二元一次方程组的解法(讲解+练习)
- 格式:doc
- 大小:131.00 KB
- 文档页数:5
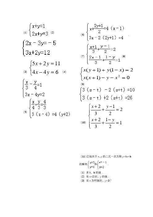
二元一次方程组解法练习题一.解答题(共16小题) 1.解下列方程组 (1)(2)(3))(6441125为已知数a ay x ay x ⎩⎨⎧=-=+(4)(5)(6).(7)(8)⎩⎨⎧=--+=-++0)1(2)1()1(2x y x x x y y x(9)(10)⎪⎪⎩⎪⎪⎨⎧=-++=-++1213222132y x y x 2.求适合的x ,y 的值.3.已知关于x ,y 的二元一次方程y=kx+b 的解有和. (1)求k ,b 的值.(2)当x=2时,y 的值. (3)当x 为何值时,y=3? 1.解下列方程组(1)(2);(3); (4)(5). (6)(7)(8)(9)(10);2.在解方程组时,由于粗心,甲看错了方程组中的a ,而得解为,乙看错了方程组中的b ,而得解为.(1)甲把a 看成了什么,乙把b 看成了什么?(2)求出原方程组的正确解.二元一次方程组解法练习题精选参考答案与试题解析一.解答题(共16小题) 1.求适合的x ,y 的值.解:由题意得:﹣∴())故原方程组的解为.故原方程组的解为.)原方程组可化为,﹣.所以原方程组的解为)原方程组可化为:,,x=代入×﹣所以原方程组的解为.解方程组:,所以方程组的解为.解方程组:)原方程组化为.所以原方程组的解为解:即解得所以方程组的解为.,再运用加减消元法求出)依题意得:k=,x+x+.解方程组:);).)原方程组可化为,∴方程组的解为;)原方程可化为即∴方程组的解为.8.解方程组:解:原方程组可化为则原方程组的解为.解方程组:解:原方程变形为:.解之得.10.解下列方程组:))),﹣﹣代入﹣=.所以原方程组的解为)原方程组整理为,所以原方程组的解为11.解方程组:)原方程组可化简为解得.∴原方程组可化为解得,∴∴原方程组的解为);(2).则方程组的解是;)此方程组通过化简可得:,则方程组的解是.13.在解方程组时,由于粗心,甲看错了方程组中的a ,而得解为,乙看错了方程组)把代入方程组,得解得:.把代入方程组,得解得:.∴方程组为则原方程组的解是14.x=(∴原方程组的解为;.)化简整理为故原方程组的解为.)化简整理为故原方程组的解为.16.解下列方程组:(1)(2)∴原方程组的解为)原方程组可化为∴原方程组的解为。
实用文档标准二元一次方程组练习题一.解答题(共16小题) 1.解下列方程组 (1)(2)(3))(6441125为已知数a a y x ay x ⎩⎨⎧=-=+ (4)(5)(6).(7)(8)⎩⎨⎧=--+=-++0)1(2)1()1(2x y x x x y y x(9)(10) ⎪⎪⎩⎪⎪⎨⎧=-++=-++1213222132y x y x2.求适合的x ,y 的值.3.已知关于x ,y 的二元一次方程y=kx+b 的解有和.(1)求k ,b 的值.(2)当x=2时,y 的值. (3)当x 为何值时,y=3?1.解下列方程组(1)(2);(3);(4)(5).(6)(7)(8)(9)(10);2.在解方程组时,由于粗心,甲看错了方程组中的a,而得解为,乙看错了方程组中的b,而得解为.(1)甲把a看成了什么,乙把b看成了什么?(2)求出原方程组的正确解.word版本二元一次方程组解法练习题精选参考答案与试题解析一.解答题(共16小题)1.求适合的x,y的值.考点:解二元一次方程组.分析:先把两方程变形(去分母),得到一组新的方程,然后在用加减消元法消去未知数x,求出y的值,继而求出x的值.解答:解:由题意得:,由(1)×2得:3x ﹣2y=2(3),由(2)×3得:6x+y=3(4),(3)×2得:6x﹣4y=4(5),(5)﹣(4)得:y=﹣,把y的值代入(3)得:x=,∴.点评:本题考查了二元一次方程组的解法,主要运用了加减消元法和代入法.2.解下列方程组(1)(2)(3)(4).考点:解二元一次方程组.分析:(1)(2)用代入消元法或加减消元法均可;(3)(4)应先去分母、去括号化简方程组,再进一步采用适宜的方法求解.解答:解:(1)①﹣②得,﹣x=﹣2,解得x=2,把x=2代入①得,2+y=1,解得y=﹣1.故原方程组的解为.(2)①×3﹣②×2得,﹣13y=﹣39,解得,y=3,把y=3代入①得,2x﹣3×3=﹣5,解得x=2.故原方程组的解为.(3)原方程组可化为,①+②得,6x=36,x=6,①﹣②得,8y=﹣4,y=﹣.所以原方程组的解为.(4)原方程组可化为:,①×2+②得,x=,把x=代入②得,3×﹣4y=6,y=﹣.所以原方程组的解为.点评:利用消元法解方程组,要根据未知数的系数特点选择代入法还是加减法:①相同未知数的系数相同或互为相反数时,宜用加减法;②其中一个未知数的系数为1时,宜用代入法.3.解方程组:考点:解二元一次方程组.word版本专题:计算题.分析:先化简方程组,再进一步根据方程组的特点选用相应的方法:用加减法.解答:解:原方程组可化为,①×4﹣②×3,得7x=42,解得x=6.把x=6代入①,得y=4.所以方程组的解为.点评:;二元一次方程组无论多复杂,解二元一次方程组的基本思想都是消元.消元的方法有代入法和加减法.4.解方程组:考点:解二元一次方程组.专题:计算题.分析:把原方程组化简后,观察形式,选用合适的解法,此题用加减法求解比较简单.解答:解:(1)原方程组化为,①+②得:6x=18,∴x=3.代入①得:y=.所以原方程组的解为.点评:要注意:两个二元一次方程中同一未知数的系数相反或相等时,把这两个方程的两边相加或相减,就能消去这个未知数,得到一个一元一次方程,这种方法叫做加减消元法.本题适合用此法.5.解方程组:考点:解二元一次方程组.专题:计算题;换元法.分析:本题用加减消元法即可或运用换元法求解.解答:解:,①﹣②,得s+t=4,①+②,得s﹣t=6,即,解得.所以方程组的解为.点评:此题较简单,要熟练解方程组的基本方法:代入消元法和加减消元法.6.已知关于x,y的二元一次方程y=kx+b的解有和.(1)求k,b的值.(2)当x=2时,y的值.(3)当x为何值时,y=3?考点:解二元一次方程组.专题:计算题.分析:(1)将两组x ,y 的值代入方程得出关于k、b的二元一次方程组,再运用加减消元法求出k、b的值.(2)将(1)中的k、b代入,再把x=2代入化简即可得出y的值.(3)将(1)中的k、b和y=3代入方程化简即可得出x的值.解答:解:(1)依题意得:①﹣②得:2=4k,所以k=,所以b=.(2)由y=x+,把x=2代入,得y=.word 版本(3)由y=x+把y=3代入,得x=1.点评:本题考查的是二元一次方程的代入消元法和加减消元法,通过已知条件的代入,可得出要求的数.7.解方程组:(1);(2).考点:解二元一次方程组.分析:根据各方程组的特点选用相应的方法:(1)先去分母再用加减法,(2)先去括号,再转化为整式方程解答.解答:解:(1)原方程组可化为,①×2﹣②得:y=﹣1,将y=﹣1代入①得:x=1.∴方程组的解为;(2)原方程可化为,即,①×2+②得:17x=51,x=3,将x=3代入x﹣4y=3中得:y=0.∴方程组的解为.点评:这类题目的解题关键是理解解方程组的基本思想是消元,掌握消元的方法有:加减消元法和代入消元法.根据未知数系数的特点,选择合适的方法.8.解方程组:考点:解二元一次方程组.专题:计算题.分析:本题应把方程组化简后,观察方程的形式,选用合适的方法求解.解答:解:原方程组可化为,①+②,得10x=30,x=3,代入①,得15+3y=15,y=0.则原方程组的解为.点评:解答此题应根据各方程组的特点,有括号的去括号,有分母的去分母,然后再用代入法或加减消元法解方程组.9.解方程组:考点:解二元一次方程组.专题:计算题.分析:本题为了计算方便,可先把(2)去分母,然后运用加减消元法解本题.解答:解:原方程变形为:,两个方程相加,得4x=12,x=3.把x=3代入第一个方程,得4y=11,y=.解之得.点评:本题考查的是二元一次方程组的解法,方程中含有分母的要先化去分母,再对方程进行化简、消元,即可解出此类题目.word版本10.解下列方程组:(1)(2)考点:解二元一次方程组.专题:计算题.分析:此题根据观察可知:(1)运用代入法,把①代入②,可得出x,y的值;(2)先将方程组化为整系数方程组,再利用加减消元法求解.解答:解:(1),由①,得x=4+y③,代入②,得4(4+y )+2y=﹣1,所以y=﹣,把y=﹣代入③,得x=4﹣=.所以原方程组的解为.(2)原方程组整理为,③×2﹣④×3,得y=﹣24,把y=﹣24代入④,得x=60,所以原方程组的解为.点评:此题考查的是对二元一次方程组的解法的运用和理解,学生可以通过题目的训练达到对知识的强化和运用.11.解方程组:(1)(2)考点:解二元一次方程组.专题:计算题;换元法.分析:方程组(1)需要先化简,再根据方程组的特点选择解法;方程组(2)采用换元法较简单,设x+y=a,x﹣y=b,然后解新方程组即可求解.解答:解:(1)原方程组可化简为,解得.(2)设x+y=a,x﹣y=b,∴原方程组可化为,解得,∴∴原方程组的解为.点评:此题考查了学生的计算能力,解题时要细心.12.解二元一次方程组:(1);(2).考点:解二元一次方程组.word版本专题:计算题.分析:(1)运用加减消元的方法,可求出x、y的值;(2)先将方程组化简,然后运用加减消元的方法可求出x、y的值.解答:解:(1)将①×2﹣②,得15x=30,x=2,把x=2代入第一个方程,得y=1.则方程组的解是;(2)此方程组通过化简可得:,①﹣②得:y=7,把y=7代入第一个方程,得x=5.则方程组的解是.点评:此题考查的是对二元一次方程组的解法的运用和理解,学生可以通过题目的训练达到对知识的强化和运用.13.在解方程组时,由于粗心,甲看错了方程组中的a ,而得解为,乙看错了方程组中的b,而得解为.(1)甲把a看成了什么,乙把b看成了什么?(2)求出原方程组的正确解.考点:解二元一次方程组.专题:计算题.分析:(1)把甲乙求得方程组的解分别代入原方程组即可;(2)把甲乙所求的解分别代入方程②和①,求出正确的a、b,然后用适当的方法解方程组.解答:解:(1)把代入方程组,得,解得:.把代入方程组,得,解得:.∴甲把a看成﹣5;乙把b看成6;(2)∵正确的a是﹣2,b是8,∴方程组为,解得:x=15,y=8.则原方程组的解是.点评:此题难度较大,需同学们仔细阅读,弄清题意再解答.14.考点:解二元一次方程组.分析:先将原方程组中的两个方程分别去掉分母,然后用加减消元法求解即可.解答:解:由原方程组,得,由(1)+(2),并解得x=(3),把(3)代入(1),解得y=∴原方程组的解为.点评:用加减法解二元一次方程组的一般步骤:1.方程组的两个方程中,如果同一个未知数的系数既不互为相反数又不相等,就用适当的数去乘方程的两边,使一个未知数的系数互为相反数或相等;word版本2.把两个方程的两边分别相加或相减,消去一个未知数,得到一个一元一次方程;3.解这个一元一次方程;4.将求出的未知数的值代入原方程组的任意一个方程中,求出另一个未知数,从而得到方程组的解.15.解下列方程组:(1);(2).考点:解二元一次方程组.分析:将两个方程先化简,再选择正确的方法进行消元.解答:解:(1)化简整理为,①×3,得3x+3y=1500③,②﹣③,得x=350.把x=350代入①,得350+y=500,∴y=150.故原方程组的解为.(2)化简整理为,①×5,得10x+15y=75③,②×2,得10x﹣14y=46④,③﹣④,得29y=29,∴y=1.把y=1代入①,得2x+3×1=15,∴x=6.故原方程组的解为.点评:方程组中的方程不是最简方程的,最好先化成最简方程,再选择合适的方法解方程.16.解下列方程组:(1)(2)考点:解二元一次方程组.分析:观察方程组中各方程的特点,用相应的方法求解.解答:解:(1)①×2﹣②得:x=1,将x=1代入①得:2+y=4,y=2.∴原方程组的解为;(2)原方程组可化为,①×2﹣②得:﹣y=﹣3,y=3.将y=3代入①得:x=﹣2.∴原方程组的解为.点评:解此类题目要注意观察方程组中各方程的特点,采用加减法或代入法求解.word版本。
七下数学--第八章 二元一次方程组要点一:二元一次方程组的解法 【知识要点】1.二元一次方程:含有两个未知数,且未知项的次数为1,这样的方程叫二元一次方程。
①二元一次方程左右两边的代数式必须是整式;(不是整式的化成整式) ②二元一次方程必须含有两个未知数;③二元一次方程中的“一次”是指含有未知数的项的次数,而不是某个未知数的次数。
2.二元一次方程的解:能使二元一次方程左右两边的值相等的一对未知数的值叫做二元一次方程的解任何一个二元一次方程都有无数解。
3.二元一次方程组:①由两个或两个以上的整式方程组成,常用“ ”把这些方程联合在一起; ②整个方程组中含有两个不同的未知数,且方程组中同一未知数代表同一数量; ③方程组中每个方程经过整理后都是一次方程, 4.二元一次方程组的解:注意:方程组的解满足方程组中的每个方程,而每个方程的解不一定是方程组的解。
5.会检验一对数值是不是一个二元一次方程组的解6.二元一次方程组的解法:(1) 代入消元法 (2)加减消元法 三、理解解二元一次方程组的思想转化消元一元一次方程二元一次方程组四、解二元一次方程组的一般步骤(一)、代入法一般步骤:变形——代入——求解——回代——写解 (二)、加减法一般步骤:变形——加减——求解——代入——写解 【典型例题】 一、选择题1、(2009·福州中考)二元一次方程组2,0x y x y +=⎧⎨-=⎩的解是 ( C )A .0,2.x y =⎧⎨=⎩B .2,0.x y =⎧⎨=⎩C .1,1.x y =⎧⎨=⎩D .1,1.x y =-⎧⎨=-⎩2、(2009·百色中考)已知21x y =⎧⎨=⎩是二元一次方程组71ax by ax by +=⎧⎨-=⎩的解, 则a b -的值为( B ).A .1B .-1C . 2D .33、(2009·内江中考)若关于x ,y 的方程组⎩⎨⎧=+=-n my x m y x 2的解是⎩⎨⎧==12y x ,则n m -为( D )A .1B .3C .5D .24、(2009·日照中考)若关于x ,y 的二元一次方程组⎩⎨⎧=-=+ky x k y x 9,5的解也是二元一次方程632=+y x 的解,则k 的值为 (B. )(A )43- (B )43 (C )34 (D )34-5、(2009·绵阳中考)小明在解关于x 、y 的二元一次方程组⎩⎨⎧=⊗-=⊗+133,y x y x 时得到了正确结果⎩⎨⎧=⊕=.1,y x 后来发现“⊗”“ ⊕”处被墨水污损了,请你帮他找出⊗、⊕ 处的值分别是( B ) A .⊗ = 1,⊕ = 1 B .⊗ = 2,⊕ = 1 C .⊗ = 1,⊕ = 2 D .⊗ = 2,⊕ = 26、(2009·青海中考)已知代数式133m x y --与52n m n x y +是同类项,那么m n 、的值分别是(C )A .21m n =⎧⎨=-⎩B .21m n =-⎧⎨=-⎩C .21m n =⎧⎨=⎩D .21m n =-⎧⎨=⎩7、(2007·丽水中考)方程组5210x y x y +=⎧⎨+=⎩ ,由②-①,得正确的方程是( B )(A )310x = (B ) 5x = (C )35x =- (D )5x =- 8、若5x -6y =0,且xy ≠0,则yx yx 3545--的值等于( )(A )32(B )23(C )1 (D )-1二、填空题9、(2009·定西中考)方程组25211x y x y -=-⎧⎨+=⎩,的解是 .34x y =⎧⎨=⎩,10、(2008·临沂中考)已知x 、y 满足方程组⎩⎨⎧=+=+,42,52y x y x 则x -y 的值为___1_____.11、(2009·呼和浩特中考)如果|21||25|0x y x y -++--=,则x y +的值为 6 三、解答题12、 (2009·湘西中考)解方程:2725x y x y -=⎧⎨+=⎩①②【解析】①+② 得 4x =12,即 x =3 代入① 有6-y =7,即 y =-1所以原方程的解是:⎩⎨⎧-==13y x13、(2007·青岛中考)解方程组:2536x y x y +=-=⎧⎨⎩,.【解析】25,3 6.x y x y +=-=⎧⎨⎩①×3,得 6x +3y =15. ③ ②+③,得 7x =21,x =3. 把x =3代入①,得2×3+y =5,y =-1.14、如果(a -2)x+(b+1)y=13是关于x ,y 的二元一次方程,则a ,b 满足什么条件?15、二元一次方程组437(1)3x y kx k y +=⎧⎨+-=⎩的解x ,y 的值相等,求k .16、方程组2528x y x y +=⎧⎨-=⎩的解是否满足2x -y=8?满足2x -y=8的一对x ,y 的值是否是方程组① ②2528x y x y +=⎧⎨-=⎩的解? 【配套练习】1.判断下列方程是不是二元一次方程4).1(22=+y x 222).2(x y x x =-+ 6).3(=-y xyy x =).4( 6).5(2=++z y x 811).6(=+yx2.在下列每个二元一次方程组的后面给出了x 与y 的一对值,判断这对值是不是前面方程组的解?(1)⎩⎨⎧=+=-)2(7032)1(53y x y x ⎩⎨⎧==12y x (2)⎩⎨⎧=+=-)2(1147)1(123y x y x ⎩⎨⎧==11y x3.判断(1)由两个二元一次方程组成方程组一定是二元一次方程组( )(2)方程组⎩⎨⎧=+=-3513y x y x 的解是方程x +5y =3的解,反过来方程x +5y =3的解也是方程组⎩⎨⎧=+=-3513y x y x 的解 ………( ) 4.在方程4x -3y =7里,如果用x 的代数式表示y ,则437yx +=( ) 5.任何一个二元一次方程都有( ) (A )一个解;(B )两个解; (C )三个解;(D )无数多个解;6. 关于x 、y 的方程组⎩⎨⎧=-=+m y x my x 932的解是方程3x +2y =34的一组解,那么m 的值是( )(A )2;(B )-1;(C )1;(D )-2;7. 与已知二元一次方程5x -y =2组成的方程组有无数多个解的方程是( ) (A )15x -3y =6 (B )4x -y =7(C )10x +2y =4(D )20x -4y =38. 下列方程组中,是二元一次方程组的是( )(A )⎪⎩⎪⎨⎧=+=+9114y x y x(B )⎩⎨⎧=+=+75z y y x (C )⎩⎨⎧=-=6231y x x(D )⎩⎨⎧=-=-1y x xyy x9. 已知方程组⎩⎨⎧-=+=-135b y ax y x 有无数多个解,则a 、b 的值等于( )(A )a =-3,b =-14(B )a =3,b =-7 (C )a =-1,b =9(D )a =-3,b =1410. 若x 、y 均为非负数,则方程6x =-7y 的解的情况是( ) (A )无解(B )有唯一一个解 (C )有无数多个解(D )不能确定11. 若|3x +y +5|+|2x -2y -2|=0,则2x 2-3xy 的值是( ) (A )14 (B )-4 (C )-12 (D )1212. .已知⎩⎨⎧-==24y x 与⎩⎨⎧-=-=52y x 都是方程y =kx +b 的解,则k 与b 的值为( )(A )21=k ,b =-4 (B )21-=k ,b =4 (C )21=k ,b =4(D )21-=k ,b =-413. 如果0.4x -0.5y =1.2,那么用含有y 的代数式表示的代数式是_____________;14已知方程组⎩⎨⎧-=+=+m y x ay x 26432有无数多解,则a =______,m =______;15. 若4x +3y +5=0,则3(8y -x )-5(x +6y -2)的值等于_________;16.若x +y =a ,x -y =1同时成立,且x 、y 都是正整数,则a 的值为________;17.从方程组)0(030334≠⎩⎨⎧=+-=--xyz z y x z y x 中可以知道,x :z =_______;y :z =________;18.解方程组(1)⎪⎪⎩⎪⎪⎨⎧=-=-1332343n m nm (2))(6441125为已知数a a y x a y x ⎩⎨⎧=-=+(3)⎪⎪⎩⎪⎪⎨⎧=++=+125432y x yx y x (4)⎩⎨⎧=--+=-++0)1(2)1()1(2x y x x x y y x(5)⎪⎩⎪⎨⎧=-+-=-+=-+3113y x z x z y z y x (6)⎪⎩⎪⎨⎧=+-==30325:3:7:4:z y x z x y x19. m 取什么整数值时,方程组⎩⎨⎧=-=+0242y x my x 的解:(1)是正数;(2)是正整数?并求它的所有正整数解。
二元一次方程组解法练习题一.解答题 1.解下列方程组 (1)(2)(3))(6441125为已知数a a y x ay x ⎩⎨⎧=-=+(4)(5)(6).(7)(8)⎩⎨⎧=--+=-++0)1(2)1()1(2x y x x x y y x(9)(10) ⎪⎪⎩⎪⎪⎨⎧=-++=-++1213222132y x y x2.求适合的x ,y 的值.3.已知关于x,y的二元一次方程y=kx+b 的解有和.(1)求k,b的值.(2)当x=2时,y的值.(3)当x为何值时,y=3?1.解下列方程组(1)(2);(3);(4)(5).(6)(7)(8)(9)(10);2.在解方程组时,由于粗心,甲看错了方程组中的a ,而得解为,乙看错了方程组中的b ,而得解为.(1)甲把a看成了什么,乙把b看成了什么?(2)求出原方程组的正确解.二元一次方程组解法练习题精选参考答案与试题解析一.解答题(共16小题)1.求适合的x,y的值.考点:解二元一次方程组.分析:先把两方程变形(去分母),得到一组新的方程,然后在用加减消元法消去未知数x,求出y的值,继而求出x的值.解答:解:由题意得:,由(1)×2得:3x﹣2y=2(3),由(2)×3得:6x+y=3(4),(3)×2得:6x﹣4y=4(5),(5)﹣(4)得:y=﹣,把y的值代入(3)得:x=,∴.点评:本题考查了二元一次方程组的解法,主要运用了加减消元法和代入法.2.解下列方程组(1)(2)(3)(4).考点:解二元一次方程组.分析:(1)(2)用代入消元法或加减消元法均可;(3)(4)应先去分母、去括号化简方程组,再进一步采用适宜的方法求解.解答:解:(1)①﹣②得,﹣x=﹣2,解得x=2,把x=2代入①得,2+y=1,解得y=﹣1.故原方程组的解为.(2)①×3﹣②×2得,﹣13y=﹣39,解得,y=3,把y=3代入①得,2x﹣3×3=﹣5,解得x=2.故原方程组的解为.(3)原方程组可化为,①+②得,6x=36,x=6,①﹣②得,8y=﹣4,y=﹣.所以原方程组的解为.(4)原方程组可化为:,①×2+②得,x=,把x=代入②得,3×﹣4y=6,y=﹣.所以原方程组的解为.点评:利用消元法解方程组,要根据未知数的系数特点选择代入法还是加减法:①相同未知数的系数相同或互为相反数时,宜用加减法;②其中一个未知数的系数为1时,宜用代入法.3.解方程组:解二元一次方程组.考点:计算题.专题:先化简方程组,再进一步根据方程组的特点选用相应的方法:用加减法.分析:解答:解:原方程组可化为,①×4﹣②×3,得7x=42,解得x=6.把x=6代入①,得y=4.所以方程组的解为.点;二元一次方程组无论多复杂,解二元一次方程组的基本思想都是消元.消元的方法有代入法和加减法.评:4.解方程组:考点:解二元一次方程组.专题:计算题.分析:把原方程组化简后,观察形式,选用合适的解法,此题用加减法求解比较简单.解答:解:(1)原方程组化为,①+②得:6x=18,∴x=3.代入①得:y=.所以原方程组的解为.点评:要注意:两个二元一次方程中同一未知数的系数相反或相等时,把这两个方程的两边相加或相减,就能消去这个未知数,得到一个一元一次方程,这种方法叫做加减消元法.本题适合用此法.5.解方程组:考点:解二元一次方程组.专题:计算题;换元法.分析:本题用加减消元法即可或运用换元法求解.解答:解:,①﹣②,得s+t=4,①+②,得s﹣t=6,即,解得.所以方程组的解为.点评:此题较简单,要熟练解方程组的基本方法:代入消元法和加减消元法.6.已知关于x,y的二元一次方程y=kx+b的解有和.(1)求k,b的值.(2)当x=2时,y的值.(3)当x为何值时,y=3?考点:解二元一次方程组.专题:计算题.分析:(1)将两组x,y的值代入方程得出关于k、b的二元一次方程组,再运用加减消元法求出k、b的值.(2)将(1)中的k、b代入,再把x=2代入化简即可得出y的值.(3)将(1)中的k、b和y=3代入方程化简即可得出x的值.解答:解:(1)依题意得:①﹣②得:2=4k,所以k=,所以b=.(2)由y=x+,把x=2代入,得y=.(3)由y=x+把y=3代入,得x=1.点评:本题考查的是二元一次方程的代入消元法和加减消元法,通过已知条件的代入,可得出要求的数.7.解方程组:(1);(2).考点:解二元一次方程组.分析:根据各方程组的特点选用相应的方法:(1)先去分母再用加减法,(2)先去括号,再转化为整式方程解答.解答:解:(1)原方程组可化为,①×2﹣②得:y=﹣1,将y=﹣1代入①得:x=1.∴方程组的解为;(2)原方程可化为,即,①×2+②得:17x=51,x=3,将x=3代入x﹣4y=3中得:y=0.∴方程组的解为.点评:这类题目的解题关键是理解解方程组的基本思想是消元,掌握消元的方法有:加减消元法和代入消元法.根据未知数系数的特点,选择合适的方法.8.解方程组:考点:解二元一次方程组.专题:计算题.分析:本题应把方程组化简后,观察方程的形式,选用合适的方法求解.解答:解:原方程组可化为,①+②,得10x=30,x=3,代入①,得15+3y=15,y=0.则原方程组的解为.点评:解答此题应根据各方程组的特点,有括号的去括号,有分母的去分母,然后再用代入法或加减消元法解方程组.9.解方程组:考点:解二元一次方程组.专题:计算题.分析:本题为了计算方便,可先把(2)去分母,然后运用加减消元法解本题.解答:解:原方程变形为:,两个方程相加,得4x=12,x=3.把x=3代入第一个方程,得4y=11,y=.解之得.点评:本题考查的是二元一次方程组的解法,方程中含有分母的要先化去分母,再对方程进行化简、消元,即可解出此类题目.10.解下列方程组:(1)(2)考点:解二元一次方程组.专题:计算题.分析:此题根据观察可知:(1)运用代入法,把①代入②,可得出x,y的值;(2)先将方程组化为整系数方程组,再利用加减消元法求解.解答:解:(1),由①,得x=4+y③,代入②,得4(4+y)+2y=﹣1,所以y=﹣,把y=﹣代入③,得x=4﹣=.所以原方程组的解为.(2)原方程组整理为,③×2﹣④×3,得y=﹣24,把y=﹣24代入④,得x=60,所以原方程组的解为.点评:此题考查的是对二元一次方程组的解法的运用和理解,学生可以通过题目的训练达到对知识的强化和运用.11.解方程组:(1)(2)考点:解二元一次方程组.专题:计算题;换元法.分析:方程组(1)需要先化简,再根据方程组的特点选择解法;方程组(2)采用换元法较简单,设x+y=a,x﹣y=b,然后解新方程组即可求解.解答:解:(1)原方程组可化简为,解得.(2)设x+y=a,x﹣y=b,∴原方程组可化为,解得,∴∴原方程组的解为.点评:此题考查了学生的计算能力,解题时要细心.12.解二元一次方程组:(1);(2).考点:解二元一次方程组.专题:计算题.分析:(1)运用加减消元的方法,可求出x、y的值;(2)先将方程组化简,然后运用加减消元的方法可求出x、y的值.解答:解:(1)将①×2﹣②,得15x=30,x=2,把x=2代入第一个方程,得y=1.则方程组的解是;(2)此方程组通过化简可得:,①﹣②得:y=7,把y=7代入第一个方程,得x=5.则方程组的解是.点评:此题考查的是对二元一次方程组的解法的运用和理解,学生可以通过题目的训练达到对知识的强化和运用.13.在解方程组时,由于粗心,甲看错了方程组中的a,而得解为,乙看错了方程组中的b,而得解为.(1)甲把a看成了什么,乙把b看成了什么?(2)求出原方程组的正确解.考点:解二元一次方程组.专题:计算题.分析:(1)把甲乙求得方程组的解分别代入原方程组即可;(2)把甲乙所求的解分别代入方程②和①,求出正确的a、b,然后用适当的方法解方程组.解答:解:(1)把代入方程组,得,解得:.把代入方程组,得,解得:.∴甲把a看成﹣5;乙把b看成6;(2)∵正确的a是﹣2,b是8,∴方程组为,解得:x=15,y=8.则原方程组的解是.点评:此题难度较大,需同学们仔细阅读,弄清题意再解答.14.考点:解二元一次方程组.分析:先将原方程组中的两个方程分别去掉分母,然后用加减消元法求解即可.解答:解:由原方程组,得,由(1)+(2),并解得x=(3),把(3)代入(1),解得y=∴原方程组的解为.点评:用加减法解二元一次方程组的一般步骤:1.方程组的两个方程中,如果同一个未知数的系数既不互为相反数又不相等,就用适当的数去乘方程的两边,使一个未知数的系数互为相反数或相等;2.把两个方程的两边分别相加或相减,消去一个未知数,得到一个一元一次方程;3.解这个一元一次方程;4.将求出的未知数的值代入原方程组的任意一个方程中,求出另一个未知数,从而得到方程组的解.15.解下列方程组:(1);(2).考点:解二元一次方程组.分析:将两个方程先化简,再选择正确的方法进行消元.解答:解:(1)化简整理为,①×3,得3x+3y=1500③,②﹣③,得x=350.把x=350代入①,得350+y=500,∴y=150.故原方程组的解为.(2)化简整理为,①×5,得10x+15y=75③,②×2,得10x﹣14y=46 ④,③﹣④,得29y=29,∴y=1.把y=1代入①,得2x+3×1=15,∴x=6.故原方程组的解为.点评:方程组中的方程不是最简方程的,最好先化成最简方程,再选择合适的方法解方程.16.解下列方程组:(1)(2)考点:解二元一次方程组.分析:观察方程组中各方程的特点,用相应的方法求解.解答:解:(1)①×2﹣②得:x=1,将x=1代入①得:2+y=4,y=2.∴原方程组的解为;(2)原方程组可化为,①×2﹣②得:﹣y=﹣3,y=3.将y=3代入①得:x=﹣2.∴原方程组的解为.。
专题5.4求解二元一次方程组(知识梳理与考点分类讲解)【知识点1】代入消元法解二元一次方程组代入消元法:(1)定义:将其中一个方程组中的某个未知数用含有另一个未知数的代数式表示出来,并代入另一个方程组,从而消去一个未知数,化二元一次方程组为一元一次方程,这种解方程组的方法称为代入消元法,简称代入法.(2)用代入消元法解二元一次方程组的一般步骤:步骤具体做法目的注意事项(1)变形选取一个系数比较简单的二元一次方程变形,用含一个未知数的式子表示另一个未知数变形为x=ax+b(或x=ay+b)(a,b 是常数,a≠0)的形式一般选未知数系数比较简单的方程变形(2)代入把y=ax+B(或x=ay+b)代入另一个没有变形的方程消去一个未知数,将二元一次方程组转化为一元一次方程变形后的方程只能代入另一个方程(或另一个方程变形后的方程)(3)求解解消元后的一元一次方程求出一个未知数的值去括号时不能漏乘,移项时所移的项要变号(4)回代把求得的未知数的值代入步骤(1)中变形后的方程求出另一个未知数的值一般代入变形后的方程(5)写解把两个未知数的值用大括号联立起来特别提醒:将方程组中的一个二元一次方程写成用含一个未知数的式子表示另一个未知数的形式,是用代入法解二元一次方程组的前提和关键,其方法就是利用等式的性质将其变形为y=ax+b(或x=ay+b)的形式,其中a,b 为常数,a≠0.用含一个未知数的式子表示另一个未知数后,应代入另一个方程求解,否则只能得到一个恒等式,并不能求出方程组的解.【知识点2】加减消元法解二元一次方程组1.加减消元法的定义通过将两个方程相加(减)消去其中一个未知数,将二元一次方程组转化为一元一次方程来解,这种解二元一次方程组的方法叫做加减消元法,简称加减法.2.用加减消元法解二元一次方程组的一般步骤步骤具体做法目的注意事项(1)变形根据绝对值较小的未知数(同一个未知数)的系数的最小公倍数,给方程的两边都乘适当的数.使某一个未知数在两个方程中的系数相等或互为相反数.给某个方程乘一个数时,方程两边的每一项都要和这个数相乘(2)代入两个方程中同一个未知数的系数互为相反数时,将两个方程相加;同一个未知数的系数相等时,将两个方程相减.消去一个未知数,将二元一次方程组转化为一元一次方程把两个方程相加(减)时,一定要把两个方程两边分别相加(减).(3)求解解消元后的一元一次方程求出一个未知数的值(4)回代把求得的未知数的值代入方程组中某个较简单的方程求出另一个未知数的值回代时选择系数较简单的方程(5)写解把两个未知数的值用大括号联立起来特别提醒:1.两个方程同一未知数的系数的绝对值相等或成倍数关系时,解方程组应考虑用加减消元法.2.如果同一未知数的系数的绝对值既不相等又不成倍数关系,我们应设法将一个未知数的系数的绝对值转化为相等关系.3.用加减法时,一般选择系数比较简单(同一未知数的系数的绝对值相等或成倍数关系)的未知数作为消元对象.【考点目录】【考点1】代入消元法解二元一次方程组;【考点2】加减消元法解二元一次方程组;【考点3】同解方程组;【考点4】整体思想解二元一次方程组;【考点5】求解二元一次方程组——错题复原问题;【考点6】求解二元一次方程组——参数问题;【考点7】构造二元一次方程组求解。
二元一次方程解题技巧及练习Company number:【WTUT-WT88Y-W8BBGB-BWYTT-19998】二元一次方程解题技巧及练习基本思路:二元一次方程化简消元/转化一元一次方程 基本方法:代入消元或者加减消元法 适用情况: 1. 代入当有一个未知数系数为1或者-1; 2. 加减当同一个字母的未知数的系数相同或者相反时; 当同一个字母的未知数的系数互为倍数时; 3. 代入加减一起使用两个相同的未知数系数之和分别相等时; 其中一个未知数系数相差1时;4. 整体代入,即两个方程中有相同整式时; 练习1: y =x-3 2x+3y =11 5x+2y =7 7x+2y =-1 2x-y =1 x+y =5 x-y =3 3x-8y =14 4x+8y =12 3x+2y =5 6x+4y =10 4x+6y =20 4x+7y =222 5x+6y =217 2x+3y =1 3x+5y =练习2:一.解答题(共16小题) 1.求适合的x ,y 的值.2.解下列方程组(1)(2)(3)(4).3.解方程组:4.解方程组:5.解方程组:6.已知关于x,y的二元一次方程y=kx+b的解有和.(1)求k,b的值.(2)当x=2时,y的值.(3)当x为何值时,y=37.解方程组:(1);(2).8.解方程组:9.解方程组:10.解下列方程组:(1)(2)11.解方程组:(1)(2)12.解二元一次方程组:(1);(2).13.在解方程组时,由于粗心,甲看错了方程组中的a,而得解为,乙看错了方程组中的b,而得解为.(1)甲把a看成了什么,乙把b看成了什么(2)求出原方程组的正确解.14.15.解下列方程组:(1);(2).16.解下列方程组:(1)(2)参考答案与试题解析一.解答题(共16小题)1.求适合的x,y的值.解二元一次方程组.考点:分先把两方程变形(去分母),得到一组新的方程,然后在用加减消元法析:消去未知数x,求出y的值,继而求出x的值.解答:解:由题意得:,由(1)×2得:3x﹣2y=2(3),由(2)×3得:6x+y=3(4),(3)×2得:6x﹣4y=4(5),(5)﹣(4)得:y=﹣,把y的值代入(3)得:x=,∴.本题考查了二元一次方程组的解法,主要运用了加减消元法和代入法.点评:2.解下列方程组(1)(2)(3)(4).考点:解二元一次方程组.分析:(1)(2)用代入消元法或加减消元法均可;(3)(4)应先去分母、去括号化简方程组,再进一步采用适宜的方法求解.解答:解:(1)①﹣②得,﹣x=﹣2,解得x=2,把x=2代入①得,2+y=1,解得y=﹣1.故原方程组的解为.(2)①×3﹣②×2得,﹣13y=﹣39,解得,y=3,把y=3代入①得,2x﹣3×3=﹣5,解得x=2.故原方程组的解为.(3)原方程组可化为,①+②得,6x=36,x=6,①﹣②得,8y=﹣4,y=﹣.所以原方程组的解为.(4)原方程组可化为:,①×2+②得,x=,把x=代入②得,3×﹣4y=6,y=﹣.所以原方程组的解为.点评:利用消元法解方程组,要根据未知数的系数特点选择代入法还是加减法:①相同未知数的系数相同或互为相反数时,宜用加减法;②其中一个未知数的系数为1时,宜用代入法.3.解方程组:考点:解二元一次方程组.专题:计算题.分析:先化简方程组,再进一步根据方程组的特点选用相应的方法:用加减法.解答:解:原方程组可化为,①×4﹣②×3,得7x=42,解得x=6.把x=6代入①,得y=4.所以方程组的解为.点评:注意:二元一次方程组无论多复杂,解二元一次方程组的基本思想都是消元.消元的方法有代入法和加减法.4.解方程组:考点:解二元一次方程组.专题:计算题.分析:把原方程组化简后,观察形式,选用合适的解法,此题用加减法求解比较简单.解答:解:(1)原方程组化为,①+②得:6x=18,∴x=3.代入①得:y=.所以原方程组的解为.点评:要注意:两个二元一次方程中同一未知数的系数相反或相等时,把这两个方程的两边相加或相减,就能消去这个未知数,得到一个一元一次方程,这种方法叫做加减消元法.本题适合用此法.5.解方程组:考点:解二元一次方程组.专题:计算题;换元法.分析:本题用加减消元法即可或运用换元法求解.解答:解:,①﹣②,得s+t=4,①+②,得s﹣t=6,即,解得.所以方程组的解为.点评:此题较简单,要熟练解方程组的基本方法:代入消元法和加减消元法.6.已知关于x,y的二元一次方程y=kx+b的解有和.(1)求k,b的值.(2)当x=2时,y的值.(3)当x为何值时,y=3考点:解二元一次方程组.专题:计算题.分析:(1)将两组x,y的值代入方程得出关于k、b的二元一次方程组,再运用加减消元法求出k、b的值.(2)将(1)中的k、b代入,再把x=2代入化简即可得出y的值.(3)将(1)中的k、b和y=3代入方程化简即可得出x的值.解答:解:(1)依题意得:①﹣②得:2=4k,所以k=,所以b=.(2)由y=x+,把x=2代入,得y=.(3)由y=x+把y=3代入,得x=1.点评:本题考查的是二元一次方程的代入消元法和加减消元法,通过已知条件的代入,可得出要求的数.7.解方程组:(1);(2).考点:解二元一次方程组.分析:根据各方程组的特点选用相应的方法:(1)先去分母再用加减法,(2)先去括号,再转化为整式方程解答.解答:解:(1)原方程组可化为,①×2﹣②得:y=﹣1,将y=﹣1代入①得:x=1.∴方程组的解为;(2)原方程可化为,即,①×2+②得:17x=51,x=3,将x=3代入x﹣4y=3中得:y=0.∴方程组的解为.点评:这类题目的解题关键是理解解方程组的基本思想是消元,掌握消元的方法有:加减消元法和代入消元法.根据未知数系数的特点,选择合适的方法.8.解方程组:考点:解二元一次方程组.题:分析:本题应把方程组化简后,观察方程的形式,选用合适的方法求解.解答:解:原方程组可化为,①+②,得10x=30,x=3,代入①,得15+3y=15,y=0.则原方程组的解为.点评:解答此题应根据各方程组的特点,有括号的去括号,有分母的去分母,然后再用代入法或加减消元法解方程组.9.解方程组:考点:解二元一次方程组.专题:计算题.分析:本题为了计算方便,可先把(2)去分母,然后运用加减消元法解本题.解答:解:原方程变形为:,两个方程相加,得4x=12,x=3.把x=3代入第一个方程,得4y=11,y=.解之得.点评:本题考查的是二元一次方程组的解法,方程中含有分母的要先化去分母,再对方程进行化简、消元,即可解出此类题目.10.解下列方程组:(1)(2)考点:解二元一次方程组.题:分析:此题根据观察可知:(1)运用代入法,把①代入②,可得出x,y的值;(2)先将方程组化为整系数方程组,再利用加减消元法求解.解答:解:(1),由①,得x=4+y③,代入②,得4(4+y)+2y=﹣1,所以y=﹣,把y=﹣代入③,得x=4﹣=.所以原方程组的解为.(2)原方程组整理为,③×2﹣④×3,得y=﹣24,把y=﹣24代入④,得x=60,所以原方程组的解为.点评:此题考查的是对二元一次方程组的解法的运用和理解,学生可以通过题目的训练达到对知识的强化和运用.11.解方程组:(1)(2)考点:解二元一次方程组.专题:计算题;换元法.分析:方程组(1)需要先化简,再根据方程组的特点选择解法;方程组(2)采用换元法较简单,设x+y=a,x﹣y=b,然后解新方程组即可求解.解答:解:(1)原方程组可化简为,解得.(2)设x+y=a,x﹣y=b,∴原方程组可化为,解得,∴∴原方程组的解为.点评:此题考查了学生的计算能力,解题时要细心.12.解二元一次方程组:(1);(2).考点:解二元一次方程组.专题:计算题.分析:(1)运用加减消元的方法,可求出x、y的值;(2)先将方程组化简,然后运用加减消元的方法可求出x、y的值.解答:解:(1)将①×2﹣②,得15x=30,x=2,把x=2代入第一个方程,得y=1.则方程组的解是;(2)此方程组通过化简可得:,①﹣②得:y=7,把y=7代入第一个方程,得x=5.则方程组的解是.点评:此题考查的是对二元一次方程组的解法的运用和理解,学生可以通过题目的训练达到对知识的强化和运用.13.在解方程组时,由于粗心,甲看错了方程组中的a,而得解为,乙看错了方程组中的b,而得解为.(1)甲把a看成了什么,乙把b看成了什么(2)求出原方程组的正确解.考点:解二元一次方程组.专题:计算题.分析:(1)把甲乙求得方程组的解分别代入原方程组即可;(2)把甲乙所求的解分别代入方程②和①,求出正确的a、b,然后用适当的方法解方程组.解答:解:(1)把代入方程组,得,解得:.把代入方程组,得,解得:.∴甲把a看成﹣5;乙把b看成6;(2)∵正确的a是﹣2,b是8,∴方程组为,解得:x=15,y=8.则原方程组的解是.点评:此题难度较大,需同学们仔细阅读,弄清题意再解答.14.考点:解二元一次方程组.分析:先将原方程组中的两个方程分别去掉分母,然后用加减消元法求解即可.解答:解:由原方程组,得,由(1)+(2),并解得x=(3),把(3)代入(1),解得y=,∴原方程组的解为.点评:用加减法解二元一次方程组的一般步骤:1.方程组的两个方程中,如果同一个未知数的系数既不互为相反数又不相等,就用适当的数去乘方程的两边,使一个未知数的系数互为相反数或相等;2.把两个方程的两边分别相加或相减,消去一个未知数,得到一个一元一次方程;3.解这个一元一次方程;4.将求出的未知数的值代入原方程组的任意一个方程中,求出另一个未知数,从而得到方程组的解.15.解下列方程组:(1);(2).考点:解二元一次方程组.分析:将两个方程先化简,再选择正确的方法进行消元.解答:解:(1)化简整理为,①×3,得3x+3y=1500③,②﹣③,得x=350.把x=350代入①,得350+y=500,∴y=150.故原方程组的解为.(2)化简整理为,①×5,得10x+15y=75③,②×2,得10x﹣14y=46④,③﹣④,得29y=29,∴y=1.把y=1代入①,得2x+3×1=15,∴x=6.故原方程组的解为.点评:方程组中的方程不是最简方程的,最好先化成最简方程,再选择合适的方法解方程.16.解下列方程组:(1)(2)考点:解二元一次方程组.分析:观察方程组中各方程的特点,用相应的方法求解.解解:(1)①×2﹣②得:x=1,答:将x=1代入①得:2+y=4,y=2.∴原方程组的解为;(2)原方程组可化为,①×2﹣②得:﹣y=﹣3,y=3.将y=3代入①得:x=﹣2.∴原方程组的解为.点解此类题目要注意观察方程组中各方程的特点,采用加减法或代入法求解.评:。
《二元一次方程组》知识讲解及例题解析◆知识讲解1.二元一次方程组的有关概念二元一次方程:含有两个未知数,并且含有未知数的项的次数都是1•的整式方程叫做二元一次方程.二元一次方程的解集:适合一个二元一次方程的每一对未知数的值,叫做这个二元一次方程的一个解.对于任何一个二元一次方程,令其中一个未知数取任意一个值,都能求出与它对应的另一个未知数的值.因此,任何一个二元一次方程都有无数多个解.由这些解组成的集合,叫做这个二元一次方程的解集.二元一次方程组及其解:两个二元一次方程合在一起就组成了一个二元一次方程组.一般地,能使二元一次方程组的两个方程左右两边的值都相等的两个未知数的值,叫做二元一次方程组的解.2.二元一次方程组的解法代入消元法:在二元一次方程组中选取一个适当的方程,将一个未知数用含另一个未知数的式子表示出来,再代入另一个方程,消去一个未知数得到一元一次方程,求出这个未知数的值,进而求得这个二元一次方程组的解,这种方法叫做代入消元法.加减消元法:两个二元一次方程中同一未知数的系数相反或相等时,将两个方程的两边分别相加或相差,从而消去这个未知数,得到一个一元一次方程,这种求二元一次方程组的解的方法叫做加减消元法,简称加减法.3.二元一次方程组的应用对于含有多个未知数的问题,利用列方程组来解,一般比列一元一次方程解题容易得多.列方程组解应用问题有以下几个步骤:(1)选定几个未知数;(2)依据已知条件列出与未知数的个数相等的独立方程,组成方程组;(3)解方程组,得到方程组的解;(4)检验求得未知数的值是否符合题意,符合题意即为应用题的解.◆例题解析例1 已知21xy=⎧⎨=⎩是方程组2(1)21x m ynx y+-=⎧⎨+=⎩的解,求(m+n)的值.【分析】由方程组的解的定义可知21xy=⎧⎨=⎩,同时满足方程组中的两个方程,将21xy=⎧⎨=⎩代入两个方程,分别解二元一次方程,即得m 和n 的值,从而求出代数式的值.【解答】把x=2,y=1代入方程组2(1)21x m y nx y +-=⎧⎨+=⎩中,得22(1)12211m n ⨯+-⨯=⎧⎨+=⎩ 由①得m=-1,由②得n=0.所以当m=-1,n=0时,(m+n )=(-1+0)=-1.【点评】如果是方程组的解,那么它们就能满足这个方程组中的每一个方程. 例2 “5.12”汶川大地震后,灾区急需大量帐篷.•某服装厂原有4条成衣生产线和5条童装生产,工厂决定转产,计划用3天时间赶制1000•顶帐篷支援灾区.若启用1条成衣生产线和2条童装生产线,一天可以生产帐篷105顶;•若启用2条成衣生产线和3条童装生产线,一天可以生产帐篷178顶.(1)每条成衣生产线和童装生产线平均每天生产帐篷各多少顶?(2)工厂满负荷全面转产,是否可以如期完成任务?如果你是厂长,你会怎样体现你的社会责任感?【解答】(1)设每条成衣生产线和童装生产线平均每天生产帐篷各x ,y 顶,则210523178x y x y +=⎧⎨+=⎩ 解得:x=41;y=32答:每条成衣生产线平均每天生产帐篷41顶,每条童装生产线平均每天生产帐篷32顶.(2)由3×(4×41+5×32)=972<1000知,即使工厂满负荷全面转产,也不能如期完成任务.可以从加班生产,改进技术等方面进一步挖掘生产潜力,或者动员其他厂家支援等,想法尽早完成生产任务,为灾区人民多做贡献.例3 某商场正在热销2008年北京奥运会吉祥物“福娃”和徽章两种奥运商品,根据下图提供的信息,•求一盒“福娃”玩具和一枚徽章的价格各是多少元?【分析】本题以图文形式提供了部分信息,主要考查学生运用二元一次方程组解决实际问题的能力.【解答】设一盒“福娃”玩具和一枚徽章的价格分别为x 元和y 元.依题意,得214523280x y x y +=⎧⎨+=⎩解这个方程组,得12510x y =⎧⎨=⎩ 故一盒“福娃”玩具的价格为125元,一枚徽章的价格为10元.例4 为满足用水量不断增长的需求,昆明市最近新建甲,乙,•丙三个水厂,这三个水厂的日供水量共计11.8万m 3,•其中乙水厂的日供水量是甲水厂日供水量的3倍,丙水厂的日供水量比甲水厂日供水量的一半还多1万m 3.(1)求这三个水厂的日供水量各是多少万立方米?(2)在修建甲水厂的输水管道的工程中要运走600t 土石,运输公司派出A 型,B •型两种载重汽车,A 型汽车6辆,B 型汽车4辆,分别运5次,可把土石运完;或者A 型汽车3辆,B 型汽车6辆,分别运5次,也可把土石运完,那么每辆A 型汽车,每辆B 型汽车每次运土石各多少吨?(每辆汽车运土石都以准载重量满载)【分析】(1)可设甲水厂的日供水量是x 万m 3,则乙水厂的日供水量是3x 万m 3,丙水厂的日供水量是(12x+1)万m 3,由三个水厂的日供水量总和为11.8万m 3,可列方程x+3x+12x+1=11.8; (2)设每辆A 型汽车每次运土石xt ,B 型车每辆每次运土石yt ,•依题意可列方程组30206001530600x y x y +=⎧⎨+=⎩解方程后可求解.【解答】(1)设甲水厂的供水量是x 万m 3,则乙水厂的日供水量是3x 万m 3,丙水厂的日供水量是(12x+1)万m 3. 由题意得:x+3x+12x+1=11.8,解得x=2.4. 则3x=7.2,x+1=2.2.答:甲水厂日供水量是2.4万m 3,乙水厂日供水量是7.2万m 3,•丙水厂日供水量是2.2万m 3.(2)设每辆A 型汽车每次运土石xt ,每辆B 型汽车每次运土石yt ,由题意得: 30206001530600x y x y +=⎧⎨+=⎩ ∴1015x y =⎧⎨=⎩答:每辆A型汽车每次运土石10t,每辆B型汽车每次运土石15t.【点评】本例系统地考查了一元一次方程和二元一次方程组这两个重要内容,在同一背景下提供不同的动作方案是近年中考应用题的发展方法.。
二元一次方程组的解法1.二元一次方程的概念:含有两个未知数,且含未知数的项的次数为1的整式方程叫做二元一次方程。
例1.下列方程组中,哪些是二元一次方程组_______________判断一个方程是为二元一次方程的三个要素: ①含有两个未知数 ②未知数的次数为1 ③整式方程想一想:二元一次方程的解与一元一次方程的解有什么区别?①二元一次方程的解是成对出现的; ②二元一次方程的解有无数个; ③一元一次方程的解只有一个。
例2 若方程 是二元一次方程,求m 、n 的值. 分析: 变式: 方程 是二元一次方程,试求a 的值. 注意:①含未知项的次数为1; ②含有未知项的系数不能为02.二元一次方程组的解二元一次方程组的解法,即解二元一次方程的方法;今天我们就一起探究一下有什么方法能解二元一次方程组。
练一练:1、若 =-⎧⎨=⎩x 1y 2是关于 x 、y 的方程 5x +ay = 1 的解,则a=( ).2、方程组 +=⎧⎨-=⎩y z 180y z ()的解是 =⎧⎨=⎩y 100z ().3、若关于x 、y 的二元一次方程组––=⎧⎨+=⎩4x 3y 1kx k 1y 3()的解x 与 y 的值相等,则k =( ).3、用一个未知数表示另一个未知数想一想:(1)24x y +=,所以________x =; 2(1)3x y y z +=⎧⎨+=⎩,5(2)6x y xy +=⎧⎨=⎩,7(3)6a b b -=⎧⎨=⎩,2(4)13x y x y +=-⎧⎪⎨-=⎪⎩,52(5)122y x x y=-⎧⎪⎨+=⎪⎩,25(6)312x y -=⎧⎨+=⎩,213257m n x y --+=211321m n -=⎧⎨-=⎩1(2)2a x a y -+-=(2)345x y +=,所以________x =,________y =; (3) 2y x ,所以x =,________y =.总结出用一个未知数表示另一个未知数的方法步骤:①被表示的未知数放在等式的左边,其他的放在等式的右边. ②把被表示的未知数的系数化为1.4.二元一次方程的解法(1)用代入法解二元一次方程组将方程组中的一个方程的某个未知数用含有另一个未知数的代数式表示,并代入到另一个方程中,消去一个未知数,得到一元一次方程,最后求得方程组的解,这种解方程组的方法叫做代入消元法,简称代入法. 代入消元法解方程组的步骤是: ①用一个未知数表示另一个未知数;②把新的方程代入另一个方程,得到一元一次方程(代入消元); ③解一元一次方程,求出一个未知数的值;④把这个未知数的值代入一次式,求出另一个未知数的值; ⑤检验,并写出方程组的解.例3:方程组92x y y x ……①………②ì+=ïïíï=ïî 解:把②代入①得,29x x +=3x 9= 3x =把x=3代入②,得6y =所以,原方程组的解是36x y ì=ïïíï=ïî 总结:解方程组的方法的图解:练一练:1、如果31014x y +=,那么x =________;2、解方程组35,23 1.x y x y ì-=ïïíï-=ïî3、解方程组31014101532x y x y ì+=ïïíï+=ïî3、以⎩⎨⎧-=-=5.05.1y x 为解的方程组是( )A.⎩⎨⎧=-+=--05301y x y x B. ⎩⎨⎧=++=+-05301y x y x C. ⎩⎨⎧-=+=-y x y x 531D. ⎩⎨⎧=+=-531y x y x 4、用代入消元法解下列二元一次方程组:(1)23321y x x y =-⎧⎨+=⎩ (2)⎩⎨⎧-=-=+42357y x y x (3) 233418x yx y ⎧=⎪⎨⎪+=⎩(2)加减消元法:两个二元一次方程中同一未知数的系数相反或相等时,将两个方程的两边分别相加或相减,就能消去这个未知数,得到一个一元一次方程,这种方法叫做加减消元法,简称加减法。
第二讲 二元一次方程组的解法知识要点:(一)二元一次方程(组)的定义1.二元一次方程:含有两个未知数,并且含有两个未知数的项的次数都是1的方程叫做二元一次方程.2.二元一次方程的一个解:适合一个二元一次方程的一组未知数的值,叫做这个二元一次方程的一个解.3.二元一次方程组: 含有两个未知数的两个一次方程所组成的一组方程,叫做二元一次方程组.注意体会二元一次方程组的两个特征:(1)方程组中共含有两个未知数,而每个方程所含未知数的个数可能是2个,也可能是1个;(2)方程组中至少含有两个方程. 每个方程中所含未知数的项的次数是1次.对所给出的二元一次方程,要能熟练的整理成一般形式:⎩⎨⎧=+=+222111c y b x a c y b x a 4.二元一次方程组的解 :二元一次方程组中各个方程的的公共解,叫做这个二元一次方程组的解.即:满足方程组中每个方程的一对未知数的值称为该二元一次方程组的解.(二)二元一次方程组的解法1.代入法:用代入法解二元一次方程组的一般步骤:(1)在方程组中选一个系数比较简单的方程,将这个方程变形成用含一个未知数的代数式来表示另一个未知数的关系式.(2)将这个关系式代入另一个方程,消去一个未知数,得到一个一元一次方程.(3)解这个一元一次方程,求得一个未知数的值.(4)将这个求得的未知数的值,再代入关系式求出另一个未知数的值,并把求得的两个未知数的值用符号“{”联立起来. (5)注意检验.2.加减法:用加减法解二元一次方程组的步骤.(1)方程组的两个方程中,如果同一个未知数的系数既不互为相反数,又不相等,那么就用适当的数乘方程的两边,使同一个未知数的系数互为相反数或相等.(2)把两个方程的两边分别相加或相减,消去一个未知数,得到一个一元一次方程.(3)解这个一元一次方程,求得一个未知数的值.(4)将这个求得的两个未知数的值代入原方程组的任意一个方程中,求出另一个未知数的值,并把求得的两个未知数的值用“{”联立起来. (5)注意检验.典型例题例1 判断下列方程中,哪些是二元一次方程?哪些不是?为什么?(1)123-=-y x ; (2)13121=+y x ; (3)7532=-x ; (4)01=+xy ; (5)x 1+2y=4;例2 判断下列说法是否正确:(1)二元一次方程734=-y x 的解是⎩⎨⎧-==11y x ; (2)⎩⎨⎧=-=01y x 是二元一次方程44-=-y x 的一个解; (3)方程组⎩⎨⎧+==-3203x y y x 是二元一次方程组; (4)方程组⎪⎩⎪⎨⎧=+=+02113y x yx 是二元一次方程组;(5)方程组⎪⎩⎪⎨⎧=-+-==+0333231y x y x y x 是二元一次方程组;(6)方程组⎩⎨⎧=+=+154432z y y x 是二元一次方程组. 例3 已知方程132212=+-+n m y x 是一个二元一次方程,求m 和n 的值.例4 已知方程632=-y x .(1)用含x 的代数式表示y ;(2)当x 取何值时,y 的值为2?例5 试求方程1323=+y x 的正整数解.例6 解方程组⎪⎩⎪⎨⎧=+=+ ② 02141 ① 13y x y x 例7 解方程组:⎩⎨⎧==+② 42-3① 1223y x y x例8 解方程 ⎪⎩⎪⎨⎧+=-=+② 2557① 5531x y y x x 例9 解方程组 ⎩⎨⎧-=+--=+-- ② 1)(5)(2① 21)(7)(6y x y x y x y x例10 解方程组:0.1x -2=y +7=0.7x +y 例11 解方程组⎩⎨⎧=+=② 102① 3:2:y x y x例12 已知代数式q px x ++2,当x =-1时,它的值是-5;当x =-2时,它的值是4,求p 、q 的值.例13 解方程组 ⎪⎩⎪⎨⎧=-+=+-=-+ ③ ②①325232 0z y x z y x z y x 例14 解方程组26553423 =-+=+=+z y x z y z x .例15 已知关于x 、y 的方程组⎩⎨⎧=-=+53ny mx y x 与⎩⎨⎧=-=-512y x my nx 的解相同,求m 、n 的值.经典练习:一.选择题:1.已知x =-2是方程2x +m -4=0的一个解,则m 的值是() (A )8 (B )-8(C )0 (D )2 2.如果2(x +3)的值与3(1-x )的值互为相反数,那么x 等于( ) (A )-8 (B )8 (C )-9(D ) 3.下列是二元一次方程组的是( )(A )⎩⎨⎧=+=81y x xy (B )⎪⎩⎪⎨⎧=-=+13571y x y x (C )⎩⎨⎧-==142z x x y (D )⎩⎨⎧=+=-55343y x y x 4.下列各对数中,是方程2131=+y x 的解是( ) (A )⎩⎨⎧=-=32y x (B )⎩⎨⎧-==23y x (C )⎩⎨⎧-=-=32y x (D )以上都不对 5.从方程组⎩⎨⎧=-=+my m x 54中,求出x 与y 的关系式是( )(A )1-=+y x (B )1=+y x (C )9=+y x (D )9-=+y x二.填空题:1.下列各式:①31=+yx ,②3x =5y ,③164=-y x ,④ 5x +xy =2,⑤ x +4y 2=3,⑥ 7x +3y 属于二元一次方程的有 .2.方程x +2y =7的解有 个,其中正整数解(x 、y 均为正整数的解)有 个,它们是 .3.若52133=-+-n m y x 是二元一次方程,则m = ,n = .4.已知方程组⎩⎨⎧==⎩⎨⎧=-=+214y x a y x y b x 的解是,那么a +b = . 5.若x -y =5,则15-x +y = . 6.若0625=+++-x y x ,则3x +y +1= .7.对于方程24131=+y x ,用含有x 的代数式表示y 为 ,用含有y 的代数式表示x 为 . 8.二元一次方程组⎩⎨⎧=-+=+3)1(134y k kx y x 的解中,x 、y 的值相等,则k = . 9.已知053)422=+++--y x y x (,则x = ,y = .10.若12-x ab 与b a y x 22-+-是同类项,则22y x -= .三.计算题1 ⎩⎨⎧=+-=24352y x x y 2.⎪⎩⎪⎨⎧-=-=-)2(34742a b a b 3.⎩⎨⎧=--=+3231954b a b a 4. ⎩⎨⎧=-+--=-5)1()2(2)1(22y x y x四、解方程组:1. ② 823① 02⎩⎨⎧=+=-y x y x 2. ⎩⎨⎧=+=+② 82 ① 5y x y x 3. ⎩⎨⎧=+-=- 16214y x y x4. ⎪⎩⎪⎨⎧=+=+-10231312y x y x5. ⎪⎩⎪⎨⎧=-+=+11)1(2231y x y x 6.⎪⎩⎪⎨⎧=--+=-++2)(5)(4632y x y x y x y x五、解答题:1.若方程组⎩⎨⎧-=-+=+122323m y x m y x 的解互为相反数,求m 的值.2.在解方程组⎩⎨⎧bx+ay=10x-cy=14时,甲正确地解得⎩⎨⎧x=4y=-2,乙把c 写错而得到⎩⎨⎧x=2y=4,若两人的运算过程均无错误,求a 、b 、c 的值3.小明和小华同时解方程组⎩⎨⎧=-=+1325ny x y mx ,小明看错了m ,解得⎪⎩⎪⎨⎧-==227y x ,小华看错了n ,解得⎩⎨⎧-==73y x ,你能知道原方程组正确的解吗?。
(1)(2)(3)⎩⎨⎧=-=+6441125y x y x (4)(5)(6).(7)(8)⎩⎨⎧=--+=-++0)1(2)1()1(2x y x x x y y x (9)(10)⎪⎪⎩⎪⎪⎨⎧=-++=-++1213222132y x y x(11)已知关于x ,y 的二元一次方程y=kx+b 的解有和.(1)求k ,b 的值.(2)当x=2时,y 的值. (3)当x 为何值时,y=3?(1)(2);(3);(4)(5).(6)(7)(8)(9)(10);(11).在解方程组时,由于粗心,甲看错了方程组中的a ,而得解为,乙看错了方程组中的b,而得解为.(1)甲把a看成了什么,乙把b看成了什么?(2)求出原方程组的正确解.二元一次方程组解法练习题精选参考答案与试卷解读一.解答题(共16小题) 1.求适合的x ,y 的值.考点: 解二元一次方程组. 分析:先把两方程变形(去分母),得到一组新的方程,然后在用加减消元法消去未知数x ,求出y 的值,继而求出x 的值.解答:解:由题意得:,由(1)×2得:3x ﹣2y=2(3), 由(2)×3得:6x+y=3(4), (3)×2得:6x ﹣4y=4(5), (5)﹣(4)得:y=﹣, 把y 的值代入(3)得:x=,∴.点评: 本题考查了二元一次方程组的解法,主要运用了加减消元法和代入法.2.解下列方程组(1)(2)(3)(4).考点: 解二元一次方程组. 分析: (1)(2)用代入消元法或加减消元法均可;(3)(4)应先去分母、去括号化简方程组,再进一步采解答: 解:(1)①﹣②得,﹣x=﹣2,解得x=2,把x=2代入①得,2+y=1, 解得y=﹣1.故原方程组的解为.(2)①×3﹣②×2得,﹣13y=﹣39,解得,y=3,把y=3代入①得,2x ﹣3×3=﹣5, 解得x=2. 故原方程组的解为.(3)原方程组可化为,①+②得,6x=36, x=6,①﹣②得,8y=﹣4, y=﹣.所以原方程组的解为. (4)原方程组可化为:,①×2+②得,x=,把x=代入②得,3×﹣4y=6, y=﹣.所以原方程组的解为.点评: 利用消元法解方程组,要根据未知数的系数特点选择代入①相同未知数的系数相同或互为相反数时,宜用加减法②其中一个未知数的系数为1时,宜用代入法.3.解方程组: 考点: 解二元一次方程组. 专题: 计算题. 分析: 先化简方程组,再进一步根据方程组的特点选用相应的方法:用加减法.解答: 解:原方程组可化为, ①×4﹣②×3,得 7x=42, 解得x=6.把x=6代入①,得y=4. 所以方程组的解为.点评: ;二元一次方程组无论多复杂,解二元一次方程组的基本思想都是消元.消元的方法有代入法和加减法.4.解方程组:考点: 解二元一次方程组. 专题: 计算题. 分析: 把原方程组化简后,观察形式,选用合适的解法,此题用加减法求解比较简单. 解答: 解:(1)原方程组化为,①+②得:6x=18, ∴x=3.代入①得:y=.所以原方程组的解为. 点评: 要注意:两个二元一次方程中同一未知数的系数相反或相等时,把这两个方程的两边相加或相减,就能消去这个未知数,得到一个一元一次方程,这种方法叫做加减消元法.本题适合用此法.5.解方程组:考点: 解二元一次方程组. 专题: 计算题;换元法. 分析: 本题用加减消元法即可或运用换元法求解. 解答:解:, ①﹣②,得s+t=4,①+②,得s ﹣t=6,即, 解得.所以方程组的解为.点评: 此题较简单,要熟练解方程组的基本方法:代入消元法和6.已知关于x ,y 的二元一次方程y=kx+b 的解有和. (1)求k ,b 的值.(2)当x=2时,y 的值.(3)当x 为何值时,y=3? 考点: 解二元一次方程组.专题: 计算题. 分析:(1)将两组x ,y 的值代入方程得出关于k 、b 的二元一法求出k 、b 的值.(2)将(1)中的k 、b 代入,再把x=2代入化简即可得(3)将(1)中的k 、b 和y=3代入方程化简即可得出x解答: 解:(1)依题意得:①﹣②得:2=4k ,所以k=,所以b=.(2)由y=x+, 把x=2代入,得y=.(3)由y=x+把y=3代入,得x=1.点评: 本题考查的是二元一次方程的代入消元法和加减消元法,通过已知条件的代入,可得出要求的数. 7.解方程组: (1);(2).考点: 解二元一次方程组. 分析: 根据各方程组的特点选用相应的方法:(1)先去分母再用加减法,(2)先去括号,再转化为整式方程解答.解答: 解:(1)原方程组可化为, ①×2﹣②得: y=﹣1, 将y=﹣1代入①得: x=1. ∴方程组的解为; (2)原方程可化为, 即,①×2+②得: 17x=51, x=3,将x=3代入x ﹣4y=3中得: y=0.∴方程组的解为.点评: 这类题目的解题关键是理解解方程组的基本思想是消元,消元法.根据未知数系数的特点,选择合适的方法.8.解方程组:考点: 解二元一次方程组. 专题: 计算题.分析: 本题应把方程组化简后,观察方程的形式,选用合适的方解答: 解:原方程组可化为, ①+②,得10x=30, x=3,代入①,得15+3y=15, y=0. 则原方程组的解为.点评: 解答此题应根据各方程组的特点,有括号的去括号,有分元法解方程组.9.解方程组:考点: 解二元一次方程组.专题: 计算题.分析: 本题为了计算方便,可先把(2)去分母,然后运用加减解答:解:原方程变形为:,两个方程相加,得4x=12, x=3.把x=3代入第一个方程,得 4y=11, y=.解之得.点评: 本题考查的是二元一次方程组的解法,方程中含有分母的要先化去分母,再对方程进行化简、消元,即可解出此类题目.10.解下列方程组: (1)(2)考点: 解二元一次方程组. 专题: 计算题.分析: 此题根据观察可知:(1)运用代入法,把①代入②,可得出x ,y 的值;(2)先将方程组化为整系数方程组,再利用加减消元法求解.解答:解:(1),由①,得x=4+y ③,代入②,得4(4+y )+2y=﹣1, 所以y=﹣,把y=﹣代入③,得x=4﹣=.所以原方程组的解为.(2)原方程组整理为, ③×2﹣④×3,得y=﹣24, 把y=﹣24代入④,得x=60, 所以原方程组的解为.点评: 此题考查的是对二元一次方程组的解法的运用和理解,学生可以通过题目的训练达到对知识的强化和运用.11.解方程组:(1)(2)考点: 解二元一次方程组. 专题: 计算题;换元法.分析: 方程组(1)需要先化简,再根据方程组的特点选择解法方程组(2)采用换元法较简单,设x+y=a ,x ﹣y=b ,然解答:解:(1)原方程组可化简为,解得.(2)设x+y=a ,x ﹣y=b , ∴原方程组可化为,解得, ∴∴原方程组的解为.点评: 此题考查了学生的计算能力,解题时要细心.12.解二元一次方程组: (1);(2).考点: 解二元一次方程组.专题: 计算题.分析: (1)运用加减消元的方法,可求出x 、y 的值;(2)先将方程组化简,然后运用加减消元的方法可求出x 、y 的值.解答: 解:(1)将①×2﹣②,得15x=30,x=2,把x=2代入第一个方程,得 y=1.则方程组的解是;(2)此方程组通过化简可得:,①﹣②得:y=7,把y=7代入第一个方程,得 x=5.则方程组的解是.点评: 此题考查的是对二元一次方程组的解法的运用和理解,学生可以通过题目的训练达到对知识的强化和运用. 13.在解方程组时,由于粗心,甲看错了方程组中的a ,而得解为,乙看错了方程组中的b ,而得解为.(1)甲把a 看成了什么,乙把b 看成了什么?(2)求出原方程组的正确解.考点: 解二元一次方程组. 专题: 计算题.分析: (1)把甲乙求得方程组的解分别代入原方程组即可;(2)把甲乙所求的解分别代入方程②和①,求出正确的a 、b ,然后用适当的方法解方程组.解答:解:(1)把代入方程组,得, 解得:.把代入方程组,得,解得:.∴甲把a 看成﹣5;乙把b 看成6; (2)∵正确的a 是﹣2,b 是8, ∴方程组为,解得:x=15,y=8.则原方程组的解是.点评: 此题难度较大,需同学们仔细阅读,弄清题意再解答.14.考点: 解二元一次方程组.分析: 先将原方程组中的两个方程分别去掉分母,然后用加减消解答: 解:由原方程组,得, 由(1)+(2),并解得 x=(3),把(3)代入(1),解得 y=∴原方程组的解为.点评: 用加减法解二元一次方程组的一般步骤: 1.方程组的两个方程中,如果同一个未知数的系数既不互为相反数又不相等,就用适当的数去乘方程的两边,使一个未知数的系数互为相反数或相等; 2.把两个方程的两边分别相加或相减,消去一个未知数,得到一个一元一次方程; 3.解这个一元一次方程; 4.将求出的未知数的值代入原方程组的任意一个方程中,求出另一个未知数,从而得到方程组的解.15.解下列方程组:(1);(2).考点: 解二元一次方程组. 分析: 将两个方程先化简,再选择正确的方法进行消元. 解答: 解:(1)化简整理为, ①×3,得3x+3y=1500③, ②﹣③,得x=350.把x=350代入①,得350+y=500, ∴y=150. 故原方程组的解为.(2)化简整理为, ①×5,得10x+15y=75③, ②×2,得10x ﹣14y=46④, ③﹣④,得29y=29, ∴y=1.把y=1代入①,得2x+3×1=15, ∴x=6.故原方程组的解为.点评: 方程组中的方程不是最简方程的,最好先化成最简方程,再选择合适的方法解方程.16.解下列方程组:(1)(2)考点: 解二元一次方程组. 分析: 观察方程组中各方程的特点,用相应的方法求解. 解答: 解:(1)①×2﹣②得:x=1, 将x=1代入①得:2+y=4, y=2.∴原方程组的解为;(2)原方程组可化为, ①×2﹣②得: ﹣y=﹣3,y=3. 将y=3代入①得: x=﹣2.∴原方程组的解为.点评: 解此类题目要注意观察方程组中各方程的特点,采用。
的x. y 的值.s+y=l 2x+y=3⑵2K -3y=-52y —12弩=4Cx-1)-2(2y+l)=43.解方程组:举-4y=24.解方程组: x+1.y~1 ~2'玄-11-L 2-2(x+2y)=3⑵L L1K +4(x+2y)=45解二元一次方程组练习及答案专题一:二元一次方程组解法精练一.解答题(共16小题)2.解下列方程组(s _t)-2(s+t)=10 5.解方程组上(日一t)+2Cs+t)=266.已知关于x,y 的二元一次方程y 二kx+b 的解有 (1)求k,b 的值. ⑵当x=2时,y 的值. ⑶当x 为何值时,y=3?7.解方程组:2y=3“至_y_7⑴[电文-10;=13_X "12,乙看错了方程组中的b.蓋二- £时,由于粗心,甲看错了方程组中的a,而得解为 (沪5而得解为尸°.(1)甲把a 看成了什么,乙把b 看成了什么? (2)求出原方程组的正确解.亠一空二5 14.I X0.315.解下列方程组:8.解方程组:卩(旳)(K -3y)=159.解方程组:10.解下列方程组: fs-y=4 ⑴4贵 11.解方程组: "T⑵[4(葢十7)-5(K-y)=212.解二元一次方程组: f 9s+2y=20(1).办十4尸10;乜(K -1)-4(y-4)=0⑵占〔厂"二3匕+5)鮎曲+5尸1013.在解方程组(1) 匹站3y=15 “x+1_y+4 ⑵f2x+y=4 16.解下列方程组:(1)时戈产5 p+y=l(2)■20^1+30^25^X2专题二:方程组解法强化训练 ■>二1+尸j3^-2/=6 2(右十为*175x+y+z=145 15 3.x+y —2z-5 仝%+4®二1124.5. 17 r0.25x+3ty+3)=156.匚(工十1)—1.5(^十刀二35 r 3(x-y 十E 二0'mJ4耳+2了+£=3i4 l 税25t+5v+z=6O 盲8.9.—2 4 J2 3 XH -/=60 J y +z =40 x+i=50 10. H 十JJ-H-Z=11<3A +J 二25z=4^11.L》+z -了工二号 5-3^+4-7y=1121」心+5我彳z +z-3j=5 13.乐十》)-4&p )二4土+二=118.21. fi-2j=7y x+1—二36y-1=3fx+|)16.y—1x二y-I2_y+2.2x=+13T" 33(x-0=4(卩一4)17.+500,[60%^+80%-7=500x72%.19.宝”一1)=3(兀+5)20.卜223A-3J-9=^±13r2(z+^+3(x-y)=1322.j-2z+3y=1123.尸(*)亠4决2刃=8724. 25. 弘+»=198jc-3y=6727. =-1=4IZ尹-1=128.30. SI兰工_气2十3-5巧P=〔23-_答案专题一1.x=6"X=1 「K=3、「K=3「⑵•卄8•解万程组:9•解方程组:1歼-1(y=0\y=0工二3114V——3⑷•y=-3•解方程组fl4•解方程组:鳥I尸4,尸亍6••(1)求k,b的值.k二言,b二号•7⑵当x=2时,y的值•把x=2代入,得y=p•(3)当x为何值时,y=3?把y=3代入,得x=1 7•解方程组:10•解下列方程组:17 \=60:'尸-2411•解方程组:⑴12⑵¥二广1712•解二元一次方程组:13.(1)甲把a看成了什么,乙把b看成了什么?fa=-2 [b=6(2)求出原方程组的正确解.P=152•解下列方程组专题二:=50rz=4rz=5K=5[75rz=-70rA=61.2.3.4.5.6.g1715•解下列方程组:⑴16•解下列方程组:⑴rx=-2cm =49.严=35L=2510.厂=30 12.J=_10 严=-17/4K=_19/413r=_5厂=17/15 厂1=714."11⑴15.J=-316.=1厂=20017.J=300 18. J -A =-1/4丫尹=3/819.29/6 -7/422. 23.CI ;rz =2324.f A =-11/2 25.f A =826.5=-127.rz=428.J -A =4.5 29.rz=6.530.。
(1)(2)(3)⎩⎨⎧=-=+6441125y x y x (4)(5)(6).(7)(8)⎩⎨⎧=--+=-++0)1(2)1()1(2x y x x x y y x (9)(10)⎪⎪⎩⎪⎪⎨⎧=-++=-++1213222132y x y x(11)已知关于x ,y 的二元一次方程y=kx+b 的解有和.(1)求k ,b 的值. (2)当x=2时,y 的值. (3)当x 为何值时,y=3(1)(2);(3);(4)(5).(6)(7)(8)(9)(10);(11).在解方程组时,由于粗心,甲看错了方程组中的a ,而得解为,乙看错了方程组中的b,而得解为.(1)甲把a 看成了什么,乙把b 看成了什么(2)求出原方程组的正确解.二元一次方程组解法练习题精选参考答案与试卷解读一.解答题(共16小题) 1.求适合的x ,y 的值.考点: 解二元一次方程组.分析:先把两方程变形(去分母),得到一组新的方程,然后在用加减消元法消去未知数x ,求出y 的值,继而求出x 的值.解答:解:由题意得:,由(1)×2得:3x ﹣2y=2(3), 由(2)×3得:6x+y=3(4), (3)×2得:6x ﹣4y=4(5), (5)﹣(4)得:y=﹣, 把y 的值代入(3)得:x=,∴.点评: 本题考查了二元一次方程组的解法,主要运用了加减消元法和代入法.2.解下列方程组(1)(2)(3)(4).考点: 解二元一次方程组.分析: (1)(2)用代入消元法或加减消元法均可;(3)(4)应先去分母、去括号化简方程组,再进一步采解答: 解:(1)①﹣②得,﹣x=﹣2,解得x=2,把x=2代入①得,2+y=1, 解得y=﹣1.故原方程组的解为.(2)①×3﹣②×2得,﹣13y=﹣39, 解得,y=3,把y=3代入①得,2x ﹣3×3=﹣5, 解得x=2. 故原方程组的解为.(3)原方程组可化为,①+②得,6x=36,x=6,①﹣②得,8y=﹣4, y=﹣.所以原方程组的解为.(4)原方程组可化为:, ①×2+②得,x=,把x=代入②得,3×﹣4y=6, y=﹣.所以原方程组的解为.点评: 利用消元法解方程组,要根据未知数的系数特点选择代入法还是加减法: ①相同未知数的系数相同或互为相反数时,宜用加减法; ②其中一个未知数的系数为1时,宜用代入法.3.解方程组:考点:解二元一次方程组. 专题:计算题. 分析: 先化简方程组,再进一步根据方程组的特点选用相应的方法:用加减法. 解答:解:原方程组可化为,①×4﹣②×3,得7x=42, 解得x=6.把x=6代入①,得y=4.所以方程组的解为.点评:;二元一次方程组无论多复杂,解二元一次方程组的基本思想4.解方程组:考点: 解二元一次方程组.专题: 计算题.分析: 把原方程组化简后,观察形式,选用合适的解法,此题用解答: 解:(1)原方程组化为,①+②得:6x=18, ∴x=3.代入①得:y=.所以原方程组的解为.点评: 要注意:两个二元一次方程中同一未知数的系数相反或相就能消去这个未知数,得到一个一元一次方程,这种方法5.解方程组:考点: 解二元一次方程组.专题: 计算题;换元法.分析: 本题用加减消元法即可或运用换元法求解. 解答:解:,①﹣②,得s+t=4, ①+②,得s ﹣t=6,即, 解得.所以方程组的解为.点评: 此题较简单,要熟练解方程组的基本方法:代入消元法和加减消元法.6.已知关于x ,y 的二元一次方程y=kx+b 的解有和.(1)求k ,b 的值. (2)当x=2时,y 的值. (3)当x 为何值时,y=3考点: 解二元一次方程组. 专题: 计算题.分析: (1)将两组x ,y 的值代入方程得出关于k 、b 的二元一次方程组,再运用加减消元法求出k 、b 的值.(2)将(1)中的k 、b 代入,再把x=2代入化简即可得出y 的值. (3)将(1)中的k 、b 和y=3代入方程化简即可得出x 的值. 解答: 解:(1)依题意得:①﹣②得:2=4k , 所以k=, 所以b=.(2)由y=x+, 把x=2代入,得y=.(3)由y=x+ 把y=3代入,得x=1.点评: 本题考查的是二元一次方程的代入消元法和加减消元法, 7.解方程组: (1);(2).考点: 解二元一次方程组.分析: 根据各方程组的特点选用相应的方法:(1)先去分母再用方程解答.解答:解:(1)原方程组可化为, ①×2﹣②得:y=﹣1, 将y=﹣1代入①得:x=1.∴方程组的解为;(2)原方程可化为, 即,①×2+②得: 17x=51, x=3,将x=3代入x ﹣4y=3中得: y=0.∴方程组的解为.点评: 这类题目的解题关键是理解解方程组的基本思想是消元,掌握消元的方法有:加减消元法和代入消元法.根据未知数系数的特点,选择合适的方法.8.解方程组:考点: 解二元一次方程组. 专题: 计算题.分析: 本题应把方程组化简后,观察方程的形式,选用合适的方法求解.解答:解:原方程组可化为, ①+②,得10x=30, x=3,代入①,得15+3y=15,y=0.则原方程组的解为.点评: 解答此题应根据各方程组的特点,有括号的去括号,有分元法解方程组.9.解方程组:考点: 解二元一次方程组. 专题: 计算题.分析: 本题为了计算方便,可先把(2)去分母,然后运用加减解答:解:原方程变形为:,两个方程相加,得4x=12,x=3.把x=3代入第一个方程,得4y=11, y=.解之得.点评: 本题考查的是二元一次方程组的解法,方程中含有分母的元,即可解出此类题目.10.解下列方程组:(1)(2)考点: 解二元一次方程组. 专题: 计算题.分析: 此题根据观察可知:(1)运用代入法,把①代入②,可得出x ,y 的值;(2)先将方程组化为整系数方程组,再利用加减消元法求解.解答:解:(1), 由①,得x=4+y③,代入②,得4(4+y )+2y=﹣1, 所以y=﹣,把y=﹣代入③,得x=4﹣=.所以原方程组的解为.(2)原方程组整理为,③×2﹣④×3,得y=﹣24, 把y=﹣24代入④,得x=60,所以原方程组的解为.点评: 此题考查的是对二元一次方程组的解法的运用和理解,学生可以通过题目的训练达到对知识的强化和运用.11.解方程组:(1)(2)考点: 解二元一次方程组.专题: 计算题;换元法.分析: 方程组(1)需要先化简,再根据方程组的特点选择解法方程组(2)采用换元法较简单,设x+y=a ,x ﹣y=b ,然解答:解:(1)原方程组可化简为,解得.(2)设x+y=a ,x ﹣y=b ,∴原方程组可化为,解得,∴∴原方程组的解为.点评: 此题考查了学生的计算能力,解题时要细心.12.解二元一次方程组:(1);(2).考点: 解二元一次方程组. 专题: 计算题.分析: (1)运用加减消元的方法,可求出x 、y 的值;(2)先将方程组化简,然后运用加减消元的方法可求出x 、y 的值.解答: 解:(1)将①×2﹣②,得15x=30, x=2,把x=2代入第一个方程,得 y=1.则方程组的解是;(2)此方程组通过化简可得:, ①﹣②得:y=7,把y=7代入第一个方程,得x=5.则方程组的解是.点评: 此题考查的是对二元一次方程组的解法的运用和理解,学生可以通过题目的训练达到对知识的强化和运用.13.在解方程组时,由于粗心,甲看错了方程组中的a ,而得解为,乙看错了方程组中的b ,而得解为.(1)甲把a 看成了什么,乙把b 看成了什么(2)求出原方程组的正确解.考点: 解二元一次方程组. 专题: 计算题.分析: (1)把甲乙求得方程组的解分别代入原方程组即可;(2)把甲乙所求的解分别代入方程②和①,求出正确的解答: 解:(1)把代入方程组,得,解得:.把代入方程组,得,解得:.∴甲把a 看成﹣5;乙把b 看成6;(2)∵正确的a 是﹣2,b 是8, ∴方程组为,解得:x=15,y=8.则原方程组的解是. 点评: 此题难度较大,需同学们仔细阅读,弄清题意再解答.14.考点: 解二元一次方程组.分析: 先将原方程组中的两个方程分别去掉分母,然后用加减消元法求解即可.解答: 解:由原方程组,得,由(1)+(2),并解得 x=(3),把(3)代入(1),解得 y=∴原方程组的解为.点评: 用加减法解二元一次方程组的一般步骤:1.方程组的两个方程中,如果同一个未知数的系数既不互为相反数又不相等,就用适当的数去乘方程的两边,使一个未知数的系数互为相反数或相等;2.把两个方程的两边分别相加或相减,消去一个未知数,得到一个一元一次方程;3.解这个一元一次方程;4.将求出的未知数的值代入原方程组的任意一个方程中,求出另一个未知数,从而得到方程组的解.15.解下列方程组:(1);(2).考点: 解二元一次方程组.分析: 将两个方程先化简,再选择正确的方法进行消元.解答: 解:(1)化简整理为,①×3,得3x+3y=1500③,②﹣③,得x=350.把x=350代入①,得350+y=500,∴y=150. 故原方程组的解为.(2)化简整理为, ①×5,得10x+15y=75③, ②×2,得10x ﹣14y=46④,③﹣④,得29y=29, ∴y=1.把y=1代入①,得2x+3×1=15,∴x=6.故原方程组的解为.点评: 方程组中的方程不是最简方程的,最好先化成最简方程,16.解下列方程组:(1)(2)考点:解二元一次方程组.分析:观察方程组中各方程的特点,用相应的方法求解.解答:解:(1)①×2﹣②得:x=1,将x=1代入①得:2+y=4,y=2.∴原方程组的解为;(2)原方程组可化为,①×2﹣②得:﹣y=﹣3,y=3.将y=3代入①得:x=﹣2.∴原方程组的解为.点评:解此类题目要注意观察方程组中各方程的特点,采用加减法或代入法求解.。
二元一次方程组解法练习题精选(含答案)一.解答题(共16小题)1.求适合的x,y的值.2.解下列方程组(1)(2)(3)(4).解方程组:4.解方程组:5.解方程组:3.6.已知关于x,y的二元一次方程y=kx+b 的解有和.(1)求k,b的值.(2)当x=2时,y的值.(3)当x为何值时,y=3?.7.解方程组:(1);(2).解方程组:9.解方程组:8.10.解下列方程组:(1)(2)11.解方程组:(1)(2)12.解二元一次方程组:(1);(2).13.在解方程组时,由于粗心,甲看错了方程组中的a,而得解为,乙看错了方程组中的b,而得解为.(1)甲把a看成了什么,乙把b看成了什么?(2)求出原方程组的正确解.14.15.解下列方程组:(1);(2).解下列方程组:(1)(2)16..二元一次方程组解法练习题精选(含答案)参考答案与试题解析一.解答题(共16小题)1.求适合的x,y的值.,然后在用加减消元法消去未知数,,2.解下列方程组(1)(2)(3)(4).故原方程组的解为故原方程组的解为)原方程组可化为.所以原方程组的解为,x=,代入×﹣.所以原方程组的解为3.解方程组:解:原方程组可化为所以方程组的解为4.解方程组:)原方程组化为,.所以原方程组的解为5.解方程组:,.所以方程组的解为6.已知关于x,y的二元一次方程y=kx+b的解有和.(1)求k,b的值.(2)当x=2时,y的值.(3)当x为何值时,y=3?的二元一次方程组)依题意得:,.y=x+y=y=x+7.解方程组:(1);(2).)原方程组可化为,;)原方程可化为.8.解方程组:解:原方程组可化为则原方程组的解为9.解方程组:解:原方程变形为:10.解下列方程组:(1)(2))﹣代入﹣=所以原方程组的解为)原方程组整理为所以原方程组的解为11.解方程组:(1)(2),∴原方程组可化为,∴原方程组的解为12.解二元一次方程组:(1);(2).;)此方程组通过化简可得:.13.在解方程组时,由于粗心,甲看错了方程组中的a,而得解为,乙看错了方程组中的b,而得解为.(1)甲把a看成了什么,乙把b看成了什么?(2)求出原方程组的正确解.)把代入方程组.代入方程组.∴方程组为则原方程组的解是14.∴原方程组的解为15.解下列方程组:(1);(2).)化简整理为故原方程组的解为)化简整理为故原方程组的解为16.解下列方程组:(1)(2)∴原方程组的解为)原方程组可化为∴原方程组的解为。
二元一次方程组考点解析考点一二元一次方程(组)的解的概念【例1】已知2,1xy==⎧⎨⎩是二元一次方程组8,1mx nynx my+=-=⎧⎨⎩的解,则2m-n的算术平方根为( )A.4B.2D.±2【解析】把2,1xy==⎧⎨⎩代入方程组8,1mx nynx my+=-=⎧⎨⎩得28,2 1.m nn m+=-=⎧⎨⎩解得3,2.mn==⎧⎨⎩所以2m-n=4,4的算术平方根为2.故选B.【方法归纳】方程(组)的解一定满足原方程(组),所以将已知解代入含有字母的原方程(组),得到的等式一定成立,从而转化为一个关于所求字母的新方程(组),解这个方程(组)即可求得待求字母的值.变式练习1.若方程组,ax y bx by a+=-=⎧⎨⎩的解是1,1.xy==⎧⎨⎩求(a+b)2-(a-b)(a+b)的值.考点二二元一次方程组的解法【例2】解方程组:1 28. x yx y=++=⎧⎨⎩,①②【分析】可以直接把①代入②,消去未知数x,转化成一元一次方程求解.也可以由①变形为x-y=1,再用加减消元法求解.【解答】方法一:将①代入到②中,得2(y+1)+y=8.解得y=2.所以x=3.因此原方程组的解为3,2. xy==⎧⎨⎩方法二:1, 28. x yx y=++=⎧⎨⎩①②对①进行移项,得x-y=1.③②+③得3x=9.解得x=3.将x=3代入①中,得y=2. 所以原方程组的解为3,2. xy==⎧⎨⎩【方法归纳】二元一次方程组有两种解法,我们可以根据具体的情况来选择简便的解法.如果方程中有未知数的系数是1时,一般采用代入消元法;如果两个方程的相同未知数的系数相同或互为相反数时,一般采用加减消元法;如果方程组中的系数没有特殊规律,通常用加减消元法.变式练习2.方程组 25,7213x y x y +=--=⎧⎨⎩的解是__________. 3.解方程组:3419,4.x y x y +=-=⎧⎨⎩①②考点三 由解的关系求方程组中字母的取值范围【例3】若关于x 、y 的二元一次方程组31,33x y a x y +=++=⎧⎨⎩①②的解满足x+y<2,则a 的取值范围为( )A.a<4B.a>4C.a<-4D.a>-4【分析】本题运用整体思想,把二元一次方程组中两个方程相加,得到x 、y 的关系,再根据x+y<2,求得本题答案;也可以按常规方法求出二元一次方程组的解,再由x+y<2求出a 的取值范围,但计算量大.【解答】由①+②,得4x+4y=4+a,x+y=1+4a ,由x+y<2,得1+4a <2,解得a<4.故选A. 【方法归纳】通过观察两个方程,运用整体思想解题,这是中考中常用的解题方法.变式练习4.已知x 、y 满足方程组25,24,x y x y +=+=⎧⎨⎩则x-y 的值为__________.考点四 二元一次方程组的应用【例4】某中学拟组织九年级师生去黄山举行毕业联欢活动.下面是年级组长李老师和小芳、小明同学有关租车问题的对话:李老师:“平安客运公司有60座和45座两种型号的客车可供租用,60座客车每辆每天的租金比45座的贵200元.”小芳:“我们学校八年级师生昨天在这个客运公司租了4辆60座和2辆45座的客车到韶山参观,一天的租金共计5 000元.”小明:“我们九年级师生租用5辆60座和1辆45座的客车正好坐满.”根据以上对话,解答下列问题:(1)平安客运公司60座和45座的客车每辆每天的租金分别是多少元?(2)按小明提出的租车方案,九年级师生到该公司租车一天,共需租金多少元?【分析】(1)根据题目给出的条件得出的等量关系是60座客车每辆每天的租金-45座客车每辆每天的租金=200元,4辆60座一天的租金+2辆45座的一天的租金=5 000元;由此可列出方程组求解;(2)可根据“我们九年级师生租用5辆60座和1辆45座的客车正好坐满”以及(1)的结果来求出答案.【解答】(1)设平安公司60座和45座客车每辆每天的租金分别为x 元,y 元.由题意,得200,425000.x y x y -=+=⎧⎨⎩解得900,700.x y ==⎧⎨⎩ 答:平安客运公司60座和45座的客车每辆每天的租金分别为900元和700元.(2)5×900+1×700=5 200(元).答:九年级师生租车一天共需资金5 200元.1.审题:弄清已知量和未知量;2.列未知数,并根据相等关系列出符合题意的方程;3.解这个方程;4.验根并作答:检验方程的根是否符合题意,并写出完整的答.变式练习5.如图是一个正方体的展开图,标注了字母“a”的面是正方体的正面.如果正方体相对两个面上的代数式的值相等,求x,y的值.6.在某次亚运会中,志愿者们手上、脖子上的丝巾非常美丽.车间70名工人承接了制作丝巾的任务,已知每人每天平均生产手上的丝巾1 800条或者脖子的丝巾1 200条,一条脖子上的丝巾要配两条手上的丝巾.为了使每天生产的丝巾刚好配套,应分配多少名工人生产脖子上的丝巾,多少名工人生产手上的丝巾?复习测试一、选择题(每小题3分,共30分)1.下列方程组中,是二元一次方程组的是( )A.212x yy z+=-+=⎧⎨⎩B.53323x yy x-==+⎧⎨⎩C.512x yxy-==⎧⎨⎩D.2371x yx y-=+=⎧⎨⎩2.方程2x+y=9的正整数解有( )A.1组B.2组C.3组D.4组3.方程组32,3211x yx y-=+=⎧⎨⎩①②的最优解法是( )A.由①得y=3x-2,再代入②B.由②得3x=11-2y,再代入①C.由②-①,消去xD.由①×2+②,消去y4.已知21xy==⎧⎨⎩,是方程组4,ax byax by+=--=⎧⎨⎩的解,那么a,b的值分别为( )A.1,2B.1,-2C.-1,2D.-1,-25.A、B两地相距6 km,甲、乙两人从A、B两地同时出发,若同向而行,甲3 h可追上乙;若相向而行,1 h相遇,A.6336x y x y +=+=⎧⎨⎩B.636x y x y +=-=⎧⎨⎩C.6336x y x y -=+=⎧⎨⎩D.6336x y x y +=-=⎧⎨⎩ 6.足球比赛的记分为:胜一场得3分,平一场得1分,负一场得0分,一队打了14场比赛,负5场,共得19分,那么这个队胜了( )A.3场B.4场C.5场D.6场7.(2014·抚州)已知a 、b 满足方程组22,26,a b a b -=+=⎧⎨⎩则3a+b 的值为( )A.8B.4C.-4D.-88.方程组24,31,7x y x z x y z +=+=++=⎧⎪⎨⎪⎩的解是( )A.221x y z ===⎧⎪⎨⎪⎩B.211x y z ===⎧⎪⎨⎪⎩C.281x y z ⎧=-==⎪⎨⎪⎩D.222x y z ===⎧⎪⎨⎪⎩9.某车间有90名工人,每人每天平均能生产螺栓15个或螺帽24个,已知一个螺栓配套两个螺帽,应该如何分配工人才能使生产的螺栓和螺帽刚好配套?则生产螺栓和生产螺帽的人数分别为( )A.50人,40人B.30人,60人C.40人,50人D.60人,30人10.甲、乙二人收入之比为4∶3,支出之比为8∶5,一年间两人各存5 000元(设两人剩余的钱都存入银行),则甲、乙两人年收入分别为( )A.15 000元,12 000元B.12 000元,15 000元C.15 000元,11 250元D.11 250元,15 000元二、填空题(每小题4分,共20分)11.已知a 、b12.已知2,1x y ==⎧⎨⎩是二元一次方程组7,1mx ny nx my +=-=⎧⎨⎩的解,则m+3n 的立方根为__________.13.孔明同学在解方程组,2y kx b y x =+=-⎧⎨⎩的过程中,错把b 看成了6,他其余的解题过程没有出错,解得此方程组的解为1,2,x y =-=⎧⎨⎩又已知3k+b=1,则b 的正确值应该是__________. 14.已知|x-8y|+2(4y-1)2+|8z-3x|=0,则x=__________,y=__________,z=__________.15.一个两位数的十位数字与个位数字的和为8,若把这个两位数加上18,正好等于将这个两位数的十位数字与个位数字对调后所组成的新两位数,则原来的两位数为__________.三、解答题(共50分)16.(10分)解方程组:(1)251x y x y +=-⎧=⎨⎩,①;② (2)1151.x y z y z x z x y +-=+-=+-⎪⎨=⎧⎪⎩,①,②③17.(8分)吉林人参是保健佳品.某特产商店销售甲、乙两种保鲜人参,甲种人参每棵100元,乙种人参每棵70元.王叔叔用1 200元在此特产商店购买这两种人参共15棵,求王叔叔购买每种人参的棵数.18.(9分)已知方程组53,54x yax y+=+=⎧⎨⎩与方程组25,51x yx by-=+=⎧⎨⎩有相同的解,求a,b的值.19.(11分)食品安全是关乎民生的问题,在食品中添加过量的添加剂对人体有害,但适量的添加剂对人体无害且有利于食品的储存和运输.某饮料加工厂生产的A、B两种饮料均需加入同种添加剂,A饮料每瓶需加该添加剂2克,B 饮料每瓶需加该添加剂3克,已知270克该添加剂恰好生产了A、B两种饮料共100瓶,问A、B两种饮料各生产了多少瓶?20.(12分)某商场计划拨款9万元从厂家购进50台电冰箱,已知该厂家生产三种不同型号的电冰箱,出厂价分别为:甲种每台1 500元,乙种每台2 100元,丙种每台2 500元.(1)某商场同时购进其中两种不同型号电冰箱共50台,用去9万元,请你研究一下商场的进货方案;(2)该商场销售一台甲种电冰箱可获利150元,销售一台乙种电冰箱可获利200元,销售一台丙种电冰箱可获利250元,在同时购进两种不同型号的方案中,为使销售时获利最多,你选择哪种进货方案?参考答案变式练习1.把1,1x y ==⎧⎨⎩代入方程组,ax y b x by a +=-=⎧⎨⎩,得1,1.a b b a +=-=⎧⎨⎩ 整理,得1,1.a b a b -=-+=⎧⎨⎩ ∴(a+b)2-(a-b)(a+b)=12-(-1)×1=2.2.13x y ==-⎧⎨⎩, 3.由②,得x=4+y.③把③代入①,得3(4+y)+4y=19.解得y=1.把y=1代入③,得x=4+1=5.∴原方程组的解为51.x y ==⎧⎨⎩, 4.15.根据题意,得25,5 1.x y x y -=-=+⎧⎨⎩解得3,1.x y ==⎧⎨⎩ 6.设应分配x 名工人生产脖子上的丝巾,y 名工人生产手上的丝巾,由题意得 70,120021800.x y xy +=⨯=⎧⎨⎩解得30,40.x y ==⎧⎨⎩ 答:应分配30名工人生产脖子上的丝巾,40名工人生产手上的丝巾. 复习测试1.B2.D3.C4.D5.D6.C7.A8.C9.C 10.C11.6 12.2 13.-11 14.214 34 15.35 16.(1)①+②,得3x=6.解得x=2.把x=2代入②,得y=1.所以原方程组的解为21.x y ==⎧⎨⎩, (2)①+②+③,得x+y+z=17.④④-①,得2z=6,即z=3.④-②,得2x=12,即x=6.④-③,得2y=16,即y=8.所以原方程组的解是683.x y z ⎧⎪=⎩==⎪⎨,,17.设王叔叔购买甲种人参x 棵,乙种人参y 棵.根据题意,得15x y +=⎧⎨,解得5x =⎧⎨,答:王叔叔购买甲种人参5棵,乙种人参10棵.18.解方程组53,25x y x y +=-=⎧⎨⎩,得1,2.x y ==-⎧⎨⎩将x=1,y=-2代入ax+5y=4,得a=14.将x=1,y=-2代入5x+by=1,得b=2.19.设A 饮料生产了x 瓶,B 饮料生产了y 瓶,依题意得100,23270.x y x y +=+=⎧⎨⎩解得30,70.x y ==⎧⎨⎩答:A 饮料生产了30瓶,B 饮料生产了70瓶.20.(1)①设购进甲种电冰箱x 台,购进乙种电冰箱y 台,根据题意,得50,1500210090000.x y x y +=+=⎧⎨⎩解得25,25.x y ==⎧⎨⎩ 故第一种进货方案是购甲、乙两种型号的电冰箱各25台.②设购进甲种电冰箱x 台,购进丙种电冰箱z 台,根据题意,得50,1500250090000.x z x z +=+=⎧⎨⎩解得35,15.x z ==⎧⎨⎩ 故第二种进货方案是购进甲种电冰箱35台,丙种电冰箱15台. ③设购进乙种电冰箱y 台,购进丙种电冰箱z 台,根据题意,得 50,2100250090000.y z y z +=+=⎧⎨⎩解得87.5,37.5.y z ==-⎧⎨⎩不合题意,舍去. 故此种方案不可行.(2)上述的第一种方案可获利:150×25+200×25=8 750(元),第二种方案可获利:150×35+250×15=9 000(元),因为8 750<9 000,故应选择第二种进货方案,即购进甲种电冰箱35台,乙种电冰箱15台.。
第09讲二元一次方程(组)及解法(核心考点讲与练)一.二元一次方程的定义(1)二元一次方程的定义含有两个未知数,并且含有未知数的项的次数都是1,像这样的方程叫做二元一次方程.(2)二元一次方程需满足三个条件:①首先是整式方程.②方程中共含有两个未知数.③所有未知项的次数都是一次.不符合上述任何一个条件的都不叫二元一次方程.二.二元一次方程的解(1)定义:一般地,使二元一次方程两边的值相等的两个未知数的值,叫做二元一次方程的解.(2)在二元一次方程中,任意给出一个未知数的值,总能求出另一个未知数的一个唯一确定的值,所以二元一次方程有无数解.(3)在求一个二元一次方程的整数解时,往往采用“给一个,求一个”的方法,即先给出其中一个未知数(一般是系数绝对值较大的)的值,再依次求出另一个的对应值.三.解二元一次方程二元一次方程有无数解.求一个二元一次方程的整数解时,往往采用“给一个,求一个”的方法,即先给出其中一个未知数(一般是系数绝对值较大的)的值,再依次求出另一个的对应值.四.二元一次方程组的定义(1)二元一次方程组的定义:由两个一次方程组成,并含有两个未知数的方程组叫做二元一次方程组.(2)二元一次方程组也满足三个条件:①方程组中的两个方程都是整式方程.②方程组中共含有两个未知数.③每个方程都是一次方程.五.二元一次方程组的解(1)定义:一般地,二元一次方程组的两个方程的公共解,叫做二元一次方程组的解.(2)一般情况下二元一次方程组的解是唯一的.数学概念是数学的基础与出发点,当遇到有关二元一次方程组的解的问题时,要回到定义中去,通常采用代入法,即将解代入原方程组,这种方法主要用在求方程中的字母系数.六.解二元一次方程组(1)用代入法解二元一次方程组的一般步骤:①从方程组中选一个系数比较简单的方程,将这个方程组中的一个未知数用含另一个未知数的代数式表示出来.②将变形后的关系式代入另一个方程,消去一个未知数,得到一个一元一次方程.③解这个一元一次方程,求出x(或y)的值.④将求得的未知数的值代入变形后的关系式中,求出另一个未知数的值.⑤把求得的x、y的值用“{”联立起来,就是方程组的解.(2)用加减法解二元一次方程组的一般步骤:①方程组的两个方程中,如果同一个未知数的系数既不相等又不互为相反数,就用适当的数去乘方程的两边,使某一个未知数的系数相等或互为相反数.②把两个方程的两边分别相减或相加,消去一个未知数,得到一个一元一次方程.③解这个一元一次方程,求得未知数的值.④将求出的未知数的值代入原方程组的任意一个方程中,求出另一个未知数的值.⑤把所求得的两个未知数的值写在一起,就得到原方程组的解,用的形式表示.一.二元一次方程的定义(共2小题)1.(2021春•浦东新区期末)在下列方程中,属于二元一次方程的是()A.x2+y=3B.2x=y C.xy=2D.2x+y=z﹣1 2.(2021春•奉贤区期末)观察下列方程其中是二元一次方程是()A.5x﹣y=35B.xy=16C.2x2﹣1=0D.3z﹣2(z+1)=6二.二元一次方程的解(共2小题)3.(2021春•萧山区校级期中)下列四组数值是二元一次方程2x﹣y=6的解的是()A.B.C.D.4.(2021春•浦东新区校级期末)已知是方程2x﹣ky=5的解,那么k=.三.解二元一次方程(共2小题)5.(2021春•闵行区期末)将方程4x﹣3y=5变形为用含y的式子表示x,那么x=.6.(2021春•普陀区期末)将方程x+2y=11变形为用含x的式子表示y,下列变形中正确的是()A.y=B.y=C.x=2y﹣11D.x=11﹣2y四.二元一次方程组的定义(共2小题)7.(2021春•浦东新区期末)下列方程组中,属于二元一次方程组的是()A.B.C.D.8.(2021春•松江区期末)下列方程组中,属于二元一次方程组的是()A.B.C.D.五.二元一次方程组的解(共3小题)9.(2020春•恩平市期末)以为解的二元一次方程组是()A.B.C.D.10.(2021春•杨浦区期末)方程组的解的情况是()A.B.C.无解D.无数组解11.(2018春•宝山区期末)若关于x、y的二元一次方程组的解满足x+y<2,求a的取值范围.六.解二元一次方程组(共7小题)12.(2021秋•普陀区校级月考)对于两个一元多项式(含字母x)来说,当未知数x任取同一个数值时,如果它们所得的值都是相等的,那么就称这两个一元多项式(含字母x)恒等.如:如果两个一元多项式x+2与ax+b(a、b是常数)是恒等的,那么a=1,b=2.请完成下列练习:(1)多项式ax4﹣1与bx2+cx+1具备什么条件时,这两个多项式恒等?(2)如果多项式(a+b)x3+3x2+1与1+x2+10x3恒等,试求a、b的值.13.(2021春•浦东新区校级期末)解方程组:.14.(2021春•浦东新区期末)定义一种新运算“⊕”,规定:x⊕y=ax+by,其中a,b为常数,已知1⊕2=7,2⊕(﹣1)=4,则a⊕b=.15.(2021春•闵行区期末)解方程组:.16.(2021春•闵行区期中)(1)解方程组:;(2)解方程组:.17.(2016春•浦东新区期末)已知m、n满足==2,求m、n的值.18.(2014春•闵行区期中)解方程组:.七.二元一次方程组的应用(共1小题)19.(2021秋•福田区校级期末)目前节能灯在城市已基本普及,某商场计划购进甲、乙两种型号的节能灯共600只,这两种型号的节能灯的进价、售价如表:进价(元/只)售价(元/只)甲型2530乙型4560(1)要使进货款恰好为23000元,甲、乙两种节能灯应各进多少只?(2)如何进货,商场销售完节能灯时获利恰好是进货价的30%,此时利润为多少元?题组A 基础过关练一.选择题(共3小题)1.(2020春•普陀区期末)下列方程中,二元一次方程是( ) A .2x +1=0B .x 2+y =2C .2x ﹣y =1D .x ﹣y +z =12.(2020春•营山县期末)二元一次方程3x +2y =12的解可以是( ) A .B .C .D .3.(2021春•金山区期末)下列方程组中,是二元一次方程组的是( ) A .B .C .D .二.填空题(共10小题)4.(2021春•杨浦区期末)二元一次方程3x +y =8的正整数解是 .5.(2021春•上海期中)将方程2x +5y =7变形为用含y 的式子表示x ,那么x = . 6.(2020•奉贤区二模)二元一次方程x +2y =3的正整数解是 . 7.(2021•闵行区二模)二元一次方程组的解是 .8.(2021春•浦东新区期末)将x +2y =4变形成用含x 的式子表示y ,那么y = .9.(2021春•普陀区期末)使二元一次方程两边的值相等的两个未知数的值,叫做二元一次方程的解.如果一个二元一次方程的解中两个未知数的绝对值相等,那么我们把这个解称做这个二元一次方程的等模解.二元一次方程2x ﹣5y =7的等模解是 .10.(2021春•松江区期末)在二元一次方程3x +y =12的解中,x 和y 是相反数的解是 . 11.(2021春•松江区期末)已知是方程2x +ay =7的一个解,那么a = .12.(2018春•杨浦区校级月考)已知关于x 、y 的二元一次方程(m +1)x +(m +2)y +3﹣2m =0,当m 每取一个值时就有一个方程,而这些方程有一个公共解,则这个公共解为 .分层提分13.(2021春•黄浦区校级月考)方程组的解是.三.解答题(共5小题)14.(2020春•普陀区期末)解方程组:.15.(2020春•浦东新区期末)解方程组:.16.(2018春•杨浦区校级月考)试求方程组的解.17.(2021春•浦东新区期末)解方程组:.18.(2021春•嘉定区期末)解方程组:.题组B 能力提升练一.选择题(共2小题)1.(2021春•萧山区期中)已知关于x,y的方程组,将此方程组的两个方程左右两边分别对应相加,得到一个新的方程,当m每取一个值时,就有一个方程,这些方程有一个公共解,这个公共解为()A.B.C.D.2.(2015•下城区一模)已知方程组的解x为正数,y为非负数,给出下列结论:①﹣3<a≤1;②当时,x=y;③当a=﹣2时,方程组的解也是方程x+y=5+a的解;④若x≤1,则y≥2.其中正确的是()A.①②B.②③C.③④D.②③④二.填空题(共7小题)3.(2020春•普陀区期末)方程2x+y=3的正整数解是.4.(2019春•奉贤区期末)已知是方程2x+ky=1的一个解,那么k的值是.5.(2018春•普陀区期末)把方程x2+4xy﹣5y2=0化为两个二元一次方程,它们是和.6.(2017春•浦东新区期中)如果将方程4x﹣5y=15变形为用含有x的式子表示y,那么y =.7.(2017春•浦东新区校级月考)已知关于x、y的方程2x2m+y n﹣1=1是二元一次方程,那么mn =.8.(2016•浦东新区二模)定义运算“*”:规定x*y=ax+by(其中a、b为常数),若1*1=3,1*(﹣1)=1,则1*2=.9.(2021春•海淀区校级期末)已知方程组的解是,则方程组的解是.三.解答题(共5小题)10.(2019春•浦东新区期末)解方程组:.11.(2018春•浦东新区期末)解方程组:12.(2021春•金乡县期末)阅读材料并回答下列问题:当m,n都是实数,且满足2m=8+n,就称点P(m﹣1,)为“爱心点”.(1)判断点A(5,3),B(4,6)哪个点为“爱心点”,并说明理由;(2)若点C(a,﹣8)也是“爱心点”,请求出a的值;(3)已知p,q为有理数,且关于x,y的方程组解为坐标的点B(x,y)是“爱心点”,求p,q的值.13.(2021春•姑苏区期末)阅读以下内容:已知实数m,n满足m+n=5,且求k的值,三位同学分别提出了以下三种不同的解题思路:甲同学:先解关于m,n的方程组,再求k的值、乙同学:将原方程组中的两个方程相加,再求k的值丙同学:先解方程组,再求k的值(1)试选择其中一名同学的思路,解答此题(2)试说明在关于x、y的方程组中,不论a取什么实数,x+y的值始终不变.14.(2018春•石阡县期中)阅读材料:善于思考的小军在解方程组时,采用了一种“整体代换”的解法:解:将方程②变形:4x+10y+y=5即2(2x+5y)+y=5③把方程①代入③得:2×3+y=5,∴y=﹣1把y=﹣1代入①得x=4,∴方程组的解为.请你解决以下问题:(1)模仿小军的“整体代换”法解方程组;(2)已知x,y满足方程组,求x2+4y2与xy的值.。
第八讲 二元一次方程组
一、知识梳理
(一)二元一次方程组的有关概念
1.二元一次方程:含有两个未知数,并且所含未知数的项的次数都是1的方程叫作二元一次方程。
2.二元一次方程的一个解:适合一个二元一次方程的一对未知数的值,叫这个二元一次方程的一个解。
任何一个二元一次方程都有无数个解。
3.方程组和方程组的解
(1)方程组:由几个方程组成的一组方程叫作方程组。
(2)方程组的解:方程组中各个方程的公共解,叫作这个方程组的解。
4.二元一次方程组和二元一次方程组的解
(1)二元一次方程组:含有两个未知数的两个一次方程所组成的一组方程,叫作二元一次方程组。
(2)二元一次方程组的解:二元一次方程组中各个方程的公共解,叫作这个二元一次方程组的解。
(二)二元一次方程组的解法: 1.代入消元法 2.加减消元法
二、典例剖析
专题一:代入消元法:
1、直接代入 例1 解方程组⎩⎨
⎧=--=.
134,32y x x y
跟踪训练: ⎩⎨
⎧-==+738
25x y y x
2、变形代入
例2 解方程组⎩⎨⎧=+=-.
1043,95y x y x
跟踪训练: ⎩⎨⎧-=--=-.2354,
42y x y x
小结:代入消元法的方法(步骤):
(1)从方程组中选取一个系数比较简单的方程,把其中的某一个未知数用含另一个未知数的式子表示出来.
(2)把(1)中所得的方程代入另一个方程,消去一个未知数. (3)解所得到的一元一次方程,求得一个未知数的值.
(4)把所求得的一个未知数的值代入原方程,求出另一个未知数的值,写出方程组的解.
专题二:加减消元法 例3、解方程组(1)⎩⎨
⎧=+=-524y x y x (2)⎩⎨⎧=-=-322543y x y x (3)⎩⎨
⎧=+=+.
1034,
1353y x y x
跟踪训练:(1) (2)
注意:
⑴当两个方程中同一未知数的系数的绝对值相等或成整数倍时,用加减法较简便. ⑵如果所给(列)方程组较复杂,不易观察,就先变形(去分母、去括号、移项、合并等),再判断用哪种方法消元好. [变式练习]选择适当的方法解下列方程组 (1)⎩⎨⎧=+---=+.5)3()1(2),1(32x y x y (2)⎩⎨⎧-=+---=+--23
)3(5)4(44
)3()4(2y x y x
专题三:有关二元一次方程组以及解的问题: 例4、(1)已知方程2
m -1
n -8(m-2)x +(n+3)y =5是二元一次方程,求m,n 的值。
(2) 求方程x+2y=5在自然数围的解。
⎩⎨
⎧=+=-10
237
24y x y x
[变式练习](1)若方程(2m -6)x |n |-1
+(n +2)y 82
-m =1是二元一次方程,
则m =_______,n =__________.
(2)二元一次方程3a +b =9在正整数围的解的个数是_________.
(3)已知(3x -2y +1)2
与|4x -3y -3|互为相反数,则x =__________,y =________
专题四:字母系数的二元一次方程组
例5:(1)已知关于x,y 的方程组x+y=5m
x-y=9m ⎧⎨⎩
的解满足2x-3y=9,求m 的值。
(2)的值。
求有相同的解与方程组若方程组b a by ax y x y x by ax ,,10
22
4352123⎩⎨⎧=+=+⎩⎨⎧=-=-
(3)若方程组⎩
⎨⎧-=-+=+1223
23m y x m y x 的解互为相反数,求m 的值。
[变式练习]解关于x ,y 的方程组32165410x y k
x y k +=⎧⎨-=-⎩
,并当解满足方程4x -3y =21时的k 值.
例6.已知关于x ,y 的方程组21(1)22(1)3
(2)
ax y a
x a y +=+⎧⎨
+-=⎩,分别求出当a 为何值时,方程
组(1)有唯一一组解;(2)无解;(3)有无穷多组解.
跟踪练习.(1)当a 为何值时,方程组21
33ax y x y +=⎧⎨+=⎩
有唯一的解 ?有无穷多解?
家庭作业
一、解方程组 1.)(1244用代入法解⎩⎨⎧-=+=-y x y x 2.⎩⎨
⎧-=-=-8
2540
76y x x y
3.⎪⎪⎩⎪⎪⎨⎧=+-=-.73
2,143n m n
m 4. 1- = 7625(x+y) - 2(x-y) - 1 = 0x y x y -+⎧⎪
⎨⎪⎩
二、选择题、填空题:
1. 已知⎩⎨
⎧=++=+m
y x m y x 323
53且x 、y 之和为12,则m 等于( )
A. 10
B. 15
C. 20
D. 25 2. 方程72=+y x 在自然数围的解( )
A. 有无数对
B. 只有1对
C. 只有3对
D. 以上都不对 3. 如果5=-y x 且5=-z y 那么x z -的值是( )
A. 5
B. 10
C. -5
D. -10
4. 当___
___x y =⎧⎨
=⎩ 时,代数式26-+y x 与53+-y x 的和与差都是9。
5. 已知14
252
2=+=+y x y x ,则
=
+-++7
3212y x y x ________。
6. 已知二元一次方程组⎩⎨
⎧=-=+7
318
85y x y x ,则=+y x 92________ 。
7. 已知⎩⎨
⎧==3
4
y x 是关于x 、y 的二元一次方程组⎩⎨⎧-=--=+21by x y ax 的解,则a+b= 。
8. 求出方程3x+y=9在正整数围的解是 。
9. 已知⎩
⎨⎧=+-=--030
334z y x z y x 并且0≠z ,则x:z= ,y:z= 。
10. 若关于x 、y 的方程组⎩⎨
⎧-=-=+k
y x k
y x 95432的解x 、y 的和等于5,求k 。
11. 二元一次方程组⎩
⎨⎧=-+=+3)1(1
34y k kx y x 的解中,x 、y 的值相等,求k ,并写出这个方程的整
数解。
12. 已知方程组⎩
⎨⎧=++=+-0620
34z y x z y x ,且xyz ≠0,求x:y:z 的比。
13. 若0543
1
)2(2
=-+-c b c a ,则=c b a ::___________ 。
14.已知方程组⎪⎩⎪
⎨⎧
=--=+10
23215y x a y ax 的解也是方程4049=+y x 的解,则a=_______.
15. 若p 为整数,那么当p=__________时,⎩
⎨⎧=-=+024
2y x py x 的解为正整数。