【】数学物理方法试卷(全答案)
- 格式:doc
- 大小:165.00 KB
- 文档页数:6
数理方法概论试题及参考答案一、简答题(每小题5分,共20分)1. 写出高斯定理⎰⎰⋅∇=⋅SVdV d A S A2. 在斯托克斯定理()⎰⎰⋅⨯∇=⋅SLd A d S l A中, L 是式中那个量的边界线? 3. 定解问题包含那两部分?在数学上,边界条件和初始条件合称为定解条件,数学物理方程本身(不连带定解条件)叫做泛定方程.定解条件提出具体问题,泛定方程提供解决问题的依据,作为一个整体,叫做定解问题. 4. 边界条件有那几类?1) 直接规定边界上的值.这叫做第一类边界条件.()()t ,z ,y ,x f t ,z ,y ,x u S 000=2) 直接规定梯度在边界上的值.这叫做第二类边界条件.()t ,z ,y ,x f nu S000=∂∂3) 规定了边界上的数值与(外)法向导数在边界上的数值之间的一个线性关系.()t ,z ,y ,x f n u H u S 000=⎪⎭⎫ ⎝⎛∂∂+4) 除上述的边界条件外,在求解物理问题时,一般还会遇到所谓的自然边界条件.自然边界条件一般由物理问题本身提出,由于真实的物理量应该是有限的,而在无穷远或坐标原点处的数学的解往往会包含无穷大的解在内,这时从物理上考虑应该舍去这些解,这就构成了上述的自然边界条件.除此之外还有周期性自然边界条件.二、证明题(每小题20分,共40分)1. 证明 ϕϕ2∇≡∇⋅∇ 证: 2222222x y z x y z x y z ϕϕϕϕ⎛⎫⎛⎫∂∂∂∂∂∂∇⋅∇=++⋅++ ⎪ ⎪∂∂∂∂∂∂⎝⎭⎝⎭⎛⎫∂∂∂=++≡∇ ⎪∂∂∂⎝⎭xy z x y z e e e e e e 2. 证明不同阶的勒让德多项式在区间()11+-,上正交.()()()l k dx x P x P lk≠=⎰+-011证明:设本征函数k P 和l P 分别满足勒让德方程()()()()01101122=++⎥⎦⎤⎢⎣⎡-=++⎥⎦⎤⎢⎣⎡-l l k k P l l dx dP x dx d P k k dx dP x dx d前一式乘以l P ,后一式乘以k P ,然后相减得()()()()[]0111122=+-++⎥⎦⎤⎢⎣⎡--⎥⎦⎤⎢⎣⎡-l k l k k lP P l l k k dx dP x dx d P dx dP x dx d P 从1-到1+积分得()()()()11221101111k l l k k l dP dP d d P x P x dx k k l l P Pdx dx dx dx dx ++--⎧⎫⎡⎤⎡⎤=---++-+⎡⎤⎨⎬⎣⎦⎢⎥⎢⎥⎣⎦⎣⎦⎩⎭⎰⎰ ()()()()1122111111k l l k k l dP dP d x P x P dx k k l l P Pdx dx dx dx ++--⎧⎫=---++-+⎡⎤⎨⎬⎣⎦⎩⎭⎰⎰()()()()()()()()222211111111111111k l k l l k l k x x k l k l dP dP dP dP x P x P x P x P dx dx dx dx k k l l P Pdxk k l l P Pdx==-+-+-⎡⎤⎡⎤=-------⎢⎥⎢⎥⎣⎦⎣⎦++-+⎡⎤⎣⎦=+-+⎡⎤⎣⎦⎰⎰当l k ≠时即有:()110k lP Pdx k l +-=≠⎰三、计算题(每小题20分,共40分)1. 研究矩形波(见图1)1(0,)(2,(21))()1(,0)((21),2)m m f x m m ππππππ++⎧=⎨---⎩于以及于以及的频谱.解:根据()01cos sin k k k k x k x f x a a b l l ππ∞=⎛⎫=++ ⎪⎝⎭∑及()1cosln ln n a f d l lπξξξδ-=⎰ ()1sin l n l n b f d l lπξξξ-=⎰这里l π=可以求得:x()()000111(1)10222111cos (cos )cos 0n a f d d d a f n d n d n d ππππππππξξξξπππξξξξξξξπππ----==-+===-+=⎰⎰⎰⎰⎰⎰()[][]00122sin sin cos 22cos 1(1)1n nb f n d n d n n n n n ππππξξξξξξππππππ-===-⎡⎤=-+=--+⎣⎦⎰⎰当 220k n kb == 当 21421(21)k n k b k π+=+=+因此得到该函数的展开式为:04sin(21)()21k k xf x k π∞=+=+∑ 需要注意的是:由于所给函数是奇函数,所以展开式中只有sin 项而没有cos .如果所给函数是偶函数,那么展开式中就只有cos 项而没有sin 项.2. 求0=+''y y λ (0=+''ΦλΦ)满足自然周期条件()()x y x y =+π2 [()()φΦπφΦ=+2]的解.解:方程的系数()()λ==x q ,x p 0在指定的展开中心00=x ,单值函数(),x p 00=和()λ=0x q 是有限的,它们必然是有限的,它们必然在00=x 为解析的.因此,点00=x 是方程的常点.可设() +++++=k k x a x a x a a x y 2210从而()() ++++++='+k k x a k x a x a a x y 123211321()()() +++++⋅+⋅+⋅=''+k k x a k k x a x a a x y 2243212342312把以上的级数代入微分方程.至于()()λ==x q ,x p 0都是只有常数项的泰勒级数,无需再作展开.现在把各个幂次的项分别集合如下令上表各个幂次合并后的系数分别为零,得一系列方程01202=+⋅a a λ 02313=+⋅a a λ03424=+⋅a a λ 04534=+⋅a a λ............... ...............()()0122=++++kk a a k k λ最后一个式子是一般的.所有这些式子指出从kx 项的系数k a 可以推算出2+k x 项的系数2+k a ,因而叫做系数的递推公式.按照递推公式具体进行系数的递推.()()()()()()20312242053122120021112!3!434!545!11112!2!21!kk kkkkkkk k a a a a a a a a a a a a a a a k k k λλλλλλλλ++=-=-=-=+=-=+⋅⋅-=-=-=-=+这样,我们得到方程的解()()()()()()()()()()()()⎥⎦⎤⎢⎣⎡++-+-+-+⎥⎦⎤⎢⎣⎡-+-+-=+ 125312420!1211!51!31!211!41!211k k k kxk x x x a x k x x a x y λλλλλλλλ还需要确定这个级数的收敛半径.其实,上面两个[ ]正是cos θ和sin θ,其收敛半径为无穷大.于是()0y x a =既然1a 是任意常数,λ1a 当然还是任意常数,将λ1a 写成B ,0a 写成A ,则有()y x A B =+这个常微分方程和它的解实际早已知道,这里用级数方法只是为了了解级数解法的步骤.考虑到要满足自然周期条件()()x y x y =+π2则m =λ, 3210,,,m =.所以有解()cos sin y x A mx B mx =+。
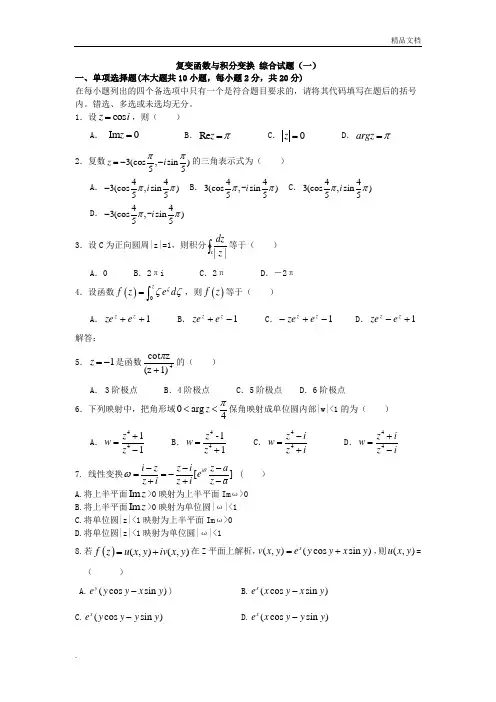
复变函数与积分变换 综合试题(一)一、单项选择题(本大题共10小题,每小题2分,共20分)在每小题列出的四个备选项中只有一个是符合题目要求的,请将其代码填写在题后的括号内。
错选、多选或未选均无分。
1.设cos z i =,则( )A . Im 0z =B .Re z π=C .0z =D .argz π= 2.复数3(cos,sin )55z i ππ=--的三角表示式为( ) A .443(cos ,sin )55i ππ- B .443(cos ,sin )55i ππ- C .443(cos ,sin )55i ππD .443(cos ,sin )55i ππ--3.设C 为正向圆周|z|=1,则积分⎰c z dz||等于( )A .0B .2πiC .2πD .-2π4.设函数()0zf z e d ζζζ=⎰,则()f z 等于( )A .1++z z e zeB .1-+z z e zeC .1-+-z z e zeD .1+-z z e ze 解答:5.1z =-是函数41)(z zcot +π的( )A . 3阶极点B .4阶极点C .5阶极点D .6阶极点 6.下列映射中,把角形域0arg 4z π<<保角映射成单位圆内部|w|<1的为( )A .4411z w z +=-B .44-11z w z =+C .44z i w z i -=+D .44z iw z i +=-7. 线性变换[]i i z z i z ae z i z i z aθω---==-++- ( ) A.将上半平面Im z >0映射为上半平面Im ω>0 B.将上半平面Im z >0映射为单位圆|ω|<1C.将单位圆|z|<1映射为上半平面Im ω>0D.将单位圆|z|<1映射为单位圆|ω|<18.若()(,)(,)f z u x y iv x y =+在Z 平面上解析,(,)(cos sin )xv x y e y y x y =+,则(,)u x y =( )A.(cos sin )ye y y x y -) B.(cos sin )xe x y x y - C.(cos sin )x e y y y y -D.(cos sin )xe x y y y -(cos sin )sin (cos sin cos )x x x ve y y x y e y x ve y y y x y y∂=++∂∂=-+∂[][]cos sin cos cos sin sin cos sin cos sin cos sin (1)x x x iy iy iyz w u v v v i i z x x y xe y y y x y iy y ix y i y e y i y x y ix y iy y y y e e xe iye e z ∂∂∂∂∂=+=+∂∂∂∂∂=-++++=++++-⎡⎤=++⎣⎦=+()()()()cos sin cos sin sin cos z x iy x x w ze x iy e e x iy y i y e x y y y i x y y y u iv+==+=++=-++=+⎡⎤⎣⎦()cos sin x u e x y y y =-9.()1(2)(1)f z z z =--在021z <-< 的罗朗展开式是()A.∑∞=-01n nnz )( B.∑∞=-021n n z )z (C.∑∞=-02n n)z ( D .10(1)(2)nn n z ∞-=--∑10.320cos z z dz ⎰=( )A.21sin9 B.21cos9 C.cos9 D.sin9二、填空题(本大题共6小题,每小题2分,共12分)请在每小题的空格中填上正确答案。
【物理】物理数学物理法题20套(带答案)一、数学物理法1.如图所示,直角MNQ △为一个玻璃砖的横截面,其中90Q ︒∠=,30N ︒∠=,MQ 边的长度为a ,P 为MN 的中点。
一条光线从P 点射入玻璃砖,入射方向与NP 夹角为45°。
光线恰能从Q 点射出。
(1)求该玻璃的折射率;(2)若与NP 夹角90°的范围内均有上述同频率光线从P 点射入玻璃砖,分析计算光线不能从玻璃砖射出的范围。
【答案】(1)2;(2)312a - 【解析】 【详解】(1)如图甲,由几何关系知P 点的折射角为30°。
则有sin 452sin 30n ==o o(2)如图乙,由折射规律结合几何关系知,各方向的入射光线进入P 点后的折射光线分布在CQB 范围内,设在D 点全反射,则DQ 范围无光线射出。
D 点有1sin n α=解得45α=︒由几何关系知DQ EQ ED =-,12ED EP a ==,32EQ a = 解得312DQ a -=2.如图,在长方体玻璃砖内部有一半球形气泡,球心为O ,半径为R ,其平面部分与玻璃砖表面平行,球面部分与玻璃砖相切于O '点。
有-束单色光垂直玻璃砖下表面入射到气泡上的A 点,发现有一束光线垂直气泡平面从C 点射出,已知OA =32R ,光线进入气泡后第一次反射和折射的光线相互垂直,气泡内近似为真空,真空中光速为c ,求: (i )玻璃的折射率n ;(ii )光线从A 在气泡中多次反射到C 的时间。
【答案】(i )3n =;(ii )3t R c=【解析】 【分析】 【详解】(i )如图,作出光路图根据折射定律可得sin sin n θα=①根据几何知识可得3sin OA R θ==② 90αθ+=︒ ③联立解得3n =④玻璃的折射率为3。
(ii )光从A 经多次反射到C 点的路程322R Rs R R R =+++=⑤ 时间st c=⑥ 得3t R c=光线从A 在气泡中多次反射到C 的时间为3R c。
《 数学物理方法 》试题(A 卷)说明:本试题共3页四大题,30小题。
1.z 为复数,则( )。
A ln z 没有意义;B ln z 为周期函数;C Ln z 为周期函数;D ln()ln z z -=-。
2.下列积分不为零的是( )。
A 0.51z dz z π=+⎰; B 20.51z dz z π=-⎰; C10.5z dzz π=+⎰; D211z dz z π=-⎰。
3.下列方程是波动方程的是( )。
A 2tt xx u a u f =+; B 2t xx u a u f =+;C 2t xx u a u =; D2tt x u a u =。
4.泛定方程2tt x u a u =要构成定解问题,则应有的初始条件个数为( )。
A 1个;B 2个;C 3个;D 4个。
5.二维拉普拉斯方程的定解问题是( )。
A 哥西问题; B 狄拉克问题; C 混合问题; D 狄里克雷问题。
6.一函数序列的序参量n趋于某值a时有()(,)()()n ax f n x dx x f x dx ϕϕ→−−−→⎰⎰则我们称( )。
A (,)f n x 收敛于()f x ;B (,)f n x 绝对收敛于()f x ;C (,)f n x 弱收敛于()f x ;D (,)f n x 条件收敛于()f x 。
7.傅里叶变换在物理学和信息学中能实现( )。
A 脉冲信号的高斯展宽;B 高斯信号压缩成脉冲信号;C 实空间信号的频谱分析;D 复频信号的单频滤波。
8.用分离变量法求解偏微分方程定解问题的一般步骤是( )。
A 分离变量 解单变量本征值问题 得单变量解得分离变量解; B 分离变量 得单变量解 解单变量本征值问题 得分离变量解; C 解单变量本征值问题 得单变量解 分离变量 得分离变量解; D 解单变量本征值问题 分离变量 得单变量解 得分离变量解。
9.下列表述中不正确的是( )。
A 3sin zz 在0z =处是二阶极点;B 某复变函数在开复平面内有有限个奇点,所有这些奇点的残数之和为零;C 残数定理表明,解析函数的围线积分为复数;D 某复变函数在某处为m 阶极点,则其倒函数在该奇点处为m 阶零点。
数学物理法练习题含答案及解析一、数学物理法1.如图所示,一半径为R 的光滑绝缘半球面开口向下,固定在水平面上.整个空间存在磁感应强度为B 、方向竖直向下的匀强磁场.一电荷量为q (q >0)、质量为m 的小球P 在球面上做水平的匀速圆周运动,圆心为O ′.球心O 到该圆周上任一点的连线与竖直方向的夹角为θ(02πθ<<).为了使小球能够在该圆周上运动,求磁感应强度B 的最小值及小球P相应的速率.(已知重力加速度为g )【答案】min 2cos m g B q R θ=cos gRv θθ=【解析】 【分析】 【详解】据题意,小球P 在球面上做水平的匀速圆周运动,该圆周的圆心为O’.P 受到向下的重力mg 、球面对它沿OP 方向的支持力N 和磁场的洛仑兹力f =qvB ①式中v 为小球运动的速率.洛仑兹力f 的方向指向O’.根据牛顿第二定律cos 0N mg θ-= ②2sin sin v f N mR θθ-= ③ 由①②③式得22sin sin 0cos qBR qR v v m θθθ-+=④由于v 是实数,必须满足222sin 4sin ()0cos qBR qR m θθθ∆=-≥ ⑤由此得2cos m gB q R θ≥⑥可见,为了使小球能够在该圆周上运动,磁感应强度大小的最小值为min 2cos m gB q R θ=⑦此时,带电小球做匀速圆周运动的速率为min sin 2qB R v m θ=⑧由⑦⑧式得sin cos gRv θθ=⑨2.如右图所示,一位重600N 的演员,悬挂在绳上.若AO 绳与水平方向的夹角为37︒,BO 绳水平,则AO 、BO 两绳受到的力各为多大?若B 点位置往上移动,则BO 绳的拉力如何变化?(孩子:你可能需要用到的三角函数有:3375sin ︒=,4cos375︒=,3374tan ︒=,4373cot ︒=)【答案】AO 绳的拉力为1000N ,BO 绳的拉力为800N ,OB 绳的拉力先减小后增大. 【解析】试题分析:把人的拉力F 沿AO 方向和BO 方向分解成两个分力,AO 绳上受到的拉力等于沿着AO 绳方向的分力,BO 绳上受到的拉力等于沿着BO 绳方向的分力.根据平衡条件进行分析即可求解.把人的拉力F 沿AO 方向和BO 方向分解成两个分力.如图甲所示由平衡条件得:AO 绳上受到的拉力为21000sin 37OA GF F N ===oBO 绳上受到的拉力为1cot 37800OB F F G N ===o若B 点上移,人的拉力大小和方向一定不变,利用力的分解方法作出力的平行四边形,如图乙所示:由上图可判断出AO 绳上的拉力一直在减小、BO 绳上的拉力先减小后增大.3.质量为M 的木楔倾角为θ (θ < 45°),在水平面上保持静止,当将一质量为m 的木块放在木楔斜面上时,它正好匀速下滑.当用与木楔斜面成α角的力F 拉木块,木块匀速上升,如图所示(已知木楔在整个过程中始终静止).(1)当α=θ时,拉力F 有最小值,求此最小值; (2)求在(1)的情况下木楔对水平面的摩擦力是多少? 【答案】(1)min sin 2F mg θ= (2)1sin 42mg θ 【解析】 【分析】(1)对物块进行受力分析,根据共点力的平衡,利用正交分解,在沿斜面和垂直斜面两方向列方程,进行求解.(2)采用整体法,对整体受力分析,根据共点力的平衡,利用正交分解,分解为水平和竖直两方向列方程,进行求解. 【详解】木块在木楔斜面上匀速向下运动时,有mgsin mgcos θμθ=,即tan μθ= (1)木块在力F 的作用下沿斜面向上匀速运动,则:Fcos mgsin f αθ=+N Fsin F mgcos αθ+=N f F μ=联立解得:()2mgsin F cos θθα=-则当=αθ时,F 有最小值,2min F mgsin =θ(2)因为木块及木楔均处于平衡状态,整体受到地面的摩擦力等于F 的水平分力,即()f Fcos αθ='+当=αθ时,12242f mgsin cos mgsin θθθ='=【点睛】木块放在斜面上时正好匀速下滑隐含动摩擦因数的值恰好等于斜面倾角的正切值,当有外力作用在物体上时,列平行于斜面方向的平衡方程,求出外力F的表达式,讨论F取最小值的条件.4.如图所示,长为3l的不可伸长的轻绳,穿过一长为l的竖直轻质细管,两端拴着质量分别为m、2m的小球A和小物块B,开始时B先放在细管正下方的水平地面上.手握细管轻轻摇动一段时间后,B对地面的压力恰好为零,A在水平面内做匀速圆周运动.已知重力加速度为g,不计一切阻力.(1)求A做匀速圆周运动时绳与竖直方向夹角θ;(2)求摇动细管过程中手所做的功;(3)轻摇细管可使B在管口下的任意位置处于平衡,当B在某一位置平衡时,管内一触发装置使绳断开,求A做平抛运动的最大水平距离.【答案】(1)θ=45°;(2)2(1)4mgl-;(3) 2l。
物理数学方法试题及答案一、选择题(每题2分,共10分)1. 以下哪项不是傅里叶变换的性质?A. 线性B. 可逆性C. 尺度变换D. 能量守恒答案:D2. 拉普拉斯变换的收敛区域是:A. 左半平面B. 右半平面C. 全平面D. 虚轴答案:B3. 以下哪项是线性微分方程的特征?A. 可解性B. 唯一性C. 线性叠加原理D. 非线性答案:C4. 在复数域中,以下哪个表达式表示复数的模?A. |z|B. z^2C. z*zD. z/|z|答案:A5. 以下哪个函数是奇函数?A. f(x) = x^2B. f(x) = x^3C. f(x) = sin(x)D. f(x) = cos(x)答案:B二、填空题(每题3分,共15分)1. 傅里叶级数展开中,周期函数的系数可以通过______计算得到。
答案:傅里叶系数2. 拉普拉斯变换中,s = σ + jω代表的是______。
答案:复频域3. 线性微分方程的解可以表示为______的线性组合。
答案:特解4. 复数z = a + bi的共轭复数是______。
答案:a - bi5. 波动方程的一般解可以表示为______和______的函数。
答案:空间变量;时间变量三、简答题(每题5分,共20分)1. 简述傅里叶变换和拉普拉斯变换的区别。
答案:傅里叶变换主要用于处理周期信号,将时间域信号转换到频域;而拉普拉斯变换适用于非周期信号,将时间域信号转换到复频域。
2. 什么是波动方程?请给出其一般形式。
答案:波动方程是描述波动现象的偏微分方程,一般形式为∂²u/∂t² = c²∂²u/∂x²,其中u是波函数,c是波速。
3. 请解释什么是特征值和特征向量,并给出一个例子。
答案:特征值是线性变换中,使得变换后的向量与原向量方向相同(或相反)的标量。
特征向量则是对应的非零向量。
例如,对于矩阵A,如果存在非零向量v和标量λ,使得Av = λv,则λ是A的特征值,v是对应的特征向量。
(物理)物理数学物理法题20套(带答案)含解析一、数学物理法1.如图所示,在竖直边界1、2间倾斜固定一内径较小的光滑绝缘直管道,其长度为L ,上端离地面高L ,下端离地面高2L.边界1左侧有水平向右的匀强电场,场强大小为E 1(未知),边界2右侧有竖直向上的场强大小为E 2(未知)的匀强电场和垂直纸面向里的匀强磁场(图中未画出).现将质量为m 、电荷量为q 的小球从距离管上端口2L 处无初速释放,小球恰好无碰撞进入管内(即小球以平行于管道的方向进入管内),离开管道后在边界2右侧的运动轨迹为圆弧,重力加速度为g . (1)计算E 1与E 2的比值;(2)若小球第一次过边界2后,小球运动的圆弧轨迹恰好与地面相切,计算满足条件的磁感应强度B 0;(3)若小球第一次过边界2后不落到地面上(即B >B 0),计算小球在磁场中运动到最高点时,小球在磁场中的位移与小球在磁场中运动时间的比值.(若计算结果中有非特殊角的三角函数,可以直接用三角函数表示)【答案】(131;(23(23)m gL -;(3)36gL︒【解析】 【分析】根据题意,粒子先经过电场,做匀加速直线运动,在进入管中,出来以后做匀速圆周运动,画出物体的运动轨迹,再根据相关的公式和定理即可求解。
【详解】(1)设管道与水平面的夹角为α,由几何关系得:/21sin 2L L L α-== 解得:30︒=α由题意,小球在边界1受力分析如下图所示,有:1tan mg qE α=因小球进入边界2右侧区域后的轨迹为圆弧,则有:mg =qE 2解得比值:E 1 :E 2=3:1(2)设小球刚进入边界2时速度大小为v ,由动能定理有:2113sin302cos302mg L E q L mv ︒︒⋅+⋅=联立上式解得:3v gL =设小球进入E 2后,圆弧轨迹恰好与地面相切时的轨道半径为R ,如下图,由几何关系得:cos30+2L R R ︒= 代入数据解得:(23)R L =+洛伦兹力提供向心力,由牛顿第二定律得:20v qvB m R=代入数据解得:03(23)m gLB -=(3)如下图,设此时圆周运动的半径为r ,小球在磁场中运动到最高点时的位移为:2cos15S r ︒=⋅圆周运动周期为:2rT vπ=则小球运动时间为:712t T =解得比值:362cos15cos15712gLS rt T︒==︒【点睛】考察粒子在复合场中的运动。
《数学物理方法》试卷(A 卷)参考答案姓名: 学号:题号 一 二 三 四 五 六 七八 总分 得分注:本试卷共一页,共八大题。
答案请做在答题纸上,交卷时,将试题纸与答题纸填好姓名与学号,必须同时交齐,否则考卷作废!可能用到的公式:1). (2l +1)xP l (x )=lP l −1(x )+(l +1)P l+1(x ), 2). P 0(x )=1, P 1(x )=x ;3))(~)]([00k k f x f eF xik −=;4))]([1])([x f F ikd f F x=∫∞−ξξ; 5).])1(1[2sin )(I 333n ln l xdx l n x l x −−=−=∫ππ一、 简答下列各题。
(12分,每题6分)1. 试在复平面上画出3)arg(0π<−<i z ,4Re 2<<z 点集的区域。
解:如图阴影部分为所求区域 (6分)2. 填空题:函数3)2)(1()(i z z z f +−=是单值的还是多值的?多值的(1分);若是多值,是几值?3值(2分);其支点是什么?1,-2i ,∞(3分)。
二、 (9分) 试指出函数3sin )(zzz z f −=的奇点(含ㆀ点)属于哪一类奇点? 解:22112033)12()1(])12()1([1sin )(−∞=+∞=∑∑+−=+−−=−=n n nn n n n n n z n z z z z z z f (3分) z=0为f (z )的可去奇点;(3分)z=∞为f (z )的本性奇点;(3分)三、 (9分) 已知解析函数f (z ) = u (x ,y ) + iv (x ,y )的虚部v (x,y ) = cos x sh y , 求f (z )= ? 解:由C-R 条件x y x v yy x u y y x v x y x u ∂∂−=∂∂∂∂=∂∂),(),(,),(),( (3分)得 u x (x,y ) = v y (x,y ) = cos x ch y u y (x,y ) = −v x (x,y ) = sin x sh y (3分)高数帮帮数帮高数帮高f (z ) = f (x +iy ) = u (x ,y ) + iv (x ,y ) = sin x ch y +i cos x sh y + c上式中令 x=z, y=0, 则 f (z ) = f (z+i0) = sinz + c (3分)四、 (10分) 求积分dz z e I Lz∫−=6)1(其中曲线L 为(a)圆周21=z ;(b)圆周2=z 解:(a) 6)1()(−=z e z f z 在圆周21=z 内解析,I = 0;(5分) (b) 在圆周2=z 内有一奇点,I = 2πiRes f (1)= 2π i !52)1()1()!16(166551lim e i z e z dx d z z π=−−−→(5分) 五、 (10分) 计算拉普拉斯变换?]2sin [=t t L (提示:要求书写计算过程)解:已知 42]2[sin ,][sin 222+=+=p t L p t L 也即ωωω(2分) 由象函数微分定理)3(4)(4p4)(4p ]2sin []2sin )[()2(4)(4p )42(]2sin )[()3(,)()1()]()[(2222222分分分+=+−−=−=−∴+−=+=−−=−p p t t L t t L p p dp d t t L p f dp d t f t L nnnn六、 (15分) 将f (x )= (35/8)x 4 + 5x 3−(30/8)x 2 +(10/3)x +1展开为以{ P l (x ) }基的广义付里叶级数。
【物理】物理数学物理法题20套(带答案)含解析一、数学物理法1. 两块平行正对的水平金属板AB, 极板长 , 板间距离 , 在金属板右端竖直边界MN 的右侧有一区域足够大的匀强磁场, 磁感应强度 , 方向垂直纸面向里。
两极板间电势差UAB 随时间变化规律如右图所示。
现有带正电的粒子流以 的速度沿水平中线 连续射入电场中, 粒子的比荷 , 重力忽略不计, 在每个粒子通过电场的极短时间内, 电场视为匀强电场(两板外无电场)。
求:(1)要使带电粒子射出水平金属板, 两金属板间电势差UAB 取值范围;(2)若粒子在距 点下方0.05m 处射入磁场, 从MN 上某点射出磁场, 此过程出射点与入射点间的距离 ;(3)所有粒子在磁场中运动的最长时间t 。
【答案】(1)100V 100V AB U -≤≤;(2)0.4m ;(3) 69.4210s -⨯ 【解析】 【分析】 【详解】(1)带电粒子刚好穿过对应偏转电压最大为 , 此时粒子在电场中做类平抛运动, 加速大小为a,时间为t1。
水平方向上01L v t =①竖直方向上21122d at =② 又由于mU qma d=③ 联立①②③得m 100V U =由题意可知, 要使带电粒子射出水平金属板, 两板间电势差100V 100V AB U -≤≤(2)如图所示从 点下方0.05m 处射入磁场的粒子速度大小为v, 速度水平分量大小为 , 竖直分量大小为 , 速度偏向角为θ。
粒子在磁场中圆周运动的轨道半径为R, 则2mv qvB R=④ 0cos v v θ=⑤2cos y R θ∆=⑥联立④⑤⑥得20.4m mv y qB∆== (3)从极板下边界射入磁场的粒子在磁场中运动的时间最长。
如图所示粒子进入磁场速度大小为v1, 速度水平分量大小为 , 竖直分量大小为vy1, 速度偏向角为α, 则对粒子在电场中011L v t =⑦11022y v d t +=⑧ 联立⑦⑧得101y v v =101tan y v v α=得π4α=粒子在磁场中圆周运动的轨道半径为 , 则211mv qv B R ='⑨ 1mv R qB'=⑩ 带电粒子在磁场中圆周运动的周期为T12π2πR m T v qB'==⑪在磁场中运动时间2π(π2)2πt T α--=⑫联立⑪⑫得663π10s 9.4210s t --=⨯=⨯2. 如图, 在长方体玻璃砖内部有一半球形气泡, 球心为O, 半径为R, 其平面部分与玻璃砖表面平行, 球面部分与玻璃砖相切于O'点。
【物理】物理数学物理法题20套(带答案)含解析一、数学物理法1.如图所示,身高h =1.7 m 的人以v =1 m/s 的速度沿平直路面远离路灯而去,某时刻人的影长L 1=1.3 m ,2 s 后人的影长L 2=1.8 m .(1)求路灯悬吊的高度H .(2)人是远离路灯而去的,他的影子的顶端是匀速运动还是变速运动? (3)在影长L 1=1.3 m 和L 2=1.8 m 时,影子顶端的速度各是多大? 【答案】(1)8.5m (2)匀速运动(3)1.25/m s 【解析】 【分析】(1)匀匀速运动,画出运动图景,结合几何关系列式求解; (2)(3)根据比例法得到影子的顶端的速度的表达式进行分析即可. 【详解】(1)画出运动的情景图,如图所示:根据题意,有:CD=1.3m EF=1.8m CG=EH=1.7m ;CE=vt=2m ;BF=BC+3.8m 根据几何关系: 1.3CG CDAB BC +=3.8EH EFAB BC += 可得:H=AB=8.5m ;(2)设影子在t 时刻的位移为x ,则有: x vt hx H-=, 得:x=HH h-vt , 影子的位移x 是时间t 的一次函数,则影子顶端是匀速直线运动; (3)由(2)问可知影子的速度都为v′= x Hv tH h=-=1.25m/s ;【点睛】本题关键是结合光的直线传播,画出运动的图景,结合几何关系列式分析,注意光的传播时间是忽略不计的.2.在地面上方某一点分别以和的初速度先后竖直向上抛出两个小球(可视为质点),第二个小球抛出后经过时间与第一个小球相遇,要求相遇地点在抛出点或抛出点以上,改变两球抛出的时间间隔,便可以改变值,试求(1)若,的最大值 (2)若,的最大值【答案】(1)(2)22212v v v t g -∆=-【解析】 试题分析:(1)若,取最大值时,应该在抛出点处相遇 ,则最大值(2)若,取最大值时,应该在第一个小球的上抛最高点相遇,解得,分析可知,所以舍去最大值22212v v v t g -∆=考点:考查了匀变速直线运动规律的应用【名师点睛】本题的解题是判断并确定出△t 取得最大的条件,也可以运用函数法求极值分析.3.图示为一由直角三角形ABC 和矩形CDEA 组成的玻璃砖截面图。
2024自考数学物理方法试卷
一、在数学物理方法中,以下哪种方法常用于求解常微分方程?
A. 分离变量法
B. 矩阵运算法
C. 傅里叶级数展开
D. 拉普拉斯变换(答案:A)
二、关于波动方程,以下哪个描述是正确的?
A. 它是描述流体流动的方程
B. 它是描述电磁波传播的方程
C. 它是描述热传导的方程
D. 它是描述物体静力学平衡的方程(答案:B)
三、在复变函数中,若函数满足柯西-黎曼方程,则该函数是?
A. 实函数
B. 虚函数
C. 解析函数
D. 调和函数(答案:C)
四、以下哪个积分变换在信号处理中常用于将时间域信号转换为频率域信号?
A. 傅里叶变换
B. 拉普拉斯变换
C. 梅林变换
D. 希尔伯特变换(答案:A)
五、在求解偏微分方程时,以下哪种方法属于数值解法?
A. 分离变量法
B. 特征函数法
C. 有限差分法
D. 行波法(答案:C)
六、关于贝塞尔函数,以下哪个描述是正确的?
A. 它是描述圆周运动的函数
B. 它是描述波动现象的函数
C. 它是描述圆柱坐标系中波动方程的解
D. 它是描述热传导方程的解(答案:C)
七、在量子力学中,波函数满足的方程是?
A. 牛顿运动方程
B. 麦克斯韦方程组
C. 薛定谔方程
D. 爱因斯坦场方程(答案:C)
八、以下哪个概念在变分法中用于描述函数极值的问题?
A. 泛函
B. 算子
C. 特征值
D. 本征函数(答案:A)。
最新物理数学物理法题20套(带答案)一、数学物理法1.一透明柱体的横截面如图所示,圆弧AED 的半径为R 、圆心为O ,BD ⊥AB ,半径OE ⊥AB 。
两细束平行的相同色光1、2与AB 面成θ=37°角分别从F 、O 点斜射向AB 面,光线1经AB 面折射的光线恰好通过E 点。
已知OF =34R ,OB =38R ,取sin370.6︒=,cos 370.8︒=。
求:(1)透明柱体对该色光的折射率n ;(2)光线2从射入柱体到第一次射出柱体的过程中传播的路程x 。
【答案】(1)43;(2)54R 【解析】 【分析】 【详解】(1)光路图如图:根据折射定律sin(90)sin n θα︒-=根据几何关系3tan 4OF OE α== 解得37α︒= 43n =(2)该色光在柱体中发生全反射时的临界角为C ,则13sin 4C n == 由于sin sin(90)sin 530.8sin a C β︒︒=-==>光线2射到BD 面时发生全反射,根据几何关系3tan 82REH OE OH R R β=-=-=可见光线2射到BD 面时发生全反射后恰好从E 点射出柱体,有sin OBOGα= 根据对称性有2x OG =解得54x R =2.如右图所示,一位重600N 的演员,悬挂在绳上.若AO 绳与水平方向的夹角为37︒,BO 绳水平,则AO 、BO 两绳受到的力各为多大?若B 点位置往上移动,则BO 绳的拉力如何变化?(孩子:你可能需要用到的三角函数有:3375sin ︒=,4cos375︒=,3374tan ︒=,4373cot ︒=)【答案】AO 绳的拉力为1000N ,BO 绳的拉力为800N ,OB 绳的拉力先减小后增大. 【解析】试题分析:把人的拉力F 沿AO 方向和BO 方向分解成两个分力,AO 绳上受到的拉力等于沿着AO 绳方向的分力,BO 绳上受到的拉力等于沿着BO 绳方向的分力.根据平衡条件进行分析即可求解.把人的拉力F 沿AO 方向和BO 方向分解成两个分力.如图甲所示由平衡条件得:AO 绳上受到的拉力为21000sin 37OA GF F N === BO 绳上受到的拉力为1cot 37800OB F F G N ===若B 点上移,人的拉力大小和方向一定不变,利用力的分解方法作出力的平行四边形,如图乙所示:由上图可判断出AO 绳上的拉力一直在减小、BO 绳上的拉力先减小后增大.3.如图所示,在x ≤0的区域内存在方向竖直向上、电场强度大小为E 的匀强电场,在x >0的区域内存在方向垂直纸面向外的匀强磁场。
嘉应学院物理系《数学物理方法》B 课程考试题一、简答题(共70分)1、试阐述解析延拓的含义。
解析延拓的结果是否唯一?(6分)解析延拓就是通过函数的替换来扩大解析函数的定义域。
替换函数在原定义域上与替换前的函数相等。
无论用何种方法进行解析延拓,所得到的替换函数都完全等同。
2、奇点分为几类?如何判别?(6分)在挖去孤立奇点Zo而形成的环域上的解析函数F(z)的洛朗级数,或则没有负幂项,或则只有有限个负幂项,或则有无限个负幂项,我们分别将Zo称为函数F(z)的可去奇点,极点及本性奇点。
判别方法:洛朗级数展开法A,先找出函数f(z)的奇点;B,把函数在的环域作洛朗展开1)如果展开式中没有负幂项,则为可去奇点;2)如果展开式中有无穷多负幂项,则为本性奇点;3)如果展开式中只有有限项负幂项,则为极点,如果负幂项的最高项为,则为m阶奇点。
3、何谓定解问题的适定性?(6分)1,定解问题有解;2,其解是唯一的;3,解是稳定的。
满足以上三个条件,则称为定解问题的适定性。
4、什么是解析函数?其特征有哪些?(6分)在某区域上处处可导的复变函数称为该区域上的解析函数.1)在区域内处处可导且有任意阶导数.2)()()⎩⎨⎧==21,,CyxvCyxu这两曲线族在区域上正交。
3)()yxu,和()yxv,都满足二维拉普拉斯方程。
(称为共轭调和函数)4)在边界上达最大值。
4、数学物理泛定方程一般分为哪几类?波动方程属于其中的哪种类型?(6分)数学物理泛定方程一般分为三种类型:双曲线方程、抛物线方程、椭圆型偏微分方程。
波动方程属于其中的双曲线方程。
5、写出)(x δ挑选性的表达式(6分)()()()()()()⎪⎪⎪⎩⎪⎪⎪⎨⎧=-==-⎰⎰⎰∞∞∞-∞∞-)()()(00000R f dv R r r f f dx x x f x f dx x x x fδδδ6、写出复数231i +的三角形式和指数形式(8分)三角形式:()3sin3cos231cos sin 2321isin cos 222ππϕϕρϕϕρi i i+=++=+=+指数形式:由三角形式得:313πρπϕi ez ===7、求函数2)2)(1(--z z z在奇点的留数(8分)解:奇点:一阶奇点z=1;二阶奇点:z=21)2)(1()1(lim Re 21)1(=⎥⎦⎤⎢⎣⎡---=→z z zz sf z1)1(1lim )2)(1()2(!11limRe 22222)2(\-=⎥⎦⎤⎢⎣⎡--=⎥⎦⎤⎢⎣⎡---=→→z z z z z dz dsf z z8、求回路积分 dz zzz ⎰=13cos (8分)解:)(z f 有三阶奇点z=0(在积分路径内)[]21-cosz lim z cosz !21limRe 033220)0(\==⎥⎦⎤⎢⎣⎡=→→z z z dzd sf ∴原积分=i i sf i πππ-=-=)21(2)0(Re 29、计算实变函数定积分dx x x ⎰∞∞-++1142(8分)解:⎥⎦⎤⎢⎣⎡++⎥⎦⎤⎢⎣⎡+-⎥⎦⎤⎢⎣⎡-+⎥⎦⎤⎢⎣⎡--+=++=)1(22)1(22)1(22)1(22111)(242i z i z i z i z z z z z f它具有4个单极点:只有z=)1(22i --和z=)1(22i +在上半平面,其留数分别为:ππ2)221221(2I 221)1(22)1(22)1(221lim Re 221)1(22)1(22)1(221lim Re 20))1(22(\20))1(22(\=+=∴=⎥⎥⎥⎥⎥⎦⎤⎢⎢⎢⎢⎢⎣⎡⎥⎦⎤⎢⎣⎡++⎥⎦⎤⎢⎣⎡-+⎥⎦⎤⎢⎣⎡--+==⎥⎥⎥⎥⎥⎦⎤⎢⎢⎢⎢⎢⎣⎡⎥⎦⎤⎢⎣⎡++⎥⎦⎤⎢⎣⎡+-⎥⎦⎤⎢⎣⎡--+=→+→--iii i i z i z i z z sfi i z i z i z z sfz i z i10、求幂级数kk i z k)(11-∑∞= 的收敛半径(8分)111lim111limlim1≤-=+=+==∞→∞→+∞→i z kk k k a a R k k k k k 所以收敛圆为二、计算题(共30分)1、试用分离变数法求解定解问题(14分)⎪⎪⎩⎪⎪⎨⎧=-===><<=-====0,2/100,000002t t t l x x x x xx tt u x u u u t l x u a u令)()(),(t T x X t x u =,并代入方程得⎪⎩⎪⎨⎧===-0)()(0)()0(0''''2''t T l X t T X T X a XT 移项 λ-==X XT a T ''2'' ⎪⎩⎪⎨⎧===+0)(0)0(0''''l X X X X λ和02''=+T a T λxC x C x X C x C x X eC eC x X x xλλλλλλλsincos)(0)(0)(0212121+=+==+=---时,方程的解为:>在时,方程的解为:在时,方程的解为:<在由边界条件0)(0)0(''==l X X ,得:xl n C x X ln n l l C l C l C l X C C X xC x C x X CXx x X ππλπλλλλλλλλλλλλλλλcos)(0sinsincos)(000)0(sincos)(0(00)(01222121'22'21'==→=∴=≠=+-==≠==+===≡(否则方程无解),,时,>时,时,<)3,21(sin cos )()(000002''222,得:的方程代人和把=⎪⎩⎪⎨⎧+=+==+==n l at n B l at n A t T tB A t T T a T T ln n n nππλπλλx ln lat n B lat n A t B A t x U n n n πππcos)sincos(),(100+∑++=∴∞=由初始条件得⎪⎪⎩⎪⎪⎨⎧=∑+-=∑+∞=∞=0cos 21cos 1010x l n l a n B B x x l n A A nn n n πππ把右边的函数展成傅里叶余弦级数, 比较两边的系数得⎰⎰⎰⎰⋅=⋅-==-=ln ln llxdxl n an B xdxln x lA dx lB dxx lA 000cos02cos )21(201)21(1πππ得:⎪⎩⎪⎨⎧=+=-=∴-=-=)2(0)12(4)1(cos 22122220k n k n n l A n n l A l A n n πππxl n lat n n ll t x U n πππcoscos)4(21),(221-∑+-=∴∞=2、把下列问题转化为具有齐次边界条件的定解问题(不必求解)(6分)⎪⎪⎪⎩⎪⎪⎪⎨⎧===-==∆====0,sin 0),(000b y y a x x u a xB u u y b Ay u u π),(),(),(t x w t x v t x u +=令 ⎪⎪⎪⎩⎪⎪⎪⎨⎧=====+====0sin 00000by y a x x yy xx v a x B v v v v v ,,π ⎪⎪⎩⎪⎪⎨⎧===-==+====000)(000b y y ax x yyxx w w w y b Ay w w w ,,则,v ,w 都可以分别用分离变量法求解了。
嘉应学院物理系《数学物理方法》B 课程考试题
一、简答题(共70分)
1、试阐述解析延拓的含义。
解析延拓的结果是否唯一(6分)
解析延拓就是通过函数的替换来扩大解析函数的定义域。
替换函数在原定义域上与替换前的函数相等。
无论用何种方法进行解析延拓,所得到的替换函数都完全等同。
2、奇点分为几类如何判别(6分)
在挖去孤立奇点Zo而形成的环域上的解析函数F(z)的洛朗级数,或则没有负幂项,或则只有有限个负幂项,或则有无限个负幂项,我们分别将Zo称为函数F(z)的可去奇点,极点及本性奇点。
#
判别方法:洛朗级数展开法
A,先找出函数f(z)的奇点;
B,把函数在的环域作洛朗展开
1)如果展开式中没有负幂项,则为可去奇点;
2)如果展开式中有无穷多负幂项,则为本性奇点;
3)如果展开式中只有有限项负幂项,则为极点,如果负幂项的最高项为,则为m阶奇点。
3、何谓定解问题的适定性(6分)
1,定解问题有解;2,其解是唯一的;3,解是稳定的。
满足以上三个条件,则称为定解问题的适定性。
>
4、什么是解析函数其特征有哪些(6分)
在某区域上处处可导的复变函数
称为该区域上的解析函数.
1)在区域内处处可导且有任意阶导数.
2)
()
()
⎩
⎨
⎧
=
=
2
1
,
,
C
y
x
v
C
y
x
u
这两曲线族在区域上正交。
3)()y x u,和()y x v,都满足二维拉普拉斯方程。
(称为共轭调和函数) 4)在边界上达最大值。
|
4、数学物理泛定方程一般分为哪几类波动方程属于其中的哪种类型(6分)
数学物理泛定方程一般分为三种类型:双曲线方程、抛物线方程、椭圆型偏微分方程。
波动方程属于其中的双曲线方程。
5、写出)(x δ挑选性的表达式(6分)
()()()()()()⎪⎪⎪⎩⎪⎪⎪⎨⎧=-==-⎰⎰⎰∞
∞∞-∞∞
-)()()(00000R f dv R r r f f dx x x f x f dx x x x f δδδ
6、写出复数
231i +的三角形式和指数形式(8分) ¥
三角形式:()3
sin 3cos 231cos sin 2
321isin cos 222ππϕ
ϕρϕϕρi i i +=++=+=+ 指数形式:由三角形式得:
313πρπϕi e
z ===
7、求函数
2)2)(1(--z z z 在奇点的留数(8分) 解:
奇点:一阶奇点z=1;二阶奇点:z=2
1)2)(1()1(lim Re 21)1(=⎥⎦⎤⎢⎣
⎡---=→z z z z sf z 1)1(1lim )2)(1()2(!11lim Re 22222)2(\-=⎥⎦
⎤⎢⎣⎡--=⎥⎦⎤⎢⎣⎡---=→→z z z z z dz d
sf z z '
8、求回路积分 dz z
z z ⎰=13cos (8分)
解:)(z f 有三阶奇点z=0(在积分路径内)
[]21-cosz lim z cosz !21lim Re 033220)0(\==⎥⎦
⎤⎢⎣⎡=→→z z z dz d sf ∴原积分=i i sf i πππ-=-=)2
1(2)0(Re 2
9、计算实变函数定积分
dx x x ⎰∞∞-++1
142(8分) 解:⎥⎦
⎤⎢⎣⎡++⎥⎦⎤⎢⎣⎡+-⎥⎦⎤⎢⎣⎡-+⎥⎦⎤⎢⎣⎡--+=++=)1(22)1(22)1(22)1(22111)(242i z i z i z i z z z z z f 它具有4个单极点:只有z=)1(22i --和z=)1(2
2i +在上半平面,其留数分别为:
π
π2)221
221
(2I 221)
1(22)1(22)1(221lim Re 221)1(22)1(22)1(221lim Re 20))1(22(\20))1(22(\=+=∴=⎥⎥
⎥⎥⎥⎦
⎤⎢⎢⎢⎢⎢⎣⎡⎥⎦⎤
⎢⎣⎡++⎥⎦⎤⎢⎣⎡-+⎥⎦⎤
⎢⎣⎡
--+==⎥⎥⎥⎥⎥⎦
⎤⎢⎢⎢⎢⎢⎣⎡⎥⎦⎤⎢⎣⎡++⎥⎦⎤⎢⎣⎡+-⎥⎦⎤⎢⎣⎡--+=→+→--i i i i
i z i z i z z sf i i z i z i z z sf
z i z i
10、求幂级数k k i z k
)(11-∑∞
= 的收敛半径(8分)
1
11
lim 1
11
lim lim 1≤-=+=+==∞→∞→+∞→i z k k k k
a a R k k k k k 所以收敛圆为
二、计算题(共30分)
》
1、试用分离变数法求解定解问题(14分)
⎪⎪⎩⎪⎪⎨⎧=-===><<=-====0
,2/100
,000002t t t l x x x x xx tt u x u u
u t l x u a u
令)()(),(t T x X t x u =,并代入方程得
⎪⎩⎪⎨⎧===-0)()(0)()0(0
''''2'
't T l X t T X T X a XT 移项 λ-==X X T a T '
'2''
⎪⎩
⎪⎨⎧===+0)(0)0(0''''l X X X X λ和02''=+T a T λ x
C x C x X C x C x X e C e C x X x x λλλλλλ
λsin cos )(0)(0)(0212
121+=+==+=---时,方程的解为:>在时,方程的解为:在时,方程的解为:<在
由边界条件0)(0)0(''==l X X ,得: x l
n C x X l n n l l C l C l C l X C C X x
C x C x X C
Xx x X ππλπλλλλλλλλλλλλλλλcos )(0
sin 00
sin cos )(000)0(sin cos )(0(00
)(0122
2121'22'21'==→=∴=≠=+-==≠==+===≡(否则方程无解),,时,>时,时,<
)3,21(sin cos )()(000002''22
2 ,得:的方程代人和把=⎪⎩
⎪⎨⎧+=+==+==n l at n B l at n A t T t B A t T T a T T l
n n n n ππλπλλ …
x l
n l at n B l at n A t B A t x U n n n πππcos )sin cos (),(100+∑++=∴∞
= 由初始条件得⎪⎪⎩
⎪⎪⎨⎧=∑+-=∑+∞=∞=0cos 21cos 1010x l n l a n B B x x l n A A n n n n πππ 把右边的函数展成傅里叶余弦级数, 比较两边的系数得
⎰⎰⎰⎰⋅=⋅-==-=l n l n l l xdx l n a n B xdx l n x l A dx l B dx x l A 000
000cos 02cos )21(201)2
1(1πππ 得:⎪⎩⎪⎨⎧=+=-=∴-=-=)2(0)12(4)1(cos 2212
2220k n k n n l A n n l
A l A n n πππ
x l n l at n n l l t x U n πππ
cos cos )4(21),(221-∑+-=∴∞=
2、把下列问题转化为具有齐次边界条件的定解问题(不必求解)(6分) ⎪⎪⎪⎩
⎪⎪⎪⎨⎧===-==∆====0,sin 0),(000b y y a x x u a x B u u y b Ay u u π ),(),(),(t x w t x v t x u +=令
|
⎪⎪⎪⎩⎪⎪⎪⎨⎧=====+====0
sin 00000b y y a x x yy xx v a x B v v v v v ,,
π ⎪⎪⎩⎪⎪⎨⎧===-==+====000)(000b y y a x x yy xx w w w y b Ay w w w ,, 则,v ,w 都可以分别用分离变量法求解了。
3、求方程 满足初始条件y(0)=0,y ’(0)=1 的解。
(10分)
解:对方程程两边取拉氏变换,并注意到初始条件,得
()()()1
13212+=
-+-p p f p f p p f p 解上式这个代数方程,得 ()()()()
3112+-++=p p p p p f ()3
181********+⋅--⋅++⋅-=p p p p f ()t t t e e e t y 3818341---⋅+⋅-=∴ t e y y y -=-
'+''32。