最新平面向量-文科数学高考试题
- 格式:doc
- 大小:1.49 MB
- 文档页数:16
专题 11平面向量1.【2020年高考全国Ⅱ卷文数】已知单位向量a ,b 的夹角为60°,则在下列向量中,与b 垂直的是A .a+2bB .2a+bC .a –2bD .2a – b2.【2020年高考全国Ⅲ卷文数】在平面内,A ,B 是两个定点,C 是动点,若 AC BC=1,则点 C 的轨迹为A .圆B .椭圆C .抛物线D .直线3.【2020年新高考全国Ⅰ卷】已知 P 是边长为 2的正六边形 ABCDEF 内的一点,则 AP AB 的取值范围是A .(2,6) C .(2,4)B .(6,2) D .(4,6)4.【2019年高考全国 I 卷文数】已知非零向量 a ,b 满足|a | 2|b|,且(a b) b ,则 a 与 b 的夹角为πB . πA .C . 6 2π 3 5πD .365.【2019年高考全国 II 卷文数】已知向量 a=(2,3),b=(3,2),则|a-b|= A . 2 B .2 C .5 2D .506.【2018年高考全国 I 卷文数】在△ABC 中, AD 为 BC 边上的中线, E 为 AD 的中点,则 EB1A . AB1 AC3 B . AB3 AC4 3 44 1 4C .AB 1 AC D .AB 3 AC 4 44 47.【2018年高考全国 II 卷文数】已知向量 a ,b 满足|a | 1, a b 1,则 a (2a b)A .4 C .2B .3 D .08.【2018年高考浙江卷】已知 a ,b ,e 是平面向量,e 是单位向量.若非零向量 a 与 e 的夹角为 π3,向量 b 满足 b −4e·b+3=0,则|a −b|的最小值是2A . 3 −1 C .2B . 3 +1 D .2− 39.【 2018年高考天津卷文数】在如图的平面图形中,已知BC·OM的值为OM 1,ON 2,MON 120,BM 2MA,CN 2NA,则A .15C . 6B .9D.010.【2020年高考全国Ⅰ卷文数】设向量a (1,1),b (m 1,2m 4),若a b,则m11.【2020年高考天津】如图,在四边形ABCD 中, B 60, AB 3,BC 6,且.AD BC, AD AB 3,则实数的值为_________,若M,N是线段BC上的动点,且| MN2则DM DN的最小值为_________.12.【2020年高考北京】已知正方形ABCD的边长为2,点P满足AP 1 (AB AC),则| PD |_________;2PB PD _________.13.【2020年高考浙江】已知平面单位向量e1,e2满足| 2e 1 e2 | 2.设a e 1 e2,b 3e 1 e2,向量a,b 的夹角为,则cos的最小值是_______.14.【2020年高考江苏】在△ABC中,AB 4,AC 3,∠BAC=90,D在边BC上,延长AD到P,使得AP 2若PA mPB (3 m)PC(m为常数),则CD的长度是▲.215.【2019年高考北京卷文数】已知向量=(–4,3),=(6,m),且a b,则m=__________.a b16.【2019年高考全国III卷文数】已知向量a (2,2),b (8,6),则cos a,b___________.17.【2019年高考天津卷文数】在四边形ABCD中,AD∥BC, AB 2 3, AD 5, A 30,点E 在线段CB 的延长线上,且 AEBE ,则 BD AE _____________.18.【2019年高考江苏卷】如图,在△ABC 中,D 是 BC 的中点,E 在边 AB 上,BE=2EA ,AD 与 CE 交于点O .若 AB AC6AO EC ,则ABAC 的值是_____. 19.【2019年高考浙江卷】已知正方形 ABCD 的边长为 1,当每个i(i 1,2,3,4,5,6)取遍时,|1AB 2BC 3CD 4DA 5AC 6BD|的最小值是________;最大值是_______.20.【2018年高考全国 III 卷文数】已知向量a=1,2,b=2,2,c=1,λ.若c ∥2a + b ,则________.21.【2018年高考北京卷文数】设向量 a=(1,0),b=(−1,m ),若 a (mab),则 m=_________.22.【2018年高考上海卷】在平面直角坐标系中,已知点 A 1,0、 B2,0, E 、 F 是 y 轴上的两个动点,且|EF| 2 ,则 AE BF 的最小值为___________.23.【2018年高考江苏卷】在平面直角坐标系 xOy 中, A 为直线l : y 2x 上在第一象限内的点,B 5,0,以 AB 为直径的圆C 与直线l 交于另一点 D .若 AB CD0,则点 A 的横坐标为___________.。
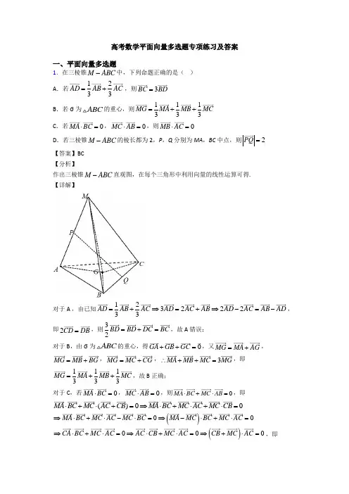
高考数学平面向量多选题专项练习及答案一、平面向量多选题1.在三棱锥M ABC -中,下列命题正确的是( )A .若1233AD AB AC =+,则3BC BD = B .若G 为ABC 的重心,则111333MG MA MB MC =++C .若0MA BC ⋅=,0MC AB ⋅=,则0MB AC ⋅=D .若三棱锥M ABC -的棱长都为2,P ,Q 分别为MA ,BC 中点,则2PQ = 【答案】BC 【分析】作出三棱锥M ABC -直观图,在每个三角形中利用向量的线性运算可得. 【详解】对于A ,由已知12322233AD AB AC AD AC AB AD AC AB AD =+⇒=+⇒-=-,即2CD DB =,则32BD BD DC BC =+=,故A 错误; 对于B ,由G 为ABC 的重心,得0GA GB GC ++=,又MG MA AG =+,MG MB BG =+,MG MC CG =+,3MA MB MC MG ∴++=,即111333MG MA MB MC =++,故B 正确;对于C ,若0MA BC ⋅=,0MC AB ⋅=,则0MC MA BC AB ⋅+⋅=,即()00MA BC AC CB MA BC AC C MC C M B M C ⋅++=⇒⋅++⋅⋅=⋅()00MA BC A MC MC MC MC C BC MA BC AC ⋅⋅⋅⇒⋅+-=⇒-+=⋅()000MC M CA BC AC AC CB AC CB AC C MC ⇒+=⇒+=⇒+=⋅⋅⋅⋅⋅,即0MB AC ⋅=,故C 正确;对于D ,111()()222PQ MQ MP MB MC MA MB MC MA ∴=-=+-=+- ()2112PQ MB MC MA MB MC MA ∴=+-=+-,又()2222222MB MC MA MB MC MA MB MC MB MA MC MA+-=+++⋅-⋅-⋅2221112222222222228222=+++⨯⨯⨯-⨯⨯⨯-⨯⨯⨯=,1PQ ∴==,故D 错误. 故选:BC 【点睛】关键点睛:本题考查向量的运算,用已知向量表示某一向量的三个关键点: (1)用已知向量来表示某一向量,一定要结合图形,以图形为指导是解题的关键.(2)要正确理解向量加法、减法与数乘运算的几何意义,如首尾相接的若干向量之和,等于由起始向量的始点指向末尾向量的终点的向量. (3)在立体几何中三角形法则、平行四边形法则仍然成立.2.已知向量(22cos m x =,()1, sin2n x =,设函数()f x m n =⋅,则下列关于函数()y f x =的性质的描述正确的是 ( )A .()f x 的最大值为3B .()f x 的周期为πC .()f x 的图象关于点5,012π⎛⎫⎪⎝⎭对称 D .()f x 在,03π⎛-⎫⎪⎝⎭上是增函数【答案】ABD 【分析】运用数量积公式及三角恒等变换化简函数()f x ,根据性质判断. 【详解】解:()22cos 2cos221f x m n x x x x =⋅==+2sin 216x π⎛⎫=++ ⎪⎝⎭, 当6x k ππ=+,()k Z ∈时,()f x 的最大值为3,选项A 描述准确;()f x 的周期22T ππ==,选项B 描述准确; 当512x π=时,2sin 2116x π⎛⎫++= ⎪⎝⎭,所以()f x 的图象关于点5,112π⎛⎫⎪⎝⎭对称,选项C 描述不准确;当,03x π⎛⎫∈- ⎪⎝⎭时,2,626x πππ⎛⎫+∈- ⎪⎝⎭,所以()f x 在,03π⎛-⎫⎪⎝⎭上是增函数,选项D 描述准确.故选:ABD. 【点睛】本题考查三角恒等变换,正弦函数的图象与性质,属于中档题.3.在ABC 中,角,,A B C 所对的边分别为,,a b c ,已知()()(::5:)4:6b c c a a b +++=,下列结论正确的是( )A .::7:5:3sinA sinB sinC = B .0AB AC ⋅>C .若6c =,则ABC 的面积是D .若8+=b c ,则ABC 的外接圆半径是3【答案】ACD 【分析】先利用已知条件设4,5,6b c k c a k a b k +=+=+=,进而得到3.5, 2.5, 1.5a k b c k ===,利用正弦定理可判定选项A ;利用向量的数量积公式可判断选项B ;利用余弦定理和三角形的面积公式可判定选项C ;利用余弦定理和正弦定理可判断选项D. 【详解】依题意,设4,5,6b c k c a k a b k +=+=+=, 所以 3.5, 2.5, 1.5a k b c k ===,由正弦定理得:::::7:5:3sinA sinB sinC a b c ==, 故选项A 正确;222222cos 22b c a b c a AB AC bc A bc bc +-+-⋅==⨯=222222.5 1.5 3.515028k k +-==-<,故选项B 不正确;若6c =,则4k =, 所以14,10a b ==,所以222106141cos 21062A +-==-⨯⨯,所以sin A =,故ABC 的面积是:11sin 61022bc A =⨯⨯= 故选项C 正确;若8+=b c ,则2k =, 所以7,5,3a b c ===,所以2225371cos 2532A +-==-⨯⨯,所以sin 2A =, 则利用正弦定理得:ABC 的外接圆半径是:12sin a A ⨯=, 故选项D 正确; 故选:ACD. 【点睛】关键点睛:本题主要考查正余弦定理以及三角形面积公式. 利用已知条件设4,5,6b c k c a k a b k +=+=+=,再利用正余弦定理以及三角形面积公式求解是解决本题的关键.4.数学家欧拉在1765年提出定理:三角形的外心、重心、垂心依次位于同一条直线上,且重心到外心的距离是重心到垂心距离的一半,此直线被称为三角形的欧拉线,该定理则被称为欧拉线定理.设点O 、G 、H 分别是ABC 的外心、重心、垂心,且M 为BC 的中点,则( )A .0GA GB GC ++= B .24AB AC HM MO +=- C .3AH OM =D .OA OB OC ==【答案】ABD 【分析】向量的线性运算结果仍为向量可判断选项A ;由12GO HG =可得23HG HO =,利用向量的线性运算()266AB AC AM GM HM HG +===-,再结合HO HM MO =+集合判断选项B ;利用222AH AG HG GM GO OM =-=-=故选项C 不正确,利用外心的性质可判断选项D ,即可得正确选项. 【详解】因为G 是ABC 的重心,O 是ABC 的外心,H 是ABC 的垂心, 且重心到外心的距离是重心到垂心距离的一半,所以12GO HG =, 对于选项A :因为G 是ABC 的重心,M 为BC 的中点,所以2AG GM =, 又因为2GB GC GM +=,所以GB GC AG +=,即0GA GB GC ++=,故选项A 正确;对于选项B :因为G 是ABC 的重心,M 为BC 的中点,所以2AG GM =,3AM GM =,因为12GO HG =,所以23HG HO =, ()226663AB AC AM GM HM HG HM HO ⎛⎫+===-=- ⎪⎝⎭()646424HM HO HM HM MO HM MO =-=-+=-,即24AB AC HM MO +=-,故选项B 正确;对于选项C :222AH AG HG GM GO OM =-=-=,故选项C 不正确; 对于选项D :设点O 是ABC 的外心,所以点O 到三个顶点距离相等,即OA OB OC ==,故选项D 正确;故选:ABD. 【点睛】关键点点睛:本题解题的关键是利用已知条件12GO HG =得23HG HO =,利用向量的线性运算结合2AG GM =可得出向量间的关系.5.已知ABC 是边长为2的等边三角形,D ,E 分别是,AC AB 上的点,且AE EB =,2AD DC =,BD 与CE 交于点O ,则( )A .0OC EO +=B .0AB CE ⋅=C .3OA OB OC OD +++=D .ED 在BC 方向上的投影为76【答案】BD 【分析】可证明EO CE =,结合平面向量线性运算法则可判断A ;由AB CE ⊥结合平面向量数量积的定义可判断B ;建立直角坐标系,由平面向量线性运算及模的坐标表示可判断C ;由投影的计算公式可判断D. 【详解】因为ABC 是边长为2的等边三角形,AE EB =,所以E 为AB 的中点,且CE AB ⊥,以E 为原点如图建立直角坐标系,则()0,0E ,()1,0A -,()10B ,,(3C , 由2AD DC =可得222333AD AC ⎛== ⎝⎭,则1233D ⎛- ⎝⎭, 取BD 的中点G ,连接GE ,易得//GE AD 且12GE AD DC ==, 所以CDO ≌EGO △,EO CO =,则30,2O ⎛ ⎝⎭, 对于A ,0OC EO EC +=≠,故A 错误; 对于B ,由AB CE ⊥可得0AB CE ⋅=,故B 正确;对于C ,31,2OA ⎛=-- ⎝⎭,31,2OB ⎛⎫=- ⎪ ⎪⎝⎭,30,2OC ⎛⎫= ⎪ ⎪⎝⎭,13,36OD ⎛=- ⎝⎭,所以13,3OA OB OC OD ⎛+++=- ⎝⎭,所以23OA OB OC OD +++=,故C 错误; 对于D ,(3BC =-,123,33ED ⎛⎫=- ⎪ ⎪⎝⎭,所以ED在BC 方向上的投影为127326 BC EDBC+⋅==,故D正确.故选:BD.【点睛】关键点点睛:建立合理的平面直角坐标系是解题关键.6.在ABC中,D、E分别是AC、BC上的点,AE与BD交于O,且AB BC BC CA CA AB⋅=⋅=⋅,2AB AC AE+=,2CD DA=,1AB=,则()A.0AC BD⋅=B.0OA OE⋅=C .34OA OB OC++=D.ED在BA方向上的正射影的数量为712【答案】BCD【分析】根据AB BC BC CA CA AB⋅=⋅=⋅以及正弦定理得到sin cos sin cosC B B C⋅=⋅,从而求出B C=,进一步得到B C A==,ABC等边三角形,根据题目条件可以得到E为BC 的中点和D为AC的三等分点,建立坐标系,进一步求出各选项.【详解】由AB BC BC CA CA AB⋅=⋅=⋅得cos cosAB BC B CA BC C⋅=⋅,||cos||cosAB B CA C⋅=⋅,正弦定理,sin cos sin cosC B B C⋅=⋅,()0sin B C=-,B C=,同理:A C=,所以B C A==,ABC等边三角形.2AB AC AE+=,E为BC的中点,2CD DA=,D为AC的三等分点.如图建立坐标系,3A⎛⎝⎭,1,02B⎛⎫-⎪⎝⎭,1,02C⎛⎫⎪⎝⎭,136D⎛⎝⎭,解得3O⎛⎝⎭,O为AE的中点,所以,0OA OE+=正确,故B正确;1323,,,223AC BD ⎛⎫⎛⎫=-= ⎪ ⎪ ⎪ ⎪⎝⎭⎝⎭,AC BD ⋅=12331=0236⨯-⨯-≠,故A 错误; 32OA OB OC OA OE OE ++=+==,故C 正确; 13,6ED ⎛⎫= ⎪ ⎪⎝⎭,13,2BA ⎛⎫= ⎪ ⎪⎝⎭,投影712||ED BA BA ⋅=,故D 正确. 故选:BCD. 【点睛】如何求向量a 在向量b 上的投影,用向量a 的模乘以两个向量所成的角的余弦值就可以了,当然还可以利用公式a b b⋅进行求解.7.如图,已知长方形ABCD 中,3AB =,2AD =,()01DE DC λλ→→=<<,则下列结论正确的是( )A .当13λ=时,1233E A A E D B →→→=+B .当23λ=时,10cos ,10AE BE →→=C .对任意()0,1λ∈,AE BE →→⊥不成立D .AE BE →→+的最小值为4 【答案】BCD 【分析】根据题意,建立平面直角坐标系,由DE DC λ→→=,根据向量坐标的运算可得()3,2E λ,当13λ=时,得出()1,2E ,根据向量的线性运算即向量的坐标运算,可求出2133AD AE BE →→→=+,即可判断A 选项;当23λ=时,()2,2E ,根据平面向量的夹角公式、向量的数量积运算和模的运算,求出10cos ,10AE BE →→=,即可判断B 选项;若AE BE →→⊥,根据向量垂直的数量积运算,即可判断C 选项;根据向量坐标加法运算求得()63,4AE BE λ→→+=-,再根据向量模的运算即可判断D 选项.【详解】解:如图,以A 为坐标原点,,AB AD 所在直线分别为x 轴、y 轴建立平面直角坐标系, 则()0,0A ,()3,0B ,()3,2C ,()0,2D ,由DE DC λ→→=,可得()3,2E λ,A 项,当13λ=时,()1,2E ,则()1,2AE→=,()2,2BE →=-, 设AD m AE n BE →→→=+,又()0,2AD →=,所以02222m n m n =-⎧⎨=+⎩,得2313m n ⎧=⎪⎪⎨⎪=⎪⎩,故2133AD AE BE →→→=+,A 错误;B 项,当23λ=时,()2,2E ,则()2,2AE →=,()1,2BE →=-, 故10cos ,225AE BE AE BE AE BE→→→→→→⋅===⨯⋅,B 正确;C 项,()3,2AE λ→=,()33,2BE λ→=-,若AE BE →→⊥,则()2333229940AE BE λλλλ→→⋅=-+⨯=-+=, 对于方程29940λλ-+=,()2Δ94940=--⨯⨯<, 故不存在()0,1λ∈,使得AE BE →→⊥,C 正确;D 项,()63,4AE BE λ→→+=-,所以()226344AE BE λ→→+=-+≥,当且仅当12λ=时等号成立,D 正确. 故选:BCD.【点睛】关键点点睛:本题考查平面向量的坐标运算,数量积运算和线性运算,考查运用数量积表示两个向量的夹角以及会用数量积判断两个平面向量的垂直关系,熟练运用平面向量的数量积运算是解题的关键.8.已知ABC 的面积为3,在ABC 所在的平面内有两点P ,Q ,满足20PA PC +=,2QA QB =,记APQ 的面积为S ,则下列说法正确的是( )A .//PB CQ B .1233BP BA BC =+ C .0PA PC ⋅> D .4S =【答案】BD 【分析】利用向量的共线定义可判断A ;利用向量加法的三角形法则以及向量减法的几何意义即可判断B ;利用向量数量积的定义可判断C ;利用三角形的面积公式即可判断D. 【详解】由20PA PC +=,2QA QB =,可知点P 为AC 的三等分点,点Q 为AB 延长线的点, 且B 为AQ 的中点,如图所示:对于A ,点P 为AC 的三等分点,点B 为AQ 的中点, 所以PB 与CQ 不平行,故A 错误; 对于B ,()22123333BP BA AP BA AC BA BC BA BA BC =+=+=+-=+, 故B 正确;对于C ,cos 0PA PC PA PC PA PC π⋅==-<,故C 错误; 对于D ,设ABC 的高为h ,132ABCS AB h ==,即6AB h =, 则APQ 的面积1212226423233APQS AQ h AB h =⋅=⋅⋅=⨯=,故D 正确; 故选:BD 【点睛】本题考查了平面向量的共线定理、共线向量、向量的加法与减法、向量的数量积,属于基础题9.关于平面向量有下列四个命题,其中正确的命题为( )A .若a b a c ⋅=⋅,则b c =;B .已知(,3)a k =,(2,6)b =-,若//a b ,则1k =-;C .非零向量a 和b ,满足||||||a b a b ==-,则a 与a b +的夹角为30º;D .0||||||||a b a b a b a b ⎛⎫⎛⎫+⋅-= ⎪ ⎪⎝⎭⎝⎭【答案】BCD【分析】 通过举反例知A 不成立,由平行向量的坐标对应成比例知B 正确,由向量加减法的意义知,C 正确,通过化简计算得D 正确.【详解】对A ,当0a = 时,可得到A 不成立;对B ,//a b 时,有326k =-,1k ∴=-,故B 正确. 对C ,当||||||a b a b ==-时,a 、b 、a b -这三个向量平移后构成一个等边三角形, a b + 是这个等边三角形一条角平分线,故C 正确.对D ,22()()()()110||||||||||||a b a b a b a a a b b b +⋅-=-=-=,故D 正确. 故选:BCD .【点睛】本题考查两个向量的数量积公式,两个向量加减法的几何意义,以及共线向量的坐标特点.属于基础题.10.ABC ∆是边长为3的等边三角形,已知向量a 、b 满足3AB a =,3AC a b =+,则下列结论中正确的有( )A .a 为单位向量B .//b BC C .a b ⊥D .()6a b BC +⊥ 【答案】ABD 【分析】 求出a 可判断A 选项的正误;利用向量的减法法则求出b ,利用共线向量的基本定理可判断B 选项的正误;计算出a b ⋅,可判断C 选项的正误;计算出()6a b BC +⋅,可判断D 选项的正误.综合可得出结论.【详解】对于A 选项,3AB a =,13a AB ∴=,则113a AB ==,A 选项正确; 对于B 选项,3AC a b AB b =+=+,b AC AB BC ∴=-=,//b BC ∴,B 选项正确;对于C 选项,21123cos 0333a b AB BC π⋅=⋅=⨯⨯≠,所以a 与b 不垂直,C 选项错误; 对于D 选项,()()()2260a b BC AB AC AC AB AC AB +⋅=+⋅-=-=,所以,()6a b BC +⊥,D 选项正确.故选:ABD.【点睛】本题考查向量有关命题真假的判断,涉及单位向量、共线向量的概念的理解以及垂直向量的判断,考查推理能力,属于中等题.。
平面向量专题r r r r1.已知向量a( 5,6) , b(6,5) ,则 a 与 bA .垂直B .不垂直也不平行C.平行且同向 D .平行且反向2、已知向量a(1, n), b( 1, n) ,若2a b与b垂直,则a()A .1B.2C.2D. 4r r r r r r r r r r3、若向量a, b满足| a | | b |1, a,b 的夹角为60°,则 a a a b =______ ;4、在直角ABC 中, CD 是斜边 AB 上的高,则下列等式不成立的是uuur (A )ACuuur (C)AB22uuur uuur uuur 2uuur uuurAC AB( B)BC BA BCuuur uuur uuur 2uuur uuur uuur uuur( AC AB)(BA BC) AC CD( D)CD uuur 2AB5、在 ? ABC 中,已知 D 是 AB 边上一点,若AD =2 DB,CD =1CA CB ,则= 3211(D) -2(A)(B)(C) -33336、设 F 为抛物线 y2=4x 的焦点, A 、B 、 C 为该抛物线上三点,若FA FB FC =0,则|FA|+|FB|+|FC|=(A)9(B)6(C) 4(D) 3uuur uuur uuur1uuur uuur7、在△ABC中,已知D是AB边上一点,若AD,CA CB,则()2DB CD321C.12A .B.3D.333 8、已知O是△ABC所在平面内一点,uuur uuur uuur0 ,那么(D 为 BC 边中点,且2OA OB OC)uuur uuur uuur uuur uuur uuur uuur uuurA. AO ODB. AO2ODC. AO3ODD. 2AO OD9、设a,b是非零向量,若函数 f (x)( xa b) g(a xb) 的图象是一条直线,则必有()A .a⊥b B.a∥b C.|a | | b |D.| a | | b |10、若 O、 E、F 是不共线的任意三点,则以下各式中成立的是uuur uuur uuurB .uuur uuur uuur uuur uuur uuurA .EF OF OE EF OF OE C. EF OF OE D .11、设 a=(4,3), a 在 b 上的投影为52,b 在 x 轴上的投影为2,且 |b|<1,则 b 为2A.(2,14)B.(2,-22D.(2,8)) C.(-2,)77uuur uuur uuurEF OF OE12、已知平面向量a(11),, b(1, 1) ,则向量 1 a 3b ()22A. (2, 1)B. ( 2,1)C. (1,0)D. (1,2) uuur uuur uuur uuur uuur uuur uuur13、已知向量OA(4,6), OB(3,5), 且 OC OA, AC // OB, 则向量 OC 等于( A ) 3 , 2( B) 2 , 4(C)3,2(D )2,4777217772114、若向量a与b不共线,agb0 ,且c = a -aga b,则向量 a 与 c 的夹角为()agbA . 0πC.ππB .3D .62uuur uuur uuur15、设A(a,1),B(2, b),C (4,5)O 为坐标原点,若为坐标平面上三点,OA 与 OB 在 OC 方向上的投影相同,则 a 与b满足的关系式为()( A )4a5b3(B)5a4b3( C)4a 5b14( D)5a4b 14uuur r uuur r uuur r16、在四面体 O-ABC 中,OA a,OB b,OC c, D 为BC的中点,E为AD的中点,则 OE =(用a, b,c 表示)17、已知向量a = 2,4,b = 11,.若向量b(a +b) ,则实数的值是.r r60 ,r r,则r r r,的夹角为a b1ag a b.18、若向量 a b19、如图,在△ABC中,点O是BC的中点,过点O的直线分别交直线AB , AC 于不同的两点 M ,N ,若uuur uuuur uuur uuurn 的值为AB mAM , AC nAN ,则m.ANB O CM20、在平面直角坐标系中,正方形OABC 的对角线 OB 的两端点uuur uuur分别为 O(0,0) , B(11),,则 ABgAC.平面向量专题r r r r1.已知向量 a ( 5,6) , b (6,5) ,则 a 与 bA .垂直解.已知向量B .不垂直也不平行C .平行且同向D .平行且反向r rr rr ra( 5,6) , b (6,5) , a b 30 30 0,则 a 与 b 垂直,选 A 。
5.平面向量(含解析)一、选择题【2015,2】2.已知点A (0,1),B (3,2),向量(4,3)AC =--u u u r ,则向量BC =u u u r ( )A .(-7,-4)B .(7,4)C .(-1,4)D .(1,4)【2014,6】设D ,E ,F 分别为ΔABC 的三边BC ,CA ,AB 的中点,则=+( )A .B .21 C .21 D . 二、填空题 【2017,13】已知向量()1,2a =-r ,(),1b m =r ,若向量a b +r r 与a r 垂直,则m = .【2016,13】设向量()1x x +,a =,()12,b =,且⊥a b ,则x = .【2013,13】已知两个单位向量a ,b 的夹角为60°,c =ta +(1-t )b .若b ·c =0,则t =______.【2012,15】15.已知向量a r ,b r 夹角为45°,且||1a =r ,|2|a b -=r r ,则||b =r _________.【2011,13】 已知a 与b 为两个不共线的单位向量,k 为实数,若向量+a b 与向量k -a b 垂直,则k = . 2011—2017年新课标全国卷2文科数学试题分类汇编4.平面向量一、选择题(2017·4)设非零向量,a b ,满足+=-a b a b 则( )A .a ⊥b B. =a b C. a ∥b D. >a b(2015·4)向量a = (1,-1),b = (-1,2),则(2a +b )·a =( )A. -1B. 0C. 1D. 2(2014·4)设向量b a ρρ,满足10||=+b a ρρ,6||=-b a ρρ,则=⋅b a ρρ( )A .1B .2C .3D .5二、填空题(2016·13)已知向量a =(m ,4),b =(3,-2),且a ∥b ,则m =___________.(2013·14)已知正方形ABCD 的边长为2,E 为CD 的中点,则AE BD ⋅=uu u r uu u r _______.(2012·15)已知向量a ,b 夹角为45º,且|a |=1,|2-a b |b |= .(2011·13)已知a 与b 为两个不共线的单位向量,k 为实数,若向量a +b 与向量k a -b 垂直,则k = .5.平面向量(解析版)一、选择题【2015,2】解:(3,1),u u u r u u u r u u u r u u u r Q AB BC AC AB =∴=-=(-7,-4),故选A【2014,6】解:+EB FC EC CB FB BC +=++u u u r u u u r u u u r u u u r u u u r u u u r =111()222AC AB AB AC AD +=+=u u u r u u u r u u u r u u u r u u u r ,故选A 二、填空题【2017,13】已知向量()1,2a =-r ,(),1b m =r ,若向量a b +r r 与a r 垂直,则m = .【解析】由题得(1,3)a b m +=-r r ,因为()0a b a +⋅=r r r ,所以(1)230m --+⨯=,解得7m =;【2016,13】设向量()1x x +,a =,()12,b =,且⊥a b ,则x = . 解析:23-.由题意()210x x ⋅=++=a b ,解得23x =-.故填23-. 【2013,13】已知两个单位向量a ,b 的夹角为60°,c =ta +(1-t )b .若b ·c =0,则t =______. 解析:2. ∵b ·c =0,|a |=|b |=1,〈a ,b 〉=60°,∴a ·b =111122⨯⨯=. ∴b ·c =[ta +(1-t )b ]·b =0,即ta ·b +(1-t )b 2=0.∴12t +1-t =0. ∴t =2.【2012,15】15.已知向量a r ,b r 夹角为45°,且||1a =r ,|2|a b -=r r ,则||b =r _________. 【解析】23. 由已知||2245cos ||||=︒⋅⋅=⋅.因为|2|a b -=r r 10||4||422=+⋅-,即06||22||2=--, 解得23||=. 【2011,13】 已知a 与b 为两个不共线的单位向量,k 为实数,若向量+a b 与向量k -a b 垂直,则k = . 【解析】因为a 与b 为两个不共线的单位向量,所以1==a b .又k -a b 与+a b 垂直,所以()()0k +⋅-=a b a b ,即220k k +⋅-⋅-=a a b a b b ,所以10k k -+⋅-⋅=a b a b ,即1cos cos 0k k θθ-+-=.(θ为a 与b 的夹角)所以()()11cos 0k θ-+=,又a 与b 不共线,所以cos 1θ≠-,所以1k =.故答案为1.2011—2017年新课标全国卷2文科数学试题分类汇编4.平面向量(解析版)一、选择题此文档仅供收集于网络,如有侵权请联系网站删除 (2017·4)A 解析:由||||+=-a b a b r r r r 平方得2222()2()()2()++=-+a ab b a ab b r r r r r r r r ,即0=ab r r ,则⊥a b r r ,故选A.(2015·4)C 解析:由题意可得a 2=2,a ·b =-3,所以(2a +b )·a =2a 2+a ·b =4-3=1.(2014·4)A 解析:2222||210.||2 6.a b a b ab a b a b ab +=++=-=∴+-=r r r r r r r r r r r r Q Q Q 两式相减,则 1.ab =r r二、填空题(2016·13)-6解析:因为a ∥b ,所以2430m --⨯=,解得6m =-.(2013·14)2解析:在正方形中,12AE AD DC =+uu u r uuu r uuu r ,BD BA AD AD DC =+=-uu u r uu r uuu r uuu r uuu r ,所以2222111()()222222AE BD AD DC AD DC AD DC ⋅=+⋅-=-=-⨯=uu u r uu u r uuu r uuu r uuu r uuu r uuu r uuu r .(2012·15)∵|2-a b |=224410-⋅=a a b +b ,即260--=|b |b |,解得|b |=(舍)(2011·13)k = 1解析: (a +b )·(k a -b )=0展开易得k =1.。
专题09平面向量考点三年考情(2022-2024)命题趋势考点1:平面向量线性运算2022年新高考全国I 卷数学真题平面向量数量积的运算、化简、证明及数量积的应用问题,如证明垂直、距离等是每年必考的内容,单独命题时,一般以选择、填空形式出现.交汇命题时,向量一般与解析几何、三角函数、平面几何等相结合考查,而此时向量作为工具出现.向量的应用是跨学科知识的一个交汇点,务必引起重视.预测命题时考查平面向量数量积的几何意义及坐标运算,同时与三角函数及解析几何相结合的解答题也是热点.考点2:数量积运算2022年高考全国甲卷数学(理)真题2023年高考全国乙卷数学(文)真题2022年高考全国乙卷数学(理)真题2024年北京高考数学真题考点3:求模问题2023年新课标全国Ⅱ卷数学真题2024年新课标全国Ⅱ卷数学真题2023年北京高考数学真题2022年高考全国乙卷数学(文)真题考点4:求夹角问题2023年高考全国甲卷数学(文)真题2023年高考全国甲卷数学(理)真题2022年新高考全国II 卷数学真题考点5:平行垂直问题2024年上海夏季高考数学真题2024年新课标全国Ⅰ卷数学真题2022年高考全国甲卷数学(文)真题2023年新课标全国Ⅰ卷数学真题2024年高考全国甲卷数学(理)真题考点6:平面向量取值与范围问题2024年天津高考数学真题2023年高考全国乙卷数学(理)真题2022年新高考北京数学高考真题2022年新高考天津数学高考真题2022年新高考浙江数学高考真题2023年天津高考数学真题考点1:平面向量线性运算1.(2022年新高考全国I 卷数学真题)在ABC 中,点D 在边AB 上,2BD DA =.记CA m CD n == ,,则CB=()A .32m n- B .23m n-+C .32m n+ D .23m n+ 【答案】B【解析】因为点D 在边AB 上,2BD DA =,所以2BD DA =,即()2CD CB CA CD -=- ,所以CB =3232CD CA n m -=- 23m n =-+ .故选:B .考点2:数量积运算2.(2022年高考全国甲卷数学(理)真题)设向量a ,b 的夹角的余弦值为13,且1a = ,3b =r ,则()2a b b +⋅= .【答案】11【解析】设a 与b 的夹角为θ,因为a 与b 的夹角的余弦值为13,即1cos 3θ=,又1a = ,3b =r ,所以1cos 1313a b a b θ⋅=⋅=⨯⨯= ,所以()22222221311a b b a b b a b b +⋅=⋅+=⋅+=⨯+= .故答案为:11.3.(2023年高考全国乙卷数学(文)真题)正方形ABCD 的边长是2,E 是AB 的中点,则EC ED ⋅=()A 5B .3C .25D .5【答案】B【解析】方法一:以{},AB AD为基底向量,可知2,0AB AD AB AD ==⋅=uu u r uuu r uu u r uuu r ,则11,22EC EB BC AB AD ED EA AD AB AD =+=+=+=-+uu u r uu r uu u r uu u r uuu r uu u r uu r uuu r uuu r uuu r ,所以22111143224EC ED AB AD AD AB AD ⎛⎫⎛⎫⋅=+⋅-+=-+=-+= ⎪ ⎪⎝⎭⎝⎭uu u r uu u r uu u r uuu r uu u r uuu r uu ur uuu r ;方法二:如图,以A 为坐标原点建立平面直角坐标系,则()()()1,0,2,2,0,2E C D ,可得()()1,2,1,2EC ED ==-uu u r uu u r,所以143EC ED ⋅=-+=uu u r uu u r;方法三:由题意可得:5,2ED EC CD ===,在CDE 中,由余弦定理可得2223cos 25255DE CE DC DEC DE CE +-∠==⋅⨯⨯,所以3cos 5535EC ED EC ED DEC ⋅=∠==uu u r uu u r uu u r uu u r .故选:B.4.(2022年高考全国乙卷数学(理)真题)已知向量,a b 满足||1,||3,|2|3a b a b ==-= ,则a b ⋅=()A .2-B .1-C .1D .2【答案】C【解析】∵222|2|||44-=-⋅+a b a a b b ,又∵||1,||3,|2|3,==-=a b a b ∴91443134=-⋅+⨯=-⋅a b a b ,∴1a b ⋅= 故选:C.5.(2024年北京高考数学真题)设a ,b 是向量,则“()()·0a b a b +-=”是“a b =- 或a b = ”的().A .充分不必要条件B .必要不充分条件C .充要条件D .既不充分也不必要条件【答案】B【解析】因为()()220a b a b a b +⋅-=-= ,可得22a b = ,即a b = ,可知()()0a b a b +⋅-= 等价于a b = ,若a b = 或a b =- ,可得a b = ,即()()0a b a b +⋅-=,可知必要性成立;若()()0a b a b +⋅-= ,即a b =,无法得出a b = 或a b =- ,例如()()1,0,0,1a b ==,满足a b = ,但a b ≠ 且a b ≠- ,可知充分性不成立;综上所述,“()()0a b a b +⋅-=”是“a b ≠ 且a b ≠- ”的必要不充分条件.故选:B.考点3:求模问题6.(2023年新课标全国Ⅱ卷数学真题)已知向量a ,b满足3a b -= ,2a b a b +=- ,则b = .3【解析】法一:因为2a b a b +=- ,即()()222a ba b +=-,则2222244a a b b a a b b +⋅+=-⋅+r r r r r r r r ,整理得220a a b -⋅= ,又因为3a b -= ()23a b -= ,则22223a a b b b -⋅+==r r r r r ,所以3b = 法二:设c a b =-r rr ,则3,2,22c a b c b a b c b =+=+-=+r r r r r r r r r ,由题意可得:()()2222c b c b +=+r r r r ,则22224444c c b b c c b b +⋅+=+⋅+r r r r r r r r ,整理得:22c b =r r ,即3b c ==r r 37.(2024年新课标全国Ⅱ卷数学真题)已知向量,a b满足1,22a a b =+= ,且()2b a b -⊥ ,则b = ()A .12B .22C .32D .1【答案】B【解析】因为()2b a b -⊥ ,所以()20b a b -⋅= ,即22b a b =⋅,又因为1,22a a b =+=,所以22144164a b b b +⋅+=+= ,从而22=b .故选:B.8.(2023年北京高考数学真题)已知向量a b,满足(2,3),(2,1)a b a b +=-=- ,则22||||a b -= ()A .2-B .1-C .0D .1【答案】B【解析】向量,a b 满足(2,3),(2,1)a b a b +=-=-,所以22||||()()2(2)311a b a b a b -=+⋅-=⨯-+⨯=-.故选:B9.(2022年高考全国乙卷数学(文)真题)已知向量(2,1)(2,4)a b ==-,,则a b -r r ()A .2B .3C .4D .5【答案】D【解析】因为()()()2,12,44,3a b -=--=- ,所以()22435-=+-a b .故选:D考点4:求夹角问题10.(2023年高考全国甲卷数学(文)真题)已知向量()()3,1,2,2a b ==,则cos ,a b a b +-= ()A .117B .1717C 55D 255【答案】B【解析】因为(3,1),(2,2)a b ==,所以()()5,3,1,1a b a b +=-=- ,则225334,112a b a b +=+-=+= ()()()51312a b a b +⋅-=⨯+⨯-= ,所以()()17cos ,342a b a b a b a b a b a b+⋅-+-==⨯+-.故选:B.11.(2023年高考全国甲卷数学(理)真题)已知向量,,a b c 满足1,2a b c === 0a b c ++=,则cos ,a c b c 〈--〉=()A .45-B .25-C .25D .45【答案】D【解析】因为0a b c ++=,所以a b c +=-r r r ,即2222a b a b c ++⋅= ,即1122a b ++⋅=r r ,所以0a b ⋅= .如图,设,,OA a OB b OC c ===,由题知,1,2,OA OB OC OAB === 是等腰直角三角形,AB 边上的高2222OD AD =所以22222CD CO OD =+=,1tan ,cos 310AD ACD ACD CD ∠==∠=,2cos ,cos cos 22cos 1a c b c ACB ACD ACD 〈--〉=∠=∠=∠-2421510=⨯-=.故选:D.12.(2022年新高考全国II 卷数学真题)已知向量(3,4),(1,0),t ===+ a b c a b ,若,,<>=<>a cbc ,则t =()A .6-B .5-C .5D .6【答案】C【解析】()3,4c t =+ ,cos ,cos ,a c b c =,即931635t t c c+++= ,解得5t =,故选:C考点5:平行垂直问题13.(2024年上海夏季高考数学真题))已知()(),2,5,6,k a b k ∈==R ,且//a b ,则k 的值为.【答案】15【解析】//a b,256k ∴=⨯,解得15k =.故答案为:15.14.(2024年新课标全国Ⅰ卷数学真题)已知向量(0,1),(2,)a b x == ,若(4)b b a ⊥-,则x =()A .2-B .1-C .1D .2【答案】D【解析】因为()4b b a ⊥- ,所以()40b b a ⋅-=,所以240b a b -⋅=即2440x x +-=,故2x =,故选:D.15.(2022年高考全国甲卷数学(文)真题)已知向量(,3),(1,1)a m b m ==+.若a b ⊥ ,则m =.【答案】34-/0.75-【解析】由题意知:3(1)0a b m m ⋅=++=,解得34m =-.故答案为:34-.16.(2023年新课标全国Ⅰ卷数学真题)已知向量()()1,1,1,1a b ==-,若()()a b a b λμ+⊥+ ,则()A .1λμ+=B .1λμ+=-C .1λμ=D .1λμ=-【答案】D【解析】因为()()1,1,1,1a b ==- ,所以()1,1a b λλλ+=+- ,()1,1a b μμμ+=+-,由()()a b a b λμ+⊥+可得,()()0a b a b λμ+⋅+= ,即()()()()11110λμλμ+++--=,整理得:1λμ=-.故选:D .17.(2024年高考全国甲卷数学(理)真题)设向量()()1,,,2a x x b x =+=,则()A .“3x =-”是“a b ⊥”的必要条件B .“3x =-”是“//a b ”的必要条件C .“0x =”是“a b ⊥”的充分条件D .“13x =-”是“//a b ”的充分条件【答案】C【解析】对A ,当a b ⊥时,则0a b ⋅= ,所以(1)20x x x ⋅++=,解得0x =或3-,即必要性不成立,故A 错误;对C ,当0x =时,()()1,0,0,2a b == ,故0a b ⋅= ,所以a b ⊥,即充分性成立,故C 正确;对B ,当//a b时,则22(1)x x +=,解得13x =,即必要性不成立,故B 错误;对D ,当13x =-时,不满足22(1)x x +=,所以//a b不成立,即充分性不立,故D 错误.故选:C.考点6:平面向量取值与范围问题18.(2024年天津高考数学真题)在边长为1的正方形ABCD 中,点E 为线段CD 的三等分点,1,2CE DE BE BA BC ==+uur uu r uu u r λμ,则λμ+=;F 为线段BE 上的动点,G 为AF 中点,则AF DG ⋅的最小值为.【答案】43518-【解析】解法一:因为12CE DE =,即23CE BA =uur uu r ,则13BE BC CE BA BC =+=+uu u r uur u uu ur r uu u r ,可得1,13λμ==,所以43λμ+=;由题意可知:1,0BC BA BA BC ==⋅=,因为F 为线段BE 上的动点,设[]1,0,13BF k BE k BA k BC k ==+∈,则113AF AB BF AB k BE k BA k BC ⎛⎫=+=+=-+ ⎪⎝⎭,又因为G 为AF 中点,则1111112232DG DA AG BC AF k BA k BC ⎛⎫⎛⎫=+=-+=-+- ⎪ ⎪⎝⎭⎝⎭,可得11111113232AF DG k BA k BC k BA k BC ⎡⎤⎡⎤⎛⎫⎛⎫⎛⎫⋅=-+⋅-+- ⎪ ⎪ ⎪⎢⎥⎢⎥⎝⎭⎝⎭⎝⎭⎣⎦⎣⎦ 22111563112329510k k k k ⎛⎫⎛⎫⎛⎫=-+-=-- ⎪ ⎪ ⎪⎝⎭⎝⎭⎝⎭,又因为[]0,1k ∈,可知:当1k =时,AF DG ⋅ 取到最小值518-;解法二:以B为坐标原点建立平面直角坐标系,如图所示,则()()()()11,0,0,0,0,1,1,1,,13A B C D E ⎛⎫--- ⎪⎝⎭,可得()()11,0,0,1,,13BA BC BE ⎛⎫=-==- ⎪⎝⎭,因为(),BE BA BC λμλμ=+=- ,则131λμ⎧-=-⎪⎨⎪=⎩,所以43λμ+=;因为点F 在线段1:3,,03BE y x x ⎡⎤=-∈-⎢⎥⎣⎦上,设()1,3,,03F a a a ⎡⎤-∈-⎢⎥⎣⎦,且G 为AF 中点,则13,22a G a -⎛⎫-⎪⎝⎭,可得()131,3,,122a AF a a DG a +⎛⎫=+-=--⎪⎝⎭,则()()22132331522510a AF DG a a a +⎛⎫⎛⎫⋅=+---=+- ⎪ ⎪⎝⎭⎝⎭ ,且1,03a ⎡⎤∈-⎢⎥⎣⎦,所以当13a =-时,AF DG ⋅ 取到最小值为518-;故答案为:43;518-.19.(2023年高考全国乙卷数学(理)真题)已知O 的半径为1,直线PA 与O 相切于点A ,直线PB 与O 交于B ,C 两点,D 为BC 的中点,若2PO =,则PA PD ⋅的最大值为()A .122+B .1222+C .12+D .22+【答案】A【解析】如图所示,1,2OA OP ==,则由题意可知:π4APO ∠=,由勾股定理可得221PA OP OA =-=当点,A D 位于直线PO 异侧时或PB 为直径时,设=,04OPC παα∠≤<,则:PA PD⋅ =||||cos 4PA PD πα⎛⎫⋅+ ⎪⎝⎭ 12cos 4παα⎛⎫=+ ⎪⎝⎭222sin 22ααα⎛⎫=- ⎪ ⎪⎝⎭2cos sin cos ααα=-1cos 21sin 222αα+=-122224πα⎛⎫=-- ⎪⎝⎭04πα≤<,则2444πππα-≤-<∴当ππ244α-=-时,PA PD ⋅ 有最大值1.当点,A D 位于直线PO 同侧时,设,04OPC παα∠<<,则:PA PD ⋅ =||||cos 4PA PD πα⎛⎫⋅- ⎪⎝⎭ 12cos 4παα⎛⎫=- ⎪⎝⎭22222ααα⎛⎫=+ ⎪ ⎪⎝⎭2cos sin cos ααα=+1cos 21sin 222αα+=+122224πα⎛⎫=++ ⎪⎝⎭,04πα≤<,则32444πππα≤+<∴当242ππα+=时,PA PD ⋅有最大值122.综上可得,PA PD ⋅的最大值为122.故选:A.20.(2022年新高考北京数学高考真题)在ABC 中,3,4,90AC BC C ==∠=︒.P 为ABC 所在平面内的动点,且1PC =,则PA PB ⋅的取值范围是()A .[5,3]-B .[3,5]-C .[6,4]-D .[4,6]-【答案】D【解析】依题意如图建立平面直角坐标系,则()0,0C ,()3,0A ,()0,4B ,因为1PC =,所以P 在以C 为圆心,1为半径的圆上运动,设()cos ,sin P θθ,[]0,2θπ∈,所以()3cos ,sin PA θθ=-- ,()cos ,4sin PB θθ=-- ,所以()()()()cos 3cos 4sin sin PA PB θθθθ⋅=-⨯-+-⨯- 22cos 3cos 4sin sin θθθθ=--+13cos 4sin θθ=--()15sin θϕ=-+,其中3sin 5ϕ=,4cos 5ϕ=,因为()1sin 1θϕ-≤+≤,所以()415sin 6θϕ-≤-+≤,即[]4,6PA PB ⋅∈- ;故选:D21.(2022年新高考天津数学高考真题)在ABC 中,,CA a CB b == ,D 是AC 中点,2CB BE = ,试用,a b表示DE 为,若AB DE ⊥ ,则ACB ∠的最大值为【答案】3122b a - 6π【解析】方法一:31=22DE CE CD b a -=- ,,(3)()0AB CB CA b a AB DE b a b a =-=-⊥⇒-⋅-= ,2234b a a b +=⋅ 222333cos 244a b a b b a ACB a b a b a b⋅+⇒∠==≥= 3a b = 时取等号,而0πACB <∠<,所以(0,]6ACB π∠∈.故答案为:3122b a - ;6π.方法二:如图所示,建立坐标系:(0,0),(1,0),(3,0),(,)E B C A x y ,3(,),(1,)22x y DE AB x y +=--=-- ,23()(1)022x y DE AB x +⊥⇒-+ 22(1)4x y ⇒++=,所以点A 的轨迹是以(1,0)M -为圆心,以2r =为半径的圆,当且仅当CA 与M 相切时,C ∠最大,此时21sin ,426r C C CM π===∠=.故答案为:3122b a - ;6π.22.(2022年新高考浙江数学高考真题)设点P 在单位圆的内接正八边形128A A A 的边12A A 上,则222182PA PA PA +++ 的取值范围是.【答案】[122,16]+【解析】以圆心为原点,37A A 所在直线为x 轴,51A A 所在直线为y轴建立平面直角坐标系,如图所示:则1345726222222(0,1),,,(1,0),,,(0,1),,,(1,0)222222A A A A A A A ⎛⎫⎛⎫⎛⎫---- ⎪ ⎪ ⎪ ⎪ ⎪ ⎪⎝⎭⎝⎭⎝⎭,82222A ⎛⎫ ⎪ ⎪⎝⎭,设(,)P x y ,于是()2222212888PA PA PA x y +++=++ ,因为cos 22.5||1OP ≤≤ ,所以221cos 4512x y +≤+≤ ,故222128PA PA PA +++ 的取值范围是[1222,16]+.故答案为:[1222,16]+.23.(2023年天津高考数学真题)在ABC 中,160BC A =∠= ,,11,22AD AB CE CD == ,记,AB a AC b == ,用,a b 表示AE = ;若13BF BC = ,则AE AF ⋅ 的最大值为.【答案】1142a b + 1324【解析】空1:因为E 为CD 的中点,则0ED EC += ,可得AE ED AD AE EC AC⎧+=⎪⎨+=⎪⎩ ,两式相加,可得到2AE AD AC =+ ,即122AE a b =+ ,则1142AE a b =+ ;空2:因为13BF BC = ,则20FB FC += ,可得AF FC AC AF FB AB ⎧+=⎪⎨+=⎪⎩,得到()22AF FC AF FB AC AB +++=+ ,即32AF a b =+ ,即2133AF a b =+ .于是()2211211252423312a b a F b a AE A a b b ⎛⎫⎛⎫+⋅+=+⋅+ ⎪ ⎪⎝⋅=⎭⎝⎭ .记,AB x AC y ==,则()()222222111525225cos 602221212122A x xy a a b b xy y x y E AF ⎛⎫+⋅+=++=++ ⎪⋅⎝⎭= ,在ABC 中,根据余弦定理:222222cos601BC x y xy x y xy =+-=+-= ,于是1519222122122AE xy x xy AF y ⎛⎫⎛⎫++=+ ⎪ ⎪⎝⎭=⎝⎭⋅ ,由221+-=x y xy 和基本不等式,2212x y xy xy xy xy +-=≥-=,故1xy ≤,当且仅当1x y ==取得等号,则1x y ==时,AE AF ⋅ 有最大值1324.故答案为:1142a b + ;1324.。
2024全国高考真题数学汇编平面向量及其应用章节综合一、单选题1.(2024全国高考真题)已知向量,a b满足1,22a a b ,且2b a b ,则b ()A .12B C .2D .12.(2024全国高考真题)已知向量(0,1),(2,)a b x ,若(4)b b a,则x ()A .2B .1C .1D .23.(2024全国高考真题)设向量 1,,,2a x x b x,则()A .“3x ”是“a b”的必要条件B .“3x ”是“//a b”的必要条件C .“0x ”是“a b”的充分条件D .“1x ”是“//a b”的充分条件4.(2024全国高考真题)在ABC 中,内角,,A B C 所对的边分别为,,a b c ,若π3B ,294b ac ,则sin sin A C ()A .13B .13C .2D .135.(2024北京高考真题)设a ,b 是向量,则“·0a b a b”是“a b 或a b ”的().A .充分不必要条件B .必要不充分条件C .充要条件D .既不充分也不必要条件二、填空题6.(2024上海高考真题)已知 ,2,5,6,k a b k R ,且//a b ,则k 的值为.7.(2024天津高考真题)在边长为1的正方形ABCD 中,点E 为线段CD 的三等分点,1,2CE DE BE BA BC u u r u u r u u u r ,则;F 为线段BE 上的动点,G 为AF 中点,则AF DG的最小值为.三、解答题8.(2024天津高考真题)在ABC 中,角,,A B C 所对的边分别为,,a b c ,已知92cos 5163a Bbc ,.(1)求a ;(2)求sin A ;(3)求 cos 2B A 的值.9.(2024全国高考真题)记ABC 的内角A ,B ,C 的对边分别为a ,b ,c ,已知sin 2A A .(1)求A .(2)若2asin sin 2C c B ,求ABC 的周长.10.(2024北京高考真题)在ABC 中,内角,,A B C 的对边分别为,,a b c ,A 为钝角,7a ,sin 2cos B B .(1)求A ;(2)从条件①、条件②、条件③这三个条件中选择一个作为已知,使得ABC 存在,求ABC 的面积.条件①:7b ;条件②:13cos 14B;条件③:sin c A 注:如果选择的条件不符合要求,第(2)问得0分;如果选择多个符合要求的条件分别解答,按第一个解答计分.11.(2024全国高考真题)记ABC 的内角A 、B 、C 的对边分别为a ,b ,c ,已知sin C B ,222a b c (1)求B ;(2)若ABC 的面积为3c .参考答案1.B【分析】由2b a b 得22b a b,结合1,22a a b ,得22144164a b b b ,由此即可得解.【详解】因为 2b a b ,所以20b a b ,即22b a b,又因为1,22a a b ,所以22144164a b b b ,从而2b .故选:B.2.D【分析】根据向量垂直的坐标运算可求x 的值.【详解】因为 4b b a ,所以40b b a,所以240b a b即2440x x ,故2x ,故选:D.3.C【分析】根据向量垂直和平行的坐标表示即可得到方程,解出即可.【详解】对A ,当a b 时,则0a b,所以(1)20x x x ,解得0x 或3,即必要性不成立,故A 错误;对C ,当0x 时, 1,0,0,2a b ,故0a b,所以a b,即充分性成立,故C 正确;对B ,当//a b时,则22(1)x x ,解得1x ,即必要性不成立,故B 错误;对D ,当1x 时,不满足22(1)x x ,所以//a b不成立,即充分性不立,故D 错误.故选:C.4.C【分析】利用正弦定理得1sin sin 3A C ,再利用余弦定理有22134a c ac ,由正弦定理得到22sin sin A C 的值,最后代入计算即可.【详解】因为29,34B b ac,则由正弦定理得241sin sin sin 93A C B .由余弦定理可得:22294b ac ac ac ,即:22134a c ac,根据正弦定理得221313sin sin sin sin 412A C A C ,所以2227(sin sin )sin sin 2sin sin 4A C A C A C,因为,A C 为三角形内角,则sin sin 0A C ,则sin sin A C .故选:C.5.B【分析】根据向量数量积分析可知0a b a b 等价于a b,结合充分、必要条件分析判断.【详解】因为220a b a b a b ,可得22a b ,即a b ,可知0a b a b 等价于a b ,若a b 或a b ,可得a b ,即0a b a b,可知必要性成立;若0a b a b ,即a b,无法得出a b 或a b ,例如 1,0,0,1a b,满足a b ,但a b 且a b ,可知充分性不成立;综上所述,“0a b a b”是“a b 且a b ”的必要不充分条件.故选:B.6.15【分析】根据向量平行的坐标表示得到方程,解出即可.【详解】//a b ,256k ,解得15k .故答案为:15.7.43518【分析】解法一:以,BA BC 为基底向量,根据向量的线性运算求BE,即可得 ,设BF BE k u u u r u u r ,求,AF DG u u u r u u u r ,结合数量积的运算律求AF DG 的最小值;解法二:建系标点,根据向量的坐标运算求BE,即可得 ,设 1,3,,03F a a a,求,AF DG u u u r u u u r ,结合数量积的坐标运算求AF DG 的最小值.【详解】解法一:因为12CE DE ,即13CE BA ,则13BE BC CE BA BC u u u r u u r u u u u r r u u u r ,可得1,13,所以43;由题意可知:1,0BC BA BA BC,因为F 为线段BE 上的动点,设 1,0,13BF k BE k BA k BC k,则113AF AB BF AB k BE k BA k BC,又因为G 为AF 中点,则1111112232DG DA AG BC AF k BA k BC,可得11111113232AF DG k BA k BC k BA k BC22111563112329510k k k k,又因为 0,1k ,可知:当1k 时,AF DG 取到最小值518;解法二:以B为坐标原点建立平面直角坐标系,如图所示,则 11,0,0,0,0,1,1,1,,13A B C D E,可得 11,0,0,1,,13BA BC BE,因为 ,BE BA BC 131,所以43 ;因为点F 在线段1:3,,03BE y x x 上,设 1,3,,03F a a a,且G 为AF 中点,则13,22a G a ,可得 131,3,,122a AF a a DG a,则 22132331522510a AF DG a a a,且1,03a,所以当13a 时,AF DG 取到最小值为518 ;故答案为:43;518 .8.(1)4(3)5764【分析】(1)2,3a t c t ,利用余弦定理即可得到方程,解出即可;(2)法一:求出sin B ,再利用正弦定理即可;法二:利用余弦定理求出cos A ,则得到sin A ;(3)法一:根据大边对大角确定A 为锐角,则得到cos A ,再利用二倍角公式和两角差的余弦公式即可;法二:直接利用二倍角公式和两角差的余弦公式即可.【详解】(1)设2,3a t c t ,0t ,则根据余弦定理得2222cos b a c ac B ,即229254922316t t t t ,解得2t (负舍);则4,6a c .(2)法一:因为B 为三角形内角,所以sin 16B ,再根据正弦定理得sin sin a b A B ,即4sin A sin 4A ,法二:由余弦定理得2222225643cos 22564b c a A bc ,因为 0,πA ,则sin 4A(3)法一:因为9cos 016B ,且 0,πB ,所以π0,2B,由(2)法一知sin 16B,因为a b ,则A B ,所以3cos 4A ,则3sin 22sin cos 24A A A2231cos 22cos 12148A A9157cos 2cos cos 2sin sin 216816864B A B A B A.法二:3sin 22sin cos 24A A A,则2231cos 22cos 12148A A,因为B 为三角形内角,所以sin 16B,所以 9157cos 2cos cos 2sin sin 216864B A B A B A9.(1)π6A(2)2【分析】(1)根据辅助角公式对条件sin 2A A 进行化简处理即可求解,常规方法还可利用同角三角函数的关系解方程组,亦可利用导数,向量数量积公式,万能公式解决;(2)先根据正弦定理边角互化算出B ,然后根据正弦定理算出,b c 即可得出周长.【详解】(1)方法一:常规方法(辅助角公式)由sin 2A A 可得1sin 122A A ,即sin()1π3A ,由于ππ4π(0,π)(,)333A A ,故ππ32A ,解得π6A方法二:常规方法(同角三角函数的基本关系)由sin 2A A ,又22sin cos 1A A ,消去sin A 得到:224cos 30(2cos 0A A A ,解得cos 2A,又(0,π)A ,故π6A方法三:利用极值点求解设()sin (0π)f x x x x ,则π()2sin (0π)3f x x x,显然π6x时,max ()2f x ,注意到π()sin 22sin(3f A A A A ,max ()()f x f A ,在开区间(0,π)上取到最大值,于是x A 必定是极值点,即()0cos sin f A A A ,即tan 3A ,又(0,π)A ,故π6A方法四:利用向量数量积公式(柯西不等式)设(sin ,cos )a b A A ,由题意,sin 2a b A A,根据向量的数量积公式,cos ,2cos ,a b a b a b a b,则2cos ,2cos ,1a b a b ,此时,0a b,即,a b 同向共线,根据向量共线条件,1cos sin tan A A A 又(0,π)A ,故π6A方法五:利用万能公式求解设tan 2A t,根据万能公式,22sin 21t A A t整理可得,2222(2(20((2t t t ,解得tan22A t 223tan 13t A t ,又(0,π)A ,故π6A(2)由题设条件和正弦定理sin sin 2sin 2sin sin cos C c B B C C B B ,又,(0,π)B C ,则sin sin 0B C,进而cos 2B ,得到π4B ,于是7ππ12C A B,26sin sin(π)sin()sin cos sin cos 4C A B A B A B B A,由正弦定理可得,sin sin sin a b cA B C ,即2ππ7πsin sin sin6412bc,解得b c 故ABC的周长为2 10.(1)2π3A;(2)选择①无解;选择②和③△ABC【分析】(1)利用正弦定理即可求出答案;(2)选择①,利用正弦定理得3B,结合(1)问答案即可排除;选择②,首先求出sin B 式子得3b ,再利用两角和的正弦公式即可求出sin C ,最后利用三角形面积公式即可;选择③,首先得到5c,再利用正弦定理得到sin Csin B ,最后利用三角形面积公式即可;【详解】(1)由题意得2sin cos cos B B B,因为A 为钝角,则cos 0B,则2sin B,则7sin sin sin b a BA A,解得sin A ,因为A 为钝角,则2π3A.(2)选择①7b ,则333sin 714142B,因为2π3A ,则B 为锐角,则3B ,此时πA B ,不合题意,舍弃;选择②13cos 14B ,因为B 为三角形内角,则sin B ,则代入2sin 7B得2147,解得3b , 2π2π2πsin sin sin sin cos cos sin 333C A B B B B3131335321421414,则1153153sin 7322144ABC S ab C.选择③sin c Ac 5c ,则由正弦定理得sin sin a c A C 5sin C ,解得sin C ,因为C 为三角形内角,则11cos 14C ,则 2π2π2πsin sin sin sin cos cos sin 333B A C C C C3111533321421414,则11sin 7522144ABC S ac B △11.(1)π3B (2)【分析】(1)由余弦定理、平方关系依次求出cos ,sin C C ,最后结合已知sin C B 得cos B 的值即可;(2)首先求出,,A B C ,然后由正弦定理可将,a b 均用含有c 的式子表示,结合三角形面积公式即可列方程求解.【详解】(1)由余弦定理有2222cos a b c ab C ,对比已知222a b c ,可得222cos 222a b c C ab ab,因为 0,πC ,所以sin 0C ,从而sin2C ,又因为sin C B,即1cos2B ,注意到0,πB ,所以π3B .(2)由(1)可得π3B,cos2C ,0,πC ,从而π4C ,ππ5ππ3412A ,而5πππ1sin sin sin12462A,由正弦定理有5πππsin sin sin1234a b c,从而,a b,由三角形面积公式可知,ABC的面积可表示为21113sin222228ABCS ab C c c,由已知ABC的面积为323338c所以c。
高考数学文科试题汇编平面向量数学F元素平面向量f1平面向量的概念及其线性运算10.F1[2022年福建卷]设m为平行四边形ABCD对角线的交点,且→ + ob→ + OC→ + OD→ o是平行四边形ABCD平面上的任意点,那么OA等于()→b.2om→a.om→d、4om→c、 3om10.d[解析]如图所示,因为m为平行四边形abcd对角线→=-mc→,mb→=-md→.的交点,所以m是ac与bd的中点,即ma→+oc→=(嗯→+文科硕士→)+(嗯→+司仪→)=20公分→. 在里面△ OAC,OA→+od→=(om→+mb→)+(om→+md→)=2om→,在△obd中,ob→ + OC→ + ob→ + OD→ = 4om→, 所以12.f1[2021江西卷]已知单位向量e1,e2的夹角为α,且cosα1=3. 如果向量a=3e1-2e2,那么| a |=____12.3[解析]因为|a|2=9|e1|2-12e1e2+4|e2|2=9×1-一12×1×1×3+4×1=9,所以|a|=3.5.F1和A2【辽宁卷2022】设a、B和C为非零向量,已知命题p:如果AB=0,BC=0,则AC=0;命题q:如果a‖B,B‖C,那么a‖C。
那么以下命题中的真命题是()a.p∨qb.p∧qc、(p)∧(q)民主党∨(q)5.a[解析]由向量数量积的几何意义可知,命题p为假命题;命题q中,当b≠0时,a,c一定共线,故命题q是真命题.故p∨q一个正确的命题6.f1[2021全国新课标卷ⅰ]设d,e,f分别为△abc的三边→+fc→=()bc,ca,ab的中点,则eb1.→→a、亚行。
2ad1→→c、 2bcd。
公元前116.a[解析]eb+fc=ec+cb+fb+bc=2ac+2ab=ad.14.f1、f2[2021四川卷]平面向量a=(1,2),b=(4,2),c=ma+b(m∈r),且c与a的夹角等于c与b的夹角,则m=________.acbc14.2[解析]c=ma+b=(m+4,2m+2),由题意知=,|a||c||b||c|(1,2)(M+4,2m+2)(4,2)(M+4,2m+2)即=即5m2221+24+28m+20+8=2,解为m=2f2平面向量基本定理及向量坐标运算3.F2[北京卷2022]如果向量a=(2,4),B=(-1,1),那么2a-B=()a.(5,7)b.(5,9)c.(3,7)d.(3,9)3.A[分析]2a-b=2(2,4)-(1,1)=(5,7)3.f2[2021广东卷]已知向量a=(1,2),b=(3,1),则b-a=()a、(-2,1)b.(2,1)c.(2,0)d.(4,3)3.B[分析]B-A=(3,1)-(1,2)=(2,1)。
2012-2021十年全国高考数学真题分类汇编 (文科)平面向量(原卷版)一、选择题1.(2020年高考数学课标Ⅱ卷文科)已知单位向量a ,b 的夹角为60°,则在下列向量中,与b 垂直的是( ) A .2a b + B .2a b +C .2a b -D .2a b - 2.(2020年高考数学课标Ⅲ卷文科)在平面内,A .B 是两个定点,C 是动点,若=1AC BC ⋅,则点C 的轨迹为 ( )A .圆B .椭圆C .抛物线D .直线3.(2019年高考数学课标Ⅱ卷文科)已知向量()()2,3,3,2a b ==,则a b -= ( )AB .2 C.D .504.(2019年高考数学课标Ⅰ卷文科)已知非零向量a ,b 满足||2||a b =,且()a b b -⊥,则a 与b 的夹角A .6πB .3πC .23πD .56π 6.(2018年高考数学课标Ⅱ卷文科)已知向量a ,b 满足||1=a ,1⋅=-a b ,则(2)⋅-=a a b ( )A .4B .3C .2D .07.(2018年高考数学课标Ⅰ卷文科)在ABC △中,AD 为BC 边上的中线,E 为AD 的中点,则EB = A .3144AB AC - B .1344AB AC - C .3144AB AC + D .1344AB AC + 8.(2017年高考数学课标Ⅱ卷文科)设非零向量满足则 ( )A .B .C .D . 9.(2016年高考数学课标Ⅲ卷文科)已知向量1=2BA ⎛ ⎝⎭,31=22BC ⎛⎫ ⎪ ⎪⎝⎭,则ABC ∠=( ) A .30︒ B .45︒ C .60︒ D .120︒10.(2015年高考数学课标Ⅱ卷文科)已知()1,1=-a ,()1,2=-b ,则(2)+⋅=a b a( ) A .1- B .0 C .1 D .211.(2015年高考数学课标Ⅰ卷文科)已知点(0,1),(3,2)A B ,向量(4,3)AC =--,则向量BC = ( )A .(7,4)--B .(7,4)C .(1,4)-D .(1,4)12.(2014年高考数学课标Ⅱ卷文科)设向量a ,b 满足||=10a b +,||=6a b -,则a b ⋅= ( ) A.1B.2C.3D.513.(2014年高考数学课标Ⅰ卷文科)设F E D ,,分别为ABC ∆的三边AB CA BC ,,的中点,则=+FC EB ,a b a b a b +=- a b ⊥a b = a b //a b >( ) A .ADB .AD 21C .BC 21D .BC二、填空题 14.(2021年高考全国甲卷文科)若向量,a b 满足3,5,1a a b a b =-=⋅=,则b =_________. 15.(2021年全国高考乙卷文科)已知向量()()2,5,,4a b λ==,若//a b ,则λ=_________.16.(2020年高考数学课标Ⅰ卷文科)设向量(1,1),(1,24)a b m m =-=+-,若a b ⊥,则m =______________.17.(2019年高考数学课标Ⅲ卷文科)已知向量,a b ,(2,2)=a ,(8,6)=-b ,则cos =,a b __________.18.(2018年高考数学课标Ⅲ卷文科)已知向量()=1,2a ,()=2,2-b ,()=1,λc .若()2∥c a +b ,则λ=________.19.(2017年高考数学课标Ⅲ卷文科)已知向量,且,则_______. 20.(2017年高考数学课标Ⅰ卷文科)已知向量,若向量与垂直,则______.21.(2016年高考数学课标Ⅱ卷文科)已知向量(),4a m =,()3,2b =-,且//a b ,则m =___________.22.(2016年高考数学课标Ⅰ卷文科)设向量(,1),(1,2)a x x b =+=,且 a b ⊥,则x = .23.(2013年高考数学课标Ⅱ卷文科)已知正方形ABCD 的边长为2,E 为CD 的中点,则AE BD ⋅=_______。
2022年高考数学真题分类汇编文科-平面向量(文科)一、选择题1.(2022北京文3已知向量(2,4=a,(1,1=-b,则2-=ab(.A.(5,7B.(5,9C.(3,7D.(3,92.(2022大纲文6已知,ab为单位向量,其夹角为60,则(2-=abb(.A.1-B.0C.1D.23.(2022福建文10设M为平行四边形ABCD对角线的交点,O为平行四边形ABCD所在平面内任意一点,则OAOBOCOD+++等于(.A.OMB.2OMC.3OMD.4OM4.(2022广东文3已知向量((1,2,3,1==ab,则-=ba(.A.(2,1-B.(2,1-C.(2,0D.(4,35.(2022新课标Ⅱ文4设向量,ab满足+=ab-=ab=ab(A.1B.2C.3D.56.(2022山东文7已知向量((,3,m==ab.若向量,ab的夹角为π6,则实数m=(.A.B.C.0D.7.(2022新课标Ⅰ文6设FED,,分别为ABC△的三边ABCABC,,的中点,则=+(A.B.21C.D.218.(2022浙江文9设θ为两个非零向量,ab的夹角,已知对任意实数t,t+ba的最小值为1.(.A.若θ确定,则a唯一确定B.若θ确定,则b唯一确定C.若a确定,则θ唯一确定D.若b确定,则θ唯一确定9.(2022安徽文10设,ab为非零向量,2=ba,两组向量1234,,,某某某某和1234,,,yyyy均由2个a和2个b排列而成,若11223344+++某y某y某y某y所有可能取值中的最小值为24a,则a与b的夹角为(.A.23πB.3πC.6πD.010.(2022湖南文10在平面直角坐标系中,O为原点,(1,0A-,(0B,(30C,,动点D满足1CD=,则OAOBOD++的取值范围是(.A.[]46,B.C.D.11.(2022四川文10已知F为抛物线2y某=的焦点,点A,B在该抛物线上且位于某轴的两侧,2OAOB=(其中O为坐标原点,则ABO△与AFO△面积之和的最小值是(.A.2B.3C.8二、填空题12.(2022重庆文12已知向量60(26||=--==与的夹角为,且,,ababab_________.13.(2022江西文12已知单位向量12,ee的夹角为α,且1co3α=,若向量1232=-aee,则||=a14.(2022陕西文13设π02θ<<,向量((in2co1coθθθ==,,,-ab,若0=ab,则=θtan_______.15.(2022四川文14向量(1,2=a,(4,2=b,m=+cab(m∈R,且c与a的夹角等于c与b的夹角,则m=____________.16.(2022湖北文12若向量(1,3OA=-,OAOB=,0OAOB=,则AB=17.(2022江苏12如图所示,在平行四边形ABCD中,已知8AB=,5AD=,3CPPD=,2APBP=,则ABAD的值是.18.(2022天津文13已知菱形ABCD的边长为2,120BAD∠=,点E,F分别在边BC,DC上,3BCBE=,DCDFλ=.若1AEAF=,则λ的值为________.三、解答题19.(2022陕西文18(本小题满分12分在直角坐标系某Oy中,已知点(((1,1,2,3,3,2ABC,点(,P某y在ABC△三边围成的区域(含边界上,且(OPmABnACmn=+∈R,.A(1若23mn==;(2用y某,表示nm-,并求nm-的最大值.。
高考数学(文科)总复习专题5平面向量、复数练习题(附解析)第1练 平面向量的概念及线性运算[基础保分训练]1.化简:AB →+BC →-AD →=________. 2.13(2a -3b )-3(a +b )=________. 3.如果a =e 1+2e 2,b =3e 1-e 2,则3a -2b =______________________________.4.已知向量a ,b ,b ≠0,如果存在唯一实数λ,使a =λb ,则两向量的关系是________.5.若AP →=tAB → (t ∈R ),O 为平面上任意一点,则OP →=________.(用OA →,OB →表示)6.已知直三棱柱ABC -A 1B 1C 1,则分别以此棱柱的任意两个顶点为起点和终点的向量中,与向量AA →1的模相等的向量(AA →1本身除外)共有________个,与向量AA →1相等的向量(AA →1本身除外)共有________个.7.若A 地位于B 地正西方向5km 处,C 地位于A 地正北方向5km 处,则C 地位于B 地的________处.8. 向量AB →,BC →,MN →在正方形网格中的位置如图所示,若MN →=λAB →+μBC →(λ,μ∈R ),则λμ=________.9.在四边形ABCD 中,AB →=a +2b ,BC →=-4a -b ,CD →=-5a -3b ,则四边形ABCD 的形状是________.10.如图,已知O 为平行四边形ABCD 内一点,OA →=a ,OB →=b ,OC →=c ,则OD →=________.[能力提升训练]1.已知点P 在直线AB 上,且|AB →|=4|AP →|,设AP →=λPB →,则实数λ=________.2.如图为平行四边形ABCD ,G 为BC 的中点,M ,N 分别为AB 和CD 的三等分点(M 靠近A ,N 靠近C ),设AB →=a ,AD →=b ,则GN →-GM →=________.(用a ,b 表示)3.如图,在△ABC 中,AD →=34AC →,BP →=23BD →,若AP →=λBA →+μBC →,则λ+μ=________.4.设向量a ,b 是两个不共线的向量,若3a -b 与a +λb 共线,则实数λ=________.5.下列说法中:①两个有共同起点且相等的向量,其终点一定相同; ②若|a |=|b |,则a =b ;③若非零向量a ,b 共线,则|a |=|b |; ④若向量a =b ,则向量a ,b 共线;⑤由于零向量的方向不确定,故其不能与任何向量平行. 正确的序号为________.6.给出命题:①零向量的长度为零,方向是任意的;②若a ,b 都是单位向量,则a =b ;③向量AB →与向量BA →相等;④若非零向量AB →与CD →是共线向量,则A ,B ,C ,D 四点共线.以上命题中,正确命题的序号是__________.答案精析基础保分训练1.DC →2.-73a -4b3.-3e 1+8e 24.a ∥b5.(1-t )OA →+tOB →6.5 27.西北方向52km8.29.梯形 10.a -b +c能力提升训练 1.13或-15解析 ①当点P 在线段AB 上时,因为|AB →|=4|AP →|,所以点P 是AB 的四等分点, 因此AP →=13PB →,此时λ=13;②当点P 在线段AB 的反向延长线上时, 由|AB →|=4|AP →|,得AP →=-15PB →,此时λ=-15.综上,λ=13或-15.2.13a +b 3.-13解析 AP →=AB →+BP →=AB →+23BD →=AB →+23BC →+16CA →=-BA →+16BA →+12BC →=-56BA →+12BC →=λBA →+μBC →,λ=-56,μ=12,λ+μ=-13.4.-13 5.①④6.①解析 根据零向量的定义可知①正确;根据单位向量的定义,单位向量的模相等,但方向可以不同,故两个单位向量不一定相等,故②错误;向量AB →与向量BA →互为相反向量,故③错误;若AB →与CD →是共线向量,那么A ,B ,C ,D 可以在一条直线上,也可以不在一条直线上,只要它们的方向相同或相反即可,故④错误.第2练 平面向量基本定理及坐标表示[基础保分训练]1.已知向量a =(-1,2),b =(m,1),若向量a +2b 与a 平行,则m =________.2.若向量a =(3,1),b =(7,-2),则a -b 的坐标是________.3.已知点A (1,1),B (-1,5),向量AC →=2AB →,则点C 的坐标为________.4.已知向量a =(3,-1),b =(-1,2),c =(2,1),若a =x b +y c (x ,y ∈R ),则x +y =________.5.在△BOA 中,点C 满足AC →=-4CB →,OC →=xOA →+yOB →,则y -x =________.6.设M 是△ABC 的边BC 上任意一点,且NM →=4AN →,若AN →=λAB →+μAC →,则λ+μ=________. 7.在正方形ABCD 中,E ,F 分别为边BC ,CD 的中点,若AF →=xAB →+yAE →(x ,y ∈R ),则x +y =________.8.如图,在△ABC 中,AD →=23AC →,BP →=13BD →,若AP →=λAB →+μAC →,则λμ的值为________.9.已知G 为△ABC 的重心,点P ,Q 分别在边AB ,AC 上,且存在实数t ,使得PG →=tPQ →.若AP →=λAB →,AQ →=μAC →,则1λ+1μ=________.10.如图,设O 是△ABC 内部一点,且OA →+OC →=-2OB →,则△AOB 与△AOC 的面积之比为________.[能力提升训练]1.已知向量a =(2sin θ,1),b =(cos θ,-1),θ∈⎝ ⎛⎭⎪⎫π2,π,且a ∥b ,则tan θ=________.2.如图,在平行四边形ABCD 中,E ,F 分别为边AB ,BC 的中点,连结CE ,DF 交于点G ,若CG →=λCD →+μCB →(λ,μ∈R ),则λμ=________.3.已知OA →=(1,0),OB →=(1,1),(x ,y )=λOA →+μOB →.若0≤λ≤1≤μ≤2时,z =x m +y n(m >0,n >0)的最大值为2,则m +n 的最小值为________.4.如图所示,在△ABC 中,AD =DB ,F 在线段CD 上,设AB →=a ,AC →=b ,AF →=x a +y b ,则1x +4y的最小值为________.5.若点C 在以P 为圆心,6为半径的(包括A ,B 两点)上,∠APB =120°,且PC →=xPA →+yPB →,则2x +3y 的取值范围为________.6.若点M 是△ABC 所在平面内的一点,且满足5AM →=AB →+3AC →,则△ABM 与△ABC 的面积比为________.答案精析基础保分训练1.-122.(-4,3)3.(-3,9)4.05.536.157.12解析 设正方形的边长为a ,以A 为原点,AB 为x 轴,AD 为y 轴,建立平面直角坐标系, 则AB →=(a,0),AE →=⎝ ⎛⎭⎪⎫a ,a 2,AF →=⎝⎛⎭⎪⎫a 2,a , ∵AF →=xAB →+yAE →,∴⎝ ⎛⎭⎪⎫a2,a =⎝⎛⎭⎪⎫x +y a ,y ×a2,AB⎩⎪⎨⎪⎧x +y a =a2,y ×a 2=a ,解得x +y =12.8.3 9.3解析 设AB →=c ,AC →=b ,连结AG 并延长交BC 于M ,此时M 为BC 的中点, 故AM →=12(b +c ),AG →=23AM →=13(b +c ), 故PG →=AG →-AP →=⎝ ⎛⎭⎪⎫13-λc +13b ,又PQ →=AQ →-AP →=μAC →-λAB →=μb -λc , 存在实数t 使得PG →=tPQ →,即⎩⎪⎨⎪⎧13-λ=-t λ,13=t μ,解得1λ+1μ=3.10.12解析 如图,设M 是AC 的中点,则OA →+OC →=2OM →.又OA →+OC → =-2OB →, ∴OM →=-OB →, 即O 是BM 的中点, ∴S △AOB =S △AOM =12S △AOC ,即S △AOB S △AOC =12. 能力提升训练 1.-12 2.123.52+ 6 解析 (x ,y )=λOA →+μOB →=(λ+μ,μ)⇒λ=x -y ,μ=y ,所以0≤x -y ≤1≤y ≤2,可行域为一个平行四边形及其内部,由直线z =x m +yn 的斜率小于零知,直线z =x m +y n过点(3,2)时取得最大值,即3m +2n=2,因此m +n =(m +n )·⎝ ⎛⎭⎪⎫3m +2n 2=12⎝ ⎛⎭⎪⎫5+3n m +2m n ≥12⎝⎛⎭⎪⎫5+23nm·2m n=52+6,当且仅当3n m =2mn 时取等号. 4.6+4 25.⎣⎢⎡⎦⎥⎤2,2573解析 以点P 为原点建立如图所示的平面直角坐标系.由题意得A (6,0),B (-3,33), 设∠APC =θ⎝ ⎛⎭⎪⎫0≤θ≤2π3,则点C 的坐标为(6cos θ,6sin θ). ∵PC →=xPA →+yPB →,∴(6cos θ,6sin θ)=x (6,0)+y (-3,33)=(6x -3y,33y ),∴⎩⎨⎧6x -3y =6cos θ,33y =6sin θ,解得⎩⎪⎨⎪⎧x =33sin θ+cos θ,y =233sin θ,∴2x +3y =2⎝ ⎛⎭⎪⎫33sin θ+cos θ+3×233sin θ =833sin θ+2cos θ=2573sin(θ+φ), 其中sin φ=5719,cos φ=41919, ∵0≤θ≤2π3,∴5719≤sin(θ+φ)≤1,∴2≤2573sin(θ+φ)≤2573.∴2x +3y 的取值范围为⎣⎢⎡⎦⎥⎤2,2573.6.35解析 如图,M 是△ABC 所在平面内的一点,连结AM ,BM ,延长AC 至D 使AD =3AC ,延长AM 至E 使AE =5AM ,如图所示, 因为5AM →=AB →+3AC →, 所以AB →=5AM →-3AC →=DE →,连结BE ,则四边形ABED 是平行四边形(向量AB →和向量DE →平行且模相等), 由于AD →=3AC →, 所以S △ABC =13S △ABD ,S △AMB=15S △ABE , 在平行四边形ABED 中,S △ABD =S △ABE =平行四边形ABED 面积的一半, 故△ABM 与△ABC 的面积比=15S △ABE 13S △ABD =35.第3练 平面向量的数量积[基础保分训练]1.已知点A (-1,0),B (1,3),向量a =(2k -1,2),若AB →⊥a ,则实数k 的值为________. 2.已知平面向量a ,b 满足|a |=2,|b |=1,且(4a -b )·(a +3b )=2,则向量a ,b 的夹角θ为________.3.已知正三角形ABC 的边长为23,重心为G ,P 是线段AC 上一点,则GP →·AP →的最小值为________.4.已知向量a ,b 满足|a |=1,|b |=2,且向量a ,b 的夹角为π4,若a -λb 与b 垂直,则实数λ的值为________.5.已知△ABC 是边长为1的等边三角形,D 为BC 的中点,则(AB →+AC →)·(AB →-DB →)的值为________.6.如图,在△ABC 中,已知AB =3,AC =23,∠BAC =θ,点D 为BC 的三等分点(靠近点C ),则AD →·BC →的取值范围为________.7.如图,A ,B 是函数y =tan ⎝ ⎛⎭⎪⎫π4x -π2的图象上两点,则(OA →+OB →)·AB →=________.8.已知向量a =(cos θ,sin θ),向量b =(3,-1),则|2a -b |的最大值与最小值的和为________.9.已知向量a =(1,x ),b =(-1,x ),若2a -b 与b 垂直,则|a |的值为________. 10.设m ,n 分别为连续两次投掷骰子得到的点数,且向量a =(m ,n ),b =(1,-1),则向量a ,b 的夹角为锐角的概率是__________.[能力提升训练]1.设向量e 1,e 2满足:|e 1|=2,|e 2|=1,e 1,e 2的夹角是90°,若2t e 1+7e 2与e 1+t e 2的夹角为钝角,则t 的取值范围是________.2.在矩形ABCD 中,AB =1,AD =2,动点P 在以C 为圆心且与BD 相切的圆上,则AP →·AB →的最大值为________.3.已知在△OAB 中,OA =OB =2,AB =23,动点P 位于线段AB 上,则PA →·PO →的最小值是________.4.已知a ,b 是不共线的两个向量,a ·b 的最小值为43,若对任意m ,n ∈R ,|a +m b |的最小值为1,|b +n a |的最小值为2,则|b |的最小值为________.5.已知|OA →|=2,|OB →|=4,OA →·OB →=4,则以向量OA →,OB →为邻边的平行四边形的面积为________. 6.在平面直角坐标系中,已知点A (-1,0),B (2,0),E ,F 是y 轴上的两个动点,且|EF →|=2,则的AE →·BF →最小值为________.答案精析基础保分训练1.-12.2π33.-344.245.326.(5,9)7.68.49.2 10.512能力提升训练 1.⎝ ⎛⎭⎪⎫-∞,-142∪⎝ ⎛⎭⎪⎫-142,0 解析 由已知可得e 21=4,e 22=1,e 1·e 2 =2×1×cos90°=0,∵2t e 1+7e 2与e 1+t e 2的夹角为钝角, ∴(2t e 1+7e 2)·(e 1+t e 2)<0, 从而得到15t <0,即t <0,∵两个向量不共线,故2t e 1+7e 2≠a (e 1+t e 2),令⎩⎪⎨⎪⎧2t =a ,7=at ,解得t =±142, ∴t ≠±142, 综上可得t <0且t ≠-142,即t 的取值范围是⎝ ⎛⎭⎪⎫-∞,-142∪⎝ ⎛⎭⎪⎫-142,0. 2.1+255解析 如图以A 为原点,以AB ,AD 所在的直线为x ,y 轴建立坐标系,则A (0,0),B (1,0),D (0,2),C (1,2),∵动点P 在以点C 为圆心且与BD 相切的圆上,设圆的半径为r , ∵BC =2,CD =1,∴BD =22+12=5, ∴12BC ·CD =12BD ·r , ∴r =25=255,∴圆的方程为(x -1)2+(y -2)2=45,设P ⎝⎛⎭⎪⎫255cos θ+1,255sin θ+2,则AP →=⎝ ⎛⎭⎪⎫255cos θ+1,255sin θ+2,AB →=(1,0),∴AP →·AB →=255cos θ+1≤1+255,∴AP →·AB →的最大值为1+255.3.-34解析 如图,建立直角坐标系,易知A (-3,0),B (3,0),O (0,1),设P (x,0),-3≤x ≤3, 则PA →=(-3-x,0),PO →=(-x,1), 所以PA →·PO →=x 2+3x ,所以当x =-32时,取最小值-34. 4.4解析 设a ,b 的夹角为θ,则0≤θ<π2,则由|a +m b |的最小值为1,|b +n a |的最小值为2,可得|a |sin θ=1,|b |sin θ=2, 两式相乘可得|a ||b |sin 2θ=2, 即|a ||b |=2sin 2θ(*),而a ·b =|a ||b |cos θ≥43, 结合(*)可得2cos θsin 2θ≥43, 所以(2cos θ-3)(3cos θ+2)≥0, 解得cos θ≥32或cos θ≤-23(舍), 所以sin θ≤12,则|b |=2sin θ≥4.5.4 3解析 OA →·OB →=2×4×cos〈OA →,OB →〉=4, 所以cos 〈OA →,OB →〉=12,因为〈OA →,OB →〉∈[0,π], 故〈OA →,OB →〉=π3.平行四边形的面积S =|OA →||OB →|·sin〈OA →,OB →〉=2×4×32=4 3.6.-3解析 根据题意,设E (0,a ),F (0,b ); ∴|EF →|=|a -b |=2, ∴a =b +2或b =a +2, 且AE →=(1,a ),BF →=(-2,b ), ∴AE →·BF →=-2+ab ,当a =b +2时,AE →·BF →=-2+(b +2)·b =b 2+2b -2,∵b 2+2b -2=(b +1)2-3, 最小值为-3,∴AE →·BF →的最小值为-3,同理求出b =a +2时,AE →·BF →的最小值为-3. 所以AE →·BF →的最小值为-3.第4练 平面向量的应用[基础保分训练]1.已知向量a ,b 满足|a +b |=|a -b |=5,则|a |+|b |的取值范围是________.2.若O 为△ABC 所在平面内任一点,且满足(OB →-OC →)·(OB →+OC →-2OA →)=0,则△ABC 的形状为________三角形.3.一条渔船距对岸4km ,以2km/h 的速度向垂直于对岸的方向划去,到达对岸时,船的实际航程为8 km ,则河水的流速为________ km/h.4.在四边形ABCD 中,AB →=DC →,且AC →·BD →=0,则四边形ABCD 的形状为________.5.已知两个力F 1,F 2的夹角为90°,它们的合力大小为10N ,合力与F 1的夹角为60°,那么F 2的大小为________N.6.若向量a ,b 满足|a |=1,|b |=2,|a +b |=|a -b |,则|t a +(1-t )b |(t ∈R )的最小值为________.7.设O 是平面ABC 内一定点,P 为平面ABC 内一动点,若(PB →-PC →)·(OB →+OC →)=(PC →-PA →)·(OC →+OA →)=(PA →-PB →)·(OA →+OB →)=0,则O 为△ABC 的________.8.△ABC 所在平面上一点P 满足PA →+PB →+PC →=AB →,则△PAB 的面积与△ABC 的面积之比为________.9.如图,在平面四边形ABCD 中,∠ABC =90°,∠DCA =2∠BAC ,若BD →=xBA →+yBC →(x ,y ∈R ),则x -y =________.10.已知P 为锐角△ABC 的AB 边上一点,A =60°,AC =4,则|PA →+3PC →|的最小值为________.[能力提升训练]1.平面上有四个互异的点A ,B ,C ,D ,已知(DB →+DC →-2DA →)·CB →=0,则△ABC 的形状为________三角形.2.在平面上,AB 1→⊥AB 2→,|OB 1→|=|OB 2→|=1,AP →=AB 1→+AB 2→.若|OP →|<12,则|OA →|的取值范围是________.3.已知非零向量AB →与AC →满足⎝ ⎛⎭⎪⎪⎫AB →|AB →|+AC →|AC →|·BC →=0,且AB →|AB →|·AC →|AC →|=12,则△ABC 为________三角形.4.设点G 为△ABC 的重心,BG →·CG →=0,且|BC →|=2,则△ABC 面积的最大值是________. 5.在平行四边形ABCD 中,AB =2,BC =3,∠B =30°,点E ,F 分别在边BC ,CD 上(不与端点重合),且BE EC =CF DF,则AE →·AF →的取值范围为________.6.设向量a 与b 的夹角为θ,定义a 与b 的“向量积”:a ×b 是一个向量,它的模|a ×b |=|a |·|b |·sin θ,若a =(-3,-1),b =(1,3),则|a ×b |=________.答案精析基础保分训练1.[5,52]2.等腰3.2 34.菱形5.5 36.2557.外心解析 若(PB →-PC →)·(OB →+OC →)=(PC →-PA →)·(OC →+OA →)=(PA →-PB →)·(OA →+OB →)=0, 可得CB →·(OB →+OC →)=AC →·(OC →+OA →)=BA →·(OA →+OB →)=0,即(OB →-OC →)·(OB →+OC →)=(OC →-OA →)·(OC →+OA →)=(OA →-OB →)·(OA →+OB →)=0, 即有|OA →|2=|OB →|2=|OC →|2,则|OA →|=|OB →|=|OC →|,故O 为△ABC 的外心. 8.1∶3解析 由已知得,PA →+PB →+PC →=AB →=AP →+PB →,解得PC →=2AP →,所以|PC →|=2|AP →|,作图如图所示:设点B 到线段AC 的距离是h ,所以S △PAB S △ABC =12×AP ×h12×AC ×h =AP AC =AP AP +PC =AP AP +2AP =13.9.-1解析 如图,过D 作BC 的垂线,交BC 的延长线于M ,设∠BAC =α,则∠ACD =2α,∠ACB =90°-α, ∴∠DCM =180°-2α-(90°-α)=90°-α, ∴Rt△ABC ∽Rt△DMC , ∴DM AB =CM BC=k (k 为相似比).又B D →=xBA →+yBC →=MD →+BM →,∴x =DM AB =k ,y =BM BC =BC +CMBC=k +1,∴x -y =-1. 10.6 3解析 PA →+3PC →=PA →+3(PA →+AC →)=4PA →+3AC →, (4PA →+3AC →)2=16|PA →|2+9|AC →|2+24|PA →||AC →|cos120° =16|PA →|2-48|PA →|+144,∴当|PA →|=32时,(4PA →+3AC →)2最小为108.故|PA →+3PC →|min =6 3. 能力提升训练 1.等腰 2.⎝⎛⎦⎥⎤72,2 解析 ∵AB 1→⊥AB 2→,∴AB 1→·AB 2→=(OB 1→-OA →)·(OB 2→-OA →)=OB 1→·OB 2→-OB 1→·OA →-OA →·OB 2→+OA →2=0, ∴OB 1→·OB 2→-OB 1→·OA →-OA →·OB 2→ =-OA →2, ∵AP →=AB 1→+AB 2→,∴OP →-OA →=OB 1→-OA →+OB 2→-OA →, ∴OP →-OB 1→=OB 2→-OA →, ∴OP →=OB 1→+OB 2→-OA →, ∵|OB 1→|=|OB 2→|=1,∴OP →2=1+1+OA →2+2(OB 1→·OB 2→-OB 1→·OA →-OA →·OB 2→)=2+OA →2+2(-OA →2)=2-OA →2, ∵|OP →|<12,∴0≤|OP →|2<14,∴0≤2-OA →2<14,∴74<OA →2≤2,即|OA →|∈⎝ ⎛⎦⎥⎤72,2. 3.等边 解析 易知AB→|AB →|+AC→|AC →|在∠BAC 的角平分线上,由⎝ ⎛⎭⎪⎪⎫AB →|AB →|+AC →|AC →|·BC →=0,可知在△ABC 中∠BAC 的角平分线与BC 垂直,易判断AB =AC , 又由AB →|AB →|·AC→|AC →|=12,得∠BAC =60°.所以△ABC 为等边三角形. 4.32解析 由BG →·CG →=0,可得BG ⊥CG , 取BC 的中点D ,则GD =22,GA =2, 设GC =2x ,GB =2y ,所以三角形的面积为S =2x ·2y ·12+2x ·2·sin∠CGA ·12+2y ·2·sin∠BGA ·12,且∠CGA +∠BGA =270°,所以S =2xy +2x ·sin∠CGA -2y ·cos∠CGA =2xy +x 2+y 2sin(∠CGA +φ).而BG ⊥CG ,故在Rt△BCG 中4x 2+4y 2=2,即x 2+y 2=12,所以S =2xy +sin(∠CGA +φ).又x 2+y 2=12≥2xy ,所以S max =2xy +sin(∠CGA +φ)≤12+1=32.5.⎣⎢⎡⎭⎪⎫-13,1解析 以B 为坐标原点,BC 为x 轴,BC 垂线为y 轴建立平面直角坐标系,由BE EC =CF DF,可设BE =tBC =3t ,CF =tCD =2t (0<t <1), 则A (3,1),E (3t,0),F (3+3t ,t ), ∴AE →=(3t -3,-1),AF →=(3t ,t -1) ∴AE →·AF →=3t ·(3t -3)-(t -1)=3t 2-4t +1=3⎝ ⎛⎭⎪⎫t -232-13,又0<t <1,∴当t =23时,最小值为-13;当t =0时,最大值为1.故AE →·AF →的取值范围为⎣⎢⎡⎭⎪⎫-13,1.6.2第5练 平面向量小题综合练[基础保分训练]1.如图,点O 是平行四边形ABCD 的两条对角线AC ,BD 的交点,下列向量组:①AD →与AB →;②AD →与BC →;③OA →与OC →;④CA →与DC →,其中可作为平行四边形所在平面一组基底的向量组是________.2.已知向量a =(1,1),b =(2,x ),若(a +b )∥(4b -2a ),则实数x 的值是________.3.已知向量a =(3,1),b =(0,-1),c =(k ,3),若(a -2b )⊥c ,则k =________.4.给出下列命题:①若|a |=0,则a =0;②若a 是单位向量,则|a |=1;③a 与b 不平行,则a 与b 都是非零向量.其中真命题是________.(填序号)5.若AB 是⊙O 的直径,点C ,D 是半圆弧AB 上的两个三等分点,设BA →=a ,BD →=b ,则BC →=________.6.两个非零向量a ,b 满足|a +b |=|a -b |=2|a |,则向量b 与a +b 的夹角为________.7.如图所示,在△ABC 中,AD →=13AC →,P 是BD 上的一点,若AP →=mAB →+213AC →则,实数m 的值为__________.8.已知△ABC 中,AB =10,AC =6,BC =8,M 为AB 边上的中点,则CM →·CA →+CM →·CB →=________. 9.已知O 是平面上的一定点,A ,B ,C 是平面上不共线的三个点,动点P 满足OP →=OA →+λ⎝ ⎛⎭⎪⎪⎫AB →|AB →|+AC →|AC →|,λ∈[0,+∞),则动点P 的轨迹一定通过△ABC 的________. 10.已知△OAB 是边长为1的正三角形,若点P 满足OP →=(2-t )OA →+tOB →(t ∈R ),则|AP →|的最小值为________.[能力提升训练]1.(2018·南通调研)已知a ,b 是两个互相垂直的单位向量,且c ·a =c ·b =1,则对任意的正实数t ,⎪⎪⎪⎪⎪⎪c +t a +1t b 的最小值是________.2.在△ABC 中,E 为AC 上一点,AC →=3AE →,P 为BE 上任一点,若AP →=mAB →+nAC →(m >0,n >0),则3m +1n的最小值是________.3.已知△ABD 是等边三角形,且AB →+12AD →=AC →,|CD →|=3,那么四边形ABCD 的面积为________.4.在△ABC 中,D 为边BC 的中点,动点E 在线段AD 上移动时,若BE →=λBA →+μBC →,则s =λ·μ的最大值为________.5.在△ABC 中,D 是边BC 上一点,且BD →=DC →,点列P n (n ∈N *)在直线AC 上,且满足P n A →=a n +1P n B →+a n P n D →,若a 1=1,则数列{a n }的通项a n =________.6.△ABC 是边长为3的等边三角形,已知向量a ,b 满足AB →=3a ,AC →=3a +b ,则下列结论中正确的是________.(写出所有正确结论的序号) ①b 为单位向量;②a 为单位向量;③a ⊥b ;④b ∥BC →; ⑤(6a +b )⊥BC →.答案精析基础保分训练1.①④2.23.-34.②③5.12a +b6.π47.713 8.50 9.内心 10.32解析 以O 为原点,以OB 为x 轴,建立平面直角坐标系, ∵△AOB 为边长为1的正三角形, ∴A ⎝ ⎛⎭⎪⎫12,32,B (1,0), OP →=(2-t )OA →+tOB →=⎝ ⎛⎭⎪⎫1+12t ,3-32t ,AP →=OP →-OA →=⎝ ⎛⎭⎪⎫12t +12,32-32t ,|AP →|=⎝ ⎛⎭⎪⎫12t +122+⎝ ⎛⎭⎪⎫32-32t 2 =t 2-t +1=⎝ ⎛⎭⎪⎫t -122+34≥32.能力提升训练 1.2 2解析 ⎪⎪⎪⎪⎪⎪c +t a +1tb 2=c 2+t 2a 2+1t 2b 2+2t c ·a +2t c ·b +2a ·b =c 2+t 2+1t 2+2t +2t.∵c ·a =c ·b =1,∴c ·(a -b )=0,∴|c |=2, 则⎪⎪⎪⎪⎪⎪c +t a +1t b 2=⎝ ⎛⎭⎪⎫t +1t 2+2⎝⎛⎭⎪⎫t +1t . 令t +1t=m ≥2(当且仅当t =1时,取等号),∴⎝⎛⎭⎪⎫t +1t 2+2⎝ ⎛⎭⎪⎫t +1t =(m +1)2-1≥8, ∴⎪⎪⎪⎪⎪⎪c +t a +1t b ≥2 2.2.12解析 由题意可知AP →=mAB →+nAC →=mAB →+3nAE →,P ,B ,E 三点共线,则m +3n =1,据此有3m +1n =⎝ ⎛⎭⎪⎫3m +1n (m +3n )=6+9n m+mn≥6+29n m ×mn=12,当且仅当m =12,n =16时等号成立.综上可得3m +1n的最小值是12.3.923 解析 取AD 的中点E ,连结CE ,BE ,则四边形ABCE 为平行四边形,如图所示,则有AE →=BC →,又AE →=ED →,∴BC →=ED →,∴四边形BCDE 为平行四边形,又BE 为等边△ABD 的中线,∴BE ⊥AD ,∴平行四边形BCDE 是矩形,∴四边形ABCD 是直角梯形.又BE =CD =3,∴AD =23,BC =12AD =3, ∴四边形ABCD 的面积为S =12(BC +AD )·CD =12×(3+23)×3=923. 4.18解析 因为A ,D ,E 共线,故存在0≤t ≤1,使得BE →=tBA →+(1-t )BD →=tBA →+-t 2BC →,而BE →=λBA →+μBC →且BA →,BC →不共线,所以λ=t ,μ=12(1-t ),消去t 得到λ+2μ=1. s =λμ=(1-2μ)μ=-2⎝ ⎛⎭⎪⎫μ-142+18,μ∈⎣⎢⎡⎦⎥⎤0,12, 当μ=14时,s 有最大值18. 5.⎝ ⎛⎭⎪⎫-12n -1 解析 由BD →=DC →,可知D 为BC 的中点,∴P n D →=P n B →+BD →=12BC →-BP n →, ∵P n A →=P n B →+BA →=a n +1P n B →+a n P n D →,∴BA →-BP n →=a n +1P n B →+a n ⎝ ⎛⎭⎪⎫12BC →-BP n →, ∴BA →=(1-a n +1-a n )BP n →+12a n BC →, 又点列P n (n ∈N *)在直线AC 上,即A ,P n ,C 三点共线,∴1-a n +1-a n +12a n =1, ∴a n +1=-12a n , ∴数列{a n }是以a 1=1为首项,-12为公比的等比数列,∴a n =⎝ ⎛⎭⎪⎫-12n -1. 6.②④⑤解析 因为△ABC 是边长为3的等边三角形,向量a ,b 满足AB →=3a ,AC →=3a +b ,则a =13AB →, 所以|a |=13|AB →|=1,因此a 为单位向量,故②正确; 又AC →=AB →+BC →=3a +b ,所以BC →=b ,因此|b |=|BC →|=3,故①不正确;对于③,由AC →=3a +b 可得AC →2=9a 2+b 2+6a ·b ,故9=9+9+6a ·b ,可得a ·b =-32≠0,所以a ⊥b 不成立,故③不正确; 对于④,由AB →=3a ,AC →=3a +b ,得BC →=AC →-AB →=b ,所以b ∥BC →,故④正确;对于⑤,因为(6a +b )·BC →=(6a +b )·b =6a ·b +b 2=6×⎝ ⎛⎭⎪⎫-32+9=0,所以(6a +b )⊥BC →,故⑤正确.综上可得②④⑤正确.第6练 复数[基础保分训练]1.已知集合M =⎩⎨⎧⎭⎬⎫i ,i 2,1i ,+2i ,i 是虚数单位,Z 为整数集,则集合Z ∩M 中的元素个数是________.2.已知θ为实数,若复数z =sin2θ-1+i(2cos θ-1)是纯虚数,则z 的虚部为________.3.已知i 是虚数单位,则复数1-2i 1+2i=________. 4.已知复数z 1=cos α+isin α,z 2=sin β+icos β(α,β∈R ,i 为虚数单位),复数z =z 1·z 2在复平面内所对应的点在第二象限,则角α+β的终边所在的象限为________.5.若1-i(i 是虚数单位)是关于x 的方程x 2+2px +q =0(p ,q ∈R )的一个解,则p +q =________.6.设i 是虚数单位,若复数m +103+i(m ∈R )是纯虚数,则m 的值为________. 7.当23<m <1时,复数z =(3m -2)+(m -1)i 在复平面内对应的点位于________. 8.已知0<a <2,复数z =a +i(i 是虚数单位),则|z |的取值范围是________.9.若a -2i =b i +1(a ,b ∈R ,i 是虚数单位),则b +a i =________.10.设复数z 满足i(z +1)=-3+2i(i 为虚数单位),则z 的实部是________.[能力提升训练]1.若(a -2)i =b -i ,其中a ,b ∈R ,i 是虚数单位,则|a +b i|=________.2.3+i 1+i=________. 3.设z 是复数,a (z )表示满足z n =1时的最小正整数n ,i 是虚数单位,则a ⎝ ⎛⎭⎪⎫1+i 1-i =________. 4.若复数(1-i)(a +i)在复平面内对应的点在第二象限,则实数a 的取值范围是________.5.已知a ,b ∈R ,(a +b i)2=3+4i(i 是虚数单位),则a 2+b 2=________,ab =________. 6.已知a ∈R ,i 为虚数单位,若a -i 2+i为实数,则a 的值为________. 答案精析基础保分训练1.22.-23.-35-45i 4.第三象限 5.1 6.-3 7.第四象限 8.(1,5)9.-2+i 10.1能力提升训练1.12.2-i3.44.(-∞,-1)5.5 26.-2。
专题五 平面向量1.(15北京理科)在ABC △中,点M ,N 满足2AM MC =,BN NC =.若MN x AB y AC =+,则x =;y =.【答案】11,26- 【解析】试题分析:特殊化,不妨设,4,3AC AB AB AC ⊥==,利用坐标法,以A 为原点,AB 为x 轴,AC 为y轴,建立直角坐标系,3(0,0),(0,2),(0,3),(4,0),(2,)2A M CB N ,1(2,),(4,0),2MN AB =-=(0,3)AC =,则1(2,)(4,0)(0,3)2x y -=+,11142,3,,226x y x y ==-∴==-. 考点:平面向量2.(15北京文科)设a ,b 是非零向量,“a b a b ⋅=”是“//a b ”的( ) A .充分而不必要条件 B .必要而不充分条件 C .充分必要条件 D .既不充分也不必要条件 【答案】A 【解析】试题分析:||||cos ,a b a b a b •=•<>,由已知得cos ,1a b <>=,即,0a b <>=,//a b .而当//a b 时,,a b <>还可能是π,此时||||a b a b •=-,故“a b a b ⋅=”是“//a b ”的充分而不必要条件. 考点:充分必要条件、向量共线.3.(15年广东理科)在平面直角坐标系xoy 中,已知向量22,m ⎛⎫=- ⎪ ⎪⎝⎭,()sin ,cos n x x =,0,2x π⎛⎫∈ ⎪⎝⎭。
(1)若m n ⊥,求tan x 的值 (2)若m 与n 的夹角为3π,求x 的值。
【答案】(1)1;(2)512x π=.【考点定位】本题考查向量数量积的坐标运算、两角和差公式的逆用、知角求值、值知求角等问题,属于中档题.4.(15年广东文科)在平面直角坐标系x y O 中,已知四边形CD AB 是平行四边形,()1,2AB =-,()D 2,1A =,则D C A ⋅A =( )A .2B .3C .4D .5 【答案】D 【解析】试题分析:因为四边形CD AB 是平行四边形,所以()()()C D 1,22,13,1A =AB +A =-+=-,所以()D C 23115A ⋅A =⨯+⨯-=,故选D .考点:1、平面向量的加法运算;2、平面向量数量积的坐标运算.5.(15年安徽文科)ABC ∆是边长为2的等边三角形,已知向量b a 、满足a AB 2=→,b a AC+=→2,则下列结论中正确的是 。
专题5.1 平面向量A 组 5年高考真题1.(2014新课标I ,文6)设F E D ,,分别为ABC ∆的三边AB CA BC ,,的中点,则=+FC EB A. BC B .12AD C . AD D . 12BC 2.(2019•新课标Ⅱ,文3)已知向量(2,3)a =,(3,2)b =,则||(a b -= )AB .2C .D .503.(2018•新课标Ⅰ,理6文7)在ABC ∆中,AD 为BC 边上的中线,E 为AD 的中点,则(EB = ) A .3144AB AC - B .1344AB AC - C .3144AB AC + D .1344AB AC + 4.(2020全国Ⅱ文5)已知单位向量,a b 的夹角为60°,则在下列向量中,与b 垂直的是 ()A .b a 2+B .b a +2C .b a 2-D .b a -25.(2019•新课标Ⅰ,理7文8)已知非零向量a ,b 满足||2||a b =,且()a b b -⊥,则a 与b 的夹角为( ) A .6πB .3π C .23π D .56π 6.(2017•新课标Ⅱ,文4)设非零向量a ,b 满足||||a b a b +=-则( ) A .a b ⊥B .||||a b =C .//a bD .||||a b >7.(2016新课标,文13) 已知向量a =(m ,4),b =(3,−2),且a ∥b ,则m =___________. 8.(2020全国Ⅰ文14)设向量()(),,,11124m m =-=+-a b ,若⊥a b ,则m =. 9.(2019•新课标Ⅲ,文13)已知向量(2,2)a =,(8,6)b =-,则cos a <,b >= .10.(2013新课标Ⅰ,理13文13)已知两个单位向量a ,b 的夹角为60°,c =t a +(1-t)b ,若b ·c =0,则t =_____. 11.(2013新课标Ⅱ,理13文14)已知正方形ABC 的边长为2,E 为CD 的中点,则AE BD =. 12.(2017•新课标Ⅰ,文13)已知向量(1,2)a =-,(,1)b m =,若向量a b +与a 垂直,则m = . 13.(2017•新课标Ⅲ,文13)已知向量(2,3)a =-,(3,)b m =,且a b ⊥,则m = . 14.(2016新课标,理13)设向量a =(m ,1),b =(1,2),且|a +b |2=|a |2+|b |2,则m =. 15.(2016•新课标Ⅰ,文13)设向量(,1)a x x =+,(1,2)b =,且a b ⊥,则x = .B 组 能力提升16.(2020届安徽省合肥市高三第二次质检)在平行四边形中,若交于点,则( )A .B .C .D .17.(2020届安徽省皖南八校高三第三次联考)在中,,是直线上一点,且,若则( )A .B .C .D .18.(2020届甘肃省高三第一次高考诊断)已知平面向量,满足,,且,则( ) A .3BC .D . 519.(2020届甘肃省兰州市高三诊断)已知非零向量,给定,使得,,则是的( ) A .充分不必要条件 B .必要不充分条件 C .充要条件D .既不充分也不必要条件20.(2020届广东省东莞市高三模拟)已知平面向量、的夹角为135°,且为单位向量,,则( )A B .C .1D .21.(2020届广东省汕头市高三第一次模拟)已知四边形ABCD 为平行四边形,,M 为CD 中点,,则( ) A .B .C .1D .22.(2020届广东省湛江市模拟)已知,,则向量在方向上的投影为( ).A .B .CDABCD ,=DE EC AE BD F AF =2133AB AD +2133AB AD -1323AB AD -1233AB AD +ABC 5AC AD =E BD 2BE BD =AE mAB nAC =+m n +=2525-3535a b ()1,2a =-()3,b t =-()a ab ⊥+b =a b :p R λ∃∈λa b :q a b a b +=+p q a b a (1,1)b =a b +=3+32AB =3AD =2BN NC =AN MN ⋅=132343(2,6)a =-(3,1)b =a b +b 6-23.(2020届陕西省汉中市高三质检)在直角中,,,,若,则( ) A .B .C .D .24.(2020届湖南省怀化市高三第一次模拟)已知向量,,,则等于( ) AB .C . 5D .2525.(2020届江西省九江市高三第二次模拟)已知向量,满足,,,则与的夹角为________.专题5.1 平面向量A 组 5年高考真题1.(2014新课标I ,文6)设F E D ,,分别为ABC ∆的三边AB CA BC ,,的中点,则=+FC EB B. BC B . 12AD C . AD D . 12BC 【答案】C【解析】=+FC EB 11()()22CB AB BC AC +++=1()2AB AC +=AD ,故选C . 2.(2019•新课标Ⅱ,文3)已知向量(2,3)a =,(3,2)b =,则||(a b -= ) A B .2 C . D .50【答案】A【解析】(2,3)a =,(3,2)b =,∴(2a b -=,3)(3-,2)(1=-,1),2||(1)a b ∴-=-故选A . 3.(2018•新课标Ⅰ,理6文7)在ABC ∆中,AD 为BC 边上的中线,E 为AD 的中点,则(EB = ) A .3144AB AC - B .1344AB AC - C .3144AB AC + D .1344AB AC + 【答案】AABC ∆2C π∠=4AB =2AC =32AD AB =CD CB ⋅=18--18(1,2)a =5a b →→⋅=||a b →→-=||b →a b 1a =2b =()a ab ⊥-a b【解析】在ABC ∆中,AD 为BC 边上的中线,E 为AD 的中点,∴12EB AB AE AB AD =-=- 11()22AB AB AC =-⨯+3144AB AC =-,故选A .4.(2020全国Ⅱ文5)已知单位向量,a b 的夹角为60°,则在下列向量中,与b 垂直的是 ()A .b a 2+B .b a +2C .b a 2-D .b a -2【答案】D【思路导引】根据平面向量数量积的定义、运算性质,结合两平面向量垂直数量积为零这一性质逐一判断即可.【解析】由已知可得:11cos 601122⋅=︒=⨯⨯=a b a b . A :∵215(2)221022+⋅=⋅+=+⨯=≠a b b a b b ,∴本选项不符合题意; B :∵21(2)221202+⋅=⋅+=⨯+=≠a b b a b b ,∴本选项不符合题意;C :∵213(2)221022-⋅=⋅-=-⨯=-≠a b b a b b ,∴本选项不符合题意;D :∵21(2)22102-⋅=⋅-=⨯-=b b b a b b ,∴本选项符合题意.故选D .5.(2019•新课标Ⅰ,理7文8)已知非零向量a ,b 满足||2||a b =,且()a b b -⊥,则a 与b 的夹角为( ) A .6πB .3π C .23π D .56π 【答案】B【解析】()a b b -⊥,∴2()a b b a b b -=-2||||cos ,0a b a b b =<>-=,∴2||cos ,||||b a b a b <>=22||122||b b ==,,[0,]a b π<>∈,∴,3a b π<>=,故选B .6.(2017•新课标Ⅱ,文4)设非零向量a ,b 满足||||a b a b +=-则( ) A .a b ⊥ B .||||a b = C .//a b D .||||a b >【答案】A【解析】非零向量a ,b 满足||||a b a b +=-,∴22()()a b a b +=-,即222222a b ab a b ab ++=+-,∴0a b =,∴a b ⊥,故选A .7.(2016新课标,文13) 已知向量a =(m ,4),b =(3,−2),且a ∥b ,则m =___________. 【答案】6-【解析】因为a ∥b ,所以2430m --⨯=,解得6m =-.8.(2020全国Ⅰ文14)设向量()(),,,11124m m =-=+-a b ,若⊥a b ,则m =. 【答案】5【思路导引】根据向量垂直,结合题中所给的向量的坐标,利用向量垂直的坐标表示,求得结果. 【解析】由a b ⊥可得0a b ⋅=,又∵(1,1),(1,24)a b m m =-=+-, ∴1(1)(1)(24)0a b m m ⋅=⋅++-⋅-=,即5m =,故答案为:5.9.(2019•新课标Ⅲ,文13)已知向量(2,2)a =,(8,6)b =-,则cos a <,b >= .【答案】 【解析】由题知,2(8)264a b =⨯-+⨯=-,22||2222a =+=,22||(8)610b =-+=,cos a <,b >== 10.(2013新课标Ⅰ,理13文13)已知两个单位向量a ,b 的夹角为60°,c =t a +(1-t)b ,若b ·c =0,则t =_____. 【答案】2【解析】b c =[(1)]t t •+-b a b =2(1)t t •+-a b b =112t t +-=112t -=0,解得t =2. 11.(2013新课标Ⅱ,理13文14)已知正方形ABC 的边长为2,E 为CD 的中点,则AE BD =. 【答案】2【解析】AE BD =1()()2AD AB AD AB +•-=221||||2AD AB -=4-2=2. 12.(2017•新课标Ⅰ,文13)已知向量(1,2)a =-,(,1)b m =,若向量a b +与a 垂直,则m = . 【答案】7【解析】向量(1,2)a =-,(,1)b m =,∴(1,3)a b m +=-+,向量a b +与a 垂直,()(1)(1)320a b a m ∴+=-+⨯-+⨯=,解得7m =.13.(2017•新课标Ⅲ,文13)已知向量(2,3)a =-,(3,)b m =,且a b ⊥,则m = . 【答案】2【解析】向量(2,3)a =-,(3,)b m =,且a b ⊥,∴630a b m =-+=,解得2m =. 14.(2016新课标,理13)设向量a =(m ,1),b =(1,2),且|a +b |2=|a |2+|b |2,则m =.【答案】-2【解析】由|a +b |2=|a |2+|b |2得,b a •=0,所以02=+m ,解得2-=m .15.(2016•新课标Ⅰ,文13)设向量(,1)a x x =+,(1,2)b =,且a b ⊥,则x = . 【答案】23- 【解析】a b ⊥,∴0a b =,即2(1)0x x ++=,∴23x =-.B 组 能力提升16.(2020届安徽省合肥市高三第二次质检)在平行四边形中,若交于点,则( )A .B .C .D .【答案】D【解析】如图,∵,∴E 为CD 的中点, 设,且B ,F ,D 三点共线, ∴,解得, ∴. 故选D 。
2023年高考数学真题题源解密(全国卷)专题03 平面向量目录一览①2023真题展现考向一平面向量的数量积的运算考向二平面向量的夹角②真题考查解读③近年真题对比考向一平面向量的数量积的运算考向二平面向量的模长考向三两个向量的垂直问题考向四两个向量的平行(共线)问题④命题规律解密⑤名校模拟探源⑥易错易混速记考向一平面向量的数量积的运算2.(2023·全国乙卷理数第12题)已知O e B ,C 两点,D 为BC 的中点,若2PO =,则A .122+C .12+【答案】A【详解】如图所示,1,2OA OP ==,则由题意可知当点,A D 位于直线PO 同侧时,设则:PA PD ⋅ =||||cos PA PD α⎛⋅ ⎝ 2cos sin cos ααα=+1cos 22α+=考向二 平面向量的夹角由题知,1,OA OB OC ==AB 边上的高2,2OD AD =所以2CD CO OD =+=cos ,cos a c b c ACB 〈--〉=∠ 【命题意图】【考查要点】【得分要点】考向一平面向量的数量积的运算考向二平面向量的模长考向三两个向量的垂直问题考向四两个向量的平行(共线)问题12.(2023·河南安阳三模)已知正方形故选:13.(2023·河南安阳三模)的动点,则DE DO ⋅的最小值为(A .1B .【答案】C所以,()(12DE DO λAB AD AB ⋅=-⋅ 11111121,2333333λλλ⎛⎫⎡⎤=--+=+∈ ⎪⎢⎥⎝⎭⎣⎦二、填空题已知非零向量11()x y =,a ,22()x y =,b ,θ为向量a 、b 的夹角.。
5 10 2- - - - BQ 平面向量专题一、选择题例 1. ∆ABC 中, AB 边的高为CD ,若CB = a , CA = b , a ⋅ b = 0 , | a |= 1, | b |= 2 ,则 AD =1 1 (A ) a b332 2(B ) a b3 3 3 3(C ) a b5 54 4 (D ) a b55例 2.设 x ∈ R ,向量 a = (x ,1), b = (1, -2), 且 a ⊥ b ,则| a + b |=(A ) (B ) (C ) 2 例 3.设 a ,b 是两个非零向量。
(D )10 A.若|a+b|=|a|-|b|,则 a⊥bB.若 a⊥b,则|a+b|=|a|-|b|C.若|a+b|=|a|-|b|,则存在实数λ,使得 b=λaD.若存在实数λ,使得 b=λa,则|a+b|=|a|-|b|a b例 4.设 a 、b 都是非零向量,下列四个条件中,使 = 成立的充分条件是()| a | | b | A 、| a |=| b | 且 a // b B 、 a = -bC 、 a // bD 、 a = 2b例 5.设向量 a =(1. cos )与b =(-1, 2 cos )垂直,则cos 2等于 ()1 A BC .0 D.-1 2211 例 6.已知向量 a = (1,—1),b = (2,x).若 a ·b = 1,则 x =(A) —1(B) —(C)(D)122例 7.若向量 AB = (1, 2) , BC = (3, 4) ,则 AC =A. (4, 6)B. (-4, -6)C. (-2, -2)⋅ D. (2, 2)例 8.对任意两个非零的平面向量和 , 定义=⋅. 若两个非零的平面向量 a , b 满足 a 与 b 的夹角∈⎛⎫⎧ n ⎫, ⎪ ,且a b 和b a 都在集合⎨ n ∈ Z ⎬中,则a b =⎝ 4 2 ⎭ 5 3 ⎩ 2⎭ 1A.B.C. 1D.2 22例 9.已知向量 a=(x-1,2),b=(2,1),则 a ⊥b 的充要条件 1A.x=-2B.x-1C.x=5D.x=0例 10.在△ABC 中, ∠ A=90°,AB=1,设点 P ,Q 满足 AP =AB , AQ=(1- ) AC ,∈R 。
《(一)平面向量》测试题一、选择题1.若三点P (1,1),A (2,-4),B (x,-9)共线,则( )A.x=-1B.x=3C.x=29D.x=512.与向量a=(-5,4)平行的向量是( )A.(-5k,4k )B.(-k 5,-k 4) C.(-10,2) D.(5k,4k)3.若点P 分AB 所成的比为43,则A 分BP 所成的比是( ) A.73B. 37C.-37D.-734.已知向量a 、b ,a ·b=-40,|a|=10,|b|=8,则向量a 与b 的夹角为( )A.60°B.-60°C.120°D.-120°5.若|a-b|=32041-,|a|=4,|b|=5,则向量a ·b=( ) A.103 B.-103C.102D.106.(浙江)已知向量a =(1,2),b =(2,-3).若向量c 满足(c +a )∥b ,c ⊥(a +b ),则c =()A.⎝ ⎛⎭⎪⎫79,73B.⎝ ⎛⎭⎪⎫-73,-79C.⎝ ⎛⎭⎪⎫73,79D.⎝ ⎛⎭⎪⎫-79,-73 7.已知向量a=(3,4),b=(2,-1),如果向量(a+x )·b 与b 垂直,则x 的值为( ) A.323B.233C.2D.-528.设点P 分有向线段21P P的比是λ,且点P 在有向线段21P P 的延长线上,则λ的取值范围是( ) A.(-∞,-1) B.(-1,0) C.(-∞,0) D.(-∞,-21)9.设四边形ABCD 中,有DC =21AB ,且|AD |=|BC |,则这个四边形是( )A.平行四边形B.矩形C.等腰梯形D.菱形10.将y=x+2的图像C 按a=(6,-2)平移后得C ′的解析式为( )A.y=x+10B.y=x-6C.y=x+6D.y=x-1011.将函数y=x 2+4x+5的图像按向量a 经过一次平移后,得到y=x 2的图像,则a 等于( )A.(2,-1)B.(-2,1)C.(-2,-1)D.(2,1)12.已知平行四边形的3个顶点为A(a,b),B(-b,a),C(0,0),则它的第4个顶点D 的坐标是( )A.(2a,b)B.(a-b,a+b)C.(a+b,b-a)D.(a-b,b-a)二、填空题13.设向量a=(2,-1),向量b 与a 共线且b 与a 同向,b 的模为25,则b=。
一、多选题1.若a →,b →,c →是任意的非零向量,则下列叙述正确的是( ) A .若a b →→=,则a b →→= B .若a c b c →→→→⋅=⋅,则a b →→= C .若//a b →→,//b c →→,则//a c →→D .若a b a b →→→→+=-,则a b →→⊥2.已知ABC 的三个角A ,B ,C 的对边分别为a ,b ,c ,若cos cos A bB a=,则该三角形的形状是( ) A .等腰三角形B .直角三角形C .等腰直角三角形D .等腰或直角三角形3.给出下列结论,其中真命题为( ) A .若0a ≠,0a b ⋅=,则0b =B .向量a 、b 为不共线的非零向量,则22()a b a b ⋅=⋅ C .若非零向量a 、b 满足222a ba b +=+,则a 与b 垂直D .若向量a 、b 是两个互相垂直的单位向量,则向量a b +与a b -的夹角是2π 4.已知在平面直角坐标系中,点()10,1P ,()24,4P .当P 是线段12PP 的一个三等分点时,点P 的坐标为( ) A .4,23⎛⎫⎪⎝⎭B .4,33⎛⎫⎪⎝⎭C .()2,3D .8,33⎛⎫ ⎪⎝⎭5.已知向量a =(2,1),b =(1,﹣1),c =(m ﹣2,﹣n ),其中m ,n 均为正数,且(a b -)∥c ,下列说法正确的是( ) A .a 与b 的夹角为钝角B .向量a 在bC .2m +n =4D .mn 的最大值为26.已知向量()1,0a =,()2,2b =,则下列结论正确的是( ) A .()25,4a b += B .2b = C .a 与b 的夹角为45°D .()//2a a b +7.已知ABC ∆是边长为2的等边三角形,D ,E 分别是AC 、AB 上的两点,且AE EB =,2AD DC =,BD 与CE 交于点O ,则下列说法正确的是( )A .1AB CE ⋅=- B .0OE OC +=C .3OA OB OC ++=D .ED 在BC 方向上的投影为768.在ABC 中,若30B =︒,AB =2AC =,则C 的值可以是( ) A .30°B .60°C .120°D .150°9.下列各式中,结果为零向量的是( ) A .AB MB BO OM +++ B .AB BC CA ++ C .OA OC BO CO +++ D .AB AC BD CD -+- 10.下列各组向量中,不能作为基底的是( )A .()10,0e =,()21,1=eB .()11,2e =,()22,1e =-C .()13,4e =-,234,55⎛⎫=-⎪⎝⎭e D .()12,6=e ,()21,3=--e11.已知a 、b 是任意两个向量,下列条件能判定向量a 与b 平行的是( ) A .a b =B .a b =C .a 与b 的方向相反D .a 与b 都是单位向量12.在ABCD 中,设AB a =,AD b =,AC c =,BD d =,则下列等式中成立的是( ) A .a b c +=B .a d b +=C .b d a +=D .a b c +=13.点P 是ABC ∆所在平面内一点,满足20PB PC PB PC PA --+-=,则ABC ∆的形状不可能是( ) A .钝角三角形B .直角三角形C .等腰三角形D .等边三角形14.下列说法中错误的是( )A .向量AB 与CD 是共线向量,则A ,B ,C ,D 四点必在一条直线上 B .零向量与零向量共线 C .若,a b b c ==,则a c =D .温度含零上温度和零下温度,所以温度是向量 15.化简以下各式,结果为0的有( ) A .AB BC CA ++ B .AB AC BD CD -+- C .OA OD AD -+D .NQ QP MN MP ++-二、平面向量及其应用选择题16.在ABC ∆中,若cos cos a A b B =,则ABC 的形状一定是( ) A .等腰直角三角形B .直角三角形C .等腰三角形D .等腰或直角三角形17.下列命题中正确的是( ) A .若a b ,则a 在b 上的投影为a B .若(0)a c bc c ⋅=⋅≠,则a b =C .若,,,A B CD 是不共线的四点,则AB DC =是四边形ABCD 是平行四边形的充要条件 D .若0a b ⋅>,则a 与b 的夹角为锐角;若0a b ⋅<,则a 与b 的夹角为钝角18.已知非零向量AB 与AC 满足0AB AC BC AB AC ⎛⎫⎪+⋅= ⎪⎝⎭且12AB AC AB AC ⋅=,则ABC 的形状是( ) A .三边均不相等的三角形 B .等腰直角三角形 C .等边三角形D .以上均有可能19.已知ABC 所在平面内的一点P 满足20PA PB PC ++=,则::PAB PAC PBC S S S =△△△( )A .1∶2∶3B .1∶2∶1C .2∶1∶1D .1∶1∶220.O 为ABC ∆内一点内角A 、B 、C 所对的边分别为a 、b 、c ,已知0a OA b OB c OC ⋅+⋅+⋅=,且tan tan tan 0A OA B OB C OC ⋅+⋅+⋅=,若3a =,则边BC 所对的ABC ∆外接圆的劣弧长为( ) A .23πB .43π C .6π D .3π 21.如图,测量河对岸的塔高AB 时,选与塔底B 在同一水平面内的两个测点C 与D .现测得15BCD ∠=︒,45BDC ∠=︒,302CD m =,并在点C 测得塔顶A 的仰角为30,则塔高AB 为( )A .302mB .203mC .60mD .20m22.已知点O 是ABC 内部一点,并且满足2350OA OB OC ++=,OAC 的面积为1S ,ABC 的面积为2S ,则12S S =A .310B .38C .25D .42123.在ABC ∆中,D 为BC 中点,且12AE ED =,若BE AB AC λμ=+,则λμ+=( ) A .1B .23-C .13- D .34-24.在ABC ∆中,E ,F 分别为AB ,AC 的中点,P 为EF 上的任一点,实数x ,y 满足0PA xPB yPC ++=,设ABC ∆、PBC ∆、PCA ∆、PAB ∆的面积分别为S 、1S 、2S 、3S ,记ii S Sλ=(1,2,3i =),则23λλ⋅取到最大值时,2x y +的值为( ) A .-1B .1C .32-D .3225.著名数学家欧拉提出了如下定理:三角形的外心、重心、垂心依次位于同一直线上,且重心到外心的距离是重心到垂心距离的一半.此直线被称为三角形的欧拉线,该定理则被称为欧拉线定理.设点O ,H 分别是△ABC 的外心、垂心,且M 为BC 中点,则 ( )A .33AB AC HM MO +=+ B .33AB AC HM MO +=- C .24AB AC HM MO +=+D .24AB AC HM MO +=-26.ABC 中,a ,b ,c 分别为A ∠,B ,C ∠的对边,如果a ,b ,c 成等差数列,30B ∠=︒,ABC 的面积为32,那么b 等于( )A .132+ B .13+C .223+ D .23+27.中华人民共和国国歌有84个字,37小节,奏唱需要46秒,某校周一举行升旗仪式,旗杆正好处在坡度15︒的看台的某一列的正前方,从这一列的第一排和最后一排测得旗杆顶部的仰角分别为60︒和30,第一排和最后一排的距离为102米(如图所示),旗杆底部与第一排在同一个水平面上.要使国歌结束时国旗刚好升到旗杆顶部,升旗手升旗的速度应为(米/秒)A .23B .23C .23D .2328.已知M (3,-2),N (-5,-1),且12MP MN =,则P 点的坐标为( ) A .(-8,1) B .31,2⎛⎫-- ⎪⎝⎭C .31,2⎛⎫ ⎪⎝⎭D .(8,-1)29.设(),1A a ,()2,1B -,()4,5C 为坐标平面上三点,O 为坐标原点,若OA 与OB 在OC 方向上的投影相同,则a =( )A .12-B .12C .-2D .230.若两个非零向量a ,b 满足2a b a b b +=-=,则向量a b +与a 的夹角为( ) A .3π B .23π C .56π D .6π 31.三角形ABC 的三边分别是,,a b c ,若4c =,3C π∠=,且sin sin()2sin 2C B A A +-=,则有如下四个结论:①2a b =②ABC ∆③ABC ∆的周长为4+④ABC ∆外接圆半径3R =这四个结论中一定成立的个数是( ) A .1个B .2个C .3个D .4个32.已知1a b ==,12a b ⋅=,(),1c m m =-,(),1d n n =-(m ,n R ∈).存在a ,b ,对于任意实数m ,n ,不等式a c b d T -+-≥恒成立,则实数T 的取值范围为( )A .(-∞B .)+∞C .(-∞D .)+∞33.已知平面向量a ,b ,c 满足2a b ==,()()20c a c b ⋅--=,则b c ⋅的最大值为( ) A .54B .2C .174D .434.在△ABC 中,点D 在线段BC 的延长线上,且3BC CD =,点O 在线段CD 上(与点C ,D 不重合),若()1AO xAB x AC =+-,则x 的取值范围是( )A .10,2⎛⎫ ⎪⎝⎭B .10,3⎛⎫ ⎪⎝⎭C .1,02⎛⎫-⎪⎝⎭ D .1,03⎛⎫- ⎪⎝⎭35.在ABC 中,若()()0CA CB CA CB +⋅-=,则ABC 为( ) A .正三角形B .直角三角形C .等腰三角形D .无法确定【参考答案】***试卷处理标记,请不要删除一、多选题 1.ACD 【分析】根据平面向量的定义、数量积定义、共线向量定义进行判断. 【详解】对应,若,则向量长度相等,方向相同,故,故正确; 对于,当且时,,但,可以不相等,故错误; 对应,若,,则方向相同 解析:ACD 【分析】根据平面向量的定义、数量积定义、共线向量定义进行判断. 【详解】对应A ,若a b =,则向量,a b 长度相等,方向相同,故||||a b =,故A 正确; 对于B ,当a c ⊥且b c ⊥时,··0a c b c ==,但a ,b 可以不相等,故B 错误; 对应C ,若//a b ,//b c ,则,a b 方向相同或相反,,b c 方向相同或相反, 故,a c 的方向相同或相反,故//a c ,故C 正确;对应D ,若||||a b a b +=-,则22222?2?a a b b a a b b ++=-+,∴0a b =,∴a b ⊥,故D 正确.故选:ACD 【点睛】本题考查平面向量的有关定义,性质,数量积与向量间的关系,属于中档题.2.D 【分析】在中,根据,利用正弦定理得,然后变形为求解.【详解】 在中,因为, 由正弦定理得, 所以,即, 所以或, 解得或.故是直角三角形或等腰三角形. 故选: D. 【点睛】 本题主要考查解析:D 【分析】 在ABC 中,根据cos cos A b B a =,利用正弦定理得cos sin cos sin A BB A=,然后变形为sin 2sin 2A B =求解.【详解】在ABC 中,因为cos cos A bB a =, 由正弦定理得cos sin cos sin A BB A=, 所以sin cos sin cos A A B B =,即sin 2sin 2A B =, 所以22A B =或22A B π=-,解得A B =或2A B π+=.故ABC 是直角三角形或等腰三角形. 故选: D. 【点睛】本题主要考查利用正弦定理判断三角形的形状,还考查了运算求解的能力,属于基础题.3.CD 【分析】对于A 由条件推出或,判断该命题是假命题;对于B 由条件推出,判断该命题是假命题;对于C 由条件判断与垂直,判断该命题是真命题;对于D 由条件推出向量与的夹角是,所以该命题是真命题. 【详解解析:CD 【分析】对于A 由条件推出0b =或a b ⊥,判断该命题是假命题;对于B 由条件推出()()()222a b a b ⋅≠⋅,判断该命题是假命题;对于C 由条件判断a 与b 垂直,判断该命题是真命题;对于D 由条件推出向量a b +与a b -的夹角是2π,所以该命题是真命题. 【详解】对于A ,若0a ≠,0a b ⋅=,则0b =或a b ⊥,所以该命题是假命题; 对于B ,()()22222cos cos a ba b a b αα⋅==,而()()2222a ba b ⋅=,由于a 、b 为不共线的非零向量,所以2cos 1α≠,所以()()()222a b a b ⋅≠⋅,所以该命题是假命题;对于C ,若非零向量a 、b 满足222a ba b +=+,22222a b a b a b ++⋅=+,所以0a b ⋅=,则a 与b 垂直,所以该命题是真命题;对于D ,以a 与b 为邻边作平行四边形是正方形,则a b +和a b -所在的对角线互相垂直,所以向量a b +与a b -的夹角是2π,所以该命题是真命题. 故选:CD. 【点睛】本题考查平面向量的线性运算与数量积运算、向量垂直的判断,是基础题.4.AD 【分析】设,则,然后分点P 靠近点,靠近点两种情况,利用平面向量的线性运算求解. 【详解】 设,则,当点P 靠近点时,, 则, 解得, 所以,当点P 靠近点时,, 则, 解得, 所以, 故选:解析:AD 【分析】设(),P x y ,则()()12,1,4,4=-=--PP x y PP x y ,然后分点P 靠近点1P ,靠近点2P 两种情况,利用平面向量的线性运算求解. 【详解】设(),P x y ,则()()12,1,4,4=-=--PP x y PP x y , 当点P 靠近点1P 时,1212PPPP =, 则()()1421142x x y y ⎧=-⎪⎪⎨⎪-=-⎪⎩,解得432x y ⎧=⎪⎨⎪=⎩,所以4,23P ⎛⎫⎪⎝⎭, 当点P 靠近点2P 时,122PP PP =, 则()()24124x x y y ⎧=-⎪⎨-=-⎪⎩, 解得833x y ⎧=⎪⎨⎪=⎩,所以8,33P ⎛⎫ ⎪⎝⎭, 故选:AD 【点睛】本题主要考查平面向量的线性运算,还考查了运算求解的能力,属于基础题.5.CD 【分析】对于A ,利用平面向量的数量积运算判断;对于B ,利用平面向量的投影定义判断;对于C ,利用()∥判断;对于D ,利用C 的结论,2m+n=4,结合基本不等式判断. 【详解】 对于A ,向量(解析:CD 【分析】对于A ,利用平面向量的数量积运算判断; 对于B ,利用平面向量的投影定义判断;对于C ,利用(a b -)∥c 判断;对于D ,利用C 的结论,2m +n =4,结合基本不等式判断. 【详解】对于A ,向量a =(2,1),b =(1,﹣1),则2110a b ⋅=-=>,则,a b 的夹角为锐角,错误;对于B ,向量a =(2,1),b =(1,﹣1),则向量a 在b 方向上的投影为22a b b⋅=,错误;对于C ,向量a =(2,1),b =(1,﹣1),则a b -= (1,2),若(a b -)∥c ,则(﹣n )=2(m ﹣2),变形可得2m +n =4,正确;对于D ,由C 的结论,2m +n =4,而m ,n 均为正数,则有mn 12=(2m •n )12≤ (22m n +)2=2,即mn 的最大值为2,正确; 故选:CD. 【点睛】本题主要考查平面向量的数量积运算以及基本不等式的应用,属于基础题.6.AC 【分析】利用向量线性的坐标运算可判断A ;利用向量模的坐标求法可判断B ;利用向量数量积的坐标运算可判断C ;利用向量共线的坐标表示即可求解. 【详解】 由向量,, 则,故A 正确; ,故B 错误;解析:AC 【分析】利用向量线性的坐标运算可判断A ;利用向量模的坐标求法可判断B ;利用向量数量积的坐标运算可判断C ;利用向量共线的坐标表示即可求解. 【详解】由向量()1,0a =,()2,2b =,则()()()21,022,25,4a b +=+=,故A 正确;222b =+=,故B 错误;2cos ,21a b a b a b⋅<>===⋅+,又[],0,a b π<>∈,所以a 与b 的夹角为45°,故C 正确; 由()1,0a =,()25,4a b +=,140540⨯-⨯=≠,故D 错误.故选:AC 【点睛】本题考查了向量的坐标运算,考查了基本运算能力,属于基础题.7.BCD 【分析】以E 为原点建立平面直角坐标系,写出所有点的坐标求解即可. 【详解】由题E 为AB 中点,则,以E 为原点,EA ,EC 分别为x 轴,y 轴正方向建立平面直角坐标系,如图所示: 所以,,解析:BCD 【分析】以E 为原点建立平面直角坐标系,写出所有点的坐标求解即可. 【详解】由题E 为AB 中点,则CE AB ⊥,以E 为原点,EA ,EC 分别为x 轴,y 轴正方向建立平面直角坐标系,如图所示:所以,123(0,0),(1,0),(1,0),3),(,)33E A B C D -, 设123(0,),3),(1,),(,3O y y BO y DO y ∈==-,BO ∥DO , 所以3133y y -=-,解得:32y =, 即O 是CE 中点,0OE OC +=,所以选项B 正确;322OA OB OC OE OC OE ++=+==,所以选项C 正确; 因为CE AB ⊥,0AB CE ⋅=,所以选项A 错误;123(,33ED =,(1,3)BC =,ED 在BC 方向上的投影为127326BC BCED +⋅==,所以选项D 正确.故选:BCD 【点睛】此题考查平面向量基本运算,可以选取一组基底表示出所求向量的关系,对于特殊图形可以考虑在适当位置建立直角坐标系,利于计算.8.BC 【分析】由题意结合正弦定理可得,再由即可得解. 【详解】由正弦定理可得,所以, 又,所以, 所以或. 故选:BC.【点睛】本题考查了正弦定理的应用,考查了运算求解能力,属于基础题.解析:BC 【分析】由题意结合正弦定理可得sin 2C =,再由()0,150C ∈︒︒即可得解. 【详解】由正弦定理可得sin sin AB AC C B=,所以1sin 2sin 2AB B C AC ⋅===, 又30B =︒,所以()0,150C ∈︒︒, 所以60C =︒或120C =︒. 故选:BC. 【点睛】本题考查了正弦定理的应用,考查了运算求解能力,属于基础题.9.BD 【分析】根据向量的加法和减法运算,对四个选项逐一计算,即可得正确答案. 【详解】对于选项:,选项不正确; 对于选项: ,选项正确; 对于选项:,选项不正确; 对于选项:故选:解析:BD 【分析】根据向量的加法和减法运算,对四个选项逐一计算,即可得正确答案. 【详解】对于选项A :AB MB BO OM AB +++=,选项A 不正确; 对于选项B : 0AB BC CA AC CA ++=+=,选项B 正确; 对于选项C :OA OC BO CO BA +++=,选项C 不正确;对于选项D :()()0AB AC BD CD AB BD AC CD AD AD -+-=+-+=-= 选项D 正确. 故选:BD【点睛】本题主要考查了向量的线性运算,属于基础题.10.ACD 【分析】依次判断各选项中的两向量是否共线即可. 【详解】A ,C ,D 中向量与共线,不能作为基底;B 中,不共线,所以可作为一组基底. 【点睛】本题主要考查平面向量的基本定理及基底的定义,属解析:ACD 【分析】依次判断各选项中的两向量是否共线即可. 【详解】A ,C ,D 中向量1e 与2e 共线,不能作为基底;B 中1e ,2e 不共线,所以可作为一组基底. 【点睛】本题主要考查平面向量的基本定理及基底的定义,属于基础题.11.AC 【分析】根据共线向量的定义判断即可. 【详解】对于A 选项,若,则与平行,A 选项合乎题意;对于B 选项,若,但与的方向不确定,则与不一定平行,B 选项不合乎题意; 对于C 选项,若与的方向相反,解析:AC根据共线向量的定义判断即可. 【详解】对于A 选项,若a b =,则a 与b 平行,A 选项合乎题意;对于B 选项,若a b =,但a 与b 的方向不确定,则a 与b 不一定平行,B 选项不合乎题意;对于C 选项,若a 与b 的方向相反,则a 与b 平行,C 选项合乎题意;对于D 选项,a 与b 都是单位向量,这两个向量长度相等,但方向不确定,则a 与b 不一定平行,D 选项不合乎题意. 故选:AC. 【点睛】本题考查向量共线的判断,考查共线向量定义的应用,属于基础题.12.ABD 【分析】根据平行四边形及向量的加法法则即可判断. 【详解】由向量加法的平行四边形法则,知成立, 故也成立;由向量加法的三角形法则,知成立,不成立. 故选:ABD 【点睛】 本题主要考查解析:ABD 【分析】根据平行四边形及向量的加法法则即可判断. 【详解】由向量加法的平行四边形法则,知a b c +=成立, 故a b c +=也成立;由向量加法的三角形法则,知a d b +=成立,b d a +=不成立. 故选:ABD 【点睛】本题主要考查了向量加法的运算,数形结合,属于容易题.13.AD 【解析】 【分析】由条件可得,再两边平方即可得答案.∵P 是所在平面内一点,且, ∴, 即, ∴,两边平方并化简得, ∴,∴,则一定是直角三角形,也有可能是等腰直角三角形, 故解析:AD 【解析】 【分析】由条件可得||||AB AC AC AB -=+,再两边平方即可得答案. 【详解】∵P 是ABC ∆所在平面内一点,且|||2|0PB PC PB PC PA --+-=, ∴|||()()|0CB PB PA PC PA --+-=, 即||||CB AC AB =+, ∴||||AB AC AC AB -=+, 两边平方并化简得0AC AB ⋅=, ∴AC AB ⊥,∴90A ︒∠=,则ABC ∆一定是直角三角形,也有可能是等腰直角三角形, 故不可能是钝角三角形,等边三角形, 故选:AD. 【点睛】本题考查向量在几何中的应用,考查计算能力,是基础题.14.AD 【分析】利用零向量,平行向量和共线向量的定义,判断各个选项是否正确,从而得出结论. 【详解】向量与是共线向量,则A ,B ,C ,D 四点不一定在一条直线上,故A 错误; 零向量与任一向量共线,故B解析:AD 【分析】利用零向量,平行向量和共线向量的定义,判断各个选项是否正确,从而得出结论.向量AB 与CD 是共线向量,则A ,B ,C ,D 四点不一定在一条直线上,故A 错误; 零向量与任一向量共线,故B 正确; 若,a b b c ==,则a c =,故C 正确; 温度是数量,只有正负,没有方向,故D 错误. 故选:AD 【点睛】本题考查零向量、单位向量的定义,平行向量和共线向量的定义,属于基础题.15.ABCD 【分析】根据向量的线性运算逐个选项求解即可. 【详解】 ; ; ; .故选:ABCD 【点睛】本题主要考查了向量的线性运算,属于基础题型.解析:ABCD 【分析】根据向量的线性运算逐个选项求解即可. 【详解】0AB BC CA AC CA ++=+=;()()0AB AC BD CD AB BD AC CD AD AD -+-=+-+=-=;()0OA OD AD OA AD OD OD OD -+=+-=-=; 0NQ QP MN MP NP PM MN NM NM ++-=++=-=.故选:ABCD 【点睛】本题主要考查了向量的线性运算,属于基础题型.二、平面向量及其应用选择题16.D 【分析】首先利用正弦定理求得sin 2sin 2A B =,进一步利用三角函数的诱导公式求出结果. 【详解】解:已知:cos cos a A b B =,利用正弦定理:2sin sin sin a b cR A B C===, 解得:sin cos sin cos A A B B =,即sin 2sin 2A B =,所以:22A B =或21802A B =︒-,解得:A B =或90A B +=︒所以:ABC 的形状一定是等腰或直角三角形 故选:D . 【点评】本题考查的知识要点:正弦定理的应用,三角函数的诱导公式的应用,属于中档题. 17.C 【分析】根据平面向量的定义与性质,逐项判断,即可得到本题答案. 【详解】因为a b //,所以,a b 的夹角为0或者π,则a 在b 上的投影为||cos ||a a θ=±,故A 不正确;设(1,0),(0,0),(0,2)c b a ===,则有(0)a c b c c ⋅=⋅≠,但a b ≠,故B 不正确;,||||AB DC AB DC =∴=且//AB DC ,又,,,A B C D 是不共线的四点,所以四边形ABCD 为平行四边形;反之,若四边形ABCD 为平行四边形,则//AB DC 且||||AB DC =,所以AB DC =,故C 正确;0a b ⋅>时,,a b 的夹角可能为0,故D 不正确. 故选:C 【点睛】本题主要考查平面向量的定义、相关性质以及数量积. 18.C 【分析】ABAB 和ACAC 分别表示向量AB 和向量AC 方向上的单位向量,0AB AC BC AB AC ⎛⎫⎪+⋅= ⎪⎝⎭表示A ∠平分线所在的直线与BC 垂直,可知ABC 为等腰三角形,再由12AB AC ABAC⋅=可求出A ∠,即得三角形形状。
一、多选题1.已知,,a b c 是同一平面内的三个向量,下列命题中正确的是( ) A .||||||a b a b ⋅≤B .若a b c b ⋅=⋅且0b ≠,则a c =C .两个非零向量a ,b ,若||||||a b a b -=+,则a 与b 共线且反向D .已知(1,2)a =,(1,1)b =,且a 与a b λ+的夹角为锐角,则实数λ的取值范围是5,3⎛⎫-+∞ ⎪⎝⎭2.在ABC 中,a ,b ,c 分别是内角A ,B ,C 2sin c A =,且02C <<π,4b =,则以下说法正确的是( )A .3C π=B .若72c =,则1cos 7B =C .若sin 2cos sin A B C =,则ABC 是等边三角形D .若ABC 的面积是43.已知在平面直角坐标系中,点()10,1P ,()24,4P .当P 是线段12PP 的一个三等分点时,点P 的坐标为( ) A .4,23⎛⎫⎪⎝⎭B .4,33⎛⎫⎪⎝⎭C .()2,3D .8,33⎛⎫ ⎪⎝⎭4.在ABC 中,内角,,A B C 所对的边分别为,,a b c .根据下列条件解三角形,其中有两解的是( )A .10,45,70b A C ==︒=︒B .45,48,60b c B ===︒C .14,16,45a b A ===︒D .7,5,80a b A ===︒5.在ABC 中,内角A 、B 、C 所对的边分别为a 、b 、c ,不解三角形,确定下列判断错误的是( )A .B =60°,c =4,b =5,有两解 B .B =60°,c =4,b =3.9,有一解C .B =60°,c =4,b =3,有一解D .B =60°,c =4,b =2,无解6.下列关于平面向量的说法中正确的是( )A .已知A 、B 、C 是平面中三点,若,AB AC 不能构成该平面的基底,则A 、B 、C 共线 B .若a b b c ⋅=⋅且0b ≠,则a c =C .若点G 为ΔABC 的重心,则0GA GB GC ++=D .已知()12a =-,,()2,b λ=,若a ,b 的夹角为锐角,则实数λ的取值范围为1λ<7.在ABC 中,角A ,B ,C 所对各边分别为a ,b ,c ,若1a =,b =30A =︒,则B =( )A .30B .45︒C .135︒D .150︒8.设a 为非零向量,下列有关向量||aa 的描述正确的是( ) A .||1||a a =B .//||a a aC .||a a a =D .||||a a a a ⋅=9.有下列说法,其中错误的说法为( ). A .若a ∥b ,b ∥c ,则a ∥cB .若PA PB PB PC PC PA ⋅=⋅=⋅,则P 是三角形ABC 的垂心 C .两个非零向量a ,b ,若a b a b -=+,则a 与b 共线且反向D .若a ∥b ,则存在唯一实数λ使得a b λ= 10.在下列结论中,正确的有( )A .若两个向量相等,则它们的起点和终点分别重合B .平行向量又称为共线向量C .两个相等向量的模相等D .两个相反向量的模相等 11.对于菱形ABCD ,给出下列各式,其中结论正确的为( ) A .AB BC =B .AB BC =C .AB CD AD BC -=+D .AD CD CD CB +=-12.在ABCD 中,设AB a =,AD b =,AC c =,BD d =,则下列等式中成立的是( ) A .a b c +=B .a d b +=C .b d a +=D .a b c +=13.已知实数m ,n 和向量a ,b ,下列说法中正确的是( ) A .()m a b ma mb -=- B .()m n a ma na -=-C .若ma mb =,则a b =D .若()0ma na a =≠,则m n =14.某人在A 处向正东方向走xkm 后到达B 处,他向右转150°,然后朝新方向走3km 到达C处,,那么x 的值为( )A B .C .D .315.如果12,e e 是平面α内两个不共线的向量,那么下列说法中正确的是( ) A .12(,),e e λμλμ+∈R 可以表示平面α内的所有向量B .对于平面α内任一向量a ,使12,a e e λμ=+的实数对(,)λμ有无穷多个C .若向量1112e e λμ+与2122e e λμ+共线,则有且只有一个实数λ,使得()11122122e e e e λμλλμ+=+D .若存在实数,λμ使得120e e λμ+=,则0λμ==二、平面向量及其应用选择题16.在ABC 中,角A 、B 、C 所对的边分别是a 、b 、c ,若1c =,45B =︒,3cos 5A =,则b 等于( )A .35 B .107C .57D 17.ABC 中,内角A ,B ,C 所对的边分别为a b c ,,.①若A B >,则sin sin A B >;②若sin 2sin 2A B =,则ABC 一定为等腰三角形;③若cos cos a B b A c -=,则ABC 一定为直角三角形;④若3B π=,2a =,且该三角形有两解,则b 的范围是)+∞.以上结论中正确的有( )A .1个B .2个C .3个D .4个18.已知非零向量AB ,AC 满足0||||AB AC BC AB AC ⎛⎫+= ⎪ ⎪⎝⎭,且1||||2AB AC AB AC =,则ABC ∆的形状是( ) A .三边均不相等的三角形 B .直角三角形 C .等腰(非等边)三角形D .等边三角形19.已知在ABC 中,内角A 、B 、C 所对的边分别为a 、b 、c ,若ABC 的面积为S ,且222()S a b c =+-,则tan C =( )A .43-B .34-C .34D .4320.如图,测量河对岸的塔高AB 时,选与塔底B 在同一水平面内的两个测点C 与D .现测得15BCD ∠=︒,45BDC ∠=︒,CD =,并在点C 测得塔顶A 的仰角为30,则塔高AB 为( )A .302mB .203mC .60mD .20m21.在ABC ∆中,D 为BC 中点,且12AE ED =,若BE AB AC λμ=+,则λμ+=( ) A .1B .23-C .13- D .34-22.在ABC 中,若A B >,则下列结论错误的是( ) A .sin sin A B >B .cos cos A B <C .sin2sin2A B >D .cos2cos2A B <23.在△ABC 中,M 为BC 上一点,60,2,||4ACB BM MC AM ∠=︒==,则△ABC 的面积的最大值为( ) A .123B .3C .12D .18324.在ABC ∆中,E ,F 分别为AB ,AC 的中点,P 为EF 上的任一点,实数x ,y 满足0PA xPB yPC ++=,设ABC ∆、PBC ∆、PCA ∆、PAB ∆的面积分别为S 、1S 、2S 、3S ,记ii S Sλ=(1,2,3i =),则23λλ⋅取到最大值时,2x y +的值为( ) A .-1B .1C .32-D .3225.已知ABC 的面积为30,且12cos 13A =,则AB AC ⋅等于( ) A .72B .144C .150D .30026.在ABC ∆中,内角,,A B C 的对边分别是,.a b c ,若cos 2aB c=,则ABC ∆一定是( ) A .等腰三角形B .等边三角形C .直角三角形D .等腰直角三角形27.在ABC 中,三内角A ,B ,C 的对边分别为a ,b ,c ,面积为S ,若()22S a b c +=+,则cos A 等于( )A .45B .45-C .1517D .1517-28.已知向量(22cos 3m x =,()1,sin2n x =,设函数()f x m n =⋅,则下列关于函数()y f x =的性质的描述正确的是( )A .关于直线12x π=对称B .关于点5,012π⎛⎫⎪⎝⎭对称 C .周期为2πD .()y f x =在,03π⎛⎫- ⎪⎝⎭上是增函数29.在ABC 中,()2BC BA AC AC +⋅=,则ABC 的形状一定是( ) A .等边三角形B .等腰三角形C .等腰直角三角形D .直角三角形30.若两个非零向量a ,b 满足2a b a b b +=-=,则向量a b +与a 的夹角为( ) A .3πB .23π C .56π D .6π 31.如图所示,在ABC 中,点D 是边BC 上任意一点,M 是线段AD 的中点,若存在实数λ和μ,使得BM AB AC λμ=+,则λμ+=( )A .1-B .12-C .2-D .32-32.已知ABC 中,1,3,30a b A ︒===,则B 等于( )A .60°B .120°C .30°或150°D .60°或120°33.如图,在直角梯形ABCD 中,22AB AD DC ==,E 为BC 边上一点,BC 3EC =,F 为AE 的中点,则BF =( )A .2133AB AD - B .1233AB AD - C .2133AB AD -+ D .1233AB AD -+ 34.ABC 中,a ,b ,c 分别为A ∠,B ,C ∠的对边,如果a ,b ,c 成等差数列,30B ∠=︒,ABC 的面积为32,那么b 等于( )A 13+ B .13C 23+ D .2335.如图,ADC 是等边三角形,ABC 是等腰直角三角形,90ACB ∠︒=,BD 与AC 交于E 点.若2AB =,则AE 的长为( )A 62B .1(62)2C 62D .1(62)2【参考答案】***试卷处理标记,请不要删除一、多选题 1.AC 【分析】根据平面向量数量积定义可判断A ;由向量垂直时乘积为0,可判断B ;利用向量数量积的运算律,化简可判断C ;根据向量数量积的坐标关系,可判断D. 【详解】对于A ,由平面向量数量积定义可知 解析:AC 【分析】根据平面向量数量积定义可判断A ;由向量垂直时乘积为0,可判断B ;利用向量数量积的运算律,化简可判断C ;根据向量数量积的坐标关系,可判断D. 【详解】对于A ,由平面向量数量积定义可知cos ,a b a b a b ⋅=,则||||||a b a b ⋅≤,所以A 正确,对于B ,当a 与c 都和b 垂直时,a 与c 的方向不一定相同,大小不一定相等,所以B 错误,对于C ,两个非零向量a ,b ,若||||||a b a b -=+,可得22()(||||)a b a b -=+,即22||||a b a b -⋅=,cos 1θ=-,则两个向量的夹角为π,则a 与b 共线且反向,故C 正确; 对于D ,已知(1,2)a =,(1,1)b =且a 与a b λ+的夹角为锐角, 可得()0a a b λ⋅+>即2||0a a b λ+⋅>可得530λ+>,解得53λ>-, 当a 与a b λ+的夹角为0时,(1,2)a b λλλ+=++,所以2220λλλ+=+⇒=所以a 与a b λ+的夹角为锐角时53λ>-且0λ≠,故D 错误; 故选:AC. 【点睛】本题考查了平面向量数量积定义的应用,向量共线及向量数量积的坐标表示,属于中档题.2.AC 【分析】对于,利用正弦定理可将条件转化得到,即可求出; 对于,利用正弦定理可求得,进而可得;对于,利用正弦定理条件可转化为,结合原题干条件可得,进而求得; 对于,根据三角形面积公式求得,利解析:AC 【分析】对于A2sin sin A C A =,即可求出C ; 对于B ,利用正弦定理可求得sin B ,进而可得cos B ;对于C ,利用正弦定理条件可转化为2cos a c B =,结合原题干条件可得B ,进而求得A B C ==;对于D ,根据三角形面积公式求得a ,利用余弦定理求得c ,进而由正弦定理求得R . 【详解】2sin c A =2sin sin A C A =, 因为sin 0A ≠,故sin C =, 因为(0,)2C π∈,则3C π=,故A 正确;若72c =,则由正弦定理可知sin sin c b C B =,则4sin sin 72b B Cc == 因为(0,)B π∈,则1cos 7B =±,故B 错误; 若sin 2cos sin A BC =,根据正弦定理可得2cos a c B =,2sin c A =,即sin a A =sin 2cos A c B =,所以sin A B =,因为23A B C ππ+=-=,则23A B π=-,故2sin()3B B π-=,1sin 2B B B +=,即1sin 2B B =,解得tan B =3B π=,则3A π=,即3A B C π===,所以ABC 是等边三角形,故C 正确; 若ABC的面积是1sin 2ab C =2a =, 由余弦定理可得22212cos 416224122c a b ab C =+-=+-⨯⨯⨯=,即c = 设三角形的外接圆半径是R ,由正弦定理可得24sin c R C ===,则该三角形外接圆半径为2,故D 错误, 故选:AC . 【点睛】本题考查正余弦定理的应用及同角三角函数的基本关系和两角和与差的三角公式,转化思想,计算能力,属于中档题.3.AD 【分析】设,则,然后分点P 靠近点,靠近点两种情况,利用平面向量的线性运算求解. 【详解】 设,则,当点P 靠近点时,, 则, 解得, 所以,当点P 靠近点时,, 则, 解得, 所以, 故选:解析:AD 【分析】设(),P x y ,则()()12,1,4,4=-=--PP x y PP x y ,然后分点P 靠近点1P ,靠近点2P 两种情况,利用平面向量的线性运算求解. 【详解】设(),P x y ,则()()12,1,4,4=-=--PP x y PP x y ,当点P 靠近点1P 时,1212PPPP =, 则()()1421142x x y y ⎧=-⎪⎪⎨⎪-=-⎪⎩,解得432x y ⎧=⎪⎨⎪=⎩,所以4,23P ⎛⎫ ⎪⎝⎭, 当点P 靠近点2P 时,122PP PP =, 则()()24124x x y y ⎧=-⎪⎨-=-⎪⎩,解得833x y ⎧=⎪⎨⎪=⎩,所以8,33P ⎛⎫ ⎪⎝⎭, 故选:AD 【点睛】本题主要考查平面向量的线性运算,还考查了运算求解的能力,属于基础题.4.BC 【分析】根据题设条件和三角形解的个数的判定方法,逐项判定,即可求解,得到答案. 【详解】对于选项A 中:由,所以,即三角形的三个角是确定的值,故只有一解; 对于选项B 中:因为,且,所以角有两解析:BC 【分析】根据题设条件和三角形解的个数的判定方法,逐项判定,即可求解,得到答案. 【详解】对于选项A 中:由45,70A C =︒=︒,所以18065B A C =--=︒,即三角形的三个角是确定的值,故只有一解; 对于选项B中:因为csin sin 115B C b ==<,且c b >,所以角C 有两解;对于选项C 中:因为sin sin 17b A B a ==<,且b a >,所以角B 有两解; 对于选项D 中:因为sin sin 1b AB a=<,且b a <,所以角B 仅有一解. 故选:BC . 【点睛】本题主要考查了三角形解得个数的判定,其中解答中熟记三角形解得个数的判定方法是解答的关键,着重考查了分析问题和解答问题的能力,属于基础题.5.ABC【分析】根据判断三角形解的个数的结论:若为锐角,当时,三角形有唯一解;当时,三角形有两解;当时,三角形无解:当时,三角形有唯一解.逐个判断即可得解. 【详解】对于,因为为锐角且,所以三角解析:ABC 【分析】根据判断三角形解的个数的结论:若B 为锐角,当c b <时,三角形有唯一解;当sin c B b c <<时,三角形有两解;当sin c B b >时,三角形无解:当sin c B b =时,三角形有唯一解.逐个判断即可得解. 【详解】对于A ,因为B 为锐角且45c b =<=,所以三角形ABC 有唯一解,故A 错误;对于B ,因为B 为锐角且sin 4 3.9c B b c ===<,所以三角形ABC 有两解,故B 错误;对于C ,因为B 为锐角且 sin 432c B b =⨯=>=,所以三角形ABC 无解,故C 错误;对于D ,因为B 为锐角且sin 42c B b ==>=,所以三角形ABC 无解,故D 正确. 故选:ABC. 【点睛】本题考查了判断三角形解的个数的方法,属于基础题.6.AC 【分析】根据平面向量基本定理判断A ;由数量积的性质可判断;由向量的中点表示和三角形的重心性质可判断,由数量积及平面向量共线定理判断D . 【详解】解:因为不能构成该平面的基底,所以,又有公共解析:AC【分析】根据平面向量基本定理判断A ;由数量积的性质可判断B ;由向量的中点表示和三角形的重心性质可判断C ,由数量积及平面向量共线定理判断D .【详解】解:因为,AB AC 不能构成该平面的基底,所以//AB AC ,又,AB AC 有公共点A ,所以A 、B 、C 共线,即A 正确;由平面向量的数量积可知,若a b b c =,则||||cos ,||||cos ,a b a b b c b c <>=<>,所以||cos ,||cos ,a a b c b c <>=<>,无法得到a c =,即B 不正确;设线段AB 的中点为M ,若点G 为ABC ∆的重心,则2GA GB GM +=,而2GC GM =-,所以0GA GB GC ++=,即C 正确;()12a =-,,()2,b λ=,若a ,b 的夹角为锐角,则220a b λ=⋅->解得1λ<,且a 与b 不能共线,即4λ≠-,所以()(),44,1λ∈-∞--,故D 错误;故选:AC .【点睛】本题考查向量共线定理和向量数量积的性质和向量的加减运算,属于中档题. 7.BC【分析】用正弦定理求得的值,由此得出正确选项.【详解】解:根据正弦定理得: ,由于,所以或.故选:BC.【点睛】本题考查利用正弦定理解三角形,是基础题.解析:BC【分析】用正弦定理求得sin B 的值,由此得出正确选项.【详解】 解:根据正弦定理sin sin a b A B =得:1sin 2sin 12b A B a ===,由于1b a =>=,所以45B =或135B =.故选:BC.【点睛】本题考查利用正弦定理解三角形,是基础题.8.ABD【分析】首先理解表示与向量同方向的单位向量,然后分别判断选项.【详解】表示与向量同方向的单位向量,所以正确,正确,所以AB正确,当不是单位向量时,不正确,,所以D正确.故选:ABD解析:ABD【分析】首先理解aa表示与向量a同方向的单位向量,然后分别判断选项.【详解】aa表示与向量a同方向的单位向量,所以1aa=正确,//aaa正确,所以AB正确,当a不是单位向量时,aaa=不正确,cos0aa aa a a aa a a⋅==⨯=,所以D正确.故选:ABD【点睛】本题重点考查向量aa的理解,和简单计算,应用,属于基础题型,本题的关键是理解aa表示与向量a同方向的单位向量.9.AD【分析】分别对所给选项进行逐一判断即可.【详解】对于选项A,当时,与不一定共线,故A错误;对于选项B,由,得,所以,,同理,,故是三角形的垂心,所以B正确;对于选项C,两个非零向量解析:AD【分析】分别对所给选项进行逐一判断即可.对于选项A ,当0b =时,a 与c 不一定共线,故A 错误;对于选项B ,由PA PB PB PC ⋅=⋅,得0PB CA ⋅=,所以PB CA ⊥,PB CA ⊥, 同理PA CB ⊥,PC BA ⊥,故P 是三角形ABC 的垂心,所以B 正确;对于选项C ,两个非零向量a ,b ,若a b a b -=+,则a 与b 共线且反向,故C 正确; 对于选项D ,当0b =,0a ≠时,显然有a ∥b ,但此时λ不存在,故D 错误. 故选:AD【点睛】本题考查与向量有关的命题的真假的判断,考查学生对基本概念、定理的掌握,是一道容易题.10.BCD【分析】根据向量的定义和性质依次判断每个选项得到答案.【详解】A. 若两个向量相等,它们的起点和终点不一定不重合,故错误;B. 平行向量又称为共线向量,根据平行向量定义知正确解析:BCD【分析】根据向量的定义和性质依次判断每个选项得到答案.【详解】A. 若两个向量相等,它们的起点和终点不一定不重合,故错误;B. 平行向量又称为共线向量,根据平行向量定义知正确;C. 相等向量方向相同,模相等,正确;D. 相反向量方向相反,模相等,故正确;故选:BCD【点睛】本题考查了向量的定义和性质,属于简单题.11.BCD【分析】由向量的加法减法法则及菱形的几何性质即可求解.【详解】菱形中向量与的方向是不同的,但它们的模是相等的,所以B 结论正确,A 结论错误;因为,,且,所以,即C 结论正确;因为,【分析】由向量的加法减法法则及菱形的几何性质即可求解.【详解】菱形中向量AB 与BC 的方向是不同的,但它们的模是相等的,所以B 结论正确,A 结论错误; 因为2AB CD AB DC AB -=+=,2AD BC BC +=,且AB BC =, 所以AB CD AD BC -=+,即C 结论正确;因为AD CD BC CD BD +=+=,||||CD CB CD BC BD -=+=,所以D 结论正确. 故选:BCD【点睛】本题主要考查了向量加法、减法的运算,菱形的性质,属于中档题.12.ABD 【分析】根据平行四边形及向量的加法法则即可判断.【详解】由向量加法的平行四边形法则,知成立, 故也成立;由向量加法的三角形法则,知成立,不成立.故选:ABD【点睛】本题主要考查解析:ABD【分析】根据平行四边形及向量的加法法则即可判断.【详解】由向量加法的平行四边形法则,知a b c +=成立,故a b c +=也成立;由向量加法的三角形法则,知a d b +=成立,b d a +=不成立.故选:ABD【点睛】本题主要考查了向量加法的运算,数形结合,属于容易题.13.ABD【分析】根据向量数乘运算判断AB 选项的正确性,通过的特殊情况判断C 选项的正确性,根据向量运算判断D 选项的正确性.【详解】根据向量数乘的运算可知A 和B 正确;C 中,当时,,但与不一定相等, 解析:ABD【分析】根据向量数乘运算判断AB 选项的正确性,通过m 的特殊情况判断C 选项的正确性,根据向量运算判断D 选项的正确性.【详解】根据向量数乘的运算可知A 和B 正确;C 中,当0m =时,0ma mb ==,但a 与b 不一定相等,故C 不正确;D 中,由ma na =,得()0m n a -=,因为0a ≠,所以m n =,故D 正确.故选:ABD【点睛】本小题主要考查向量数乘运算,属于基础题.14.AB【分析】由余弦定理得,化简即得解.【详解】由题意得,由余弦定理得,解得或.故选:AB.【点睛】本题主要考查余弦定理的实际应用,意在考查学生对这些知识的理解掌握水平. 解析:AB【分析】 由余弦定理得293cos306x x︒+-=,化简即得解. 【详解】 由题意得30ABC ︒∠=,由余弦定理得293cos306x x ︒+-=,解得x =x故选:AB.【点睛】本题主要考查余弦定理的实际应用,意在考查学生对这些知识的理解掌握水平. 15.AD【分析】根据平面向量基本定理可知,A 、D 是正确的,选项B 不正确;对于选项C ,当两个向量均为时,有无数个,故不正确.【详解】由平面向量基本定理可知,A 、D 是正确的.对于B,由平面向量基本解析:AD【分析】根据平面向量基本定理可知,A 、D 是正确的,选项B 不正确;对于选项C ,当两个向量均为0时,λ有无数个,故不正确.【详解】由平面向量基本定理可知,A 、D 是正确的.对于B ,由平面向量基本定理可知,如果一个平面的基底确定,那么任意一个向量在此基底下的实数对是唯一的,所以不正确;对于C ,当两向量的系数均为零,即12120λλμμ====时,这样的λ有无数个,所以不正确.故选:AD .【点睛】本题考查平面向量基本定理的辨析,熟记并理解定理内容是关键,解题中要注意特殊值的应用,属于基础题.二、平面向量及其应用选择题16.C【分析】利用同角三角函数基本关系式可得sin A ,进而可得cos (cos cos sin sin )C A B A B =--,再利用正弦定理即可得出.【详解】 解:3cos 5A =,(0,180)A ∈︒︒.∴4sin 5A =,34cos cos()(cos cos sin sin )(55C A B A B A B =-+=--=--=.sin C ∴= 由正弦定理可得:sin sin b c B C=,∴1sin 5sin 7c B b C ===. 故选:C .【点睛】本题考查了同角三角函数基本关系式、正弦定理、两角和差的余弦公式,考查了推理能力与计算能力,属于中档题.17.B【分析】由大边对大角可判断①的正误,用三角函数的知识将式子进行化简变形可判断②③的正误,用正弦定理结合三角形有两解可判断④的正误.【详解】①由正弦定理及大边对大角可知①正确;②可得A B =或2A B π+=,ABC 是等腰三角形或直角三角形,所以②错误;③由正弦定理可得sin cos sin cos sin A B B A C -=,结合()sin sin sin cos sin cos C A B A B B A =+=+可知cos sin 0=A B ,因为sin 0B ≠,所以cos 0A =,因为0A π<<,所以2A π=,因此③正确; ④由正弦定理sin sin a b A B =得sin sin sin a B b A A==, 因为三角形有两解,所以2,332A B A πππ>>=≠所以sin 2A ⎛⎫∈ ⎪⎪⎝⎭,即)b ∈,故④错误. 故选:B【点睛】 本题考查的是正余弦定理的简单应用,要求我们要熟悉三角函数的和差公式及常见的变形技巧,属于中档题.18.D【分析】 先根据0||||AB AC BC AB AC ⎛⎫+= ⎪ ⎪⎝⎭,判断出A ∠的角平分线与BC 垂直,进而推断三角形为等腰三角形进而根据向量的数量积公式求得C ,判断出三角形的形状.【详解】解:0||||AB AC BC AB AC ⎛⎫+= ⎪ ⎪⎝⎭,||AB AB ,||AC AC 分别为单位向量, A ∴∠的角平分线与BC 垂直,AB AC ∴=, 1cos ||||2AB AC A AB AC ==, 3A π∴∠=,3B C A π∴∠=∠=∠=, ∴三角形为等边三角形.故选:D .【点睛】本题主要考查了平面向量的数量积的运算,三角形形状的判断.考查了学生综合分析能力,属于中档题.19.A【分析】由三角形面积公式和余弦定理可得C 的等式,利用二倍角公式求得tan 2C ,从而求得tan C .【详解】∵222222()2S a b c a b ab c =+-=++-,即22212sin 22ab C a b ab c ⨯⋅=++-, ∴222sin 2ab C ab a b c ⋅-=+-, 又222sin 2sin cos 1222a b c ab C ab C C ab ab +-⋅-===-,∴sin cos 12C C +=, 即22cos sin cos 222C C C =,则tan 22C =,∴222tan2242tan 1231tan 2CC C ⨯===---, 故选:A .【点睛】 本题考查三角形面积公式,余弦定理,考查二倍角公式,同角间的三角函数关系,掌握相应的公式即可求解.属于中档题,考查了学生的运算求解能力.20.D【分析】由正弦定理确定BC 的长,再tan30ABBC 求出AB .【详解】 15BCD ∠=︒,45BDC ∠=︒120CBD由正弦定理得:sin120sin 45BC 302sin 45203sin120BC 3tan 30203203ABBC故选D 【点睛】 本题是正弦定理的实际应用,关键是利用正弦定理求出BC ,属于基础题. 21.B【分析】选取向量AB ,AC 为基底,由向量线性运算,求出BE ,即可求得结果.【详解】13BE AE AB AD AB =-=-,1()2AD AB AC =+ , 5166BE AB AC AB AC λμ∴=-+=+, 56λ∴=-,16μ=,23λμ∴+=-. 故选:B.【点睛】本题考查了平面向量的线性运算,平面向量基本定理,属于基础题.22.C【分析】由正弦定理结合三角形中的大边对大角得sin sin A B >,由余弦函数性质判断B ,然后结合二倍角公式判断CD .【详解】设ABC 三边,,a b c 所对的角分别为,,A B C ,由A B >,则,a b >∴sin sin 0A B >>,A 正确;由余弦函数性质知cos cos A B <,B 正确;sin 22sin cos A A A =,sin 22sin cos B B B =,当A 为钝角时就有sin 2sin 2A B <,C 错误,;2cos 212sin A A =-,2cos 212sin B B =-,∴cos2cos2A B <,D 正确. 故选:C .【点睛】本题考查三角形内角和定理,考查正弦定理、余弦函数性质,考查正弦、余弦的二倍角公式,考查学生的逻辑推理能力,属于中档题.23.A【分析】由已知条件,令||AC a =,||BC b =,则在△ACM 中结合余弦定理可知48ab ≤,根据三角形面积公式即可求最大值【详解】由题意,可得如下示意图令||AC a =,||BC b =,又2BM MC =,即有1||||33b CM CB == ∴由余弦定理知:222||||||2||||cos AM CA CM CA CM ACB =+-∠2221216()332333a ab ab ab ab b =+-⨯≥-=,当且仅当3a b =时等号成立 ∴有48ab ≤ ∴113sin 48123222ABC S ab C ∆=≤⨯⨯=故选:A【点睛】本题考查了正余弦定理,利用向量的知识判断线段的长度及比例关系,再由余弦定理并应用基本不等式求三角形两边之积的范围,进而结合三角形面积公式求最值24.D【分析】根据三角形中位线的性质,可得P 到BC 的距离等于△ABC 的BC 边上高的一半,从而得到12312S S S S ==+,由此结合基本不等式求最值,得到当23λλ⋅取到最大值时,P 为EF 的中点,再由平行四边形法则得出11022PA PB PC ++=,根据平面向量基本定理可求得12x y ==,从而可求得结果. 【详解】如图所示:因为EF 是△ABC 的中位线,所以P 到BC 的距离等于△ABC 的BC 边上高的一半, 所以12312S S S S ==+, 由此可得22232322322()1216S S S S S S S S S S λλ+=⨯=≤=, 当且仅当23S S =时,即P 为EF 的中点时,等号成立,所以0PE PF +=,由平行四边形法则可得2PA PB PE +=,2PA PC PF +=,将以上两式相加可得22()0PA PB PC PE PF ++=+=, 所以11022PA PB PC ++=, 又已知0PA xPB yPC ++=, 根据平面向量基本定理可得12x y ==, 从而132122x y +=+=. 故选:D【点睛】本题考查了向量加法的平行四边形法则,考查了平面向量基本定理的应用,考查了基本不等式求最值,属于中档题.25.B【分析】首先利用三角函数的平方关系得到sin A ,然后根据平面向量的数量积公式得到所求.【详解】解:因为ABC 的面积为30,且12cos 13A =,所以5sin 13A =,所以1||||sin 302AB AC A ⨯=,得到||||626AB AC ⨯=⨯, 所以12|||||cos 62614413AB AC AB AC A =⨯=⨯⨯=; 故选:B .【点睛】本题考查了平面向量的数量积以及三角形的面积;属于中档题.26.A【分析】利用余弦定理化角为边,得出c b ABC =, 是等腰三角形.【详解】ABC ∆中,c cos 2a B c =,由余弦定理得,2222a c b cosB ac+-= , ∴22222a a c b c ac+-= 220c b ∴-= ,∴c b ABC =,是等腰三角形.【点睛】本题考查余弦定理的应用问题,是基础题.27.D【分析】由22()S a b c +=+,利用余弦定理、三角形的面积计算公式可得:1sin 2cos 22bc A bc A bc =+,化为sin 4cos 4A A -=,与22sin cos 1A A +=.解出即可.【详解】解:22()S a b c +=+,2222S b c a bc ∴=+-+, ∴1sin 2cos 22bc A bc A bc =+, 所以sin 4cos 4A A -=,因为22sin cos 1A A +=. 解得15cos 17A =-或cos 1A =-. 因为1cos 1A -<<,所以cos 1A =-舍去.15cos 17A ∴=-. 故选:D .【点睛】本题考查了余弦定理、三角形的面积计算公式、同角三角函数基本关系式,考查了推理能力与计算能力,属于中档题.28.D【详解】()22cos 2cos 2212sin(2)16f x x x x x x π=+=+=++,当12x π=时,sin(2)sin 163x ππ+=≠±,∴f (x )不关于直线12x π=对称; 当512x π=时,2sin(2)116x π++= ,∴f (x )关于点5(,1)12π对称; f (x )得周期22T ππ==, 当(,0)3x π∈-时,2(,)626x πππ+∈- ,∴f (x )在(,0)3π-上是增函数. 本题选择D 选项.29.D【分析】先根据向量减法与向量数量积化简得边之间关系,再判断三角形形状.【详解】因为()()()222BC BA AC BC BA BC BA BC BA AC +⋅=+⋅-=-=,所以222a c b -=,即ABC 是直角三角形,选D.【点睛】判断三角形形状的方法①化边:通过因式分解、配方等得出边的相应关系,从而判断三角形的形状. ②化角:通过三角恒等变形,得出内角的关系,从而判断三角形的形状,此时要注意应用πA B C ++=这个结论. 30.D【分析】根据条件利用平方法得到向量数量积的数值,结合向量数量积与夹角之间的关系进行求解即可.【详解】 ∵非零向量a ,b 满足2a b a b b +=-=, ∴平方得22a b a b +=-,即2222||2||2a b a b a b a b ++⋅=+-⋅ , 则0a b ⋅=,由2a b b +=, 平方得222||24||a b a b b ++⋅=,得223a b =,即3a b =则2a b b +=,22|3|a b a a a b b +⋅=+⋅=(),则向量a b +与a 的夹角的余弦值23||323a b a b cos a b a b bθ+⋅===+⋅⋅(), ,0.6πθπθ≤≤∴=, ,故选D.【点睛】 本题主要考查向量数量积的应用,求解向量数量积的大小是解决本题的关键. 31.B【分析】由题意结合中点的性质和平面向量基本定理首先表示出向量BD ,BM ,然后结合平面向量的运算法则即可求得最终结果.【详解】如图所示,因为点D 在线段BC 上,所以存在t R ∈,使得()BD tBC t AC AB ==-, 因为M 是线段AD 的中点,所以: ()()()111112222BM BA BD AB t AC t AB t AB t AC =+=-+-=-++, 又BM AB AC λμ=+,所以()112t λ=-+,12t μ=, 所以12λμ+=-. 故选:B.【点睛】(1)应用平面向量基本定理表示向量的实质是利用平行四边形法则或三角形法则进行向量的加、减或数乘运算.(2)用向量基本定理解决问题的一般思路是:先选择一组基底,并运用该基底将条件和结论表示成向量的形式,再通过向量的运算来解决.32.D【分析】由正弦定理可得,3sin 2B =,根据b a >,可得B 角的大小. 【详解】由正弦定理可得,sin 3sin b A B a ==, 又0,,π<<>∴>B b a B A ,60︒∴=B 或120B =.故选:D【点睛】本题考查了正弦定理的应用,考查了运算求解能力和逻辑推理能力,属于基础题目. 33.C【分析】根据平面向量的三角形法则和共线定理即可得答案.【详解】 解:111222BF BA AF BA AE AB AD AB CE ⎛⎫=+=+=-+++ ⎪⎝⎭ 111223AB AD AB CB ⎛⎫=-+++ ⎪⎝⎭ 111246AB AD AB CB =-+++ ()111246AB AD AB CD DA AB =-+++++ 11112462AB AD AB AB AD AB ⎛⎫=-+++--+ ⎪⎝⎭ 111124126AB AD AB AB AD =-+++- 2133AB AD =-+ 故选:C .【点睛】本题考查用基底表示向量,向量的线性运算,是中档题.34.B【分析】由题意可得2b a c =+,平方后整理得22242a c b ac +=-,利用三角形面积可求得ac 的值,代入余弦定理可求得b 的值.【详解】解:∵a ,b ,c 成等差数列,∴2b a c =+,平方得22242a c b ac +=-,①又ABC 的面积为32,且30B ∠=︒, 由11sin sin 3022ABC S ac B ac ==⋅︒△1342ac ==,解得6ac =, 代入①式可得222412a c b +=-,由余弦定理得222cos 2a c b B ac+-=,2224123122612b b b ---===⨯,解得24b =+,∴1b =+故选:B .【点睛】本题考查等差数列的性质和三角形的面积公式,涉及余弦定理的应用,属于中档题. 35.A【分析】由条件求得∠BCD =150°,∠CBE =15°,故∠ABE =30°,可得∠AEB =105°.计算sin105°,代入正弦定理sin30sin105AE AB =︒︒,化简求得AE =-. 【详解】由题意可得,AC =BC =CD =DA =BAC =45°,∠BCD =∠ACB +∠ACD =90°+60°=150°.又△BCD 为等腰三角形,∴∠CBE =15°,故∠ABE =45°﹣15°=30°,故∠BEC =75°,∠AEB =105°.再由 sin105°=sin (60°+45°)=sin60°cos45°+cos60°sin45°=, △ABE 中,由正弦定理可得sin30sin105AE AB =︒︒,∴12AE =,∴AE =), 故选:A .【点睛】本题考查勾股定理、正弦定理的应用,两角和的正弦公式,属于中档题.。