2010秋药物化学期末自测题
- 格式:docx
- 大小:53.58 KB
- 文档页数:8
药化期末试题及答案一、选择题1. 下面哪个不是药物的命名法则?A. 基础命名法则B. 自由命名法则C. 标准命名法则D. 系统命名法则答案:C2. 哪项内容属于药物合成的第一步?A. 探索新的化合物B. 确定药物效果C. 合成候选化合物D. 临床试验答案:A3. 药物吸收的主要途径是?A. 肠道吸收B. 皮肤吸收C. 肺部吸收D. 静脉注射吸收答案:A4. 调节肝脏代谢的药物属于下列哪类药物?A. 抗生素B. 镇痛药C. 抗癌药物D. 代谢酶抑制剂答案:D5. 下列哪个是符合药物安全性要求的概念?A. 反应速度快B. 用药剂量越大越好C. 无毒性副作用D. 利益超过风险答案:D二、判断题1. 化学反应速度和药物效果成正比。
答案:错误2. 微量药物的代谢途径主要在肝脏。
答案:错误3. 药代动力学研究药物在体内的吸收、分布、代谢、排泄等过程。
答案:正确4. 药物治疗的原理是通过抑制人体免疫系统,杀死病原体。
答案:错误5. 药物贮藏的基本原则是防潮、防光、防火。
答案:正确三、问答题1. 请简要介绍药物的三个基本属性。
答案:药物的三个基本属性分别是药效、毒性和安全性。
药效是指药物对人体产生的预期治疗效果,毒性是药物对人体产生的有害效应,安全性是指药物在适当使用条件下与毒性之间的平衡关系。
2. 请简述药物代谢的作用及主要途径。
答案:药物代谢是指药物在体内被转化成代谢产物的过程。
它的作用是使药物变得更容易清除,减少对机体的不良作用。
药物代谢的主要途径有肝脏代谢、肠道代谢和肾脏排泄。
3. 举例说明药物相互作用的情况。
答案:药物相互作用是指同时或连续用药时,两种或更多药物之间的相互作用。
例如,当抗生素与降压药同时使用时,抗生素可能影响降压药的代谢和排泄,导致降压药的效果减弱或增强。
四、综合题请简要说明药物开发的流程及其中所涉及的主要步骤。
药物开发的流程包括药物探索、临床试验和上市监测等阶段。
1. 药物探索阶段包括以下主要步骤:- 选择适宜的靶点和疾病。
药物化学期末考试试题及答案word一、选择题(每题2分,共20分)1. 下列哪种化合物不是药物的前体?A. 阿司匹林B. 布洛芬C. 地塞米松D. 可待因答案:D2. 下列哪种药物是通过抑制细胞色素P450酶来发挥作用的?A. 利福平B. 阿莫西林C. 阿司匹林D. 地塞米松答案:A3. 药物的溶解度与其生物利用度的关系是:A. 无关B. 正相关C. 负相关D. 不确定答案:B4. 下列哪种药物是通过抑制乙酰胆碱酯酶来发挥作用的?A. 阿托品B. 地西泮C. 氯丙嗪D. 利血平答案:A5. 药物的化学稳定性与其药效的关系是:A. 无关B. 正相关C. 负相关D. 不确定答案:B6. 下列哪种药物是通过抑制H+/K+-ATPase酶来发挥作用的?A. 奥美拉唑B. 阿莫西林C. 阿司匹林D. 地塞米松答案:A7. 下列哪种药物是通过抑制血管紧张素转换酶来发挥作用的?A. 洛卡特普B. 阿莫西林C. 阿司匹林D. 地塞米松答案:A8. 药物的渗透性与其生物利用度的关系是:A. 无关B. 正相关C. 负相关D. 不确定答案:B9. 下列哪种药物是通过抑制β-内酰胺酶来发挥作用的?A. 克拉维酸B. 阿莫西林C. 阿司匹林D. 地塞米松答案:A10. 药物的代谢稳定性与其药效的关系是:A. 无关B. 正相关C. 负相关D. 不确定答案:B二、填空题(每题2分,共20分)1. 药物的______性是影响其生物利用度的重要因素。
答案:溶解2. 药物的______性是影响其药效的重要因素。
答案:化学稳定性3. 药物的______性是影响其吸收的重要因素。
答案:渗透4. 药物的______性是影响其药效的重要因素。
答案:代谢稳定性5. 药物的______性是影响其药效的重要因素。
答案:生物利用度6. 药物的______性是影响其药效的重要因素。
答案:选择性7. 药物的______性是影响其药效的重要因素。
答案:特异性8. 药物的______性是影响其药效的重要因素。
药物化学期末试题及答案# 药物化学期末试题及答案## 一、选择题(每题2分,共20分)1. 以下哪种药物属于β-受体拮抗剂?A. 阿司匹林B. 阿莫西林C. 阿托伐他汀D. 阿莫西林2. 药物的生物利用度(Bioavailability)是指:A. 药物在体内的总浓度B. 药物在体内的分布情况C. 药物从给药部位到达全身循环的效率D. 药物在体内的代谢速度3. 以下哪种药物属于非甾体抗炎药(NSAIDs)?A. 布洛芬B. 地塞米松C. 胰岛素D. 阿米卡星4. 药物的半衰期是指:A. 药物在体内的总时间B. 药物在体内的平均时间C. 药物浓度下降到其初始值一半所需的时间D. 药物在体内的最小有效浓度5. 以下哪种药物属于抗凝血药?A. 华法林B. 硝酸甘油C. 阿司匹林D. 胰岛素...(此处省略其他选择题)## 二、填空题(每空2分,共20分)6. 药物的_______是指药物在体内的浓度随时间的变化而变化的过程。
7. 药物的_______是指药物在体内的最大浓度。
8. 药物的_______是指药物在体内的最小有效浓度。
9. 药物的_______是指药物在体内的最小毒性浓度。
10. 药物的_______是指药物在体内的最大毒性浓度。
...(此处省略其他填空题)## 三、简答题(每题10分,共30分)11. 简述药物的药代动力学(Pharmacokinetics)的主要内容。
12. 解释什么是药物的药效学(Pharmacodynamics)。
13. 举例说明药物的副作用及其可能的原因。
## 四、论述题(每题15分,共30分)14. 论述药物设计中的结构-活性关系(SAR)研究的重要性。
15. 论述药物的剂量-效应关系及其在临床应用中的意义。
## 五、案例分析题(共30分)16. 某患者因高血压需要长期服用β-受体拮抗剂,但同时患有哮喘。
请分析这种情况下药物选择的原则,并给出合适的药物推荐。
## 答案1. D2. C3. A4. C5. A6. 药代动力学7. 峰浓度(Cmax)8. 最小有效浓度(MEC)9. 最小毒性浓度(MTC)10. 最大毒性浓度(MBC)11. 药代动力学主要研究药物在体内的吸收、分布、代谢和排泄过程,以及这些过程对药物疗效和安全性的影响。
药物化学期末考试试卷一、选择题(每题2分,共20分)1. 药物化学是研究药物的哪些方面的科学?A. 合成、结构、性质和作用机制B. 制备、分析、质量控制和临床应用C. 合成、分析、质量控制和临床应用D. 结构、性质、作用机制和临床应用2. 以下哪种药物属于抗生素类药物?A. 阿司匹林B. 胰岛素C. 青霉素D. 地塞米松3. 药物的生物利用度是指:A. 药物在体内的浓度B. 药物在体内的分布C. 药物被吸收进入血液循环的量和速度D. 药物在体内的代谢速率4. 药物的半衰期是指:A. 药物在体内的浓度下降一半所需的时间B. 药物在体内的浓度达到最高值所需的时间C. 药物在体内的浓度达到最低值所需的时间D. 药物在体内的浓度保持不变所需的时间5. 以下哪种药物属于抗高血压药物?A. 阿莫西林B. 利血平C. 胰岛素D. 阿司匹林6. 药物的溶解性与药物的哪种性质有关?A. 脂溶性B. 水溶性C. 酸碱性D. 稳定性7. 药物的稳定性是指:A. 药物在储存过程中的物理和化学稳定性B. 药物在体内的分布稳定性C. 药物在体内的代谢稳定性D. 药物在体内的排泄稳定性8. 以下哪种药物属于抗抑郁药物?A. 阿莫西林B. 氟西汀C. 胰岛素D. 阿司匹林9. 药物的生物等效性是指:A. 两种药物在体内的浓度相同B. 两种药物在体内的分布相同C. 两种药物在体内的代谢相同D. 两种药物在体内的疗效相同10. 药物的副作用是指:A. 药物的预期治疗效果B. 药物的非预期治疗效果C. 药物的预期副作用D. 药物的非预期副作用二、填空题(每空1分,共20分)1. 药物的______是指药物在体内的吸收、分布、代谢和排泄的过程。
2. 药物的______是指药物在体内的浓度达到最高值时的浓度。
3. 药物的______是指药物在体内的浓度下降到最高值的一半所需的时间。
4. 药物的______是指药物在体内的浓度下降到最低值时的浓度。
药物化学期末考试试卷(A)姓名: 学号: 专业:一、选择题(24×2=48)1、盐酸甲氯芬酯与盐酸羟胺-氢氧化钾醇溶液作用后,再加入盐酸-FeCl显(C)色。
3A 蓝B 黄C 紫堇D 草绿2、胰岛素有A、B两个肽链组成,A,B两链之间通过(B)连接。
A 氢键B 二硫键C 酯键D 酰胺键3、非甾体抗炎药物的作用机制是( B )。
A β-内酰胺酶抑制剂B 花生四烯酸环氧化酶抑制剂C 二氢叶酸还原酶抑制剂D D-丙氨酸多肽转移酶抑制剂4、盐酸吗啡注射剂放置过久颜色变深,发生了以下哪种反应( B )。
A 水解反应B 氧化反应C 还原反应D 水解和氧化反应5、内源性阿片样肽类结构中第一个氨基酸均为( C )。
A 甲硫氨酸B 亮氨酸C 酪氨酸D 甘氨酸6、下列哪种性质与肾上腺素相符( B )。
A 在酸性或碱性条件下均易水解B 在空气中放置可被氧化,颜色逐渐变红色C 易溶于水而不溶于氢氧化钠D 与茚三酮作用显紫色7、肾上腺素能α受体拮抗剂在临床上主要用作( D )。
1A 抗疟药B 抗菌药C 抗癫痫药D 抗高血压8、具有下列化学结构的药物是( B )。
A 盐酸苯海拉明B 盐酸普萘洛尔C 盐酸可乐定D 盐酸哌替啶9、下列哪个与硫酸阿托品不符( B )。
A 化学结构为二环氨基醇酯类B 具有左旋光性C 显托烷生物碱类鉴别反应D 碱性条件下易被水解10、M胆碱受体拮抗剂的主要作用是( A )。
A 解痉、散瞳B 肌肉松弛C 降血压D 中枢抑制11、强心苷类药物的配糖基甾核的立体结构对药效影响很大,其中C-17上的内酯环为以下哪种时相对活性最强( A )。
A β-构型,有双键存在 Bα-构型,有双键存在C α-构型,无双键D β-构型,双键被还原12、关于HMG-CoA还原酶抑制剂Lovastatin构效关系的论述中,不准确的是( B )。
A 与HMG-CoA具有结构相似性,对HMG-CoA还原酶具有高度亲和性B 分子中二甲基丁酸部分是活性必需的C 分子中3-羟基己内酯部分是活性必需的基团D 芳香环、芳香杂环及含双键脂肪性环的存在是必需的13、降压药卡托普利属于下列药物类型中的哪一种( D )。
《药物化学》期末考试试卷年级:专业:班级:学号:姓名:第1学期课程学时数:72 考试日期:考试时长:120 分钟一、A型题(每道题下面有A、B、C、D、E五个答案,其中只有一个正确答案,答题时从中选择一个你认为最合适的答案,并在答题卡上将相应的字母涂黑,以示你的选择。
每题1分,总分80分)1.药物化学研究的主要物质是A.天然药物B.化学药物C. 中草药D.中药制剂E.化学试剂2.药物易发生自动氧化变质的结构是A.烃基B.苯环C.羧基D.酚羟基 E.酯键3.盐酸普鲁卡因与NaNO2溶液反应后,再与碱性β-萘酚偶合成红色沉淀,其依据是A.因有苯环B.因有叔氨基C.酯键水解D.因有芳伯氨基E. 因有二乙胺基4.与吡啶硫酸铜试剂作用显绿色的药物是A.苯巴比妥B.苯妥因钠C.司可巴比妥D.硫喷妥钠E. 异戊巴比妥5.地西泮属于A.巴比妥类B.氨基甲酸酯类C. 咪唑类D.苯并二氮杂桌类E.吩噻嗪类6.苯妥英钠水溶液露置空气中可析出苯妥英而显浑浊,这是因为吸收了空气中的A.O2 B.N2 C.H2 D.CO2 E.H2O7.阿司匹林与碳酸钠溶液共热,放冷后用稀硫酸酸化,析出的白色沉淀是A.乙酰水杨酸B.醋酸C. 醋酸钠D.水杨酸E.水杨酸钠8.区别阿司匹林和对乙酰氨基酚可用A.氢氧化钠试液B.盐酸C.加热后加盐酸试液D.三氯化铁试液 E. 硫酸9.具有解热和镇痛作用,但无抗炎作用药物的是A.对乙酰氨基酚B.吲哚美辛C.布洛芬D.吡罗昔康E. 阿司匹林10.吗啡在光照下即能被空气氧化变质,是因为吗啡具有A.甲基B.乙基C.酚羟基D.苯环 E. 叔胺基11.盐酸吗啡注射液放置过久,颜色变深,所发生的化学反应是A.氧化反应B.加成反应C.聚合反应D.水解反应E. 还原反应12.可用三氯化锑反应鉴别的维生素A.维生素A B.维生素BC.维生素C D.维生素DE. 维生素E13.可用作水溶性抗氧剂的是A.维生素A B.维生素BC.维生素C D.维生素DE. 维生素E14.黄嘌呤类生物碱的共有反应是A.铜吡啶反应B.维他立反应C.紫脲酸铵反应D.硫色素反应E. 坂口反应15.环磷酰胺属于烷化剂中的A.氮芥类B.卤代多元醇类C.亚硝基脲类D.乙烯亚胺类E.磺酸酯类16.阿托品在碱性溶液中易水解失效,是因其分子结构中含有A.酰胺键B.苯环C.酯键D.羟基 E. 叔胺基17.不属于芳酸酯类的局麻药A. 丁卡因B. 普鲁卡因C. 苯佐卡因D. 利多卡因E. 可卡因18.在光的作用下可发生歧化反应的药物是A.非诺贝特B.卡托普利C.利血平D.硝苯地平E. 普萘洛尔19.结构中含有—SH,可被自动氧化生成二硫化合物的抗高血压药是A.硝苯地平B.卡托普利C.利血平D.盐酸可乐定E. 普萘洛尔20.对乙酰氨基酚可采用重氮化-偶合反应鉴别,是因其结构中具有A. 酚羟基B. 酰胺基C. 苯环D. 潜在芳香第一胺E. 氨基21.驱肠虫药阿苯达唑与甲苯咪唑的化学结构中都有的杂环是A.噻吩环B.噻嗪环C.吡啶环D.咪唑环 E. 嘧啶环22.下列哪种抗疟药加入碘化钾试液,再加入淀粉指示剂,显紫色A.青蒿素B.磷酸氯喹C.乙胺嘧啶D.奎宁 E. 阿苯达唑23.下列哪个药物不属于喹诺酮类药物A. 诺氟沙星B. 氧氟沙星C. 左氧氟沙星D. 环丙沙星E. 利巴韦林24.指出下列哪个药物为磺胺类药物的增效剂A.磺胺嘧啶B.磺胺多辛C.甲氧苄啶D.磺胺甲噁唑E. 磺胺醋酰钠25.下列药物中不具有甾体母核基本结构的是A. 醋酸地塞米松B. 黄体酮C. 炔雌醇D. 雌二醇E. 己烯雌酚26.半合成青霉素的原料是A.7—ACA B.6—APAC.6—ASA D.氯化亚砜 E. TMP 27.青霉素结构中易被破坏的部位是A.侧链酰胺基 B.噻唑环 C.羧基D.β-内酰胺环 E.苯环28.下列哪种说法与前药的概念符合A.用酯化方法做出的药物是前药B. 用酰胺化方法做出的药物是前药C. 用醚化方法做出的药物是前药D. 前药是药效潜伏化的药物E. 用成盐的方法做出的药物是前药29.维生素C具有很强的还原性,这是因为分子中含有A.酚羟基B.芳香第一胺C.连二烯醇D.醇羟基E.酯键30.氯丙嗪储存中易被氧化,是由于其分子中有A.叔胺基B.氯C.吩噻嗪D.苯环 E. 甲基31. 在地西泮代谢研究中发现的活性代谢产物是A.硝西泮 B.氟西泮C.氯硝西泮 D.苯巴比妥E.奥沙西泮32. 与吗啡性质不符的是A.易被氧化变质B.碱性溶液中比较稳定C.与甲醛-硫酸试液显紫堇色D.具有左旋性E.在酸性溶液中加热,生成阿扑吗啡33. 含莨菪酸类药物会发生的专属反应是A.水解反应B.维他立反应C.氧化反应D.还原反应E. 重氮化-偶合反应34. 与药物化学的主要任务无关的是A. 将药物做成剂型B. 寻找开发新药的途径C. 为合理有效地利用现有化学药物提供理论基础D. 为生产化学药物提供经济合理的工艺和方法E. 探讨药物的结构与稳定性的关系35.拟肾上腺素药的基本结构中苯环与氨基相隔的碳原子数为A.1 B.2 C.3 D.4 E. 5 36.与肾上腺素性质不符的是A.具有旋光性B.具有酸碱两性C.易氧化变质D.消旋化后活性增加E.与三氯化铁试液显色37.可用作制作冰毒的原料是A.肾上腺素B.麻黄碱C.去甲肾上腺素D.异丙肾上腺素E.多巴胺38. 与马来酸氯苯那敏不符的是A.结构中含有氯苯基B.遇枸橼酸-醋酐试液显紫红色C.无嗜睡的不良反应C.马来酸分子中含有双键E.加硫酸后,加高锰酸钾,红色褪去39.半合成青霉素在化学结构上的主要区别在于A.不同酰基侧链B.形成不同的盐C. 羧基数目不同D. 分子内环的大小不同E. 分子光学活性不同40. 具有下列化学结构的药物是A.维生素K B.维生素CC.维生素E D.维生素AE. 维生素B41.肾上腺素易发生氧化变色不稳定的结构为A.侧链上的羟基 B.儿茶酚胺结构 C.侧链上的氨烃基 D.侧链上的氨基E. 苯环42.先导化合物是指A.新的化合物B.不具有生物活性的化合物C.具有某种生物活性,可作为进行结构修饰或者改造的模型进一步优化D.理想的临床药物E.所有的药物43.药物的自动氧化反应是指药物与A.高锰酸钾的反应 B.过氧化氢的反应C.空气中氧气的反应 D.硝酸的反应E. 碘液反应44.药物易发生水解变质的结构是A.烃基 B.苯环 C.内酯D.羧基 E.酚羟基45.喹诺酮类药物的光毒性主要来源于第几位取代基A.5B.6C.7D.8E.946.药物中最常见的酰胺、酯类,一般来说溶液的pH值增大时A.不水解 B.愈易水解C.愈不易水解D.水解度不变 E.以上都不对47.能用于油溶性药物抗氧剂的维生素是A.维生素A B.维生素BC.维生素C D.维生素EE.维生素K48.胰岛素注射剂应存放在A.冰箱冷冻室B.冰箱冷藏室C.常温下D.阳光充足处E.以上均可49.甾体激素药的基本结构是A.环戊烷并多氢菲B.丙二酰脲结构C.黄嘌呤结构D.异喹啉结构E. 苯并二氮杂卓结构50.“A环为苯环,C3位为酚羟基”是以下哪一类激素药物的结构特点A.雄激素类药物B.雌激素类药物C.孕激素类药物D.肾上腺皮质激素类药物E.以上均是51.下列药物不属于抗肿瘤植物药有效成分的是A.长春碱 B.鬼臼毒素C.白消安 D.紫杉醇E. 喜树碱52.下列药物属于抗代谢抗肿瘤药物的是A.塞替派 B.环磷酰胺C.巯嘌呤 D.氮甲 E.顺铂53.阿司匹林的性质叙述错误的是A.水溶液加热后加入三氯化铁试液,显紫堇色B.在氢氧化钠或碳酸钠溶液中溶解,且同时水解C.与对乙酰氨基酚生成的酯具有前药性质D.具有解热、镇痛及抗炎作用E. 可直接与三氯化铁试液显色54.哪一药物的化学结构属于单环 -内酰胺类抗生素A.苯唑西林B.舒巴坦C.氨曲南D.克拉维酸E.青霉素55.下列叙述与阿司匹林不符的是A.为解热镇痛药 B.易溶于水C.易溶于乙醇 D.微带臭酸味E.遇湿酸、碱、热均可水解失效56. 红霉素水溶液遇酸、碱及热不稳定,是由于其化学结构中存在A.糖苷键B.酯键C.叔醇基D. A、B、C三项E.酰胺57.为1,2-苯并噻嗪类非甾体抗炎药的是A.布洛芬 B.美洛昔康C.双氯芬酸钠 D.吲哚美辛E. 阿司匹林58.显酸性,但结构中不含羧基的药物是A.阿司匹林 B.吲哚美辛 C.萘普生D.吡罗昔康 E.布洛芬59.属于呋喃类抗溃疡药物的是A.西咪替丁B.雷尼替丁C. 法莫替丁D. 罗沙替丁E.奥美拉唑60.下列属于前药的是A. 雷尼替丁B. 甲氧氯普胺C. 奥美拉唑D. 多潘立酮E. 西咪替丁61.经灼烧后,遇醋酸铅试纸可生成黑色硫化铅沉淀的药物是A. 奥美拉唑B. 甲氧氯普胺C. 多潘立酮D. 雷尼替丁E. 罗沙替丁62.下列药物中不属于前药的A.卡托普利 B.奥美拉唑C.依那普利 D.洛伐他汀E.贝诺酯63.抗生素阿米卡星属于A.大环内酯类B.氨基苷类C.磷霉素类D.四环素类E.青霉素类64.可发生重氮化-偶合反应的药物是A.普萘洛尔 B.肾上腺素C.卡托普利 D.普鲁卡因胺E. 麻黄碱65.不属于苯二氮卓类镇静催眠药的是A. 三唑仑B. 替马西泮C. 奥美拉唑D. 地西泮E. 艾司唑仑66.吗啡的化学结构中不具有A. 四个环B. 哌啶环C. 手性碳原子D. 苯环E.酸性结构功能基和碱性结构功能基67.不属于天然青霉素的缺点是A.不能口服B.易发生过敏反应C.β-内酰胺环易开环水解变质D.易产生耐药性E.毒性大68.吗啡及合成镇痛药都具有镇痛作用,是因为A. 具有相同的基本结构B. 具有相同的构型C. 具有共同的构象D. 化学结构具有很大相似性E. 具有相同的分子式69.具有抗肿瘤作用的抗生素为A.氯霉素 B.青霉素钠 C.红霉素D.博来霉素 E.四环素70.巴比妥类药物作用时间持续长短与下列哪项有关A. 与5,5取代基的碳原子数目有关B. 与解离常数有关C. 与5,5取代基在体内代谢稳定性有关D. 与脂水分配系数有关E. 与N上的取代基数目有关71.苯二氮卓类镇静催眠药在酸、碱中可发生水解反应因为分子中具有A.羰基B. 酯基C. 七元环D. 内酰胺基E.醚键72.细菌对青霉素产生耐药性的原因是:细菌产生一种酶使A.噻唑环开环B.β-内酰胺环开环C.酰胺侧链水解D.噻唑环氧化E.羧基成盐73.在碱性条件下能够发生麦芽酚反应的药物是A.青霉素G钠B.链霉素C.卡那霉素D.红霉素E.氯霉素74.耐酸青霉酸的结构特点是A.6位酰胺侧链引入强吸电子基团B.6位酰胺侧链引入供电子基团C.5位引入大的空间位阻D.5位引入大的供电基团E.6位酰胺侧链引入大的空间位阻75.由奎宁结构改造得到的合成抗疟药为A. 氯喹B. 乙胺嘧啶C. 青蒿琥酯D. 蒿甲醚E.青蒿素76.异烟肼保存不当,产生的毒性较大的物质是A.异烟酸B.游离肼C.异烟腙D.吡啶E.硝酸银77.下列关于喹诺酮类药物构效关系描述错误的是A. 吡酮酸环是抗菌作用必需的基本结构B. 2位上引入取代基活性增加C. 3位羧基和4位酮基是抗菌活性的必需基团D. 在6位引入氟原子抗菌活性增加E. 在7位上引入哌嗪基使活性增加 78.具有水杨酸结构的解热镇痛药是 A.OHNH CH 3CH 3B.OHHOHOOOH OHC.CH 3OHOCH 3CH 3D.E.OCH 3OOOH79.下面结构是何种药物的化学结构A. 雷尼替丁B. 西咪替丁C. 奥美拉唑D. 法莫替丁E.尼扎替丁 80.具有吩噻嗪结构的抗精神病药是A.OHOOHB.OHNHCH 3OHOHC.D.OHHOH OOOH OHE.得分数:二、B 型题 (每组题有五个备选答案,备选答案后有两个以上的问题,每个问题要选择一个正确答案,但每个备选答案可不选或选用几次。
2010年秋季学期期末考试试卷(A)考试科目:天然药物化学考试类别:初修适用专业:制药工程学号:姓名:专业:年级:班级:1分,共20分)每题有4个备选答案,请从中选出1个最佳答案,将其序号字母填入括号内,以示回答。
多选、错选、不选均不给分。
1.下列溶剂中极性最强的溶剂是:( )A.CHCl3OB。
Et2C。
n—BuOHCOD. M22。
能与水分层的溶剂是:( )A.EtOACB. MeCO2C。
EtOHD. MeOH3.两相溶剂萃取法分离混合物中各组分的原理是:()A。
各组分的结构类型不同B。
各组分的分配系数不同C。
各组分的化学性质不同D.两相溶剂的极性相差大4. 下列生物碱碱性最强的是:( )A. 麻黄碱B。
伪麻黄碱C. 去甲麻黄碱D。
秋水酰胺5。
下列黄酮类化合物酸性最强的是:()A. 黄苓素B。
大豆素C. 槲皮素D. 葛根素6.中药黄苓所含主要成分是:()A。
生物碱类B. 二氢黄酮类C。
查耳酮类D.黄酮类7.葡聚糖凝胶分离混合物的基本原理是A。
物理吸附B. 离子交换C. 分子筛作用D. 氢键作用8.阳离子交换树脂一般可以用于分离:( )A.黄酮类化合物B.生物碱类化合物C.有机酸类化合物D.苷类化合物9.P-π共轭效应使生物碱的碱性:()A.增强B.无影响C.降低D.除胍外都使碱性降低10.供电诱导效应一般使生物碱的碱性:( ) A.增强B.降低C.有时增强,有时降低D.无影响11.大多数生物碱生物合成途径为:( ) A.复合途径B. MVA途径C.莽草酸途径D.氨基酸途径12.下列多糖哪种为动物多糖:()A.甲壳素B.粘液质C.灵芝多糖D.淀粉13.下列苷类最易水解的苷为:( )A.六碳糖苷B.糖醛酸苷C.五碳糖苷D.甲基五碳糖苷14.苦杏仁酶主要水解:()A.β-葡萄糖苷B. C-苷C.α-葡萄糖苷D. S—苷15.下列常见化学成分具有蓝色荧光的是:()A.黄酮类B.皂苷类C.萜类D.香豆素类16.Molish反应主要用于鉴别:()A. 蒽醌类成分B. 糖和苷类成分C. 生物碱D。
《药物化学》期末综合练习《药物化学》是药学专业必修的专业基础课程,要求掌握药物的结构类型、常用药物的化学结构、化学名、药品名、理化性质、鉴别方法、合成方法、临床用途等,理解药物的发展、作用机理,了解新药研究和开发的基本途径和方法。
现将全书的重点内容以综合练习的形式进行总结归纳,供同学们期末复习时参考。
一、根据药物的化学结构式写出其药名及主要临床用途,重点掌握的结构式如下:1.2.3.4. 5. 6. 7.8. 9.NCH3OOCCHCH2OHC6H5HOHBr11.10.12. 13.14. 15.16.CH3CH317.18.OOHOOHHCOHHCH2OH19 20 21.22. 23.OOHCCCH3NCH3CH324. 25.HlCNONHPONClCH2CH2ClCH2CH2HNSOS2ON2HO26 27.28 29NCH3OOCCOOCH3CH3H3CNO2H30二、选择题1.盐酸普鲁卡因是通过对()的结构进行简化而得到的。
A、奎宁B、阿托品C、可卡因D、吗啡2.下列利尿药中,()具有甾体结构。
A、依他尼酸B、螺内酯C、呋塞米D、氢氯噻嗪3.解热镇痛药按化学结构分类不包括()。
A、水杨酸类B、乙酰苯胺类C、吡唑酮类D、吩噻嗪类4.芬太尼为强效镇痛药,临床常用其()。
A、盐酸盐B、马来酸盐C、磷酸盐D、枸橼酸盐5.盐酸雷尼替丁的结构中含有()。
A、呋喃环B、咪唑环C、噻唑环D、嘧啶环6.阿齐霉素为( )抗生素。
A、β-内酰胺类B、四环素类C、氨基糖甙类D、大环内酯类7.下列药物中,()不是环氧合酶抑制剂。
A 、吲哚美辛 B、吡罗昔康C、可待因D、萘普生8.下列药物中,( )为阿片受体拮抗剂。
A、吗啡B、美沙酮C、纳洛酮D、舒芬太尼9.下列药物中,()含有两个手性碳原子。
A、氯霉素B、盐酸氯胺酮C、布洛芬D、雌二醇10.下列药物中,()以左旋体供药用。
A、布洛芬B、氯胺酮C、盐酸乙胺丁醇D、盐酸吗啡11、下列药物中,()为脂溶性维生素。
药物化学期末考试试题及答案一、选择题(每题2分,共20分)1. 以下哪个不是药物化学研究的主要内容?A. 药物合成B. 药物分析C. 药物设计D. 药物制剂2. 药物的生物利用度(Bioavailability)是指:A. 药物在体内的分布B. 药物在体内的代谢C. 药物在体内的吸收程度D. 药物在体内的排泄速度3. 药物的半衰期(Half-life)是指:A. 药物浓度下降一半所需的时间B. 药物在体内的总时间C. 药物在体内的吸收时间D. 药物在体内的分布时间4. 下列哪项不是药物的理化性质?A. 溶解度B. 熔点C. 稳定性D. 毒性5. 药物的药效学研究主要关注:A. 药物的制备工艺B. 药物的化学结构C. 药物的作用机制D. 药物的剂量计算6. 药物的药动学研究主要关注:A. 药物的制备工艺B. 药物的化学结构C. 药物的吸收、分布、代谢和排泄D. 药物的剂量计算7. 以下哪个是药物的前体药物?A. 阿司匹林B. 阿莫西林C. 阿卡波糖D. 阿昔洛韦8. 药物的化学合成通常不涉及以下哪个步骤?A. 原料选择B. 反应条件优化C. 药物分析D. 药物设计9. 药物的分子设计通常基于以下哪个原理?A. 药物的理化性质B. 药物的药效学C. 药物的药动学D. 药物的分子结构10. 药物的生物等效性研究主要评估:A. 药物的化学结构B. 药物的制备工艺C. 药物的生物利用度D. 药物的剂量计算二、简答题(每题10分,共30分)1. 简述药物化学的主要研究内容。
2. 描述药物的生物等效性研究的重要性。
3. 解释药物的前体药物概念及其应用。
三、计算题(每题15分,共30分)1. 某药物的半衰期为4小时,如果一个病人在12:00服用了100mg该药物,计算在18:00时体内的药物浓度。
2. 假设某药物的生物利用度为80%,口服剂量为200mg,该药物的血药浓度-时间曲线下面积(AUC)为1200mg·h/L,计算该药物的清除率。
第二章中枢神经系统药物五、问答题2-46、巴比妥类药物的一般合成方法中,用卤烃取代丙二酸二乙酯的α氢时,当两个取代基大小不同时,一般应先引入大基团,还是小基团?为什么?2-48、为什么巴比妥C5位次甲基上的两个氢原子必须全被取代,才有镇静催眠作用?2-50、合成类镇痛药的按结构可以分成几类?这些药物的化学结构类型不同,但为什么都具有类似吗啡的作用?2-54、试分析酒石酸唑吡坦上市后使用人群迅速增大的原因。
2-55、请叙述说卤加比(pragabide)作为前药的意义。
2-56、试分析选择性的5-HT重摄取抑制剂类药物并无相似结构的原因。
第三章外周神经系统药物五、问答题3-71、合成M受体激动剂和拮抗剂的化学结构有哪些异同点?3-73、结构如下的化合物将具有什么临床用途和可能的不良反应?若将氮上取代的甲基换成异丙基,又将如何?HO HONHCH3 OH3-74、苯乙醇胺类肾上腺素受体激动剂的β碳是手性碳原子,其R构型异构体的活性大大高于S构型体,试解释之。
3-75、经典H1受体拮抗剂有何突出的不良反应?为什么?第二代H1受体拮抗剂如何克服这一缺点?3-76、经典H1受体拮抗剂的几种结构类型具有一定的联系。
试分析由乙二胺类到氨基醚类、丙胺类、三环类、哌嗪类的结构变化。
3-77、从procaine的结构分析其化学稳定性,说明配制注射液时的注意事项及药典规定杂质检查的原因。
第四章循环系统药物五、问答题4-41. 以propranolol为例分析芳氧丙醇类β-受体拮抗剂的结构特点及构效关系。
4-42. 简述钙通道阻滞剂的概念及其分类。
4-43. 从盐酸胺碘酮的结构出发,简述其理化性质、代谢特点及临床用途。
4-44. 以captopril为例,简要说明ACEI类抗高血压药的作用机制及为克服captopril的缺点及对其进行结构改造的方法。
4-45. 写出以愈创木酚为原料合成盐酸维拉帕米的合成路线。
4-47. Lovartatin为何称为前药? 说明其代谢物的结构特点.4-48. 根据高血脂症的定义,简述调血脂药物的分类,并说明每类药物的作用机制。
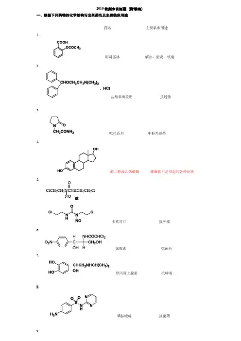
2010秋期末自测题(附答案)一、根据下列药物的化学结构写出其药名及主要临床用途药名 主要临床用途 1.阿司匹林 解热,消炎,镇痛2.盐酸苯海拉明 抗过敏3.吡拉西坦 中枢兴奋药4.雌二醇或乙烯雌酚 雌激素不足引起的各种症状5.或 卡莫司汀 抗肿瘤6.氯霉素 抗菌药7.异丙肾上腺素 抗哮喘8.磺胺嘧啶 抗菌药9.OClCH 2CH 2NCNHCH 2CH 2Cl氟康唑 抗真菌10.甲睾酮 雄激素缺乏所引起的各种疾病11.维生素C 抗坏血病12.环丙沙星 抗菌药13.维生素B 6 止吐药14. 卡铂 抗肿瘤15阿昔洛韦 抗病毒16硝酸甘油 抗心绞痛17.N-CH 2OHCH 2OHHO CH 3Pt H 3NH 3NOC OC O氢溴酸山莨菪碱 抗震颤麻痹18.沙丁胺醇 抗哮喘 前面是HOCH2. 19或头孢噻肟钠 抗菌药20. 马来酸氯苯那敏或扑尔敏 抗过敏21.塞替哌 抗肿瘤22.HClC CH 2CH 2N 盐酸苯海索 抗震颤麻痹23或布洛芬 非甾体抗炎镇痛药24盐酸哌替啶或度冷丁CH3-N 镇痛药25NONCH 3ClCHCH 2CH 2NNClCH 3CH 3CH COOH CH COOHN SO CH 3NOH H COONaCO NOCH 3S NH 2NHCHCOOH 3CHCH 2CH 3CH地西泮或安定 镇静催眠或抗癫痫或抗惊厥10.盐酸哌替啶或度冷丁 镇痛12.黄体酮或孕酮 治疗先兆性流产、习惯性流产和月经不调17.吗啡 镇痛13.青霉素(抗菌药)没有前面的HO18.卡马西平(抗癫痫)19 盐酸多巴胺 抗休克20HOCH 2 CH 2 CH 2COONa 羟丁酸钠 全麻21 盐酸氯胺酮 全麻药22磺胺嘧啶 抗菌NCH 3COOC 2H 5HClO CH 3OON HOCH 3OHHOHO CH 2CH 2NH 2HClN H C H 3 OC l·HClNN SO 2NHH 2N二、写出下列药物的化学结构式及主要临床用途1.诺氟沙星化学结构式:主要临床用途:抗菌2.氯丙嗪化学结构式:主要临床用途:抗精神病药3. 卡托普利化学结构式:主要临床用途:降血压4.对乙酰氨基酚或扑热息痛化学结构式:主要临床用途:解热镇痛药5. 普鲁卡因化学结构式:主要临床用途:局部麻醉药6. 顺铂化学结构式:主要临床用途:抗肿瘤药7、氟烷化学结构式:主要临床用途:全身麻醉药8.氯贝丁酯化学结构式:主要临床用途:降血脂9. 阿司匹林化学结构式:主要临床用途:解热镇痛药10. 盐酸苯海拉明化学结构式: 主要临床用途:抗过敏11. 尼群地平化学结构式: 主要临床用途:治疗冠心病及高血压12. 对氨基水杨酸钠化学结构式: 主要临床用途:抗结核病10.硝苯地平化学结构式: 主要临床用途:降压或抗心绞痛12. 利多卡因化学结构式:主要临床用途:局部麻醉或治疗心律失常13.对氨基水杨酸钠 化学结构式:主要临床用途:抗结核病三、选择题(每题只有一个正确答案)。
药物化学期末考试试卷(A)姓名: 学号: 专业:一、选择题。
(16×2=32)1、下列不属于内源性小分子的是()。
A、葡萄糖醛酸B、氨基酸C、谷胱甘肽D、RNA2、青藏高原筑路工人,长期食用罐头食品,出现下肢皮下出血、瘀斑,齿龈肿胀出血,最可能缺乏的维生素是()A、维生素CB、叶酸C、尼克酸D、硫胺素3、具有酰胺结构的麻醉药是()。
A、可卡因B、普鲁卡因C、达克罗宁D、利多卡因4、巴比妥类药物有水解性,是因为具有()。
A、酯结构B、酰胺结构C、醚结构D、氨基甲酸酯结构5、维生素A的主要生理功能为()。
A、促进钙的吸收B、调节血压C、调节血脂D、维持正常视觉6、临床上应用的第一个抗生素是()。
A、氯霉素B、克拉维酸C、青霉素GD、阿莫西林7、属于全身静脉麻醉药的是()。
A、恩氟醚B、麻醉乙醚C、氯胺酮D、利多卡因8、临床上应用的第一个β-内酰胺酶抑制剂是()。
A、头孢克洛B、多西环素C、酮康唑D、克拉维酸9、青霉素类母核结构是()。
A、6-APAB、7-ACAC、7-ADCAD、碱性苷10、β-内酰胺类抗生素的抗菌机制是抑制()。
A、粘肽转肽酶B、β-内酰胺酶C、mRNA与核糖体的结合D、二氢叶酸还原酶11、苯巴比妥的化学结构为()A . B.C NHC NH C HO OOC NHC NH CC 2H 5O SOC . D.C NHC NH CC 2H 5O OOC NHCH 2NH C C 2H 5O O12、人体维生素D 的来源有( )。
A 、肝脏B 、蔬菜C 、水D 、谷类 13、麻醉乙醚中具有爆炸性的杂质是( )。
A 、乙酸B 、乙醛C 、过氧化物D 、甲醇 14、长期过量摄入脂溶性维生素时( )。
A 、以原形从尿中排出B 、经代谢分解后全部排出体外C 、在体内贮存备用D 、导致体内贮存过多引起中毒 15、世界上第一次用人工方法合成有生命活力的蛋白质的国家是( ) A 、日本 B 、中国 C 、英国 D 、美国 16、下列叙述中哪条是不正确的( )。
《药物化学》期末考试试卷及答案一、单选题1. 属于亚硝基脲类的抗肿瘤药物是()A.环磷酰胺B.塞替派C.卡莫司汀D.白消安E.顺铂2. 能引起骨髓造血系统的损伤,产生再生障碍性贫血的药物是()A. 氨苄西林B. 氯霉素C. 泰利霉素D. 阿齐霉素E. 阿米卡星3. 从理论上讲,头孢菌素类母核可产生的旋光异构体有()A. 2个B.4个C.6个D.8个4. 从结构分析,克拉霉素属于()A. β-内酰胺类B.大环内酯类C.氨基糖甙类D.四环素类5. 在地塞米松C-6位引入氟原子,其结果是()A.抗炎强度增强,水钠潴留下降B.作用时间延长,抗炎强度下降C.水钠潴留增加,抗炎强度增强D.抗炎强度不变,作用时间延长E.抗炎强度下降,水钠潴留下降6. 药物Ⅱ相生物转化包括()A. 氧化、还原B.水解、结合C. 氧化、还原、水解、结合D.与葡萄糖醛酸、硫酸、氨基酸等结合7. 以下哪个药物不是两性化合物()A.环丙沙星B.头孢氨苄C.四环素D.大环内酯类抗生素8. 吩噻嗪类抗精神病药的基本结构特征为()A. 吩噻嗪母核与侧链碱性胺基之间相隔1个碳原子B. 吩噻嗪母核与侧链碱性胺基之间相隔2个碳原子C. 吩噻嗪母核与侧链碱性胺基之间相隔3个碳原子D. 吩噻嗪母核与侧链碱性胺基之间相隔4个碳原子9. 镇痛药吗啡的不稳定性是由于它易()A. 水解B.氧化C.重排D.降解10. 马来酸氯苯那敏的化学结构式为()11. 化学名为N-(2,6-二甲苯基)-2-(二乙氨基)乙酰胺盐酸盐一水合物的药物是()A.盐酸普鲁卡因B.盐酸丁卡因C.盐酸利多卡因D.盐酸可卡因E.盐酸布他卡因12. 从结构类型看,洛伐他汀属于()A.烟酸类B.二氢吡啶类C.苯氧乙酸类D.羟甲戊二酰辅酶A还原酶抑制剂13. 非选择性α-受体阻滞剂普萘洛尔的化学名是()A. 1-异丙氨基-3-[对-(2-甲氧基乙基)苯氧基]-2-丙醇B. 1-(2,6-二甲基苯氧基)-2-丙胺C. 1-异丙氨基-3-(1-萘氧基)-2-丙醇D. 1,2,3-丙三醇三硝酸酯E. 2,2-二甲基-5-(2,5-二甲苯基氧基)戊酸14 下列药物中,属于H2-受体拮抗剂的是()A. 兰索拉唑B.特非那定C.法莫替丁D.阿司咪唑15. 临床上使用的萘普生是哪一种光学异构体()A.S(+)B.S(-)C.R(+)D.R(-)E.外消旋体16. 羟布宗的主要临床作用是()A. 解热镇痛B. 抗癫痫C. 降血脂D. 止吐E. 抗炎17.下列哪个药物不是抗代谢药物()A.盐酸阿糖胞苷B. 甲氨喋呤C. 氟尿嘧啶D. 环磷酰胺E. 巯嘌呤18. 氯霉素的4个光学异构体中,仅()构型有效A.1R,2S(+)B.1S,2S(+)C.1S,2R(-)D. 1R,2R(-)19 属于二氢叶酸还原酶抑制剂的抗疟药为()A.乙胺嘧啶B. 氯喹C. 甲氧苄啶D. 氨甲蝶啉E. 喹诺酮20. 四环素类药物在强酸性条件下易生成()A. 差向异构体B.内酯物C.脱水物D.水解产物21. 下列四个药物中,属于雌激素的是()A. 炔诺酮B.炔雌醇C.地塞米松D.甲基睾酮22. 下列不正确的说法是()A.新药研究是药物化学学科发展的一个重要内容B.前药进入体内后需转化为原药再发挥作用C.软药是易于被吸收,无首过效应的药物D.先导化合物是经各种途径获得的具有生物活性的化合物E.定量构效关系研究可用于优化先导化合物23 非甾体抗炎药的作用机制()A.二氢叶酸合成酶抑制剂B.二氢叶酸还原酶抑制剂C.花生四烯酸环氧酶抑制剂D.粘肽转肽酶抑制剂24. 磷酸可待因的主要临床用途为()A. 镇痛B.祛痰C.镇咳D.解救吗啡中毒二、多选题1. 地西泮的代谢产物有()A. 奥沙西泮B. 替马西泮C. 劳拉西泮D. 氯氮卓2. 下列药物中具有降血脂作用的为()3. 关于奥美拉唑,正确的是()A. 奥美拉唑对于酸不稳定,进入胃壁细胞中发生重排后与H+/K+-ATP 酶结合,产生作用B. 奥美拉唑具有光学活性,有治疗作用的是S(-)异构体,称作埃索美拉唑,无治疗作用的是其R(+)异构体C. 奥美拉唑是具有酸性和碱性的两性化合物D. 奥美拉唑与某些抗生素联用,能清除幽门螺旋杆菌的感染,加速溃疡愈合,减轻炎症,降低溃疡的复发率4. 下述关于对乙酰氨基酚的描述中,哪些是正确的()A.为半合成抗生素B. 用于解热镇痛C. 具抗炎活性D.过量可导致肝坏死E. 具有成瘾性5. 半合成青霉素的一般合成方法有()A. 用酰氯上侧链B. 用酸酐上侧链C. 与酯交换法上侧链D. 用脱水剂如DCC缩合上侧链E. 用酯-酰胺交换上侧链6. 下面哪些药物的化学结构属于孕甾烷类()A.甲睾酮B. 可的松C. 睾酮D. 雌二醇E. 黄体酮7. 下列叙述正确的是()A.硬药指刚性分子,软药指柔性分子B.“me-too”药物可能成为优秀的药物C.“重镑炸弹”的药物在商业上是成功的D.通过药物的不良反应研究,可能发现新药E. 前药的体外活性低于原药8. 易被氧化的维生素有()A. 维生素AB. 维生素HC. 维生素ED. 维生素D2E. 维生素C9. 按照中国新药审批办法的规定,药物的命名包括()A.通用名B. 俗名C. 化学名D. 常用名E. 商品名10. 以下哪些属阿片样激动/拮抗剂()A.布托啡诺B.二氢埃托啡C.纳洛酮D.纳布啡11. 利多卡因比普鲁卡因稳定是因为()A. 酰胺键旁邻有两个甲基的空间位阻B. 碱性较强C. 酰胺键比酯键较难水解D. 无芳伯氨基12. 利血平具有下列那些理化性质()A. 具有旋光性B. 光和酸催化都可导致氧化脱氢C. 在光和热的影响下,C-3位发生差向异构化反应D. 无论是酸性条件还是碱性条件,均易于发生酯键水解13. 西咪替丁的结构特点包括()A.含五元吡咯环B. 含有硫原子结构C. 含有胍的结构D.含有2-氨基噻唑的结构E. 含有两个甲基14. 对氟尿嘧啶的描述正确的是()A. 是用电子等排体更换尿嘧啶的氢得到的药物B.属酶抑制剂C. 属抗癌药D. 其抗癌谱较广E. 在亚硫酸钠溶液中较不稳定15. 青霉素钠具有下列哪些性质()A. 遇碱β-内酰胺环破裂B. 有严重的过敏反应C. 在酸性介质中稳定D. 6位上具有α-氨基苄基侧链E. 对革兰氏阳性菌和革兰氏阴性菌都有效16. 下列哪几项叙述与激素药物的描述相符合()A.胰岛素影响体内的钙磷代谢B.激素与受体结合产生作用C.激素的分泌细胞和产生作用的细胞可能不在一个部位D.激素药物通常的剂量都较小E.激素都具有甾体结构17. 属于肾上腺皮质激素的药物有()A.醋酸甲地孕酮B.醋酸可的松C.醋酸地塞米松D.己烯雌酚E.醋酸泼尼松龙三、填空题四、写出下列药物的通用名、结构类型及其临床用途1. 贝诺酯水杨酸类解热镇痛药2. 氟康唑唑类抗真菌药物3. 炔诺酮甾体类孕激素4. 硝苯地平二氢吡啶类钙通道阻滞剂五、简答题1. 巴比妥类药物具有哪些共同的理化性质?2. 经典H1受体拮抗剂有何突出的不良反应?第二代H1受体拮抗剂是如何克服这一缺点?举例说明。
《药物化学》期末考试试卷一、单选(共80小题,每题1分,共80分。
题下选项可能多个正确,只能选择其中最佳的一项)1.雌甾烷与雄甾烷在化学结构上的区别是() [单选题] *A.雌甾烷具18甲基,雄甾烷不具B.雄甾烷具18甲基,雌甾烷不具C.雌甾烷具19甲基,雄甾烷不具D.雄甾烷具19甲基,雌甾烷不具(正确答案)E.雌甾烷具20、21乙基,雄甾烷不具2. 关于马来酸氯苯那敏的叙述不正确的是() [单选题] *A.氨基醚类H1受体拮抗剂(正确答案)B.加稀硫酸及高锰酸钾试液颜色褪去C.具有酸性D.分子结构中有1个手性碳原子,药用为外消旋体E.本品有升华性,升华物为特殊晶形3.抗结核药物异烟肼是采用何种方式发现的() [单选题] *A. 随机筛选B. 组合化学C. 药物合成中间体(正确答案)D. 对天然产物的结构改造E. 基于生物化学过程4.对枸橼酸他莫昔芬的叙述哪项是正确的() [单选题] *A.顺式几何异构体活性大(正确答案)B.反式几何异构体活性大C.对光稳定D.对乳腺细胞表现出雌激素样作用,因而用于治疗乳腺癌E.常用做口服避孕药的成分5.设计吲哚美辛的化学结构是依于() [单选题] *A. 组胺B. 5-羟色胺C. 慢反应物质D. 赖氨酸(正确答案)E. 组胺酸6.口服吸收慢,起效慢,半衰期长,易发生蓄积中毒的药物是() [单选题] *A.甲基多巴B.氯沙坦C.利多卡因D.盐酸胺碘酮(正确答案)E.硝苯地平7.在碱性、加热条件下能够发生麦芽酚反应的药物是() [单选题] *A. 青霉素G钠B. 链霉素(正确答案)C. 氯霉素D. 红霉素E. 四环素8.氯丙嗪在空气或日光中放置,逐渐变为红色,结构中易氧化的部分是() [单选题] *A.二甲基氨基B.侧链部分C.酚羟基D.吩噻嗪环(正确答案)E.醇羟基9. 喹诺酮类抗菌药的光毒性主要来源于几位取代基() [单选题] *A.5位B.6位C.7位D.8位(正确答案)E.2位10.沙丁胺醇氨基上的取代基为() [单选题] *A. 甲基B. 异丙基C. 叔丁基(正确答案)D. 乙基E. 丙基11.最早发现的磺胺类抗菌药为() [单选题] *A. 百浪多息(正确答案)B. 可溶性百浪多息C. 对乙酰氨基苯磺酰胺D. 对氨基苯磺酰胺E. 苯磺酰胺12.下列环氧酶抑制剂中,哪一个对胃肠道的副作用较小() [单选题] *A. 布洛芬B. 双氯芬酸C. 塞来昔布(正确答案)D. 萘普生E. 酮洛芬13. 结构中无酚羟基的药物是() [单选题] *A.肾上腺素B.麻黄碱(正确答案)C.异丙肾上腺素D.去甲肾上腺素E.水杨酸14.说维生素D是甾醇衍生物的原因是() [单选题] *A. 具有环戊烷氢化菲的结构B. 光照后可转化为甾醇C. 由甾醇B环开环衍生而得(正确答案)D. 具有甾醇的基本性质E. 其体内代谢物是甾醇15. 喹诺酮类抗菌药的中枢毒性主要来源于几位取代基() [单选题] *A.5位B.6位C.7位(正确答案)D.8位E.2位16.属于非苯二氮草类的药物是() [单选题] *A. 地西泮B. 氯氮草C. 唑吡坦(正确答案)D. 苯妥英钠E. 苯巴比妥17. 下列非甾体抗炎药物中,那个药物的代谢物用做抗炎药物() [单选题] *A.布洛芬B.双氯芬酸C.塞来昔布D.萘普生E.保泰松(正确答案)18.耐酸青霉素的结构特点是() [单选题] *A. 6-位酰胺侧链引入强吸电子基团(正确答案)B. 6-位酰胺侧链引人供电子基团C. 5-位引人大的空间位阻D. 5-位引入大的供电基团E. 4-位引人大的空间位阻19. 青霉素钠在室温和稀酸溶液中会发生哪种变化() [单选题] *A.分解为青霉醛和青霉胺B.6-氨基上的酰基侧链发生水解C.β-内酰胺环水解开环生成青霉酸D.发生分子内重排生成青霉二酸(正确答案)E.发生裂解生成青霉酸和青霉醛酸20. 华法林钠在临床上主要用于() [单选题] *A.抗高血压B.降血脂C.心力衰竭D.抗凝血(正确答案)E.胃溃疡21.磺胺类药物能对抗细菌生长所必需的哪种物质() [单选题] *A. 多巴胺B. 对氨基苯甲酸(正确答案)C. 组氨酸D. 乙酰胆碱E. 胆碱酯酶22. 磺胺类药物的作用机制是抑制() [单选题] *A.二氢叶酸合成酶(正确答案)B.二氢叶酸还原酶C.叶酸合成酶D.叶酸还原酶E.四氢叶酸还原酶23.利多卡因的作用时间比普鲁卡因长的原因是() [单选题] *A. 酰胺比酯键稳定,同时还有邻位2个甲基的位阻作用(正确答案)B. 酰胺比酯键不稳定C. 氨基酮的结构不易水解D. 碳链支链的位阻作用E. 邻位2个甲基的位阻作用24. 属于大环内酯类抗生素的药物是() [单选题] *A.多西环素B.罗红霉素(正确答案)C.阿米卡星D.环孢素E.四环素25. 盐酸普鲁卡因可与NaNO2液反应后,再与碱性β—萘酚偶合成猩红染料,其依据为() [单选题] *A.因为生成NaClB.第三胺的氧化C.酯基水解D.因有芳伯胺基(正确答案)E.苯环上的亚硝化26.抗心律失常药中属于钾通道阻滞剂的是() [单选题] *A. 胺碘酮(正确答案)B. 盐酸美西律C. 普罗帕酮D. 硫酸奎尼丁E. 妥卡尼27. 2分子链霉素可以和几分子硫酸结合() [单选题] *A.1B.2C.3(正确答案)D.4E.528.下列不是抗高血压药物的是() [单选题] *A. 卡托普利B. 洛伐他汀(正确答案)C. 依那普利D. 氯沙坦E. 利血平29. 维生素D3的活性代谢物为() [单选题] *A.维生素D2B.1,25-二羟基D2C. 25-(OH)D3D.1Α,25-(OH)2D3(正确答案)E.24,25-(OH)2D330.具有茛菪酸结构的特征定性鉴别反应是() [单选题] *A. 重氮化-偶合反应B. FeCl3试液显色反应C. 坂口反应D. Vitali 反应(正确答案)E. 异羟肟酸铁反应31.能引起永久性耳聋的抗生素药物是() [单选题] *A. 四环素类抗生素B. 氨基糖苷类抗生素(正确答案)C. β-内酰胺类抗生素D. 红霉素类抗生素E. 其他类抗生素32.下列哪个药物能发生重氮化-偶合反应() [单选题] *A. 硝苯地平B. 普鲁卡因胺(正确答案)C. 肾上腺素D. 普萘洛尔E. 去甲肾上腺素33. 甲氧苄啶属于() [单选题] *A.抗寄生虫药B.抗菌增效剂(正确答案)C.抗病毒药D.抗高血压药E.抗心律失常药34. 阿米卡星属于() [单选题] *A.大环内酯类B.氨基糖苷类(正确答案)C.磷霉素类D.四环素类E. β-内酰胺类抗生素35. 引起青霉素过敏的主要原因是() [单选题] *A.青霉素本身为过敏原B.合成、生产过程中引入杂质青霉噻唑等高聚物(正确答案)C.青霉素与蛋白质反应物D.青霉素的水解产物E.青霉素侧链部分所致36.能进人脑脊液的磺胺类药物是() [单选题] *A. 磺胺嘧啶(正确答案)B. 磺胺甲嘿唑C. 磺胺醋酰钠D. 对氨基苯磺酰胺E. 对羟基苯磺酰胺的衍生物37. 盐酸吗啡加热的重排产物主要是() [单选题] *A.双吗啡B.可待因C.苯吗喃D.阿扑吗啡(正确答案)E.N-氧化吗啡38. 环磷酰胺体外没有活性,在体内经代谢而活化。
药物化学期末试卷一、单项选择题(共40分,每题2分)1、决定药物药效的主要因素是( )A.药物是否稳定B.药物必须以一定的浓度到达作用部位C.药物必须具备较大的脂溶性D.药物必须完全水溶 2、下列最不稳定的局麻药是( )A.普鲁卡因B.利多卡因C.氯胺酮D.丁卡因 3、下列不属于甾体药物基本母核的是 ( )A. 孕甾烷B. 雌甾烷C. 雄甾烷 D . 肾上腺甾烷 4、苯巴比妥的化学结构为( ) A . B.C NHC NH C HO OOC NHC NH CC 2H 5O SOC . D.C NHC NH CC 2H 5O OOC NHCH 2NH CC 2H 5O O5、临床主要用于戒毒疗法的药物( )A.吗啡B.可待因C.美沙酮D.哌替啶 6、硝酸毛果芸香碱在碱性条件下易水解而失活的原因是( ) A.药物分子中含有酮基 B.药物分子具有碱性 C.药物分子中含有苯环 D.药物分子中含有内酯环7、吗啡与甲醛-硫酸试液反应呈蓝紫色,是因为()A.酚羟基B.双键C.羟基D.芳环8、盐酸肾上腺素化学结构()A. B.C. D.9、对乙酰氨基酚化学结构()A. B.C. D.10、盐酸多巴胺因具有(),在空气中易氧化变色。
A.双键B.邻苯二酚结构C.酯键D.酚羟基11、阿司匹林与碳酸钠溶液共热,放冷后用稀硫酸酸化,析出的白色沉淀是()A.乙酰水杨酸B.乙酸C.水杨酸D.水杨酸钠12、氢氯噻嗪化学结构属于下列哪一类利尿药()A.对羟基化合物类B.苯并噻嗪类C.含氮杂环类D.醛甾酮类13、卡托普利化学结构()A.B.C. D.14、遇三氯化铁试液,溶液呈墨绿色的药物()A.多巴胺B.肾上腺素C.沙丁胺醇D.异丙肾上腺素15、化学结构如下的药物是()OCH22NHCH(CH3)2OHA.苯海拉明 B.阿米替林 C.可乐定 D.普萘洛尔16.阿苯达唑灼烧后,产生气体,可使醋酸铅试纸呈黑色,这是因为其结构中()A. 含杂环B. 有丙基C. 含丙硫基D. 含苯环17、下列属于三环类的抗过敏药物是()。
药物化学期末试题及答案3套第一套试题及答案1. 描述制备头孢菌素的步骤。
答案:合成头孢菌素的步骤如下:- 取6-氨基-3-甲氧基苯乙酸经过腈化形成过渡体1;- 过渡体1经过肟化生成过渡体2;- 过渡体2经过K2CO3/acetone催化形成过渡体3;- 过渡体3与丙烯酰氧乙酸甲酯缩合形成头孢菌素的前体4;- 前体4与一氧化碳、甲醛、NH4Cl、CuCl催化反应生成头孢菌素。
2. 画出麻黄碱和茶碱的结构式,并描述它们的药理活性。
答案:麻黄碱和茶碱的结构式如下:它们的药理活性描述如下:- 麻黄碱:为α/b-adrenoceptor激动剂,可用于支气管扩张,抗过敏、抗炎;同时也为胃肠动力药,可以用于轻度促进胃肠蠕动。
- 茶碱:为一种兴奋剂,可以增强中枢神经兴奋、心脏、肺的功能,有很好的通气作用,因此可用于心悸、哮喘、支气管痉挛等疾病。
第二套试题及答案1. 描述甲基多巴在体内的代谢。
答案:甲基多巴在体内的代谢经过3个主要步骤:- 甲基多巴经过羟化酶依次催化生成对羟基苯乙醇和3,4-二羟基苯乙醛;- 3,4-二羟基苯乙醛再经过羟化酶作用生成3,4-二羟基苯乙酸;- 3,4-二羟基苯乙醇和3,4-二羟基苯乙酸会被酸性水解,分别生成对羟基苯乙酸和3,4-二羟基苯乙酸。
2. 描述喹诺酮类药物的适应症和不良反应。
答案:喹诺酮类药物适应症及不良反应描述如下:- 适应症:常用于治疗泌尿系统感染、呼吸系统感染、肠道感染、胃肠炎、胀气、急性阑尾炎等疾病。
- 不良反应:包括肝功能异常、心电图异常、心律失常、神经系统异常、肌肉疼痛、头痛、精神紊乱等。
第三套试题及答案1. 描述氢化可的松在体内的代谢途径和可能的不良反应。
答案:氢化可的松在体内的代谢途径为肝脏将它代谢成6β-羟甲基-可的松,并在肾脏、肾上腺和靶组织分别进行特异性的输入和新型分子合成工作,以维持血液中的可的松和促肾上腺皮质激素合成等生理过程的平衡。
可能的不良反应包括:肝损伤、内分泌疾病、免疫系统紊乱、消化系统等异常,还可能引发充血性心力衰竭等。
一、根据下列药物的化学结构写出其药名及主要临床用途( 每小题2分,共20分)1 药名:双氯芬酸钠或双氯灭痛 主要临床用途:解热,消炎,镇痛2药名:氟烷 F 3C-CHBrCl主要临床用途:全麻 3药名:青霉素或苄青霉素主要临床用途:抗菌 4药名:硝酸甘油 主要临床用途:抗心绞痛 5药名:氢溴酸山莨菪碱主要临床用途:镇静药或抗晕动、震颤麻痹等 6药名:沙丁胺醇 主要临床用途:抗哮喘 7药名:卡铂或碳铂 主要临床用途:抗肿瘤8药名:盐酸苯海索或安坦主要临床用途:抗震颤麻痹9药名:地西泮或安定主要临床用途:镇静催眠或抗癫痫或抗惊厥10药名:盐酸多巴胺主要临床用途:抗休克 二、写出下列药物的化学结构式及主要临床用途(每小题3分,共12分)1. 环磷酰胺 化学结构式: 主要临床用途:抗肿瘤 2.扑热息痛 化学结构式: 主要临床用途:解热镇痛3. 卡托普利化学结构式: N COOH HSCH 2CHCO CH 3主要临床用途:降压4. 对氨基水杨酸钠 化学结构式: 主要临床用途:抗结核病 三、根据下列药物的化学名写出其化学结构式、药名及主要临床用途(每小题4分,共8分)1、2-丙基戊酸钠化学结构式:药名:丙戊酸钠或地巴京 主要临床用途:抗癫痫2、α-甲基-6-甲氧基-2-萘乙酸 化学结构式: 药名:萘普生 主要临床用途:消炎镇痛 四、选择题(每题只有一个正确答案)(每小题2分,共20分)。
1、卡马西平的主要临床用途为抗癫痫2、下列利尿药中,螺内酯 具有甾体结构。
3、解热镇痛药按化学结构分类不包括吩噻嗪类。
4、辛伐他汀临床主要用途为降血脂药5、下列药物中,洛莫司汀不是抗代谢抗肿瘤药物。
6、维生素B 1的主要临床用途为防治脚气病及消化不良等。
7、吡拉西坦的主要临床用途为改善脑功能8、下列药物中,盐酸吗啡以左旋体供药用。
9、氨基糖甙类抗生素产生耐药性的主要原因是由于细菌产生了钝化酶。
这些钝化酶中不包括β-内酰胺酶。
2010秋期末自测题一、根据下列药物的化学结构写出其药名及主要临床用途药名 主要临床用途 1. 2.3. 4.5. 6. 7. 8. 9. 10. 11.12.药名 主要临床用途 13. 14. 15. 16. 17.18. 19.20. 21. 22.23. 24. 二、写出下列药物的化学结构式及主要临床用途 1. 诺氟沙星化学结构式: 主要临床用途:2. 氯丙嗪化学结构式: 主要临床用途:3. 卡托普利化学结构式: 主要临床用途:4. 扑热息痛COOH OCOCH 3ONO ClCH 2CH 2NCNHCH 2CH 2Cl N -CH 2OH CH 2OHHO CH 3H N N N N O H 2 O C H 2 C H 2 O H H 2 N CH 2ONO 2 CHONO 2 CH 2ONO 2 N C H O O C C H C H O H C H H O H B r CHCOOH CH 3CHCH 2CH 3CH 3N H C H 3 O C l ·HClC H C H 2 N H C H ( C H 3 ) 2 O H H O H O NN N C H 2 O H C C H 2 N N N F F O O H O O H H C O H H C H 2 O H化学结构式:主要临床用途:5. 盐酸普鲁卡因化学结构式:主要临床用途:6. 硝苯地平化学结构式:主要临床用途:7、氟烷化学结构式:主要临床用途:8.氯贝丁酯化学结构式:主要临床用途:9. 阿司匹林化学结构式:主要临床用途:10.盐酸苯海拉明化学结构式:主要临床用途:11. 尼群地平化学结构式:主要临床用途:12. 对氨基水杨酸钠化学结构式:主要临床用途:三、选择题(每题只有一个正确答案)。
1、卡马西平的主要临床用途为()。
A、抗精神分裂症B、抗抑郁C、抗癫痫D、镇静催眠2、普萘洛尔为()。
A、β受体激动剂B、α受体激动剂C、α受体拮抗剂D、β受体拮抗剂3、下列药物中,()主要用于凝血酶原过低症、新生儿出血症的防治。
A、维生素K3B、维生素B1C、维生素AD、维生素B24、下列下药物中,()为静脉麻醉药。
A、甲氧氟烷B、氯胺酮C、乙醚D、利多卡因5、抗过敏药马来酸氯苯那敏属于()H1受体拮抗剂。
A、三环类B、丙胺类C、氨基醚类D、乙二胺类6、奥美拉唑为()。
A、H1受体拮抗剂B、H2受体拮抗剂C、质子泵抑制剂D、ACE抑制剂7、下列药物中,()不易被空气氧化。
A、肾上腺素B、去甲肾上腺素C、多巴胺D、麻黄碱8、米非司酮为()。
A、雌激素B、孕激素C、抗雌激素D、抗孕激素9、下列药物中,()可发生重氮化-偶合反应。
A、肾上腺素B、麻黄碱10、下列药物中,()主要用作抗真菌药。
A、阿昔洛韦B、氟康唑C、盐酸乙胺丁醇D、氧氟沙星11、烷化剂类抗肿瘤药物按化学结构不包括()。
A、喹啉羧酸类B、乙撑亚胺类C、氮芥类D、亚硝基脲类12、下列药物中,()不具有酸性。
A、阿司匹林B、维生素CC、氯丙嗪D、吲哚美辛13、盐酸普鲁卡因是通过对()的结构进行简化而得到的。
A、奎宁B、阿托品C、可卡因D、吗啡14、利巴韦林临床主要作用()。
A、抗真菌药B、抗肿瘤药C、抗病毒药D、抗结核病药15、晕海宁是由()两种药物所组成。
A、氯苯那敏和8-氯茶碱B、苯海拉明和8-氯茶碱C、氯苯那敏和咖啡因D、苯海拉明和咖啡因16、芬太尼为强效镇痛药,临床常用其()。
A、盐酸盐B、马来酸盐C、磷酸盐D、枸橼酸盐17、下列药物中,()不是抗代谢抗肿瘤药物。
A、氟尿嘧啶B、甲氨喋呤C、洛莫司汀D、巯嘌呤18、下列药物中,()不是环氧合酶抑制剂。
A 、吲哚美辛B、吡罗昔康C、可待因D、萘普生19、下列药物中,()与碱性酒石酸铜共热,生成氧化亚铜的橙红色沉淀。
A、黄体酮B、地塞米松C、炔雌醇D、甲睾酮20、维生素B1的主要临床用途为()。
A、防治脚气病及消化不良等。
B、防治各种黏膜及皮肤炎症等。
C、防治凝血酶原过低症、新生婴儿出血症等。
D、防治夜盲症、角膜软化症及皮肤粗糙等。
21、下列药物中,()为阿片受体拮抗剂。
A、吗啡B、美沙酮C、纳洛酮D、舒芬太尼22、下列药物中,()是地西泮在体内的活性代谢产物。
A、奥沙西泮B、硝西泮C、氟西泮D、氯硝西泮23、下列药物中,()不具有儿茶酚结构。
A、肾上腺素B、盐酸多巴胺24、不属于芳香氮芥的抗肿瘤药物是( )。
A 、美法仑B 、氮甲C 、苯丁酸氮芥D 、环磷酰胺四、填充题1、青霉素药物可抑制 酶,从而抑制细菌细胞壁的合成,使细菌不能生长繁殖。
2、甾类药物按化学结构特点可分为雄甾烷类、 及孕甾烷类。
3、吗啡的结构中含有 个手性碳原子。
4、巴比妥类药物属于结构非特异性药物,其作用的强弱与快慢与药物的 及脂溶性(脂水分配数)有关。
5、磺胺甲恶唑常与抗菌增效剂 合用,称为复方新诺明。
6、布洛芬有一对对映异构体,其S-异构体活性比R-异构体 (强或弱),临床用其外消旋体。
7、组胺受体主要有H 1受体和H 2受体两种亚型。
H 2受体拮抗剂临床用作 药。
8、解热镇痛药及非甾体抗炎药大多数是通过抑制 酶的活性,阻断前列腺素生物合成而发挥作用的。
9、硝酸甘油的化学结构为 ,临床用作抗心绞痛药。
10.合成镇痛药主要有吗啡喃类、苯吗喃类、 、氨基酮类及其它类。
11、拟肾上腺素药在代谢过程中主要受四种酶的催化,有单胺氧化酶(MAO )、 、醛氧化酶和醛还原酶。
12、中枢兴奋药按药物的作用部位可分为兴奋大脑皮层的药物、 和促进大脑功能恢复的药物。
13、异烟肼主要临床用途为 。
14、苯巴比妥钠水溶液放置易分解,产生苯基丁酰脲 沉淀而失去活性。
因此苯巴比妥钠注射剂须制成 剂型。
15、药物的杂质是指。
16、常用的抗代谢抗肿瘤药物有嘧啶拮抗物、嘌呤拮抗物及 等。
17、维生素D 属于 类维生素。
18、羟甲戊二酰辅酶A 还原酶抑制剂可以减少 的生物合成,临床用作降血酯药。
19、洛莫司汀属于 类烷化剂。
20、维生素B 2属于 维生素。
21、抗心绞痛药物可分为硝酸酯及亚硝酸酯类、 和β-受体拮抗剂三类。
22、诺氟沙星的母核为 ,临床用作抗菌药。
23、甲氧苄啶为 抑制剂,主要对磺胺类药物有增效作用。
24、阿司匹林属于 类解热镇痛药,临床上除广泛用于解热、镇痛、抗炎抗风湿外,还可用于心血管系统疾病的预防和治疗。
五、简答题。
1、试写出下列药物在相应条件下的分解产物(以结构式表示)。
(1)(2) (3)H 2 N O 222233Cl 2CH 2COOH + 2HOCH 2CH 2N(CH 3)3Cl +(4) 2、非甾体抗炎药按化学结构类型主要可分为哪几类?(至少三类)3、分别说明β-受体拮抗剂、钙拮抗剂、ACE 抑制剂及磷酸二酯酶抑制剂的主要临床用途。
4、为什么磺胺甲恶唑(SMZ )和甲氧苄啶(TMP )常常组成复方制剂使用?(请简要回答其作用原理)。
5、试举出三例抗肿瘤天然药物(只需写出药名) 。
6、H 1受体拮抗剂主要有哪些结构类型?(至少写出三类)7、氮芥类抗肿瘤药物的结构是由哪两部分组成?各自发挥什么作用?8、试举出三例合成类抗真菌药物。
(只需写出药名)9、如何用化学方法区别地西泮和奥沙西泮?参考答案一、根据下列药物的化学结构写出其药名及主要临床用途1、 药名:阿司匹林或乙酰水杨酸主要临床用途:解热,消炎,镇痛2、药名:盐酸苯海拉明主要临床用途:抗过敏3、药名:吡拉西坦或脑复康主要临床用途:中枢兴奋药或促智4、药名: 雌二醇主要临床用途:卵巢功能不全或雌激素不足引起的各种症状。
5、药名:卡莫司汀主要临床用途:抗肿瘤6、药名: 氯霉素主要临床用途:抗菌7、药名: 异丙肾上腺素主要临床用途:抗哮喘或抗休克或心搏骤停8、药名: 磺胺嘧啶主要临床用途:抗菌9、药名:氟康唑主要临床用途:抗真菌10、药名:甲睾酮主要临床用途:用于雄激素缺乏所引起的各种疾病11、药名:维生素C 或抗坏血酸主要临床用途:用于坏血病的预防和治疗12、药名:环丙沙星主要临床用途:抗菌13、药名:维生素B 6.主要临床用途:治疗因放射治疗引起的恶心、妊娠呕吐、异烟肼中毒14、药名:卡铂或碳铂主要临床用途:抗肿瘤15、药名:阿昔洛韦或无环鸟苷主要临床用途:抗病毒16、药名:硝酸甘油H 2O Cl- -OCH 2COOCH 2CH 2N(CH 3)2主要临床用途:抗心绞痛17、药名:氢溴酸山莨菪碱主要临床用途:镇静药或抗晕动、震颤麻痹等18、药名:沙丁胺醇主要临床用途:抗哮喘19、药名:头孢噻肟钠主要临床用途:抗菌20、药名:马来酸氯苯那敏或扑尔敏主要临床用途:抗过敏21、药名:塞替哌主要临床用途:抗肿瘤22、药名:盐酸苯海索或安坦主要临床用途:抗震颤麻痹23、药名:布洛芬或异丁苯丙酸主要临床用途:消炎镇痛24、药名:盐酸氯胺酮主要临床用途:全麻二、写出下列药物的化学结构式及主要临床用途1、化学结构式:主要临床用途:抗菌2、 化学结构式:主要临床用途:抗精神分裂症或躁狂症3、 化学结构式:N COOH HSCH 2CHCO CH 3主要临床用途:降压4、化学结构式: 主要临床用途:解热镇痛5、化学结构式:主要临床用途:局部麻醉6、化学结构式:主要临床用途:降压或抗心绞痛 7、化学结构式: F 3C-CHBrC1 主要临床用途:全麻8、化学结构式: 主要临床用途:降血酯9、化学结构式:主要临床用途:解热、镇痛、消炎10、化学结构式:主要临床用途:抗过敏11、化学结构式:主要临床用途:治疗冠心病及高血压S N C H 2 C H 2 C H 2 N C l C H 3 C H 3HO- -NHCOCH 3COOCH 2CH 2N(C 2H 5)2·HCl H 2N N C H 3 O O C C O O C H 3 C H3 H 3 C N O 2 H H N N N O C 2 H 5 C O O H F12、化学结构式:主要临床用途:抗结核病三、选择题1、C2、D3、A4、B5、B6、C7、D 8、D 9、C 10、B 11、A 12、C13、C 14、C 15、B 16、D 17、C 18、C19、B 20、A 21、C 22、A 23、C 24、D四、填充题(每空2分,共20分)1、粘肽转肽酶2、雌甾烷类3、五4、解离常数(Pka )5、甲氧苄啶(或TMP )6、强7、抗溃疡8、花生四烯酸环氧合9、 10、哌啶 11、儿茶酚O-甲基转移酶(COMT )12、兴奋延髓呼吸中枢的药物13、抗结核病14、粉针15、在生产、储存过程中引进或产生的药物以外的其它化学物质16、叶酸拮抗物17、脂溶性18、胆固醇19、亚硝基脲20、水溶性21、钙拮抗剂22、喹啉羧酸23、二氢叶酸还原酶24、水杨酸类五、简答题1、 (1)(2) (3)(4)2、非甾体抗炎药主要分为:(1)3,5-吡唑烷二酮类CH 2ONO 2CHONO2 CH 2ONO 2 + HOCH 2-(CHOH)3H 2 N O HC O O N a OCH 2COOH Cl + HOCH 2CH 2N(CH 3)2(2)邻氨基苯甲酸类(3)吲哚乙酸类(4)芳基烷酸类(5)1,2-苯并噻嗪类3、β-受体拮抗剂:抗高血压或抗心绞痛或抗心律失常钙拮抗剂:抗高血压或抗心绞痛或抗心律失常ACE抑制剂:抗高血压或充血性心衰磷酸二酯酶抑制剂:抗心力衰竭4、磺胺甲恶唑(SMZ)可以抑制二氢叶酸合成酶,阻断细菌合成二氢叶酸,甲氧苄啶抑制二氢叶酸还原酶,阻断二氢叶酸还原成四氢叶酸,两者合用时,可使细菌体内的四氢叶酸的合成受到双重阻断,因而产生协同抗菌作用,作用增强,因此两者常合用。