福建所辖市县乡镇
- 格式:doc
- 大小:55.00 KB
- 文档页数:16
福建省各市概况福州市(0591):辖5个市辖区、6个县,代管2个县级市。
市人民政府驻鼓楼区。
车牌:闽A 鼓楼区台江区仓山区马尾区晋安区长乐市福清市平潭县永泰县闽清县闽侯县连江县罗源县 莆田市(0594) 辖4个市辖区、1个县。
市人民政府驻城厢区。
车牌:闽B城厢区涵江区荔城区秀屿区仙游县泉州市(0595) 辖4个市辖区、5个县,代管3个县级市。
市人民政府驻丰泽区。
车牌:闽C 鲤城区丰泽区洛江区泉港区石狮市晋江市南安市惠安县安溪县永春县德化县金门县 厦门市(0592) 辖6个市辖区。
市人民政府驻思明区。
车牌:闽D 思明区海沧区湖里区集美区同安区翔安区 漳州市(0596) 辖2个市辖区、8个县,代管1个县级市。
市人民政府驻芗城区。
车牌:闽E 芗城区龙文区龙海市云霄县漳浦县诏安县长泰县东山县南靖县平和县华安县龙岩市(0597) 辖1个市辖区、5个县,代管1个县级市。
市人民政府驻新罗区。
车牌:闽F 新罗区漳平市长汀县永定县上杭县武平县连城县三明市(0598) 辖2个市辖区、9个县,代管1个县级市。
市人民政府驻梅列区。
车牌:闽G 梅列区三元区永安市明溪县清流县宁化县大田县尤溪县沙县将乐县泰宁县建宁县南平市(0599) 辖1个市辖区、5个县,代管4个县级市。
市人民政府驻延平区。
车牌:闽H 延平区邵武市武夷山市建瓯市建阳市顺昌县浦城县光泽县松溪县政和县宁德市(0593) 辖1个市辖区、1个经济开发区、6个县,代管2个县级市。
市人民政府驻蕉城区。
车牌:闽J 蕉城区东侨经济开发区(新区)福安市福鼎市霞浦县古田县屏南县寿宁县周宁县柘荣县。
福建省各地市面积排名展开全文福建,简称“闽”,位于我国东南沿海,东隔台湾海峡与台湾省相望。
陆地平面形状似一斜长方形,东西最大间距约480千米,南北最大间距约530千米。
全省大部分属中亚热带,闽东南部分地区属南亚热带。
土地总面积12.4万平方千米,海域面积13.6万平方千米。
现辖福州、厦门、莆田、泉州、漳州、龙岩、三明、南平、宁德9个设区市和平潭综合实验区(平潭县)。
1、南平市,闽H ,邮政编码:353000 ,电话区号:0599 ,面积(平方千米):26280.54。
2、三明市,闽G ,邮政编码:365000 ,电话区号:0598 ,面积(平方千米):22928.79。
3、龙岩市,闽F ,邮政编码:364000,电话区号:0597,面积(平方千米):19028.12。
4、宁德市,闽J ,邮政编码:352000 ,电话区号:0593 ,面积(平方千米):13452.38。
5、漳州市,闽E ,邮政编码:363000,电话区号:0596 ,面积(平方千米):12873.66。
6、福州市,闽A ,邮政编码:350000,电话区号:0591 ,面积(平方千米):11762.54。
7、泉州市,闽C ,邮政编码:362000 ,电话区号:0595 ,面积(平方千米):11245.00。
8、莆田市,闽B ,邮政编码:361100 ,电话区号:0594,面积(平方千米):4119.02。
9、厦门市,闽D,邮政编码:361000 ,电话区号:0592,面积(平方千米):1651.98。
10、平潭综合实验区,闽K ,邮政编码:350400 ,电话区号:0591 ,面积(平方千米):371.91。
001福州市2福州188.9 3区+晋安区街道鼓山镇新店镇岳峰镇002厦门市2厦门109.7 原鼓浪屿区思明区湖里区开元区003泉州市2泉州73.1 鲤城区丰泽区+洛江区街道004晋江市3晋江58.0 青阳镇陈埭镇罗山镇池店镇西滨镇005漳州市2漳州47.4 芗城区龙文区-浦南镇天宝镇郭坑镇006龙岩市2新罗37.3 街道+红坊镇007石狮市3石狮29.1 街道+灵秀镇宝盖镇008三明市2三明27.0 梅列区街道徐碧乡三钢三元区街道城东乡009福清市3福清26.4 融城街道音西镇阳下镇010泉州市3泉港25.2 泉港-界山镇-涂岭镇011南平市2南平23.2 延平区街道012莆田市2莆田23.1 原城厢区013龙海市3龙海22.8 石码镇海澄镇榜山镇014南安市3南安22.1 街道015莆田市3涵江21.3 原涵江区016诏安县3诏安19.2 南诏镇桥东镇深桥镇旅游区017惠安县3惠安16.7 螺城镇螺阳镇018晋江市4安海镇15.8019闽候县4青口祥谦14.4 尚干镇祥谦镇青口镇闽江乡020永安市3燕江14.2 街道021厦门市3杏林14.1 杏林街道杏林镇022莆田县4黄石镇13.9023福安市3福安13.5 街道+城阳乡坂中畲族乡024安溪县3安溪13.3 凤城镇城厢镇025晋江市4东石镇13.2026福鼎市3福鼎13.2 街道027永春县3永春13.1 桃城镇五里街镇石鼓镇028德化县3德化13.1 浔中镇龙浔镇029龙海市4角美13.0 角美镇+角美工业开发区030邵武市3邵武12.9 昭阳通泰水北031云霄县3云霄12.8 云陵镇莆美镇032南安市4水头镇12.2033霞浦县3霞浦12.2 松城镇州洋034连江县3连江11.9 凤城镇敖江镇江南乡035仙游县4榜头镇11.7036晋江市4磁灶镇11.4037宁德市2宁德11.4 街道+城南镇东侨开发区038福清市4龙田镇11.4039莆田县4埭头镇11.3040长乐市3吴航11.0 吴航镇航城未批镇041建阳市3建阳10.8 潭城镇童游镇042莆田县4笏石镇10.4043长汀县3长汀10.3 汀州镇大同镇044晋江市4龙湖镇10.2045漳浦县3漳浦10.2 绥安镇046古田县3古田10.1 新城镇松吉乡湖滨乡047南安市4官桥镇10.0048浦城县3浦城10.0 南浦镇莲塘镇万安乡水南049福清市4三山镇9.6050莆田县4东峤镇9.6051闽候县3闽候9.5 甘蔗镇荆溪镇052莆田县4江口9.5 江口镇赤港华侨开发区053仙游县4枫亭镇9.5054莆田县4华亭镇9.4055武夷山3崇安9.4 崇安镇武夷镇城东乡056建瓯市3建瓯9.4 街道057福州市3马尾9.3 罗星街道马尾镇058福清市4海口9.2 海口镇东阁华侨农场059罗源县3罗源8.9 凤山镇松山镇060仙游县3仙游8.9 鲤城镇城东镇061沙县3沙县8.9 风岗镇琅口镇虬江乡062长乐市4金峰镇8.8063平潭县3平潭8.8 潭城镇岚城乡064漳平市3漳平8.8 街道和平镇芦芝乡065南安市4石井镇8.7066晋江市4永和镇8.6067福清市4江镜8.4 江镜镇江镜华侨农场068南靖县3南靖8.4 山城镇069惠安县4崇武镇8.3070南安市4洪濑镇8.3071莆田县4新度镇8.2072厦门市4马巷镇8.2073平和县3平和8.2 小溪镇074仙游县4郊尾镇8.0075晋江市4金井镇8.0076厦门市3同安8.0 大同镇077晋江市4英林镇7.6078厦门市3新店镇7.6 (翔安区)079上杭县3上杭7.5 临江镇临城镇080厦门市3集美7.5 集美镇后溪镇侨英部分081大田县3大田7.1 均溪镇082福州市4琅岐镇 6.9 (琅岐经济开发区)083长泰县3长泰 6.7 武安镇古农农场兴泰工业区084宁化县3宁化 6.5 翠江镇城郊乡085闽候县4上街镇 6.2 (福州大学城)086龙海市4港尾 6.1 港尾镇招商局漳州开发区087龙海市4九湖镇 6.0 (应计入漳州)088厦门市3海沧 5.9 (海沧区)089武平县3武平 5.9 平川镇城厢乡090福安市4赛岐 5.9 赛岐镇+赛岐开发区091闽清县3闽清 5.8 梅城镇梅溪镇092顺昌县3顺昌 5.7 双溪镇水南镇093将乐县3将乐 5.6 古镛镇水南镇094光泽县3光泽 5.6 杭川镇鸾凤乡095连城县3连城 5.5 莲峰镇096东山县5铜陵 5.3097建宁县3建宁 5.0 濉城镇溪口镇金溪乡098永定县3永定 4.9 凤城镇城郊乡099政和县3政和 4.8 熊山镇星溪乡100南安市4丰州镇 4.7 (应计为泉州)101松溪县3松溪 4.7 松源镇河东乡102尤溪县3尤溪 4.5 城关镇103东山县3东山 4.4 西埔镇104屏南县3屏南 4.3 古峰镇屏城乡105永泰县3永泰 4.1 樟城镇城峰镇106泰宁县3泰宁 4.0 杉城镇107柘荣县3柘荣 4.0 双城镇城郊乡108周宁县3周宁 3.6 狮城镇109明溪县3明溪 3.5 雪峰镇城关乡110华安县3华安 3.2 华丰镇111清流县3清流 3.1 龙津镇东华乡112寿宁县3寿宁 3.0 斜滩镇。
福建省行政区划全省总面积12.14万平方千米,共有9个地级行政区划单位(其中:9个地级市),85个县级行政区划单位(其中:26个市辖区、14个县级市、45个县)。
省会福州市。
县级以上行政区划一览福州市辖5个市辖区、6个县,代管2个县级市。
市政府驻鼓楼区。
鼓楼区(东街街道)台江区(后洲街道)仓山区(仓前街道)马尾区(罗星街道)晋安区(岳峰镇)福清市(玉屏街道)长乐市(吴航街道)闽候县(甘蔗街道)连江县(凤城街道)罗源县(凤山街道)闽清县(梅城镇)永泰县(樟城镇)平潭县(潭城镇)厦门市辖6个市辖区。
市政府驻思明区。
思明区(厦港街道)海沧区(海沧街道)湖里区(禾山街道)集美区(集美街道)同安区(祥平街道)翔安区(新店镇)莆田市辖4个市辖区、1个县。
市政府驻城厢区。
城厢区(霞林街道)涵江区(涵东街道)荔城区(镇海街道)秀屿区(笏石镇)仙游县(鲤城街道)三明市辖2个市辖区、9个县,代管1个县级市。
市政府驻梅列区。
梅列区(列西街道)三元区(城关街道)永安市(燕西街道)明溪县(雪峰镇)清流县(龙津镇)宁化县(翠江镇)大田县(均溪镇)尤溪县(城关镇)沙县(凤岗街道)将乐县(古镛镇)泰宁县(杉城镇)建宁县(濉溪镇)泉州市辖4个市辖区、5个县,代管3个县级市。
市政府驻丰泽区。
鲤城区(丰泽街道)丰泽区(江南街道)洛江区(万安街道)泉港区(山腰街道)石狮市(湖滨街道)晋江市(罗山街道)南安市(溪美街道)惠安县(螺城镇)安溪县(凤城镇)永春县(桃城镇)德化县(浔中镇)金门县芗城区(东铺头街道)龙文区(步文镇)龙海市(石码街道)云霄县(云陵镇)漳浦县(绥安镇)诏安县(南诏镇)长泰县(武安镇)东山县(西埔镇)南靖县(山城镇)平和县(小溪镇)华安县(华丰镇)南平市辖1个市辖区、5个县,代管4个县级市。
市政府驻延平区。
延平区(紫云街道)邵武市(昭阳街道)武夷山市(崇安街道)建瓯市(瓯宁街道)建阳市(潭城街道)顺昌县(双溪街道)浦城县(南浦街道)光泽县(杭川镇)松溪县(松源街道)政和县(熊山街道)龙岩市辖1个市辖区、5个县,代管1个县级市。
省县级市汇总省行政区划(省会:市)地级市市辖区县级市县省辖9个区、1综合实验区、26市辖市、14县级市、44县。
市(辖5区6县2县级市)鼓楼区 | 台江区 | 仓山区 | 马尾区 | 晋安区 | 福清市 | 长乐市 | 闽侯县| 连江县 | 罗源县 | 闽清县 | 永泰县 | 平潭县市(辖6区)思明区 | 海沧区 | 翔安区 | 集美区 | 同安区 | 湖里区市(辖4区1县)城厢区 | 涵江区 | 荔城区 | 仙游县 | 秀屿区市(辖2区9县1县级市)梅列区 | 三元区 | 永安市 | 明溪县 | 清流县 | 宁化县 | 大田县 | 尤溪县| 沙县 | 建宁县 | 泰宁县 | 将乐县市(辖4区5县3县级市)鲤城区 | 丰泽区 | 洛江区 | 泉港区 | 石狮市 | 市 | 南安市 | 惠安县 | 安溪县 | 永春县 | 金门县 | 德化县市(辖2区8县1县级市)芗城区 | 龙文区 | 龙海市 | 云霄县 | 漳浦县 |诏安县 |长泰县 | 东山县 | 南靖县 | 平和县 | 华安县市(辖1区5县4县级市)延平区 | 邵武市 | 武夷山市 | 建瓯市 | 建阳市 | 顺昌县 | 浦城县 |光泽县 | 政和县 | 松溪县市(辖1区5县1县级市)新罗区 | 漳平市 | 长汀县 | 永定县 | 连城县 | 武平县 | 上杭县市(辖1区6县2县级市)蕉城区 | 福安市 | 福鼎市 | 霞浦县 | 古田县 | 屏南县 | 柘荣县 | 周宁县寿宁县省:(总人口:3689.42万人)市:(总人口:711.53万人)鼓楼区:(82.6万人)台江区:(32万人)仓山区:(46万人)马尾区:(15.6万人)晋安区:(51万人)福清市:(121.7万人)长乐市:(68.2万人)闽侯县:(64.76万人)连江县:(62万人)罗源县:(25万人)闽清县:(30万人)永泰县:(35万人)平潭县:(39.2万人)市:(总人口:361万人)位于中国东南部,属闽南地区,北部与市,南部与市接壤。
福建所辖市县乡镇 Company number:【WTUT-WT88Y-W8BBGB-BWYTT-19998】(7)福建福建省(9个市。
共26个市辖区、14个县级市、45个县。
)福州市厦门市莆田市三明市泉州市漳州市南平市龙岩市宁德市福州市(辖5个市辖区、6个县,代管2个县级市。
共43个街道、99个镇、47个乡[其中2个民族乡])鼓楼区(辖9个街道、1个镇)鼓东街道鼓西街道温泉街道东街街道南街街道安泰街道华大街道水部街道五凤街道洪山镇台江区(辖10个街道)瀛洲街道后洲街道义洲街道新港街道上海街道苍霞街道茶亭街道洋中街道鳌峰街道宁化街道仓山区(辖8个街道、5个镇)仓前街道东升街道对湖街道临江街道三叉街街道上渡街道下渡街道金山街道仓山镇城门镇盖山镇建新镇螺洲镇马尾区(辖1个街道、3个镇)罗星街道马尾镇亭江镇琅岐镇晋安区(辖3个街道、4个镇、2个乡)茶园街道王庄街道象园街道鼓山镇新店镇岳峰镇宦溪镇寿山乡日溪乡福清市(辖7个街道、17个镇)玉屏街道龙山街道龙江街道音西街道宏路街道石竹街道阳下街道海口镇城头镇南岭镇龙田镇江镜镇港头镇高山镇沙埔镇三山镇东瀚镇渔溪镇上迳镇新厝镇江阴镇东张镇镜洋镇一都镇长乐市(辖4个街道、12个镇、2个乡)吴航街道航城街道漳港街道营前街道首占镇玉田镇松下镇江田镇古槐镇文武砂镇鹤上镇湖南镇金峰镇文岭镇梅花镇潭头镇罗联乡猴屿乡闽侯县(辖1个街道、8个镇、6个乡)甘蔗街道白沙镇南屿镇尚干镇祥谦镇青口镇南通镇上街镇荆溪镇竹岐乡鸿尾乡洋里乡大湖乡廷坪乡小箬乡连江县(辖16个镇、7个乡[其中1个民族乡])凤城镇敖江镇东岱镇琯头镇晓澳镇东湖镇丹阳镇长龙镇透堡镇马鼻镇官坂镇筱埕镇黄岐镇苔菉镇浦口镇坑园镇潘度乡江南乡蓼沿乡安凯乡下宫乡小沧畲族乡马祖乡罗源县(辖6个镇、5个乡)凤山镇松山镇起步镇中房镇飞竹镇鉴江镇白塔乡洪洋乡西兰乡霍口畲族乡碧里乡闽清县(辖11个镇、5个乡)梅城镇梅溪镇白樟镇金沙镇白中镇池园镇坂东镇塔庄镇省璜镇雄江镇东桥镇云龙乡上莲乡三溪乡桔林乡下祝乡永泰县(辖9个镇、12个乡)樟城镇嵩口镇梧桐镇葛岭镇城峰镇清凉镇长庆镇同安镇大洋镇塘前乡富泉乡岭路乡赤锡乡洑口乡盖洋乡东洋乡霞拔乡盘谷乡红星乡白云乡丹云乡平潭县(辖7个镇、8个乡)潭城镇苏澳镇流水镇澳前镇北厝镇平原镇敖东镇白青乡屿头乡大练乡芦洋乡中楼乡东庠乡岚城乡南海乡厦门市(辖6个市辖区。
福建省包括的省市福州市(省会)辖5个市辖区、6个县,代管2个县级市。
市人民政府驻鼓楼区。
车牌:闽A 鼓楼区(东街街道)台江区(后洲街道)仓山区(金山街道)马尾区(罗星街道)晋安区(岳峰镇)福清市(玉屏街道)长乐市(吴航街道)闽候县(甘蔗街道)连江县(凤城街道)罗源县(凤山街道)闽清县(梅城镇)永泰县(樟城镇)平潭县(潭城镇)厦门市辖6个市辖区。
市人民政府驻思明区。
车牌:闽D 思明区(厦港街道)海沧区(海沧街道)湖里区(禾山街道)集美区(集美街道)同安区(祥平街道)翔安区(新店镇)泉州市辖4个市辖区、5个县,代管3个县级市。
市人民政府驻丰泽区。
车牌:闽C 鲤城区(江南街道)丰泽区(丰泽街道)洛江区(万安街道)泉港区(山腰街道)石狮市(湖滨街道)晋江市(罗山街道)南安市(溪美街道)惠安县(螺城镇)安溪县(凤城镇)永春县(桃城镇)德化县(浔中镇)金门县(金城镇)莆田市辖4个市辖区、1个县。
市人民政府驻城厢区。
车牌:闽B 城厢区(霞林街道)涵江区(涵东街道)荔城区(镇海街道)秀屿区(笏石镇)仙游县(鲤城街道)三明市辖2个市辖区、9个县,代管1个县级市。
市人民政府驻梅列区。
车牌:闽G 梅列区(列西街道)三元区(城关街道)永安市(燕西街道)明溪县(雪峰镇)清流县(龙津镇)宁化县(翠江镇)大田县(均溪镇)尤溪县(城关镇)沙县(凤岗街道)将乐县(古镛镇)泰宁县(杉城镇)建宁县(濉城镇)漳州市辖2个市辖区、8个县,代管1个县级市。
市人民政府驻芗城区。
车牌:闽E 芗城区(东铺头街道)龙文区(步文镇)龙海市(石码街道)云霄县(云陵镇)漳浦县(绥安镇)诏安县(南诏镇)长泰县(武安镇)东山县(西埔镇)南靖县(山城镇)平和县(小溪镇)华安县(华丰镇)南平市辖1个市辖区、5个县,代管4个县级市。
市人民政府驻延平区。
车牌:闽H 延平区(紫云街道)邵武市(昭阳街道)武夷山市(崇安街道)建瓯市(瓯宁街道)建阳市(潭城街道)顺昌县(双溪街道)浦城县(南浦街道)光泽县(杭川镇)松溪县(松源街道)政和县(熊山街道)龙岩市辖1个市辖区、5个县,代管1个县级市。
福建省截至2019年底,福建省下辖9个地级市,共有12个县级市,44个县,29个市辖区。
福州市(辖5个市辖区、6个县,代管2个县级市。
共43个街道、99个镇、47个乡[其中2个民族乡])鼓楼区(辖9个街道、1个镇)鼓东街道鼓西街道温泉街道东街街道南街街道安泰街道华大街道水部街道五凤街道洪山镇台江区(辖10个街道)瀛洲街道后洲街道义洲街道新港街道上海街道苍霞街道茶亭街道洋中街道鳌峰街道宁化街道仓山区(辖8个街道、5个镇)仓前街道东升街道对湖街道临江街道三叉街街道上渡街道下渡街道金山街道仓山镇城门镇盖山镇建新镇螺洲镇马尾区(辖1个街道、3个镇)罗星街道马尾镇亭江镇琅岐镇晋安区(辖3个街道、4个镇、2个乡)茶园街道王庄街道象园街道鼓山镇新店镇岳峰镇宦溪镇寿山乡日溪乡福清市(辖7个街道、17个镇)玉屏街道龙山街道龙江街道音西街道宏路街道石竹街道阳下街道海口镇城头镇南岭镇龙田镇江镜镇港头镇高山镇沙埔镇三山镇东瀚镇渔溪镇上迳镇新厝镇江阴镇东张镇镜洋镇一都镇长乐市(辖4个街道、12个镇、2个乡)吴航街道航城街道漳港街道营前街道首占镇玉田镇松下镇江田镇古槐镇文武砂镇鹤上镇湖南镇金峰镇文岭镇梅花镇潭头镇罗联乡猴屿乡闽侯县(辖1个街道、8个镇、6个乡)甘蔗街道白沙镇南屿镇尚干镇祥谦镇青口镇南通镇上街镇荆溪镇竹岐乡鸿尾乡洋里乡大湖乡廷坪乡小箬乡连江县(辖16个镇、7个乡[其中1个民族乡])凤城镇敖江镇东岱镇琯头镇晓澳镇东湖镇丹阳镇长龙镇透堡镇马鼻镇官坂镇筱埕镇黄岐镇苔菉镇浦口镇坑园镇潘度乡江南乡蓼沿乡安凯乡下宫乡小沧畲族乡马祖乡罗源县(辖6个镇、5个乡)凤山镇松山镇起步镇中房镇飞竹镇鉴江镇白塔乡洪洋乡西兰乡霍口畲族乡碧里乡闽清县(辖11个镇、5个乡)梅城镇梅溪镇白樟镇金沙镇白中镇池园镇坂东镇塔庄镇省璜镇雄江镇东桥镇云龙乡上莲乡三溪乡桔林乡下祝乡永泰县(辖9个镇、12个乡)樟城镇嵩口镇梧桐镇葛岭镇城峰镇清凉镇长庆镇同安镇大洋镇塘前乡富泉乡岭路乡赤锡乡洑口乡盖洋乡东洋乡霞拔乡盘谷乡红星乡白云乡丹云乡平潭县(辖7个镇、8个乡)潭城镇苏澳镇流水镇澳前镇北厝镇平原镇敖东镇白青乡屿头乡大练乡芦洋乡中楼乡东庠乡岚城乡南海乡厦门市(辖6个市辖区。
福州八县有哪些乡镇?闽侯县下辖1个街道、8个镇、6个乡:甘蔗街道、白沙镇、南屿镇、尚干镇、祥谦镇、青口镇、南通镇、上街镇、荆溪镇、竹岐乡、鸿尾乡、洋里乡、大湖乡、廷坪乡、小箬乡;江洋农场。
长乐市辖4个街道、12个镇、2个乡:吴航街道、航城街道、漳港街道、营前街道、首占镇、玉田镇、松下镇、江田镇、古槐镇、文武砂镇、鹤上镇、湖南镇、金峰镇、文岭镇、梅花镇、潭头镇、罗联乡、猴屿乡连江县共有16个镇7个乡:凤城镇、敖江镇、东湖镇、浦口镇、东岱镇、晓澳镇、琯头镇、丹阳镇、长龙镇、透堡镇、马鼻镇、官坂镇、坑园镇、筱埕镇、黄岐镇、苔菉镇;江南乡、潘渡乡、小沧畲族乡、蓼沿乡、下宫乡、安凯乡、马祖乡(待统一)永泰县辖9个镇、12个乡:樟城镇、嵩口镇、梧桐镇、葛岭镇、城峰镇、清凉镇、长庆镇、同安镇、大洋镇、塘前乡、富泉乡、岭路乡、赤锡乡、洑口乡、盖洋乡、东洋乡、霞拔乡、盘谷乡、红星乡、白云乡、丹云乡, 8个居委会、254个村委会。
面积2241平方千米.罗源县辖6个镇、5个乡(其中1个民族乡):凤山镇、松山镇、起步镇、中房镇、飞竹镇、鉴江镇、白塔乡、洪洋乡、西兰乡、霍口畲族乡、碧里乡。
福清市辖7个街道、17个镇:玉屏街道、龙山街道、龙江街道、音西街道、宏路街道、石竹街道、阳下街道,海口镇、城头镇、南岭镇、龙田镇、江镜镇、港头镇、高山镇、沙埔镇、三山镇、东瀚镇、渔溪镇、上迳镇、厝镇、江阴镇、东张镇、镜洋镇、一都镇;江镜华侨农场、东阁华侨农场。
闽清县辖11个镇、5个乡:梅城镇、梅溪镇、白樟镇、金沙镇、白中镇、池园镇、坂东镇、塔庄镇、省璜镇、雄江镇、东桥镇、云龙乡、上莲乡、三溪乡、桔林乡、下祝乡平潭县辖7个镇、8个乡:潭城镇、苏澳镇、流水镇、澳前镇、北厝镇、平原镇、敖东镇、白青乡、屿头乡、大练乡、芦洋乡、中楼乡、东庠乡、岚城乡、南海乡。
共有200个居委会、行政村。
县政府驻潭城镇。
文档。
福建省行政区划代码、电话区号、邮编、车牌号大全
福建省(简称闽)位于中国东南沿海,东北与浙江省毗邻,西、西北与江西省接界,西南与广东省相连,东隔台湾海峡与台湾岛相望。
陆域面积12.4万平方公里。
截至2019年底,福建省下辖福州、厦门、泉州、漳州、莆田、龙岩、三明、南平、宁德9个地级市,共有12个县级市,44个县,29个市辖区。
2013年7月,平潭综合实验区获得行使设区市的管理权限,由福建省直管,电话区号0591,邮编350400,车牌号闽K。
福建省地图
地区区划代码电话区号邮编车牌号
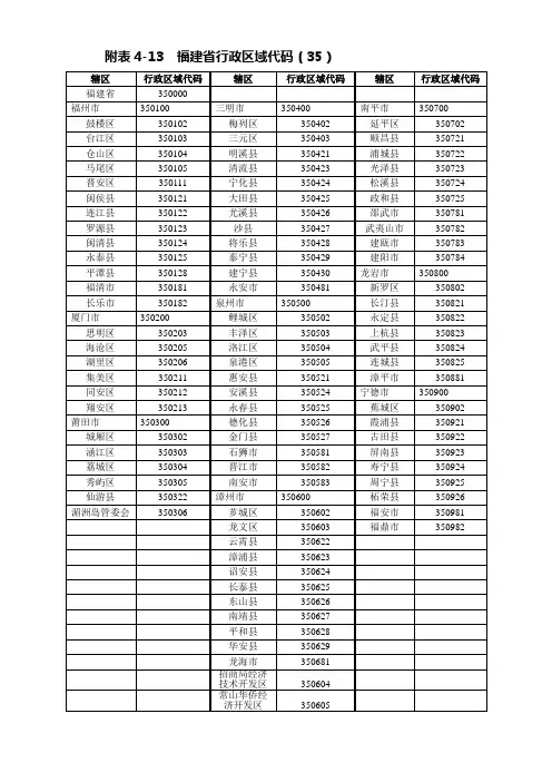
福州市350100 0591 350000 闽AK
厦门市350200 0592 361000 闽D
莆田市350300 0594 351000 闽B
三明市350400 0598 365000 闽G
泉州市350500 0595 362000 闽C
漳州市350600 0596 363000 闽E
南平市350700 0599 353000 闽H
龙岩市350800 0597 364000 闽F
宁德市350900 0593 352000 闽J。
福建省(397.6万辆)(9个市。
共26个市辖区、14个县级市、45个县。
) 福州市厦门市莆田市三明市泉州市漳州市南平市龙岩市宁德市福州市(1.2万平方公里,52万辆)(辖5个市辖区、6个县,代管2个县级市。
共43个街道、99个镇、47个乡[其中2个民族乡])鼓楼区(辖9个街道、1个镇)鼓东街道鼓西街道温泉街道东街街道南街街道安泰街道华大街道水部街道五凤街道洪山镇台江区(辖10个街道)瀛洲街道后洲街道义洲街道新港街道上海街道苍霞街道茶亭街道洋中街道鳌峰街道宁化街道仓山区(辖8个街道、5个镇)仓前街道东升街道对湖街道临江街道三叉街街道上渡街道下渡街道金山街道仓山镇城门镇盖山镇建新镇螺洲镇马尾区(辖1个街道、3个镇)罗星街道马尾镇亭江镇琅岐镇晋安区(辖3个街道、4个镇、2个乡)茶园街道王庄街道象园街道鼓山镇新店镇岳峰镇宦溪镇寿山乡日溪乡福清市(辖7个街道、17个镇)玉屏街道龙山街道龙江街道音西街道宏路街道石竹街道阳下街道海口镇城头镇南岭镇龙田镇江镜镇港头镇高山镇沙埔镇三山镇东瀚镇渔溪镇上迳镇新厝镇江阴镇东张镇镜洋镇一都镇长乐市(辖4个街道、12个镇、2个乡)吴航街道航城街道漳港街道营前街道首占镇玉田镇松下镇江田镇古槐镇文武砂镇鹤上镇湖南镇金峰镇文岭镇梅花镇潭头镇罗联乡猴屿乡闽侯县(辖1个街道、8个镇、6个乡)甘蔗街道白沙镇南屿镇尚干镇祥谦镇青口镇南通镇上街镇荆溪镇竹岐乡鸿尾乡洋里乡大湖乡廷坪乡小箬乡连江县(辖16个镇、7个乡[其中1个民族乡])凤城镇敖江镇东岱镇琯头镇晓澳镇东湖镇丹阳镇长龙镇透堡镇马鼻镇官坂镇筱埕镇黄岐镇苔菉镇浦口镇坑园镇潘度乡江南乡蓼沿乡安凯乡下宫乡小沧畲族乡马祖乡罗源县(辖6个镇、5个乡)凤山镇松山镇起步镇中房镇飞竹镇鉴江镇白塔乡洪洋乡西兰乡霍口畲族乡碧里乡闽清县(辖11个镇、5个乡)梅城镇梅溪镇白樟镇金沙镇白中镇池园镇坂东镇塔庄镇省璜镇雄江镇东桥镇云龙乡上莲乡三溪乡桔林乡下祝乡永泰县(辖9个镇、12个乡)樟城镇嵩口镇梧桐镇葛岭镇城峰镇清凉镇长庆镇同安镇大洋镇塘前乡富泉乡岭路乡赤锡乡洑口乡盖洋乡东洋乡霞拔乡盘谷乡红星乡白云乡丹云乡平潭县(辖7个镇、8个乡)潭城镇苏澳镇流水镇澳前镇北厝镇平原镇敖东镇白青乡屿头乡大练乡芦洋乡中楼乡东庠乡岚城乡南海乡厦门市(0.156万平方公里,68万辆)(辖6个市辖区。
共24个街道,13个镇)思明区(辖10个街道)厦港街道中华街道滨海街道鹭江街道开元街道梧村街道筼筜街道莲前街道嘉莲街道鼓浪屿街道海沧区(辖2个街道、1个镇)海沧街道新阳街道东孚镇湖里区(辖5个街道)金山街道湖里街道殿前街道禾山街道江头街道集美区(辖4个街道、2个镇)集美街道侨英街道杏林街道杏滨街道灌口镇后溪镇同安区(辖2个街道、6个镇)大同街道祥平街道莲花镇新民镇洪塘镇西柯镇汀溪镇五显镇翔安区(辖1个街道、4个镇)大嶝街道新店镇新圩镇马巷镇内厝镇莆田市(0.423万平方公里,23.97万辆)(辖4个市辖区、1个县。
共7个街道、38个镇、8个乡)城厢区(辖3个街道、4个镇)龙桥街道凤凰山街道霞林街道常太镇华亭镇灵川镇东海镇涵江区(辖2个街道、9个镇、1个乡)涵东街道涵西街道三江口镇白塘镇国欢镇梧塘镇江口镇萩芦镇白沙镇庄边镇新县镇大洋乡荔城区(辖2个街道、4个镇)镇海街道拱辰街道西天尾镇黄石镇新度镇北高镇秀屿区(辖9个镇、2个乡)笏石镇东庄镇忠门镇东埔镇东峤镇埭头镇平海镇南日镇湄洲镇月塘乡山亭乡仙游县(辖1个街道、12个镇、5个乡)鲤城街道枫亭镇榜头镇郊尾镇度尾镇鲤南镇赖店镇盖尾镇园庄镇大济镇龙华镇钟山镇游洋镇西苑乡石苍乡社硎乡书峰乡象溪乡三明市(2.29万平方公里,9.82万辆)(辖2个市辖区、9个县,代管1个县级市。
共13个街道、57个镇、73个乡[其中2个民族乡])梅列区(辖3个街道、1个镇、1个乡)列东街道列西街道徐碧街道陈大镇洋溪乡三元区(辖4个街道、2个镇、2个乡)城关街道白沙街道富兴堡街道荆西街道莘口镇岩前镇城东乡中村乡永安市(辖4个街道、7个镇、4个乡)燕东街道燕西街道燕南街道燕北街道西洋镇贡川镇安砂镇小陶镇大湖镇曹远镇洪田镇槐南乡上坪乡罗坊乡青水畲族乡明溪县(辖4个镇、5个乡)雪峰镇盖洋镇胡坊镇翰仙镇城关乡沙溪乡夏阳乡枫溪乡夏坊乡清流县(辖5个镇、8个乡)龙津镇嵩溪镇嵩口镇灵地镇长校镇温郊乡林畲乡田源乡沙芜乡赖坊乡余朋乡李家乡里田乡宁化县(辖4个镇、12个乡)翠江镇泉上镇湖村镇石壁镇城郊乡城南乡济村乡淮土乡方田乡安乐乡曹坊乡治平畲族乡中沙乡河龙乡水茜乡安远乡大田县(辖8个镇、10个乡)均溪镇石牌镇上京镇广平镇桃源镇太华镇建设镇奇韬镇华兴乡屏山乡吴山乡济阳乡武陵乡谢洋乡文江乡梅山乡湖美乡前坪乡尤溪县(辖8个镇、7个乡)城关镇梅仙镇西滨镇洋中镇新阳镇管前镇西城镇尤溪口镇联合乡汤川乡溪尾乡中仙乡台溪乡坂面乡八字桥乡沙县(辖2个街道、6个镇、4个乡)凤岗街道虬江街道青州镇夏茂镇高砂镇高桥镇富口镇大洛镇南霞乡南阳乡郑湖乡湖源乡将乐县(辖6个镇、7个乡)古镛镇万安镇高唐镇白莲镇黄潭镇水南镇光明乡漠源乡南口乡万全乡安仁乡大源乡余坊乡泰宁县(辖2个镇、7个乡)杉城镇朱口镇新桥乡上青乡大田乡梅口乡下渠乡开善乡大龙乡建宁县(辖4个镇、6个乡)濉城镇里心镇溪口镇均口镇金溪乡伊家乡黄坊乡溪源乡客坊乡黄埠乡泉州市(1.101万平方公里,187万辆)(辖4个市辖区5个县,代管3个县级市。
共30个街道、109个镇、30个乡[其中1个民族乡])鲤城区(辖8个街道)海滨街道临江街道鲤中街道开元街道浮桥街道江南街道金龙街道常泰街道丰泽区(辖8个街道)东湖街道丰泽街道泉秀街道清源街道华大街道城东街道东海街道北峰街道洛江区(辖2个街道、3个镇、1个乡)万安街道双阳街道罗溪镇马甲镇河市镇虹山乡泉港区(辖1个街道、6个镇)山腰街道南埔镇界山镇后龙镇蜂尾镇前黄镇涂岭镇石狮市(辖2个街道、7个镇)湖滨街道凤里街道灵秀镇宝盖镇蚶江镇祥芝镇鸿山镇锦尚镇永宁镇晋江市(辖6个街道、13个镇)青阳街道梅岭街道西园街道罗山街道新塘街道灵源街道安海镇磁灶镇陈埭镇东石镇深沪镇金井镇池店镇内坑镇龙湖镇永和镇英林镇紫帽镇西滨镇南安市(辖3个街道、21个镇、2个乡)溪美街道柳城街道美林街道官桥镇省新镇仑仓镇东田镇英都镇翔云镇金陶镇诗山镇蓬华镇码头镇九都镇乐峰镇罗东镇梅山镇洪濑镇洪梅镇康美镇丰州镇霞美镇水头镇石井镇眉山乡向阳乡惠安县(辖15个镇、1个民族乡)螺城镇螺阳镇黄塘镇紫山镇洛阳镇东园镇张坂镇崇武镇山霞镇涂寨镇东岭镇东桥镇净峰镇小岝镇辋川镇百崎回族乡安溪县(辖13个镇、11个乡)凤城镇蓬莱镇湖头镇官桥镇剑斗镇城厢镇金谷镇龙门镇虎邱镇芦田镇感德镇魁斗镇西坪镇参内乡白濑乡湖上乡尚卿乡大坪乡龙涓乡长坑乡兰田乡祥华乡桃舟乡福田乡永春县(辖18个镇、4个乡)桃城镇五里街镇一都镇下洋镇蓬壶镇达埔镇吾峰镇石鼓镇岵山镇东平镇湖洋镇坑仔口镇玉斗镇锦斗镇东关镇桂洋镇苏坑镇仙夹镇横口乡呈祥乡介福乡外山乡德化县(辖10个镇、8个乡)浔中镇龙浔镇三班镇龙门滩镇雷峰镇南埕镇水口镇赤水镇上涌镇葛坑镇杨梅乡汤头乡桂阳乡盖德乡国宝乡美湖乡大铭乡春美乡金门县(辖3个镇、3个乡)金沙镇金湖镇金城镇金宁乡烈屿乡乌坵乡漳州市(1.26万平方公里,27万辆)(辖2个市辖区、8个县,代管1个县级市。
共8个街道、88个镇、24个乡[其中3个民族乡])芗城区(辖6个街道、4个镇)东铺头街道西桥街道新桥街道巷口街道南坑街道通北街道浦南镇天宝镇芝山镇石亭镇龙文区(辖1个街道、4个镇)东岳街道步文镇蓝田镇朝阳镇郭坑镇龙海市(辖1个街道、11个镇、2个乡[其中1个民族乡])石码街道海澄镇角美镇白水镇浮宫镇程溪镇港尾镇九湖镇颜厝镇榜山镇紫泥镇东园镇东泗乡隆教畲族乡云霄县(辖6个镇、3个乡)云陵镇陈岱镇东厦镇莆美镇列屿镇火田镇下河乡马铺乡和平乡漳浦县(辖17个镇、4个乡[其中2个民族乡])绥安镇旧镇佛昙镇赤湖镇杜浔镇官浔镇石榴镇盘陀镇长桥镇前亭镇马坪镇深土镇六鳌镇沙西镇古雷镇大南坂镇霞美镇南浦乡赤岭畲族乡湖西畲族乡赤土乡诏安县(辖9个镇、6个乡)南诏镇四都镇梅岭镇桥东镇深桥镇太平镇霞葛镇官陂镇秀篆镇金星乡西潭乡白洋乡建设乡红星乡梅洲乡长泰县(辖4个镇、1个乡)武安镇岩溪镇陈巷镇枋洋镇坂里乡东山县(辖6个镇)西埔镇樟塘镇康美镇杏陈镇陈城镇前楼镇南靖县(辖11个镇)山城镇丰田镇靖城镇龙山镇金山镇和溪镇奎洋镇梅林镇书洋镇船场镇南坑镇平和县(辖10个镇、5个乡)小溪镇山格镇文峰镇南胜镇坂仔镇安厚镇大溪镇霞寨镇九峰镇芦溪镇五寨乡国强乡崎岭乡长乐乡秀峰乡华安县(辖6个镇、3个乡)华丰镇丰山镇沙建镇新圩镇高安镇仙都镇高车乡马坑乡湖林乡南平市(2.63万平方公里)(辖1个市辖区、5个县,代管4个县级市。
共23个街道、72个镇、44个乡)延平区(辖6个街道、13个镇、2个乡)梅山街道黄墩街道紫云街道四鹤街道水南街道水东街道来舟镇樟湖镇夏道镇西芹镇峡阳镇大横镇王台镇太平镇南山镇塔前镇茫荡镇洋后镇炉下镇巨口乡赤门乡邵武市(辖4个街道、12个镇、3个乡)昭阳街道通泰街道水北街道晒口街道城郊镇水北镇下沙镇卫闽镇沿山镇拿口镇洪墩镇大埠岗镇和平镇肖家坊镇大竹镇吴家塘镇桂林乡张厝乡金坑乡武夷山市(辖3个街道、3个镇、4个乡)崇安街道新丰街道武夷街道星村镇兴田镇五夫镇上梅乡吴屯乡岚谷乡洋庄乡建瓯市(辖4个街道、10个镇、4个乡)建安街道通济街道瓯宁街道芝山街道徐墩镇吉阳镇房道镇南雅镇迪口镇小桥镇玉山镇东游镇东峰镇小松镇顺阳乡水源乡川石乡龙村乡建阳市(辖2个街道、8个镇、3个乡)潭城街道童游街道麻沙镇水吉镇将口镇莒口镇黄坑镇漳墩镇徐市镇小湖镇崇雒乡书坊乡迴龙乡顺昌县(辖1个街道、7个镇、4个乡)双溪街道建西镇洋口镇元坑镇埔上镇大历镇大干镇仁寿镇洋墩乡郑坊乡岚下乡高阳乡浦城县(辖2个街道、9个镇、8个乡)南浦街道河滨街道富岭镇石陂镇临江镇仙阳镇水北街镇永兴镇忠信镇莲塘镇九牧镇万安乡古楼乡山下乡枫溪乡濠村乡管厝乡盘亭乡官路乡光泽县(辖3个镇、5个乡)杭川镇寨里镇止马镇鸾凤乡崇仁乡李坊乡华桥乡司前乡松溪县(辖3个镇、6个乡)松源镇郑墩镇渭田镇河东乡茶平乡旧县乡溪东乡花桥乡祖墩乡政和县(辖1个街道、4个镇、5个乡)熊山街道东平镇石屯镇铁山镇镇前镇星溪乡外屯乡杨源乡澄源乡岭腰乡龙岩市(1.92万平方公里)(辖1个市辖区、5个县,代管1个县级市。
共11个街道、58个镇、64个乡[其中2个民族乡])新罗区(辖9个街道、7个镇、3个乡)东城街道南城街道西城街道中城街道西陂街道曹溪街道东肖街道龙门街道铁山街道红坊镇适中镇雁石镇白沙镇万安镇大池镇小池镇江山乡岩山乡苏坂乡漳平市(辖2个街道、8个镇、6个乡)菁城街道桂林街道新桥镇双洋镇永福镇溪南镇和平镇拱桥镇象湖镇赤水镇芦芝乡西园乡南洋乡官田乡吾祠乡灵地乡长汀县(辖11个镇、7个乡)汀州镇大同镇古城镇新桥镇馆前镇童坊镇河田镇南山镇濯田镇四都镇涂坊镇策武乡铁长乡庵杰乡三洲乡宣成乡红山乡羊牯乡永定县(辖10个镇、14个乡)凤城镇坎市镇下洋镇湖雷镇高陂镇抚市镇湖坑镇培丰镇龙潭镇峰市镇城郊乡西溪乡金砂乡仙师乡洪山乡湖山乡岐岭乡古竹乡堂保乡合溪乡虎岗乡大溪乡陈东乡高头乡上杭县(辖9个镇、13个乡[其中2个民族乡])临江镇临城镇中都镇蓝溪镇稔田镇白砂镇古田镇才溪镇南阳镇湖洋乡下都乡庐丰畲族乡太拔乡溪口乡茶地乡泮境乡蛟洋乡步云乡旧县乡通贤乡官庄畲族乡珊瑚乡武平县(辖6个镇、11个乡)平川镇中山镇岩前镇十方镇中堡镇桃溪镇城厢乡万安乡东留乡民主乡下坝乡中赤乡象洞乡武东乡永平乡湘店乡大禾乡连城县(辖7个镇、10个乡)莲峰镇北团镇姑田镇朋口镇莒溪镇新泉镇庙前镇揭乐乡塘前乡隔川乡四堡乡罗坊乡林坊乡文亨乡曲溪乡赖源乡宣和乡宁德市(1.34万平方公里)(辖1个市辖区、6个县,代管2个县级市。