YKK系列高压三相异步电动机
- 格式:doc
- 大小:589.73 KB
- 文档页数:16
YKK系列高压三相异步电动机产品样本(机座号710~1000)佳木斯电机股份有限公司发布YKK系列高压三相异步电动机产品样本1 概述YKK系列高压三相异步电动机是我公司采用国内外先进技术,结合我公司几十年生产高压电动机的实践经验而设计制造的优化系列产品,具有结构紧凑、重量轻、高效、节能、噪声低、振动小、可靠性高、使用寿命长、安装维护方便等优点。
该系列产品主要适用于石油、化工、煤炭、电站、冶金、交通运输、纺织、医药、粮食加工等行业中的风机、水泵、压缩机、破碎机、切屑机床、运输机械等通用机械设备或其它类似机械设备。
2 结构特点电动机采用箱形结构,机座由钢板焊接成箱形,重量轻、刚度好。
电机顶部安装空-空冷却器。
定子采用外装压结构,定子绕组采用F级绝缘材料,10kV电动机采用可靠的防电晕措施,绕组端部有可靠的固定及绑扎,并采用真空压力浸渍无溶剂漆工艺(VPI)处理,因此电动机的绝缘性能好,机械强度高,防潮能力强,使用寿命长。
鼠笼转子为铜条结构,采用先进可靠的焊接工艺制造而成,并经过动平衡校验,因此电动机运行平稳可靠。
轴承采用滑动轴承形式,其防护等级为IP44、IP54或IP55。
主接线盒置于电动机右侧(从轴伸端看),也可按用户要求置于左侧,接线盒的内外均设有单独的接地端子。
电机功率为2000kW及以上时,在主接线盒的另一侧设置中性点接线盒。
在定子绕组、轴承等重要部位加设测温装置,便于现场观察和远距离监控,以保证电动机安全可靠地运行。
3 采用的标准GB 755-2008 旋转电机定额和性能(neq IEC60034-1:2004)GB/T 997-2008 旋转电机结构型式、安装型式及接线盒位置的分类(IM代码)(eqv IEC 60034-7:2001) GB/T 1993-1993 旋转电机冷却方法(eqv IEC60034-6:1991)GB/T 4772.2 旋转电机尺寸和输出功率等级第2部分: 机座号355-1000 和凸缘号1180-2360 (idt IEC 60072-2:1990)GB/T 4942.1-2001 旋转电机整体结构的防护等级(IP代码)分级(idt IEC60034-5:2000)GB 10068-2008 轴中心高为56mm及以上电机的机械振动振动的测量、评定及限值(idt IEC60034-14:2007)GB/T 10069.1-2006 旋转电机噪声测定方法及限值第1部分:旋转电机噪声测定方法 (MOD ISO 1680:1999)GB 10069.3-2008 旋转电机噪声测定方法及限值第3部分:噪声限值(idt IEC60034-9:2007)4 选型指南4.1 型号的含义举例说明:Y KK 710 - 4极数(4极)电机机座号(710mm)冷却结构(KK为空/空冷却)异步电动机4.2 系列型谱见表1 (6kV)和表2 (10kV)电动机额定电压有6kV、10kV两种,电源的额定频率为50Hz。
产品样本南阳防爆集团股份有限公司Y、YKK、YKS系列高压三相异步电动机(H355~630产品样本代号:0AP.138.0108b南阳防爆集团股份有限公司2010年6月目录1. 概述 (32. 型号说明 (33. 结构说明 (34. 电动机使用条件 (45. 电动机技术数据 (46. 安装型式和安装及外型尺寸 (177. 订货说明 (211.概述Y、YKK、YKS系列(6kV、10kV高压三相异步电动机(机座号355-630是我公司九十年代最新产品,是我公司在引进吸收德国西门子高压电动机制造技术的基础上,结合公司长期稳定生产高压三相异步电动机的设计制造经验而优化的系列产品。
本系列产品采用九十年代新技术、新材料、新工艺,选材考究、制造精良,具有高效、节能、噪声低、振动小、重量轻、性能可靠、安装维修方便等优点。
本系列电动机符合国家标准GB755《旋转电机定额和性能》、行业标准JB/T7593《Y系列高压三相异步电动机技术条件(机座号355-630》、JB/T10446《Y 系列10KV 三相异步电动机技术条件(机座号450-630》、JB/T10315.1《YKS、YKS-W、YQF系列高压三相异步电动机技术条件(机座号355-630》、JB/T10315.2 《YKK、YKK-W 系列高压三相异步电动机技术条件(机座号355-630》、Q/NF234《10kV三相异步电动机(机座号450-630技术条件》和国际标准IEC60034。
本系列电动机的外壳防护等级为IP23、IP44和IP54、IP55等,冷却方式有IC01、IC611和IC81W等,安装方式为IMB3,也可根据用户要求制成相应的防护类型、冷却方式和安装方式。
本系列电动机还可制成热带湿热型、热带干热型、户外型和户外防中等腐蚀型以及热带湿热型户内场所、热带干热型户外场所用电动机。
本系列电动机可用于驱动各种通用机械,如压缩机、水泵、破碎机、切削机床、运输机械及其他机械设备,在矿山、机械工业、石油化工工业、发电厂等各种工矿企业中作原动机用。
Y、YKS、YKK系列大型三相异步电动机(机座号H710~1000)0EE.138.135佳木斯电机股份有限公司二○○三年五月1概述Y、YKS、YKK系列大型三相异步电动机是我公司消化吸收了国内外的先进电机技术,按照国际标准、国家标准和行业标准开发的系列产品,是大型交流电机更新换代的新系列产品。
本系列电动机运用了计算机优化设计,采用了新材料、新工艺、具有效率高、噪声低、振动小、重量轻、可靠性高,安装维修方便等特点。
本系列电动机有6kV、10kV两种额定电压。
本系列电动机的外壳防护等级有IP23、IP44两种,也可按用户的要求制成管道通风式IP44,如用户需要其他防护等级如:IP54、IP24等,亦可协商制造。
本系列电动机的安装型式为IMB3。
可用于驱动各种轻载起动的机械设备,如作为压缩机、通风机、水泵、破碎机等机械的原动机。
Y系列为基本系列电动机,YKS、YKK系列是根据电动机的冷却方式和防护等级不同而派生的系列产品,Y、YKS、YKK系列产品特征(见表1)。
表12结构特点Y系列电动机为基本系列,防护等级IP23,只要在机座顶部换装不同的顶罩(冷却器或防护罩)即可派生出各种不同防护等级及冷却方式的电动机,机座由钢板焊接而成,采用国际上流行的箱式结构。
定子采用F级绝缘和外装压结构,整个定子经真空压力浸F级无溶剂漆(VPI)处理,具有良好的电气性能和防潮能力。
转子采用铜条结构,经可靠工艺焊接,用特殊工艺嵌紧,并采取防止导条断条的可靠措施。
轴承采用国际上流行的端盖式球面滑动轴承,具有负荷能力强、检修及装配方便等优点,并有防止轴电流的措施。
电机主接线盒防护等级为IP54,一般置于电动机右侧(从轴伸端看去),也可按用户要求装于电动机左侧。
当电动机功率为2000kW及以上时,在电动机主接线盒另一侧还设有副接线盒,用于中性点接线,便于对电机进行保护控制。
电动机定子绕组、轴承均装有测温元件,供电机监控用。
如果需要在内部增设停机加热器装置,在订货时提出,也可满足。
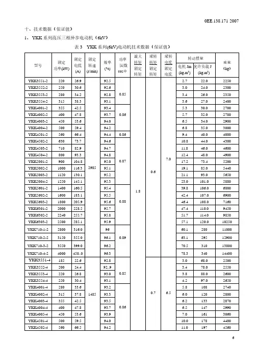
十、技术数据(保证值)1、YKK系列高压三相异步电动机(6kV)表3 YKK系列(6kV)电动机技术数据(保证值)型号额定功率(kW)额定电流(A)额定转速(r/min)效率(%)功率因数cosΦ最大转矩额定转矩堵转转矩额定转矩堵转电流额定电流转动惯量重量(kg)电机Jm(kg.m2)允许负载J(kg.m2)YKK3551-2 220 26.92985 92.50.851.80.67.02.7 22.0 2250YKK3552-2 250 30.6 92.6 3.0 24.0 2300 YKK3553-2 280 34.2 92.8 3.4 26.0 2350 YKK3554-2 315 38.3 93.1 3.6 27.0 2400YKK4001-2 355 42.5 93.40.86 5.3 30.0 2700YKK4002-2 400 47.8 93.7 5.7 32.0 2780 YKK4003-2 450 53.6 94.0 6.5 34.0 2900 YKK4004-2 500 59.4 94.2 6.8 35.0 3000 YKK4501-2 560 66.4 94.4 0.86 9.4 40.0 4000YKK4502-2 630 73.7 94.60.87 10.8 44.0 4300YKK4503-2 710 82.9 94.7 11.8 46.0 4600 YKK4504-2 800 93.3 94.8 12.4 48.0 4900 YKK5001-2 900 104.8 95.0 17.2 73.4 5200 YKK5002-2 1000 116.3 95.1 19.1 85.0 5440 YKK5003-2 1120 130.1 95.2 21.1 93.0 5650 YKK5004-2 1250 145.1 95.3 23.0 101.0 5880YKK5601-2 1400 160.5 95.40.88 39.8 106.0 6800YKK5602-2 1600 183.1 95.5 42.4 107.0 6900 YKK5603-2 1800 205.9 95.6 46.4 108.0 7160 YKK6301-2 2000 228.5 95.7 47.4 110.0 9450 YKK6302-2 2240 255.7 95.8 51.7 114.0 9850 YKK6303-2 2500 285.1 95.9 57.1 120.0 10250YKK710-1-2 2800 316.0 960.89 60.1 280 11000YKK710-2-2 3150 355.0 96.1 63.1 295 12900 YKK710-3-2 3550 399.0 96.2 70.5 310 13800 YKK710-4-2 4000 450..0 96.3 78.3 340 14400YKK3551-4 185 22.61485 92.80.850.7 6.53.0 68.0 2500YKK3552-4 200 24.4 92..9 3.4 78.0 2550 YKK3553-4 220 26.8 93.0 3.8 88.0 2600 YKK3554-4 250 30.4 93.1 4.2 97.0 2650YKK4001-4 280 33.6 93.20.86 5.8 108 2740YKK4002-4 315 37.8 93.3 6.0 120 2800 YKK4003-4 355 42.5 93.5 6.2 133 2870 YKK4004-4 400 47.8 93.7 6.5 147 2990 YKK4005-4 450 53.6 93.9 7.0 161 3060 YKK4501-4 500 59.5 94.0 10.0 178 4400 YKK4502-4 560 66.5 94.2 11.0 197 4560型号额定功率(kW)额定电流(A)额定转速(r/min)效率(%)功率因数cosΦ最大转矩额定转矩堵转转矩额定转矩堵转电流额定电流转动惯量重量(kg)电机Jm(kg.m2)允许负载J(kg.m2)YKK4503-4 630 74.71485 94.40.861.80.76.512.0 218 4720YKK4504-4 710 84.0 94.6 13.0 241 4890YKK5001-4 800 93.3 94.80.87 22.0 266 5640YKK5002-4 900 104.9 94.9 24.0 290 5660 YKK5003-4 1000 116.4 95.0 26.0 318 5850 YKK5004-4 1120 130.3 95.1 30.0 347 6030YKK5601-4 1250 143.6 95.20.880.6 51.0 379 7800YKK5602-4 1400 160.6 95.3 57.0 470 8050 YKK5603-4 1600 183.4 95.4 60.0 460 8300 YKK6301-4 1800 206.1 95.5 96.0 498 10400 YKK6302-4 2000 228.8 95.6 102.0 540 10800 YKK6303-4 2240 255.9 95.7 112.0 584 11200YKK7101-4 2500 291.0 96.10.860.5 247 1210 14150YKK7102-4 2800 326.0 96.2 264 1350 14540YKK7103-4 3150 362.0 96.30.87 281 1530 14950YKK7104-4 3550 408.0 96.3 316 1720 15610 YKK8001-4 4000 459.0 96.4 344 1892 19000 YKK8002-4 4500 516.4 96.5 370 2035 19700 YKK8003-4 5000 566.6 96.5 0.88 396 2178 20400YKK4001-6 185 23.5990 92.40.820.76.08.0 193 2610YKK4002-6 200 25.3 92.6 8.7 210 2665 YKK4003-6 220 27.8 92.8 9.0 236 2700 YKK4004-6 250 31.5 93.0 10.0 262 2750 YKK4005-6 280 35.2 93.3 10.8 291 2895 YKK4006-6 315 39.5 93.5 11.0 324 3020YKK4501-6 355 43.9 93.70.83 14.0 361 4380YKK4502-6 400 49.4 93.8 15.0 401 4540 YKK4503-6 450 55.4 94.1 16.0 440 4690 YKK4504-6 500 61.5 94.3 17.0 687 4810YKK5001-6 560 68.0 94.40.84 27.0 540 5355YKK5002-6 630 76.4 94.5 32.5 599 5440 YKK5003-6 710 85.8 94.8 34.0 665 5700 YKK5004-6 800 96.6 94.9 40.0 736 5880YKK5601-6 900 107.2 95.00.856.5 64.0 805 7500YKK5602-6 1000 119.0 95.1 70.0 886 7850 YKK5603-6 1120 133.2 95.2 75.0 927 8100YKK6301-6 1250 146.8 95.30.86 139 1068 10750YKK6302-6 1400 164.2 95.4 147 1192 11150 YKK6303-6 1600 187.5 95.5 162 1312 11500型号额定功率(kW)额定电流(A)额定转速(r/min)效率(%)功率因数cosΦ最大转矩额定转矩堵转转矩额定转矩堵转电流额定电流转动惯量重量(kg)电机Jm(kg.m2)允许负载J(kg.m2)YKK7101-6 1800 213.0990 95.80.851.80.5 6.5261 2300 13560YKK7102-6 2000 236.0 95.9 280 2550 13950 YKK7103-6 2240 264.0 96.0 316 2850 14470 YKK7104-6 2500 295.0 96.1 353 3190 15070YKK8001-6 2800 326.10.86 462 3541 19100YKK8002-6 3150 366.4 96.2 504 3772 19800 YKK8003-6 3550 413.0 546 4003 20500 YKK8004-6 4000 464.8 96.3 588 4234 21200YKK9001-6 4500 516.4 96.40.87 630 4465 22200YKK9002-6 5000 573.1 96.5 672 4696 22900 YKK9003-6 5600 641.2 96.6 714 4927 23600 YKK10001-6 6300 712.5 96.7 0.88 0.6 984 5410 25200 YKK10002-6 7100 802.1 96.8 1054 5795 26500YKK4001-8 185 24.7743 92.50.780.8 5.511.0 406 2785YKK4002-8 200 26.6 92.7 12.0 450 2840 YKK4003-8 220 29.2 92.9 13.0 502 2910YKK4501-8 250 32.7 93.00.79 16.0 558 4560YKK4502-8 280 36.6 93.2 17.0 622 4650 YKK4503-8 315 41.1 93.4 18.0 693 4740 YKK4504-8 355 46.2 93.5 19.0 772 4840YKK5001-8 400 51.3 93.70.80 30.0 853 5110YKK5002-8 450 57.7 93.8 34.0 941 5280 YKK5003-8 500 63.8 94.2 38.0 1044 5430 YKK5004-8 560 71.4 94.4 42.0 1160 5660YKK5601-8 630 78.2 94.50.820.7 6.0 79.0 1221 7500YKK5602-8 710 88.1 94.6 87.0 1357 7750 YKK5603-8 800 99.1 94.7 90.0 1505 8000YKK6301-8 900 108.8 94.80.84 129 1650 10400YKK6302-8 1000 120.7 94.9 137 1820 10800 YKK6303-8 1120 135.1 95.0 151 2001 11200 YKK6304-8 1250 150.6 95.1 160 2204 11600YKK7101-8 1400 169.0 95.20.6 6.5 281 3630 13560YKK7102-8 1600 192.0 95.3 318 4150 14060 YKK7103-8 1800 216.0 95.4 355 4670 14700YKK8001-8 2000 237.1 95.50.85 505 2780 18600YKK8002-8 2240 265.3 95.6 548 3015 19300 YKK8003-8 2500 295.8 95.7 590 3240 20100型号额定功率(kW)额定电流(A)额定转速(r/min)效率(%)功率因数cosΦ最大转矩额定转矩堵转转矩额定转矩堵转电流额定电流转动惯量重量(kg)电机Jm(kg.m2)允许负载J(kg.m2)YKK8004-8 2800 330.974395.8 0.851.8 0.6 6.5634 3485 20800YKK9001-8 3150 367.6 95.90.86 680 3740 22100YKK9002-8 3550 413.8 96.0 726 3990 22900 YKK9003-8 4000 465.8 96.1 772 4250 23700YKK10001-8 4500 517.4 96.20.87 1180 6490 25100YKK10002-8 5000 574.3 96.3 1290 7095 26200 YKK10003-8 5600 642.6 96.4 1400 7700 27300YKK4501-10 185 25.9590 91.70.750.8 5.519.0 698 4580YKK4502-10 200 27.9 91.9 20.0 775 4670 YKK4503-10 220 30.6 92.1 22.0 865 4760 YKK4504-10 250 34.8 92.3 24.0 902 4860 YKK4505-10 280 38.8 92.5 26.0 1072 4960YKK5001-10 315 43.0 92.80.76 36.0 1196 5220YKK5002-10 355 48.3 93.0 38.0 1332 5375 YKK5003-10 400 54.3 93.3 42.0 1471 5535 YKK5004-10 450 61.0 93.4 45.0 1627 5760YKK5601-10 500 65.9 93.60.780.7 6.0 67.0 1710 7470YKK5602-10 560 73.7 93.7 74.0 1902 7690 YKK5603-10 630 82.9 93.8 79.0 2116 7920 YKK5604-10 710 93.2 94.0 88.0 2355 8140YKK6301-10 800 102.1 94.20.80 132 2615 10600YKK6302-10 900 114.8 94.3 140 2800 11000 YKK6303-10 1000 127.4 94.4 152 3170 11400 YKK6304-10 1120 142.4 94.6 167 3489 11800 YKK7101-10 1250 153.0 94.80.830.6 6.5383 5060 13100YKK7102-10 1400 171.0 94.9 441 5660 13770 YKK7103-10 1600 195.0 95.0 470 6480 13950YKK8001-10 1800 219.5 95.16.0 530 2915 18500YKK8002-10 2000 243.6 95.2 620 3410 19200 YKK8003-10 2240 272.8 95.3 710 3905 19900YKK9001-10 2500 300.2 95.40.84 800 4800 21600YKK9002-10 2800 335.9 95.5 890 5340 22400 YKK9003-10 3150 377.5 95.6 980 5880 23200YKK10001-10 3550 420.0 95.70.85 1360 8160 24900YKK10002-10 4000 472.7 95.8 1490 8940 25950 YKK10003-10 4500 531.3 95.9 1620 9720 26900型号额定功率(kW)额定电流(A)额定转速(r/min)效率(%)功率因数cosΦ最大转矩额定转矩堵转转矩额定转矩堵转电流额定电流转动惯量重量(kg)电机Jm(kg.m2)允许负载J(kg.m2)YKK4504-12 185 27.749591.8 0.701.8 0.8 5.524.0 1487 4770YKK4505-12 200 29.9 92.0 26.0 1206 4950YKK5001-12 220 31.9 92.20.72 40.0 1347 5090YKK5002-12 250 36.1 92.5 42.0 1499 5340 YKK5003-12 280 40.4 92.7 43.0 1672 5410 YKK5004-12 315 45.4 92.8 47.0 1865 5660YKK5601-12 355 49.6 93.00.740.76.0 87.0 1967 7440YKK5602-12 400 55.7 93.3 96.0 2190 7650 YKK5603-12 450 62.7 93.4 103 2411 7860 YKK5604-12 500 69.4 93.7 114 2673 8070YKK6301-12 560 75.6 93.80.76 179 2974 10600YKK6302-12 630 84.9 93.9 191 3312 11000 YKK6303-12 710 95.6 94.0 208 3688 11400 YKK6304-12 800 107.5 94.2 272 4098 11800YKK7101-12 900 116.0 94.40.790.6 383 5250 13050YKK7102-12 1000 128.0 94.4 441 5840 13710 YKK7103-12 1120 144.0 94.5 470 6540 13900 YKK8001-12 1250 161.2 94.5 535 3210 18650 YKK8002-12 1400 180.3 94.6 625 3750 19400 YKK8003-12 1600 206.0 94.6 715 4290 20150 YKK8004-12 1800 231.8 94.6 805 4830 20900YKK9001-12 2000 254.0 94.70.8 895 5370 21800YKK9002-12 2240 284.2 94.8 985 5910 22600 YKK9003-12 2500 316.9 94.9 1075 6450 23400 YKK10001-12 2800 354.6 95.0 1375 8250 24850 YKK10002-12 3150 398.5 95.1 1505 9030 25800 YKK10003-12 3550 448.6 95.2 1635 9810 26750YKK5001-14 185 28.5423 91.80.680.766 1132 6355YKK5002-14 200 30.8 92.0 73 1222 6400 YKK5003-14 220 3308 92.1 80 1345 6700 YKK5004-14 250 38.3 92.4 87 1532 6880 YKK5601-14 280 42.8 92.6 117 3350 7400 YKK5602-14 315 48.0 92.8 131 **** **** YKK5603-14 355 54.0 93.0 145 4300 7840 YKK5604-14 400 60.7 93.3 158 **** **** YKK6301-14 450 68.2 93.4 193 3410 9000型号额定功率(kW)额定电流(A)额定转速(r/min)效率(%)功率因数cosΦ最大转矩额定转矩堵转转矩额定转矩堵转电流额定电流转动惯量重量(kg)电机Jm(kg.m2)允许负载J(kg.m2)YKK6302-14 500 75.5423 93.70.681.80.76.0211 3780 9250YKK6303-14 560 84.5 93.8 228 4240 9500YKK7101-14 630 88.0 93.40.740.6 377 5020 12900YKK7102-14 710 99.0 93.5 430 5660 13220YKK7103-14 800 110.0 93.60.75 457 6370 13500YKK7104-14 900 123.0 93.7 510 7170 14080 YKK8001-14 1000 136.8 93.8 540 3240 18450 YKK8002-14 1120 153.1 93.9 630 3780 19200 YKK8003-14 1250 170.7 94.0 720 4320 19900 YKK8004-14 1400 190.9 94.1 610 3660 20720YKK9001-14 1600 215.1 94.20.76 700 4200 21750YKK9002-14 1800 241.7 94.3 790 4740 22550 YKK9003-14 2000 268.3 94.4 880 5280 23350 YKK10001-14 2240 300.2 94.5 1380 8280 24840 YKK10002-14 2500 334.6 94.6 1510 9060 25740 YKK10003-14 2800 374.4 94.7 1640 9840 26650YKK5001-16 185 29.4369 91.80.66 0.7 5.573 1488 6110YKK5002-16 200 31.7 92.0 80 1607 6280 YKK5003-16 220 34.8 92.1 87 1769 6430 YKK5601-16 250 39.4 92.5 118 3940 7380 YKK5602-16 280 44.1 92.6 131 **** **** YKK5603-16 315 49.5 92.8 145 4950 7820 YKK6301-16 355 55.7 93.0 175 **** **** YKK6302-16 400 62.6 93.2 193 4560 9020 YKK6303-16 450 70.2 93.5 213 5130 9280YKK7101-16 500 71.0 92.80.73 0.6 6.0 351 5190 12150YKK7102-16 560 80.0 92.9 404 5810 12660 YKK7103-16 630 89.0 93.0 431 6540 12890 YKK7104-16 710 100.0 93.2 457 7350 13150 YKK8001-16 800 113.0 93.3 542 3795 18460 YKK8002-16 900 127.2 93.3 633 4430 19210 YKK8003-16 1000 141.3 93.3 722 5055 19960 YKK8004-16 1120 158.1 93.4 612 4285 20710YKK9001-16 1250 173.9369 93.50.741.80.6 6.0702 4915 21760YKK9002-16 1400 194.5 93.6 793 5550 22560 YKK9003-16 1600 222.1 93.7 882 6175 23360 YKK10001-16 1800 249.6 93.8 1382 9674 24950 YKK10002-16 2000 277.0 93.9 1510 10570 25900 YKK10003-16 2240 309.9 94.0 1644 11500 26850YKK5601-18 185 29.8328 91.90.650.7 5.5118 3680 7350YKK5602-18 200 32.2 92.0 131 **** **** YKK5603-18 220 35.4 92.1 145 4300 7790 YKK5604-18 250 40.0 92.5 158 **** **** YKK6301-18 280 44.7 92.7 175 **** ****YKK6302-18 315 50.3 92.80.6 6.0 193 5100 9040YKK6303-18 355 56.5 93.0 213 5730 9300YKK7101-18 400 61.3 92.30.68 370.0 4650 12400YKK7102-18 450 68.9 92.4 383.0 5030 12700 YKK7103-18 500 76.5 92.5 404.0 6600 12000 YKK7104-18 560 85.6 92.6 430.0 7400 12300YKK8001-18 630 94.5 93.00.69 544 3815 18480YKK8002-18 710 106.5 93.0 635 4450 19260 YKK8003-18 800 120.0 93.0 725 5075 19990 YKK8004-18 900 134.8 93.1 615 4298 20740YKK9001-18 1000 147.5 93.20.70 705 4985 21790YKK9002-18 1120 165.0 93.3 795 5595 22590 YKK9003-18 1250 184.0 93.4 885 6210 23390 YKK10001-18 1400 205.9 93.5 1385 9698 24960 YKK10002-18 1600 235.0 93.6 1515 10590 25920 YKK10003-18 1800 264.1 93.7 1648 11580 268602、YKK系列高压三相异步电动机(10kV)表4 YKK系列(10kV)电动机技术数据(保证值)型号额定功率(kW)额定电流(A)额定转速(r/min)效率(%)功率因数cosΦ最大转矩额定转矩堵转转矩额定转矩堵转电流额定电流转动惯量重量(kg)电机Jm(kg.m2)允许负载J(kg.m2)YKK4501-2 220 16.22985 92.40.851.80.67.05.1 30.0 3650YKK4502-2 250 18.3 92.6 5.6 31.1 3740 YKK4503-2 280 20.5 92.8 6.1 31.8 3800 YKK4504-2 315 23 93.0 6.6 32.5 3880YKK4505-2 355 25.5 93.30.86 7.2 34.3 3945YKK4506-2 400 28.7 93.7 8.2 35.2 4090 YKK4507-2 450 32.1 94.0 8.7 37.2 4185 YKK5001-2 500 35.6 94.2 14.7 55.4 4290 YKK5002-2 560 39.8 94.4 15.7 59.1 4380YKK5003-2 630 44.2 94.60.87 17.7 63.2 4575YKK5004-2 710 49.8 94.7 18.7 68.8 4700 YKK5005-2 800 56.0 94.8 19.7 75.5 4780 YKK5601-2 900 63.0 94.9 31.8 78.4 7750 YKK5602-2 1000 69.9 95.0 35.7 90.0 8000 YKK5603-2 1120 78.1 95.2 39.8 97.0 8250 YKK6301-2 1250 87.0 95.3 42.7 98.0 9300 YKK6302-2 1400 97.4 95.4 46.0 99.0 9700 YKK6303-2 1600 110.0 95.5 0.88 53.0 100.0 10100YKK7101-2 1800 123.0 95.60.89 59.1 275 10500YKK7102-2 2000 136.0 95.7 62 290 12200 YKK7103-2 2240 152.0 95.8 67.5 306 13500 YKK7104-2 2500 170.0 95.9 78.3 330 14000YKK4501-4 220 16.61485 92.40.830.711.4 78.0 3700YKK4502-4 250 18.8 92.6 12.6 87.0 3760 YKK4503-4 280 21 92.8 13.1 97.0 3860 YKK4504-4 315 23.6 93.0 13.5 107.0 3890YKK4505-4 355 25.5 93.30.86 14.0 119.0 4200YKK4506-4 400 28.7 93.5 14.4 132.0 4300 YKK4507-4 450 32.2 93.9 15.3 147.0 4490 YKK5001-4 500 35.7 94.0 25.0 165.0 5640 YKK5002-4 560 40.0 94.2 26.0 182.0 5660 YKK5003-4 630 44.8 94.4 28.0 201.0 5850 YKK5004-4 710 50.4 94.6 30.0 220.0 6030YKK5005-4 800 56.0 94.80.87 32.0 242.0 6060YKK5601-4 900 63.0 94.9 44.0 270.0 7800 YKK5602-4 1000 70.0 95.0 47.0 292.0 8050型号额定功率(kW)额定电流(A)额定转速(r/min)效率(%)功率因数cosΦ最大转矩额定转矩堵转转矩额定转矩堵转电流额定电流转动惯量重量(kg)电机Jm(kg.m2)允许负载J(kg.m2)YKKYKK5603-4 1120 78.2148595.1 0.871.8 0.6 7.050.0 320.0 8300YKK6301-4 1250 86.1 95.20.88 90.0 350.0 9900YKK6302-4 1400 96.4 95.3 95.0 382.0 10300 YKK6303-4 1600 110.0 95.4 101.0 423.0 10400YKK7101-4 1800 123.0 95.5 0.890.5 6.5 247 876 14150YKK7102-4 2000 140.00.86 264 973 14540YKK7103-4 2240 157.0 95.6 281 1090 14950 YKK7104-4 2500 175.0 95.7 316 1217 15610 YKK8001-4 2800 196.3 95.8 344 1892 19050 YKK8002-4 3150 220.6 95.9 370 2035 19740 YKK8003-4 3550 248.3 96.0 396 2178 20440 YKK8004-4 4000 276.3 96.10.87 422 2321 21160YKK4501-6 220 17.3990 92.00.800.7 6.015.5 210.0 4090YKK4502-6 250 19.6 92.2 16.3 235.0 4210 YKK4503-6 280 21.9 92.5 17.4 260.0 4420 YKK4504-6 315 23.9 92.8 0.82 18.4 290 4560YKK5001-6 355 26.6 93.10.83 27.0 326 5360YKK5002-6 400 29.8 93.3 29.0 362 5440 YKK5003-6 450 33.5 93.5 31.0 400 5700 YKK5004-6 500 37.1 93.9 33.0 440 5880YKK5005-6 560 40.9 94.10.84 35.0 485 6110YKK5601-6 630 45.9 94.4 50.0 540 7500 YKK5602-6 710 51.6 94.6 60.0 599 7850 YKK5603-6 800 58.1 94.7 63.0 665 8100YKK5604-6 900 64.4 94.90.85 67.0 736 8300YKK6301-6 1000 71.4 95.10.6 121.0 805 10750YKK6302-6 1120 79.9 95.2 128.0 886 11150 YKK6303-6 1250 88.1 95.3 0.86 135.0 970 11500YKK7101-6 1400 101 95.10.840.56.5 261 1650 13560YKK7102-6 1600 116 95.2 280 1900 13950 YKK7103-6 1800 130 95.3 316 2150 14470 YKK7104-6 2000 144 95.4 353 2380 15070 YKK8001-6 2240 161.3 95.5 462 2541 19200 YKK8002-6 2500 179.8 95.6 504 2772 19900 YKK8003-6 2800 201.1 95.7 546 3003 20600YKK9001-6 3150 226.0 95.80.6 588 3234 21500YKK9002-6 3550 254.5 95.9 630 3465 22300型号额定功率(kW)额定电流(A)额定转速(r/min)效率(%)功率因数cosΦ最大转矩额定转矩堵转转矩额定转矩堵转电流额定电流转动惯量重量(kg)电机Jm(kg.m2)允许负载J(kg.m2)YKK9003-6 4000 283.199096.0 0.851.8 0.6 6.5 672 3696 23100YKK9004-6 4500 318.1 96.1 714 3927 23900 YKK10001-6 5000 353.1 96.2 965 5310 25160 YKK10002-6 5600 395.0 96.3 1034 5170 26460 YKK10003-6 6300 444.0 96.4 1110 5550 27860YKK5001-8 220 18.2743 92.0 .760.7 6.028.0 423 5280YKK5002-8 250 20.6 92.2 30.0 476 5430 YKK5003-8 280 23.0 92.5 32.0 530 5660 YKK5004-8 315 25.5 92.8 0.77 34.0 588 5700 YKK5005-8 355 28.6 93.1 36.0 656 5760 YKK5006-8 400 31.8 93.2 0.78 38.0 730 5820 YKK5601-8 450 35.7 93.4 63.0 810 7850 YKK5602-8 500 39.0 93.8 0.79 67.0 890 8100 YKK5603-8 560 43.6 93.9 70.0 988 8300YKK5604-8 630 47.0 94.40.82 74.0 1098 8500YKK6301-8 710 52.8 94.6 145.0 1221 10400 YKK6302-8 800 59.5 94.7 151.0 1357 10800 YKK6303-8 900 66.8 94.8 166.0 1505 11200YKK7101-8 1000 76.0 94.50.81 0.6 6.5 262 2600 13250YKK7102-8 1120 85.0 94.6 281 2900 13560 YKK7103-8 1250 94.0 94.7 318 3240 14060 YKK7104-8 1400 106.0 94.8 355 3600 14660YKK8001-8 1600 118.8 94.90.82 0.7 6.0 510 2810 18650YKK8002-8 1800 133.4 95.0 552 3040 19350YKK8003-8 2000 148.1 95.10.6 6.5 595 3275 20150YKK8004-8 2240 165.7 95.2 638 3510 20850 YKK9001-8 2500 182.5 95.3 0.83 726 3990 23100YKK9002-8 2800 201.8 95.40.84 772 4250 23800YKK10001-8 3150 226.8 95.5 1182 6510 25200 YKK10002-8 3550 255.3 95.6 1295 7125 26300 YKK10003-8 4000 287.3 95.7 1410 7755 27400YKK5001-10 220 19.2590 91.9 0.725.538.0 698 5760YKK5002-10 250 21.8 92.1 39.3 775 5930 YKK5003-10 280 23.7 92.4 0.74 40.0 865 6120YKK5601-10 315 26.5 92.66.0 78.0 1014 7350YKK5602-10 355 29.4 92.8 0.75 83.0 1131 7500 YKK5603-10 400 33.1 93.0 87.0 1261 7850 YKK5604-10 450 36.7 93.2 0.76 92.0 1403 8100型号功率(kW) 电流(A)转速(r/min)效率(%)因数cosΦ转矩额定转矩转矩额定转矩电流额定电流重量(kg)电机Jm(kg.m2)允许负载J(kg.m2)YKK5605-10 500 40.159093.4 0.771.8 0.76.097.0 1544 8300YKK6301-10 560 44.3 93.50.78 153.0 1710 10600YKK6302-10 630 49.8 93.7 162.0 1902 11000 YKK6303-10 710 56.0 93.9 169.0 2116 11400 YKK6304-10 800 61.2 94.3 0.80 178.0 2355 11800YKK7101-10 900 69.0 93.80.810.6 354 3650 12780YKK7102-10 1000 76.0 93.9 383 4050 13100 YKK7103-10 1120 85.0 94.0 441 4500 13770 YKK7104-10 1250 95.0 94.1 470 5050 13950 YKK8001-10 1400 104.7 94.20.82 0.7532 2930 18555YKK8002-10 1600 119.5 94.3 624 3435 19250 YKK8003-10 1800 134.3 94.4 713 3925 19950YKK9001-10 2000 149.0 94.50.6 892 5350 22480YKK9002-10 2240 166.8 94.6 984 5910 23350YKK10001-10 2500 183.7 94.70.83 1365 8190 24950YKK10002-10 2800 205.5 94.8 1496 8975 25990 YKK10003-10 3150 230.9 94.9 1626 9755 26990YKK5601-12 220 19.2495 91.80.720.788.0 1135 7350YKK5602-12 250 21.8 92.0 97.0 1210 7500 YKK5603-12 280 24.4 92.1 100 1418 7850 YKK5604-12 315 27.4 92.3 108 1580 8100YKK5605-12 355 30.4 92.50.73 115 1763 8300YKK6301-12 400 34.1 92.7 139 1967 10600 YKK6302-12 450 38.3 92.9 156 2190 11000 YKK6303-12 500 42.4 93.2 172 2411 11400 YKK6304-12 560 46.7 93.5 0.74 180 2672 11800YKK7101-12 630 49.0 93.20.80 0.6 354 3680 12730YKK7102-12 710 55.0 93.3 383 4150 13050 YKK7103-12 800 62.0 93.4 441 4650 13710 YKK7104-12 900 70.0 93.5 470 5250 13850 YKK8001-12 1000 77.1 93.6 626 3760 19450 YKK8002-12 1120 86.3 93.7 716 4296 20160 YKK8003-12 1250 96.2 93.8 807 4845 20950 YKK9001-12 1400 107.6 93.9 896 5378 21850 YKK9002-12 1600 122.9 94.0 988 5930 22650 YKK9003-12 1800 138.1 94.1 1078 6470 23450 YKK10001-12 2000 153.2 94.2 1330 7985 2392016型号功率(kW) 电流(A)转速(r/min)效率(%)因数cosΦ转矩额定转矩转矩额定转矩电流额定电流重量(kg)电机Jm(kg.m2)允许负载J(kg.m2)YKK10002-12 2240 171.449594.3 0.801.8 0.6 6.0 1455 8732 24940YKK10003-12 2500 191.1 94.4 1575 9454 25960 YKK10004-12 2800 213.8 94.5 1695 10170 26980YKK5601-14 220 19.4423 91.10.72135 **** ****YKK5602-14 250 22.0 91.2 150 **** **** YKK6301-14 280 24.4 91.9 175 **** **** YKK6302-14 315 27.4 92.3 193 2650 9310 YKK6303-14 355 30.4 92.5 0.73 213 3010 9550 YKK6304-14 400 34.4 92.6 230 3400 9800YKK7101-14 450 37.0 92.80.75 377 3580 12780YKK7102-14 500 41.0 92.9 430 3985 13100 YKK7103-14 560 46.0 93 457 4450 13770 YKK7104-14 630 52.0 93.1 510 5020 13950 YKK8001-14 710 58.7 93.2 545 3542 18480 YKK8002-14 800 66.0 93.3 635 4130 19280 YKK8003-14 900 74.2 93.4 728 4735 19960YKK8004-14 1000 80.2 93.50.77 615 3998 20780YKK9001-14 1120 89.8 93.6 710 4615 21790 YKK9002-14 1250 100.0 93.7 798 5190 22590 YKK9003-14 1400 111.9 93.8 888 5775 23390YKK10001-14 1600 126.2 93.90.78 1388 9025 24920YKK10002-14 1800 141.8 94.0 1516 9850 25810 YKK10003-14 2000 157.3 94.1 1648 10710 26730YKK6301-16 220 20.4369 91.5 0.680.7 5.5175 **** ****YKK6302-16 250 23.2 91.6 193 3060 9320 YKK6303-16 280 25.5 91.7 0.69 213 3430 9560 YKK6304-16 315 28.6 92.2 230 3850 9780YKK7101-16 355 31.0 92.5 0.710.6 6.0 351 3680 12150YKK7102-16 400 36.0 92.60.70 404 4150 42660YKK7103-16 450 40.0 92.7 431 4670 12890 YKK7104-16 500 44.4 92.8 457 5190 13150YKK8001-16 560 47.03 92.90.74 546 3820 18485YKK8002-16 630 52.9 93.0 635 4445 19290 YKK8003-16 710 59.5 93.1 725 5075 19980 YKK8004-16 800 67.0 93.2 614 4300 2079017型号额定功率(kW)额定电流(A)额定转速(r/min)效率(%)功率因数cosΦ最大转矩额定转矩堵转转矩额定转矩堵转电流额定电流转动惯量重量(kg)电机Jm(kg.m2)允许负载J(kg.m2)YKK9001-16 900 74.3369 93.30.751.80.6 6.0705 4935 21810YKK9002-16 1000 82.4 93.4 795 5565 22630 YKK9003-16 1120 92.2 93.5 885 6195 23440 YKK10001-16 1250 102.8 93.6 1385 9695 24960 YKK10002-16 1400 115.1 93.7 1514 10600 25960 YKK10003-16 1600 131.3 93.8 1646 11520 26950YKK6301-18 220 21.1328 91.00.660.7 5.5 76.0 1620 6060YKK6302-18 250 24.0 91.2 79.0 1793 6255 YKK7101-18 280 25.0 92.60.7 0.6 6.0235 3470 10900YKK7102-18 315 28.0 92.7 266 3910 11200 YKK7103-18 355 31.6 92.8 360 4690 11600 YKK7104-18 400 35.5 92.9 412 5220 12000 YKK8001-18 450 40.0 92.6 0.7 5.5 547 3830 18495 YKK8002-18 500 44.5 92.7 636 4450 19300YKK8003-18 560 49.8 92.80.6 6.0 726 5080 19990YKK8004-18 630 55.9 92.9 615 4310 20800 YKK9001-18 710 63.0 93.0 705 4945 21820 YKK9002-18 800 70.9 93.1 796 5575 22640 YKK9003-18 900 79.7 93.2 0.7 5.5 886 6200 23450YKK10001-18 1000 87.2 93.30.71 1386 9705 24970YKK10002-18 1120 97.6 93.40.6 6.01515 10650 25970 YKK10003-18 1250 108.8 93.5 1648 11550 2696018。
YKK系列高压三相异步电动机1、产品主要特点YKK系列中、大型6KV、10KV高压三相异步电动机是在Y系列基础上派生的封闭式空—空冷却型产品,电动机采用钢板焊接箱式机座,F级少胶VPI绝缘结构,具有防护等级高、振动小、噪声低、可靠性强、安装维护方便等优点。
本系列电动机的功率等级、安装尺寸、性能指标均符合国家标准 GB755《旋转电机定额和性能》和相关的机械行业标准JB/T10315.2-2002《YKK YKK-W系列高压三相异步电动机技术条件》。
主要结构特点:线圈铁心采用外装压方式,工艺性好,维修方便。
电动机采用F级绝缘,定子绕组端部固定可靠、排列整齐,其定子绕组经VPI真空压力浸渍后具有很高的电气强度、机械强度及良好的耐腐蚀性和耐潮性能。
线圈铁心采用了特殊的防电晕处理,使电机能在海拔较高的地区安全运行。
电动机转子有铸铝和铜条两种结构,铸铝结构的转子笼条、端环及风叶等一次铸造成型,提高了可靠性,铜条结构的转子笼条与端环采用银铜焊接,质量好,保证运行可靠。
YKK系列电动机有内风扇和外风扇,内、外风扇均为离心式,可双向旋转。
为降低电机噪声,还可以在电机风罩上采取措施,安装吸音降噪配件。
电动机主电源接线盒,位于电动机右侧(或左侧),接线盒结构合理,防护等级高,有足够大的空间方便接线,可连接铜、铝电缆,接线端子的绝缘采用优质电工陶瓷或DMC塑料。
根据用户需求电动机还可以设置定子测温、轴承测温及加热器等,测温电阻及加热器的出线分别有接线盒,可根据用户需求设置定子绕组中心点接线盒和电流互感器。
2、主要技术参数额定电压6000V、10000V。
标准电机的安装方式IMB3,亦可根据用户要求提供其它安装方式,如IMB35等。
标准电机的防护等级为IP44,也可根据用户要求做到IP54及以上。
额定频率:50Hz。
电动机的定额是以连续工作制(S1)为基准的连续定额。
电动机冷却方式为 IC611 或IC616 。
3、主要应用场合本系列电动机适用于驱动各种风机、水泵、压缩机、破碎机、运输机械等通用机械,在矿山、钢铁、石油、化工、造纸、水厂、电站等各种工矿企业中使用。
一、概述YKK、YKK-W系列高压三相异步电动机是我国20世纪90年代开发的统一设计新产品,其功率等级、安装尺寸和电气性能指标均符合原机械电子工业部第一装备公司企业标准《YKK、YKK-W系列高压三相异步电动机技术条件(机座号355~630)》的规定,并符合国际电工委员会(IEC)标准。
该YKK、YKK-W系列电动机具有高效、节能、噪声低、振动小、运动安全可靠、安装维护方便等特点,适用于驱动各种不同机械设备,如通风机、水泵、压缩机、破碎机、搅拌机、球磨机、运输机械、化工机械、矿山机械等。
该系列电动机为F级绝缘,B级考核,大大提高了电动机的寿命。
该系列电动机的额定电压为6kv,也可制成3kv,额定频率为50H,防护等级为IP44或IP54(适用于户外)。
z使用条件:环境温度不超过40℃;海拔不超过1000m;工作方式为连续(S1)。
型号含义二、结构简介YKK、YKK-W系列三相异步电动采用箱式结构,机座为钢板焊接而成(北京电机总厂的YKK355~400机座为铸铁机座),电动机顶部安装封闭空-空冷却器,拆装方便,利于维护和修理,电动机的安装型式为IMB3,电动机具有一个圆柱形轴伸,采用联轴器与被驱动的机械联接。
外形及安装尺寸表3 (单位:mm)极数H A AA AB AC AD B BA C D E F G HD K L4~6 4~84 6~124 6~12 35540045045050050063071080080090090013013015015015015077081091091010101010965101011201120122012207457608108108608609001000112011201250125056556560060065565531533535535547547510011012013013014021021021025025025028283232323690100109119119123150017001900190022002200φ28φ35φ35φ35φ42φ42210021602360240027152715表4 (单位:mm)极数H A AA AB AC AD B BA C D E F G HD K L4 6~124 6~12 56056063063010001000112011201701701901901130113012601260135013501530153010201020108010801400140016001600690690770770500500530530150160170180250300300300364040451381471571652400240027002700φ42φ42φ48φ482940299033103310主要技术数据表1YKK、YKK-W系列(H355~630mm)型号额定功率/KW额定电流/A同步转速/(r/min)效率(%)功率因数最大转矩/额定转矩堵转转矩/额定转矩堵转电流/额定电流YKK3551-4 YKK3552-4 YKK3553-4 18520022022.624.426.8150092.892.993.00.85 1.8 0.8 6.5。
ykk、yxkk系列三相异步高压电机技术条件及能效分级下载提示:该文档是本店铺精心编制而成的,希望大家下载后,能够帮助大家解决实际问题。
文档下载后可定制修改,请根据实际需要进行调整和使用,谢谢!本店铺为大家提供各种类型的实用资料,如教育随笔、日记赏析、句子摘抄、古诗大全、经典美文、话题作文、工作总结、词语解析、文案摘录、其他资料等等,想了解不同资料格式和写法,敬请关注!Download tips: This document is carefully compiled by this editor. I hope that after you download it, it can help you solve practical problems. The document can be customized and modified after downloading, please adjust and use it according to actual needs, thank you! In addition, this shop provides you with various types of practical materials, such as educational essays, diary appreciation, sentence excerpts, ancient poems, classic articles, topic composition, work summary, word parsing, copy excerpts, other materials and so on, want to know different data formats and writing methods, please pay attention!YKK、YXKK系列三相异步高压电机技术条件及能效分级一、技术条件YKK、YXKK系列三相异步高压电机是我公司按照国家标准GB755《旋转电机技术条件》和国际电工委员会IEC国际标准制造的,具有以下技术条件:1. 额定电压:3.3kV、6kV、10kV、11kV等。
YKK、YRKK系列中型高压三相异步电动机概述YKK、YRKK系列中型高压三相异步电动机是具有结构紧凑、效率高、可靠性高等优点。
新系列电动机机械性能、电气绝缘性能先进,制造工艺精良,安装维修方便。
YKK、YRKK系列电动机适用于驱动压缩机、通风机、水泵、破碎机、切削机床、磨煤机等各种通用机械。
YKK、YRKK系列电动机额定频率为50Hz,采用F极绝缘,从轴伸端看为顺时针旋转。
也可以根据用户要求制造成逆时针旋转的电动机。
YKK系列电动机允许全压直接启动。
YRKK系列电动机启动时,不得将转子绕组直接短接,必须外接启动变阻器,通过调节外接附加电阻来调节启动转柜。
YKK、YRKK系列电动机符合国家标准GB755《旋转电机定额和性能》,6kV YKK系列电动机符合JB/T10315.2《YKK系列高压三相异步电动机技术条件机座号355~630》,6kV YRKK系列电动机符合JB/T10314.2《YRKK系列高压绕线转子三相异步电动机技术条件机座号355~630》。
结构特点电动机机座用钢板焊成整体方箱式,外壳防护等级为IP44,根据用户要求也可制成IP54。
电动机安装型式为IMB3,冷却方法为IC611。
电动机线圈铁芯经真空压力浸漆或整体浸漆后,使绕组具有良好的绝缘性能和防潮性能。
YKK系列转子绕组用铸铝或铜条制成,YRKK系列转子线圈由F级绝缘绕包铜排制成。
电动机一般制成单轴伸。
YKK系列鼠笼型电动机和H500以下(含H560)的YRKK系列绕线型电动机轴伸带有切向键。
电动机采用油脂润滑动轴承或稀油润滑滑动轴承,可方便地加油和排油。
出线盒一般装于机座右侧(从轴伸端看),如用户需要也可装于左侧。
产品型号及含义YKK系列6kV鼠笼转子三项异步电动机技术数据(设计值)YKK系列10kW鼠笼转子三项异步电动机技术数据(设计值)YRKK系列6kW绕线转子三项异步电动机技术数据(设计值)YRKK系列10kW绕线转子三项异步电动机技术数据(设计值)。
YKK系列高压三相异步电动机产品样本(机座号710~1000)佳木斯电机股份有限公司发布YKK系列高压三相异步电动机产品样本1 概述YKK系列高压三相异步电动机是我公司采用国内外先进技术,结合我公司几十年生产高压电动机的实践经验而设计制造的优化系列产品,具有结构紧凑、重量轻、高效、节能、噪声低、振动小、可靠性高、使用寿命长、安装维护方便等优点。
该系列产品主要适用于石油、化工、煤炭、电站、冶金、交通运输、纺织、医药、粮食加工等行业中的风机、水泵、压缩机、破碎机、切屑机床、运输机械等通用机械设备或其它类似机械设备。
2 结构特点电动机采用箱形结构,机座由钢板焊接成箱形,重量轻、刚度好。
电机顶部安装空-空冷却器。
定子采用外装压结构,定子绕组采用F级绝缘材料,10kV电动机采用可靠的防电晕措施,绕组端部有可靠的固定及绑扎,并采用真空压力浸渍无溶剂漆工艺(VPI)处理,因此电动机的绝缘性能好,机械强度高,防潮能力强,使用寿命长。
鼠笼转子为铜条结构,采用先进可靠的焊接工艺制造而成,并经过动平衡校验,因此电动机运行平稳可靠。
轴承采用滑动轴承形式,其防护等级为IP44、IP54或IP55。
主接线盒置于电动机右侧(从轴伸端看),也可按用户要求置于左侧,接线盒的内外均设有单独的接地端子。
电机功率为2000kW及以上时,在主接线盒的另一侧设置中性点接线盒。
在定子绕组、轴承等重要部位加设测温装置,便于现场观察和远距离监控,以保证电动机安全可靠地运行。
3 采用的标准GB 755-2008 旋转电机定额和性能(neq IEC60034-1:2004)GB/T 997-2008 旋转电机结构型式、安装型式及接线盒位置的分类(IM代码)(eqv IEC 60034-7:2001)GB/T 1993-1993 旋转电机冷却方法(eqv IEC60034-6:1991)GB/T 旋转电机尺寸和输出功率等级第2部分: 机座号355-1000 和凸缘号1180-2360 (idt IEC 60072-2:1990)GB/T 旋转电机整体结构的防护等级(IP代码)分级(idt IEC60034-5:2000)GB 10068-2008 轴中心高为56mm及以上电机的机械振动振动的测量、评定及限值(idt IEC60034-14:2007)GB/T 旋转电机噪声测定方法及限值第1部分:旋转电机噪声测定方法? (MOD ISO 1680:1999)GB 旋转电机噪声测定方法及限值第3部分:噪声限值(idt IEC60034-9:2007)4 选型指南4.1 型号的含义举例说明:Y KK 710 - 4极数(4极)电机机座号(710mm)冷却结构(KK为空/空冷却)异步电动机4.2 系列型谱见表1 (6kV)和表2 (10kV)表1 YKK系列(6kV)电动机型谱表2 YKK系列(10kV)电动机型谱4.3电动机额定电压有6kV、10kV两种,电源的额定频率为50Hz。
1 概述Y、YKK、YKS系列高压三相异步电动机(机座号355~630)是我公司九十年代最新产品,是我公司在引进吸收德国西门子高压电动机制造技术的基础上,结合公司长期稳定生产高压三相异步电动机系列的设计制造经验而优化的系列产品。
本系列产品采用九十年代新、新材料、新工艺,选材考究、制造精良,具有高效、节能、噪声低、振动小、重量轻、性能可靠、安装维修方便等优点。
本系列电动机符合国家标准GB755《旋转电机基本技术要求》、行业标准JB/T7593《Y 系列高压三相异步机条件(机座号355~630)》和国际标准IEC34,各部分机械尺寸和公差符合相应的国家标准和国际标准。
本系列电动机的外壳防护等级为IP23、IP44和IP54、IP55等,冷却方法有IC01、IC611和IC81W等,安装方式为IMB3,也可根据用户要求相应的防护类型、冷却方法和安装方式。
末系列电动机还可湿热带型、干热带型、户外型和户外防中等腐蚀型以及户外湿热类型。
1 General DescriptionSeries Y, YKK & YKS High Voltage Three Phase Ineuction Motors (frame size 355~630)are the newest products produced by our company in 1990’ s. These series motors produced by our company are the optimized serial products, combining with the design and manufacture experience of long-term and optimized serial products, combining with the design and manufacture experience of long-term and steady producing high voltage three phase induction motors, on the basis of absorbing manufacture technique of nigh voltage motors introduced from Siemens of Germany.These series motors are adopted new technique, material and technology of 1990’. With the material chosen exquisitely and the products excellent workmanship, such motors are engineered with many remarkable features such as high efficiency, energy saving, low noise, small v ibration, lightweight, reliable performance, easy mounting and maintenance etc.These series motors conform to China National Standard GB755 Rotating Motors General Technique Requirement, China Industry Standard JB/T7593 Series Y High Voltage Three Phase Induction Motors Specifications (frame size 355~630) and International Standard IEC 34. The machining size and tolerance of all parts conform to the corresponding China national standards and international standards.For ghese series motors, the protection degree on enclosures is IP23, IP44 and IP54,IP55,cooling form is IC01, IC611 and IC81W etc. And mounting arrangement is IMB3. The motors with other corresponding protection degree, cooling form and mounting arrangement can also be supplied on customers; requirement.These series motors with tropical humidity type (TH type), tropical arid type (TA type), outdoor type (W type), outdoor neutral chemical corrosion resistance type (WF1 type) and outdoor tropical humidity type (WTH type)are also available.2型号意义2 Type Designation3结构特点该系列电动机采用国际流行的箱式结构,机座、端盖等部件用钢板焊成,重量轻、刚度好、卸下顶盖或冷却器,可观察或接触电机内部,安装和维修方便。
页眉内容佳木斯电机股份有限公司发布YKK系列高压三相异步电动机产品样本概述YKK系列高压三相异步电动机是我公司采用国内外先进技术,结合我公司几十年生产高压电动机的实践经验而设计制造的优化系列产品,具有结构紧凑、重量轻、高效、节能、噪声低、振动小、可靠性高、使用寿命长、安装维护方便等优点。
该系列产品主要适用于石油、化工、煤炭、电站、冶金、交通运输、纺织、医药、粮食加工等行业中的风机、水泵、压缩机、破碎机、切屑机床、运输机械等通用机械设备或其它类似机械设备。
结构特点):2007)选型指南型号的含义举例说明:YKK710-4极数(4极)电机机座号(710mm)冷却结构(KK为空/空冷却)异步电动机系列型谱见表1(6kV)和表2(10kV)电动机额定电压有6kV、10kV两种,电源的额定频率为50Hz。
热分级电动机的热分级为155(F)级。
轴承结构形式轴承采用滑动轴承结构,正常产品为强制润滑,也可根据需要制成自润滑。
防护等级电动机的防护等级为IP54,也可制成IP44或IP55。
冷却方式)现场运行条件正常电动机海拔高度不超过1000m。
最高环境空气温度不超过40℃。
最低环境空气温度不低于0℃。
电压及频率的容差值:电动机可以在电压为额定值的±5%以内,频率为额定值的±2%以内连续运行,并实现其基本功能,但其性能与额定电压和频率时的性能可能呈现某些差异,温升可能较额定电压和频率时高。
电动机可以在电压为额定值的±10%以内,频率为额定值的+3%~-5%以内运行,并实现其基本功能,但其性能与额定电压和频率时的性能可能呈现某些差异,温升可能较额定电压和频率时高。
电动机的其余电气运行条件按GB755。
起动要求被传动机械为水泵、风机类设备时,起动时必须满足以下要求:用户的电网应保证电动机在起动过程中的电动机端电压不低于额定电压的85%。
被驱动机械设备转动部分的转动惯量(折算到电动机转速后)应不大于下式求得的数值。
一、概述
YKK、YKK-W系列高压三相异步电动机是我国20世纪90年代开发的统一设计新产品,其功率等级、安装尺寸和电气性能指标均符合原机械电子工业部第一装备公司企业标准《YKK、YKK-W系列高压三相异步电动机技术条件(机座号355~630)》的规定,并符合国际电工委员会(IEC)标准。
该YKK、YKK-W系列电动机具有高效、节能、噪声低、振动小、运动安全可靠、安装维护方便等特点,适用于驱动各种不同机械设备,如通风机、水泵、压缩机、破碎机、搅拌机、球磨机、运输机械、化工机械、矿山机械等。
该系列电动机为F级绝缘,B级考核,大大提高了电动机的寿命。
该系列电动机的额定电压为6kv,也可制成3kv,额定频率为50H
,防护等级为IP44或IP54(适用于户外)。
z
使用条件:环境温度不超过40℃;海拔不超过1000m;工作方式为连续(S1)。
型号含义。
YKK、Y、YKS系列高压三相异步电动机(中心高355~1120)产 品 样 本代号:0AP.138.01882011年3月南阳防爆集团股份有限公司尊敬的顾客:首先,感谢您关心和支持我公司的电机产品,在您采购选用电机之前,请您先仔细阅读这本《产品样本》,它会告诉您电机产品的基本常识和如何选取您所需要的电机,以便准确采购,使其更好地为您服务。
1 概述YKK、Y、YKS系列高压三相异步电动机(机座号355~1120)是我公司在引进吸收消化国外先进技术的基础上,结合我公司长期稳定生产高压三相异步电动机的设计制造经验而开发的新一代产品。
本系列电动机选材考究、制造精良、具有体积小、重量轻、功率大、效率高、噪声低、振动小、运行安全可靠、使用维护方便、节能环保等特点。
本系列电动机符合以下标准和规范GB755 《旋转电机定额和性能》GB/T13957 《大型三相异步电动机基本系列技术条件》JB/T7593 《Y系列高压三相异步电动机技术条件(机座号355-630)》JB/T10315.1 《YKS、YKS-W、YQF系列高压三相异步电动机技术条件(机座号355-630)》JB/T10315.2 《YKK、YKK-W系列高压三相异步电动机技术条件(机座号355-630)》GB10069.3 《旋转电机噪声测定方法及限值第3部分:噪声限值》GB10068 《中心高为56mm及以上电机的机械振动振动的测量及限值》2 型号说明电动机型号意义:Y KK 630 - 12 W三相异步电动机 特殊环境代号(户外) 极数(12极)空-空冷却 轴中心高(630mm)3 用途本系列电动机适用于驱动各种通风机、压缩机、水泵、破碎机、切削机械、运输机械、通用机械机其它机械设备,在矿山、钢铁、机械、石油、化工、电站等各种工况企业中作原动力用。
4 安装方式标准电机的安装方式IMB3,也可根据用户要求提供其它安装方式,如IMV5等。
5 冷却方式及防护等级本系列电动机冷却方式及防护等级见下表。
YKK系列高压三相异步电机一、概述该电动机机座和端盖均由钢板制成,采用箱式结构,打开上罩,可观察电机内全部情况。
所有不见均可拆装,方便了安装与维修。
防护等级为IP23,冷却方式为IC01。
该电动机具有高效、节能、噪声低、振动小、性能可靠等优点,可做驱动各种不同机械之用:如通风机、压缩机、水泵、破碎机、切削机床及其它设备,并可供煤矿、机械工业、发电厂及各种工矿企业作原动机之用。
该电动机的结构及安装型式为IMB3,定额为连续工作制(S1),额定频率为50Hz。
二、型号含义Y 4001 – 4:“Y”表示异步电动机;“4001-4”表示中心高400mm,1号铁心长,4极。
一:概述:YKK系列高压三相异步电动机为封闭带空一空冷却器的笼型异步电动机。
该电机是我公司根据市场需求而独立开发设计的低压大功率产品,其机座和端盖均由钢板制成,采用箱式结构,打开顶罩可观察电机内部情况,所有部件均可拆装,方便安装与维修。
防护等级为IP44或IP54,冷却方法为IC611。
本电机具有高效、节能、噪音低、振动小、重量轻、性能可靠、安装维修方便等优点。
可作驱动各种不同机械之用。
如通风机、压缩机、水泵、破碎机、切削机床及其他设备,并可供煤矿、机械工业、发电厂及各种工矿企业原动力之用。
本系列电动机结构及安装形式为IMB3,定额是以连续工作制(S1)为基础的连续定额,电动机的额定频率为50HZ,额定电压为380V,其他电压等级或特殊要求,在订货时可与用户共同商定。
二、型号含义:YKK:封闭带空——空冷却器笼型转子异步电动机4501:机座中心高450MM,1号铁心长6:电机级数,6极。
实用文档YKK系列高压三相异步电动机产品样本(机座号710~1000)佳木斯电机股份有限公司发布YKK系列高压三相异步电动机产品样本1 概述YKK系列高压三相异步电动机是我公司采用国内外先进技术,结合我公司几十年生产高压电动机的实践经验而设计制造的优化系列产品,具有结构紧凑、重量轻、高效、节能、噪声低、振动小、可靠性高、使用寿命长、安装维护方便等优点。
该系列产品主要适用于石油、化工、煤炭、电站、冶金、交通运输、纺织、医药、粮食加工等行业中的风机、水泵、压缩机、破碎机、切屑机床、运输机械等通用机械设备或其它类似机械设备。
2 结构特点电动机采用箱形结构,机座由钢板焊接成箱形,重量轻、刚度好。
电机顶部安装空-空冷却器。
定子采用外装压结构,定子绕组采用F级绝缘材料,10kV电动机采用可靠的防电晕措施,绕组端部有可靠的固定及绑扎,并采用真空压力浸渍无溶剂漆工艺(VPI)处理,因此电动机的绝缘性能好,机械强度高,防潮能力强,使用寿命长。
鼠笼转子为铜条结构,采用先进可靠的焊接工艺制造而成,并经过动平衡校验,因此电动机运行平稳可靠。
轴承采用滑动轴承形式,其防护等级为IP44、IP54或IP55。
主接线盒置于电动机右侧(从轴伸端看),也可按用户要求置于左侧,接线盒的内外均设有单独的接地端子。
电机功率为2000kW及以上时,在主接线盒的另一侧设置中性点接线盒。
在定子绕组、轴承等重要部位加设测温装置,便于现场观察和远距离监控,以保证电动机安全可靠地运行。
3 采用的标准GB 755-2008 旋转电机定额和性能(neq IEC60034-1:2004)GB/T 997-2008 旋转电机结构型式、安装型式及接线盒位置的分类(IM代码)(eqv IEC 60034-7:2001) GB/T 1993-1993 旋转电机冷却方法(eqv IEC60034-6:1991)GB/T 4772.2 旋转电机尺寸和输出功率等级第2部分: 机座号355-1000 和凸缘号1180-2360 (idt IEC 60072-2:1990)GB/T 4942.1-2001 旋转电机整体结构的防护等级(IP代码)分级(idt IEC60034-5:2000)GB 10068-2008 轴中心高为56mm及以上电机的机械振动振动的测量、评定及限值(idt IEC60034-14:2007)GB/T 10069.1-2006 旋转电机噪声测定方法及限值第1部分:旋转电机噪声测定方法 (MOD ISO 1680:1999)GB 10069.3-2008 旋转电机噪声测定方法及限值第3部分:噪声限值(idt IEC60034-9:2007)4 选型指南4.1 型号的含义举例说明:Y KK 710 - 4极数(4极)电机机座号(710mm)冷却结构(KK为空/空冷却)异步电动机4.2 系列型谱见表1 (6kV)和表2 (10kV)电动机额定电压有6kV、10kV两种,电源的额定频率为50Hz。
4.4 热分级电动机的热分级为155(F)级。
4.5 轴承结构形式轴承采用滑动轴承结构,正常产品为强制润滑,也可根据需要制成自润滑。
4.6 防护等级电动机的防护等级为IP54,也可制成IP44或IP55。
4.7 冷却方式电动机的冷却方式为IC611或IC616。
4.8 气候防护类型及使用环境条件湿热型,有气候防护场所(TH );湿热型,无气候防护场所(WTH ); 干热型,有气候防护场所(TA );干热型,无气候防护场所(WTA ); 热带型,有气候防护场所(T );热带型,无气候防护场所(WT ); 户外防轻腐蚀型(W ); 户外防中等腐蚀型(WF1); 户外防强腐蚀型(WF2); 户内防中等腐蚀型(F1); 户内防强等腐蚀型(F2);上述防护类型标注于电动机型号的最后面,例如:YKK710-4WF1。
4.9 接线方式Y 形接法。
4.10 电缆引入装置电机正常情况下提供橡套电缆装置,可根据用户需要提供钢管布线装置或铠装电缆装置。
4.11 工作制工作制均为S1连续工作制。
4.12 性能指标容差效率η:-10%(1-η)功率因数cos φ:-(1-cos φ)/6 (最小绝对值0.02,最大绝对值0.07) 堵转电流:电流保证值的+20% 堵转转矩:转矩保证值的-15% 最小转矩:转矩保证值的-15% 最大转矩:转矩保证值的-10% 5 现场运行条件5.1 正常电动机海拔高度不超过1000m 。
5.2 最高环境空气温度不超过40℃。
5.3 最低环境空气温度不低于0℃。
5.4 电压及频率的容差值:电动机可以在电压为额定值的±5%以内,频率为额定值的±2%以内连续运行,并实现其基本功能,但其性能与额定电压和频率时的性能可能呈现某些差异,温升可能较额定电压和频率时高。
电动机可以在电压为额定值的±10%以内,频率为额定值的+3%~-5%以内运行,并实现其基本功能,但其性能与额定电压和频率时的性能可能呈现某些差异,温升可能较额定电压和频率时高。
电动机的其余电气运行条件按GB755。
6 起动要求6.1 被传动机械为水泵、风机类设备时,起动时必须满足以下要求:6.1.1 用户的电网应保证电动机在起动过程中的电动机端电压不低于额定电压的85%。
6.1.2 被驱动机械设备转动部分的转动惯量(折算到电动机转速后)应不大于下式求得的数值。
⎥⎥⎦⎤⎢⎢⎣⎡-⎥⎥⎦⎤⎢⎢⎣⎡=8.15.14.295.0)1000(0045.0)1000(34.1n P n P J f 式中:J f -负载转动惯量kg ·m 2;P -电动机的额定功率kW ; N -电动机的额定转速 r/min 。
在上述条件下,电动机允许在实际冷状态下连续起动两次,或者在电动机热状态下起动一次,电动机在两次起动之间应自然停车,额外的再次起动电动机应在停机1小时以后。
7 负载联接通常电动机与被驱动负载采用弹性联接。
8 测量与保护用户选用的轴承测温、定子测温等测量装置,测温元件为铂热电阻Pt100,输出信号均为电阻信号。
电动机配防冷凝空间加热器。
9 订货须知9.1 选用三相异步电动机应考虑的因素:使用环境:环境温度、海拔高度等;被驱动设备的机械特性及转动惯量;起动方式、起动频次及起动电压降;温升考核;电动机的旋转方向(电动机正常情况下只允许单方向旋转,如有双向旋转要求需与本公司协商);电动机与被拖动负载的机械连接方式及要求;接线盒位置;工作制及其它特殊要求。
9.2 正常订货无特殊要求的订货属正常订货。
正常订货时须注明电动机的以下参数(示例)型号:YKK 710-4额定功率:2800kW额定电压:6kV额定频率: 50Hz极数:4极安装型式: B3工作制: S1冷却方式: IC611防护等级: IP54热分级:155(F)级旋转方向: 顺时针使用环境: 户内进线方式: 橡套海拔高度:≤1000m环境温度:0℃~40℃9.3 有附加要求的订货若对下列诸项中的一项或多项有要求时,须在订货时申明9.3.1 电压不是6kV及10kV,如3.3kV、6.3kV、11kV;9.3.2 频率为60Hz;9.3.3 功率不是数据中的标准值;或者功率与安装尺寸的对应关系与数据表不同;9.3.4 海拔高于1000m;9.3.5 环境温度:高于40℃;或者最低温度低于0℃;9.3.6 低噪声:噪声低于GB/T10069.3的规定;9.3.7 非标准安装尺寸:机座号与安装尺寸的对应关系与数据表不符的;9.3.8 双向旋转;9.3.9 需要申明的特殊环境:如湿热带、户外、腐蚀、盐雾、霉菌、粉尘、风砂……,其中腐蚀,要将腐蚀性物质列出,以便设计时按腐蚀性强弱、性质采取相应的措施;9.3.10 电气性能的特殊要求,如:高堵转转矩、高滑差、高转动惯量、低堵转电流等;9.3.11 其他特殊要求,如:需要的继电保护装置(绕组、轴承的温度监控装置、差动保护)、特殊轴承、特殊包装,以及需要除规定以外的备件等等。
9.3.12 如有上述特殊要求及以外的其他要求时,请与本公司协商;9.3.13 随着技术的进步和有关国内标准的修改,样本内的尺寸和技术参数会有所变动,恕不另行通知,订货后请索取正式外形及安装尺寸图。
10 技术数据(保证值)10.1 YKK系列高压三相异步电动机(6kV)表3 YKK系列(6kV)电动机技术数据(保证值)(续)10.2 YKK系列高压三相异步电动机(10kV)表4 YKK系列(10kV)电动机技术数据(保证值)(续)表4 YKK系列(10kV)电动机技术数据(保证值)(续)表4 YKK系列(10kV)电动机技术数据(保证值)(续)11 YKK高压三相异步电动机(6kV、10kV)外形及安装尺寸图单位:mm机座号极数安装尺寸公差外型尺寸(限值)A B C a D E F G H KAA AB AC AD BB HD L 基本尺寸基本尺寸基本尺寸尺寸偏差基本尺寸尺寸偏差基本尺寸尺寸偏差基本尺寸尺寸偏差基本尺寸尺寸偏差基本尺寸尺寸偏差基本尺寸尺寸偏差710 4-18 1400 1800530±4.2 φ200+0.046+0.017350 ±0.7045 0-0.062185-0.3710-1.556+0.62230 1600 1880 1420 2270 2850 3550800 4-18 16002000φ220 50 203 800270 1800 2080 1850 2300 2920 3820900 4-18 18002240600 φ250 410±0.7756-0.074230 900662000 2280 1950 2600 3010 39001000 4-18 20002500φ280 +0.052+0.020470 63 260 0-0.51000 340 2300 2580 2100 3000 3350 4230注:电机采用滑动轴承,尺寸偏差不包括轴向窜动量。
功率2000kW及以上电动机左侧带有中性点接线盒。
文案大全文案大全。