量子力学经典八十题(推荐版本)【含答案】
- 格式:pdf
- 大小:677.02 KB
- 文档页数:23
量子力学习题集及解答目录第一章量子理论基础 (1)第二章波函数和薛定谔方程 (5)第三章力学量的算符表示 (28)第四章表象理论 (48)第五章近似方法 (60)第六章碰撞理论 (94)第七章自旋和角动量 (102)第八章多体问题 (116)第九章相对论波动方程 (128)第一章 量子理论基础1.设一电子为电势差V 所加速,最后打在靶上,若电子的动能转化为一个光子,求当这光子相应的光波波长分别为5000A (可见光),1A (x 射线)以及0.001A (γ射线)时,加速电子所需的电势差是多少?[解] 电子在电势差V 加速下,得到的能量是eV m =221υ这个能量全部转化为一个光子的能量,即λνυhc h eV m ===221 )(1024.1106.11031063.6419834A e hc V λλλ⨯=⋅⨯⨯⨯⨯==∴--(伏) 当 A 50001=λ时, 48.21=V (伏)A 12=λ时 421024.1⨯=V (伏)A 001.03=λ时 731024.1⨯=V (伏)2.利用普朗克的能量分布函数证明辐射的总能量和绝对温度的四次方成正比,并求比例系数。
[解] 普朗克公式为18/33-⋅=kT hv v e dvc hvd πνρ单位体积辐射的总能量为⎰⎰∞∞-==00/3313T hv v e dv v c h dv U κπρ令kThvy =,则 440333418T T e dy y c h k U y σπ=⎪⎪⎭⎫ ⎝⎛-=⎰∞ (★) 其中 ⎰∞-=0333418y e dyy c h k πσ (★★)(★)式表明,辐射的总能量U 和绝对温度T 的四次方成正比。
这个公式就是斯忒蕃——玻耳兹曼公式。
其中σ是比例常数,可求出如下:因为)1()1(1121 +++=-=-------y y y y y ye e e e e e ∑∞=-=1n ny edy e y e dy y n ny y ⎰∑⎰∞∞=-∞⎪⎭⎫ ⎝⎛=-013031 令 ny x =,上式成为dx e x n e dy y xn y ⎰∑⎰∞-∞=∞=-03140311 用分部积分法求后一积分,有⎰⎰⎰∞-∞∞--∞∞--+-=+-=0220332333dx xe e x dx e x e x dx e x x xx xx66660=-=+-=∞∞--∞-⎰xx x e dx e xe又因无穷级数 ∑∞==144901n nπ故⎰∞=⨯=-0443159061ππye dy y 因此,比例常数⎰∞-⨯==-=015334533341056.715818ch k e dy y c h k y ππσ尔格/厘米3·度43.求与下列各粒子相关的德布罗意波长:(1)能量为100电子伏的自由电子; (2)能量为0.1电子伏的自由中子; (3)能量为0.1电子伏,质量为1克的质点; (4)温度T =1k 时,具有动能kT E 23=(k 为玻耳兹曼常数)的氦原子。
量子力学基础试题及答案一、单项选择题(每题2分,共10分)1. 量子力学中,物质的波粒二象性是由哪位科学家提出的?A. 爱因斯坦B. 普朗克C. 德布罗意D. 海森堡答案:C2. 量子力学的基本原理之一是不确定性原理,该原理是由哪位科学家提出的?A. 玻尔B. 薛定谔C. 海森堡D. 狄拉克答案:C3. 量子力学中,描述粒子状态的数学对象是:A. 波函数B. 概率密度C. 动量D. 能量答案:A4. 量子力学中,哪个方程是描述粒子的波动性质的基本方程?A. 薛定谔方程B. 麦克斯韦方程C. 牛顿第二定律D. 相对论方程答案:A5. 量子力学中,哪个原理说明了粒子的波函数在测量后会坍缩到一个特定的状态?A. 叠加原理B. 波函数坍缩原理C. 不确定性原理D. 泡利不相容原理答案:B二、填空题(每题3分,共15分)1. 在量子力学中,粒子的动量和位置不能同时被精确测量,这一现象被称为______。
答案:不确定性原理2. 量子力学中的波函数必须满足______条件,以确保物理量的概率解释是合理的。
答案:归一化3. 量子力学中的粒子状态可以用______来描述,它是一个复数函数。
答案:波函数4. 量子力学中的______方程是描述非相对论性粒子的波函数随时间演化的基本方程。
答案:薛定谔5. 量子力学中的______原理表明,不可能同时精确地知道粒子的位置和动量。
答案:不确定性三、简答题(每题5分,共20分)1. 简述量子力学与经典力学的主要区别。
答案:量子力学与经典力学的主要区别在于,量子力学描述的是微观粒子的行为,它引入了波粒二象性、不确定性原理和量子叠加等概念,而经典力学主要描述宏观物体的运动,遵循牛顿力学的确定性规律。
2. 描述量子力学中的波函数坍缩现象。
答案:波函数坍缩是指在量子力学中,当对一个量子系统进行测量时,系统的波函数会从一个叠加态突然转变到一个特定的本征态,这个过程是不可逆的,并且与测量过程有关。
量子力学复习题附答案1. 量子力学的基本假设是什么?答案:量子力学的基本假设包括波函数假设、态叠加原理、测量假设、不确定性原理、薛定谔方程和泡利不相容原理。
2. 描述态叠加原理的内容。
答案:态叠加原理指出,一个量子系统可以处于多个可能状态的线性组合,即叠加态。
系统的态函数可以表示为这些可能状态的叠加。
3. 测量假设在量子力学中扮演什么角色?答案:测量假设指出,当对量子系统进行测量时,系统会从叠加态“坍缩”到一个特定的本征态,其概率由波函数的模方给出。
4. 不确定性原理如何表述?答案:不确定性原理表述为,粒子的位置和动量不能同时被精确测量,它们的不确定性的乘积总是大于或等于某个常数,即 $\Delta x\Delta p \geq \frac{\hbar}{2}$。
5. 薛定谔方程的形式是什么?答案:薛定谔方程的形式为 $i\hbar\frac{\partial}{\partialt}\Psi(r,t) = \hat{H}\Psi(r,t)$,其中 $\Psi(r,t)$ 是波函数,$\hat{H}$ 是哈密顿算符,$\hbar$ 是约化普朗克常数。
6. 泡利不相容原理的内容是什么?答案:泡利不相容原理指出,一个原子中不能有两个或更多的电子处于相同的量子态,即具有相同的一组量子数。
7. 什么是波函数的归一化?答案:波函数的归一化是指波函数的模方在整个空间的积分等于1,即$\int |\psi|^2 d\tau = 1$,其中 $d\tau$ 是体积元素。
8. 描述量子力学中的隧道效应。
答案:隧道效应是指粒子通过一个势垒的概率不为零,即使其动能小于势垒的高度。
这是量子力学中粒子波性质的体现。
9. 什么是自旋?答案:自旋是量子力学中粒子的一种内禀角动量,它与粒子的质量和电荷有关,但与粒子的轨道角动量不同。
10. 什么是能级和能级跃迁?答案:能级是指量子系统中粒子可能的能量状态,能级跃迁是指粒子从一个能级跃迁到另一个能级的过程,通常伴随着能量的吸收或发射。
量子力学试题及答案一、选择题(每题2分,共20分)1. 量子力学的基本原理之一是:A. 牛顿运动定律B. 薛定谔方程C. 麦克斯韦方程组D. 热力学第二定律2. 波函数的绝对值平方代表:A. 粒子的动量B. 粒子的能量C. 粒子在某一位置的概率密度D. 粒子的波长3. 以下哪个不是量子力学中的守恒定律?A. 能量守恒B. 动量守恒C. 角动量守恒D. 电荷守恒4. 量子力学中的不确定性原理是由哪位物理学家提出的?A. 爱因斯坦B. 波尔C. 海森堡D. 薛定谔5. 在量子力学中,一个粒子的波函数可以表示为:B. 一个复数C. 一个向量D. 一个矩阵二、简答题(每题10分,共30分)1. 简述海森堡不确定性原理,并解释其在量子力学中的意义。
2. 解释什么是量子纠缠,并给出一个量子纠缠的例子。
3. 描述量子隧道效应,并解释它在实际应用中的重要性。
三、计算题(每题25分,共50分)1. 假设一个粒子在一维无限深势阱中,其波函数为ψ(x) = A *sin(kx),其中A是归一化常数。
求该粒子的能量E。
2. 考虑一个二维电子在x-y平面上的波函数ψ(x, y) = A * e^(-αx) * cos(βy),其中A是归一化常数。
求该电子的动量分布。
答案一、选择题1. B. 薛定谔方程2. C. 粒子在某一位置的概率密度3. D. 电荷守恒4. C. 海森堡二、简答题1. 海森堡不确定性原理指出,粒子的位置和动量不能同时被精确测量,其不确定性关系为Δx * Δp ≥ ħ/2,其中ħ是约化普朗克常数。
这一原理揭示了量子世界的基本特性,即粒子的行为具有概率性而非确定性。
2. 量子纠缠是指两个或多个量子系统的状态不能独立于彼此存在,即使它们相隔很远。
例如,两个纠缠的电子,无论它们相隔多远,测量其中一个电子的自旋状态会即刻影响到另一个电子的自旋状态。
3. 量子隧道效应是指粒子在经典物理中无法穿越的势垒,在量子物理中却有一定概率能够穿越。
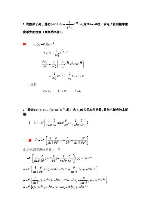
1.设氢原子处于基态030,1),,(0a e a r a r -=πϕθψ为Bohr 半径,求电子径向概率密度最大的位置(最概然半径)。
解 22)()(r r R r w nl nl ⋅= 23010021)(r e a r w a r ⋅=-π ⎭⎬⎫⎩⎨⎧+⋅-=--0202221203010a r a r re r e a a dr dw π 011203002=⎭⎬⎫⎩⎨⎧+-=-r a re a a r π 由此得0=r , ∞→r , 0a r =2. 验证ϕθϕθψ33sin )(),,(i e r f r =是2ˆL 和zL ˆ的共同本征函数,并指出相应的本征值。
( ⎥⎦⎤⎢⎣⎡∂∂+∂∂∂∂-=22222sin 1)(sin sin 1ˆϕθθθθθ L )解 ⎥⎦⎤⎢⎣⎡∂∂+∂∂∂∂-=22222sin 1)(sin sin 1ˆϕθθθθθ L 将2ˆL作用于所给函数上,得 ϕθϕθθθθθ332222sin )(sin 1)(sin sin 1i e r f ⎥⎦⎤⎢⎣⎡∂∂+∂∂∂∂- ⎥⎦⎤⎢⎣⎡-∂∂-=ϕϕθθθθθθ332332sin )(sin 9cos sin )(sin 3i i e r f e r f ⎥⎦⎤⎢⎣⎡---=ϕϕθθθθθθ33222232sin )(sin 9)sin cos sin 3()(sin 3i i e r f e r f []ϕϕθθθ332232sin )(3sin )1(cos )(9i i e r f e r f +⋅--=ϕϕθθ332332sin )(3sin )(9i i e r f e r f +=ϕθ332sin )(12i e r f =上式满足本征方程ψψ22ˆL L =,可见θϕθψ3sin )(),,(r f r =ϕ3i e 是2ˆL的本征函数,本征值为212 。
又ϕ∂∂=i L z ˆ,将z L ˆ作用于所给函数上,得 ϕϕθθϕ33333sin )(sin )(i i ie r f ie rf i ⋅=∂∂ ϕθ33sin )(3i e r f ⋅=可见满足本征方程ψψz L L =2ˆ,故ϕθϕθψ33sin )(),,(i e r f r =是zL ˆ的本征函数,本征值为 3。
量子力学试题及答案一、选择题1. 下列哪个不是量子力学的基本假设?A. 薛定谔方程描述了微观粒子的运动B. 波粒二象性存在C. 粒子的能量只能取离散值D. 电子具有自旋答案:A2. 量子力学中,波函数ψ的物理意义是什么?A. 粒子的位置分布概率幅B. 粒子的动量C. 粒子的自旋D. 粒子的能量答案:A3. 下列哪个是测量厄米算符A的本征值所对应的本征态?A. |A⟩= A|ψ⟩B. A|ψ⟩= λ|ψ⟩C. A|ψ⟩= |ψ⟩D. A|ψ⟩ = 0答案:B4. 对于厄米算符A和B,若它们对易(即[A, B] = 0),则可以同时拥有共同的一组本征态。
A. 正确B. 错误答案:A5. 量子力学中,双缝干涉实验的实验结果说明了下列哪个基本原理?A. 波粒二象性B. 运动不确定性原理C. 量子纠缠D. 全同粒子统计答案:A二、填空题1. 薛定谔方程的一般形式为___________。
答案:iℏ∂ψ/∂t = Hψ2. 微观粒子的自旋可取的两个可能取值是_________。
答案:±1/23. 薛定谔方程描述的是粒子的_________。
答案:波函数4. 在量子力学中,观测算符A的平均值表示为_________。
答案:⟨A⟩ = ⟨ψ|A|ψ⟩5. 测量量子系统时,波函数会坍缩到观测算符A的_________上。
答案:本征态三、简答题1. 请简要解释波粒二象性的概念及其在量子力学中的意义。
答:波粒二象性是指微观粒子既具有粒子性质又具有波动性质。
在量子力学中,波函数描述了粒子的波动性质,可以通过波函数的模的平方得到粒子在不同位置出现的概率分布。
波粒二象性的意义在于解释了微观世界中一些奇特的现象,例如双缝干涉实验和量子隧穿现象。
2. 请简要说明量子力学中的不确定性原理。
答:量子力学中的不确定性原理由海森堡提出,它表明在同时测量一粒子的位置和动量时,粒子的位置和动量不能同时具有确定的值,其精度存在一定的限制。
09光信息量子力学习题集一、填空题1. 设电子能量为4电子伏,其德布罗意波长为( 6.125A )。
2.索末菲的量子化条件为( ⎰=nh pdq ),应用这量子化条件求得一维谐振子的能级=n E ( ωn )。
3.德布罗意假说的正确性,在1927年为戴维孙和革末所做的( 电 )子衍射实验所证实,德布罗意关系(公式)为( ω=E )和( k p= )。
4.三维空间自由粒子的归一化波函数为()r pψ=( r p i e⋅2/3)2(1π ), ()()=⎰+∞∞-*'τψψd r r p p ( )(p p-'δ )。
5.动量算符的归一化本征态=)(r pψ(r p i e⋅2/3)2(1π ),='∞⎰τψψd r r p p )()(* ( )(p p-'δ )。
6.t=0时体系的状态为()()()x x x 2020,ψψψ+=,其中()x n ψ为一维线性谐振子的定态波函数,则()=t x ,ψ( t i t iex ex ωωψψ25220)(2)(--+ )。
7.按照量子力学理论,微观粒子的几率密度w =2),几率流密度=(()**2ψ∇ψ-ψ∇ψμi )。
8.设)(r ψ描写粒子的状态,2)(r ψ是( 粒子的几率密度 ),在)(r ψ中Fˆ的平均值为F =( ⎰⎰dx dx F ψψψψ**ˆ )。
9.波函数ψ和ψc 是描写( 同一 )状态,δψi e 中的δi e 称为( 相因子 ),δi e 不影响波函数ψ1=δi )。
10. 定态是指( 能量具有确定值 )的状态,束缚态是指(无穷远处波函数为零)的状态。
11.)i exp()()i exp()(),(2211t Ex t E x t x-+-=ψψψ是定态的条件是( 21E E = ),这时几率密度和( 几率密度 )都与时间无关。
12. ( 粒子在能量小于势垒高度时仍能贯穿势垒的现象 )称为隧道效应。
量子力学试题及答案一、单项选择题(每题2分,共10分)1. 量子力学中的波函数描述了粒子的哪种属性?A. 位置B. 动量C. 能量D. 概率密度答案:D2. 哪个原理表明一个粒子的波函数可以展开成一组完备的本征函数?A. 泡利不相容原理B. 薛定谔方程C. 玻恩规则D. 量子态叠加原理答案:D3. 量子力学中,哪个算符代表粒子的位置?A. 动量算符B. 能量算符C. 位置算符D. 角动量算符答案:C4. 量子力学中,哪个原理描述了测量过程对系统状态的影响?A. 海森堡不确定性原理B. 量子纠缠C. 量子退相干D. 量子测量原理答案:D5. 哪个方程是量子力学中描述粒子时间演化的基本方程?A. 薛定谔方程B. 狄拉克方程C. 克莱因-戈登方程D. 麦克斯韦方程答案:A二、填空题(每题2分,共10分)1. 量子力学中,粒子的状态由______描述,而粒子的物理量由______表示。
答案:波函数;算符2. 根据量子力学,粒子的位置和动量不能同时被精确测量,这被称为______。
答案:海森堡不确定性原理3. 在量子力学中,粒子的波函数在空间中的变化遵循______方程。
答案:薛定谔4. 量子力学中的______原理指出,一个量子系统在任何时刻的状态都可以表示为该系统可能状态的线性组合。
答案:态叠加5. 量子力学中,粒子的波函数必须满足______条件,以保证物理量的概率解释是合理的。
答案:归一化三、计算题(每题10分,共20分)1. 假设一个粒子处于一维无限深势阱中,势阱宽度为L。
求该粒子在基态时的能量和波函数。
答案:粒子在基态时的能量E1 = (π^2ħ^2) / (2mL^2),波函数ψ1(x) = sqrt(2/L) * sin(πx/L),其中x的范围是0 ≤ x ≤ L。
2. 考虑一个粒子在一维谐振子势能中运动,其势能表达式为V(x) = (1/2)kx^2。
求该粒子的能级和相应的波函数。
答案:粒子的能级En = (n + 1/2)ħω,其中n = 0, 1, 2, ...,波函数ψn(x) = (1/sqrt(2^n n!)) * (mω/πħ)^(1/4) * e^(-mωx^2/(2ħ)) * Hn(x),其中Hn(x)是厄米多项式。
量子力学试题含答案1. 选择题a) 以下哪个说法正确?A. 量子力学只适用于微观领域B. 量子力学只适用于宏观领域C. 量子力学适用于微观和宏观领域D. 量子力学不适用于任何领域答案:A. 量子力学只适用于微观领域b) 以下哪个量不是量子力学的基本量?A. 质量B. 电荷C. 动量D. 能量答案:D. 能量c) 下面哪个原理是量子力学的基础?A. 相对论B. Newton力学定律C. 不确定性原理D. 统计力学答案:C. 不确定性原理2. 填空题a) 波粒二象性指的是在特定条件下,微观粒子既可表现出波动性,又可以表现出粒子性。
这种相互转化的现象称为________。
答案:波粒二象性的相互转化b) ____________________是描述微观粒子运动的方程。
答案:薛定谔方程c) Ψ(x, t)代表粒子的波函数,那么|Ψ(x, t)|^2表示__________________。
答案:粒子在坐标x处被测量到的概率密度3. 简答题a) 请简要说明波粒二象性的原理和实验观察。
答案:波粒二象性原理指出,微观粒子既可表现出波动性,又可以表现出粒子性。
这意味着微观粒子的行为既可以用波动的方式来描述(例如干涉和衍射现象),也可以用粒子的方式来描述(例如在特定的位置进行观测)。
实验观察可以通过使用干涉仪和双缝实验等经典实验来验证波动性质。
当光或电子通过干涉仪或双缝实验时,会出现干涉和衍射现象,这表明了粒子具有波动性。
同时,通过探测器对光或电子的位置进行测量,可以观察到粒子的粒子性。
b) 请解释量子力学中的不确定性原理及其意义。
答案:不确定性原理是由德国物理学家海森伯提出的,它指出在测量某个粒子的某个物理量的同时,不可避免地会对另一个物理量的测量结果带来不确定性。
不确定性原理的意义在于限制了我们对微观世界的认知。
它告诉我们,粒子的位置和动量无法同时被精确地确定。
这是由于测量过程中的不可避免的干扰和相互关联性导致的。
量子力学试题及答案一、选择题(每题4分,共40分)1. 在量子力学中,一个粒子的状态用波函数表示。
波函数的物理意义是:A. 粒子的位置概率分布B. 粒子的运动速度C. 粒子的自旋状态D. 粒子的能量2. 量子力学的基本假设之一是:A. 粒子的能量是离散的B. 粒子在空间中的轨道是连续的C. 粒子的位置可以同时确定D. 粒子的自旋是固定的3. 哪个原理用于解释原子光谱的发射和吸收现象?A. 波粒二象性原理B. 测不准原理C. 泡利不相容原理D. 量子力学随机性原理4. 薛定谔方程描述了:A. 粒子的位置和动量之间的关系B. 粒子在空间中的运动轨迹C. 粒子的能量和自旋状态D. 粒子波函数随时间的演化5. 量子力学波函数的归一化条件是:A. Ψ(x, t)在全空间上的模长平方的积分等于1B. Ψ(x, t)在全空间上的模长平方的积分等于0C. Ψ(x, t)在无限远处趋于零D. Ψ(x, t)的真实部分等于虚部的共轭6. 两个可观测量的对易关系表示为:[A, B] = AB - BA = 0其中[A, B]表示两个算符的对易子。
这意味着:A. A和B的本征态可以同时存在B. A和B的本征值可以同时测量得到C. A和B的测量结果彼此独立D. A和B的测量结果存在不确定性7. 量子力学中的不确定性原理指出,以下哪一对物理量不能同时精确确定:A. 位置和动量B. 能量和时间C. 自旋在X方向和自旋在Y方向D. 角动量在X方向和角动量在Y方向8. 箱中有一自由粒子,其波函数为:Ψ(x) = A sin(kx)其中A和k为常数,该波函数代表:A. 粒子在箱中处于能量本征态B. 粒子在箱中处于动量本征态C. 粒子在箱中处于位置本征态D. 粒子在箱中处于叠加态9. 双缝干涉实验中,当缝宽减小时,干涉图案的特征是:A. 条纹的间距增大B. 条纹的间距减小C. 条纹的亮度增强D. 条纹的亮度减弱10. 量子隧穿现象解释了:A. 电子在金属中的传导现象B. 光子在光学纤维中的传播现象C. 电子在势垒中的穿透现象D. 光子在介质中的反射现象二、填空题(每题6分,共30分)1. 德布罗意波假设将粒子的运动与________联系起来。
量子力学考试试题(附答案)1.束缚于某一维势阱中的粒子,其波函数由下列诸式所描述:()()()023cos 222ikx L x x x L L x Ae x L L x x ψπψψ=<-=-<<=>(a )、求归一化常数A,(b )、在x=0及x=L/4之间找到粒子的概率为何? 解:(a )由波函数的归一化条件()222222222331coscos 33cos cos 3cos 6cos 126sin 262ikx ikx ikx ikx LLx x x dx Ae Ae dx L Lx x A e e dxL L x A dx L A x dx L A L x x L A L ππψππππππ∞∞-∞-∞∞--∞∞-∞∞-∞-====⎛⎫=+ ⎪⎝⎭⎛⎫=+ ⎪⎝⎭=⎰⎰⎰⎰⎰于是:A =(b)()224406sin 0.196926LL A L x x dx x L πψπ⎛⎫=+= ⎪⎝⎭⎰2、证明在定态中,概率流密度与时间无关。
证:对于定态,可令)]()()()([2 ])()()()([2 )(2 )( )()()(******r r r r mi e r e r e r e r m i mi J e r t f r t r Et i Et i Et iEt i Etiψψψψψψψψψψ∇-∇=∇-∇=ψ∇ψ-ψ∇ψ===ψ-----)()(, 可见t J 与无关。
4、波长为1.0*10-12m 的X 射线投射到一个静止电子上,问在与入射光成60o 角的方向上,探测到散射光的波光为多少?解:由公式 22sin 2c θλλλ'-=其中:120 2.43102ch m m cλ-==⨯可得:1212212601.0102 2.4310sin 1.215102λλλ---''-=-⨯=⨯⨯⨯=⨯ 01212212601.0102 2.4310sin 1.215102λλ---'-=-⨯=⨯⨯⨯=⨯122.21510m λ-=⨯。
量子力学考试题库及答案一、选择题1. 量子力学中,波函数的平方代表粒子在空间某点出现的概率密度。
下列关于波函数的描述中,哪一项是正确的?A. 波函数的绝对值平方代表粒子在空间某点出现的概率密度B. 波函数的绝对值代表粒子在空间某点出现的概率密度C. 波函数的平方代表粒子在空间某点出现的概率D. 波函数的绝对值平方代表粒子在空间某点出现的概率答案:A2. 海森堡不确定性原理表明,粒子的位置和动量不能同时被精确测量。
以下哪项是海森堡不确定性原理的数学表达式?A. ΔxΔp ≥ ħ/2B. ΔxΔp ≤ ħ/2C. ΔxΔp = ħ/2D. ΔxΔp = ħ答案:A二、填空题3. 在量子力学中,粒子的波函数ψ(x,t)满足________方程,该方程由薛定谔提出,是量子力学的基本方程之一。
答案:薛定谔方程4. 根据泡利不相容原理,一个原子中的两个电子不能具有相同的一组量子数,即不能同时具有相同的________、________、________和________。
答案:主量子数、角量子数、磁量子数、自旋量子数三、简答题5. 简述量子力学中的隧道效应,并给出一个实际应用的例子。
答案:量子隧道效应是指粒子通过一个势垒的概率不为零,即使其能量低于势垒的高度。
这一现象在经典物理学中是不可能发生的。
一个实际应用的例子是扫描隧道显微镜(STM),它利用量子隧道效应来探测物质表面的原子结构。
6. 描述量子力学中的波粒二象性,并解释为什么这一概念是重要的。
答案:波粒二象性是指微观粒子如电子和光子等,既表现出波动性也表现出粒子性。
这一概念重要,因为它揭示了物质在微观尺度上的基本行为,是量子力学的核心概念之一,对理解原子和分子结构、化学反应以及材料的电子性质等方面都有深远的影响。
四、计算题7. 假设一个粒子被限制在一个宽度为L的一维无限深势阱中,求该粒子的基态能量。
答案:基态能量E1 = (π²ħ²)/(2mL²),其中ħ是约化普朗克常数,m是粒子的质量,L是势阱的宽度。
量子力学试题及答案一、选择题1. 量子力学中,描述一个量子态最基本的方法是()。
A. 波函数B. 哈密顿算符C. 薛定谔方程D. 路径积分答案:A2. 海森堡不确定性原理表明,粒子的()和()不能同时被精确测量。
A. 位置,速度B. 能量,时间C. 动量,位置D. 时间,动量答案:C3. 波函数的绝对值平方代表的是()。
A. 粒子的速度B. 粒子的能量C. 粒子在某一位置出现的概率密度D. 粒子的动量答案:C4. 薛定谔方程是一个()。
A. 线性偏微分方程B. 非线性偏微分方程C. 线性常微分方程D. 非线性常微分方程答案:A5. 在量子力学中,泡利不相容原理指的是()。
A. 两个费米子不能处于同一个量子态B. 两个玻色子不能处于同一个量子态C. 所有粒子都不能处于同一个量子态D. 所有粒子都必须处于同一个量子态答案:A二、填空题1. 在量子力学中,一个粒子的波函数必须满足__________方程,才能保证波函数的归一化条件。
答案:连续性2. 量子力学的基本原理之一是观测者效应,即观测过程会影响被观测的__________。
答案:系统3. 量子纠缠是量子力学中的一种现象,其中两个或多个粒子的量子态以某种方式相互关联,以至于一个粒子的状态立即影响另一个粒子的状态,这种现象被称为__________。
答案:非局域性三、简答题1. 请简述德布罗意假说的内容及其对量子力学的贡献。
德布罗意假说提出了物质波的概念,即所有物质都具有波粒二象性。
这一假说不仅解释了电子衍射实验的现象,而且为量子力学的发展奠定了基础,使得物理学家开始将波动性质引入到粒子的描述中,从而推动了波函数理论的发展。
2. 什么是量子隧穿效应?请给出一个实际应用的例子。
量子隧穿效应是指粒子在遇到一个能量势垒时,即使其能量低于势垒高度,也有可能穿透势垒出现在另一侧的现象。
这一效应是量子力学中特有的,与经典物理学预测的结果不同。
一个实际应用的例子是半导体器件中的隧道二极管,它利用量子隧穿效应来实现电流的传导,具有非常快的开关速度和低功耗的特性。
高中量子力学试题及答案1. 量子力学的基本原理是什么?答案:量子力学的基本原理包括波粒二象性、不确定性原理、量子态的叠加原理和量子纠缠等。
2. 描述海森堡不确定性原理。
答案:海森堡不确定性原理指出,粒子的位置和动量不能同时被精确测量,其不确定性的关系由公式ΔxΔp ≥ ħ/2表示,其中Δx是位置的不确定性,Δp是动量的不确定性,ħ是约化普朗克常数。
3. 什么是量子态的叠加原理?答案:量子态的叠加原理指的是一个量子系统可以同时处于多个可能状态的叠加,这些状态的线性组合构成了系统的完整描述。
4. 简述波函数的物理意义。
答案:波函数是量子力学中描述粒子状态的数学函数,它包含了关于粒子的所有可能信息,如位置、动量等。
波函数的绝对值的平方给出了粒子在特定位置被发现的概率密度。
5. 什么是量子纠缠?答案:量子纠缠是量子力学中的一种现象,指的是两个或多个量子系统之间存在一种特殊的关联,即使它们相隔很远,一个系统的状态改变会立即影响到另一个系统的状态。
6. 描述薛定谔的猫思想实验。
答案:薛定谔的猫思想实验是一个关于量子叠加状态的经典比喻,实验中,一个猫被放置在一个盒子里,盒子内有一个放射性原子、一个盖革计数器、一个锤子和一个毒气瓶。
如果原子衰变,盖革计数器会触发锤子打碎毒气瓶,猫就会死亡。
在没有观察之前,猫的状态是既死又活的叠加态,只有当盒子被打开观察时,猫的状态才会塌缩为确定的死或活。
7. 什么是量子隧穿效应?答案:量子隧穿效应是指粒子能够穿越一个经典物理中不可能穿越的势垒。
这种现象在量子力学中是可能的,因为粒子的波函数在势垒的另一侧并不完全为零,这意味着存在一定的概率粒子能够出现在势垒的另一侧。
8. 简述量子力学中的波函数坍缩。
答案:波函数坍缩是指在量子力学中,当一个量子系统被测量时,系统的波函数会从一个叠加态突然转变为一个特定的状态,这个过程是随机的,并且与测量过程有关。
9. 什么是泡利不相容原理?答案:泡利不相容原理指出,在同一个量子系统中,两个相同的费米子(如电子)不能处于同一个量子态。