1949-2015年中国人口、GDP.粮食产量变化情况
- 格式:xlsx
- 大小:31.95 KB
- 文档页数:4
1949年——2012年中国粮食产量与人口统计分析12级经济班2012420140 袁文超前言:刚刚过去的2012年,中国大陆粮食产量达5亿8957万吨,再创历史新高。
人均粮食拥有量也终于远离徘徊多年的400公斤左右,达到创纪录的435.4公斤。
2012年,全世界粮食总产量为22.8亿吨,世界总人口约70.9亿人。
则世界人均粮食拥有量为321.7公斤。
可见中国人均粮食已达世界平均水平的1.35倍以上。
中国的粮食安全,已赢得很有富余度的较充分保障。
俗话说“民以食为天”,中国以占世界7%的耕地面积,养活了占世界22%的人口。
这确实是个值得讴歌的奇迹!1 研究对象和方法1.1研究对象:以1949年至2012年中国粮食产量与人口统计数据为基础,结合历史资料1.2研究方法:1.2.1文献分析法:从人大论坛公布的数据资料出发,收集中国从1949年开始到2012年的人口数据于粮食产量。
结合相关历史史实,分析各年度大事综合得出结论。
1.2.2 数量研究法:分析各年度的环比增长率,比较各年度平均数据,绘制表格分析数据的大体走势,从而得到一些结论。
2研究结果与分析2.1数据统计表格中国粮食产量与人口统计表(1949-2012)年度产量(万吨)粮食产量环比增长率人口(亿)人口环比增长率人均粮(公斤)1949 11318 - 5.4167 - 208.9 1950 13213 16.74% 5.5196 1.90% 239.4 1951 14369 8.75% 5.6300 2.00% 255.2 1952 16392 14.08% 5.7482 2.10% 285.2 1953 16683 1.78% 5.8796 2.29% 283.7 1954 16952 1.61% 6.0266 2.50% 281.3 1955 18394 8.51% 6.1465 1.99% 299.3 1956 19275 4.79% 6.2828 2.22% 306.8 1957 19505 1.19% 6.4653 2.90% 301.7 1958 19765 1.33% 6.5994 2.07% 299.5 1959 16968 -14.15% 6.7207 1.84% 252.5 1960 14385 -15.22% 6.6207 -1.49% 217.3 1961 13650 -5.11% 6.5859 -0.53% 207.3 1962 15441 13.12% 6.7295 2.18% 229.51963 17000 10.10% 6.9172 2.79% 245.8 1964 18750 10.29% 7.0499 1.92% 266.0 1965 19453 3.75% 7.2538 2.89% 268.2 1966 21400 10.01% 7.4542 2.76% 287.1 1967 21782 1.79% 7.6368 2.45% 285.2 1968 20906 -4.02% 7.8534 2.84% 266.2 1969 21097 0.91% 8.0671 2.72% 261.5 1970 23996 13.74% 8.2992 2.88% 289.1 1971 25014 4.24% 8.5229 2.70% 293.5 1972 24048 -3.86% 8.7177 2.29% 275.9 1973 26494 10.17% 8.9211 2.33% 297.0 1974 27527 3.90% 9.0859 1.85% 303.0 1975 28452 3.36% 9.2420 1.72% 307.9 1976 28631 0.63% 9.3717 1.40% 305.5 1977 28273 -1.25% 9.4974 1.34% 297.7 1978 30477 7.80% 9.6259 1.35% 316.6 1979 33212 8.97% 9.7542 1.33% 340.5 1980 32056 -3.48% 9.8705 1.19% 324.8 1981 32502 1.39% 10.0072 1.38% 324.8 1982 35450 9.07% 10.1654 1.58% 348.7 1983 38728 9.25% 10.3008 1.33% 376.0 1984 40731 5.17% 10.4357 1.31% 390.3 1985 37911 -6.92% 10.5851 1.43% 358.2 1986 39151 3.27% 10.7507 1.56% 364.2 1987 40473 3.38% 10.9300 1.67% 370.3 1988 39404 -2.64% 11.1026 1.58% 354.9 1989 40755 3.43% 11.2704 1.51% 361.6 1990 44624 9.49% 11.4333 1.45% 390.3 1991 43529 -2.45% 11.5823 1.30% 375.8 1992 44266 1.69% 11.7171 1.16% 377.8 1993 45649 3.12% 11.8517 1.15% 385.2 1994 44510 -2.50% 11.9850 1.12% 371.4 1995 46662 4.83% 12.1121 1.06% 385.3 1996 50454 8.13% 12.2389 1.05% 412.2 1997 49417 -2.06% 12.3626 1.01% 399.7 1998 51230 3.67% 12.4761 0.92% 410.6 1999 50839 -0.76% 12.5786 0.82% 404.2 2000 46218 -9.09% 12.6743 0.76% 364.7 2001 45262 -2.07% 12.7627 0.70% 354.6 2002 45711 0.99% 12.8453 0.65% 355.9 2003 43067 -5.78% 12.9227 0.60% 333.3 2004 46947 9.01% 12.9988 0.59% 361.2 2005 48401 3.10% 13.0756 0.59% 370.2 2006 49746 2.78% 13.1448 0.53% 378.42007 50150 0.81% 13.2129 0.52% 379.6 2008 52850 5.38% 13.2802 0.51% 398.0 2009 53082 0.44% 13.3474 0.51% 397.7 2010 54641 2.94% 13.4100 0.47% 407.5 2011 57121 4.54% 13.4735 0.47% 424.0 2012 58957 3.21% 13.5404 0.50% 435.42.2数据分析图2.3结合以上数据可以分析:1.建国初期,粮食产量变动率变化剧烈,而后变动逐渐变小,趋于稳定。
(1977—-2007)年国内生产总值(GDP)及增长率:1977 10.7%1978 11.7%1979 7.6%1980 7.8%1981 5.2%1982 9.1%1983 10.9%1984 15.2% 1985 13.5%1986 8.8% 1987 11.6%1988 11.3%1989 4.1% 1990 3.8%1991 9.2%1992 14.2%1993 13.5%1994 12.6% 1995 10.5%1996 9.6%1997 8.8%1998 7.8%1999 7.1% 2000 8.0%2001 7.5%2002 8.3%2003 9.5% 2004 10.1% 2005 10.4%2006 11.6%2007 11.9%(注:1978-2007 的30年,平均GDP增长率约为9.7067%)(1949—1977年)年国内生产总值(GDP)及增长率:1949年466亿元1950 23.4% 1951 19% 1952 18.3% (73.8%比49年)第一个5年计划:1953 30.3% 1954 9.4% 1955 5.6%1956 16.5% 1957 6% (67.84%比52年)第二个5年计划:1958 32.2% 1959 19.5%1960 5.4% 1961 -31.0% 1962 -10.1%(3.4%比57年)(注:“大跃进”1958年至1960年,“三年困难时期”1959年至1961年)1963 9.5% 1964 17.6% 1965 20.4% (55.04%比62年)第三个5年计划:1966 17.3% 1967 -9.6%1968 -4.2% 1969 23.8% 1970 25.7% (58.08%比65) 第四个5年计划:1971 12.2% 1972 4.5% 1973 9.2% 1974 1.4% 1975 11.9% (45.28%比70年) 1976 1.7% 1977 10.7% 1978 11.7%(25.75%比75年) 结束到改革开放前夕(注:“文化大革命”1966年5月至1976年10月)(注:1950-1977 的28年,平均GDP增长率约为10.593%)人口普查相关:(1)、第一次人口普查,1953年1953年6月30日24时,全国人口总数为601,938,035人(含大陆港澳台人口),其中28个省、市、自治区为为58260万人(不含港澳台人口)(2)、第二次人口普查。
菏泽市2024—2025学年度第一学期期中考试高三历史试题本试题卷共8页,19题。
全卷满分100分,考试用时90分钟。
注意事项:1.答题前,先将自己的姓名、准考证号填写在答题卡上,并将准考证号条形码粘贴在答题卡上的指定位置。
2.选择题的作答:选出每小题答案后,用2B铅笔把答题卡上对应题目的答案标号涂黑。
写在试题卷、草稿纸和答题卡上的非答题区域均无效。
3.非选择题的作答:用签字笔直接写在答题卡上对应的答题区域内。
写在试题卷、草稿纸和答题卡上的非答题区域均无效。
4.考试结束后,请将本试题卷和答题卡一并上交。
一、选择题:本题共15小题,每小题3分,共45分。
在每个小题给出的四个选项中,只有一项是符合题目要求的。
1.考古发现,红山文化中心墓葬随葬玉器数量多、质量纯、选料精、体积大、工艺讲究;第三等级墓有随葬玉器和中、小型石棺;第四等级墓有讲究的石棺;附属墓只有简单的墓坑。
这可以用于说明()A.玉器是随葬必需品B.早期国家的形成C.墓葬地域特征明显D.社会贫富的分化2.周成王即位后,周公旦营造洛邑,将九鼎迁至洛邑,并请成王亲自主持祭礼,将九鼎安放在明堂之中。
周公这一举措旨在()A.实现权力的高度集中B.宣扬政权的合法性C.缓解宗周镐京的压力D.推动洛邑的城市化3.《商君书》将秦君塑造成明一法度、任力不任德的“圣王”;《吕氏春秋》继而将秦君塑造成既能养生治国、又能偃荡兵聚的“圣王”。
这一变化主要是由于()A.礼乐制度的崩溃B.黄老之学的盛行C.政治形势的需要D.君主专制的形成4.汉初《津关令》中记载了许多关于严格盘查金器、铜、铁等金属出关中的规定。
这反映了当时政府意图()A.实施盐铁官营B.取消地方铸币权C.坚持重农抑商D.保障王朝的安全5.《唐律疏议·名例》“妇人有官品邑号”条规定:“诸妇人有官品及邑号,犯罪者,各依其品,从议、请、减、赎、当、免之律,不得荫亲属。
”此条“疏议”专为此规定做了说明:“依礼,‘凡夫人,从其夫之爵位’。
从真实数据比较新中国前后30年发展作者:胖虎发布人:楚风发布时间:2011-2-4 来源:鼎盛中华论坛点击次数:987中华人民共和国成立于1949年,中国的所谓的改革开放始于1978年(有说1980年)。
从新中国建国到改革开放有29年,从改革开放到今天又32年。
很多学者将新中国的这部分历史分为前30年和后30年。
如今的中国和西方媒体热衷宣传中国在后30年的经济成就,同时极力贬低中国在前30年的经济进步。
每当提起改革前的经济,中国媒体最常用的一句话就是:中国经济陷入了崩溃的边缘。
事实真是这样的吗?不带政治偏见的事实和经济数据最能说明问题。
在改革前的29年,中国在国家安全、工业、农业、科学技术、基础建设以及人文建设方面取得了无与伦比的成就。
新中国初期,中国的工业几乎为空白,或者说可以忽略不计。
但在70年代初期中国工业产值就超过了农业总产值。
根据国家统计局数据,1978年中国农林牧渔业总产值为1397.00亿元,工业总产值为4237.0亿元,按这个数据计算,1978年时中国的工业总产值已经占工农业总产值的75%,工业总产值是农业总产值的3倍。
这也就是说中国在70年代就已经完成了初步工业化。
并且按实物计算,那时的农业产量也翻了一倍多。
中国在70年代末就开始制造核潜艇、能独立修建葛洲坝那样的大工程。
这本身就代表了中国的综合工业水平,也代表了中国技术进步的步伐。
这一切几乎是从零开始的。
万事开头难。
虽然大家都不耻拿印度做参考物,但参考一下总还是能说明问题的。
今天的印度工业产值和农业产值几乎是相等的。
更何况在47年独立时的印度比49年的中国不知强多少倍。
英帝国给印度留下的铁路就有5万5千公里。
而49年时的中国铁路只有2万2千公里。
并且大部分在长期的战争中被破坏或完全毁坏。
对比之下可以看出新中国初期的艰难。
但在前30年中国的铁路里程达到了5万公里左右。
相当于在前30年,在当时中国落后的经济条件、落后的技术条件、短缺的物质条件下,中国建设了3万公里的铁路。
新人教版高地选择性必修三第二章资源安全与国家安全第三节中国的耕地资源和粮食安全教学设计
课堂
小结
板书第三节中国的耕地资源和粮食安全
一、粮食生产安全的资源基础
1.粮食安全
2.我国粮食安全的
3.粮食生产的基础
4.影响粮食总产量的因素
5.耕地资源与粮食生产能力特征
二、实现粮食安全的途径
1. 基本要求:
2.增加粮食总产量的途径
3.提高粮食单位面积产量的途径
4.调节粮食安全的手段
三、未来粮食安全的耕地保障
1.国家粮食安全战略和目标
2.粮食安全面临的挑战
3.耕地保障对粮食安全的意义。
历年世界各国GDP排名?(一)?1949年中国GDP世界排名第X位:179.56亿美元(50年国家外汇储备:1.57亿美元)人口5.42亿1952年中国GDP世界排名第X位:276亿美元[679亿](外汇储备:1.08亿美元)人口5.75亿1962年中国GDP世界排名第X位:467亿美元[1149.3亿](外汇储备:0.81亿美元)人口6.73亿1970年中国GDP世界排名第13位:916亿美元[2252.7亿](外汇储备:0.88亿美元)人口8.30亿1978年中国GDP世界排名第15位:2683亿美元(国家外汇储备:1.67亿美元)人口9.63亿1980年中国GDP世界排名第7位:3332亿美元(国家外汇储备:-12.96亿美元)人口9.87亿1990年中国GDP世界排名第10位:3638亿美元(国家外汇储备:110.93亿美元)人口11.43亿1995年中国GDP世界排名第7位:6913亿美元(国家外汇储备:735.97亿美元)人口12.11亿2000年中国GDP世界排名第6位:10801亿美元(国家外汇储备:1655.74亿美元)人口12.67亿2001年中国GDP世界排名第6位:11592亿美元(国家外汇储备:2121.65亿美元)人口12.76亿2002年中国GDP世界排名第6位:12371亿美元(国家外汇储备:2864.07亿美元)人口12.85亿2003年中国GDP世界排名第7位:14099亿美元(国家外汇储备:4032.51亿美元)人口12.92亿2004年中国GDP世界排名第6位:19787亿美元(国家外汇储备:6099.32亿美元)人口12.99亿2005年中国GDP世界排名第5位:22564亿美元(国家外汇储备:8189亿美元)人口13.09亿2006年中国GDP世界排名第4位:26448亿美元(国家外汇储备:10663亿美元)人口13.10亿2007年中国GDP世界排名第3位:29330亿美元/预测(汇率按7.8计算)(国家外汇储备:12020亿(二)历年世界各国GDP排名1970——2009世界GDP排名1970年世界各国(地区)GDP总值排名(除苏联外,按当时汇率)01----美国--------1,0255亿美元02----日本----------2068亿美元03----西德----------2037亿美元04----法国----------1470亿美元05----英国----------1236亿美元07---加拿大----------851亿美元08--澳大利亚---------429亿美元09---墨西哥----------396亿美元10---西班牙----------390亿美元11----瑞典-----------357亿美元12----荷兰-----------351亿美元13----中国-----------272亿美元★★★★★1980年世界各国(地区)GDP总值排名(除苏联外,按当时汇率)01----美国---------2,7956亿美元02----日本---------1,0279亿美元03----西德-----------8261亿美元04----法国-----------6824亿美元05----英国-----------5367亿美元06---意大利----------4546亿美元07----中国-----------3015亿美元★★★★★08---加拿大----------2689亿美元09---西班牙----------2218亿美元10---阿根廷----------2090亿美元1990年世界各国(地区)GDP总值排名(除苏联外,按当时汇率)01----美国---------5,8033亿美元02----日本---------3,0522亿美元03----德国---------1,5470亿美元05---意大利--------1,1045亿美元06----英国-----------9946亿美元07---加拿大----------5827亿美元08---西班牙----------5115亿美元09----巴西-----------4650亿美元10----中国-----------3878亿美元★★★★★1995年世界各国(地区)GDP总值排名(按当时汇率)01----美国---------7,4005亿美元02----日本---------5,2929亿美元03----德国---------2,4166亿美元04----法国---------1,5257亿美元05----英国---------1,1032亿美元06---意大利--------1,0661亿美元07----中国-----------7006亿美元★★★★★08----巴西-----------6756亿美元09---加拿大----------5760亿美元10---西班牙----------5709亿美元2000年世界各国(地区)GDP总值排名(按当时汇率)01----美国---------9,8247亿美元02----日本---------4,7661亿美元03----德国---------1,8752亿美元04----英国---------1,4409亿美元06----中国---------1,0808亿美元★★★★★07---意大利--------1,0776亿美元09---加拿大----------7242亿美元08----巴西-----------5998亿美元10---墨西哥----------5814亿美元2001年世界各国(地区)GDP总值排名 TOP 40(重新整理) 01----美国--------10,1714亿美元02----日本---------4,2451亿美元03----德国---------1,8738亿美元04----英国---------1,4063亿美元05----法国---------1,3027亿美元06----中国---------1,1590亿美元★★★★★07---意大利--------1,1409亿美元08---加拿大----------6771亿美元09---墨西哥----------6178亿美元10---西班牙----------5775亿美元11----巴西-----------5025亿美元12----印度-----------4775亿美元13----韩国-----------4221亿美元14----荷兰-----------3749亿美元15--澳大利亚---------3685亿美元16---俄罗斯----------3099亿美元18----台湾-----------2644亿美元19----瑞士-----------2473亿美元20---比利时----------2276亿美元21----瑞典-----------2101亿美元22---奥地利----------1887亿美元23----波兰-----------1745亿美元24-沙特阿拉伯--------1732亿美元25----挪威-----------1654亿美元26----丹麦-----------1628亿美元27----香港-----------1626亿美元28---土耳其----------1476亿美元29-印度尼西亚--------1453亿美元30--委内瑞拉---------1249亿美元31----芬兰-----------1219亿美元32----伊朗-----------1188亿美元33----希腊-----------1163亿美元34----泰国-----------1147亿美元35----南非-----------1132亿美元36---以色列----------1103亿美元37---葡萄牙----------1084亿美元38---爱尔兰----------1011亿美元39----埃及------------975亿美元2002年世界各国(地区)GDP总值排名(按当时汇率)01----美国--------10,3831亿美元02----日本---------3,9934亿美元03----德国---------1,9841亿美元04----英国---------1,5636亿美元05----法国---------1,4313亿美元06----中国---------1,2371亿美元★★★★★07---意大利--------1,1843亿美元08---加拿大----------7167亿美元09---西班牙----------6531亿美元10---墨西哥----------6304亿美元2003年世界各国(地区)GDP总值排名(按2004年1月1日汇率)01----美国--------10,8572亿美元02----日本---------4,2907亿美元03----德国---------2,3862亿美元04----英国---------1,7750亿美元05----法国---------1,7316亿美元06---意大利--------1,4554亿美元07----中国---------1,3720亿美元★★★★★08---加拿大----------8505亿美元09---西班牙----------8271亿美元10---墨西哥----------6116亿美元2004年01----美国--------117423.51亿美元--面积--963.14万Km2--人口--29523万--人均-39709美元zo/@]v02----日本---------59487.61亿美元--面积---37.78万Km2--人口--12733万--人均-46719美元QBve:}03----德国---------25862.04亿美元--面积---35.70万Km2--人口---8242万--人均-31378美元u%05----英国---------19448.58亿美元--面积---24.48万Km2--人口---6027万--人均-32269美元:XB04----法国---------18516.13亿美元--面积---54.70万Km2--人口---6043万--人均-30640美元:"&xEN06----中国---------16492.12亿美元--面积--959.70万Km2--人口-131185万--人均--1257美元5t07---意大利--------15758.59亿美元--面积---30.12万Km2--人口---5806万--人均-27417美元(pw08---西班牙---------8361.00亿美元--面积---50.48万Km2--人口---4028万--人均-20757美元W09---加拿大---------8343.90亿美元--面积--998.47万Km2--人口---3251万--人均-25665美元-p)<-10---墨西哥---------6260.80亿美元--面积--197.26万Km2--人口--10496万--人均--5965美元=udmEz国家 2005年国内生产总值(按名义汇率计算) 单位:百万美元1 美国 14,486,6242 日本 4,663,8233 德国 2,730,1094 英国 2,227,5515 中国 2,054,8806 法国1,972,7248 加拿大 1,034,5329 西班牙 1,019,02410 印度 719,819 2006年世界经济排名排名国家 06年GDP1 美国 14,979,1692 日本 5,083,3673 德国 2,812,5584 中国 2,587,9995 英国 2,292,1496 法国 2,108,3077 意大利 1,728,4748 西班牙 1,069,4999 加拿大 1,057,29110 印度 778,521 2007年1 美国 139800 462802 日本 52900 414803 中国 33700 25204 德国 32800 397105 英国 25700 424306 法国 25200 412008 西班牙 14100 308209 加拿大 13600 4147010 俄罗斯 11400 8030 2008年— World 78,360,000 —欧盟 18,930,0001 美国 14,330,0002 日本 4,844,0003 中国 4,222,0004 德国 3,818,0005 法国 2,978,0006 英国 2,787,0007 意大利 2,399,0008 俄罗斯 1,757,0009 西班牙 1,683,00010 巴西 1,665,000 2009年2009年世界各国GDP排名1、美国 14.8万亿2、中国 5.2万亿3、日本 5万亿4、德国 3.5万亿5、法国 2.5万亿6、意大利 2.2万亿7、英国 2万亿8、加拿大 1.5万亿9、西班牙 1.4万亿10、印度 1.3万亿。
新中国成立以来的伟大变化如今的中国已经是全球第二大经济体、第一大贸易国、第一大外汇储备国(也是美国最大的债主,希拉里·克林顿说中国已经成为美国的银行)、制造业第一大国(美国崛起百年后第一次丢掉此冠桂)、210种工业产品产量全球第一(人类历史上只有英国和美国曾有此荣耀)、钢产量超过世界的50%(近8亿吨,超过其他十大产钢国的总和)、汽车消费第一大国、尚未自由兑换的中国人民币流通量超过欧元居世界第二、全球第三大对外投资国、世界五百强86家企业入围居世界第二、世界十大银行中国占有四家并居第一名,与金融大国美国分庭抗礼、全球十大港口中国占据8席;载人、登月第三大航空大国、拥有核武器、航母的军事大国、专利申请世界第一、高铁第一大国(通车里程占全球50%以上)、更是信息时代网民全球第一(美国人口的两倍)、移动电话持有量全球第一(超过11亿用户)、世界数一数二的体育大国。
一、新中国成立实现伟大转变转变一:对待人的态度——从见“人”就批到“以人为本”。
很长一个时期中,在“左”的思想影响下,中国的社会一度把阶级的概念绝对化,把阶级同“人”割裂开来,只讲阶级,不准讲“人”。
党的十七大提出科学发展观的核心是“以人为本”。
从否定人性、人道、人权,见“人”就批,到提出“以人为本”,把人的生命放在至高无上的地位,这表明,在“人”的问题上中国的思想观念和理论,已经实现了根本的转变。
转变二:中国的经济实力和综合国力——从东亚病夫到实力强国。
改革开放不仅使中国的经济实力和综合国力不断增强,中国人民的生活水平和国民福利得到了实质性的提高,而且也使中国日益融入世界经济和主流文明之中。
转变三:对待自然的态度——从“人定胜天”到人与自然的和谐。
2006年10月通过的关于构建社会主义和谐社会的决定,将人与自然和谐相处作为构建社会主义和谐社会的总要求之一。
这标志着中国在人与自然的关系上,思想观念已经有了大转变。
可喜的是,人与自然和谐相处,已经越来越成为全民的共识。
中国历年粮⾷产量、⼈⼝和⼈均粮⾷量总览(1949~2016年)粮⾷产量就是全年的粮⾷⽣产总量,是反映我国农业⽣产的重要指标。
从收获季节上看,包括夏粮、早稻和秋粮;从主要品种上看,包括⾕物、薯类、⾖类,其中⾕物包括⼩麦、稻⾕、⽟⽶、⾕⼦、⾼粱和其他⾕物。
粮⾷产量是粮⾷经晒乾後的原粮产量。
其中⾕物、⾖类⼀律按脱粒、晒乾後的原粮折成国家标准含⽔杂率计算产量;薯类以5:1折算。
2012年中国全年全国粮⾷总产量达到58957万吨,⽐上年增加1836万吨,增长3.2%,连续九年增产。
其中,夏粮产量12995万吨,⽐上年增长2.8%;早稻产量3329万吨,增长1.6%;秋粮产量42633万吨,增长3.5%。
棉花产量684万吨,增长3.8%;油料产量3476万吨,增长5.1%;糖料产量13493万吨,增长7.8%。
▶中国(⼤陆)粮⾷产量、⼈⼝和⼈均粮⾷量总览(1949~2012年)年度粮产量(万吨)增率⼈⼝(亿)增率⼈均粮(公⽄)1949年11318— 5.4167—208.91950年1321314.34%5.5196 1.86%239.41951年143698.05% 5.6300 1.96%255.21952年1639212.34%5.7482 2.06%285.21953年16683 1.74% 5.8796 2.23%283.71954年16952 1.59% 6.0266 2.44%281.31955年183947.84% 6.1465 1.95%299.31956年19275 4.57% 6.2828 2.17%306.81957年19505 1.18% 6.4653 2.82%301.71958年19765 1.32% 6.5994 2.03%299.51959年16968-16.48%6.7207 1.80%252.51960年14385-17.96%6.6207-1.51%217.31961年13650-5.38% 6.5859-0.53%207.31962年1544111.60%6.7295 2.13%229.51963年170009.17% 6.9172 2.71%245.81964年187509.33%7.0499 1.88%266.01965年19453 3.61%7.2538 2.81%268.21966年214009.10%7.4542 2.69%287.11967年21782 1.75%7.6368 2.39%285.21968年20906-4.19%7.8534 2.76%266.21969年210970.91%8.0671 2.65%261.51970年2399612.08%8.2992 2.80%289.11971年25014 4.07%8.5229 2.62%293.51972年24048-4.02%8.7177 2.23%275.91973年264949.23%8.9211 2.28%297.01974年27527 3.75%9.0859 1.81%303.01975年28452 3.25%9.2420 1.69%307.91976年286310.63%9.3717 1.38%305.51977年28273-1.27%9.4974 1.32%297.71978年304777.23%9.6259 1.33%316.61979年332128.23%9.7542 1.32%340.51980年32056-3.61%9.8705 1.18%324.81981年32502 1.37%10.00721.37%324.81982年354508.32%10.16541.56%348.7年度粮产量(万吨)增率⼈⼝(亿)增率⼈均粮(公⽄)1983年387288.46%10.30081.31%376.01984年40731 4.92%10.43571.29%390.31985年37911-7.44%10.58511.41%358.21986年39151 3.17%10.75071.54%364.21987年40473 3.27%10.93001.64%370.31988年39404-2.71%11.10261.55%354.91989年40755 3.31%11.27041.49%361.61990年446248.67%11.43331.42%390.31991年43529-2.52%11.58231.29%375.81992年44266 1.66%11.71711.15%377.81993年45649 3.03%11.85171.14%385.21994年44510-2.56%11.98501.11%371.41995年46662 4.61%12.11211.05%385.31996年504547.52%12.23891.04%412.21997年49417-2.10%12.36261.00%399.71998年51230 3.54%12.47610.91%410.61999年50839-0.77%12.57860.81%404.22000年46218-10.00%12.67430.76%364.72001年45262-2.11%12.76270.69%354.62002年457110.98%12.84530.64%355.92003年43070-6.14%12.92270.60%333.32004年469478.26%12.99880.59%361.22005年48402 3.00%13.07560.59%370.22006年49804 2.70%13.14480.53%378.42007年501600.81%13.21290.52%379.62008年52871 5.11%13.28020.51%398.02009年530820.44%13.34740.50%397.72010年54648 2.85%13.41000.479%407.52011年57121 4.34%13.47350.479%424.02012年58957 3.11%13.54040.492%435.42013年60194 2.1%13.60720.495%-2014年60703-%13.67820.521%-2015年62144-%13.74620.496%-2016年61625-%13.82710.586%-2017年--%13.90080.532%-2018年--%---2019年--%---2020年--%---国家卫⽣计⽣委17年印发了《“⼗三五”全国计划⽣育事业发展规划》指出,到2020年,全国总⼈⼝在14.2亿⼈左右。
中国粮食产量现状粮食是人类生存最基本的生活消费品,一个国家的粮食问题是关系到本国的国计民生的头等大事。
我们知道,农业是国民经济发展的基础,粮食是基础的基础,因此粮食生产是关系到一个国家生存与发展的一个永恒的主题。
建国以来我国的粮食产量多次出现了波动,这不仅制约了国民经济的发展,而且给粮食生产者和消费者都带来了极为不利的影响。
中国的粮食产量波动对粮食价格的影响重大,意义深远。
分析近几十年来的中国粮食产量并从中发现一些规律,对我们认识目前的粮食价格及未来走势有重要帮助。
一、中国粮食产量的历史回顾自建国以来,我国粮食生产不断发展,产量不断提高。
见图1:(注:此图来源于自然资源学报《基于EMD的我国粮食产量波动及其成因多尺度分析》一文)从图1中我们可以明显看出,我国的粮食产量在改革开改(1978年)以前都处于30000万吨以下,而改革开放以后突破了30000万吨关口。
考虑到1977年以前的一些相关因素同1978年以后的相关因素没有可比性,我们将这两个时期分开说明。
1、从建国后到改革开放前我国粮食产量情况(1949-1977年)1949—1977年这一时期,我国粮食产量不断增长,但发展迅速相对缓慢,总产量都在30000万以下。
而且在这28年间,我国粮食产量经历了五次波动,其中有3次波动幅度较大。
1949年我国的粮食产量仅为11320万吨,但1950—1952年是新中国成立后的三年国民经济恢复时期,粮食也出现连续增产。
其中1950年增长率高达16.73%,1952增长14.08%。
但到1953—1954年两年出现了第一次粮食产量增长率下降。
这两年粮食总产量分别比1952年增长1.79%和1.59%,粮食增长率大幅度降低。
1955和1956年这两年,粮食出现了恢复性增产。
1957—1961年出现了第二次粮食产量增长率大幅度下降,其中1959年、1960年两年粮食增长率分别比1956年下降19.78和20.37个百分点。
2015年中国宏观经济环境分析一、宏观经济环境1.国民经济2015年第四季度,中国GDP为676708亿元,同比增加6.9%。
图表12013-2015年中国GDP变化单位:亿元数据来源:国家统计局2.农业生产2015年中国粮食产量62143万吨,比上年增加1441万吨,同比增长2.4%。
其中夏粮产量为14112万吨,同比增加3.3%;早稻产量3369万吨,同比下降0.9%;秋粮产量44662万吨,同比增加2.3%。
图表22010-2015年中国粮食产量数据来源:国家统计局图表32015年中国粮食产量占比单位:万吨数据来源:国家统计局3.工业生产2013年至2015年,我国规模以上工业增加值年均实际增长8%。
分门类看,制造业年均增长9%,采矿业年均增长4.5%,电力、热力、燃气及水生产和供应业年均增长3.8%。
分经济类型看,国有控股企业年均增长4.4%;集体企业年均增长2.4%,股份制企业年均增长9.3%,外商及港澳台商投资企业年均增长6.1%;私营企业年均增长10.4%。
2013年至2015年,全国规模以上工业主营业务收入年均增长6.3%,利润总额年均增长4.2%。
其中,制造业主营业务收入年均增长7.3%,利润总额年均增长8.6%,均高于规模以上工业整体水平。
从人均创造的主营业务收入看,单位劳动产出的上升体现出企业提质增效的进展。
2015年,全国规模以上工业人均主营业务收入达117.4万元,与2012年98.8万元的水平相比,三年内提高了18.6万元,提高18.9%。
4.固定资产投资随著经济放缓,2013-2015固定资产投资(不含农户)增速也逐步回落,名义增速依次为19.6%、15.7%和10.0%。
2013-2015年第三产业投资年均增长15.9%,比全部投资年均增速高0.9个百分点;高技术产业投资年均增长18.5%,比全部投资年均增速高3.5个百分点。
但高耗能行业投资年均增9.9%,比工业投资年均增速低2.6个百分点。
历年世界各国GDP排名中国GDP总值、世界排名、人口及外汇储备统计数据(一)中国GDP总值、世界排名、人口及外汇储备统计数据1949年中国GDP世界排名第X位:179.56亿美元(50年国家外汇储备:1.57亿美元)人口5.42亿1952年中国GDP世界排名第X位:276亿美元[679亿](外汇储备:1.08亿美元)人口5.75亿1962年中国GDP世界排名第X位:467亿美元[1149.3亿](外汇储备:0.81亿美元)人口6.73亿1970年中国GDP世界排名第13位:916亿美元[2252.7亿](外汇储备:0.88亿美元)人口8.30亿1978年中国GDP世界排名第15位:2683亿美元(国家外汇储备:1.67亿美元)人口9.63亿1980年中国GDP世界排名第7位:3332亿美元(国家外汇储备:-12.96亿美元)人口9.87亿1990年中国GDP世界排名第10位:3638亿美元(国家外汇储备:110.93亿美元)人口11.43亿1995年中国GDP世界排名第7位:6913亿美元(国家外汇储备:735.97亿美元)人口12.11亿2000年中国GDP世界排名第6位:10801亿美元(国家外汇储备:1655.74亿美元)人口12.67亿2001年中国GDP世界排名第6位:11592亿美元(国家外汇储备:2121.65亿美元)人口12.76亿2002年中国GDP世界排名第6位:12371亿美元(国家外汇储备:2864.07亿美元)人口12.85亿2003年中国GDP世界排名第7位:14099亿美元(国家外汇储备:4032.51亿美元)人口12.92亿2004年中国GDP世界排名第6位:19787亿美元(国家外汇储备:6099.32亿美元)人口12.99亿2005年中国GDP世界排名第5位:22564亿美元(国家外汇储备:8189亿美元)人口13.09亿2006年中国GDP世界排名第4位:26448亿美元(国家外汇储备:10663亿美元)人口13.10亿2007年中国GDP世界排名第3位:29330亿美元/预测(汇率按7.8计算)(国家外汇储备:12020亿(二)历年世界各国GDP排名1970——2009世界GDP排名1970年世界各国(地区)GDP总值排名(除苏联外,按当时汇率)01----美国--------1,0255亿美元02----日本----------2068亿美元03----西德----------2037亿美元04----法国----------1470亿美元05----英国----------1236亿美元06---意大利---------1077亿美元07---加拿大----------851亿美元08--澳大利亚---------429亿美元09---墨西哥----------396亿美元10---西班牙----------390亿美元11----瑞典-----------357亿美元12----荷兰-----------351亿美元13----中国-----------272亿美元★★★★★1980年世界各国(地区)GDP总值排名(除苏联外,按当时汇率)01----美国---------2,7956亿美元02----日本---------1,0279亿美元03----西德-----------8261亿美元04----法国-----------6824亿美元05----英国-----------5367亿美元06---意大利----------4546亿美元07----中国-----------3015亿美元★★★★★08---加拿大----------2689亿美元09---西班牙----------2218亿美元10---阿根廷----------2090亿美元1990年世界各国(地区)GDP总值排名(除苏联外,按当时汇率)01----美国---------5,8033亿美元02----日本---------3,0522亿美元03----德国---------1,5470亿美元04----法国---------1,2198亿美元05---意大利--------1,1045亿美元06----英国-----------9946亿美元07---加拿大----------5827亿美元08---西班牙----------5115亿美元09----巴西-----------4650亿美元10----中国-----------3878亿美元★★★★★1995年世界各国(地区)GDP总值排名(按当时汇率)数据参考 /pub/international/iealf/tableb2.xls 01----美国---------7,4005亿美元02----日本---------5,2929亿美元03----德国---------2,4166亿美元04----法国---------1,5257亿美元05----英国---------1,1032亿美元06---意大利--------1,0661亿美元07----中国-----------7006亿美元★★★★★08----巴西-----------6756亿美元09---加拿大----------5760亿美元10---西班牙----------5709亿美元2000年世界各国(地区)GDP总值排名(按当时汇率)01----美国---------9,8247亿美元02----日本---------4,7661亿美元03----德国---------1,8752亿美元04----英国---------1,4409亿美元05----法国---------1,3133亿美元06----中国---------1,0808亿美元★★★★★07---意大利--------1,0776亿美元09---加拿大----------7242亿美元08----巴西-----------5998亿美元10---墨西哥----------5814亿美元2001年世界各国(地区)GDP总值排名 TOP 40(重新整理) 01----美国--------10,1714亿美元02----日本---------4,2451亿美元03----德国---------1,8738亿美元04----英国---------1,4063亿美元05----法国---------1,3027亿美元06----中国---------1,1590亿美元★★★★★07---意大利--------1,1409亿美元08---加拿大----------6771亿美元09---墨西哥----------6178亿美元10---西班牙----------5775亿美元11----巴西-----------5025亿美元12----印度-----------4775亿美元13----韩国-----------4221亿美元14----荷兰-----------3749亿美元15--澳大利亚---------3685亿美元16---俄罗斯----------3099亿美元17---阿根廷----------2687亿美元18----台湾-----------2644亿美元19----瑞士-----------2473亿美元20---比利时----------2276亿美元21----瑞典-----------2101亿美元22---奥地利----------1887亿美元23----波兰-----------1745亿美元24-沙特阿拉伯--------1732亿美元25----挪威-----------1654亿美元26----丹麦-----------1628亿美元27----香港-----------1626亿美元28---土耳其----------1476亿美元29-印度尼西亚--------1453亿美元30--委内瑞拉---------1249亿美元31----芬兰-----------1219亿美元32----伊朗-----------1188亿美元33----希腊-----------1163亿美元34----泰国-----------1147亿美元35----南非-----------1132亿美元36---以色列----------1103亿美元37---葡萄牙----------1084亿美元38---爱尔兰----------1011亿美元39----埃及------------975亿美元40---新加坡-----------922亿美元2002年世界各国(地区)GDP总值排名(按当时汇率)01----美国--------10,3831亿美元02----日本---------3,9934亿美元03----德国---------1,9841亿美元04----英国---------1,5636亿美元05----法国---------1,4313亿美元06----中国---------1,2371亿美元★★★★★07---意大利--------1,1843亿美元08---加拿大----------7167亿美元09---西班牙----------6531亿美元10---墨西哥----------6304亿美元2003年世界各国(地区)GDP总值排名(按2004年1月1日汇率)01----美国--------10,8572亿美元02----日本---------4,2907亿美元03----德国---------2,3862亿美元04----英国---------1,7750亿美元05----法国---------1,7316亿美元06---意大利--------1,4554亿美元07----中国---------1,3720亿美元★★★★★08---加拿大----------8505亿美元09---西班牙----------8271亿美元10---墨西哥----------6116亿美元2004年01----美国--------117423.51亿美元--面积--963.14万Km2--人口--29523万--人均-39709美元zo/@]v02----日本---------59487.61亿美元--面积---37.78万Km2--人口--12733万--人均-46719美元QBve:}03----德国---------25862.04亿美元--面积---35.70万Km2--人口---8242万--人均-31378美元u%05----英国---------19448.58亿美元--面积---24.48万Km2--人口---6027万--人均-32269美元:XB04----法国---------18516.13亿美元--面积---54.70万Km2--人口---6043万--人均-30640美元:"&xEN06----中国---------16492.12亿美元--面积--959.70万Km2--人口-131185万--人均--1257美元5t07---意大利--------15758.59亿美元--面积---30.12万Km2--人口---5806万--人均-27417美元(pw08---西班牙---------8361.00亿美元--面积---50.48万Km2--人口---4028万--人均-20757美元W09---加拿大---------8343.90亿美元--面积--998.47万Km2--人口---3251万--人均-25665美元-p)<-10---墨西哥---------6260.80亿美元--面积--197.26万Km2--人口--10496万--人均--5965美元=udmEz国家 2005年国内生产总值(按名义汇率计算) 单位:百万美元1 美国 14,486,6242 日本 4,663,8233 德国 2,730,1094 英国 2,227,5515 中国 2,054,8806 法国1,972,7247 意大利 1,709,6688 加拿大 1,034,5329 西班牙 1,019,02410 印度 719,8192006年世界经济排名排名国家 06年GDP1 美国 14,979,1692 日本 5,083,3673 德国 2,812,5584 中国 2,587,9995 英国 2,292,1496 法国 2,108,3077 意大利 1,728,4748 西班牙 1,069,4999 加拿大 1,057,29110 印度 778,521 2007年1 美国 139800 462802 日本 52900 414803 中国 33700 25204 德国 32800 397105 英国 25700 424306 法国 25200 412007 意大利 20900 359808 西班牙 14100 308209 加拿大 13600 4147010 俄罗斯 11400 8030 2008年— World 78,360,000 —欧盟 18,930,0001 美国 14,330,0002 日本 4,844,0003 中国 4,222,0004 德国 3,818,0005 法国 2,978,0006 英国 2,787,0007 意大利 2,399,0008 俄罗斯 1,757,0009 西班牙 1,683,00010 巴西 1,665,0002009年2009年世界各国GDP排名1、美国 14.8万亿2、中国 5.2万亿3、日本 5万亿4、德国 3.5万亿5、法国 2.5万亿6、意大利 2.2万亿7、英国 2万亿8、加拿大 1.5万亿9、西班牙 1.4万亿10、印度 1.3万亿。
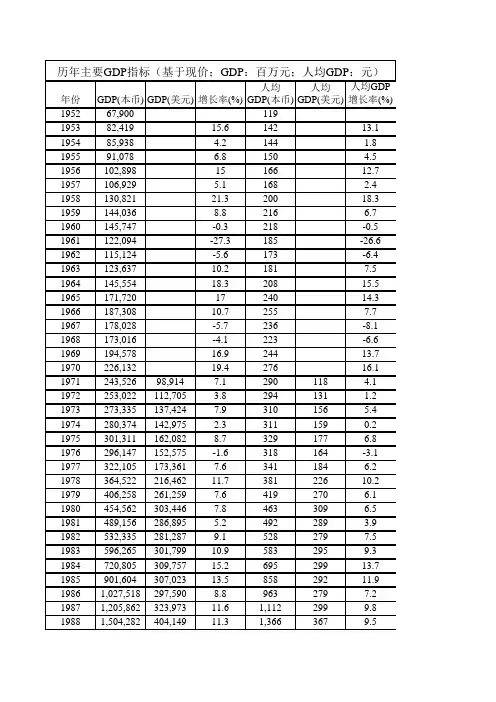
60年中国数字变迁国内生产总值1952年,我国国内生产总值只有679亿元,1978年增加到3645亿元,2008年达到300670亿元,年平均增长8.1%,而1961〜2008年世界年平均增长速度只有3.6%。
2008年的经济总量比1952年增加了77倍,2008年一天创造的财富量就超过了1952年一年的总量。
1952年,我国经济总量占世界的比重很小,1978年才达到1.8%,2008年已达到6.4%,位居美国和日本之后,居世界第3位。
人均国内生产总值1952年,我国人均国内生产总值119元,1978年上升到381元,2008年提高到22698元,扣除价格因素,2008年比1952年增长32.4倍,年均增长6.5%。
按照世界银行的划分标准,2008年我国人均国民总收入已经达到2770美元,我国已经由长期以来的低收入国家跃升至世界中等偏下收入国家行列。
人口总量中国是世界上人口最多的国家,1949年,全国人口出生率为36‰,死亡率为20‰,自然增长率为16‰,年底全国总人口为5.42亿。
到1957年,死亡率下降到了10.8‰,而自然增长率上升为23.2‰,总人口达到6.47亿。
2008年末中国大陆人口13.28亿,占世界人口的20%、亚洲人口的33%。
出生率继续降低,到2008年已降到12.1‰。
人口和计划生育政策的成功实施使中国少生了近4亿人,使总人口达到13亿延迟了4年,从根本上改变了中国人口发展的历史轨迹,同时也使世界60亿人口日推迟了4年。
就业规模全国就业人员从1949年的18082万人,增加到2008年的77480万人,就业规模扩大了3.28倍;城镇就业增长更为迅速,2008年末,城镇就业人员达30210万人,比1949年增长了18.71倍。
国家财政收入1950年,国家财政收入只有62亿元,1951年上升到125亿元,达到3位数, 1978年财政收入上升到1132亿元,达到四位数。
到1999年,财政收入增加了10多倍,达到11444亿元。
中国历年国民总收⼊分析及相关数据中国历年国民总收⼊(国民⽣产总值)增长情况⼤致可把60年来中国经济的发展分为五个时期:①1949-1956年:基本完成社会主义改造,国民经济顺利恢复和发展;②1957-1966 年:开始全国社会主义建设,国民经济曲折前进;③1966-1976 年:“⽂化⼤⾰命”使国民经济遭受巨⼤损失,但仍取得进展;④1977-1992年:有计划的社会主义商品经济,中共⼗⼀届三中全会以来国民经济稳步、迅速⽽健康发展;⑤1993年⾄今,社会主义市场经济时期,国民经济进⼊⼀个新的快速发展,国家经济实⼒显著增强,经济总量即将跃居世界第⼆位。
1949-1952年,是三年经济恢复时期。
1949年⽐过去最好年份,⼯业总产值下降50%,农业总产值下降20%,原煤下降48%,原油下降62%,钢下降83%,电⼒下降28%,棉布下降32%,粮⾷下降24.5%,棉花下降48%。
1949年农业总产值为326亿元,1952 年达到461亿元,⾼于解放前最⾼年份的1936年(408亿元);1949年⼯业总产值为140亿元,1952年达到349亿元,超过了解放前最⾼年份的1936年(281亿元)。
1952年,中国⼯农业总产值为810亿元,⽐1949年增长77.5%,⽐解放前最⾼⽔平的1936年增长20%,在三年中年平均增长率为21.1%。
1952年现代⼯业在中国⼯农业总产值中的⽐重仅为26.6%,重⼯业在⼯业总产值中的⽐重只有35.5%。
1952年中国许多重要⼯业产品的⼈均产量,不仅远远落后于⼯业发达国家,⽽且也落后于印度,如钢产量中国为2.37公⽄,印度为4公⽄(为1950年数字,下同),美国为538.3公⽄;发电量中国为2.76度,印度为10.9度,美国为2949度。
因此,为了改变中国⼯业基础,特别是重⼯业基础极其薄弱的状况,第⼀个五年计划极重要的基本任务之⼀是集中主要⼒量发展重⼯业。
与此相适应,在投资⽅⾯也突出了重⼯业。
∙70年代,全国凭票证供应的商品达77种,最多的地方有近百种。
∙中国进出口贸易总额从1950年11.3亿美元增至1997年3251亿美元,居世界第10位。
∙1998年居民储蓄余额已达53407亿元,而1952年只有8.6亿元。
1999年10月1日,是中华人民共和国50周年诞辰,经过半个世纪的建设,中国经济和社会已发生了深刻的变化,它开辟了中国历史的新纪元,既创造了举世瞩目的业绩,同时也经历了失误和磨难,本文用翔实的统计数据,对中国50年来走过的曲折道路和历史的新篇加以描述和分析。
艰难的起步——旧中国的经济概貌建国前夕,从清朝末年办“洋务”到1949年,全国只积累起124亿元的固定资产,民族资本工业萎缩,连同官僚资本工业计算在内,现代工业在国民经济中只占10%左右。
农业由于长期受封建土地制度的束缚,占农村人口不到10%的地主富农占有70%—80%的土地,而占农村人口90%的贫雇农及中农仅占有20%—30%的土地。
加上长期战争,使农业生产受到严重破坏,到1949年粮食产量仅为11320万吨、棉花44.5 万吨。
由于工农业生产下降,百业萧条,经济破产,通货膨胀,民不聊生,据测算,1949年国民收入仅为358亿人民币,人均66元,仅为18.0美元,扣除生产建设积累所需的资金,用于消费的约12美元,而1949年美、英、德、法等国人均国民收入为505、464、394和285美元,中国仅为这些国家的3%~6%。
新中国50年的建设成就一、经济建设总规模扩大,国民经济实力增强建国后,为了增强扩大再生产的能力和条件,首先进行了大规模的基本建设投资,从1950—1998年,全社会固定资产投资总额达175844亿元,其中基本建设投资72703亿元。
大规模的建设,使国民经济实力大大增强,50年来基本建设新增固定资产49800亿元。
建国初期各种类型工业企业的固定资产原值只有120多亿元,至1998年年底全部工业企业资产总额(包括固定资产、流动资产、长期投资、无形资产等)已达12万亿元,为建国初期的800多倍。