(精品)水力学典型例题分析(上)
- 格式:doc
- 大小:884.51 KB
- 文档页数:10
水力学习题1一、单项选择题1.某流体的运动粘度v=3×10-6m2/s,密度ρ=800kg/m3,其动力粘度μ为( )A.3.75×10-9Pa·sB.2.4×10-3Pa·sC.2.4×105Pa·sD.2.4×109Pa·s2.图中相互之间可以列总流伯努利方程的断面是A.1-1断面和2-2断面B.2-2断面和3-3断面C.1-1断面和3-3断面D.3-3断面和4-4断面3.如图所示,孔板上各孔口的大小形状相同,则各孔口的出流量是( )A.Q A>Q BB.Q A=Q BC.Q A<Q BD.不能确定4.并联管道A、B,两管材料、直径相同,长度 B=2 A,两管的水头损失关系为( )A.hfB =hfAB.hfB =2hfAC.hfB =1.41hfAD.hfB =4hfA5.如图所示,水泵的扬程是( )A.z1B.z2C.z1+ z2D.z1+ z2+h w6.在已知通过流量Q、渠道底坡i、边坡系数m及粗糙系数n的条件下,计算梯形断面渠道尺寸的补充条件及设问不能是( )A.给定水深h,求底宽bB.给定宽深比β,求水深h与底宽bC.给定最大允许流速[v]max,求水底h与底宽bD.给定水力坡度J,求水深h与底宽b7.断面单位能量e随水深h的变化规律是( )A.e存在极大值B.e存在极小值C.e随h增加而单调增加D.e随h增加而单调减少8.下列各型水面曲线中,表现为上凸型的水面曲线是( )A.M3型B.C3型C.S3型D.H3型9.根据堰顶厚度与堰上水头的比值,堰可分为( )A.宽顶堰、实用堰和薄壁堰B.自由溢流堰、淹没溢流堰和侧收缩堰C.三角堰、梯形堰和矩形堰D.溢流堰、曲线型实用堰和折线型实用堰10.速度v、长度l、运动粘度v的无量纲组合是( )A.vlv2B.v lv2C.v lv22D.vlv二、填空题(不写解答过程,将正确的答案写在每小题的空格内。
管理岗位竞选稿尊敬的公司领导:我是XXX公司的一名员工,非常感谢公司给予我这个展示自我的机会。
我想竞选公司的管理岗位,我相信自己能够胜任该岗位,给公司带来更好的发展。
首先,我具备丰富的管理经验。
在之前的工作中,我曾经负责团队的管理,包括任务分配、进度管理、团队建设等方面。
随着我管理经验不断积累,我更加懂得如何更加有效地管理团队,激发团队员工的工作积极性,提高整个团队工作效率。
其次,我有着良好的沟通能力和团队合作精神。
当我领导一个团队时,我会时刻保持与团队成员之间的沟通,了解他们的工作情况,以及他们个人的一些困惑和需求,随时为他们提供支持和帮助。
同时,我也会团结整个团队,让大家紧密协作,充分发挥团队的力量,一起完成公司的任务。
再次,我注重细节和责任心。
管理这个岗位需要细心和认真,因为一个小小的失误都可能会对公司产生不良影响。
而我会时刻保持警觉,严格要求自己,不断优化管理方式,让整个团队更加高效地工作。
我也始终认识到一个管理者的责任所在,我不会懈怠,不会退缩,在承担工作责任的同时,会努力实现自我价值。
最后,我热爱这个公司、热爱这个岗位。
我个人认为,对一个公司来说,一个优秀的管理者至关重要。
而我能够担任这个岗位,让我感到非常的自豪和荣幸。
我相信,只要公司能够给我这个机会,我会努力为公司奮斗,积极进取,与团队一起不断提高,为公司的发展贡献自己的力量。
以上就是我竞选公司管理岗位的一些想法和表达。
我相信,我具备成为一个合格的管理者的所有素质和能力。
如果您给予我这样的机会,我将会非常珍惜,并不断努力,以最好的表现回报公司和领导的信任和支持。
谢谢!。
例题1:如下图所示,一圆锥体绕自身轴线等速旋转,锥体与固定壁面间的距离为K ,空隙全部被动力粘滞系数为μ的牛顿流体所充满。
当旋转角速度为ω,锥体底部半径为R ,高为H ,求作用于圆锥的阻力矩。
解:M=⎰⎰⎰⎰====Kdhr KdA rKdAr Ku dAr322cos 2πμωαπμωωμμτ=HK Rαπμωcos23而22cos RHH+=α;故:M=2232RHKR+⨯πμω例题2:涵洞进口处,装有与水平线成600倾角而边长为1m 的正方形平板闸门(AB=1m ),求闸门所受静水总压力的大小及作用点。
解:坐标只能建在水面上。
A kp p 807.91807.9=⨯=aB kp p 300.18)231(807.9=+⨯=KNp p P BA 050.14112=⨯⨯+=h h Ay I y y C C C C C D 6.160sin 433.112160sin 433.1160sin 121160sin 03=+=⨯⨯+=+=0=D x矩形和圆形的C y 和C I 值矩形:2hy C =123bhI C =圆形:r y C =44rI C π=例题3:一直立矩形闸门,用三根工字梁支撑,门高及上游水深H 均为3m,把此闸门所受静水压强分布图分为三等份,每根工字梁分别设在这三等份的重心,求三个工字梁的位置?解:设静水压力分布图的面积为A ,则每一等份为A/3mh H A h 3,21313211221=∴⨯==γγ mh H A h 45.2,213232212222=∴⨯==γγm h h h h m h h c 091.22718.0121212=-+==-m Ah J h y c xc c 11.2718.0091.212)718.0(091.2322=⨯+=+=mh H h h m h H c 725.2255.02232=-+==-mAh J h y c xc c 73.2725.212)55.0(725.22333=+=+=mh h h h h h h y m h y 11.22)(31,15.1322121121211=++-+===。
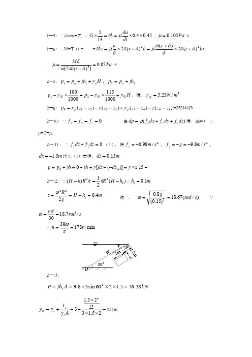
1—5:∵Gsina =T ,∴45.04.0135⨯⨯==⨯dtdu A G μτ∴s Pa ⋅=105.0μ 1—6:∵M=T (r +=hr r r h r u Ar 22)(2)()(2δπδδωμδπδμτ+⨯+=+⨯=∴s Pa r h M ⋅=+=07.0])(2[3δπωδμ 2—5:H h p p a a γγ++=11,22h p p a γ+=H p p 煤煤煤γγγ+⨯-=⨯-1000115100010021,得:3/25.5m N =煤γ 2—6:)()()()(404323210z z z z z z z z p p p ---+---=γγγγ=252448Pa2—10:∵0===z y x f f f 由)(dz f dy f dx f dp z y x ++=ρ得:dp =0 ∴p =C=p 02—11:∵0=+dz f dx f z x (1),将2/98.0s m f x -=,2/8.9s m g f z -=-=,m dx 5.1-=代入(1)式得:m dz 15.0=15.1)]([00⨯=-+=+=+=γγγγA dz dz h h p p =2—12:m h h H R R h H 1.0)(21)(1122=∴-=-ππ mh H gR z 4.02122=-==ω得:)/(67.18)15.0(8.02s rad g==ω∵s rad n /7.1830==πω ∴min /17830r n ==πω2—13:2mDA B 1.5m2m30kNA h P c 38.765.1260sin 38.90=⨯⨯⨯==γ=⨯⨯⨯+=+=25.131225.133A y I y y c c c D 3.11m0)1(60cos 20=+--⨯c D y y P T ∴T =2—16:设上面的水对水闸的压力为P 1,则作用点为y D1,则:HHb H H b H y D 934sin sin 2)sin (12sin 231=⋅+=αααα 设下面的水对水闸的压力为P 2,则作用点为y D2,则:h hb h h b h y D 934sin sin 2)sin (12sin 232=⋅+=ααααP 1的作用点到o 点的距离为:x H x y H D -=--932sin 1α P 2的作用点到o 点的距离为:H x h h x 932)934sin (-=--α以o 点为转轴:)932(sin 2)932(sin 2h x hb h g x H Hb H g-⋅=-⋅αραρ 解得:x =0.795m2—18:不是。
1. 下列物理量中,有量纲的数为( )a) A .佛汝德数Fr B. 沿程阻力系数λ b) C .渗流系数k D. 堰流流量系数m 2. 缓坡明渠中的均匀流是( )a) A .缓流 B. 急流 C. 临界流 D. 可以是急流或缓流 3. 管流的负压区是指测压管水头线( )A 在基准面以下的部分 B. 在下游自由水面以下的部分 C . 在管轴线以下的部分 D. 在基准面以上的部分4. 有两条梯形断面渠道1和2,已知其流量、边坡系数、糙率和底坡相同,但底坡i 1>i 2,则其均匀流水深h 1和h 2的关系为( )A .h 1>h 2 B. h 1<h 2 C. h 1=h 2 D. 无法确定 5. 对于并联长管道,每根管道的( )相等。
A .流量 B. 切应力 C. 沿程水头损失 D. 水力坡度 6. 平衡液体的等压面必为( )A .水平面 B. 斜平面 C. 旋转抛物面 D. 与质量力正交的面 7. 理想液体恒定有势流动,当质量力只有重力时, ( )A 整个流场内各点的总水头)2//(2g u p z ++γ相等B 只有位于同一流线上的点,总水头)2//(2g u p z ++γ相等C 沿流线总水头)2//(2g u p z ++γ沿程减小D 沿流线总水头)2//(2g u p z ++γ沿程增加8. 有一溢流堰,堰顶厚度为2m ,堰上水头为2m ,则该堰流属于( )A .薄壁堰流 B. 宽顶堰流 C. 实用堰流 D. 明渠水流 9. 同一管道中,当流速不变,温度上升时,则雷诺数( )A .增大 B. 减小 C. 不变 D. 不一定10. 一段直径不变管道的流速从2m/s 增加到4m/s 时,在水流都处于紊流粗糙区时,沿程水损失是原来的( )倍A .1 B.2 C. 2 D. 41.有一明渠均匀流,通过流量s m Q /553=,底坡0004.0=i ,则其流量模数K = . 2.水泵进口真空计的读数为2/5.24m KN p k =,则该处的相对压强水头为 m3.矩形断面渠道,水深h=1m ,单宽流量s m q /13=,则该水流的佛汝德数Fr = 。
水力学模拟试题及答案1、选择题:(每小题2分)(1)在水力学中,单位质量力是指()a、单位面积液体受到的质量力;b、单位体积液体受到的质量力;c、单位质量液体受到的质量力;d、单位重量液体受到的质量力。
答案:c(2)在平衡液体中,质量力与等压面()a、重合;b、平行c、相交;d、正交。
答案:d(3)液体中某点的绝对压强为100kN/m2,则该点的相对压强为a、1 kN/m2b、2 kN/m2c、5 kN/m2d、10 kN/m2答案:b(4)水力学中的一维流动是指()a、恒定流动;b、均匀流动;c、层流运动;d、运动要素只与一个坐标有关的流动。
答案:d(5)有压管道的管径d与管流水力半径的比值d /R=()a、8;b、4;c、2;d、1。
答案:b(6)已知液体流动的沿程水力摩擦系数 与边壁相对粗糙度和雷诺数Re都有关,即可以判断该液体流动属于a、层流区;b、紊流光滑区;c、紊流过渡粗糙区;d、紊流粗糙区答案:c(7)突然完全关闭管道末端的阀门,产生直接水击。
已知水击波速c=1000m/s,水击压强水头H = 250m,则管道中原来的流速v0为a、1.54m b 、2.0m c 、2.45m d、3.22m答案:c(8)在明渠中不可以发生的流动是()a、恒定均匀流;b、恒定非均匀流;c、非恒定均匀流;d、非恒定非均匀流。
答案:c(9)在缓坡明渠中不可以发生的流动是()。
a、均匀缓流;b、均匀急流;c、非均匀缓流;d、非均匀急流。
答案:b(10)底宽b=1.5m的矩形明渠,通过的流量Q =1.5m3/s,已知渠中某处水深h = 0.4m,则该处水流的流态为a、缓流;b、急流;c、临界流;答案:b(11)闸孔出流的流量Q与闸前水头的H()成正比。
a、1次方b、2次方c、3/2次方d、1/2次方答案:d(12)渗流研究的对象是()的运动规律。
a、重力水;b、毛细水;c、气态水;d、薄膜水。
答案:a(13)测量水槽中某点水流流速的仪器有a、文丘里计b、毕托管c、测压管d、薄壁堰答案:b(14)按重力相似准则设计的水力学模型,长度比尺λL=100,模型中水深为0.1米,则原型中对应点水深为和流量比尺为a、1米,λQ =1000;b、10米,λQ =100;c、1米,λQ =100000;d、10米,λQ=100000。
第1章 绪论例1:已知油品的相对密度为0.85,求其重度。
解:3/980085.085.0m N ⨯=⇒=γδ例2:当压强增加5×104Pa 时,某种液体的密度增长0.02%,求该液体的弹性系数。
解:0=+=⇒=dV Vd dM V M ρρρρρd dV V -= Padp d dp V dV E p 84105.2105%02.01111⨯=⨯⨯==-==ρρβ例3:已知:A =1200cm 2,V =0.5m/sμ1=0.142Pa.s ,h 1=1.0mm μ2=0.235Pa.s ,h 2=1.4mm 求:平板上所受的内摩擦力F绘制:平板间流体的流速分布图及应力分布图 解:(前提条件:牛顿流体、层流运动)dy du μτ= ⎪⎪⎩⎪⎪⎨⎧-=-=⇒2221110h u h u V μτμτ 因为 τ1=τ2 所以sm h h Vh u h uh u V /23.02112212211=+=⇒=-μμμμμN h uV A F 6.411=-==μτ第2章 水静力学例1:如图,汽车上有一长方形水箱,高H =1.2m ,长L =4m ,水箱顶盖中心有一供加水用的通大气压孔,试计算当汽车以加速度为3m/s 2向前行驶时,水箱底面上前后两点A 、B 的静压强(装满水)。
解:分析:水箱处于顶盖封闭状态,当加速时,液面不变化,但由于惯性力而引起的液体内部压力分布规律不变,等压面仍为一倾斜平面,符合0=+s gz ax 等压面与x 轴方向之间的夹角g a tg =θPaL tg H h p A A 177552=⎪⎭⎫ ⎝⎛⋅+==θγγ PaL tg H h p B B 57602=⎪⎭⎫ ⎝⎛⋅-==θγγ例2:(1)装满液体容器在顶盖中心处开口的相对平衡分析:容器内液体虽然借离心惯性力向外甩,但由于受容器顶限制,液面并不能形成旋转抛物面,但内部压强分布规律不变:Cz gr p +-⋅=)2(22ωγ利用边界条件:r =0,z =0时,p =0作用于顶盖上的压强:g r p 222ωγ=(表压)(2)装满液体容器在顶盖边缘处开口的相对平衡压强分布规律:Cz gr p +-⋅=)2(22ωγ边缘A 、B 处:r =R ,z =0,p =0g R C 222ωγ-=作用于顶盖上的压强:()2222r R gp --=ωγ例3:已知:r 1,r 2,Δh求:ω0 解:212120=-s z gr ω (1)222220=-s z gr ω (2)因为 h z z s s ∆==21所以212202r r h g -∆=ω例4已知:一圆柱形容器,直径D =1.2m ,完全充满水,顶盖上在r 0=0.43m 处开一小孔,敞开测压管中的水位a =0.5m ,问此容器绕其立轴旋转的转速n 多大时,顶盖所受的静水总压力为零?已知:D =1.2m ,r 0=0.43m ,a =0.5m 求:n解:据公式 )(Z d z Y d y X d x dp ++=ρ 坐标如图,则 x X 2ω=,y Y 2ω=,g Z -= 代入上式积分:C z gr p +-⋅=)2(22ωγ (*)由题意条件,在A 点处:r =r 0,z =0,p =γa 则 C gr a +-⋅=)02(202ωγγ 所以 )2(202gr a C ωγ-⋅=所以 )2()2(20222gr a z gr p ωγωγ-⋅+-⋅= 当z =0时: )2(220222gr a gr p ωγωγ-⋅+=它是一旋转抛物方程:盖板上静压强沿径向按半径的二次方增长。
填空题(每空1分,共20分)1、流体阻抗变形运动的特性称为粘滞性,其大小由粘滞系数来表征,它与切应力以及剪切变形速率之间符合牛顿内摩擦定律。
2、按运动要素是否随时间变化,把液体分为恒定流和非恒定流,其中各点运动要素都不随时间变化的流动称为恒定流。
3、按流体微团是否绕自身轴旋转,将流体运动分为有涡流和无涡流。
4、水头损失的从本质上讲都是液体质点之间相互摩擦和碰撞,或者说,都是液流阻力做功消耗的机械能。
5、液体运动的两种流态是层流和紊流。
6、雷诺数之所以能判别液流形态,是因为它反映了流体惯性力和粘滞力的对比关系。
7、对于不可压缩的液体,三元流动连续性方程为。
8、液体微团运动的四种基本形式分别为:平移、旋转、角变形和线变形。
9、以渠底为基准面,过水断面上单位重量液体具有的总机械能称为断面单位能量。
10、在明渠水流中,从缓流到急流过渡的局部水力现象叫水跌。
11、水流经过泄水建筑物时发生水面连续地光滑跌落的现象称为堰流。
12、在水力计算中,根据堰的体型特点,即按堰壁厚度与水头的相对大小,将堰分为薄壁堰、实用堰和宽顶堰。
13、确定渗流系数的方法有:经验法、实验室测定法和现场测定法。
二、作图题(共14分)1、绘出图中各挡水面上的静水压强分布图。
(每题4分,共2题)2、绘出图中二向曲面上的铅垂水压力的压力体。
(每题3分三、简答题(每题6分,共2×6=12分)1、有哪两种描述液体运动的方法? 分别叙述这两种方法。
拉格朗日法以研究个别流体质点的运动为基础,通过对每个流体质点运动规律的研究来获得整个流体的运动规律。
欧拉法以考察不同流体质点通过固定的空间的运动情况来了解整个流体空间内的流动情况,即着眼于研究运动要素的分布场。
2、明渠均匀流形成的条件是什么?1、明渠中水流必须是恒定流2、渠道必须是长直棱柱形渠道,糙率系数沿程不变3、明渠中的流量沿程不变4、渠道必须是顺坡一,名词解释:1.连续介质:流体质点完全充满所占空间,没有间隙存在,其物理性质和运动要素都是连续分布的介质。
例题1在旋转锥阀与阀座之间有厚度为1δ,动力粘度为μ的一层油膜,锥阀高为h,上、下底半径分别为1r 和2r 。
试证明,锥阀以角速度ω旋转时,作用在锥阀上的阻力矩为:2222121212()()()2r r r r r r h T πμωδ++-+=〔解〕证明:任取r 到r+dr 的一条微元锥面环带,在半径r 处的速度梯度是δωγ,切应力ωγτμδ=,假定锥面上的微元环形面积为dA ,则作用在锥阀微元环带表面上的微元摩擦力是dF=τdA微元摩擦力矩 dT=τdA ⨯r下面讨论dA 的表达式,设半锥角为θ,显然,由锥阀的几何关系可得 222121)(hr r r r Sin +--=θθππθSin rdr dA rdr dASin 22== ∴ dr r Sin rdA dT 32θδπμωτ== ()1122441232sin 2sin r r rrr r T dT r dr πμωπμωδθδθ-===⎰⎰ 将)(4241r r -进行因式分解,并将Sin θ的表达式代入化简整理上式可得 2222121212()()()2T r r r r r r h πμωδ=++-+ 例题2盛有水的密闭容器,其底部圆孔用金属圆球封闭,该球重19.6N ,直径D=10cm ,圆孔直径d=8cm ,水深H 1=50cm 外部容器水面低10cm ,H 2=40cm ,水面为大气压,容器内水面压强为p 0求:(1)当p 0也为大气压时,求球体所受的压力; (2)当p 0为多大的真空度时,球体将浮起。
解:(1)计算p 0=p a 时,球体所受的水压力因球体对称,侧向水压力相互抵消,作用在球体上仅有垂直压力。
如解例题2(a)图,由压力体的概念球体所受水压力为()()⎥⎦⎤⎢⎣⎡--=⎥⎦⎤⎢⎣⎡--=464622132213d H H D d H H D P γπγππ ())(205.0408.04.05.061.014.3980023↑=⎥⎦⎤⎢⎣⎡⨯--⨯⨯=N(2)计算密闭容器内的真空度 设所求真空度为Hm(水柱)高,欲使球体浮起,必须满足由于真空吸起的“吸力”+上举力=球重,如解例题2(b)图所示,即有平衡式6.19205.042=+d H πγ()()m d H 39.008.014.398004205.06.194205.06.1922=⨯⨯⨯-=-=γπ γKP ≥0.39 p K ≥9800×0.39=3822N/m2当真空度p K ≥3822N/m 2时,球将浮起。
1-1 已知某水流流速分布为10/172.0y u =,u 的单位为m/s ,y 为距壁面的距离,单位为m 。
(1)求y=0.1、0.5、1.0m 处的流速梯度;(2)若水的运动粘滞系数s cm /1010.02=ν,计算相应的切应力。
解:(1)依题知①当y=0.1时,s y dy du19.01.0572.0)1.0(072.0--=≈⨯= ②当y=0.5时,19.05.0134.0)5.0(0072.0--=≈⨯=s dy duy ③当y=1.0时,19.01.0072.0)0.1(072.0--==⨯=s dy duy(2)依题知①当y=0.1时,Pa 41078.5572.000101.0-⨯≈⨯=τ②当y=0.5时,Pa 41035.1134.000101.0-⨯≈⨯=τ③当y=1.0时,Pa 41027.7072.000101.0-⨯≈⨯=τ1-2 已知温度20℃时水的密度3/2.998m kg =ρ,动力粘滞系数23/10002.1m s N ⋅⨯=-μ,求其运动粘滞系数ν?解:1-3 容器内盛有液体,求下述不同情况时该液体所受单位质量力?(1)容器静止时;(2)容器以等加速度g 垂直向上运动;(3)容器以等加速度g 垂直向下运动。
解:(1)依题知(2)依题知gmgg mmg mg f f f z y x 2,0-=--===(3)依题知gmg 0,0=-===mmg mg f f f z y x1-4 根据牛顿内摩擦定律,推导动力粘滞系数μ和运动粘滞系数ν的量纲。
1-5 两个平行边壁间距为25mm ,中间为粘滞系数为μ=0.7Pa ·s 的油,有一mm 250mm 250⨯的平板,在距一个边壁6mm 的距离处以s /mm 150的速度拖行。
设平板与边壁完全平行,并假设平板两边的流速分布均为线性,求拖行平板的力。
1-6 一底面积为40×45cm 2的矩形平板,质量为5kg ,沿涂有润滑油的斜面向下作等速运动,斜面倾角θ=22.62º,如图所示。
水力学练习题及参考答案一、是非题(正确的划“√”,错误的划“×)1、理想液体就是不考虑粘滞性的实际不存在的理想化的液体。
(√)2、图中矩形面板所受静水总压力的作用点与受压面的形心点O重合。
(×)3、园管中层流的雷诺数必然大于3000。
×4、明槽水流的急流和缓流是用Fr判别的,当Fr>1为急流。
(√)5、水流总是从压强大的地方向压强小的地方流动。
(×)6、水流总是从流速大的地方向流速小的地方流动。
(×)6、达西定律适用于所有的渗流。
(×)7、闸孔出流的流量与闸前水头的1/2次方成正比。
(√)…8、渐变流过水断面上各点的测压管水头都相同。
(√)9、粘滞性是引起液流运动能量损失的根本原因。
(√)10、直立平板静水总压力的作用点就是平板的形心。
(×)11、层流的沿程水头损失系数仅与雷诺数有关。
√12、陡坡上出现均匀流必为急流,缓坡上出现均匀流必为缓流。
(√)13、在作用水头相同的条件下,孔口的流量系数比等直径的管嘴流量系数大。
(×)14、两条明渠的断面形状、尺寸、糙率和通过的流量完全相等,但底坡不同,因此它们的正常水深不等。
(√)15、直立平板静水总压力的作用点与平板的形心不重合。
(√)16、水力粗糙管道是表示管道的边壁比较粗糙。
×17、水头损失可以区分为沿程水头损失和局部水头损失。
(√)]18、牛顿内摩擦定律适用于所有的液体。
(×)19、静止液体中同一点各方向的静水压强数值相等。
(√)20、明渠过流断面上各点的流速都是相等的。
×21、缓坡上可以出现均匀的急流。
(√)22、静止水体中,某点的真空压强为50kPa,则该点相对压强为-50 kPa。
(√)24、满宁公式只能适用于紊流阻力平方区。
(√)25、水深相同的静止水面一定是等压面。
(√)26、恒定流一定是均匀流,层流也一定是均匀流。
(×)27、紊流光滑区的沿程水头损失系数仅与雷诺数有关。
水力学课后计算题及答案第一章 绪论1-1.20℃的水2.5m 3,当温度升至80℃时,其体积增加多少? [解] 温度变化前后质量守恒,即2211V V ρρ= 又20℃时,水的密度31/23.998m kg =ρ 80℃时,水的密度32/83.971m kg =ρ 321125679.2m V V ==∴ρρ 则增加的体积为3120679.0m V V V =-=∆1-2.当空气温度从0℃增加至20℃时,运动粘度ν增加15%,重度γ减少10%,问此时动力粘度μ增加多少(百分数)? [解] 原原ρννρμ)1.01()15.01(-+==原原原μρν035.1035.1==035.0035.1=-=-原原原原原μμμμμμ此时动力粘度μ增加了3.5%1-3.有一矩形断面的宽渠道,其水流速度分布为μρ/)5.0(002.02y hy g u -=,式中ρ、μ分别为水的密度和动力粘度,h 为水深。
试求m h 5.0=时渠底(y =0)处的切应力。
[解] μρ/)(002.0y h g dydu-=)(002.0y h g dydu-==∴ρμτ 当h =0.5m ,y =0时)05.0(807.91000002.0-⨯⨯=τPa 807.9=1-4.一底面积为45×50cm 2,高为1cm 的木块,质量为5kg ,沿涂有润滑油的斜面向下作等速运动,木块运动速度u=1m/s ,油层厚1cm ,斜坡角22.620 (见图示),求油的粘度。
[解] 木块重量沿斜坡分力F 与切力T 平衡时,等速下滑yuAT mg d d sin μθ== 001.0145.04.062.22sin 8.95sin ⨯⨯⨯⨯==δθμu A mg s Pa 1047.0⋅=μ1-5.已知液体中流速沿y 方向分布如图示三种情况,试根据牛顿内摩擦定律yud d μτ=,定性绘出切应力沿y 方向的分布图。
[解]1-6.为导线表面红绝缘,将导线从充满绝缘涂料的模具中拉过。
水力学课后计算题及答案第一章 绪论1-1.20℃的水2.5m 3,当温度升至80℃时,其体积增加多少? [解] 温度变化前后质量守恒,即2211V V ρρ= 又20℃时,水的密度31/23.998m kg =ρ 80℃时,水的密度32/83.971m kg =ρ 321125679.2m V V ==∴ρρ 则增加的体积为3120679.0m V V V =-=∆1-2.当空气温度从0℃增加至20℃时,运动粘度ν增加15%,重度γ减少10%,问此时动力粘度μ增加多少(百分数)? [解] 原原ρννρμ)1.01()15.01(-+==原原原μρν035.1035.1==035.0035.1=-=-原原原原原μμμμμμ此时动力粘度μ增加了3.5%1-3.有一矩形断面的宽渠道,其水流速度分布为μρ/)5.0(002.02y hy g u -=,式中ρ、μ分别为水的密度和动力粘度,h 为水深。
试求m h 5.0=时渠底(y =0)处的切应力。
[解] μρ/)(002.0y h g dydu-=)(002.0y h g dydu-==∴ρμτ 当h =0.5m ,y =0时)05.0(807.91000002.0-⨯⨯=τPa 807.9=1-4.一底面积为45×50cm 2,高为1cm 的木块,质量为5kg ,沿涂有润滑油的斜面向下作等速运动,木块运动速度u=1m/s ,油层厚1cm ,斜坡角22.620 (见图示),求油的粘度。
[解] 木块重量沿斜坡分力F 与切力T 平衡时,等速下滑yuAT mg d d sin μθ== 001.0145.04.062.22sin 8.95sin ⨯⨯⨯⨯==δθμu A mg s Pa 1047.0⋅=μ1-5.已知液体中流速沿y 方向分布如图示三种情况,试根据牛顿内摩擦定律yud d μτ=,定性绘出切应力沿y 方向的分布图。
[解]1-6.为导线表面红绝缘,将导线从充满绝缘涂料的模具中拉过。
1、设有一铅垂圆柱形套管套在一铅垂立柱上,管心铅垂轴线与柱心铅垂轴线重合,两者之间间隙充以某种液体(油),如图所示。
立柱固定,套管在自重的作用下,沿铅垂方向向下作等速直线运动,(间隙中的液体运动速度呈直线分布)。
已知套管长度l=0.2m,重量G=1.96N,内径d=0.05m,套管与立柱径向间隙厚度δ=0.0016m,液体的粘度μ=9.8Pa·s。
试求圆柱形套管下移速度V(空气阻力很小,可略去不计)。
(2002)第1题图1、如图所示,液面上有一面积A=0.12m2的平板,以V=0.5m/s的速度作水平等速直线运动,形成运动平板与静止平板间液体的层流运动。
已知平板间的液体分为两层,它们的动力粘滞系数与厚度分别为:μ1=0.142N·s/m2,δ1=1mm;μ2=0.235N·s/m2,δ2=1.4mm。
若每层液体内速度沿铅垂方向呈直线分布,求:(1)定性绘制平板间液体的流速分布;(2)平板所受水平拉力。
(空气阻力很小,可略去不计)。
(2003,2006a)第1题图1、(本题20分)如图所示,上下两个圆盘半径均为R,间隙为δ,其间充满动力粘度为μ的油液。
下盘不动,上盘绕中心轴以每分钟n转旋转。
若上、下盘间油液流速呈线性分布,求:(1)施加于上盘的阻力矩M 的表达式;(2)R=0.25m,δ= 1mm,μ= 0.01P a·s,n= 1200 转/分。
M=?(2004a,2005a,2007b)1、(本题20分)质量为25kg、长为60cm、宽为60cm 的平板,以0.3m/s 匀速地沿一个边坡系数为2.4(ctgα=2.4)的斜面滑下,如图所示。
板与斜面间的油层厚度δ=1mm,油的密度为920kg/m3,求油的动力粘滞系数μ和运动粘滞系数ν。
(2004b)1、(本题20分)图示为一园锥体绕竖直中心轴等速旋转,锥体与固定的外锥体之间的隙缝δ=1mm, 其中充满μ=0.1Pa·s的润滑油,已知锥体顶面半径R=0.3m,锥体高度H=0.5m。
水力学课后计算题及答案第一章 绪论1-1.20℃的水2.5m 3,当温度升至80℃时,其体积增加多少? [解] 温度变化前后质量守恒,即2211V V ρρ= 又20℃时,水的密度31/23.998m kg =ρ 80℃时,水的密度32/83.971m kg =ρ 321125679.2m V V ==∴ρρ 则增加的体积为3120679.0m V V V =-=∆1-2.当空气温度从0℃增加至20℃时,运动粘度ν增加15%,重度γ减少10%,问此时动力粘度μ增加多少(百分数)? [解] 原原ρννρμ)1.01()15.01(-+==原原原μρν035.1035.1==035.0035.1=-=-原原原原原μμμμμμ此时动力粘度μ增加了3.5%1-3.有一矩形断面的宽渠道,其水流速度分布为μρ/)5.0(002.02y hy g u -=,式中ρ、μ分别为水的密度和动力粘度,h 为水深。
试求m h 5.0=时渠底(y =0)处的切应力。
[解] μρ/)(002.0y h g dydu-=)(002.0y h g dydu-==∴ρμτ 当h =0.5m ,y =0时)05.0(807.91000002.0-⨯⨯=τPa 807.9=1-4.一底面积为45×50cm 2,高为1cm 的木块,质量为5kg ,沿涂有润滑油的斜面向下作等速运动,木块运动速度u=1m/s ,油层厚1cm ,斜坡角22.620 (见图示),求油的粘度。
[解] 木块重量沿斜坡分力F 与切力T 平衡时,等速下滑yuAT mg d d sin μθ== 001.0145.04.062.22sin 8.95sin ⨯⨯⨯⨯==δθμu A mg s Pa 1047.0⋅=μ1-5.已知液体中流速沿y 方向分布如图示三种情况,试根据牛顿内摩擦定律yud d μτ=,定性绘出切应力沿y 方向的分布图。
[解]1-6.为导线表面红绝缘,将导线从充满绝缘涂料的模具中拉过。
例题1
在旋转锥阀与阀座之间有厚度为1δ,动力粘度为μ的一层油膜,锥阀高为h,上、下底半径分别为1r 和2r 。
试证明,锥阀以角速度ω旋转时,作用在锥阀上的阻力矩为:
2222
121212()()()r r r r r r h T πμω++-+=
〔解〕证明:
任取r 到r+dr 的一条微元锥面环带,在半径r 处的速度梯度是
δ
ωγ
,切应力ωγτμδ=,
假定锥面上的微元环形面积为dA ,则作用在锥阀微元环带表面上的微元摩擦力是dF=τdA
微元摩擦力矩 dT=τdA ⨯r
下面讨论dA 的表达式,设半锥角为θ,显然,由锥阀的几何关系可得 2
2
2121)(h
r r r r Sin +--=
θ
θ
ππθSin rdr dA rdr dASin 22=
= ∴ dr r Sin rdA dT 3
2θ
δπμωτ=
= ()
1
1
2
2
44123
2sin 2sin r r r
r
r r T dT r dr πμωπμωδθδθ
-=
=
=
⎰⎰ 将)(4
24
1r r -进行因式分解,并将Sin θ的表达式代入化简整理上式可得 2
222121212()()()2T r r r r r r h πμωδ
=
++-+ 例题2
盛有水的密闭容器,其底部圆孔用金属圆球封闭,该球重19.6N ,直径D=10cm ,圆孔直径d=8cm ,水深H 1=50cm 外部容器水面低10cm ,H 2=40cm ,水面为大气压,容器内水面压强为p 0
求:
(1)当p 0也为大气压时,求球体所受的压力; (2)当p 0为多大的真空度时,球体将浮起。
解:
(1)计算p 0=p a 时,球体所受的水压力
因球体对称,侧向水压力相互抵消,作用在球体上仅有垂直压力。
如解例题2(a)图,由压力体的概念球体所受水压力为
(
)()⎥
⎦⎤⎢⎣
⎡--=⎥⎦⎤⎢⎣⎡--=464622132213d H H D d H H D P γπγππ ())(205.
0408.04.05.06
1.014.3980023↑=⎥⎦⎤
⎢⎣⎡⨯--⨯⨯=N
(2)计算密闭容器内的真空度 设所求真空度为Hm(水柱)高,欲使球体浮起,必须满足由于真空吸起的“吸力”+上举力=球重,如
解例题2(b)图所示,即有平衡式
6.19205.04
2
=+d H πγ
()
()m d H 39.008
.014.398004
205.06.194205.06.192
2=⨯⨯⨯-=-=γπ γ
K
P ≥0.39 p K ≥9800×0.39=3822N/m
2
当真空度p K ≥3822N/m 2
时,球将浮起。
例题3
管道从1d 突然扩大到2d 时的局部水头损失为j h ',为了减小水头损失的数值,在1d 与2d 之间再增加一个尺寸为d 的管段,试问:(1)d 取何值时可使整体的损失为最小;(2)此时的最小水头损失j h 为多少?
〔解〕(1)根据已知的圆管突然扩大局部水头损失公式。