-≤⎩的实数,x y ,若不等式222()()a x y x y +<+恒成立,则实数a 的取值范围是 .6.已知双曲线22221(0,0)x y a b a b-=>>,N M ,是双曲线上关于原点对称的两点,P 是双曲线上的动点,且直线PN PM ,的斜率分别为12,k k ,021≠k k ,若21k k +的最小值为1,则双曲线的离心率为 .二、本讲练习1.设函数c bx x x x f ++=)(给出下列四个命题:① 0=c 时,)(x f y =是奇函数; ② 0,0>=c b 时,方程0)(=x f 只有一个实根; ③ )(x f y =的图象关于),0(c 对称; ④ 方程0)(=x f 至多有两个实根.其中正确的命题是 ( )(A )①④ (B )①③ (C )①②③ (D )①②④2.若不等式21x x a <-+的解集是区间()33-,的子集,则实数a 的范围为 . 3.设a 为实数,函数a x x x f -=)(,求函数)(x f 在]2,2[-上的最大值.4.己知2)(,0bx ax x f a -=>函数,(1)();2,10b a x f R x b ≤≤∈>证明:都有时,若对任意当(2)当 1>b 时,证明:对任意]1,0[∈x ,1|)(|≤x f 的充要条件是:b a b 21≤≤-.5.已知函数)1(52)(2>+-=a ax x x f .(1)若函数)(x f 的定义域和值域均为],1[a ,求实数a 的值;(2)若)(x f 在区间]2,(-∞上是减函数,且对]1,1[,21+∈∀a x x ,总有4)()(21≤-x f x f ,求实数a 的取值范围.6.已知函数2()(1)||f x x x x a =+--.(1)若1a =-,解方程()1f x =;(2)若函数()f x 在R 上单调递增,求实数a 的取值范围;(3)若1a <且不等式()23f x x ≥-对一切实数x R ∈恒成立,求a 的取值范围.6.已知函数2()(1)||f x x x x a =+--.(1)若1a =-,解方程()1f x =;(2)若函数()f x 在R 上单调递增,求实数a 的取值范围;(3)若1a <且不等式()23f x x ≥-对一切实数x R ∈恒成立,求a 的取值范围.解:(1)当1-=a 时,有⎩⎨⎧-<-≥-=1,11,12)(2x x x x f ………2分 当1-≥x 时,1122=-x ,解得:1=x 或1-=x当1-<x 时,1)(=x f 恒成立 ………4分∴方程的解集为:1|{-≤x x 或}1=x ………5分(2)⎩⎨⎧<-+≥++-=a x a x a a x a x a x x f ,)1(,)1(2)(2 ………7分 若)(x f 在R 上单调递增,则有⎪⎩⎪⎨⎧>+≤+0141a a a ,解得:31≥a ………10分 (3)设)32()()(--=x x f x g ,则⎩⎨⎧<+--≥+++-=a x a x a a x a x a x x g 3)1(,3)3(2)(2 即不等式0)(≥x g 对一切实数R x ∈恒成立 ………11分∵1<a∴当a x <时,)(x g 单调递减,其值域为:),32(2∞++-a a∵22)1(3222≥+-=+-a a a ,∴0)(≥x g 恒成立 ………13分当a x ≥时,∵1<a ,∴43+<a a , ∴08)3(3)43()(2min ≥+-+=+=a a a g x g ,得53≤≤-a∵1<a ,∴13<≤-a ………15分 综上:13<≤-a ………16分。
【二轮复习】 再谈含绝对值的二次函数高考题中的函数解答题目前对同学们来说仍是个难点,尤其当出现含绝对值的“二次”函数时,很多同学感觉无从下手,画不出图、找不出分类讨论的依据,本专题就结合大家所研究过的典型例题,进行归类、对比、体验、感悟,期望大家能总结规律,看透本质,攻克此类题。
绝对值的函数的本质是分段函数,常见的是两段(或三段)均为二次函数或一次、二次组合,就从涉及到的抛物线的对称轴条数,对此类题进行归类。
类型一、同轴型(单轴型)例1、求函数2()|3|f x x ax =--((a 为常数)在[]0,3x ∈上的最大值变式1、已知函数2()|2|f x x x a =-+在[]0,5上的最大值是8,求a 的值变式2、求()||f x x x a =-在[]2,4x ∈时的最大值类型二、异轴型(双轴型)例2、设a R ∈,求函数2()||1f x x x a =+-+的最小值例3、已知函数()|2|2f x x a x x =-+,a R ∈(1) 若f (x )在R 上是增函数,求a 的范围; (2)试求函数f (x )的单调区间; (3)若存在[]2,2a ∈-使方程f (x )-m =0有三个不同的根,求m 的范围(4)若方程有三个不同的根,记为x 1,x 2,x 3,求x 1+x 2+x 3的取值范围例4、已知函数2()|2|f x x x ax a =-++,求()f x 的最小值类型三、异次混合型例5、定义在R 上的函数2()||(1)f x x x a x =---,1a >-若f (x )在[0,1]上的最大值与最小值分别记为M(a ),N(a ),求g(a )= M(a )—N(a )。
初中函数问题涉及到的常用公式或结论及其训练一、 常用公式或结论(1)横线段的长 = x 大-x 小 =x 右-x 左 =横标之差的绝对值(用于情况不明)。
纵线段的长 = y 大-y 小=y 上-y 下 = 纵标之差的绝对值(用于情况不明)。
(2)点轴距离:点P (x 0 ,y 0)到X 轴的距离为0y ,到Y 轴的距离为o x 。
(3)两点间的距离公式:若A (x 1,y 1),B(x 2,y 2), 则 AB=221212()()x x y y -+- (4)点到直线的距离:点P (x 0 ,y 0)到直线Ax+By+C=0 (其中常数A,B,C 最好化为整系数,也方便计算)的距离为:0022Ax By Cd A B++=+(5)中点坐标公式:若A(x 1,y 1),B (x 2,y 2),则线段AB 的中点坐标为(1212,22x x y y ++)(6)直线的斜率公式:若A (x 1,y 1),B (x 2,y 2)(x 1≠x 2),则直线AB 的斜率为:1212=AB y y k x x --,(x 1≠x 2) (7)两直线平行的结论:已知直线l 1: y=k 1x+b 1 ; l 2: y=k 2x+b 2①若l 1//l 2,则k 1=k 2;②若k 1=k 2,且b 1 ≠b 2,则 l 1//l 2。
(8)两直线垂直的结论:已知直线l 1: y=k 1x+b 1 ; l 2: y=k 2x+b 2 ①若l 1┴l 2,则k 1•k 2 =-1;②若k 1•k 2 =-1,则l 1┴l 2(9)直线与抛物线(或双曲线)截得的弦长公式:【初高中数学重要衔接内容之一,设而不求的思想】直线y=kx+n 与抛物线y=ax 2+bx+c (或双曲线y=m/x )截得的弦长公式是:AB=2121x x k -∙+=2122124)(1x x x x k -+∙+证明如下:设直线y=kx+n 与抛物线y=ax 2+bx+c (或双曲线y=m/x )交于A (x 1, y 1), B (x 2, y 2)两点,由两点间的距离公式可得:AB=221221)()(y y x x -+-,因为A (x 1, y 1),B (x 2, y 2)两点是直线y=kx+n 与抛物线抛物线y=ax 2+bx+c (或双曲线y=m/x )的交点,所以 A (x 1, y 1),B (x 2, y 2)两点也在直线y=kx+n 上,∴y 1=kx 1+n, y 2=kx 2+n, ∴y 1-y 2=(kx 1+n )—(kx 2+n )=kx 1-kx 2=k (x 1-x 2), ∴AB=2212221)()(x x k x x -+-=2212))(1(x x k -+=2121x x k -∙+=2122124)(1x x x x k -+∙+而x 1, x 2显然是直线y=kx+n 与抛物线y=ax 2+bx+c (或双曲线y=m/x )组成方程组后,消去y (用代入法)所得到的那个一元二次方程的两根,从而运用韦达定理x 1+x 2 , x 1∙x 2可轻松求出,进而直线与抛物线(或双曲线)截得的弦长就很容易计算或表示出来。
二次函数知识点及练习题一、二次函数知识点:1.二次函数的概念:一般地,形如2y ax bx c =++(a b c ,,是常数,0a ≠)的函数,叫做二次函数。
2.二次函数2y ax bx c =++的结构特征:a b c ,,是常数,a 是二次项系数,b 是一次项系数,c 是常数项. 二次函数的基本形式:2y ax =的性质:结论:a 的绝对值越大,抛物线的开口越小。
总结:2.2y ax c =+的性质:结论:上加下减。
总结:3.()2y a x h =-的性质:结论:左加右减。
总结:4.()2y a x h k =-+的性质:总结:二次函数图象的平移:1.平移步骤:⑴将抛物线解析式转化成顶点式()2y a x h k =-+,确定其顶点坐标()h k ,; ⑵保持抛物线2y ax =的形状不变,将其顶点平移到()h k ,处,具体平移方法如下:【或左(h <0)】向右(h >0)【或左(h 平移|k|个单位2.平移规律:在原有函数的基础上“h 值正右移,负左移;k 值正上移,负下移”. 概括成八个字“左加右减,上加下减”.三、二次函数()2y a x h k =-+与2y ax bx c =++的比较:请将2245y x x =++利用配方的形式配成顶点式。
请将2y ax bx c =++配成()2y a x h k =-+。
总结:从解析式上看,()2y a x h k =-+与2y ax bx c =++是两种不同的表达形式,后者通过配方可以得到前者,即22424b ac b y a x a a -⎛⎫=++ ⎪⎝⎭,其中2424b ac b h k a a -=-=,. 四、二次函数2y ax bx c =++的性质:1.当0a >时,抛物线开口向上,对称轴为2bx a=-,顶点坐标为2424b ac b aa ⎛⎫-- ⎪⎝⎭,.当2b x a <-时,y 随x 的增大而减小;当2bx a >-时,y 随x 的增大而增大; 当2bx a=-时,y 有最小值244ac b a -.2.当0a <时,抛物线开口向下,对称轴为2b x a =-,顶点坐标为2424b ac b a a ⎛⎫-- ⎪⎝⎭,.当2bx a <-时,y 随x 的增大而增大;当2b x a >-时,y 随x 的增大而减小;当2bx a=-时,y 有最大值244ac b a -.五、二次函数解析式的表示方法:1.一般式:2y ax bx c =++(a ,b ,c 为常数,0a ≠);2.顶点式:2()y a x h k =-+(a ,h ,k 为常数,0a ≠);3.两根式:12()()y a x x x x =--(0a ≠,1x ,2x 是抛物线与x 轴两交点的横坐标). 六、二次函数图象的对称1.关于x 轴对称:2y ax bx c =++关于x 轴对称后,得到的解析式是2y ax bx c =---; ()2y a x h k =-+关于x 轴对称后,得到的解析式是()2y a x h k =---;2.关于y 轴对称:2y ax bx c =++关于y 轴对称后,得到的解析式是2y ax bx c =-+; ()2y a x h k =-+关于y 轴对称后,得到的解析式是()2y a x h k =++;二、对应练习题: 练习一 二次函数1.下列函数:① y =;② ()21y x x x =-+;③ ()224y x x x =+-;④ 21y x x =+; ⑤ ()1y x x =-,其中是二次函数的是 ,其中a = ,b = ,c = ; 2.当m 时,函数()2235y m x x =-+-(m 为常数)是关于x 的二次函数; 3.当____m =时,函数()2221m m y m m x--=+是关于x 的二次函数;4.当____m =时,函数()2564m m y m x-+=-+3x 是关于x 的二次函数;练习二 函数2ax y =的图象与性质1.填空:(1)抛物线221x y =的对称轴是 (或 ),顶点坐标是 ,当x 时,y 随x 的增大而增大,当x 时,y 随x 的增大而减小,当x= 时,该函数有最 值是 ; (2)抛物线221x y -=的对称轴是 (或 ),顶点坐标是 ,当x 时, y 随x 的增大而增大,当x 时,y 随x 的增大而减小,当x= 时,该函数有最 值是 ; 2.对于函数22x y =下列说法:①当x 取任何实数时,y 的值总是正的;②x 的值增大,y 的值也增大; ③y 随x 的增大而减小;④图象关于y 轴对称.其中正确的是 .3.抛物线y =-x 2不具有的性质是( ) A 、开口向下 B 、对称轴是 y 轴 C 、与 y 轴不相交 D 、最高点是原点 4.函数2ax y =与b ax y +-=的图象可能是( )A .B .C .D .练习三 函数c ax y +=2的图象与性质1.抛物线322--=x y 的开口 ,对称轴是 ,顶点坐标是 ,当x 时, y 随x 的增大而增大, 当x 时, y 随x 的增大而减小. 2.将抛物线231x y =向下平移2个单位得到的抛物线的解析式为 ,再向上平移3个单位得到的抛物线的解析式为 ,并分别写出这两个函数的顶点坐标 、 .3.任给一些不同的实数k ,得到不同的抛物线k x y +=2,当k 取0,1±时,关于这些抛物线有以下判断:①开口方向都相同;②对称轴都相同;③形状相同;④都有最底点.其中判断正确的是 . 4.将抛物线122-=x y 向上平移4个单位后,所得的抛物线是 ,当x= 时,该抛物线有最 (填大或小)值,是 .练习四 函数()2h x a y -=的图象与性质1.抛物线()2321--=x y ,顶点坐标是 当x 时,y 随x 的增大而减小, 函数有最 值 . 练习五 ()k h x a y +-=2的图象与性质1.二次函数 y =(x -1)2+2,当 x =____时,y 有最小值;2.函数 y =12(x -1)2+3,当 x ____时,函数值 y 随 x 的增大而增大;练习六 c bx ax y ++=2的图象和性质1.抛物线251222+-=x x y 的开口方向是 ,对称轴是 ,顶点坐标是 ; 2.试写出一个开口方向向上,对称轴为直线x=-2,且与y 轴的交点坐标为(0,3)的抛物线的解析式 ; 3.将 y =x 2-2x +3 化成 y =a (x -h)2+k 的形式,则 y =____; 4.把二次函数215322y x x =---的图象向上平移3个单位,再向右平移4个单位,则两次平移后的函数图象的关系式是 ;5.抛物线1662--=x x y 与x 轴交点的坐标为______;6.函数x x y +-=22有最____值,最值为_______。
培优专题01 二次函数含参数最值问题【题型目录】题型一:定轴动区间问题题型二:定区间动轴问题题型三:含绝对值二次函数问题题型四:定义域为[]n m ,,值域为[]kn km ,求参数问题题型五:二次函数值域包含性问题【典型例题】题型一:定轴动区间问题【例1】已知二次函数满足2()(0)f x ax bx c a =++≠,满足(1)()21f x f x x +-=-,且(0)0f =.(1)求()f x 的解析式;(2)当[]()2R x t t t ∈+∈,时,求函数()f x 的最小值()g t (用t 表示). 【答案】(1)()22f x x x =-(2)()222,11,112,1t t t g t t t t t ⎧-≥⎪=--<<⎨⎪+≤-⎩【分析】(1)由题意可得0c ,再代入(1)()21f x f x x +-=-到2()(0)f x ax bx a =+≠,化简可求出,a b ,从而可求出()f x 的解析式.(2)求出抛物线的对称轴,然后分1,21t t ≥+≤和11t t <<+三种情况求解函数的最小值.【详解】(1)因为二次函数2()(0)f x ax bx c a =++≠,且满足(0)0f =,(1)()21f x f x x +-=-,所以0c ,()()221121221a x b x ax bx x ax a b x +++--=-⇒++=-,所以221a a b =⎧⎨+=-⎩ ,得12a b =⎧⎨=-⎩. 所以()22f x x x =-.(2)()22f x x x =-是图象的对称轴为直线1x =,且开口向上的二次函数.当1t ≥时,()22f x x x =-在[]()2R x t t t ∈+∈,上单调递增,则()()2min 2f x f t t t ==-;当21t +≤即1t ≤-时,()22f x x x =-在[]()2R x t t t ∈+∈,上单调递减,则()()()()22min 22222f x f t t t t t =+=+-+=+;当11t t <<+,即11t -<<时,()()()2min 11211f x f ==-=-;综上所述()222,11,112,1t t t g t t t t t ⎧-≥⎪=--<<⎨⎪+≤-⎩. 【例2】已知定义在R 上的函数()f x ,满足()226f x x x -=--.(1)求()f x 的解析式.(2)若()f x 在区间[]0,m 上的值域为25,44⎡⎤--⎢⎥⎣⎦,写出实数m 的取值范围(不必写过程). (3)若()f x 在区间[],2t t +上的最小值为6,求实数t 的值. 【答案】(1)()234f x x x =--;(2)332m ≤≤;(3)4t =-或5t =. 【分析】(1)利用换元法即得;(2)由题可得()232524f x x ⎛⎫=-- ⎪⎝⎭,可得函数的最小值()254f x =-,结合条件进而即得; (3)分类讨论结合二次函数的性质即得.(1)∵()226f x x x -=--,令2u x =-,则2x u =-,∵()()()222226442634f u u u u u u u u =----=-+-+-=--,所以()234f x x x =--; (2)∵()2299325344424f x x x x ⎛⎫=-+--=-- ⎪⎝⎭, ∵当32x =时,32524f ⎛⎫=- ⎪⎝⎭, 当()4f x =-时,2434x x -=--,解得:0x =或3x =,∵()f x 在区间[]0,m 上的值域为25,44⎡⎤--⎢⎥⎣⎦, ∵332m ≤≤;(3)∵()234f x x x =--,对称轴为32x =, 当322t +<时,则21t <-,函数在[],2t t +上单调递减, 当2x t =+时,函数的最小值()()()2223246f t t t +=+-+-=,解得4t =-或3t =(舍);当322t t ≤≤+时,则1322t -≤≤, 则此时,当32x =时,函数的最小值()2564f x =-≠,不符合题意; 当32t >时,函数在[],2t t +上单调递增, 当x t =时,()2346f t t t =--=,解得:2t =-或5t =,∵32t >, ∵2t =-(舍),故5t =;综上:4t =-或5t =.【例3】对于函数()f x ,若存在0R x ∈,使得00f x x =成立,则称0x 为()f x 的不动点,已知函数2()(2)4f x ax b x =+++的两个不动点分别是-2和1.(1)求,a b 的值及()f x 的表达式;(2)当函数()f x 的定义域是[,1]t t +时,求函数()f x 的最大值()g t .【答案】(1)23a b =-⎧⎨=-⎩,()224f x x x =--+ (2)()225251,43351,844124,4t t t g t t t t t ⎧--+≤-⎪⎪⎪=-<≤-⎨⎪⎪--+>-⎪⎩【分析】(1)根据不动点可列方程求解,a b ,(2)分类讨论定义域与对称轴的位置关系,结合二次函数的单调性即可求解.(1)依题意得()()2211f f -=-⎧⎪⎨=⎪⎩,即()42242241a b a b ⎧-++=-⎨+++=⎩ , 解得23a b =-⎧⎨=-⎩. ()224f x x x ∴=--+.(2)∵当区间[],1t t +在对称轴14x =-左侧时,即114t +≤-,也即54t ≤-时,()f x 在[],1t t +单调递增,则最大值为()21251f t t t +=--+;∵当对称轴14x =-在[],1t t +内时,即114t t <-<+也即5144t -<<-时,()f x 的最大值为13348f ⎛⎫-= ⎪⎝⎭. ∵当[],1t t +在14x =-右侧时,即14t ≥-时,()f x 在[],1t t +单调递减,则最大值为()224f t t t =--+. 所以()225251,43351,844124,4t t t g t t t t t ⎧--+≤-⎪⎪⎪=-<≤-⎨⎪⎪--+>-⎪⎩. 【例4】已知函数()f x 为二次函数,不等式()0f x >的解集是1,5,且()f x 在区间[1,4]-上的最小值为12-.(1)求()f x 的解析式;(2)设函数()f x 在[,1]t t +上的最大值为()g t ,求()g t 的表达式.【答案】(1)()265f x x x =-+-(2)()224,24,2365,3t t t g t t t t t ⎧-+≤⎪=<<⎨⎪-+-≥⎩【分析】(1)根据题意,设()()1(5)f x a x x =--,可得函数的对称轴3x =,再根据函数在[]1,4-上的最小值,求出a ,可得函数()f x 数的表达式;(2)分13t +时、3t 时和23t <<时三种情况,分别讨论函数的单调性,可得相应情况下函数的最大值,最后综合可得()g t 的表达式.(1)解:因为不等式()0f x >的解集是()1,5,所以()0f x =的两根为1和5,且函数开口向下,故可设()()()15f x a x x =--()0a <,所以函数的对称轴为1532x +==,所以当[]1,4x ∈-时,()()min 11212f x f a =-==-,解得1a =-,故()()()15f x x x =---,即()265f x x x =-+-(2)解:因为()()226534f x x x x =-+-=--+,当13t +≤时,即2t ≤时,()f x 在[],1t t +上单调递增,所以 ()()214g t f t t t =+=-+,当31t t <<+时,即23t <<时,()f x 在[],3t 上单调递增,在(]3,1t +上单调递减,所以()()34g t f ==;当3t ≥时,()f x 在[],1t t +上单调递减,所以()()265g t f t t t ==-+-;综合以上得()224,24,2365,3t t t g t t t t t ⎧-+≤⎪=<<⎨⎪-+-≥⎩【例1】已知函数2()f x x mx m =-+-.(1)若函数()f x 在[]1,0-上单调递减,求实数m 的取值范围;(2)若当1x >时,()4f x <恒成立,求实数m 的取值范围;(3)是否存在实数m ,使得()f x 在[]2,3上的值域恰好是[]2,3?若存在,求出实数m 的值;若不存在,说明理由.【答案】(1)2m ≤-;(2)()225-∞+,;(3)存在,6m =. 【分析】(1)根据对称轴和区间端点的相对位置即可求得m 的取值范围.(2)分类讨论当1x >时函数的最大值小于4恒成立即可求得m 的取值范围.(3)分类讨论得函数的值域结合已知条件求得m 的值.【详解】(1)函数()f x 图象开口向下且对称轴是2m x =,要使()f x 在[1,0]-上单调递减,应满足12-≤m ,解得2-≤m .(2)函数()f x 图象的对称轴是2m x =. 当12m ≤时,()4f x <恒成立,故()114f =-<,所以2m ≤; 当12m >时,()4f x <恒成立,故22244160242m m m f m m m ⎛⎫=-+-<⇒--< ⎪⎝⎭; 所以2225m <<+综上所述:m 的取值范围()225-∞+, (3)当22≤m ,即4≤m 时,()f x 在[2,3]上递减, 若存在实数m ,使()f x 在[2,3]上的值域是[2,3],则(2)3,(3)2,f f =⎧⎨=⎩即423,932,m m m m -+-=⎧⎨-+-=⎩,此时m 无解. 当32≥m ,即6≥m 时,()f x 在[2,3]上递增,则(2)2,(3)3,f f =⎧⎨=⎩即422,933,m m m m -+-=⎧⎨-+-=⎩解得6m =. 当232m <<,即46m <<时,()f x 在[2,3]上先递增,再递减,所以()f x 在2m x =处取得最大值,则23222m m m f m m ⎛⎫⎛⎫=-+⋅-= ⎪ ⎪⎝⎭⎝⎭,解得2m =-或6,舍去. 综上可得,存在实数6m =,使得()f x 在[2,3]上的值域恰好是[2,3].【例2】已知二次函数()2f x ax bx c =++的图象过点()0,3,且不等式20ax bx c ++≤的解集为{}13x x ≤≤.(1)求()f x 的解析式:(2)若()()()24g x f x t x =--在区间[]1,2-上有最小值2,求实数t 的值.【答案】(1)()243f x x x =-+;(2)1±【分析】(1)根据题意得()30f c ==,又由一元二次不等式的解可知,1和3是方程230ax bx ++=的两根,利用根与系数的关系即可求参数,写出解析式;(2)由二次函数的开口及对称轴,结合其在闭区间上的最小值,讨论t ≤−1、−1<t <2、t ≥2三种情况下求符合条件的t 值即可.(1)由题意可得:()30f c ==∵不等式230ax bx ++≤的解集为{}13x x ≤≤,则230ax bx ++=的两根为1,3,且0a >∵=43=3b a a -⎧⎪⎪⎨⎪⎪⎩,解得=1=4a b -⎧⎨⎩故()243f x x x =-+(2)由(1)可得()()()22423g x f x t x x tx =--=-+的对称轴为=x t当1t ≤-时,则()g x 在[]1,2-上单调递增∵()()1242g x g t ≥-=+=,则1t =-当12t -<<时,则()g x 在[]1,t -上单调递减,在(],2t 上单调递增∵()()232g x g t t ≥=-=,则=1t 或1t =-(舍去)当2t ≥时,则()g x 在[]1,2-上单调递减∵()()2742g x g t ≥=-=,则54t =(舍去)综上所述:实数t 的值为1±.【例3】已知函数2()f x x ax b =++.(1)若函数()f x 在(1,)+∞上是增函数,求实数a 的取值范围;(2)若不等式()0f x ≤的解集为{|02}x x ≤≤,求,a b 的值;(3)若1b =时,求[0,3]x ∈时()f x 的最小值()g a . 【答案】(1)[2,)-+∞;(2)2a =-,0b =;(3)21,0()1,604103,6a a g a a a a ≥⎧⎪⎪=--<<⎨⎪+≤-⎪⎩ 【分析】(1)根据函数()f x 的对称轴为2a x =-,且在(1,)+∞上是增函数,可得12a -≤,由此求得a 的范围; (2)由题意得0,2是方程的两个实数根,利用一元二次方程根与系数的关系,求出,ab 的值; (3)根据()f x 的对称轴和区间的关系分类讨论,根据函数的单调性求得()g a .(1)∵函数2()f x x ax b =++的对称轴为2a x =-,且()f x 在(1,)+∞上是增函数, ∵12a -≤,解得2a ≥-, ∵实数a 的取值范围是[2,)-+∞.(2)若不等式()0f x ≤的解集为{|02}x x ≤≤,则0,2是方程20x ax b ++=的两个实数根,∵0202a b +=-⎧⎨⨯=⎩,∵20a b =-⎧⎨=⎩. (3)若1b =,则2()1=++f x x ax ,对称轴为2a x =-, 当02a -≤,即0a ≥时,函数()f x 在到[0,3]单调递增, 则()()min 01f x f ==,当032a <-<,即60a -<<时, 函数()f x 在0,2a ⎛⎫- ⎪⎝⎭单调递减,在,32a ⎛⎫- ⎪⎝⎭单调递增, 则()222min112424a a a a f x f ⎛⎫=-=-+=- ⎪⎝⎭, 当32a -≥,即6a ≤-时,函数()f x 在[0,3]单调递减, 则()()min 3103f x f a ==+,综上,21,0()1,604103,6a a g a a a a ≥⎧⎪⎪=--<<⎨⎪+≤-⎪⎩. 【例4】已知函数()223f x x bx =-+,Rb ∈.(1)若函数()f x 的图象经过点()4,3,求实数b 的值;(2)在(1)条件下,求不等式()0f x <的解集;(3)当[]1,2x ∈-时,函数()y f x =的最小值为1,求当[]1,2x ∈-时,函数()y f x =的最大值.【答案】(1)2b =;(2){}13x x <<;(3)当1b ≤-时,()f x 的最大值为13,当12b -<<时,()f x 最大值为422+.【分析】(1)由题可得()43f =,进而即得;(2)利用二次不等式的解法即得;(3)对()f x 的对称轴与区间[]1,2-的关系进行分情况讨论,判断()f x 的单调性,利用单调性解出b ,再求出最大值.(1)由题可得()244833f b =-+=,∵2b =;(2)由()2430f x x x =-+<,解得13x <<,所以不等式()0f x <的解集为{}13x x <<;(3)因为2()23f x x bx =-+是开口向上,对称轴为x b =的二次函数,∵若1b ≤-,则()f x 在[]1,2-上是增函数,∵min ()(1)421f x f b =-=+=,解得32b =-, ∵max ()(2)7413f x f b ==-=;∵若2b ≥,则()f x 在[]1,2-上是减函数,∵min ()(2)741f x f b ==-=,解得32b =(舍); ∵若12b -<<,则()f x 在[]1,b -上是减函数,在(],2b 上是增函数;∵2min ()()31f x f b b ==-=,解得2b =或2b =-(舍).∵max ()(1)42422f x f b =-=+=+;综上,当1b ≤-时,()f x 的最大值为13,当12b -<<时,()f x 最大值为422+.【例5】在∵[]2,2x ∀∈-,∵[]1,3x ∃∈这两个条件中任选一个,补充到下面问题的横线中,并求解该问题.已知函数()24f x x ax =++.(1)当2a =-时,求函数()f x 在区间[]22-,上的值域; (2)若______,()0f x ≥,求实数a 的取值范围.【答案】(1)[]3,12(2)答案见解析【分析】(1)利用二次函数的性质直接求解其值域,(2)若选条件∵,求出抛物线的对称轴,分22a -≤-,222a -<-<和22a -≥三种情况求出函数的最小值,使最小值大于等于零,即可求出a 的取值范围,若选条件∵,则()max 0f x ≥,由抛物线的性质可得()10f ≥或()30f ≥,从而可求出a 的取值范围.(1)当2a =-时,()()222413f x x x x =-+=-+,∵()f x 在[]2,1-上单调递减,在[]1,2上单调递增,∵()()min 13f x f ==,()()max 212f x f =-=,∵函数()f x 在区间[]22-,上的值域为[]3,12. (2)方案一:选条件∵.由题意,得()22424a a f x x ⎛⎫=++- ⎪⎝⎭. 若22a -≤-,即4a ≥,则函数()f x 在区间[]22-,上单调递增, ∵()()min 2820f x f a =-=-≥,解得4a ≤,又4a ≥,∵a =4.若222a -<-<,即44a -<<,则函数()f x 在区间2,2a ⎡⎤--⎢⎥⎣⎦上单调递减,在区间,22a ⎡⎤-⎢⎥⎣⎦上单调递增, ∵()2min 4024a a f x f ⎛⎫=-=-≥ ⎪⎝⎭, 解得44a -≤≤,∵44a -<<.若22a -≥,即4a ≤-,则函数()f x 在区间[]22-,上单调递减, ∵()()min 2820f x f a ==+≥,解得4a ≥-,又4a ≤-,∵a =-4.综上所述,实数a 的取值范围为[]4,4-. 方案二:选条件∵. ∵[]1,3x ∃∈,()0f x ≥, ∵()max 0f x ≥,∵函数()f x 的图象是开口向上的抛物线,最大值只可能在区间端点处取得. ∵()10f ≥或()30f ≥,解得5a ≥-或133a ≥-, ∵5a ≥-.故实数a 的取值范围为[)5,-+∞. 【例1】已知二次函数()()20,,,f x ax bx c a a b c =++>∈R ,()11f -=,对任意x ∈R ,()()2f x f x +=-,且()0f x x +≥恒成立. (1)求二次函数()f x 的解析式;(2)若函数()()42g x f x x x λ=++-的最小值为5,求实数λ的值. 【答案】(1)()2111424f x x x =-+,(2)174λ=± 【分析】(1)根据()()2f x f x +=-得到420a b +=,根据()0f x x +≥恒成立得到a c =,结合()11f a b c -=-+=,求出11,42a b ==-,14c =,求出二次函数解析式;(2)结合第一问,将()()42g x f x x x λ=++-写出分段函数,分12λ<-,1122λ-≤≤与12λ>三种情况,结合函数单调性,最小值为5,列出方程,求出实数λ的值. 【详解】(1)由题意得:()11f a b c -=-+=,且0a ≠,()()210f x x ax b x c +=+++≥恒成立,故()2Δ140a b ac >⎧⎪⎨=+-≤⎪⎩, 将1b a c +=+代入()2140b ac +-≤中,()20a c -≤, 故a c =,从而21a b c a b -+=-=,由()()2f x f x +=-得:()()()22222f x a x b x c ax bx c +=++++=-+,整理得()42420a b x a b +++=,故420a b +=, 联立21a b -=与420a b +=,解得:11,42a b ==-,故14c a ==, 二次函数解析式为()2111424f x x x =-+; (2)函数()()2421g x f x x x x x λλ=++-=++-的最小值为5,()2222131,24131,24x x x x g x x x x x λλλλλλ⎧⎛⎫+-+=+-+≥⎪ ⎪⎪⎝⎭=⎨⎛⎫⎪-++=-++< ⎪⎪⎝⎭⎩, 且()21g λλ=+,即在端点处分段函数的函数值相等,当12λ<-时,()g x 在12x <-上单调递减,在21x ≥-上单调递增,故()g x 在12x =-处取得最小值,即354λ-+=,解得:17142λ=-<-,符合要求;当1122λ-≤≤时,()g x 在x λ<上单调递减,在x λ≥上单调递增, 故()g x 在x λ=处取得最小值,即215λ+=,解得:2λ=±,不合题意,舍去; 当12λ>时,()g x 在12x <上单调递减,在12x ≥上单调递增,故()g x 在12x =处取得最小值,即354λ+=,解得:17142λ=>,符合要求;综上:174λ=±. 【例2】已知函数()R a a x x x f ∈-+=,22. (1)若()x f 为偶函数,求a 的值;(2)若函数()()2+=x af x g 的最小值为8,求a 的值. 【答案】(1)0,(2)2【分析】(1)利用偶函数的定义,列出关系式,即可求出a 的值; (2)化简函数为分段函数,通过讨论a 的范围,列出关系式求解即可.【详解】(1)因为f (x )是偶函数,所以f (-x )=f (x ), 故x 2+2|-x -a |=x 2+2|x -a |,所以|x +a |=|x -a |,即x 2+2ax +a 2=x 2-2ax +a 2,化简得4ax =0, 因为x ∵R ,所以a =0.(2)22222(1)22,()()222(1)22,a x a a x ag x af x ax a x a a x a a x a ⎧+--+=+=+-+=⎨-+-+<⎩∵若a =0,则g (x )=2,不合题意; ∵若a <0,则g (x )无最小值,不合题意; ∵若0<a ≤1,当x ≥a 时,g (x )在[a ,+∞)上单调递增,g (x )≥g (a ); 当x <a 时,g (x )在(-∞,a )上单调递减,g (x )>g (a ).所以,g (x )的最小值为g (a )=a 3+2=8,所以a =36>1,舍去; ∵若a >1,当x ≥a 时,g (x )在[a ,+∞)上单调递增,g (x )≥g (a );当x <a 时,g (x )在(-∞,1]上单调递减,在(1,a )内单调递增,所以g (x )≥g (1), 因为g (1)<g (a ),所以g (x )的最小值为g (1)=2a 2-a +2=8,所以a =32-(舍去)或a =2,综上所述,a =2.【例3】已知函数()||1()f x x x a x =--+∈R .(1)当2a =时,试写出函数()()g x f x x =-的单调递增区间; (2)若函数()f x 在[1,4]上的最小值是3-,求a 的值 【答案】(1)单调递增区间为3,22⎛⎫⎪⎝⎭;(2)3或4【分析】(1)当2a =时,求出()()()2231(2)12x x x g x f x x x x x ⎧-+<⎪=-=⎨-++≥⎪⎩,利用二次函数的性质确定函数的单调区间;(2)分1a <,12a ≤<,24a ≤<,48a ≤<和8a ≥五种情况进行讨论,结合函数的图象得到对应的最小值,即可得到答案 (1)当2a =时,()()2221(2)21212x x x f x x x x x x ⎧-+<⎪=--+=⎨-++≥⎪⎩, 所以()()()2231(2)12x x x g x f x x x x x ⎧-+<⎪=-=⎨-++≥⎪⎩, 当2x <时,231y x x =-+,其图象开口向上,对称轴方程为32x =, 所以()g x 在3,2⎛⎤-∞ ⎥⎝⎦上单调递减,在3,22⎛⎫⎪⎝⎭上单调递增;当2x ≥时,21y x x =-++,其图象开口向下,对称轴方程为12x =, 所以()g x 在[2,)+∞上单调递减,综上可知,()g x 的单调递增区间为3,22⎛⎫⎪⎝⎭;(2)当1a <时,()224()124a a f x x x a x +⎛⎫=--+=--+ ⎪⎝⎭,因为122a <,所以()min ()44153f x f a ==-=-,解得3a =,故舍去; 当12a ≤<时,()22224,4244,124a a x a x f x a a x x a ⎧+⎛⎫--+≤≤⎪ ⎪⎪⎝⎭=⎨-⎛⎫⎪-+≤< ⎪⎪⎝⎭⎩, 因为1122a≤<,所以()f x 在[]1a ,递增,在[],4a 递减, 所以()f x 的最小值在()1f 或()4f 中取,且()22411224a a f a -⎛⎫=-+=- ⎪⎝⎭,()2244441524a a f a +⎛⎫=--+=- ⎪⎝⎭,若()f x 的最小值为()123f a =-=-,解得5a =,故舍去; 若()f x 的最小值为()44153f a =-=-,解得3a =,故舍去;当24a ≤<时,()22224,4244,124a a x a x f x a a x x a ⎧+⎛⎫--+≤≤⎪ ⎪⎪⎝⎭=⎨-⎛⎫⎪-+≤< ⎪⎪⎝⎭⎩,因为122a ≤<,所以()f x 在12a ⎡⎤⎢⎥⎣⎦,递减,在,2a a ⎡⎤⎢⎥⎣⎦递增,在[],4a 递减, 所以()f x 的最小值在2a f ⎛⎫⎪⎝⎭或()4f 中取,若()f x 的最小值为24324a af -⎛⎫==- ⎪⎝⎭,解得4a =±,故舍去; 若()f x 的最小值为()44153f a =-=-,解得3a =, 检验:353224a f f ⎛⎫⎛⎫==->- ⎪ ⎪⎝⎭⎝⎭,故满足;当48a ≤<时,()224()124a a f x x a x x -⎛⎫=--+=-+ ⎪⎝⎭,因为242a ≤<,所以2min 4()324a af x f -⎛⎫===- ⎪⎝⎭,因为48a ≤<,解得4a =; 当8a ≥时,()224()124a a f x x a x x -⎛⎫=--+=-+ ⎪⎝⎭,因为42a≥,所以()min ()41743f x f a ==-=-,解得5a =,故舍去; 综上所述,a 的值为3或4【点睛】关键点睛:这道题的关键在于比较对称轴2a和a 与区间[]1,4的关系,分成了5种情况,数形结合,利用二次函数的图象与性质得到对应的最小值 【例4】已知函数() 2.f x x x a =-+ (1)当2a =时,求()f x 的单调增区间;(2)若12,[0,2]x x ∃∈,使()()122f x f x ->,求实数a 的取值范围. 【答案】(1)单调递增区间为(),1-∞和()2,+∞ (2)(,1)(22,)-∞⋃+∞【分析】(1)根据已知及分段函数,函数的单调性与单调区间的计算,求出()f x 的单调增区间;(2)根据已知及二次函数的性质求最值,结合不等式和绝对值不等式的计算求出实数a 的取值范围. (1)当2a =时,()2222,22222,2x x x f x x x x x x ⎧-+=-+=⎨-++<⎩,2≥x 时,()f x 单调递增,2x <时,()f x 在(),1-∞上单调递增,在()1,2上单调递减,所以()f x 的单调递增区间为(),1-∞和()2,+∞, (2)12,[0,2]x x ∃∈,使()()122f x f x ->所以()()12max 2f x f x ->, 即()()max min 2f x f x ->,∵当2≤a 时,()22f x x ax =-++,对称轴2a x =, (i)当221≤≤a 即42≤≤a 时,()2max224a a f x f ⎛⎫==+ ⎪⎝⎭, ()()min 02f x f ==,所以()20224a a f f ⎛⎫-=> ⎪⎝⎭, 所以22a >或22a <-, 因为42≤≤a ,所以224a < , (ii)当22a>即4a >时,()()max 222f x f a ==-, ()()min 02f x f ==,所以()()20242f f a -=->,3a >,因为4a >,所以4a >,∵当0a 时,()22f x x ax =-+,对称轴02ax =<, 所以()()max 262f x f a ==-,()()min 02f x f ==,所以()()20422f f a -=->,1a <,所以0a ,∵当02a <<时,()222,02,2x ax x af x x ax a x ⎧-++<<=⎨-+<<⎩,因为()()()min 022f x f f ===,因为()220124a a f f ⎛⎫-=< ⎪⎝⎭, 所以2a f ⎛⎫⎪⎝⎭不可能是函数的最大值,所以()()max 262f x f a ==-, 所以()()20422f f a -=->, 所以01a <<,综上所述:a 的取值范围是(,1)(22,)-∞⋃+∞ .【点睛】关键点点睛:本题主要考查了分段函数,函数的单调性与单调区间,函数的最值,不等式和绝对值不等式的应用,属于较难题,解题的关键是将12,[0,2]x x ∃∈,使()()122f x f x ->,转化为()()max min 2f x f x ->,然后分类利用二次函数的性质求出其最值即可,考查了分类思想和计算能力【例5】已知函数()f x x m =-.(1)若函数()f x 在[]1,2上单调递增,求实数m 的取值范围;(2)若函数()()2g x xf x m =+在[]1,2的最小值为7,求实数m 的值.【答案】(1)(],1-∞ (2)2m =-或231m =-【分析】(1)化为分段函数,结合单调性得到实数m 的取值范围;(2)化为分段函数,对m 分类讨论,结合最小值为7,求出实数m 的值,注意舍去不合要求的值. (1)(),,x m x m f x x m m x x m -≥⎧=-=⎨-<⎩,即()f x 在()m -∞,上单调递减,在[),m +∞上单调递增,若函数()f x 在[]1,2上单调递增,则1m ,所以实数m 的取值范围是(],1-∞;(2)()()222222,,x mx m x mg x xf x m x x m m x mx m x m ⎧-+≥=+=-+=⎨-++<⎩, ∵当1m 时,()g x 在[]1,2上单调递增,故()()2min 117g x g m m ==-+=,解得:2m =-或3(舍去);∵当12m <≤时,()()2min 7g x g m m ===,解得:7m =±(舍去);∵当23m <≤时,()g x 在1,2m ⎛⎫⎪⎝⎭上单调递增,在,22m ⎛⎫ ⎪⎝⎭上单调递减,且2m x =更靠近1,所以()()2min 2247g x g m m ==+-=,解得:231m =-或231--(舍去);∵当34m <≤时,()g x 在1,2m ⎛⎫⎪⎝⎭上单调递增,在,22m ⎛⎫ ⎪⎝⎭上单调递减,且2m x =更靠近2,所以()()2min 117g x g m m ==-+=,解得:2m =-(舍去)或3(舍去);∵当4m >时,()g x 在[]1,2上单调递增,故()()2min 117g x g m m ==-+=,解得:2m =-(舍去)或3(舍去);综上:2m =-或231m =-.【例1】已知a ,b 是常数,0a ≠,()2f x ax bx =+,()20f =,且方程()f x x =有两个相等的实数根.(1)求a ,b 的值;(2)是否存在实数m ,n ()m n <,使得()f x 的定义域和值域分别为[],m n 和[]2,2m n ?若存在,求出实数m ,n 的值;若不存在,请说明理由. 【答案】(1)12a =-,1b =(2)存在,2,0m n =-=【分析】(1)由()20f =、()210ax b x +-=有两个相等的实数根可得答案;(2)假设存在符合条件的m ,n .21122f x x x ,得14n ≤,由一元二次函数图象的特征结合定义域和值域可得答案. (1)由()2f x ax bx =+,()20f =,得420a b +=,又方程()f x x =,即()210ax b x +-=有两个相等的实数根,所以()2140--=b a ,解得1b =,12a =-;(2)假设存在符合条件的,m n , 由(1)知22111112222f xx x x ,则有122n ≤,即14n ≤,由一元二次函数图象的特征,得14()2()2m n f m m f n n ⎧<≤⎪⎪=⎨⎪=⎪⎩,即2214122122m n m m m n n n⎧<≤⎪⎪⎪-+=⎨⎪⎪-+=⎪⎩,解得20m n =-⎧⎨=⎩,所以存在2m =-,0n =,使得函数()f x 在[]2,0-上的值域为[]4,0-. 【例2】已知函数()11,111,01x xf x x x⎧-≥⎪⎪=⎨⎪-<<⎪⎩. (1)当0a b <<,且()()f a f b =时,求11a b+的值; (2)若存在实数,(1)a b a b <<,使得函数()y f x =的定义域为[],a b 时,其值域为[],ma mb ,求实数m 的取值范围.【答案】(1)2; (2)104m <<.【分析】(1)根据函数()f x 的单调性可知,()()f a f b =可等价于1111a b -=-,即可解得11a b+的值; (2)根据函数()y f x =在[,]a b 上的单调性,即可确定()y f x =在[,]a b 上的值域,从而根据根的分布建立方程组,即可解出m 的取值范围. (1)由题意得()y f x =在()0,1上为减函数,在()1,+∞上为增函数, 由0a b <<,且0a b <<,可得01a b <<<且1111a b-=-因此112a b+=.(2)当[),1,a b ∞∈+时,则()y f x =在[)1,+∞上为增函数 故1111ma amb b⎧-=⎪⎪⎨⎪-=⎪⎩ 即a b 、是方程210mx x -+=的两个根即关于x 的方程210mx x -+=在[)1,+∞上有两个不等的实数根. 设()21g x mx x =-+,则()Δ0101120g m m >⎧⎪>⎪⎪⎨>⎪⎪>⎪⎩ 解得104m <<. 【例3】已知函数()2112f x a a x=+-,实数a R ∈且0a ≠. (1)设0m n <<,判断函数()f x 在[],m n 上的单调性,并说明理由;(2)设0m n <<且0a >时,()f x 的定义域和值域都是[],m n ,求n m -的最大值. 【答案】(1)()f x 在[],m n 上单调递增,理由见解析 (2)433【分析】(1)由定义法直接证明可得; (2)由题知,m n 是方程2112x a a x+-=的不相等的两个正数根,然后整理成一元二次方程,由判别式和韦达定理列不等式组求解可得a 的范围,再用韦达定理表示出所求,然后可解. (1)设120<m x x n ≤<≤,则()()1212222121211x x f x f x a x a x a x x --=-+=, 120<m x x n ≤<≤,12120,0x x x x ∴>-<,()()12f x f x ∴<,故()f x 在[],m n 上单调递增;(2)由(1)可得0m n <<时,()f x 在[],m n 上单调递增,()f x 的定义域和值域都是[],m n ,(),()f m m f n n ∴==,则,m n 是方程2112x a a x+-=的不相等的两个正数根, 即()222210a x a a x -++=有两个不相等的正数根,则222222Δ2402010a a a a a m n a mn a ⎧=+->⎪⎪+⎪+=>⎨⎪⎪=>⎪⎩(),解得12a >,222222241216()4333a a n m n m mn a aa ⎛⎫+⎛⎫∴-=+-=-=--+ ⎪ ⎪⎝⎭⎝⎭, 1,2a ∞⎛⎫∈+ ⎪⎝⎭,32a ∴=时,n m -最大值为433;【例4】已知二次函数2()(,,)f x ax bx c a b c =++∈R 的图像经过原点O ,满足对任意实数x 都有(3)(1)f x f x -=-,且关于x 的方程()2f x x =有两个相等的实数根.(1)求函数()f x 的解析式:(2)是否存在实数m 、()n m n <,使得()f x 的定义域为[,]m n ,值域为22,m n ⎡⎤⎣⎦?若存在,求出m ,n 的值;若不存在,请说明理由. 【答案】(1)2()2f x x x =-+ (2)存在,0,1m n ==【分析】(1)由题意列方程求解,,a b c(2)根据定义域与对称轴关系,讨论()f x 值域后求解 (1)()f x 经过原点,故0c,()2f x x =,即2(2)0ax b x +-=有两个相等的实数根,由Δ0=知2b =,(3)(1)f x f x -=-,故()f x 的对称轴为1x =,即12ba-=,1a =-, 函数()f x 的解析式为2()2f x x x =-+.(2)2()(1)11f x x =--+≤,故11n -≤≤,故()f x 在[,]m n 上单调递增,由题意得222222m m m n n n ⎧-+=⎨-+=⎩又m n <,解得01m n =⎧⎨=⎩ 存在0,1m n ==满足题意【例5】已知函数()f x =x 2-2x +b 的自变量的取值区间为A ,若其值域区间也为A ,则称A 为()f x 的保值区间.(1)若b =0,求函数f (x )形如[,)()t t R ∞+∈的保值区间;(2)若函数f (x )的保值区间为[m ,n ]()m n <,且f (x )在[m ,n ]上单调,求实数b 的取值范围. 【答案】(1)[1,)-+∞和[3,)+∞ (2)591,2,44⎡⎫⎡⎫⋃⎪⎪⎢⎢⎣⎭⎣⎭【分析】(1)根据对称轴为标准分类讨论,使其满足定义即可求解;(2)以对称轴为界分类讨论,依据单调性建立等式,再将问题转化为二次函数或一元二次方程问题求解. (1)当0b =时,2()2f x x x =-,其对称轴为1x =.当1t ≤时,()[1,)f x ∈-+∞,此时,要满足函数f (x )是形如[,)()t t R ∞+∈的保值区间,则1t =-,区间为[1,)-+∞; 当1t >时,2()[2,)f x t t ∈-+∞,定义域为[,)t +∞,此时,要满足函数f (x )是形如[,)()t t R ∞+∈的保值区间,则22t t t -=,解得3t =或0=t (舍),因此,此时区间为[3,)+∞.综上可知,函数f (x )形如[,)()t t R ∞+∈的保值区间为[1,)-+∞和[3,)+∞; (2)因为函数f (x )的定义域、值域都为[m ,n ],且f (x )在[m ,n ]上单调, 当m ≥1时,函数f (x )在[m ,n ]上单调递增,此时()()f m m f n n =⎧⎨=⎩即222,2,m m b m n n b n ⎧-+=⎨-+=⎩等价于方程x 2-3x +b =0在[1,+∞)上有两个不等实根,令g (x )=x 2-3x +b ,则有Δ940,(1)20,31,2b g b ⎧⎪=->⎪=-+≥⎨⎪⎪>⎩解得924b ≤<;当n ≤1时,函数f (x )在[m ,n ]上单调递减,此时()()f m n f n m =⎧⎨=⎩即2222m m b n n n b m ⎧-+=⎨-+=⎩两式相减得:(m -n )(m +n -1)=0,即m =n (舍)或m +n -1=0,也即m =1-n ,由m <n 可得112n <≤, 将m =1-n 代入n 2-2n +b =m 可得方程n 2-n +b -1=0在1(,1]2上有解,即为函数b =-n 2+n +1在1(,1]2上的值域问题,因为22151()24b n n n =-++=--+在1(,1]2上单调递减,所以b 5[1,)4∈.综上所述,b 的取值范围是59[1,)[2,)44⋃.【例6】已知函数()221x f x x-=.(1)求函数()y f x =的值域;(2)若不等式()231x f x x kx +≥+在[]1,2x ∈时恒成立,求实数k 的最大值;(3)设()()1g x t f x =⋅+(11,x m n ⎡⎤∈⎢⎥⎣⎦,0m n >>,0t >),若函数()y g x =的值域为[]23,23m n --,求实数t 的取值范围. 【答案】(1)(,1)-∞ (2)2- (3)(0,1)【分析】(1)化简函数得21()1(0)f x x x=-≠,由20x >,可求出2111x -<,从而可求得函数的值域, (2)等式()231x f x x kx +≥+在[]1,2x ∈时恒成立,转化为2k x x ≤-+在[]1,2x ∈时恒成立,令2211()24h x x x x ⎛⎫=-+=--+ ⎪⎝⎭,可得()h x 在[]1,2上单调递减,从而可求出其最小值,进而可求得实数k 的最大值,(3)由题意得min max 11()23,()23g x g m g x g n m n ⎛⎫⎛⎫==-==- ⎪ ⎪⎝⎭⎝⎭,从而可得,m n 是方程2310(0)tx x t t -+-=>的两个不相等的正根,令2()310(0)x tx x t t ϕ=-+-=>,则有Δ94(1)0302(0)10t t t t ϕ=-->⎧⎪⎪>⎨⎪=->⎪⎩,从而可求出实数t 的取值范围 (1)由题意得21()1(0)f x x x =-≠, 因为20x >,所以210x >,则2111x -<, 所以函数()f x 的值域为(,1)-∞ (2)因为[]1,2x ∈,所以不等式可化为2311kx x x ≤-+-, 所以2k x x ≤-+,令2211()24h x x x x ⎛⎫=-+=--+ ⎪⎝⎭,则()h x 在[]1,2上单调递减,所以min ()(2)422h x h ==-+=-,所以2k ≤-, 所以实数k 的取值范围为(,2]-∞-, 所以实数k 的最大值为2- (3)由题意得2()1tg x t x =-++, 因为0t >,所以()g x 在11,(0,0)m n m n ⎡⎤>>⎢⎥⎣⎦上单调递增,所以min max 11()23,()23g x g m g x g n m n ⎛⎫⎛⎫==-==- ⎪ ⎪⎝⎭⎝⎭,即()()221123,1123t m m t n n -+=--+=-,所以,m n 是方程()21123t x x -+=-,即2310(0)tx x t t -+-=>的两个不相等的正根,令2()310(0)x tx x t t ϕ=-+-=>,其图象开口向上,对称轴为直线32x t=,且有两个不相等的正零点, 所以Δ94(1)0302(0)10t t t t ϕ=-->⎧⎪⎪>⎨⎪=->⎪⎩,即01t R t t ∈⎧⎪>⎨⎪<⎩,解得01t <<所以实数t 的取值范围为(0,1)【例7】已知()f x 是定义在R 上的函数,且()()0f x f x +-=,当0x >时,()22f x x x =-,(1)求函数()f x 的解析式;(2)当[)1,x ∞∈+时,()()g x f x =,当(),1x ∞∈-时()223g x x mx m =-+-,()g x 在R 上单调递减,求m 的取值范围;(3)是否存在正实数a b ,,当[],x a b ∈时,()()h x f x =且()h x 的值域为11,b a ⎡⎤⎢⎥⎣⎦,若存在,求出a b ,,若不存在,说明理由.【答案】(1)()222020x x x f x x x x ⎧-≥=⎨+<⎩,,; (2)[)3,∞+; (3)存在,151,2a b +==.【分析】(1)根据函数是奇函数以及大于零时()f x 的解析式,即可容易求得结果; (2)根据(1)中所求,结合()f x 的单调性,列出不等关系,即可求得参数范围; (3)根据()h x 的单调性,结合,a b 是方程32210x x -+=的两个正根,求解即可. (1)由题意,任取0x <,则0x ->,故有()22f x x x -=--,因为()f x 是定义在R 上的函数,且()()0f x f x +-=,即函数()y f x =是定义在R 上的奇函数,0x ∴<时,()()22f x f x x x =--=+,又0x =时,()()000f f +=,即()00f =,所以()222020x x x f x x x x ⎧-≥=⎨+<⎩,,. (2)当[)1,x ∞∈+时,()()2(1)1g x f x x ==--+,在[)1,+∞单调递减,又当(),1x ∞∈-时,()223g x x mx m =-+-,且()g x 在R 上单调递减,所以121231m m m ⎧≥⎪⎨⎪-+-≥⎩,解得3m ≥, 即m 的取值范围为[)3,∞+. (3)当0x >时,()2(1)11f x x =--+≤,若存在这样的正数a ,b ,则当[]()max 1,[]1x a b f x a∈=≤时,,故1a ≥, ()f x ∴在[],a b 内单调递减,()()221212f b b b bf a a a a⎧==-+⎪⎪∴⎨⎪==-+⎪⎩,所以,a b 是方程32210x x -+=的两个正根, ()()32221110x x x x x -+=---=, 12151,2x x +∴==, 故存在正数1512a b +==,满足题意. 【例1】已知函数()1f x x x=+,()21g x x ax a =-+-. (1)若()g x 的值域为[)0,∞+,求a 的值.(2)证明:对任意[]11,2x ∈,总存在[]21,3x ∈-,使得()()12f x g x =成立. 【答案】(1)2 (2)证明见解析【分析】(1)由题意,可得Δ0=,从而即可求解;(2)利用对勾函数单调性求出()f x 在[1,2]上的值域,再分三种情况讨论二次函数()g x 在闭区间[]1,3-上的值域,然后证明()f x 的值域是()g x 值域的子集恒成立即可得证. (1)解:因为()g x 的值域为[)0,∞+,所以()()222414420a a a a a ∆=--=-+=-=,解得2a =.(2)证明:由题意,根据对勾函数的单调性可得()1111f x x x =+在[]1,2上单调递增,所以()152,2f x ⎡⎤∈⎢⎥⎣⎦. 设()21g x x ax a =-+-在[]1,3-上的值域为M ,当12a≤-,即2a -时,()g x 在[1,3]-上单调递增,因为max ()(3)8212g x g a =-=,min ()(1)24g x g a -==-,所以2,52M ⎡⎤⊆⎢⎥⎣⎦;当32a,即6a 时,()g x 在[1,3]-上单调递减,因为max ()(1)212g x g a -==,min ()(3) 824g x g a =--=,所以2,52M ⎡⎤⊆⎢⎥⎣⎦;当132a -<<,即26a -<<时,22min 11()1(2)(4,0]244a g x g a a a ⎛⎫==-+-=--∈- ⎪⎝⎭,max ()max{2, 82}[4,12)g x a a =-∈,所以52,2M ⎡⎤⊆⎢⎥⎣⎦;综上,52,2M ⎡⎤⊆⎢⎥⎣⎦恒成立,即()f x 在[1,2]上的值域是()g x 在[1,3]-上值域的子集恒成立,所以对任意1[1,2]x ∈总存在2[1,3]x ∈-,使得()()12f x g x =成立.【例2】函数()y f x =的图象关于坐标原点成中心对称图形的充要条件是函数()y f x =为奇函数,可以将其推广为:函数()y f x =的图象关于点(),P a b 成中心对称图形的充要条件是函数()y f x a b =+-为奇函数,给定函数()261+-=+x x f x x . (1)求()f x 的对称中心;(2)已知函数()g x 同时满足:∵()11+-g x 是奇函数;∵当[]0,1x ∈时,()2g x x mx m =-+.若对任意的[]10,2x ∈,总存在[]21,5x ∈,使得()()12g x f x =,求实数m 的取值范围. 【答案】(1)()1,1-- (2)[]2,4-【分析】(1)设()f x 的对称中心为(),a b ,根据对称性得到关于,a b 的方程,解得即可得解;(2)易求得()f x 的值域为[]2,4-,设函数()g x 的值域为集合A ,则问题可转化为[]2,4A ⊆-,分0m ≤,2m ≥和02m <<三种情况讨论,从而可得出答案.【详解】(1)解:()()()2211666111x x x x f x x x x x +-+-+-===-+++, 设()f x 的对称中心为(),a b ,由题意,得函数()y f x a b =+-为奇函数, 则()()f x a b f x a b -+-=-++, 即()()20f x a f x a b ++-+-=, 即()()662011x a x a b x a x a +-+-+--=++-++,整理得()()()()221610a b x a b a a ⎡⎤---+-+=⎣⎦, 所以()()()21610a b a b a a -=-+-+=,解得1,1a b =-=-, 所以函数()f x 的对称中心为()1,1--;(2)解:因为对任意的[]10,2x ∈,总存在[]21,5x ∈,使得()()12g x f x =, 所以函数()g x 的值域是函数()f x 的值域的子集, 因为函数6,1y x y x ==-+在[]1,5上都是增函数, 所以函数()61f x x x =-+在[]1,5上是增函数, 所以()f x 的值域为[]2,4-, 设函数()g x 的值域为集合A , 则原问题转化为[]2,4A ⊆-,因为函数()11+-g x 是奇函数,所以函数()g x 关于()1,1对称, 又因为()11g =,所以函数()g x 恒过点()1,1, 当02m≤,即0m ≤时,()g x 在[]0,1上递增,则函数()g x 在(]1,2上也是增函数, 所以函数()g x 在[]0,2上递增, 又()()()0,2202g m g g m ==-=-,所以()g x 的值域为[],2m m -,即[],2A m m =-, 又[][],22,4A m m =-⊆-, 所以2240m m m ≥-⎧⎪-≤⎨⎪≤⎩,解得20m -≤≤,当12m≥即2m ≥时,()g x 在[]0,1上递减,则函数()g x 在(]1,2上也是减函数, 所以函数()g x 在[]0,2上递减, 则[]2,A m m =-, 又[][]2,2,4A m m =-⊆-, 所以2224m m m ≥⎧⎪-≥-⎨⎪≤⎩,解得24m ≤≤,当012m<<即02m <<时, ()g x 在0,2m ⎛⎫ ⎪⎝⎭上递减,在,12m ⎛⎫⎪⎝⎭上递增, 又因函数()g x 过对称中心()1,1,所以函数()g x 在1,22m ⎛⎫- ⎪⎝⎭上递增,在2,22m ⎛⎫- ⎪⎝⎭上递减,故此时()()min min 2,2m g x g g ⎧⎫⎛⎫=⎨⎬ ⎪⎝⎭⎩⎭,()()max max 0,22m g x g g ⎧⎫⎛⎫=-⎨⎬ ⎪⎝⎭⎩⎭,要使[]2,4A ⊆-,只需要()()()222202222404222422402g g m m m g m g m m m m g g m m ⎧=-=-≥-⎪⎛⎫⎪=-+≥- ⎪⎪⎝⎭⎪=≤⎨⎪⎛⎫⎛⎫⎪-=-=-+≤ ⎪ ⎪⎪⎝⎭⎝⎭⎪<<⎩,解得02m <<,综上所述实数m 的取值范围为[]2,4-.【点睛】本题考查了函数的对称性单调性及函数的值域问题,考查了转化思想及分类讨论思想,解决本题第二问的关键在于把问题转化为函数()g x 的值域是函数()f x 的值域的子集,有一定的难度. 【例3】已知函数2()3,()221()f x x g x x ax a a =-+=-+-∈R . (1)若函数()g x 的值域为[0,)+∞,求a 的取值集合;(2)若对于任意的1[2,2]x ∈-,总存在2[2,2]x ∈-,使得()()12f x g x =成立,求实数a 的取值范围. 【答案】(1)1a = (2)1(,1],3⎡⎫-∞-⋃+∞⎪⎢⎣⎭【分析】(1)利用二次函数的图像与性质,得到Δ0=,求解即可.(2)将问题转化为()()()()min minmax max f x g x f x g x ⎧≥⎪⎨≤⎪⎩,然后利用二次函数的性质以及一次函数的性质,求解两个函数的最值,求解不等式组,即可得出答案. (1)∵函数2()221g x x ax a =-+-的值域为[0,)+∞,∵2(2)4(21)0a a ∆=--=, 解得1a =; (2)由题意可知()()()()min minmax max f x g x f x g x ⎧≥⎪⎨≤⎪⎩对于函数()3f x x =-+在[2,2]-上是减函数,∵min max ()(2)1,()(2)5f x f f x f ===-=, 函数2()221g x xax a =-+-图象开口向上,对称轴为直线x a =.∵当2a ≤-时,函数()g x 在[2,2]-上为增函数,min max?()(2)63,()(2)23g x g a g x g a =-=+==-+,∵163,523,a a ≥+⎧⎨≤-+⎩此时2a ≤-; ∵当20a -<≤时,函数()g x 在区间[2,]a -上为减函数,在[],2a 上为增函数,2min max ()()21,()(2)23g x g a a a g x g a ==-+-==-+,∵2121,523,a a a ⎧≥-+-⎨≤-+⎩此时21a -<≤-;∵当02a <<时,函数()g x 在区间[2,]a -上为减函数,在[],2a 上为增函数,2min max ()()21,()(2)63g x g a a a g x g a ==-+-=-=+, ∵2121,563,a a a ⎧≥-+-⎨≤+⎩此时123a ≤<; ∵当2a ≥时,函数()g x 在[2,2]-上是减函数,∵max min ()(2)63,()(2)23g x g a g x g a =-=+==-+, ∵123,563,a a ≥-+⎧⎨≤+⎩此时2a ≥; 综上所述,实数a 的取值范围是1(,1],3⎡⎫-∞-⋃+∞⎪⎢⎣⎭.。
与二次函数有关的含有绝对值不等式的证明问题二次函数是最简单的非线性函数之一,而且有着丰富的内容,它对近代数仍至现代数学影响深远,这部分内容为历年来高考数学考试的一项重点考查内容,经久不衰,以它为核心内容的高考试题,形式上也年年有变化,此类试题常常有绝对值,充分运用绝对值不等式及二次函数、二次方程、二次不等式的联系,往往采用直接法,利用绝对值不等式的性质进行适当放缩,常用数形结合,分类讨论等数学思想,以下举例说明。
1.设()c bx ax x f ++=2,当1≤x 时,总有()1≤x f ,求证当2≤x 时,()7≤x f . 证明:由于()x f 是二次函数,()x f 在[]2,2-上最大值只能是()()2,2-f f ,或⎪⎭⎫ ⎝⎛-a b f 2,故只要证明()()72;72≤-≤f f ;当22≤-a b 时,有72≤⎪⎭⎫ ⎝⎛-a b f ,由题意有()()()11,11,10≤≤-≤f f f .由()()()⎪⎩⎪⎨⎧+-=-++==c b a f c b a f c f 110 得()()()[]()()[]()⎪⎪⎪⎩⎪⎪⎪⎨⎧=--=--+=01121021121f c f f b f f f a()()()()()()()0311303113242f f f f f f c b a f +-+≤--+=++=∴7313=++≤.()()()()()()()0313103131242f f f f f f c b a f +-+≤--+=+-=-7331=++≤.()()()()()()1112111211121=+≤-+≤--=f f f f b . ∴ 当22≤-a b 时,22444222b a b c a b c a b ac a b f ⋅-=-=-=⎪⎭⎫ ⎝⎛- 72212122<=⨯+≤⋅+≤b a b c . 因此当2≤x 时,()7≤x f . 点评:从函数性质的角度分析,要证2≤x 时,()7≤x f ,只要证当2≤x 时,()x f 的最大值M 满足7≤M . 而()x f 又是二次函数,不论a 、b 、c 怎么取值()x f 在[]2,2-上的最大值只能是()()2,2f f -,或⎪⎭⎫ ⎝⎛-a b f 2,因而只要证明()()72,72≤-≤f f ,72≤⎪⎭⎫ ⎝⎛-a b f ,这里需要特别指出的是要将()()2,2-f f 与()()()1,1,0-f f f 建立联系,将二次函数中的系数b a ,c ,用()1f 、()1-f 、()0f 表示:()()(),20211f f f a --+=()()()0,211f c f f b =--=,然后用含有绝对值不等式的性质,进行适当放缩。
培优专题01二次函数含参数最值问题【题型目录】题型一:定轴动区间问题题型二:定区间动轴问题题型三:含绝对值二次函数问题题型四:定义域为[]n m ,,值域为[]kn km ,求参数问题题型五:二次函数值域包含性问题【典型例题】题型一:定轴动区间问题【例1】已知二次函数满足2()(0)f x ax bx c a =++≠,满足(1)()21f x f x x +-=-,且(0)0f =.(1)求()f x 的解析式;(2)当[]()2R x t t t ∈+∈,时,求函数()f x 的最小值()g t (用t 表示).【答案】(1)()22f x x x =-(2)()222,11,112,1t t t g t t t t t ⎧-≥⎪=--<<⎨⎪+≤-⎩【详解】(1)因为二次函数2()(0)f x ax bx c a =++≠,且满足(0)0f =,(1)()21f x f x x +-=-,所以0c =,()()221121221a x b x ax bx x ax a b x +++--=-⇒++=-,所以221a ab =⎧⎨+=-⎩,得12a b =⎧⎨=-⎩.所以()22f x x x =-.(2)()22f x x x =-是图象的对称轴为直线1x =,且开口向上的二次函数.当1t ≥时,()22f x x x =-在[]()2R x t t t ∈+∈,上单调递增,则()()2min 2f x f t t t ==-;当21t +≤即1t ≤-时,()22f x x x =-在[]()2R x t t t ∈+∈,上单调递减,则()()()()22min 22222f x f t t t t t =+=+-+=+;当11t t <<+,即11t -<<时,()()()2min 11211f x f ==-=-;综上所述()222,11,112,1t t t g t t t t t ⎧-≥⎪=--<<⎨⎪+≤-⎩.【例2】已知定义在R 上的函数)f x ,满足()226f x x x -=--.(1)求()f x 的解析式.(2)若()f x 在区间[]0,m 上的值域为25,44⎡⎤--⎢⎥⎣⎦,写出实数m 的取值范围(不必写过程).f x 在区间[],2t t +上的最小值为6,求实数t 的值.【例3】对于函数()f x ,若存在0R x ∈,使得()00f x x =成立,则称0x 为()f x 的不动点,已知函数2()(2)4f x ax b x =+++的两个不动点分别是-2和1.(1)求,a b 的值及()f x 的表达式;[,1]t t +【例4】已知函数为二次函数,不等式的解集是,且在区间上的最小值为12-.(1)求()f x 的解析式;上的最大值为【例1】已知函数2()f x x mx m =-+-.(1)若函数()f x 在[]1,0-上单调递减,求实数m 的取值范围;(2)若当1x >时,()4f x <恒成立,求实数m 的取值范围;(3)是否存在实数m ,使得()f x 在[]2,3上的值域恰好是[]2,3?若存在,求出实数m 的值;若不存在,说明上单调递减,应满足【例2】已知二次函数的图象过点,且不等式20ax bx c ++≤1(1)求()f x 的解析式:24g x f x t x =--在区间[]1,2-上有最小值2,求实数t 的值.(1)若函数()f x 在(1,)+∞上是增函数,求实数a 的取值范围;(2)若不等式()0f x ≤的解集为{|02}x x ≤≤,求,a b 的值;时,函数【例4】已知函数,R b ∈.(1)若函数()f x 的图象经过点()4,3,求实数b 的值;(2)在(1)条件下,求不等式()0f x <的解集;1,2x ∈-时,函数()y f x =的最小值为1,求当[]1,2x ∈-时,函数()y f x =的最大值.【例5】在①2,2x ∀∈-,②1,3x ∃∈这两个条件中任选一个,补充到下面问题的横线中,并求解该问题.已知函数()24f x x ax =++.(1)当2a =-时,求函数()f x 在区间]22-,上的值域;【例1】已知二次函数()()20,,,f x ax bx c a a b c =++>∈R ,()11f -=,对任意x ∈R ,()()2f x f x +=-,且()0f x x +≥恒成立.(1)求二次函数()f x 的解析式;(1)若x f 为偶函数,求a 的值;(1)当2a =时,试写出函数()()g x f x x =-的单调递增区间;)x(1)当2a =时,求f x 的单调增区间;,所以(1)若函数f x 在[]1,2上单调递增,求实数m 的取值范围;2g x xf x m =+在[]1,2的最小值为7,求实数m 的值.【例1】已知a ,b 是常数,0a ≠,()2f x ax bx =+,()20f =,且方程()f x x =有两个相等的实数根.(1)求a ,b 的值;(2)是否存在实数m ,n ()m n <,使得()f x 的定义域和值域分别为[],m n 和[]2,2m n ?若存在,求出实数m ,=【例2】已知函数()1,111,01x xf x x x⎧-≥⎪⎪=⎨⎪-<<⎪⎩.(1)当0a b <<,且()()f a f b =时,求11a b+的值;(2)若存在实数,(1)a b a b <<,使得函数()y f x =的定义域为[],a b 时,其值域为[],ma mb ,求实数m 的取值【例3】已知函数()22f x a a x=+-,实数a R ∈且0a ≠.(1)设0m n <<,判断函数()f x 在[],m n 上的单调性,并说明理由;f x 的定义域和值域都是[],m n ,求n m -的最大值.【例4】已知二次函数,满足对任意实数(3)(1)f x f x -=-,且关于x 的方程()2f x x =有两个相等的实数根.(1)求函数()f x 的解析式:(2)是否存在实数m 、()n m n <,使得()f x 的定义域为[,]m n ,值域为22,m n ⎡⎤⎣⎦?若存在,求出m ,n 的值;【例5】已知函数-2x +b 的自变量的取值区间为A ,若其值域区间也为A ,则称A 为的保值区间.(1)若b =0,求函数f (x )形如[,)()t t R ∞+∈的保值区间;m n <【例6】已知函数()2f x x-=.(1)求函数()y f x =的值域;(2)若不等式()231x f x x kx +≥+在[]1,2x ∈时恒成立,求实数k 的最大值;(3)设()()1g x t f x =⋅+(11,x m n ⎡⎤∈⎢⎥⎣⎦,0m n >>,0t >),若函数()y g x =的值域为[]23,23m n --,求实数【例7】已知是定义在R 上的函数,且0f x f x +-=,当0x >时,(1)求函数()f x 的解析式;(2)当[)1,x ∞∈+时,()()g x f x =,当(),1x ∞∈-时()223g x x mx m =-+-,()g x 在R 上单调递减,求m 的取值范围;(3)是否存在正实数a b ,,当[],x a b ∈时,()()h x f x =且()h x 的值域为11,b a ⎡⎤⎢⎥⎣⎦,若存在,求出a b ,,若不【例1】已知函数()1f x x x=+,()21g x x ax a =-+-.(1)若()g x 的值域为[)0,∞+,求a 的值.证明:对任意1,2x ∈,总存在1,3x ∈-,使得f x g x =成立.【例2】函数y f x =的图象关于坐标原点成中心对称图形的充要条件是函数y f x =为奇函数,可以将其推广为:函数()y f x =的图象关于点(),P a b 成中心对称图形的充要条件是函数()y f x a b =+-为奇函数,给定函数()261+-=+x x f x x .(1)求()f x 的对称中心;(2)已知函数()g x 同时满足:①()11+-g x 是奇函数;②当[]0,1x ∈时,()2g x x mx m =-+.若对任意的0,2x ∈1,5x ∈,使得()()g x f x =所以【例3】已知函数(1)若函数()g x 的值域为[0,)+∞,求a 的取值集合;[2,2]x ∈-[2,2]x ∈-f x g x =。
二次函数专题训练(含答案)一、填空题: 1.把抛物线221x y -=向左平移2个单位得抛物线 ,接着再向下平移3个 单位,得抛物线 .2.函数x x y +-=22图象-的-对称轴是 ,最大值是 .3.正方形边长为3,如果边长增加x 面积就增加y ,那么y 与x 之间的函数关系是 .4.二次函数6822-+-=x x y ,通过配方化为k h x a y +-=2)(的形为 .5.二次函数c ax y +=2(c 不为零),当x 取x 1,x 2(x 1≠x 2)时,函数值相等,则x 1与x 2的关系是 . 6.抛物线c bx ax y ++=2当b=0时,对称轴是 ,当a ,b 同号时,对称轴在y 轴 侧,当a ,b 异号时,对称轴在y 轴 侧.7.抛物线3)1(22-+-=x y 开口 ,对称轴是 ,顶点坐标是 .如果y 随x 的增大而减小,那么x 的取值范围是 .8.若a <0,则函数522-+=ax x y 图象的顶点在第 象限;当x >4a-时,函数值随x 的增大而 .9.二次函数c bx ax y ++=2(a ≠0)当a >0时,图象的开口a <0时,图象的开口 ,顶点坐标是 . 10.抛物线2)(21h x y --=,开口 ,顶点坐标是 ,对称轴是 . 11.二次函数)()(32+-=x y 的图象的顶点坐标是(1,-2).12.已知2)1(312-+=x y ,当x 时,函数值随x 的增大而减小. 13.已知直线12-=x y 与抛物线k x y +=25交点的横坐标为2,则k= ,交点坐标为 .14.用配方法将二次函数x x y 322+=化成k h x a y +-=2)(的形式是 . 15.如果二次函数m x x y +-=62的最小值是1,那么m 的值是 . 二、选择题:16.在抛物线1322+-=x x y 上的点是( )A.(0,-1)B.⎪⎭⎫ ⎝⎛0,21 C.(-1,5) D.(3,4)17.直线225-=x y 与抛物线x x y 212-=的交点个数是( ) A.0个 B.1个 C.2个 D.互相重合的两个18.关于抛物线c bx ax y ++=2(a ≠0),下面几点结论中,正确的有( )① 当a >0时,对称轴左边y 随x 的增大而减小,对称轴右边y 随x 的增大而增大,当a <0时,情况相反.② 抛物线的最高点或最低点都是指抛物线的顶点.③ 只要解析式的二次项系数的绝对值相同,两条抛物线的形状就相同.④ 一元二次方程02=++c bx ax (a ≠0)的根,就是抛物线c bx ax y ++=2与x 轴 交点的横坐标.A.①②③④B.①②③C. ①②D.① 19.二次函数y=(x+1)(x-3),则图象的对称轴是( )A.x=1B.x=-2C.x=3D.x=-320.如果一次函数b ax y +=的图象如图代13-3-12中A 所示,那么二次函+=2ax ybx -3的大致图象是( )图代13-2-1221.若抛物线c bx ax y ++=2的对称轴是,2-=x 则=ba( ) A.2 B.21 C.4 D.41 22.若函数xa y =的图象经过点(1,-2),那么抛物线3)1(2++-+=a x a ax y 的性 质说得全对的是( )A. 开口向下,对称轴在y 轴右侧,图象与正半y 轴相交B. 开口向下,对称轴在y 轴左侧,图象与正半y 轴相交C. 开口向上,对称轴在y 轴左侧,图象与负半y 轴相交D. 开口向下,对称轴在y 轴右侧,图象与负半y 轴相交23.二次函数c bx x y ++=2中,如果b+c=0,则那时图象经过的点是( ) A.(-1,-1) B.(1,1) C.(1,-1) D.(-1,1) 24.函数2ax y =与xay =(a <0)在同一直角坐标系中的大致图象是( )图代13-3-1325.如图代13-3-14,抛物线c bx x y ++=2与y 轴交于A 点,与x 轴正半轴交于B ,C 两点,且BC=3,S △ABC =6,则b 的值是( )A.b=5B.b=-5C.b=±5D.b=426.二次函数2ax y =(a <0),若要使函数值永远小于零,则自变量x 的取值范围是( )A .X 取任何实数 B.x <0 C.x >0 D.x <0或x >027.抛物线4)3(22+-=x y 向左平移1个单位,向下平移两个单位后的解析式为 ( )A.6)4(22+-=x y B.2)4(22+-=x y C.2)2(22+-=x y D.2)3(32+-=x y 28.二次函数229k ykx x y ++=(k >0)图象的顶点在( )A.y 轴的负半轴上B.y 轴的正半轴上C.x 轴的负半轴上D.x 轴的正半轴上 29.四个函数:xy x y x y 1,1,-=+=-=(x >0),2x y -=(x >0),其中图象经过原点的函数有( ) A.1个 B.2个 C.3个 D.4个30.不论x 为值何,函数c bx ax y ++=2(a ≠0)的值永远小于0的条件是( ) A.a >0,Δ>0 B.a >0,Δ<0 C .a <0,Δ>0 D.a <0,Δ<0 三、解答题31.已知二次函数1222+-+=b ax x y 和1)3(22-+-+-=b x a x y 的图象都经过x 轴上两个不同的点M ,N ,求a ,b 的值.32.已知二次函数c bx ax y ++=2的图象经过点A (2,4),顶点的横坐标为21,它 的图象与x 轴交于两点B (x 1,0),C (x 2,0),与y 轴交于点D ,且132221=+x x ,试问:y 轴上是否存在点P ,使得△POB 与△DOC 相似(O 为坐标原点)?若存在,请求出过P ,B 两点直线的解析式,若不存在,请说明理由. 33.如图代13-3-15,抛物线与直线y=k(x-4)都经过坐标轴的正半轴上A ,B 两点,该 抛物线的对称轴x=-21与x 轴相交于点C ,且∠ABC=90°,求:(1)直线AB 的解析式;(2)抛物线的解析式.图代13-3-15图代13-3-1634.中图代13-3-16,抛物线c x ax y +-=32交x 轴正方向于A ,B 两点,交y 轴正方向于C 点,过A ,B ,C 三点做⊙D ,若⊙D 与y 轴相切.(1)求a ,c 满足的关系;(2)设∠ACB=α,求tgα;(3)设抛物线顶点为P ,判断直线PA 与⊙O 的位置关系并证明.35.如图代13-3-17,这是某市一处十字路口立交桥的横断面在平面直角坐标系中的示意图,横断面的地平线为x 轴,横断面的对称轴为y 轴,桥拱的DGD '部分为一段抛物线,顶点C 的高度为8米,AD 和A 'D '是两侧高为5.5米的支柱,OA 和OA '为两个方向的汽车通行区,宽都为15米,线段CD 和C 'D '为两段对称的上桥斜坡,其坡度为1∶4. 求(1)桥拱DGD '所在抛物线的解析式及CC '的长;(2)BE 和B 'E '为支撑斜坡的立柱,其高都为4米,相应的AB 和A 'B '为两个方 向的行人及非机动车通行区,试求AB 和A 'B '的宽; (3)按规定,汽车通过该桥下时,载货最高处和桥拱之间的距离不得小于0.4米,车 载大型设备的顶部与地面的距离均为7米,它能否从OA (或OA ')区域安全通过?请说明理由.36.已知:抛物线2)4(2+++-=m x m x y 与x 轴交于两点)0,(),0,(b B a A (a <b ).O为坐标原点,分别以OA ,OB 为直径作⊙O 1和⊙O 2在y 轴的哪一侧?简要说明理由,并指出两圆的位置关系. 37.如果抛物线1)1(22++-+-=m x m x y 与x 轴都交于A ,B 两点,且A 点在x 轴的正半轴上,B 点在x 同的负半轴上,OA 的长是a ,OB 的长是b. (1) 求m 的取值范围;(2) 若a ∶b=3∶1,求m 的值,并写出此时抛物线的解析式;(3) 设(2)中的抛物线与y 轴交于点C ,抛物线的顶点是M ,问:抛物线上是否存 在 点P ,使△PAB 的面积等于△BCM 面积的8倍?若存在,求出P 点的坐标;若不存在,请 说明理由. 38.已知:如图代13-3-18,EB 是⊙O 的直径,且EB=6,在BE 的延长线上取点P ,使EP=EB.A是EP 上一点,过A 作⊙O 的切线AD ,切点为D ,过D 作DF ⊥AB 于F ,过B 作AD 的垂线BH ,交AD 的延长线于H ,连结ED 和FH.图代13-3-18① 若AE=2,求AD 的长.② 当点A 在EP 上移动(点A 不与点E 重合)时,①是否总有FHEDAH AD =试证 明 你的结论;②设ED=x ,BH=y ,求y 与x 的函数关系式,并写出自变量x 的取值范围.39.已知二次函数)294(2)254(222+--+--=m m x m m x y 的图象与x 轴的交点为 A ,B (点A 在点B 右边),与y 轴的交点为C. ① 若△ABC 为Rt △,求m 的值;② 在△ABC 中,若AC=BC ,求∠ACB 的正弦值;③ 设△ABC 的面积为S ,求当m 为何值时,S 有最小值,并求这个最小值.40.如图代13-3-19,在直角坐标系中,以AB 为直径的⊙C 交x 轴于A ,交y 轴于B , 满足OA ∶OB=4∶3,以OC 为直径作⊙D ,设⊙D 的半径为2.图代13-3-19① 求⊙C 的圆心坐标.② 过C 作⊙D 的切线EF 交x 轴于E ,交y 轴于F ,求直线EF 的解析式.③ 抛物线c bx ax y ++=2(a ≠0)的对称轴过C 点,顶点在⊙C 上,与y 轴交点为B ,求抛物线的解析式.41.已知直线x y 21=和m x y +-=,二次函数q px x y ++=2图象的顶点为M. ① 若M 恰在直线x y 21=与m x y +-=的交点处,试证明:无论m 取何实数值,二次函数q px x y ++=2的图象与直线m x y +-=总有两个不同的交点. ② 在(1)的条件下,若直线m x y +-=过点D (0,-3),求二次函数q px x y ++=2的表达式,并作出其大致图象.图代13-3-20③ 在(2)的条件下,若二次函数q px x y ++=2的图象与y 轴交于点C ,与x 同 的左交点为A ,试在直线x y 21=上求异于M 点P ,使P 在△CMA 的外接圆上. 42.如图代13-3-20,已知抛物线b ax x y ++-=2与x 轴从左至右交于A ,B 两点, 与y 轴交于点C ,且∠BAC=α,∠ABC=β,tg α-tg β=2,∠ACB=90°. (1) 求点C 的坐标; (2) 求抛物线的解析式;(3) 若抛物线的顶点为P ,求四边形ABPC 的面积.参 考 答 案动脑动手 1. 设每件提高x 元(0≤x ≤10),即每件可获利润(2+x )元,则每天可销售(100-10x ) 件,设每天所获利润为y 元,依题意,得)10100)(2(x x y -+=.360)4(10200801022+--=++-=x x x∴当x=4时(0≤x ≤10)所获利润最大,即售出价为14元,每天所赚得最大利润360元. 2.∵43432+⎪⎭⎫⎝⎛+-=x m mx y , ∴当x=0时,y=4. 当0,043432≠=+⎪⎭⎫ ⎝⎛+-m x m mx 时mm m 34,321==. 即抛物线与y 轴的交点为(0,4),与x 轴的交点为A (3,0),⎪⎭⎫⎝⎛0,34m B . (1)当AC=BC 时,94,334-=-=m m . ∴ 4942+-=x y (2)当AC=AB 时,5,4,3===AC OC AO .∴ 5343=-m. ∴ 32,6121-==m m . 当61=m 时,4611612+-=x x y ; 当32-=m 时,432322++-=x x y .(3)当AB=BC 时,22344343⎪⎭⎫⎝⎛+=-m m ,∴ 78-=m . ∴ 42144782++-=x x y .可求抛物线解析式为:43232,461161,494222+--=+-=+-=x x y x x y x y 或42144782++-=x x y .3.(1)∵)62(4)]5([222+---=∆m m)1(122222 +=++=m m m图代13-3-21∴不论m 取何值,抛物线与x 轴必有两个交点. 令y=0,得062)5(222=+++-m x m x 0)3)(2(2=---m x x ,∴ 3,2221+==m x x .∴两交点中必有一个交点是A (2,0).(2)由(1)得另一个交点B 的坐标是(m 2+3,0).12322+=-+=m m d ,∵ m 2+10>0,∴d=m 2+1.(3)①当d=10时,得m 2=9.∴ A (2,0),B (12,0).25)7(241422--=+-=x x x y .该抛物线的对称轴是直线x=7,顶点为(7,-25),∴AB 的中点E (7,0). 过点P 作PM ⊥AB 于点M ,连结PE , 则2222)7(,,521a MEb PM AB PE -====, ∴ 2225)7(=+-b a . ① ∵点PD 在抛物线上,∴ 25)7(2--=a b . ② 解①②联合方程组,得0,121=-=b b .当b=0时,点P 在x 轴上,△ABP 不存在,b=0,舍去.∴b=-1. 注:求b 的值还有其他思路,请读者探觅,写出解答过程. ②△ABP 为锐角三角形时,则-25≤b <-1; △ ABP 为钝角三角形时,则b >-1,且b ≠0. 同步题库一、 填空题 1.3)2(21,)2(2122-+-=+-=x y x y ; 2.81,41=x ; 3.9)3(2-+=x y ; 4. 2)2(22+--=x y ; 5.互为相反数; 6.y 轴,左,右; 7.下,x=-1,(-1,-3),x >-1; 8.四,增大; 9.向上,向下,a bx a b ac a b 2,44,22-=⎪⎪⎭⎫ ⎝⎛--; 10.向下,(h,0),x=h ; 11.-1,-2; 12.x <-1; 13.-17,(2,3); 14.91312-⎪⎭⎫ ⎝⎛+=x y ; 15.10.二、选择题16.B 17.C 18.A 19.A 20.C 21.D 22.B 23.B 24.D 25.B 26.D 27.C 28. C 29.A 30.D 三、解答题31.解法一:依题意,设M (x 1,0),N (x 2,0),且x 1≠x 2,则x 1,x 2为方程x 2+2ax-2b+1=0 的两个实数根,∴ a x x 221-=+,1x ·122+-=b x . ∵x 1,x 2又是方程01)3(22=-+-+-b x a x 的两个实数根, ∴ x 1+x 2=a-3,x 1·x 2=1-b 2. ∴ ⎩⎨⎧-=+--=-.112,322b b a a解得 ⎩⎨⎧==;0,1b a 或⎩⎨⎧==.2,1b a 当a=1,b=0时,二次函数的图象与x 轴只有一个交点,∴a=1,b=0舍去.当a=1;b=2时,二次函数322-+=x x y 和322+--=x x y 符合题意. ∴ a=1,b=2.解法二:∵二次函数1222+-+=b ax x y 的图象对称轴为a x -=,二次函数1)3(22-+-+-=b x a x y 的图象的对称轴为23-=a x , 又两个二次函数图象都经过x 轴上两个不同的点M ,N , ∴两个二次函数图象的对称轴为同一直线.∴ 23-=-a a . 解得 1=a .∴两个二次函数分别为1222+-+=b x x y 和1222-+--=b x x y . 依题意,令y=0,得01222=+-+b x x , 01222=-+--b x x .①+②得022=-b b .解得 2,021==b b . ∴ ⎩⎨⎧==;0,1b a 或⎩⎨⎧==.2,1b a当a=1,b=0时,二次函数的图象与x 轴只有一个交点, ∴a=1,b=0舍去.当a=1,b=2时,二次函数为322-+=x x y 和322+--=x x y 符合题意. ∴ a=1,b=2.32.解:∵c bx ax y ++=2的图象与x 轴交于点B (x 1,0),C (x 2,0), ∴ acx x a b x x =⋅-=+2121,. 又∵132221=+x x 即132)(21221=-+x x x x ,∴ 132)(2=⋅--a cab . ① 又由y 的图象过点A (2,4),顶点横坐标为21,则有4a+2b+c=4, ② 212=-a b . ③ 解由①②③组成的方程组得 a=-1,b=1,c=6.∴ y=-x 2+x+6. 与x 轴交点坐标为(-2,0),(3,0). 与y 轴交点D 坐标为(0,6).设y 轴上存在点P ,使得△POB ∽△DOC ,则有 (1) 当B (-2,0),C (3,0),D (0,6)时,有6,3,2,====OD OC OB ODOPOC OB . ∴OP=4,即点P 坐标为(0,4)或(0,-4).当P 点坐标为(0,4)时,可设过P ,B 两点直线的解析式为 y=kx+4.有 0=-2k-4. 得 k=-2. ∴ y=-2x-4. 或3,6,2,====OC OD OB OCOPOD OB . ∴OP=1,这时P 点坐标为(0,1)或(0,-1).当P 点坐标为(0,1)时,可设过P ,B 两点直线的解析式为 y=kx+1.有 0=-2k+1.得 21=k . ∴ 121+-=x y .当P 点坐标为(0,-1)时,可设过P ,B 两点直线的解析式为 y=kx-1,有 0=-2k-1,得 21-=k . ∴ 121--=x y . (2) 当B (3,0),C (-2,0),D (0,6)时,同理可得y=-3x+9,或 y=3x-9,或 131+-=x y , 或 131-=x y . 33.解:(1)在直线y=k(x-4)中,令y=0,得x=4.∴A 点坐标为(4,0).∴ ∠ABC=90°.∵ △CBD ∽△BAO , ∴OBOA OC OB =,即OB 2=OA ·OC. 又∵ CO=1,OA=4,∴ OB 2=1×4=4.∴ OB=2(OB=-2舍去)∴B 点坐标为(0,2).将点B (0,2)的坐标代入y=k(x-4)中,得21-=k . ∴直线的解析式为:221+-=x y . (2)解法一:设抛物线的解析式为h x a y ++=2)1(,函数图象过A (4,0),B (0,2),得⎩⎨⎧=+=+.2,025h a h a 解得 .1225,121=-=h a ∴抛物线的解析式为:1225)1(1212++-=x y . 解法二:设抛物线的解析式为:c bx ax y ++=2,又设点A (4,0)关于x=-1的对 称是D.∵ CA=1+4=5,∴ CD=5.∴ OD=6.∴D 点坐标为(-6,0).将点A (4,0),B (0,2),D (-6,0)代入抛物线方程,得⎪⎩⎪⎨⎧=+-==++.0636,2,0416c b a c c b a 解得 2,61,121=-=-=c b a . ∴抛物线的解析式为:2611212+--=x x y . 34.解:(1)A ,B 的横坐标是方程032=+-c x ax 的两根,设为x 1,x 2(x 2>x 1),C 的 纵坐标是C.又∵y 轴与⊙O 相切,∴ OA ·OB=OC 2.∴ x 1·x 2=c 2.又由方程032=+-c x ax 知 a c x x =⋅21, ∴ac c =2,即ac=1. (2)连结PD ,交x 轴于E ,直线PD 必为抛物线的对称轴,连结AD 、BD ,图代13-3-22∴ AB AE 21=. α=∠=∠=∠ADE ADB ACB 21. ∵ a >0,x 2>x 1, ∴ a a ac x x AB 54912=-=-=. aAE 25=. 又 ED=OC=c ,∴ 25==DE AE tg α. (3)设∠PAB=β,∵P 点的坐标为⎪⎭⎫ ⎝⎛-a a 45,23,又∵a >0, ∴在Rt △PAE 中,aPE 45=. ∴ 25==AE PE tg β. ∴ tg β=tg α. ∴β=α.∴∠PAE=∠ADE.∵ ∠ADE+∠DAE=90°∴PA 和⊙D 相切.35.解:(1)设DGD '所在的抛物线的解析式为c ax y +=2,由题意得G (0,8),D (15,5.5).∴ ⎩⎨⎧+==.255.5,8c a c 解得⎪⎩⎪⎨⎧=-=.8,901c a∴DGD '所在的抛物线的解析式为89012+-=x y . ∵41=AC AD 且AD=5.5, ∴ AC=5.5×4=22(米).∴ 2215(2)(22+⨯=+⨯=='AC OA OC c c )=74(米).答:cc '的长为74米.(2)∵ 4,41==BE BC EB , ∴ BC=16.∴ AB=AC-BC=22-16=6(米).答:AB 和A 'B '的宽都是6米.(3) 在89012+-=x y 中,当x=4时, 45377816901=+⨯-=y . ∵ 4519)4.07(45377=+->0. ∴该大型货车可以从OA (OA ')区域安全通过.36.解:(1)∵⊙O 1与⊙O 2外切于原点O ,∴A ,B 两点分别位于原点两旁,即a <0,b >0.∴方程02)4(2=+++-m x m x 的两个根a ,b 异号.∴ab=m+2<0,∴m <-2.(2)当m <-2,且m ≠-4时,四边形PO 1O 2Q 是直角梯形. 根据题意,计算得22121b S Q O PO =四边形(或221a 或1). m=-4时,四边形PO 1O 2Q 是矩形. 根据题意,计算得22121b S Q O PO =四边形(或221a 或1). (3)∵ 4)2()2(4)4(22++=+-+=∆m m m >0∴方程02)4(2=+++-m x m x 有两个不相等的实数根.∵ m >-2, ∴ ⎩⎨⎧+=+=+.02,04 m ab m b a ∴ a >0,b >0.∴⊙O 1与⊙O 2都在y 轴右侧,并且两圆内切.37.解:(1)设A ,B 两点的坐标分别是(x 1,0)、(x 2,0),∵A ,B 两点在原点的两侧,∴ x 1x 2<0,即-(m+1)<0,解得 m >-1.∵ )1()1(4)]1(2[2+⨯-⨯--=∆m m 7)21(484422+-=+-=m m m 当m >-1时,Δ>0,∴m 的取值范围是m >-1.(2)∵a ∶b=3∶1,设a=3k ,b=k (k >0),则 x 1=3k ,x 2=-k ,∴ ⎩⎨⎧+-=-⋅-=-).1()(3),1(23m k k m k k 解得 31,221==m m . ∵31=m 时,3421-=+x x (不合题意,舍去), ∴ m=2∴抛物线的解析式是32++-=x x y .(3)易求抛物线322++-=x x y 与x 轴的两个交点坐标是A (3,0),B (-1,0) 与y 轴交点坐标是C (0,3),顶点坐标是M (1,4).设直线BM 的解析式为q px y +=,则 ⎩⎨⎧+-⋅=+⋅=.)1(0,14q p q p解得 ⎩⎨⎧==.2,2q p ∴直线BM 的解析式是y=2x+2.设直线BM 与y 轴交于N ,则N 点坐标是(0,2),∴ MNC BCN BCM S S S ∆∆∆+= .111211121=⨯⨯+⨯⨯=设P 点坐标是(x,y ),∵ BCM ABP S S ∆∆=8,∴1821⨯=⨯⨯y AB . 即 8421=⨯⨯y . ∴ 4=y .∴4±=y .当y=4时,P 点与M 点重合,即P (1,4),当y=-4时,-4=-x 2+2x+3,解得 221±=x .∴满足条件的P 点存在.P 点坐标是(1,4),)4,221(),4,221(---+.38.(1)解:∵AD 切⊙O 于D ,AE=2,EB=6,∴ AD 2=AE ·AB=2×(2+6)=16.∴ AD=4.图代13-2-23(2)①无论点A 在EP 上怎么移动(点A 不与点E 重合),总有FH ED AH AD =. 证法一:连结DB ,交FH 于G ,∵AH 是⊙O 的切线,∴ ∠HDB=∠DEB.又∵BH ⊥AH ,BE 为直径,∴ ∠BDE=90°有 ∠DBE=90°-∠DEB=90°-∠HDB=∠DBH.在△DFB 和△DHB 中,DF ⊥AB ,∠DFB=∠DHB=90°,DB=DB ,∠DBE=∠DBH ,∴ △DFB ∽△DHB.∴BH=BF , ∴△BHF 是等腰三角形.∴BG ⊥FH ,即BD ⊥FH.∴ED ∥FH ,∴FHED AH AD =.图代13-3-24证法二:连结DB ,∵AH 是⊙O 的切线,∴ ∠HDB=∠DEF.又∵DF ⊥AB ,BH ⊥DH ,∴ ∠EDF=∠DBH.以BD 为直径作一个圆,则此圆必过F ,H 两点,∴∠DBH=∠DFH ,∴∠EDF=∠DFH.∴ ED ∥FH.∴ FHED AH AD =. ②∵ED=x ,BH=,BH=y ,BE=6,BF=BH ,∴EF=6y.又∵DF 是Rt △BDE 斜边上的高,∴ △DFE ∽△BDE , ∴EBED ED EF =,即EB EF ED ⋅=2. ∴)6(62y x -=,即6612+-=x y . ∵点A 不与点E 重合,∴ED=x >0.A 从E 向左移动,ED 逐渐增大,当A 和P 重合时,ED 最大,这时连结OD ,则OD ⊥PH. ∴ OD ∥BH.又 12,936==+=+=PB EO PE PO ,4,=⋅==POPB OD BH PB PO BH OD , ∴ 246,4=-=-===BF EB EF BH BF ,由ED 2=EF ·EB 得 12622=⨯=x ,∵x >0,∴32=x .∴ 0<x ≤32.(或由BH=4=y ,代入6612+-=x y 中,得32=x ) 故所求函数关系式为6612+-=x y (0<x ≤32). 39.解:∵]294)[2(2942254222⎪⎭⎫ ⎝⎛+--+=⎪⎭⎫ ⎝⎛+--⎪⎭⎫ ⎝⎛+--=m m x x m m x m m x y , ∴可得⎥⎦⎤⎢⎣⎡⎪⎭⎫ ⎝⎛+--⎪⎭⎫ ⎝⎛+--2942,0,0,294),0,2(22m m C m m B A . (1)∵△ABC 为直角三角形,∴OB AO OC⋅=2, 即⎪⎭⎫ ⎝⎛+-⨯=⎪⎭⎫ ⎝⎛+-22942294422m m m m , 化得0)2(2=-m .∴m=2.(2)∵AC=BC ,CO ⊥AB ,∴AO=BO ,即22942=+-m m . ∴429422=⎪⎭⎫ ⎝⎛+-=m m OC .∴25==BC AC .过A 作AD ⊥BC ,垂足为D ,∴ AB ·OC=BC ·AD. ∴ 58=AD .∴ 545258sin ===∠AC AD ACB .图代13-3-25(3)CO AB S ABC ⋅=∆21 .1)1()2(2942229421222-+=+=⎪⎭⎫ ⎝⎛+-⋅⎪⎭⎫ ⎝⎛++-=u u u m m m m ∵ 212942≥+-=m m u , ∴当21=u ,即2=m 时,S 有最小值,最小值为45. 40.解:(1)∵OA ⊥OB ,OA ∶OB=4∶3,⊙D 的半径为2,∴⊙C 过原点,OC=4,AB=8.A 点坐标为⎪⎭⎫ ⎝⎛0,532,B 点坐标为⎪⎭⎫ ⎝⎛524,0. ∴⊙C 的圆心C 的坐标为⎪⎭⎫⎝⎛512,516. (2)由EF 是⊙D 切线,∴OC ⊥EF.∵ CO=CA=CB ,∴ ∠COA=∠CAO ,∠COB=∠CBO.∴ Rt △AOB ∽Rt △OCE ∽Rt △FCO.∴OBOC AB OF OA OC AB OE ==,. ∴ 320,5==OF OE .E 点坐标为(5,0),F 点坐标为,∴切线EF 解析式为32034+-=x y . (3)①当抛物线开口向下时,由题意,得抛物线顶点坐标为⎪⎭⎫⎝⎛+4512,516,可得 ⎪⎪⎩⎪⎪⎨⎧==-=⇒⎪⎪⎪⎩⎪⎪⎪⎨⎧==-=-.524,1,325.52453244,51622c b a c a b ac a b ∴ 5243252++-=x x y . ②当抛物线开口向上时,顶点坐标为⎪⎭⎫ ⎝⎛-4512,516,得 ⎪⎪⎩⎪⎪⎨⎧=-==⇒⎪⎪⎪⎩⎪⎪⎪⎨⎧=-=-=-.524,4,85.524,5844,51622c b a c a b ac a b ∴ 5244852+--=x x y . 综合上述,抛物线解析式为5243252++-=x x y 或5244852+-=x x y . 41.(1)证明:由⎪⎩⎪⎨⎧+-==,,21m x y x y 有m x x +-=21, ∴ m y m x m x 31,32,23===. ∴交点)31,32(m m M .此时二次函数为m m x y 31322+⎪⎭⎫ ⎝⎛-= m m mx x 31943422++-=. 由②③联立,消去y ,有 0329413422=-+⎪⎭⎫ ⎝⎛--m m x m x . ⎪⎭⎫ ⎝⎛--⎥⎦⎤⎢⎣⎡⎪⎭⎫ ⎝⎛--=∆m m m 3294413422 .013891613891622>=+-+-=m m m m∴无论m 为何实数值,二次函数q px x y ++=2的图象与直线m x y +-=总有两个不同的交点.图代13-3-26(2)解:∵直线y=-x+m 过点D (0,-3),∴ -3=0+m ,∴ m=-3.∴M (-2,-1).∴二次函数为)1)(3(341)2(22++=+-=-+=x x x x x y .图象如图代13-3-26.(3)解:由勾股定理,可知△CMA 为Rt △,且∠CMA=Rt ∠,∴MC 为△CMA 外接圆直径.∵P 在x y 21=上,可设⎪⎭⎫ ⎝⎛n n P 21,,由MC 为△CMA 外接圆的直径,P 在这个圆上, ∴ ∠CPM=Rt ∠.过P 分别作PN ⊥y ,轴于N ,PQ ⊥x 轴于R ,过M 作MS ⊥y 轴于S ,MS 的延长线与PR 的 延长线交于点Q.由勾股定理,有222QP MQ MP +=,即222121)2(⎪⎭⎫ ⎝⎛+++=n n MP . 22222213n n NP NC CP +⎪⎭⎫ ⎝⎛-=+=. 202=CM .而 222CM CPMP =+, ∴ 20213121)2(2222=+⎪⎭⎫ ⎝⎛-+⎪⎭⎫ ⎝⎛+++n n n n , 即 062252=-+n n , ∴ 012452=-+n n ,0)2)(65(=+-n n .∴ 2,5621-==n n . 而n 2=-2即是M 点的横坐标,与题意不合,应舍去.∴ 56=n , 此时 5321=n . ∴P 点坐标为⎪⎭⎫ ⎝⎛53,56. 42.解:(1)根据题意,设点A (x 1,0)、点(x 2,0),且C (0,b ),x 1<0,x 2>0,b >0, ∵x 1,x 2是方程02=++-b ax x 的两根,∴ b x x a x x -=⋅=+2121,.在Rt △ABC 中,OC ⊥AB ,∴OC 2=OA ·OB.∵ OA=-x 1,OB=x 2,∴ b 2=-x 1·x 2=b.∵b >0,∴b=1,∴C (0,1).(2)在Rt △AOC 的Rt △BOC 中, 211212121==+-=--=-=-ba x x x x x x OB OC OA OC tg tg βα. ∴ 2=a .∴抛物线解析式为122++-=x x y .图代13-3-27(3)∵122++-=x x y ,∴顶点P 的坐标为(1,2),当0122=++-x x 时,21±=x .∴)0,21(),0,21(+-B A .延长PC 交x 轴于点D ,过C ,P 的直线为y=x+1, ∴点D 坐标为(-1,0). ∴ DCA DPB ABPC S S S ∆∆-=四边形).(22321)22(212)22(212121平方单位+=⨯-⨯-⨯+⨯=⋅-⋅⋅=yc AD y DB p。
含有绝对值符号的函数的性质1、已知不等式||22x x a +≤对x 取一切负数恒成立,则a 的取值范围是_______.2、若关于x 的不等式||22a x x --<至少有一个负数解,则实数a 的取值范围是_______.3、函数2|1|y x =-和函数y x k =+的图像恰有三个交点,则k 的值是_______. 4、设常数R ∈a ,以方程20112||=⋅+xa x 的根的可能个数为元素的集合=A _______.5、不等式2313x x a a +--≤-对任意实数x 恒成立,则实数a 的取值范围为_______.6、对任意的120x x <<,若函数1()f x a x x b x =-+折线(两侧的射线均平行于x 轴), 试写出a 、b 应满足的条件 .7、已知函数()2log f x x =,正实数,m n 满足m n <,且()()f m f n =,若()f x 在区间2,m n ⎡⎤⎣⎦上的最大值为则m =________,n =_________.8、设,,a b R ∈且1b ≠.若函数1y a x b =-+的图象与直线y x =恒有公共点,则,a b 应满足的条件是_______.9、关于x 的方程0922=-++a x a x (R a ∈)有唯一的实数根,则=a _______. 10、若函数1log 2)(|3|+-=-x x f a x 无零点,则a 的取值范围为_______.11、定义在R 上的函数()f x 的图像过点(6,2)M -和(2,6)N -,且对任意正实数k ,有()()f x k f x +<成立,则当不等式|()2|4f x t -+<的解集为(4,4)-时,则实数t 的值为_______.12、已知函数21(0)()log (0)x a x f x x x ⎧++≤=⎨>⎩有三个不同零点,则实数a 的取值范围为_______.13、设关于x 的不等式4|4|2+≤+-x m x x 的解集为A ,且A A ∉∈2,0,则实数m 的取值范围是_______.14、直线1y x =+与曲线2||194y x x -=的公共点的个数是_______. 15、我们把形如()0,0>>-=b a ax by 的函数因其图像类似于汉字“囧”字,故生动地称为“囧函数”,并把其与y 轴的交点关于原点的对称点称为“囧点”,以“囧点”为圆心凡是与“囧函数”有公共点的圆,皆称之为“囧圆”,则当1=a ,1=b 时,所有的“囧圆”中,面积的最小值为____________16、函数21|21|(0)()2(0)x x x x f x a x -⎧+-≤⎪=⎨+>⎪⎩有两个不同的零点,实数a 的取值范围为_______.17、已知)(x f 是定义在]4,4[-上的奇函数,31)2()(+-=x f x g .当[2,0)(0,2]x ∈-时,0)0(,121)(||=-=g x g x ,则方程)1(log )(21+=x x g 的解的个数为____________.18、“2a =”是“函数()f x x a =-在[)2,+∞上是增函数”的_______.()A 充分非必要条件. ()B 必要非充分条件. ()C 充要条件. ()D 即非充分也非必要条件.19、设函数()y f x =的R 内有定义,对于给的正数k ,定义函数()()()()k f x f x k f x kf x k≤⎧=⎨>⎩取函数21()log ||,2f x x k ==当时,函数()k f x 的单调递增区间为_______.20、若函数4||y y x a x==-和的图像有三个不同的公共点,则实数a 的取值范围是_______. 21、定义运算:⎩⎨⎧≤>=*yx y yx x y x ,若11+=*+m m m ,则实数m 的取值范围是_______.22、已知函数0)()()1(1)1(|1|1)(2=++⎪⎩⎪⎨⎧=≠-=c x bf x f x x x x x f 的方程,若关于 有且仅有3个实数根=++232221321x x x x x x ,则、、_______.23、已知以4T =为周期的函数()f x 在(13]-,上的解析式为2(1||),(1,1]()1(2),(1,3]m x x f x x x -∈-⎧=⎨--∈⎩,其中0m >,若方程3()f x x =恰有5个实数解,则m 的取值范围为_______.24、在平面直角坐标系xOy 中,O 为坐标原点.定义11(,)P x y 、22(,)Q x y 两点之间的“直角距离”为1212(,)d P Q x x y y =-+-.已知(1,0)B ,点M 为直线20x y -+=上的动点,则(,)d B M 的最小值为_______.25、已知函数)()(R x q px x x x f ∈++=,给出下列四个命题:①)(x f 为奇函数的充要条件是0=q ;②)(x f 的图象关于点),0(q 对称;③当0=p 时,方程)(x f =0的解集一定非空;④方程)(x f =0的解的个数一定不超过两个. 其中所有正确命题的序号是_______.26、函数()sin f x x x m n =++为奇函数的充要条件是_______. A 、220m n += B 、0mn = C 、0m n += D 、0m n -=27、函数,)(c bx x x x f ++=给出四个命题:(1)0=c 时,)(x f y =是奇函数;(2))(x f y =的图象关于点),0(c 中心对称;(3)方程0)(=x f 至多有两个实根;(4)0,0>=c b 方程0)(=x f 只有一个实数根.上述命题中所有正确的命题的序号是_______.28、设函数)(x f y =由方程1||||=+y y x x 确定,下列结论正确的是_______.(请将你认为正确的序号都填上)(1))(x f 是R 上的单调递减函数;(2)对于任意R x ∈,0)(>+x x f 恒成立; (3)对于任意R a ∈,关于x 的方程a x f =)(都有解; (4))(x f 存在反函数)(1x f-,且对于任意R x ∈,总有)()(1x fx f -=成立.29、已知:()x f y =是最小正周期为2的函数,当[]1,1-∈x 时,()2x x f =,则函数()x f y =()R x ∈图像与xy 5log =图像的交点的个数是_______个.30、在平面直角坐标系中,设点),(y x P ,定义||||][y x OP +=,其中O 为坐标原点.对于以下结论:①符合1][=OP 的点P 的轨迹围成的图形的面积为2;②设P 为直线0225=-+y x 上任意一点,则][OP 的最小值为1;③设P 为直线),(R b k b kx y ∈+=上的任意一点,则“使][OP 最小的点P 有无数个”的必要不充分条件是“1±=k ”;其中正确的结论有________(填上你认为正确的所有结论的序号)31、若方程lg 50x x +-=在区间()(),1k k k Z +∈上有零点,则所有满足条件的k 的值的和为______________.32、设[]x 表示不超过实数x 的最大整数,如[]15.1=,[]25.1-=-.若()xxaa x f +=1(0>a 且1≠a ),则()()⎥⎦⎤⎢⎣⎡--+⎥⎦⎤⎢⎣⎡-=2121)(x f x f x g 的值域为_______.33、符号][x 表示不超过x 的最大整数,如[2.3]=2,][}{,2]3.1[x x x +=-=-定义函数,那么下列命题中所有正确命题的序号为_______.①函数}{x 的定义域是R ;②函数}{x 的值域为R ; ③方程23}{=x 有唯一解;④函数}{x 是周期函数;⑤函数}{x 是增函数. 34、已知函数1|1|)(--=x x x f .(1)求满足x x f =)(的x 值; (2)写出函数)(x f 的单调递增区间; (3)解不等式0)(<x f (结果用区间表示)35、[]x 表示不超过实数x 的最大整数.设实数x 不是整数,且[][]x x xx 9999+=+,则x 的值为_______.36、对于任意实数x ,符号[x ]表示x 的整数部分,即[x ]是不超过x 的最大整数”.在实数轴R (箭头向右)上[x ]是在点x 左侧的第一个整数点,当x 是整数时[x ]就是x .这个函数[x ]叫做“取整函数”,它在数学本身和生产实践中有广泛的应用.那么]1024[log ]4[log ]3[log ]2[log ]1[log 22222+++++ =_______.37、给出定义:若1122m x m -<≤+(其中m 为整数),同m 叫做高实数x 最近的整数,记作{x},即{}.x m =给出下列关于函数()|{}|f x x x =-的四个命题: ①函数()y f x =的定义域是R ,值域是1[0,]2②函数()y f x =的图像关于直线()2kx k Z =∈对称; ③函数()y f x =是周期函数,最小正周期是1;④函数11()[,]22y f x =在上是增函数;则其中真命题的序号是 .38、已知函数()c b x x f +-=2)|(|,函数m x x g +=)(,(1)当4,2-==m b 时,)()(x g x f ≥恒成立,求实数c 的取值范围;(2)当2,3-=-=m c 时,方程)()(x g x f =有四个不同的解,求实数b 的取值范围.39、设全集U R =,关于x 的不等式220x a ++->(a R ∈)的解集为A . (1)分别求出当1a =和3a =时的集合A ;(2)设集合)cos()066B x x ππππ⎧⎫=-+-=⎨⎬⎩⎭,若()U C A B 中有且只有三个元素,求实数a 的取值范围.40、已知函数()(),f x x a x a R =⋅-∈.(1)当4=a 时,画出函数()f x 的大致图像,并写出其单调递增区间; (2)若函数)(x f 在]2,0[∈x 上是单调递减函数,求实数a 的取值范围; (3)若不等式()6x a x ⋅-≤对[]0,2x ∈恒成立,求实数a 的取值范围.41、已知函数a a x x x f --=||)(,R x ∈. (1)当1=a 时,求满足x x f =)(的x 值; (2)当0>a 时,写出函数)(x f 的单调递增区间;(3)当0>a 时,解关于x 的不等式0)(<x f (结果用区间表示).42、若实数、、满足,则称比接近.(1)若比3接近0,求的取值范围;(2)对任意两个不相等的正数、,证明:比接近;43、已知函数R x e x f ex f a x a x ∈==+-+-,)(,)(1||2|12|1.⑴ 若2=a ,求)(x f =)(1x f +)(2x f 在∈x [2,3]上的最小值;⑵ 若)()(21x f x f -=)()(12x f x f -对于任意的实数R x ∈恒成立,求a 的取值范围; ⑶ 当61≤≤a 时,求函数=)(x g 2|)()(|2)()(2121x f x f x f x f --+在∈x [1,6]上的 最小值.44、已知函数.(1)若,求的值;(2)若对于恒成立,求实数的取值范围.45、对于定义在区间D 上的函数()f x ,若存在闭区间[,]a b D ⊆和常数c ,使得对任意的1[,]x a b ∈,都有1()f x c =,且对任意的2x D ∈,当2[,]x a b ∉时,2()f x c >恒成立,则称函数()f x 为区间D 上的“平底型”函数.(1)判断函数1()|1||2|f x x x =-+-和2()|2|f x x x =+-是否为R 上的“平底型”函数?并说明理由;(2)设()f x 是(1)中的“平底型”函数,k 为非零常数.若不等式||||||()t k t k k f x -++≥⋅对一切t ∈R 恒成立,求实数x 的取值范围;(3)若函数()g x mx =[2,)-+∞上的“平底型”函数,求实数m和n 的值.46、已知函数2|1|()4x m f x x +-=-,0m >且满足2)2(-=f .(1)求实数m 的值;(2)判断函数)(x f y =在区间]1,(--∞m 上的单调性,并用单调性的定义证明; (3)若关于x 的方程()f x kx =有三个不同的实数解,求实数k 的取值范围.。