上海市浦东新区2014-2015学年高一上学期期末考试 数学试题 (1)
- 格式:doc
- 大小:516.70 KB
- 文档页数:5
2014-2015学年高一上学期期末考试数学试题(文科班)一、选择题(每小题4分,共40分)1.已知集合{}1,0,1-=A ,{}11<≤-=x x B 则B A ⋂等于( )A. {}0B. {}1-C. {}0,1-D. {}1,0,1-2.若,54cos ,53sin -==αα则在角α终边上的点是( ) A. )3,4(- B. )4,3(- C. )3,4(- D. )4,3(-3.已知函数的定义域为[]2,0,值域为[]4,1,则函数的对应法则可以为( )A. x y 2=B. 12+=x yC. xy 2= D. x y 2log =4.已知)(x f 是偶函数,且0>x 时,ax x x f +=2)(,若2)1(=-f ,则)2(f 的值是( )A. -1 B . 1 C . 3 D . 65.函数),0,0(),sin()(R x A x A x f ∈>>+=ωϕω的部分图象如右图所示,则函数的表达式为( ) A. )834sin(4)(ππ+=x x f B. )834sin(4)(ππ-=x x f C. )438sin(4)(ππ-=x x f D. )88sin(4)(ππ+=x x f 6.若0cos 2sin =-αα,则αα2sin cos 12+的值为( ) A . -2 B . -1 C . 1 D . 27.若函数)1(log )(++=x a x f a x 在[]1,0上的最大值和最小值之和为a ,则a 的值是( )A. 4B.41 C. 2 D. 21 8.已知0>ω, πϕ<<0,直线4π=x 和45π=x 是函数B x A x f ++=)sin()(ϕω图像的两条相邻的对称轴,则ϕ为( ) A. 2π B. 3π C. 4π D. 43π 9.已知函数x x m x f sin 3sin log )(2+-=在R 上的值域为[]1,1-,则实数m 的值为( ) A . 1 B . 2 C . 3 D . 4二、填空题(每小题4分,共20分)11.对于函数m x y =,若21)41(=f ,则m =________. 12.已知31)4cos(-=-απ,则)43cos(απ+的值为____ ____. 13.函数)4sin()(x x f -=π的单调增区间为________.14.已知函数⎥⎦⎤⎢⎣⎡-∈=2,2,sin )(ππx x x f ,若0)21(cos )(sin =-+ααf f ,则=⋅ααcos sin ____________.15.已知函数⎩⎨⎧≤++>=m x x x m x x f ,24,2)(2,若函数x x f x F -=)()(恰有三个不同的零点, 则实数m 的取值范围是____________.三、解答题(本大题共4题,共40分)17.已知函数)0,0(,11)(>>-=x a ax x f . (1)若)(x f 在[]2,1上的最小值为41,求实数a 的值; (2)若存在),0(,+∞∈n m ,使函数)(x f 在[]n m ,上的值域为[]m n --,,求实数a 的取值范围;19. 设是R 上的奇函数,且当时,,. (1)若1)1(=f ,求的解析式;(2)若,不等式0)14()2(>++⋅x x f k f 恒成立,求实数的取值范围; (3)若的值域为,求的取值范围.。
----<<本文为word格式,下载后方便编辑修改,也可以直接使用>>------<<本文为word格式,下载后方便编辑修改,也可以直接使用>>----2013-2014年上海市浦东新区高一上学期期末数学试卷一、填空题(本大题满分36分)本大题共有12题,只要求直接填写结果,每个空格填对得3分,否则一律得零分.1.(3.00分)函数y=的定义域是.2.(3.00分)不等式(x﹣1)(x+2)<0的解集是.3.(3.00分)已知指数函数y=a x(a>0且a≠1)的图象过点(﹣2,4),则实数a=.4.(3.00分)设集合A={3,m2}、B={1,3,2m﹣1},若A⊊B,则实数m=.5.(3.00分)某班共30人,其中有15人喜爱篮球运动,有10人喜爱乒乓球运动,有3人对篮球和乒乓球两种运动都喜爱,则该班对篮球和乒乓球运动都不喜爱的人数有.6.(3.00分)已知,,则f(x)•g(x)=.7.(3.00分)已知二次函数y=x2+2ax在区间[4,+∞)上是增函数,则实数a的范围是.8.(3.00分)已知函数f(x)=的定义域为R,则实数m的取值范围是.9.(3.00分)函数f(x)=(x>0)的值域是.10.(3.00分)函数f(x)=4x3+k•+1(k∈R),若f(2)=8,则f(﹣2)的值为.11.(3.00分)已知y=f(x)是定义在R上的奇函数,当x≥0时,f(x)=x﹣2x+1,则当x<0时,f(x)=.12.(3.00分)关于x的方程4x﹣a•2x+4=0在[0,+∞)上有两个不同的实数根,则实数a的取值范围是.二、选择题(本大题满分12分)本大题共有4题,每题都给出代号为A、B、C、D的四个结论,其中有且只有一个结论是正确的,每题答对得3分,否则一律得零分.13.(3.00分)下列四组函数中,表示同一函数的是()A.f(x)=|x|,g(x)=B.f(x)=|x|,g(x)=()2C.f(x)=,g(x)=x+1 D.f(x)=,g(x)=14.(3.00分)“0<x<2”是“x2﹣x<0”的()A.充分非必要条件 B.必要非充分条件C.充分必要条件D.既非充分又非必要条件15.(3.00分)下列函数在定义域上,既是奇函数又是减函数的是()A.B.C.y=﹣x3D.16.(3.00分)函数f(x)=2x2+2x﹣3的零点个数为()A.0 B.1 C.2 D.无数三、解答题(本大题满分52分)本大题共有5题,解答下列各题必须写出必要的步骤.17.(8.00分)解不等式组.18.(10.00分)已知全集∪=R,设集合A=[﹣1,+∞),集合B={x|x2+(4﹣a)x ﹣4a>0},若A∩B=A,求实数a的取值范围.19.(10.00分)已知幂函数f(x)=(m∈Z)在(0,+∞)是单调减函数,且为偶函数.(1)求f(x)的解析式;(2)讨论F(x)=af(x)+(a﹣2)x5•f(x)的奇偶性,并说明理由.20.(12.00分)经研究发现,学生的接受能力依赖于老师引入概念和描述总量所用的时间,开始讲题时,学生的兴趣保持较理想的状态,随后学生的注意力开始分散.分析结果和实验表明,用f(x)表示学生掌握和接受概念的能力,x表示提出和讲授概念的时间(单位:分),有以下的公式:f(x)=(1)开讲后5分钟与开讲后20分钟比较,学生的接受能力何时强呢?(2)开讲后多少分钟,学生的接受能力最强?能维持多长的时间?(3)若讲解这道数学题需要55的接受能力以及13分钟的时间,老师能否及时在学生一直达到所需接受能力的状态下讲完这道题?21.(12.00分)已知a>0,函数f(x)=x|x﹣a|(x∈R).(1)当a=2时,画出函数y=f(x)的大致图象;(2)当a=2时,根据图象写出函数y=f(x)的单调减区间,并用定义证明你的结论;(3)试讨论关于x的方程f(x)+1=a解的个数.2013-2014年上海市浦东新区高一上学期期末数学试卷参考答案与试题解析一、填空题(本大题满分36分)本大题共有12题,只要求直接填写结果,每个空格填对得3分,否则一律得零分.1.(3.00分)函数y=的定义域是[﹣2,+∞).【解答】解:∵函数y=,∴x+2≥0,∴x≥﹣2,故答案为:[﹣2,+∞);2.(3.00分)不等式(x﹣1)(x+2)<0的解集是(﹣2,1).【解答】解:方程(x﹣1)(x+2)=0的两根为1、﹣2,又函数y=(x﹣1)(x+2)的图象开口向上,∴(x﹣1)(x+2)<0的解集是(﹣2,1),故答案为:(﹣2,1).3.(3.00分)已知指数函数y=a x(a>0且a≠1)的图象过点(﹣2,4),则实数a=.【解答】解:∵指数函数y=a x(a>0且a≠1)的图象过点(﹣2,4),∴a﹣2=4,解得a=,故答案为:.4.(3.00分)设集合A={3,m2}、B={1,3,2m﹣1},若A⊊B,则实数m=﹣1.【解答】解:∵A⊂B,集合B={1,3,2m﹣1 },集合A={ 3,m2},∴当m2=2m﹣1⇒m=1,不满足集合的性质;当m2=1⇒m=±1,m=﹣1时,A={3,1},B={1,3,﹣3},满足集合的性质.综上m=﹣1.故答案是﹣1.5.(3.00分)某班共30人,其中有15人喜爱篮球运动,有10人喜爱乒乓球运动,有3人对篮球和乒乓球两种运动都喜爱,则该班对篮球和乒乓球运动都不喜爱的人数有8人.【解答】解:根据题意得:30﹣(15+10)+3=8,则该班对篮球和乒乓球运动都不喜爱的人数有8人.故答案为:8人6.(3.00分)已知,,则f(x)•g(x)=x2﹣2x(x≥2).【解答】解:∵的定义域为[2,+∞)的定义域为[2,+∞)故f(x)•g(x)=•=x2﹣2x(x≥2)故答案为:x2﹣2x(x≥2)7.(3.00分)已知二次函数y=x2+2ax在区间[4,+∞)上是增函数,则实数a的范围是[﹣4,+∞).【解答】解:二次函数y=x2+2ax是开口向上的二次函数对称轴为x=﹣a,∴二次函数y=x2+2ax在[﹣a,+∞)上是增函数∵在区间[4,+∞)上是增函数,∴﹣a≤4即a≥﹣4故实数a的范围是[﹣4,+∞)故答案为:[﹣4,+∞)8.(3.00分)已知函数f(x)=的定义域为R,则实数m的取值范围是[0,).【解答】解:因为函数f(x)=的定义域为R,所以对于任意实数x恒有mx2+4mx+3>0成立.当m=0时,不等式化为3>0恒成立;当m≠0时,需要,解得0<m.综上,实数m的取值范围是[0,).故答案为[0,).9.(3.00分)函数f(x)=(x>0)的值域是[2,+∞).【解答】解:方法一,函数f(x)==x+﹣2,当x>0时,x+﹣2≥2﹣2=2,当且仅当x=2时“=”成立,∴f(x)的值域是[2,+∞);方法二,函数f(x)==x+﹣2,∵f′(x)=1﹣==,当x>0时,f′(x)在(0,2]上小于0,在[2,+∞)上大于0,∴f(x)在(0,2]上是减函数,在[2,+∞)上是增函数,∴f(x)min=f(2)=2;∴f(x)的值域是[2,+∞);故答案为:[2,+∞).10.(3.00分)函数f(x)=4x3+k•+1(k∈R),若f(2)=8,则f(﹣2)的值为﹣6.【解答】解:∵f(x)=4x3+k•+1,∴f(x)﹣1=4x3+k•,则f(x)﹣1为奇函数,∴f(﹣2)﹣1=﹣[f(2)﹣1],即f(﹣2)=﹣f(2)+1+1=﹣8+2=﹣6,故答案为:﹣6.11.(3.00分)已知y=f(x)是定义在R上的奇函数,当x≥0时,f(x)=x﹣2x+1,则当x<0时,f(x)=x+2﹣x﹣1.【解答】解:若x<0,则﹣x>0,∵x≥0时,f(x)=x﹣2x+1,∴f(﹣x)=﹣x﹣2﹣x+1,∵f(x)是R上的奇函数∴f(﹣x)=﹣f(x),即f(﹣x)=﹣x﹣2﹣x+1)=﹣f(x),∴f(x)=x+2﹣x﹣1,(x<0).故答案为:x+2﹣x﹣1.12.(3.00分)关于x的方程4x﹣a•2x+4=0在[0,+∞)上有两个不同的实数根,则实数a的取值范围是(4,5] .【解答】解:∵4x﹣a•2x+4=0,∴a=,令t=2x∈[1,+∞),∴a==t+,由对勾函数的单调性得:a=t≥4,又关于x的方程4x﹣a•2x+4=0在[0,+∞)上有两个不同的实数根,∴y=a,y=t+有两个不同的交点,∴4<a≤5;故答案为:(4,5].二、选择题(本大题满分12分)本大题共有4题,每题都给出代号为A、B、C、D的四个结论,其中有且只有一个结论是正确的,每题答对得3分,否则一律得零分.13.(3.00分)下列四组函数中,表示同一函数的是()A.f(x)=|x|,g(x)=B.f(x)=|x|,g(x)=()2C.f(x)=,g(x)=x+1 D.f(x)=,g(x)=【解答】解:要判断两个函数是否是同一个函数,需要从三个方面来分析,即定义域,对应法则和值域,B选项两个函数的定义域不同,前面函数的定义域为R,后面函数的定义域为[0,+∞),C选项两个函数的定义域不同,前面函数的定义域为{x|x≠1},后面函数的定义域为R,D选项两个函数的定义域不同,前面函数的定义域为[1,+∞),后面函数的定义域为(﹣∞,﹣1]∪[1,+∞),故选:A.14.(3.00分)“0<x<2”是“x2﹣x<0”的()A.充分非必要条件 B.必要非充分条件C.充分必要条件D.既非充分又非必要条件【解答】解:由x2﹣x<0得0<x<1,∴当0<x<2时,0<x<1不一定成立,当0<x<1时,0<x<2一定成立,∴“0<x<2”是“x2﹣x<0”的必要不充分条件.故选:B.15.(3.00分)下列函数在定义域上,既是奇函数又是减函数的是()A.B.C.y=﹣x3D.【解答】解:对于选项A,因为函数的定义域为{x|x≠1}不关于原点对称,所以函数是非奇非偶函数,所以A错误.对于B:y=是一个反比例函数,其在定义域内是奇函数,但在整个定义域内不是单调函数,故B不对;对于C:因为函数的定义域为R关于原点对称,并且f(﹣x)=﹣(﹣x)3=x3=﹣f(x),又f′(x)=﹣3x2≤0,所以函数在定义域内即是减函数又是奇函数.C对;对于D:因为f(0)=0,f(1)=,不满足减函数的定义,故D不对.故选:C.16.(3.00分)函数f(x)=2x2+2x﹣3的零点个数为()A.0 B.1 C.2 D.无数【解答】解;令g(x)=2x2﹣3,h(x)=﹣2x;函数g(x)和函数h(x)的交点个数就是函数f(x)的零点个数,画出g(x),h(x)的图象,如图示:,由图象得:两函数有两个交点,∴函数f(x)的零点有2个,故选:C.三、解答题(本大题满分52分)本大题共有5题,解答下列各题必须写出必要的步骤.17.(8.00分)解不等式组.【解答】解:不等式x2﹣x﹣6≥0 化为(x﹣3)(x+2)≥0,解得x≥3或x≤﹣2,解不等式|x﹣2|<4,化为﹣4<x﹣2<4,解得﹣2<x<6,∴不等式的解集为{x|x≥3或x≤﹣2}∩{x|﹣2<x<6}={x|3≤x<6}.18.(10.00分)已知全集∪=R,设集合A=[﹣1,+∞),集合B={x|x2+(4﹣a)x ﹣4a>0},若A∩B=A,求实数a的取值范围.【解答】解:∵B={x|x2+(4﹣a)x﹣4a>0},∴x2+(4﹣a)x﹣4a=(x﹣a)(x+4)①当a=﹣4,B=(﹣∞,﹣4)∪(﹣4,+∞),满足A⊆B②当a>﹣4,B=(﹣∞,﹣4)∪(a,+∞),若A⊆B,则﹣4<a<﹣1③当a<﹣4,B=(﹣∞,a)∪(﹣4,+∞),若A⊆B,则a<﹣4综上实数a的取值范围,a<﹣119.(10.00分)已知幂函数f(x)=(m∈Z)在(0,+∞)是单调减函数,且为偶函数.(1)求f(x)的解析式;(2)讨论F(x)=af(x)+(a﹣2)x5•f(x)的奇偶性,并说明理由.【解答】解:(1)由幂函数f(x)=(m∈Z)在(0,+∞)是单调减函数,得:m2﹣2m﹣3<0⇒﹣1<m<3,又m∈z,∴m=0或1或2,m=0时f(x)=x﹣3;m=1时f(x)=x﹣4,m=2时f(x)=x﹣3,又函数是偶函数,∴f(x)=x﹣4.(2)F(x)=a•x﹣4+(a﹣2)x,当a=0时,F(x)=﹣2x,∵F(﹣x)=﹣F(x),∴函数是奇函数;当a=2时,F(x)=,∵F(﹣x)=F(x),∴函数是偶函数;当a≠0且a≠2时,F(1)=2a﹣2,F(﹣1)=2,F(1)≠±F(﹣1),∴函数对∀x∈(﹣∞,0)∪(0,+∞),F(﹣x)=F(x)不成立,F(﹣x)=﹣F(x)也不成立,∴函数F(x)是非奇非偶函数.20.(12.00分)经研究发现,学生的接受能力依赖于老师引入概念和描述总量所用的时间,开始讲题时,学生的兴趣保持较理想的状态,随后学生的注意力开始分散.分析结果和实验表明,用f(x)表示学生掌握和接受概念的能力,x表示提出和讲授概念的时间(单位:分),有以下的公式:f(x)=(1)开讲后5分钟与开讲后20分钟比较,学生的接受能力何时强呢?(2)开讲后多少分钟,学生的接受能力最强?能维持多长的时间?(3)若讲解这道数学题需要55的接受能力以及13分钟的时间,老师能否及时在学生一直达到所需接受能力的状态下讲完这道题?【解答】解:(1)f(5)=53.5,f(20)=47⇒f(5)>f(20)⇒.开讲后5分钟学生的接受能力比开讲后20分钟强.(2)当0<x≤10时,f(x)=﹣0.1(x﹣13)2+59.9⇒f(x)是增函数⇒最大值是f(10)=59;当16<x<30时,f(x)是递减的函数,⇒f(x)<f(16)=59,故开讲后10钟学生达到最强的接受能力,并维持6分钟.(3)当0<x<10时,令f(x)>55,则6<x<10;当16<x<30时,令f(x)>55,则16<x<17.3因此,学生达到或超过55的接受能力的时间11.3分钟,小于13分钟,故这位老师不能在学生所需状态下讲完这道题.21.(12.00分)已知a>0,函数f(x)=x|x﹣a|(x∈R).(1)当a=2时,画出函数y=f(x)的大致图象;(2)当a=2时,根据图象写出函数y=f(x)的单调减区间,并用定义证明你的结论;(3)试讨论关于x的方程f(x)+1=a解的个数.【解答】解:(1)当a=2时,函数y=f(x)=的大致图象如图所示;(2)当a=2时,f(x)=x|x﹣2|的单调递减区间是[1,2].证明:设x1,x2∈[1,2],x1<x2,则f(x1)﹣f(x2)=(2x1﹣x12)﹣(2x2﹣x22)=(x1﹣x2)[2﹣(x1+x2)]∵x1,x2∈[1,2],x1<x2,∴x1﹣x2<0,2<x1+x2<4,∴(x1﹣x2)[2﹣(x1+x2)]>0,∴f(x1)>f(x2),∴f(x)=x|x﹣2|的单调递减区间是[1,2].(8分)(3)由题意,关于x的方程f(x)+1=a解的个数等价于y=f(x)与直线y=a﹣1的图象的交点个数.∵f=,注意到f﹣(a﹣1)=(a﹣2)2≥0,当且仅当a=2时,等号成立.∴根据图象可得,当0<a<1时,y=f(x)与直线y=a﹣1的图象有1个交点;当a=1,a=2时,y=f(x)与直线y=a﹣1的图象有2个交点;当1<a<2或a>2时,y=f(x)与直线y=a﹣1的图象有3个交点.(12分)附赠:数学考试技巧一、心理准备细心+认真=成功!1、知己知彼,百战百胜。
上海交通大学附属中学2014—2015学年第一学期高一数学期末试卷一、填空题(共14题,每题3分,共42分) 1. 命题“若a b >,则221a b >-”的否命题为2. 设全集{}U 21012=--,,,,,{}A 210=--,,,{}B 012=,,,则U (C A)B=∩3. 方程14230x x +--=的解是4. 若函数()2x f x x =+的反函数是1()y f x -=,则112f -⎛⎫= ⎪⎝⎭5. 你答题时,时针在缓慢转动,比过90分钟,时针转过的角的弧度数是6. 定义()f x y ,2(2)y y x =-,,若()(12)f m n =,,,则()m n =,7. “1a =”是“函数2()()f x x a =-在区间[)1+∞,上为增函数”的 条件(充分必要性)8.函数y =的单调减区间为 9. 若1sin cos 2αα+=,则tan cot αα+=10.函数()121f x x =--,则方程()21x f x ⋅=的实根的个数是11.设函数()bf x a x x=+(a 、b 为常数),且①(2)0f -=,②()f x 有两个单调递增区间,则同时满足上述条件的一个有序实数对()a b ,为12.已知函数()f x x x a =-,若对任意的1x ,[)22x ∈+∞,,且12x x ≠,1212()(()())0x x f x f x -->恒成立,则实数a 的取值范围为13.对于函数()f x 1x 定义域中任意的,212()x x x ≠,有如下结论: ①1212()()()f x x f x f x +=⋅②1212()()()f x x f x f x ⋅=+③1212()()0f x f x x x ->-④1212()()22x x f x f x f ++⎛⎫< ⎪⎝⎭当()1f x gx =时,上述结论中正确结论的序号是14.设A ,B 是R 的两个非空子集,如果存在一个从A 到B 的函数()y f x =满足;()i {}()B f x x A =∈()ii 对任意的1x ,2x A ∈,当12x x <时,恒有12()()f x f x <,那么称这两个集合“保序同构”,以下集合对不是“保序同构”的是①*A N B N ==,②{}13A x x =-≤≤,{8B x x =-或}010x <≤③A Z =,B Q = 二、选择题(共4题,每题4分,共16分)15.已知x ,y 为正实数,则( )A .lg lg lg lg 222x y x y +=+B .lg()lg lg 222x y x y +=⋅C .lg lg lg lg 222x y x y ⋅=+D .lg()lg lg 222xy x y =⋅16.函数ln 1x y e x =--的图象大致是17.下列结论正确的是A .当0x >且1x ≠时,1lg 21x gx+≥B .当0x >2C .当2x ≥时,1x x+的最小值为2D .当02x <≤时,1x x-无最大值 18.设[]x 表示不大于x 的最大整数,则对任意实数x ,y ,有( ) A .[][]x x -=-B .[][]22x x =C .[][][]x y x y ++≤D .[][][]x y x y --≤三、解答题(共4题,共42分)19.(8分)求函数2()231f x x x =---,[]11x ∈-,的最大值和最小值.20.(10分)如图所示,将一矩形花坛ABCD 扩建成一个更大的矩形花坛AMPN ,要求B 在AM 上,D在AN 上,且对角线MN 过点C ,3AB =,2AD =.⑴设DN x =,要使矩形AMPN 的面积大于32,则x 应该在什么范围内?⑵若DN 的长度不小于4,则当BM 、DN 的长度是多少时,矩形AMPN 的面积最小?并求出最小面积.21.(10分)已知关于x 的不等式14260x x k k +-+<,⑴若不等式的解集为2(1log 3),,求实数k 的取值范围;⑵若不等式对一切2(1log 3)x ∈,都成立,求实数k 的取值范围;22.(14分)已知函数2()ax bx cf x x d ++=+(其中a ,b ,c ,d 是实数常数,x d ≠-)⑴若0a =,函数()f x 的图像关于点(13)-,成中心对称,求b ,d 的值;⑵若函数()f x 满足条件⑴,且对任意[]0310x ∈,.总有[]0()310f x ∈,,求c 的取值范围; ⑶若0b =,函数()f x 是奇函数,0f =⑴,3(2)2f -=-,且对任意[)1x ∈+∞,时,不等式()()0f mx mf x +<恒成立,求负实数m 的取值范围.。
浦东新区2014-2015学年度第一学期期末质量测试高二数学一、填空题(本大题满分36分)本大题共有12题,只要求直接填写结果,每个空格填对得3分,否则一律得零分.1.数1与9的等差中项是 .5 2.方程组21320x y x y +=⎧⎨-=⎩对应的增广矩阵为 .211320⎛⎫ ⎪-⎝⎭3.行列式24152134--k 的元素-3的代数余子式的值为7,则=k .3 4.若131lim 33(1)n n n n a +→∞=++,则实数a 的取值范围是 . )2,4(-∈a 5.已知等差数列{}n a 的前n 项和248,60,n n S S ==则3n S =_______ . 366.已知()()126,3,3,8P P --,且12||2||PP PP =,点P 在线段12P P 的延长线上,则P 点的坐标为__________.()12,19-7. 已知向量、a b 满足==+=1a b a b ,则、a b 的夹角为___________.120︒ 8.设无穷等比数列{n a }的公比为q ,若)(lim 431 ++=∞→a a a n ,则q= .251+- 9.执行右边的程序框图,若9p =,则输出的S _______=. 52 10. 给出下列命题:① 若022=+b a ,则==;② 若R k ∈,则0=⋅k ; ③若a b //=;④若两个非零向量+=+,则=⋅; (第11题图)⑤ 已知、、是三个非零向量,若=+=. 其中真命题的序号是 . ①、④、⑤11.已知1e 、2e 是两个不平行的向量,实数x 、y 满足1212(5)(1)xe y e y e xe +-=++,则x y +=____________.512. 若数列{}n a 是等差数列,首项120142015201420150,0,.0a a a a a >+><,则使前n 项和0n S >成立的最大自然数n 是___________ .4028 二、选择题(本大题满分12分)本大题共有4题,每题都给出代号为A 、B 、C 、D 的四个结论,其中有且只有一个结论是正确的,每题答对得3分,否则一律得零分.13.“11220a b D a b =≠”是“方程组111222a x b y c a x b y c +=⎧⎨+=⎩有唯一解”的 ( )C A. 充分不必要条件 B. 必要不充分条 C. 充要条件D. 既不充分又不必要条件14.若=)4,5(-,=)9,7(,向量AB 同向的单位向量坐标是 ( )BA. )135,1312(--B. )135,1312(C. )135,1312(-D. )135,1312(-15.用数学归纳法证明123(21)(1)(21)n n n +++++=++…时,在验证1n =成立时,左边所得的代数式是 ( )CA. 1B. 13+C. 123++D. 1234+++16. 由9个正数组成的矩阵⎪⎪⎪⎭⎫⎝⎛333231232221131211a a a a a a a a a 中,每行中的三个数成等差数列,且131211a a a ++、232221a a a ++、333231a a a ++成等比数列,下列四个判断正确的有 ( )A①第2列322212,,a a a 必成等比数列 ②第1列312111,,a a a 不一定成等比数列 ③23213212a a a a +≥+ ④若9个数之和等于9,则122≥a A .3个 B .2个 C .1个 D .0个三、解答题(本大题满分48分)本大题共有5题,解答下列各题必须写出必要的步骤.17.(本题满分8分,第1小题4分,第2小题4分) 已知关于x 的不等式012<+xa x 的解集为()b ,1-.求实数a 、b 的值。
2014-2015学年上海市浦东新区高一(上)期末数学试卷一、填空题(本大题满分36分)本大题共有12题,只要求直接填写结果,每个空格填对得3分,否则一律得零分.1. 已知集合A ={−1, 1, 2, 4},B ={−1, 0, 2},则A ∪B =________.2. “若{x >1y >1,则{x +y >2xy >1”是________(真或假)命题.3. 函数y =√4−x 2x−1的定义域为________.4. 命题“若x ≠3且x ≠4,则x 2−7x +12≠0”的逆否命题是________.5. 已知f(x)=x √x −2,g(x)=√x −2,则f(x)⋅g(x)=________.6. 若幂函数f(x)的图象经过点(3,√33),则f(x)=________.7. 若函数f(x)=(12)x +m 的图象不经过第一象限,则实数m 的取值范围是________.8. 设函数y =f(x)在区间[−2, a]上是奇函数,若f(−2)=11,则f(a)=________.9. 设x >0,则x +3x+1的最小值为________.10. 已知y =f(x)是R 上的偶函数,且f(x)在(−∞, 0]上是增函数,若f(a)≥f(2),则a 的取值范围是________.11. 已知关于x 不等式ax 2+bx +c >0的解集为{x|1<x <2},则不等式c(2x +1)2+b(2x +1)+a >0的解集为________.12. 近几年,每年11月初,黄浦江上漂浮在大片的水葫芦,严重影响了黄浦江的水利、水质、航运和市容景观.为了解决这个环境问题,科研人员进行科研攻关.如图是科研人员在实验室池塘中观察水葫芦的面积与时间的函数关系图象.假设其函数关系为指数函数,并给出下列说法:①此指数函数的底数为2;②在第5个月时,水葫芦的面积会超过30m 2; ③水葫芦从4m 2蔓延到12m 2只需1.5个月;④设水葫芦蔓延至2m 2、3m 2、6m 2所需的时间分别为t 1、t 2、t 3,则有t 1+t 2=t 3;其中正确的说法有________.(请把正确的说法的序号都填在横线上).二、选择题(本大题满分12分)本大题共有4题,每题都给出代号为A 、B 、C 、D 的四个结论,其中有且只有一个结论是正确的,必须把正确结论的代号写在题后的圆括号内,选对得3分,不选、错选或者选出的代号超过一个(不论代号是否都写在圆括号内),一律得零分.下列命题中正确的是( ) A.若a 2>b 2,则a >b B.若ac >bc ,则a >b C.若√a >√b ,则a >bD.若1a<1b ,则a >b设命题甲为:0<x <5,命题乙为:|x −2|<3,则甲是乙的( ) A.必要不充分条件B.充分不必要条件C.既不充分又不必要条件D.充要条件若集合M ={y|y =2−x },P ={y|y =√x −1},则M ∩P =( ) A.{y|y ≥1} B.{y|y >1} C.{y|y >0} D.{y|y ≥0}函数y =(12)|x|的图象是( )A. B.C. D.三、解答题(本大题满分52分)本大题共有5题,解答下列各题必须写出必要的步骤.解不等式组{x+3x+1≤2x2−6x−8<0.已知函数f(x)=3x−13x+1,判断函数f(x)的奇偶性,并说明理由.设集合A={x|x2+4x=0, x∈R},B={x|x2+2(a+1)x+a2−1=0, x∈R},(1)若A∩B=A∪B,求实数a的值;(2)若A∩B=B,求实数a的取值范围.将长为12米的钢筋截成12段,做成底面为正方形的长方体水箱骨架,设水箱的高ℎ,底面边长x,水箱的表面积为S.(1)将S表示成x的函数;(2)根据实际需要,底面边长不小于0.25,不大于1.25,当底面边长为多少时,这个水箱表面积最小值,并求出最小面积.已知函数f(x)=x+ax+b(x≠0),其中a、b为实常数.(1)若方程f(x)=3x+1有且仅有一个实数解x=2,求a、b的值;(2)设a>0,x∈(0, +∞),写出f(x)的单调区间,并对单调递增区间用函数单调性定义进行证明;(3)若对任意的a∈[12, 2],不等式f(x)≤10在x∈[14, 1]上恒成立,求实数b的取值范围.参考答案与试题解析2014-2015学年上海市浦东新区高一(上)期末数学试卷一、填空题(本大题满分36分)本大题共有12题,只要求直接填写结果,每个空格填对得3分,否则一律得零分.1.【答案】此题暂无答案【考点】并集较其运脱【解析】此题暂无解析【解答】此题暂无解答2.【答案】此题暂无答案【考点】四种正键的定义【解析】此题暂无解析【解答】此题暂无解答3.【答案】此题暂无答案【考点】函数的定较域熔其求法【解析】此题暂无解析【解答】此题暂无解答4.【答案】此题暂无答案【考点】四种正键的定义【解析】此题暂无解析【解答】此题暂无解答5.【答案】此题暂无答案【考点】函数于析式偏速站及常用方法【解析】此题暂无解析【解答】此题暂无解答6.【答案】此题暂无答案【考点】幂函数来概念斗解析式场定找域、值域【解析】此题暂无解析【解答】此题暂无解答7.【答案】此题暂无答案【考点】指数表数层图象【解析】此题暂无解析【解答】此题暂无解答8.【答案】此题暂无答案【考点】函数奇明性研性质【解析】此题暂无解析【解答】此题暂无解答9.【答案】此题暂无答案【考点】基来雨等式【解析】此题暂无解析【解答】此题暂无解答10.【答案】此题暂无答案【考点】其他不三式的解州函数奇明性研性质偶函数函数单验家的性质【解析】此题暂无解析【解答】此题暂无解答11.【答案】此题暂无答案【考点】一元二次正等式的解且【解析】此题暂无解析【解答】此题暂无解答12.【答案】此题暂无答案【考点】函数表图层变换【解析】此题暂无解析【解答】此题暂无解答二、选择题(本大题满分12分)本大题共有4题,每题都给出代号为A、B、C、D的四个结论,其中有且只有一个结论是正确的,必须把正确结论的代号写在题后的圆括号内,选对得3分,不选、错选或者选出的代号超过一个(不论代号是否都写在圆括号内),一律得零分.【答案】此题暂无答案【考点】命题的真三判断州应用【解析】此题暂无解析【解答】此题暂无解答【答案】此题暂无答案【考点】必要条水表综分条近与充要条件的判断【解析】此题暂无解析【解答】此题暂无解答【答案】此题暂无答案【考点】交集根助运算函数的定较域熔其求法函数的较域及盛求法【解析】此题暂无解析【解答】此题暂无解答【答案】此题暂无答案【考点】指数射复初函数判性产及应用【解析】此题暂无解析【解答】此题暂无解答三、解答题(本大题满分52分)本大题共有5题,解答下列各题必须写出必要的步骤. 【答案】此题暂无答案【考点】其他不三式的解州【解析】此题暂无解析【解答】此题暂无解答【答案】此题暂无答案【考点】函数奇三性的判刺【解析】此题暂无解析【解答】此题暂无解答【答案】此题暂无答案【考点】集合体系拉的参污取油问题【解析】此题暂无解析【解答】此题暂无解答【答案】此题暂无答案【考点】函数模型较选溴与应用函根的萄送木其几何意义【解析】此题暂无解析【解答】此题暂无解答【答案】此题暂无答案【考点】函数于成立姆题函较绕肠由的判断与证明【解析】此题暂无解析【解答】此题暂无解答。
上海市浦东新区高一(上)期末数学试卷一、填空题(本大题满分36分)本大题共有12题,只要求直接填写结果,每个空格填对得3分,否则一律得零分.1 .函数y=a x(a> 0且a^ 1 )的图象均过定点 _____ .2•请写出好货不便宜”的等价命题:_.3. 若集合A={x|x w 1} , B={x|x>a}满足A H B={ 1},则实数a=—.4. 不等式2|x- 1| - 1V0的解集是_____ .5. 若f (x+1) =2x- 1,则f (1) = ___ .y 36 .不等式—-:.-I的解集为s _2 -----7. __________________________________________ 设函数f (x) = (x+1)(x+a)为偶函数,贝U a= _______________________ .8. 已知函数f (x) = ' _________________ ,g (x)=…,则 f (x) ?g (x) = .V K+1工9. _____________ 设a:x<- 5或x> 1,B: 2m - 3<x<2m+1,若a是B的必要条件,求实数m的取值范围.10. 函数:'"的值域是—.11. _________________________________________ 已知ab>0,且a+4b=1,则-.的最小值为_____________________________________ .a b71-2a)x C I<1)12. 已知函数f(x)=自____________________________ _是R上的增函数,则a的取值范围是___________—+4 (x>l)二、选择题(本大题满分12分)本大题共有4题,每题都给出代号为A、B、C、D 的四个结论,其中有且只有一个结论是正确的,每题答对得3分,否则一律得零分■413. 函数y=x 的大致图象是( )14. 已知f (x)是R上的奇函数,且当x>0时,f (x) =x- 1,则x v 0时f (x)=( )A. —x- 1B. x+1C.—x+1D. x- 115 •证券公司提示:股市有风险,入市需谨慎.小强买的股票A连续4个跌停( 个跌停:比前一天收市价下跌10%),则至少需要几个涨停,才能不亏损(一个涨停:比前一天收市价上涨10%).( )A. 3B. 4C. 5D. 616. 给定实数x,定义[x]为不大于x的最大整数,则下列结论中不正确的是( )A. x—[x] >0B. x—[x] v 1C. 令f (x) =x—[x],对任意实数x,f (x+1)=f (x)恒成立D. 令f (x) =x- [x],对任意实数x,f ( —x) =f (x)恒成立三、解答题(本大题满分52分)本大题共有5题,解答下列各题必须写出必要的步骤.3 317. 已知,;, : : | ,求实数m的取值范围.18. 如图,矩形草坪AMPN中,点C在对角线MN上.CD垂直于AN于点D,CB垂直于AM 于点B,| CD =| AB| =3 米,| AD| =| BC| =2 米,设| DN| =x米,| BM| =y 米.求这块矩形草坪AMPN面积的最小值.X319•设a 是实数,函数f (x) =a- = (x€ R),(1) 若已知(1, 2)为该函数图象上一点,求a的值.(2) 证明:对于任意a,f(x)在R上为增函数.20 .已知函数f (x) =«- 2ax+1.(1)若对任意的实数x都有f (1+x) =f (1 - x)成立,求实数a的值;(2)若f (x)在区间[1,+x)上为单调递增函数,求实数a的取值范围;(3)当x€ [- 1,1]时,求函数f (x)的最大值.21.在区间D上,如果函数f (x)为减函数,而xf (x)为增函数,则称f (x) 为D上的弱减函数.若f (x)=—(—Vl+x(1)判断f (x)在区间[0,+x)上是否为弱减函数;(2)当x€ [1, 3]时,不等式:叮•士恒成立,求实数a的取值范围;(3)若函数g (x) =f (x) +k| x| - 1在[0,3]上有两个不同的零点,求实数k 的取值范围.上海市浦东新区高一(上)期末数学试卷参考答案与试题解析一、填空题(本大题满分36分)本大题共有12题,只要求直接填写结果,每个空格填对得3分,否则一律得零分.1 .函数y=a x(a> 0且a^ 1 )的图象均过定点(0, 1).【考点】指数函数的图象与性质.【分析】根据指数函数的性质判断即可.【解答】解::a0=1, a>0且a^ 1,函数丫=分(a>0且a z 1)的图象均过定点(0, 1), 故答案为:(0, 1).2.请写出好货不便宜”的等价命题:便宜没好货.【考点】四种命题.【分析】写出原命题的逆否命题,可得答案.【解答】解:好货不便宜”即如果货物为好货,则价格不便宜其逆否命题为:如果价格便宜,则货物不是好货” 即便宜没好货”,故答案为:便宜没好货3.若集合A={x|x w 1} , B={x|x>a}满足A H B={ 1},则实数a=_J【考点】交集及其运算.【分析】由A, B,以及两集合的交集,确定出a的值即可.【解答】解:••• A={x| x< 1} , B={x| x>a},且A H B={ 1}, --a=1,故答案为:14•不等式2|x- 1| - 1<0的解集是_已:二【考点】绝对值不等式的解法.【分析】先去掉绝对值然后再根据绝对值不等式的解法进行求解.【解答】解:①若x> 1,二 2 (x- 1)- 1<0,二x<_;②若x< 1,二 2 (1 - x)- 1< 0,.・.x> 订综上,x<故答案为:=< x<三5 .若f (x+1) =2x- 1,则f (1) = - 1 .【考点】函数的值.【分析】f (1) =f (0+1),由此利用f (x+1) =2x- 1,能求出结果.【解答】解:••• f (x+1) =2x- 1,••• f (1) =f (0+1) =2X 0-仁-1.故答案为:-1.垃I6. 不等式. 的解集为(-3 2)U [3, +旳.【考点】其他不等式的解法.【分析】首先将不等式化为整式不等式,然后求解集.【解答】解:原不等式等价于(x- 3) (x-2)>0且x- 2工0,所以不等式的解集为(-x, 2)U [3, +3);故答案为:(-3, 2)U [3, +3)7. 设函数f (x) = (x+1) (x+a)为偶函数,贝U a= - 1 .【考点】函数奇偶性的性质.【分析】因为函数为偶函数,贝肪艮据偶函数定义 f (- x) =f (x)得到等式解出a 即可.【解答】解:•••函数为偶函数得f (1) =f (- 1)得:2 (1+a ) =0 --a=— 1. 故答案为:-1.8 .已知函数 f (X )= ':, g (x ) =「L 丄,则 f (x ) ?g (x ) Vx+1$U( 0, +x) .【考点】函数解析式的求解及常用方法. 【分析】直接将f (x ), g (x )代入约分即可.【解答】解:•••函数f (x ) = 一, g (x )二', Vri-1 x ••• f (x ) ?g (x ) =x , x € (- 1, 0)U( 0, +x), 故答案为:x , x € (- 1, 0)U( 0, +x).9.设a : x < — 5或x > 1, B : 2m — 3<x <2m+1,若a 是B 的必要条件,求实数 m 的取值范围 m w- 3或m 》2.【考点】必要条件、充分条件与充要条件的判断.【分析】根据充分必要条件的定义以及集合的包含关系求出 m 的范围即可. 【解答】 解:a : x < — 5 或 x > 1 , B : 2m — 3<x < 2m+1, 若a 是B 的必要条件,则 2m — 3> 1 或 2m+1 w — 5, 故m 》2或m W - 3,故答案为:m 》2或m w — 3.【考点】函数的值域.【分析】换元得出设t=x 2 — 2》-2, y= ( ) t ,求解即可得出答案. 【解答】解:设t=x 2 — 2》-2,二 x , x € (— 1, 0)10.函数丁丛厂•的值域是(0, 4]••• y= ( J 七为减函数, •-0<CJ t w ( J — 2=4, 故函数V"的值域是(0, 4],故答案为:(0, 4].11.已知ab >0,且a+4b=1,则 •.的最小值为 9.a b【考点】基本不等式.【分析】把“ 1换成4a+b ,整理后积为定值,然后用基本不等式求最小值 【解答】解:••• ab >0,且a+4b=1,1 . = J ) (a+4b ) =1+4+] + >5+2;尘 汙9,当且仅当 a=.; , b=;时 取等号,一的最小值为9,a b故答案为:9.(l-2a)s(x<l)_ 是R 上的增函数,贝U a 的取值范围是(M>1)(-X, 0) .【考点】函数单调性的性质.【分析】由条件利用函数的单调性的性质,可得 1-2a > 1,且a <0,由此求得 a 的取值范围.> 1,且 a <0, 求得a <0,故答案为:(-%, 0).12.已知函数f (x )=【解答】解:由于函数f (x )(l-2a)x(z<i) y+4(x>l)是R 上的增函数,1 - 2a二、选择题(本大题满分12分)本大题共有4题,每题都给出代号为A、B、C、D的四个结论,其中有且只有一个结论是正确的,每题答对得3分,否则一律得零分■413.函数y=x 的大致图象是( )【考点】函数的图象.【分析】根据函数的奇偶性和函数值得变化趋势即可判断.4 4【解答】解:y=f (-x) = ... =「=f(X),•••函数y=x 为偶函数,•••图象关于y轴对称,故排除C, D,4一> 14•••当x>0时,y=x…的变化是越来越快,故排除B故选:A14.已知f (x)是R上的奇函数,且当x>0时,f (x) =x- 1,则x v 0时f (x) =( )A.- x- 1B. x+1C.- x+1D. x- 1【考点】函数奇偶性的性质.【分析】根据x>0时函数的表达式,可得X V 0时f (- X)=-X- 1,再利用奇函数的定义,即可算出当X V 0时函数f (X)的表达式.【解答】解:设X V 0,则-X>0,•••当X>0 时,f (X)=X- 1 ,•••当X V 0 时,f ( —X) =- X- 1,又••• f (X)是R上的奇函数,• f (X)=-f (-X),•••当X V 0 时,f (X)=-f (- X)=X+1,故选B.15 •证券公司提示:股市有风险,入市需谨慎.小强买的股票A连续4个跌停(一个跌停:比前一天收市价下跌10%),则至少需要几个涨停,才能不亏损(一个涨停:比前一天收市价上涨10%).( )A. 3B. 4C. 5D. 6【考点】函数的值.【分析】设小强买的股票A时买入价格为a,连续4个跌停后价格为a( 1- 10%)4=0.6561a,设至少需要X个涨停,才能不亏损,则0.6564a (1+10%) X>a,由此能求出结果.【解答】解:设小强买的股票A时买入价格为a, 连续4个跌停后价格为a (1- 10%) 4=0.6561a, 设至少需要X个涨停,才能不亏损,则0.6564a (1+10%) X>a, 整理得:1.1X> 1.5235,••• 1.15=1.6105, 1.14=1.4641.•••至少需要5个涨停,才能不亏损.故选:C.16. 给定实数x,定义[X]为不大于X的最大整数,则下列结论中不正确的是( )A. X- [X] >0B. X- [X] V 1C. 令f (x) =x-[x],对任意实数x, f (x+1) =f (x)恒成立D. 令f (x) =x- [ x],对任意实数x, f (- x) =f (x)恒成立【考点】函数的值;函数解析式的求解及常用方法.【分析】利用[x]为不大于x的最大整数,结合函数性质求解.【解答】解:在A中,:[x]为不大于x的最大整数,二x-[x] >0,故A正确;在B中,:[x]为不大于x的最大整数,••• x- [x] v 1,故B正确;在C中,t[x]为不大于x的最大整数,f (x) =x- [x],•对任意实数x,f (x+1) =f (x)恒成立,故C正确;在D中,:[x]为不大于x的最大整数,f (x) =x- [x],• f (- 3.2) =- 3.2 - [ - 3.2]=-3.2+4=0.8, f (3.2) =3.2- [ 3.2] =3.2-3=0.2,•对任意实数x, f (x+1) =f (x)不成立,故D错误.故选:D.三、解答题(本大题满分52分)本大题共有5题,解答下列各题必须写出必要的步骤.3 317. 已知厂匚.+厂.匚,求实数m的取值范围.【考点】幕函数的性质.【分析】根据函数的单调性得到关于m的不等式,解出即可.【解答】解:(1)设函数,函数为R上的单调递增函数…得, m2+m<- m+3…即,m2+2m - 3< 0…得,(m - 1) (m+3)< 0所以,m的取值范围为:m € [ - 3, 1]…18. 如图,矩形草坪AMPN中,点C在对角线MN上.CD垂直于AN于点D,CB垂直于AM 于点B, | CD =| AB| =3 米,| AD| =| BC| =2 米,设| DN| =x米,| BM| =y 米.求这块矩形草坪AMPN面积的最小值.【考点】基本不等式在最值问题中的应用. 【分析】由题意-—1「:一「:士一+'—匚7一1/,表示出矩形的面积, J y 式,即可求得结论.【解答】解:由题意士一二,一3 yS A MPN = (x+2) (y+3) =xy+3x+2y+6=12+3x+2y ••:当且仅当3x=2y,即x=2, y=3时取得等号.….面积的最小值为24平方米. ….219 .设 a 是实数,函数 f (x ) =a -「 (x € R ),(1) 若已知(1, 2)为该函数图象上一点,求a 的值.(2) 证明:对于任意a , f (x )在R 上为增函数.【考点】函数的图象.【分析】(1)代值计算即可求出a(2)运用函数的定义判断证明函数的单调性,先在取两个值 X 1,变形,确定符号,最后下结论即可.【解答】解:(1) 「匚」三亍(2)证明:设任意禺,x ?€ R , X 1V X 2,由于指数函数y=2x 在R 上是增函数,且X iV X 2,所以即-.■ -I, 又由 2X >0,得「•’[「,「•:’[「,• •• f (X 1)- f ( X 2)v 0 即 f ( X 1)V f (X 2),所以,对于任意a , f (X )在R 上为增函数.则 f ( X 1 ) -f ( X2 ): =. =2 2+1 2=2(2 1 - 2(小+1)(2叫 +1)2_, 2 叫+1 2X L +1 利用基本不等 X 2后进行作差电20 .已知函数f (X)=«- 2ax+1.(1)若对任意的实数X都有f (1+X)=f (1 - x)成立,求实数a的值;(2)若f (X)在区间[1, +x)上为单调递增函数,求实数a的取值范围;(3)当x€ [- 1, 1]时,求函数f (x)的最大值.【考点】函数的最值及其几何意义;二次函数的性质.【分析】(1)由题意可得x=1为对称轴,求得f (X)的对称轴方程,即可得到a;(2)求得f (x)的递增区间,[1, +x)为它的子区间,可得a的范围;(3)由函数图象开口向上,对称轴x=a,可得最大值只能在端点处取得,讨论a=0,a>0, a v0,即可得到所求最大值.【解答】解:(1)由对任意的实数x都有f (1+x) =f (1 - x)成立,知函数f (x) =x2- 2ax+1的对称轴为x=a,即a=1 ;(2)函数f (x) =x - 2ax+1的图象的对称轴为直线x=a,由f (x)在[a, +x)上为单调递增函数,y=f (x)在区间[1, +x)上为单调递增函数,得,a< 1 ;(3)函数图象开口向上,对称轴x=a,可得最大值只能在端点处取得.当a v0时,x=1时,函数取得最大值为:2 - 2a;当a>0时,x=- 1时,函数取得最大值为:2+2a;当a=0时,x=1或-1时,函数取得最大值为:2.21.在区间D上,如果函数f (x)为减函数,而xf (x)为增函数,则称f (x) 为D上的弱减函数.若f (x) = : -(1)判断f (x)在区间[0, +x)上是否为弱减函数;(2) 当x € [1, 3]时,不等式 • 〔 「:恒成立,求实数a 的取值范围; x Vl+it 2K(3)若函数g (x ) =f (x ) +k|x| - 1在[0, 3]上有两个不同的零点,求实数k的取值范围.【考点】函数单调性的性质.【分析】(1)利用初等函数的性质、弱减函数的定义,判断:-―是[0,+%)上的弱减函数. 里; 再利用函数的单调性求得函数的最值,2 5 '71+7可得a 的范围.(3)根据题意,当x €( °,3]时,方程'—门工只有一解,分离参数k ,换元利用二次函数的性质,求得 k 的范围.【解答】解:(1)由初等函数性质知,:-在[°, +x)上单调递减, 而汀* |- 一 -宀; -:! :■: .: 在[°, +x)上单调递增,所以宀二:=是[°,+7 上的弱减函数.曲焉)唤 X - 2 5 VT77 仏 而...二-一在[1, 3]单调递增,••• 的最小值为-, 的最大值为「,Vl+xVl+x £ Vl+x占 ,二 a € [ -1,J . (3)由题意知方程“ 在【°,3]上有两个不同根, ①当x=°时,上式恒成立; ②当x €(°, 3]时,则由题意可得方程'门工只有一解,1 门一 1> 1 VI 耳-1 1 根据二一’ —(2)根据题意可得・ (2)不等式化为罟在X € [1,3]上恒成立,则,.x 1令「r,则t e(1, 2],方程化为「.在t e(1, 2]上只有一解,所以。
2015-2016学年上海市浦东新区建平中学高一(上)期末数学试卷一、填空题(本大题有12小题,每小题3分,共36分)1.(3.00分)函数的定义域为.2.(3.00分)f(x)=2x﹣1,且,则m=.3.(3.00分)若函数,,则f(x)+g(x)=.4.(3.00分)函数y=|x﹣1|的递增区间是.5.(3.00分)设f﹣1(x)为f(x)=的反函数,则f﹣1(2)=.6.(3.00分)已知函数f(x)=,则f(3)的值等于.7.(3.00分)设幂函数f(x)=(a﹣1)x k(a∈R,k∈Q)的图象经过点,则a+k=.8.(3.00分)已知函数的定义域为R,则实数m的取值范围是.9.(3.00分)已知函数f(x)为R上的奇函数,当x≥0时,f(x)=x(x+1).若f(a)=﹣2,则实数a=.10.(3.00分)设A,B是非空集合,定义A×B={x|x∈A∪B且x∉A∩B},已知A=,B={y|y=2x,x>0},则A×B=.11.(3.00分)若函数f(x)为定义域D上的单调函数,且存在区间[a,b]⊆D (其中a<b),使得当x∈[a,b]时,f(x)的取值范围恰为[a,b],则称函数f (x)是D上的“正函数”,若f(x)=x2+k是(﹣∞,0)上的正函数,则实数k 的取值范围是.12.(3.00分)在平面直角坐标系中,若两点P、Q满足条件:①P、Q都在函数y=f(x)的图象上;②P、Q两点关于直线y=x对称,则称点对{P,Q}是函数y=f (x)的一对“和谐点对”(注:点对{P,Q}与{Q,P}看做同一对“和谐点对”).函数f(x)=,则此函数的“和谐点对”有对.二、选择题(本大题共4小题,每小题3分,共12分)13.(3.00分)下列四组函数中,表示同一函数的是()A.y=x﹣1与y=B.y=与y=C.y=4lgx与y=2lgx2 D.y=lgx﹣2与y=lg14.(3.00分)f(x),g(x)是定义在R上的函数,h(x)=f(x)+g(x),则“f (x),g(x)均为偶函数”是“h(x)为偶函数”的()A.充要条件B.充分而不必要的条件C.必要而不充分的条件D.既不充分也不必要的条件15.(3.00分)函数f(x)=lgx﹣的零点所在的区间是()A.(0,1) B.(1,2) C.(2,3) D.(3,10)16.(3.00分)已知两条直线l1:y=m和l2:y=(m>0),l1与函数y=|log2x|的图象从左至右相交于点A,B,l 2与函数y=|log2x|的图象从左至右相交于点C,D.记线段AC和BD在X轴上的投影长度分别为a,b,当m变化时,的最小值为()A.16B.8 C.8D.4三、解答题(本大题共5大题,共52分)17.(8.00分)已知9x﹣12•3x+27≤0,求函数y=log22x﹣log2x+2的值域.18.(10.00分)已知函数是定义在(﹣1,1)上的奇函数,且.(1)确定函数f(x)的解析式;(2)判断并证明f(x)在(﹣1,1)的单调性.19.(10.00分)(文)运货卡车以每小时x千米的速度匀速行驶1300千米,按交通法规限制40≤x≤100(单位:千米/小时).假设汽油的价格是每升7元,而汽车每小时耗油升,司机的工资是每小时30元.(1)求这次行车总费用y关于x的表达式;(2)当x为何值时,这次行车的总费用最低,并求出最低费用的值.(精确到0.01)20.(10.00分)对定义在[0,1]上,并且同时满足以下两个条件的函数f(x)称为G函数.①对任意的x∈[0,1],总有f(x)≥0;②当x1≥0,x2≥0,x1+x2≤1时,总有f(x1+x2)≥f(x1)+f(x2)成立.已知函数g(x)=x2与h(x)=2x﹣b是定义在[0,1]上的函数.(1)试问函数g(x)是否为G函数?并说明理由;(2)若函数h(x)是G函数,求实数b组成的集合.21.(14.00分)已知函数g(x)=ax2﹣2ax+1+b(a>0)在区间[2,3]上有最大值4和最小值1,设f(x)=.(1)求a、b的值;(2)若不等式f(lgx)﹣klgx≥0在上有解,求实数k的取值范围;(3)若f(|2x﹣1|)+k•﹣3k=0有三个不同的实数解,求实数k的取值范围.2015-2016学年上海市浦东新区建平中学高一(上)期末数学试卷参考答案与试题解析一、填空题(本大题有12小题,每小题3分,共36分)1.(3.00分)函数的定义域为[,+∞).【解答】解:要使函数有意义,则1+log2x≥0.即log2x≥﹣1=log2,即x≥,即函数的定义域为[,+∞),故答案为:[,+∞)2.(3.00分)f(x)=2x﹣1,且,则m=﹣2.【解答】解:∵f(x)=2x﹣1,且,∴f(m)=,解得m=﹣2.故答案为:﹣2.3.(3.00分)若函数,,则f(x)+g(x)=x,x≥0.【解答】解:函数,,则f(x)+g(x)=+x﹣=x,x≥0,故答案为:x,x≥0.4.(3.00分)函数y=|x﹣1|的递增区间是[1,+∞).【解答】解:函数y=|x﹣1|的图象如图所示:数形结合可得函数的增区间为[1,+∞),故答案为:[1,+∞).5.(3.00分)设f﹣1(x)为f(x)=的反函数,则f﹣1(2)=﹣.【解答】解:由y=f(x)=,得,x,y互换可得,,即f﹣1(x)=.∴.故答案为:.6.(3.00分)已知函数f(x)=,则f(3)的值等于﹣1.【解答】解:∵函数f(x)=,∴f(3)=f(2)﹣f(1)=[f(1)﹣f(0)]﹣f(1)=﹣f(0)=﹣(0+1)=﹣1.故答案为:﹣1.7.(3.00分)设幂函数f(x)=(a﹣1)x k(a∈R,k∈Q)的图象经过点,则a+k=4.【解答】解:幂函数f(x)=(a﹣1)x k(a∈R,k∈Q)的图象经过点,所以,解得a=2,k=2;所以a+k=4.故答案为:4.8.(3.00分)已知函数的定义域为R,则实数m的取值范围是[﹣2,2] .【解答】解:函数的定义域为R,则等价为x2+mx+1≥0恒成立,即判别式△=m2﹣4≤0,即﹣2≤m≤2,故答案为:[﹣2,2]9.(3.00分)已知函数f(x)为R上的奇函数,当x≥0时,f(x)=x(x+1).若f(a)=﹣2,则实数a=﹣1.【解答】解:令x<0,则﹣x>0,所以f(﹣x)=﹣x(1﹣x),又f(x)为奇函数,所以当x<0时有f(x)=x(1﹣x),令f(a)=a(1﹣a)=﹣2,得a2﹣a﹣2=0,解得a=﹣1或a=2(舍去).故应埴﹣110.(3.00分)设A,B是非空集合,定义A×B={x|x∈A∪B且x∉A∩B},已知A=,B={y|y=2x,x>0},则A×B=[0.1]∪(2,+∞).【解答】解:∵,∴A={x|0≤x≤2};又∵B={y|y=2x,x>0},∴B={y|y>1}.又∵A×B={x|x∈A∪B且x∉A∩B},∴A×B={x|0≤x≤1或x>2}.故答案为[0,1]∪(2,+∞).11.(3.00分)若函数f(x)为定义域D上的单调函数,且存在区间[a,b]⊆D (其中a<b),使得当x∈[a,b]时,f(x)的取值范围恰为[a,b],则称函数f (x)是D上的“正函数”,若f(x)=x2+k是(﹣∞,0)上的正函数,则实数k 的取值范围是(﹣1,﹣).【解答】解:因为函数f(x)=x2+k是(﹣∞,0)上的正函数,所以a<b<0,所以当x∈[a,b]时,函数单调递减,则f(a)=b,f(b)=a,即a2+k=b,b2+k=a,两式相减得a2﹣b2=b﹣a,即b=﹣(a+1),代入a2+k=b得a2+a+k+1=0,由a<b<0,且b=﹣(a+1),∴a<﹣(a+1)<0,解得﹣1<a<﹣.故关于a的方程a2+a+k+1=0在区间(﹣1,﹣)内有实数解,记h(a)=a2+a+k+1,则h(﹣1)>0,h(﹣)<0,即1﹣1+k+1>0且﹣+k+1<0,解得k>﹣1且k<﹣.即﹣1<k<﹣.故答案为:(﹣1,﹣).12.(3.00分)在平面直角坐标系中,若两点P、Q满足条件:①P、Q都在函数y=f(x)的图象上;②P、Q两点关于直线y=x对称,则称点对{P,Q}是函数y=f (x)的一对“和谐点对”(注:点对{P,Q}与{Q,P}看做同一对“和谐点对”).函数f(x)=,则此函数的“和谐点对”有2对.【解答】解:作出函数f(x)的图象,然后作出f(x)=log2x(x>0)关于直线y=x对称的图象C,如下图所示:由C与函数f(x)=x2+3x+2(x≤0)的图象有2个不同交点,所以函数的“和谐点对”有2对.故答案为:2.二、选择题(本大题共4小题,每小题3分,共12分)13.(3.00分)下列四组函数中,表示同一函数的是()A.y=x﹣1与y=B.y=与y=C.y=4lgx与y=2lgx2 D.y=lgx﹣2与y=lg【解答】解:∵y=x﹣1与y==|x﹣1|的对应法则不同,故不是同一函数;y=(x≥1)与y=(x>1)的定义域不同,∴它们不是同一函数;又y=4lgx(x>0)与y=2lgx2(x≠0)的定义域不同,因此它们也不是同一函数,而y=lgx﹣2(x>0)与y=lg=lgx﹣2(x>0)有相同的定义域,值域与对应法则,故它们是同一函数.故选:D.14.(3.00分)f(x),g(x)是定义在R上的函数,h(x)=f(x)+g(x),则“f (x),g(x)均为偶函数”是“h(x)为偶函数”的()A.充要条件B.充分而不必要的条件C.必要而不充分的条件D.既不充分也不必要的条件【解答】解.若“f(x),g(x)均为偶函数”,则有f(﹣x)=f(x),g(﹣x)=g (x),∴h(﹣x)=f(﹣x)+g(﹣x)=f(x)+g(x)=h(x),∴“h(x)为偶函数”,而反之取f(x)=x2+x,g(x)=2﹣x,h(x)=x2+2是偶函数,而f(x),g(x)均不是偶函数”,故选:B.15.(3.00分)函数f(x)=lgx﹣的零点所在的区间是()A.(0,1) B.(1,2) C.(2,3) D.(3,10)【解答】解:函数f(x)=lgx﹣在定义域上连续,f(2)=lg2﹣=lg2﹣lg<0,f(3)=lg3﹣lg>0;故f(2)f(3)<0;从而可知,函数f(x)=lgx﹣的零点所在的区间是(2,3);故选:C.16.(3.00分)已知两条直线l1:y=m和l2:y=(m>0),l1与函数y=|log2x|的图象从左至右相交于点A,B,l2与函数y=|log2x|的图象从左至右相交于点C,D.记线段AC和BD在X轴上的投影长度分别为a,b,当m变化时,的最小值为()A.16B.8 C.8D.4【解答】解:设A,B,C,D各点的横坐标分别为x A,x B,x C,x D,则﹣log2x A=m,log2x B=m;﹣log2x C=,log2x D=;∴x A=2﹣m,x B=2m,x C=,x D=.∴a=|x A﹣x C|,b=|x B﹣x D|,∴==||=2m•=.又m>0,∴m+=(2m+1)+﹣≥2﹣=(当且仅当m=时取“=”)∴≥=8.故选:B.三、解答题(本大题共5大题,共52分)17.(8.00分)已知9x﹣12•3x+27≤0,求函数y=log22x﹣log2x+2的值域.【解答】解:9x﹣12•3x+27≤0,即(3x)2﹣12•3x+27≤0,∴(3x﹣3)(3x﹣9)≤0,解得1≤x≤2.∴t=log2x∈[0,1].∴函数y=log22x﹣log2x+2=+=+=f(t).∴f(t)min=,由f(0)=2=f(1),可得f(t)max=2.∴f(t)∈.即函数y=log22x﹣log2x+2的值域为.18.(10.00分)已知函数是定义在(﹣1,1)上的奇函数,且.(1)确定函数f(x)的解析式;(2)判断并证明f(x)在(﹣1,1)的单调性.【解答】解:(1)由f(x)是奇函数,∴f(﹣x)=﹣f(x)∴,即=0,∴b=0,又,代入函数得a=1.∴.(2)f(x)在(﹣1,1)上是增函数.证明:在(﹣1,1)上任取两个值x1,x2,且x1<x2,则∵﹣1<x1<x2<1,∴﹣1<x1x2<1;∴1﹣x1x2>0,又∴f(x1)﹣f(x2)<0,∴f(x1)<f(x2),∴f(x)在(﹣1,1)上是增函数.19.(10.00分)(文)运货卡车以每小时x千米的速度匀速行驶1300千米,按交通法规限制40≤x≤100(单位:千米/小时).假设汽油的价格是每升7元,而汽车每小时耗油升,司机的工资是每小时30元.(1)求这次行车总费用y关于x的表达式;(2)当x为何值时,这次行车的总费用最低,并求出最低费用的值.(精确到0.01)【解答】解:(1)设行车所用时间为,,x∈[40,100]所以,这次行车总费用y关于x的表达式是(2)x∈[40,100]时,所以为增函数.所以,当x=40时,这次行车的总费用最低,最低费用为2441.11元20.(10.00分)对定义在[0,1]上,并且同时满足以下两个条件的函数f(x)称为G函数.①对任意的x∈[0,1],总有f(x)≥0;②当x1≥0,x2≥0,x1+x2≤1时,总有f(x1+x2)≥f(x1)+f(x2)成立.已知函数g(x)=x2与h(x)=2x﹣b是定义在[0,1]上的函数.(1)试问函数g(x)是否为G函数?并说明理由;(2)若函数h(x)是G函数,求实数b组成的集合.【解答】解:(1)是,理由如下:当x1≥0,x2≥0,x1+x2≤1时,g(x1+x2)=(x1+x2)2=x12+x22+2x1x2≥x12+x22=g(x1)+g(x2),满足②…(4分)(2)h(x)=2x﹣b为增函数,h(x)≥h(0)=1﹣b≥0,∴b≤1,由h(x1+x2)≥h(x1)+h(x2),﹣b+﹣b,即b≥1﹣(﹣1)(﹣1),∵x1≥0,x2≥0,x1+x2≤1,∴0≤﹣1≤1,0≤﹣1≤1,x1,x2不同时等于1∴0≤(﹣1)(﹣1)<1;∴0<1﹣(﹣1)(﹣1)≤1,当x1=x2=0时,1﹣(﹣1)(﹣1)的最大值为1;∴b≥1,则b=1,综合上述:b∈{1} …(12分)21.(14.00分)已知函数g(x)=ax2﹣2ax+1+b(a>0)在区间[2,3]上有最大值4和最小值1,设f(x)=.(1)求a、b的值;(2)若不等式f(lgx)﹣klgx≥0在上有解,求实数k的取值范围;(3)若f(|2x﹣1|)+k•﹣3k=0有三个不同的实数解,求实数k的取值范围.【解答】解:(1)函数g(x)=ax2﹣2ax+b+1=a(x﹣1)2+1+b﹣a,因为a>0,所以g(x)在区间[2,3]上是增函数,故,解得a=1,b=0.….(6分)(2)由已知可得f(x)=x+﹣2,所以令t=lgx,不等式f(lgx)﹣klgx≥0可化为k≤t2﹣2t+1.因,故t∈[,2].故k≤t2﹣2t+1在t∈[,2]上能成立.记h(t)=t2﹣2t+1,因为t∈[,2],故h(t)max =h(2)=1,所以k的取值范围是(﹣∞,1].(3)令m=|2x﹣1|(m≥0),f(|2x﹣1|)+k•﹣3k=0,即f(m)+k•﹣3k=0,∴m2﹣(3k+2)m+(2k+1)=0有两个不同的实数解m1,m2,其中0<m1<1,m2>1或0<m1<1,m2=1.记F(m)=m2﹣(3k+2)m+(2k+1),则①或②解①得,k>0;②无解.∴实数k的取值范围为(0,+∞).。
2014-2015学年第一学期高一数学期末考试模拟卷考试时间:120分钟;满分:150第I 卷(选择题)一、选择题1.已知函数23(0)()log (0)x x f x x x ⎧≤=⎨>⎩ ,那么)]41([f f 的值为 ( )A . 9B .91C .9-D .91-2.函数)23(log 21-=x y 的定义域是( )A .[)+∞,1B .),32(+∞C .]1,32[D .]1,32(3.在△ABC 中,=1,=2,则AB 边的长度为( ) (A)1(B)3(C)5(D)94.已知向量)2,1(=,)4,2(--=,5||=,若25)(=⋅+,则与的夹角为( )(A ) 30 (B ) 60 (C )120 (D )150 5.已知函数1()()sin 2x f x x =-,()f x 在[0,2]π上的零点个数有( ) A.1个 B.2个 C.3个 D.4个6.已知函数()323f x x tx x =-+,若对于任意的[]1,2a ∈,(]2,3b ∈,函数()f x 在区间(),a b 上单调递减,则实数t 的取值范围是( )A.(],3-∞B.(],5-∞C.[)3,+∞D.[)5,+∞7.已知函数|lg |,010()16,102x x f x x x <≤⎧⎪=⎨-+>⎪⎩,若,,a b c 互不相等,且()()()f a f b f c ==,则abc 的取值范围是A 、(1,10)B 、(5,6)C 、(10,12)D 、(20,24)8.设全集{|05},{1,3},{|,}U x z x A B y y x x A =∈≤≤===∈集合,则集合C ∪(A ∪B )=() A .{0,4,5} B .{2,4,5} C .{0,2,4,5}D .{4,5}9..已知函数()3sin()6f x x πω=-(0)ω>和()3cos(2)g x x ϕ=+的图象的对称中心完全相同,若[0,]2x π∈,则()f x 的取值范围是 ( )A .3[,3]2- B .[3,3]- C.1[2- D. 10.若函数R x x x x f ∈+=,cos sin )(ωω3,又02=-=)(,)(βαf f ,且βα-的最小值为43π,则正数ω的值是( ) A. 31 B. 32 C.34 D.2311.全集{}1,2,3,4,5U =,集合{}{}1,3,4,2,3A B ==,则图中阴影部分表示的集合为A .{2}B .{3}C .{1,4}D .{1,2,3,4}12.已知集合{}20A x x a =-≤,{}40B x x b =->,N b a ∈,,且{}()2,3A B N ⋂⋂=,由整数对()b a ,组成的集合记为M,则集合M 中元素的个数为 A .5B .6C .7D .813.将函数sin()3y x π=-的图像上所有点的横坐标伸长到原来的2倍(纵坐标不变),再将所得图像向左平移3π个单位,则所得函数图像对应的解析式为( ) A .1sin()26y x π=- B .1sin()23y x π=-C .1sin 2y x =D .sin(2)6y x π=-14.下列函数中,既不是奇函数又不是偶函数,且在)0,(-∞上为减函数的是( )A .xx f ⎪⎭⎫ ⎝⎛=23)( B .1)(2+=x x fABUC.3)(x x f -= D.)lg()(x x f -=15.已知,(1)()(4)2,(1)2x a x f x ax x ⎧>⎪=⎨-+≤⎪⎩是R 上的单调递增函数,则实数a 的取值范围为 ( )A .(1,+∞)B .(1,8)C .(4,8)D .[4,8) 16.已知1a >,函数x y a =与log ()a y x =-的图像可能是( )A B C D17.设311(2sin ,),(,cos )264a xb x ==,且//a b ,则锐角x 为 A .6π B .3π C .4π D .512π18.已知函数f (x )=122,021,0,x x x x x ⎧⎪⎨⎪⎩+ <--≥,若方程f (x )+2a -1=0恰有4个实数根,则实数a 的取值范围是 ( )(A )(-12,0 ] (B )[-12,0 ] (C )[1,32) (D )(1,32]19.(9)已知x 是函数f(x)=2x + 11x-的一个零点.若1x ∈(1,0x ), 2x ∈(0x ,+∞),则 (A )f(1x )<0,f(2x )<0 (B )f(1x )<0,f(2x )>0 (C )f(1x )>0,f(2x )<0 (D )f(1x )>0,f(2x )>020.[2013·四川高考]函数y =331x x -的图象大致是( )21.已知函数y =1-x +sin x ,则 A .函数为R 上增函数 B .函数为R 上减函数C .在(0, π]上单调递增,在[π,2π) 上单调递减D .在(0, π]上单调递减,在[π,2π) 上单调递增 22.已知函数()cos 2f x x π=+(x R ∈),则下列叙述错误的 ( )A .()f x 的最大值与最小值之和等于πB .()f x 是偶函数C .()f x 在[]4,7上是增函数 D .()f x 的图像关于点,22ππ⎛⎫⎪⎝⎭成中心对称 23.若{}21A x x ==,{}2230B x x x =--=,则A B =( )A.{}3B.{}1C.∅D.{}1-24.将函数)3cos(π-=x y 的图象上各点的横坐标伸长到原的2倍(纵坐标不变),再向左平移6π个单位,所得图象的一条对称轴方程为( ) A.9π=x B. 8π=x C. 2π=x D. π=x25.函数()sin cos f x x x =最小值是( )A .-1B .12- C . 12 D .126.设向量a.b 满足11,,a+22a b a b b ===-=则( )(A (B (C (D 27.在平面直角坐标系中,如果不同的两点),(b a A ,),(b a B -在函数)(x f y =的图象上,则称),(B A 是函数)(x f y =的一组关于y 轴的对称点(),(B A 与),(A B 视为同一组), 则函数31,0,()2log ,0,xx f x x x ⎧⎛⎫≤⎪ ⎪=⎨⎝⎭⎪>⎩关于y 轴的对称点的组数为( )A .0B .1C .2D .428.函数tan sin tan sin y x x x x =+--在区间3(,)22ππ内的图象是 ( )29.已知0<c ,则下列不等式中成立的一个是 ( )A .c c 2>B .c c )21(>C .cc )21(2>D .cc )21(2<30.已知函数f (x )是定义在R 上的奇函数,当x ≥0时,f (x )=12(|x -a 2|+|x -2a 2|-3a 2).若∀x ∈R ,f (x -1)≤f (x ),则实数a 的取值范围为( )A.11,66⎡⎤-⎢⎥⎣⎦B.⎡⎢⎣⎦ C.11,33⎡⎤-⎢⎥⎣⎦D.⎡⎢⎣⎦31.若向量)3,(x =(R x ∈),则“4=x5=”的( )A .充分不必要条件 B. 必要不充分条件C .充要条件 D. 既不充分也不必要条件32.集合}22|{<<-=x x A ,}02|{2≤-=x x x B ,则=B A ( )A .)2,0(B .]2,0( C. ]2,0[ D. )2,0[ 33.设集合{1,2}A =,则满足{1,2,3}A B =的集合B 的个数是( )A .1B .3C .4D .834.下列函数中,值域为),0(∞+的是( )A :xy -=215B :xy -=1)31( C :1)21(-=x y D :xy 21-=35.函数ln ||||x x y x =的图像可能是( )ABCD-36.已知向量(1,)a x =,(1,2)b x =-,若//a b ,则x =( ) A .-1或2 B .-2或1 C .1或2 D .-1或-237.已知全集U=R ,集合A={x x |<3},B={x x 3log |>0},则A CUB=( ) A .{x |1<x <3} B .{x |1≤x <3} C .{x |x <3} D .{x |x ≤1}38.2(lg5)lg2lg5lg20++的值是( ) A 、0 B 、1 C 、2 D 、339.已知集合{}12,A x x x Z =-≤≤∈,集合{}420,,=B ,则B A ⋃ 等于( ) A .{}4,2,1,0,1- B .{}4,2,0,1- C .{}420,,D .{}4210,,, 40.如图,在ABC △中,1AB =,3AC =,D 是BC 的中点,则AD BC ⋅=( ).A .3B .4C .5D .不能确定第II 卷(非选择题)二、填空题41.设πθ20<≤时,已知两个向()()θθθθcos 2,sin 2,sin ,cos OP 21-+==OP ,而||21P P 的最大值为_________,此时=θ_________。
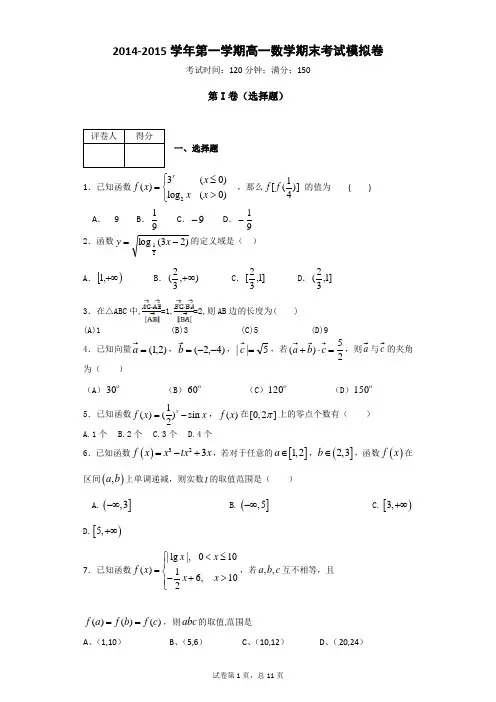
上海市浦东新区2014-2015学年高一上学期期末数学试卷一、填空题(本大题满分36分)本大题共有12题,只要求直接填写结果,每个空格填对得3分,否则一律得零分. 1.已知集合A={﹣1,1,2,4},B={﹣1,0,2},则A∪B=________.2.“若,则”是(真或假)命题________.3.函数的定义域为________.4.命题“若x≠3且x≠4,则x2﹣7x+12≠0”的逆否命题是________.5.已知f(x)=x,g(x)=,则f(x)•g(x)=________.6.若幂函数f(x)的图象经过点,则f(x)=________.7.若函数f(x)=()x+m的图象不经过第一象限,则实数m的取值范围是________.8.设函数y=f(x)在区间[﹣2,a]上是奇函数,若f(﹣2)=11,则f(a)=________.9.设x>0,则x+的最小值为________.10.已知y=f(x)是R上的偶函数,且f(x)在(﹣∞,0]上是增函数,若f(a)≥f(2),则a的取值范围是________.11.已知关于x不等式ax2+bx+c>0的解集为{x|1<x<2},则不等式c(2x+1)2+b(2x+1)+a>0的解集为________.13.下列命题中正确的是()A.若ac>bc,则a>b B.若a2>b2,则a>bC.若,则a>b D.若,则a>b14.设命题甲为:0<x<5,命题乙为:|x﹣2|<3,则甲是乙的()A.充分不必要条件B.必要不充分条件C.充要条件D.既不充分又不必要条件15.若集合M={y|y=2﹣x},P={y|y=},则M∩P=()A.{y|y>1} B.{y|y≥1} C.{y|y>0} D.{y|y≥0}16.函数的图象是()A.B.C.D.三、解答题(本大题满分52分)本大题共有5题,解答下列各题必须写出必要的步骤.17.解不等式组.18.已知函数,判断函数f(x)的奇偶性,并说明理由.19.设集合A={x|x2+4x=0,x∈R},B={x|x2+2(a+1)x+a2﹣1=0,x∈R},(1)若A∩B=A∪B,求实数a的值;(2)若A∩B=B,求实数a的取值范围.21.已知函数f(x)=x++b(x≠0),其中a、b为实常数.(1)若方程f(x)=3x+1有且仅有一个实数解x=2,求a、b的值;(2)设a>0,x∈(0,+∞),写出f(x)的单调区间,并对单调递增区间用函数单调性定义进行证明;(3)若对任意的a∈[,2],不等式f(x)≤10在x∈[,1]上恒成立,求实数b的取值范围.上海市金山区2014-2015学年高一上学期期末数学试卷一、填空题(本大题满分36分)本大题共有12题,考生应在答题纸相应编号的空格内直接填写结果,每个空格填对得3分,否则一律得零分)1.已知全集U=R,A={x|x≥2},则∁U A=__________.2.函数y=lg的定义域是__________.3.函数y=x+(x>0)的最小值为__________.4.若集合A={﹣1,0,1},集合B={x|x=t2,t∈A},用列举法表示B=__________.5.若4x ﹣2x+1=0,则x=__________.6.已知关于x 的不等式x 2﹣(a ﹣1)x+(a ﹣1)>0的解集是R ,则实数a 取值范围是__________.7.已知函数y=a x ﹣1+1(a >0,a ≠1)的图象经过一个定点,则顶点坐标是__________.12.设a+b=3,b >0,则当a=32-时,取得最小值__________. 13.下列命题中,与命题“如果x 2+3x ﹣4=0,那么x=﹣4或x=1”等价的命题是() A . 如果x 2+3x ﹣4≠0,那么x ≠﹣4或x ≠1B . 如果x ≠﹣4或x ≠1,那么x 2+3x ﹣4≠0C . 如果x ≠﹣4且x ≠1,那么x 2+3x ﹣4≠0D . 如果x=﹣4或x=1,那么x 2+3x ﹣4=014.己知实数a ,b 满足ab >0,则“<成立”是“a >b 成立”的()A . 充分非必要条件B . 必要非充分条件C . 充要条件D .既非充分又非必要条件15.若a ,b ∈R ,且ab >0,则下列不等式中,恒成立的是()A . a 2+b 2>2abB .C .D .16.如图所示曲线是幂函数y=x a 在第一象限内的图象,其中a=±,a=±2,则曲线C 1,C 2,C 3,C 4对应a 的值依次是()A . 、2、﹣2、﹣B . 2、、﹣、﹣2C . ﹣、﹣2、2、D . 2、、﹣2、﹣17.下列函数中,在其定义域内既是奇函数又是减函数的是()A . y =﹣|x|(x ∈R )B . y =﹣x 3﹣x (x ∈R ) C .D .18.对于函数f (x ),若在定义域内存在实数x ,满足f (﹣x )=﹣f (x ),称f (x )为“局部奇函数”,若f (x )=4x ﹣m2x+1+m 2﹣3为定义域R 上的“局部奇函数”,则实数的取值范围是()A . 1﹣≤m ≤1+B . 1﹣≤m ≤2C . ﹣2≤m ≤2D . ﹣2≤m ≤1﹣三、解答题(本大题满分46分)本大题共有5题,解答下列各题必须在答题纸相应编号的规定区域内写出必要的步骤.19.本题共有2题,第1小题满分4分,第2小题满分2分已知集合A={x||x﹣1|≤1},B={x|x≥a}.(1)当a=1时,求集合A∩B;(2)若A⊆B,求实数a的取值范围.20.已知a≠0,试讨论函数f(x)=在区间(0,1)上单调性,并加以证明.22.已知函数f(x)=3x+k(k为常数),A(﹣2k,2)是函数y=f1(x)图象上的点.(1)求实数k的值及函数y=f1(x)的解析式:(2)将y=f1(x)的图象向右平移3个单位,得到函数y=g(x)的图象,若2f1(x+﹣3})﹣g(x)≥1对任意的x>0恒成立,试求实数m的取值范围.上海市嘉定区2014-2015学年高一上学期期末数学试卷一.填空题(本大题满分36分)本大题共有12题,只要求直接填写结果,每题填对得3分,否则一律得零分. 1.(3分)函数的定义域是________.2.(3分)函数y=x﹣2的单调增区间是________.3.(3分)已知lg2=a,lg3=b,试用a,b表示lg6=________.4.(3分)若函数f(x)=(a﹣1)x是指数函数,则实数a的取值范围是________.5.(3分)若函数f(x)=(x>0)是减函数,则实数m的取值范围是________.6.(3分)已知函数f(x)=(x≥0),记y=f﹣1(x)为其反函数,则f﹣1(2)=________.7.(3分)若函数f(x)=x2+(a是常数)是偶函数,则a=________.8.(3分)已知函数y=x2﹣2ax在区间上的最大值比最小值大,则a=________.11.(3分)若函数在区间(a,b)上的值域是(2,+∞),则log a b=________.12.(3分)若函数y=|a x﹣1|(a>0,且a≠1)的图象与函数y=的图象有两个公共点,则a的取值范围是________.二.选择题(本大题满分12分)本大题共有4题,每题都给出四个结论,其中有且只有一个结论是正确的,必须把正确结论的代号写在题后的圆括号内,每题选对得3分,否则一律得零分.13.(3分)下列四组函数中,函数f(x)与g(x)表示同一个函数的是()A.B.C.f(x)=x0,g(x)=1 D.14.(3分)函数f(x)=()A.是奇函数B.是偶函数C.是非奇非偶函数D.既是奇函数,又是偶函数15.(3分)若关于x的方程2x=a2有负实数根,则实数a的取值范围是()A.(﹣1,1)B.(﹣∞,0)∪(0,+∞) C.(﹣1,0)∪(0,1)D.(﹣∞,﹣1)∪(1,+∞)16.(3分)已知函数f(x)对于任意的x∈R都有f(x)<f(x+1),则f(x)在R上()A.是单调增函数B.没有单调减区间C.可能存在单调增区间,也可能不存在单调增区间D.没有单调增区间三.解答题(本大题满分52分)本大题共有5题,解答下列各题必须写出必要的步骤.17.(8分)已知集合,集合B={x||x﹣1|≤4},求A∩B.18.(10分)已知函数f(x)=(a2﹣a+1)x a+2为幂函数,且为奇函数,设函数g(x)=f(x)+x.(1)求实数a的值及函数g(x)的零点;(2)是否存在自然数n,使g(n)=900?若存在,请求出n的值;若不存在,请说明理由.20.(10分)已知函数f(x)=k•2x+2﹣x(k是常数).(1)若函数f(x)是R上的奇函数,求k的值;(2)若对于任意x∈,不等式f(x)<1都成立,求k的取值范围.21.(12分)已知函数f(x)=﹣(x∈(0,+∞)).(1)求证:函数f(x)是增函数;(2)若函数f(x)在上的值域是(0<a<b),求实数m的取值范围;(3)若存在x∈(1,+∞),使不等式f(x﹣1)>4x成立,求实数m的取值范围.上海市宝山区2014-2015学年高一上学期期末数学试卷一、填空题(本大题共有12题,满分36分)考生应在答题纸相应编号的空格内直接填写结果,每个空格填对得3分,否则一律得零分.1.(3分)函数y=log2(x﹣1)的定义域是________.2.(3分)设全集U=R,集合S={x|x≥﹣1},则∁U S=_______.3.(3分)设关于x的函数y=(k﹣2)x+1是R上的增函数,则实数k的取值范围是_______.4.(3分)已知x=log75,用含x的式子表示log7625,则log7625=_______.5.(3分)函数y=的最大值为_______.6.(3分)若函数f(x)=﹣a是奇函数,则实数a的值为_______.7.(3分)若不等式x2﹣mx+n<0(m,n∈R)的解集为(2,3),则m﹣n=_______.8.(3分)设α:0≤x≤1,β:m≤x≤2m+5,若α是β的充分条件,则实数m的取值范围是_______.9.(3分)设a,b均为正数,则函数f(x)=(a2+b2)x+ab的零点的最小值为_______.10.(3分)给出下列命题:①直线x=a与函数y=f(x)的图象至少有两个公共点;②函数y=x﹣2在(0,+∞)上是单调递减函数;③幂函数的图象一定经过坐标原点;④函数f(x)=a x﹣2(a>0,a≠1)的图象恒过定点(2,1).⑤设函数y=f(x)存在反函数,且y=f(x)的图象过点(1,2),则函数y=f﹣1(x)﹣1的图象一定过点(2,0).其中,真命题的序号为_______.11.(3分)设函数f(x)(x∈R)满足|f(x)+()2|≤,且|f(x)﹣()2|≤.则f(0)=_______.12.(3分)若F(x)=a•f(x)g(x)+b•+c(a,b,c均为常数),则称F(x)是由函数f(x)与函数g(x)所确定的“a→b→c”型函数.设函数f1(x)=x+1与函数f2(x)=x2﹣3x+6,若f(x)是由函数f1﹣1(x)+1与函数f2(x)所确定的“1→0→5”型函数,且实数m,n满足f(m)=f(n)=6,则m+n的值为_______.二、选择题(本大题共有4题,满分12分)每题有且只有一个正确答案,考生应在答题纸的相应编号上,将代表答案的小方格涂黑,选对得3分,否则一律得零分.13.(3分)“a>1”是“a>0”的()A.充分非必要条件B.必要非充分条件C.充要条件D.既非充分又非必要条件14.(3分)函数y=x+(x>0)的递减区间为()A.(0,4]B.C.15.(3分)如图为函数f(x)=t+log a x的图象(a,t均为实常数),则下列结论正确的是()A.0<a<1,t<0 B.0<a<1,t>0 C.a>1,t<0 D.a>1,t>016.(3分)设g(x)=|f(x+2m)﹣x|,f(t)为不超过实数t的最大整数,若函数g(x)存在最大值,则正实数m 的最小值为()A.B.C.D.三、解答题(本大题共有5题,满分52分)解答下列各题必须在答题纸相应编号的规定区域内写出必要的步骤.17.(8分)解不等式组:.18.(8分)某“农家乐”接待中心有客房200间,每间日租金为40元,每天都客满.根据实际需要,该中心需提高租金.如果每间客房日租金每增加4元,客房出租就会减少10间.(不考虑其他因素)(1)设每间客房日租金提高4x元(x∈N+,x<20),记该中心客房的日租金总收入为y,试用x表示y;(2)在(1)的条件下,每间客房日租金为多少时,该中心客房的日租金总收入最高?19.(10分)已知f(x)=|x+a|(a>﹣2)的图象过点(2,1).(1)求实数a的值;(2)如图所示的平面直角坐标系中,每一个小方格的边长均为1.试在该坐标系中作出函数y=的简图,并写出(不需要证明)它的定义域、值域、奇偶性、单调区间.上海市浦东新区2014-2015学年高一上学期期末数学试卷一、填空题(本大题满分36分)本大题共有12题,只要求直接填写结果,每个空格填对得3分,否则一律得零分. 1.(3分)已知集合A={﹣1,1,2,4},B={﹣1,0,2},则A∪B={﹣1,0,1,2,4}.2.(3分)“若,则”是真(真或假)命题.故答案为:真;3.(3分)函数的定义域为[﹣2,1)∪(1,2].4.(3分)命题“若x≠3且x≠4,则x2﹣7x+12≠0”的逆否命题是若x2﹣7x+12=0,则x=3或x=4.5.(3分)已知f(x)=x,g(x)=,则f(x)•g(x)=x2﹣2x,(x≥2).6.(3分)若幂函数f(x)的图象经过点,则f(x)=.7.(3分)若函数f(x)=()x+m的图象不经过第一象限,则实数m的取值范围是(﹣∞,﹣1].则满足f(0)=1+m≤0,即m≤﹣1;故答案为:(﹣∞,﹣1]8.(3分)设函数y=f(x)在区间[﹣2,a]上是奇函数,若f(﹣2)=11,则f(a)=﹣11.9.(3分)设x>0,则x+的最小值为.10.(3分)已知y=f(x)是R上的偶函数,且f(x)在(﹣∞,0]上是增函数,若f(a)≥f(2),则a的取值范围是[﹣2,2].11.(3分)已知关于x不等式ax2+bx+c>0的解集为{x|1<x<2},则不等式c(2x+1)2+b(2x+1)+a>0的解集为(﹣,0).13.(3分)下列命题中正确的是()A.若ac>bc,则a>b B.若a2>b2,则a>bC.若,则a>b D.若,则a>b故选C.14.(3分)设命题甲为:0<x<5,命题乙为:|x﹣2|<3,则甲是乙的()A.充分不必要条件B.必要不充分条件C.充要条件D.既不充分又不必要条件故选A.15.(3分)若集合M={y|y=2﹣x},P={y|y=},则M∩P=()A.{y|y>1} B.{y|y≥1} C.{y|y>0} D.{y|y≥0}故选C.三、解答题(本大题满分52分)本大题共有5题,解答下列各题必须写出必要的步骤.17.(8分)解不等式组.∴不等式组得解集为(3﹣,﹣1)∪[1,3+).18.(8分)已知函数,判断函数f(x)的奇偶性,并说明理由.∴f(x)为奇函数.19.(10分)设集合A={x|x2+4x=0,x∈R},B={x|x2+2(a+1)x+a2﹣1=0,x∈R},(1)若A∩B=A∪B,求实数a的值;(2)若A∩B=B,求实数a的取值范围.解答:解:(1)A={x|x2+4x=0,x∈R}={0,﹣4}若A∩B=A∪B,则A=B,则有a+1=2且a2﹣1=0,解可得a=1(2)若A∩B=B,则B⊆A∴B=∅或{0}或{﹣4}或{0,﹣4};①当B=∅时,△=[2(a+1)]2﹣4•(a2﹣1)<0⇒a<﹣1②当B={0}时,⇒a=﹣1③当B={﹣4}时,⇒a不存在④当B={0,﹣4}时,⇒a=1∴a的取值范围为(﹣∞,﹣1]∪{1}.21.(14分)已知函数f(x)=x++b(x≠0),其中a、b为实常数.(1)若方程f(x)=3x+1有且仅有一个实数解x=2,求a、b的值;(2)设a>0,x∈(0,+∞),写出f(x)的单调区间,并对单调递增区间用函数单调性定义进行证明;(3)若对任意的a∈[,2],不等式f(x)≤10在x∈[,1]上恒成立,求实数b的取值范围.分析:(1)依题意,原方程可化为2x2+(1﹣b)x﹣a=0,由即可解得a、b的值;(2)当a>0,x>0时,f(x)在区间(0,)上是减函数,在(,+∞)上是增函数;利用定义证明时,先设x1,x2∈(,+∞),且x1<x2,再作差f(x2)﹣f(x1)后化积讨论即可;(3)依题意得,可解得到b≤,从而可得实数b的取值范围.解答:解:(1)由已知,方程)=x++b=3x+1有且仅有一个解x=2,因为x≠0,故原方程可化为2x2+(1﹣b)x﹣a=0,…(1分)所以,…(3分)解得a=﹣8,b=9.…(5分)(2)当a>0,x>0时,f(x)在区间(0,)上是减函数,在(,+∞)上是增函数.…(7分)证明:设x1,x2∈(,+∞),且x1<x2,f(x2)﹣f(x1)=x2+﹣x1﹣=(x2﹣x1)•,因为x1,x2∈(,+∞),且x1<x2,所以x2﹣x1>0,x1x2>a,所以f(x2)﹣f(x1)>0.…(10分)所以f(x)在(,+∞)上是增函数.…(11分)(3)因为f(x)≤10,故x∈[,1]时有f(x)max≤10,…(12分)由(2),知f(x)在区间[,1]的最大值为f()与f(1)中的较大者.…(13分)所以,对于任意的a∈[,2],不等式f(x)≤10在x∈[,1]上恒成立,当且仅当,即对任意的a∈[,2]成立.…(15分)从而得到b≤.…(17分)所以满足条件的b的取值范围是(﹣∞,].…(18分)。
2014-2015学年第一学期高一期末考试数学试题说明:1.本卷共有三个大题,21个小题,全卷满分150分,考试时间120分钟. 2.本卷分为试题卷和答题卷,答案要求写在答题卷上,在试题卷上作答不给分.一、选择题(本大题共10小题,每小题5分,共50分.在每小题给出的四个选项中,只有一项是符合题目要求的)1.已知全集U={1,2,3,4},集合A={1,2},B={2,3},则∁U (A ∪B )=( ) A .{1,3,4}, B .{3,4}, C .{3}, D .{4} 2.一个几何体的三视图形状都相同,大小均相等,那么这个几何体不可以是( ) A .球, B .三棱锥, C .正方体, D .圆柱 3.若两个球的表面积之比为1:4,则这两个球的体积之比为( ) A .1:2, B .1:4, C .1:8, D .1:164.已知点M (a ,b )在圆O :x2+y2=1外,则直线ax+by=1与圆O 的位置关系是( ) A .相切, B .相交, C .相离, D .不确定 5.在下列命题中,不是公理的是( ) A .平行于同一个平面的两个平面平行B .过不在同一直线上的三个点,有且只有一个平面C .如果一条直线上的两点在同一个平面内,那么这条直线上所有点都在此平面内D .如果两个不重合的平面有一个公共点,那么它们有且只有一条过该点的公共直线6.由表格中的数据可以判定方程20x e x --=的一个零点所在的区间是(,1)()k k k Z +∈, 则k 的值为A .-1B .0C .1D .27.若函数11()2xy m -=+的图像与x 轴有公共点,则m 的取值范围是A .1m ≤-B .10m -≤<C .1m ≥D .01m <≤8.已知函数()f x 是定义在R 上的偶函数, 且在区间[0,)+∞单调递增.若实数a 满足212(log )(log )2(1)f a f f a ≤+, 则a 的取值范围是A .10,2⎛⎤⎥⎝⎦B .(0,2]C .[1,2]D .1,22⎡⎤⎢⎥⎣⎦9.若定义在区间[-2015,2015]上的函数f (x )满足:对于任意的x 1,x 2∈[-2015,2015],都有f (x 1+x 2)=f (x 1)+f (x 2)-2014,且x >0时,有f (x )>2014,f (x )的最大值、最小值分别为M ,N ,则M+N 的值为( )A .2014B .2015C .4028D .403010.一个多面体的直观图、主视图、左视图、俯视图如下,M 、N 分别为1A B 、11B C 的中点.下列结论中正确的个数有①直线MN 与1A C 相交. ② MN BC ⊥. ③MN //平面11ACC A . ④三棱锥1N A BC -的体积为1316N A BC V a -=. A .4个B .3个C .2个D .1个二、填空题(本大题共5小题,每题5分,共计25分.请将正确答案填在答题卷相应位置.) 11.函数22log (1)y x x =--的定义域为___________.12.在z 轴上与点(4,1,7)A -和点(3,5,2)B -等距离的点C 的坐标为 .13.已知集合2{(,)49}A x y y x ==-,{(,)}B x y y x m ==+,且A B φ⋂≠,则实数m 的取值范围是_______________.14.已知函数1333,1()log ,01x x f x x x ⎧-≥⎪=⎨<<⎪⎩,则满足不等式1()()9f m f ≤的实数m 的取值范围为 .15.下列四个命题:其中正确的有________________(写出所有正确命题的序号).三、解答题:(本大题共6小题,共75分,解答应写出文字说明、证明过程或演算步骤.) 16.(本小题满分12分)设全集为U R =,集合(,3][6,)A =-∞-⋃+∞,{}2|log (2)4B x x =+<. (1)求如图阴影部分表示的集合;(2)已知{}|21C x x a x a =><+且,若C B ⊆,求实数a 的取值范围.17.(本小题满分12分)已知直线1l :10ax by ++=,(,a b 不同时为0),2l :(2)0a x y a -++=, (1)若0b =且12l l ⊥,求实数a 的值;(2)当3b =且12//l l 时,求直线1l 与2l 之间的距离.18.(本小题满分12分)已知幂函数21()(22)m f x m m x +=-++为偶函数.(1)求()f x 的解析式;(2)若函数()2(1)1y f x a x =--+在区间(2,3)上为单调函数,求实数a 的取值范围.19.(本小题满分12分)20.(本小题满分13分)已知圆C 的方程:04222=+--+m y x y x ,其中5m <.(1)若圆C 与直线042:=-+y x l 相交于M ,N 两点,且MN =,求m 的值;(2)在(1)条件下,是否存在直线02:=+-c y x l ,使得圆上有四点到直线l ,若存在,求出c 的范围,若不存在,说明理由.21.(本小题满分14分)定义在D 上的函数()f x ,如果满足:对任意x D ∈,存在常数0M ≥,都有()f x M ≤ 成立,则称()f x 是D 上的有界函数,其中M 称为函数()f x 的一个上界.已知函数11()1()()24x x f x a =++,121()log 1axg x x -=-.(1)若函数()g x 为奇函数,求实数a 的值;(2)在(1)的条件下,求函数()g x 在区间5,33⎡⎤⎢⎥⎣⎦上的所有上界构成的集合;(3)若函数()f x 在[)0,+∞上是以3为上界的有界函数,求实数a 的取值范围.2014-2015学年第一学期高一期末考试数学试题参考答案一、选择题(每小题5分,共50分,在每小题给出的四个选项中只有一个符合要求.)题号 1 2 3 4 5 6 7 8 9 10答案 D D C B A C D D C B2、答案D分析:利用简单几何体的结构特征以及三视图的定义,容易判断圆柱的三视图不可能形状相同,大小均等解答:球的三视图均为圆,且大小均等;正四面体的三视图可以形状都相同,大小均等;正方体的三视图可以是三个大小均等的正方形;圆柱的三视图中必有一个为圆,其他两个为矩形故一个几何体的三视图形状都相同,大小均等,那么这个几何体不可以是圆柱故选D点评:本题主要考查了简单几何体的结构特征,简单几何体的三视图的形状大小,空间想象能力,属基础题3、4、6、7、8、9、10、二、填空题(本大题共5小题,每小题5分,共25分.)11.(]2,1 12.14 (0,0,)913.[7,72]-14.31[,log 5]915.①④⑤三、解答题:(本大题共6小题,共75分.解答应写出文字说明、证明过程或演算步骤.)16.(本小题满分12分).解:(1)由0216,x <+<得(2,14)B =-, ……………………………2分又(,3][6,)A =-∞-⋃+∞,故阴影部分表示的集合为()(,3][14,)R A C B ⋂=-∞-⋃+∞ ; ……………………5分(2)① 21a a ≥+,即1a ≥时,C =∅,成立; ………………………9分② 21a a <+,即1a <时,(2,1)(2,14)C a a =+⊆-,114,22,a a +≤⎧⎨≥-⎩得11a -≤<, ………………………11分综上所述,a 的取值范围为[1,)-+∞. …………………12分17.(本小题满分12分)解:(1)当0b =时,1l :10ax +=,由12l l ⊥知(2)0a -=,…………4分解得2a =;……………6分(2)当3b =时,1l :310ax y ++=,当12//l l 时,有3(2)0,310,a a a --=⎧⎨-≠⎩…………8分解得3a =, …………………9分此时,1l 的方程为:3310x y ++=,2l 的方程为:30x y ++=即3390x y ++=,…………11分则它们之间的距离为229142333d -==+分 18.(本小题满分12分)解:(1)由()f x 为幂函数知2221m m -++=,得 1m =或12m =-……3分 当1m =时,2()f x x =,符合题意;当12m =-时,12()f x x =,不合题意,舍去. ∴2()f x x =. ……………………6分(2)由(1)得22(1)1y x a x =--+,即函数的对称轴为1x a =-, …………8分由题意知22(1)1y x a x =--+在(2,3)上为单调函数,所以12a -≤或13a -≥, ………11分即3a ≤或4a ≥. …………12分19.(本小题满分12分)解:20.(本小题满分13分).解:(1)圆的方程化为 m y x -=-+-5)2()1(22,圆心 C (1,2),半径 m r -=5,则圆心C (1,2)到直线:240l x y +-=的距离为 5121422122=+-⨯+=d ………3分 由于5MN =125MN =,有2221()2r d MN =+, ,)52()51(522+=-∴m 得4=m . …………………………6分(2)假设存在直线02:=+-c y x l ,使得圆上有四点到直线l 的距离为55, ……7分 由于圆心 C (1,2),半径1=r , 则圆心C (1,2)到直线02:=+-c y x l 的距离为 511532122122-<-=++⨯-=c c d , …………10分 解得5254+<<-c . …………13分21.(本小题满分14分)解:(1)因为函数)(x g 为奇函数,所以()()g x g x -=-,即11log 11log 2121---=--+x ax x ax , 即axx x ax --=--+1111,得1±=a ,而当1=a 时不合题意,故1-=a . ……4分 (2)由(1)得:11log )(21-+=x x x g , 下面证明函数11log )(21-+=x x x g 在区间(1,)+∞上单调递增, 证明略. ………6分所以函数11log )(21-+=x x x g 在区间]3,35[上单调递增, 所以函数11log )(21-+=x x x g 在区间]3,35[上的值域为]1,2[--, 所以2)(≤x g ,故函数)(x g 在区间]3,35[上的所有上界构成集合为),2[+∞.……8分(3)由题意知,3)(≤x f 在),0[+∞上恒成立.3)(3≤≤-x f ,x x x a ⎪⎭⎫ ⎝⎛-≤⎪⎭⎫ ⎝⎛≤⎪⎭⎫ ⎝⎛--41221414. xx x xa ⎪⎭⎫ ⎝⎛-⋅≤≤⎪⎭⎫ ⎝⎛-⋅-∴21222124在),0[+∞上恒成立. min max 21222124⎥⎥⎦⎤⎢⎢⎣⎡⎪⎭⎫ ⎝⎛-⋅≤≤⎥⎥⎦⎤⎢⎢⎣⎡⎪⎭⎫ ⎝⎛-⋅-∴x x x x a ……………………10分设t x =2,t t t h 14)(--=,t t t p 12)(-=,由),0[+∞∈x 得1≥t ,设121t t ≤<,21121212()(41)()()0t t t t h t h t t t ---=>, ()()1212121221()()0t t t t p t p t t t -+-=<, 所以)(t h 在),1[+∞上递减,)(t p 在),1[+∞上递增, ………………12分 )(t h 在),1[+∞上的最大值为5)1(-=h ,)(t p 在),1[+∞上的最小值为1)1(=p .所以实数a 的取值范围为]1,5[-. …………………14分。
上海中学2015学年第一学期期末考试高一数学试题(含答案)2016年1月命题人:李海峰 审卷人:马岚一、填空题(每小题3分,共36分) 1.函数()1f x =,则1(3)f -= 16 .2.已知集合{}1,A x =,{}21,B x =且A B =,则x = 0 .3.若集合{}2M x x =<,{}lg(1)N x y x ==-,则MN = )2,1( .4.已知实数,a b 满足222a b +=,则ab 的最大值为 1 .5.函数31()lg1xf x x x-=++的奇偶性为 奇函数 . 6.函数f (x )=22log (2)x x -+的单调递增区间是 ](0,1 .7.若函数f (x )是定义在R 上的偶函数,在]0,(-∞上是减函数,且f (2)=0,则使得f (x )<0 的x 的取值范围是 )2,2(- .8.已知关于x 的方程265x x a -+=有四个不相等的实数根,则a 的取值范围是 )4,0( .9.函数133,0()31,0x x x f x x ⎧⎪+≤=⎨⎪+>⎩,若()2f a >,则实数a 的取值范围是]),0(0,1(+∞⋃- .10.若函数2x by x -=+在(,4)(2)a b b +<-上的值域为(2,)+∞,则b a += 6- . 11.定义全集U 的子集A 的特征函数为1,()0,A U x Af x x A∈⎧=⎨∈⎩,这里U A 表示A 在全集U 中的补集,那么对于集合U B A ⊆、,下列所有正确说法的序号是 (1)(2)(3) .(1))()(x f x f B A B A ≤⇒⊆ (2)()1()U A Af x f x =-(3)()()()ABA B f x f x f x =⋅ (4)()()()A B A B f x f x f x =+12.对任意的120x x <<,若函数1()f x a x x =-的大致图像为如图所示的一条折线(两侧的 射线均平行于x 轴),试写出a 、b 应满足的 条件是 0,0=+>-b a b a . 二、选择题(每小题3分,共12分)13.条件甲:23log 2x =是条件乙:3log 1x =成立的( B )A .充分非必要条件B .必要非充分条件C .充要条件D .既非充分也非必要条件14.若函数)1,0()1()(≠>--=-a a aa k x f xx在R 上既是奇函数,又是减函数,则)(log )(k x x g a +=班级 姓 名 学 号的图像是( A )15.已知0x 是函数1()21x f x x=+-的一个零点.若()()10201,,,x x x x ∈∈+∞,则 (B ) A .()()120,0f x f x << B .()()120,0f x f x <>C .()()120,0f x f x ><D .()()120,0f x f x >>16.设)(x f 是定义在R 上的函数.①若存在R x x ∈21,,21x x <,使)()(21x f x f <成立,则函数)(x f 在R 上单调递增; ②若存在R x x ∈21,,21x x <,使)()(21x f x f ≤成立,则函数)(x f 在R 上不可能单调递减; ③若存在02>x 对于任意R x ∈1都有)()(211x x f x f +<成立,则函数)(x f 在R 上递增; ④对任意R x x ∈21,,21x x <,都有)()(21x f x f ≥成立,则函数)(x f 在R 上单调递减. 则以上真命题的个数为( B ) A.0 B.1 C.2 D.3 三、解答题(10+10+10+10+12=52分)17.设全集U R =,集合1{|||1},{|2}2x A x x a B x x +=-<=≤-. (1)求集合B ; (2)若U A B ⊆,求实数a的取值范围.[12025022(,2)5,)2x x x x B +-≤--∴≥-=-∞⋃+∞分分[){12152,52||1(1,1)2342U U a a Bx a A a a A Ba -≥+≤=-<∴=-+⊆∴≤≤分分分18.已知不等式230x x m -+<的解集为{}1,x x n n R <<∈,函数()24f x x ax =-++.(1)求,m n 的值;(2)若()y f x =在(,1]-∞上递增,解关于x 的不等式()2log 320a nx x m -++-<. 解:(1) 由条件得:131n n m +=⎧⎨⋅=⎩, 所以22m n =⎧⎨=⎩4分(2)因为()24f x x ax =-++在(),1-∞在(),1-∞上递增, 所以12a≥,2a ≥. 2分()()22log 32log 230a a nx x m x x -++-=-+<.所以2223022310x x x x ⎧-<⎪⎨-+>⎪⎩分, 所以⎪⎪⎩⎪⎪⎨⎧<><<211230x x x 或. 所以102x <<或312x <<. 2分 19.设幂函数()(1)(,)kf x a x a R k Q =-∈∈的图像过点2). (1)求,a k 的值;(2)若函数()()21h x f x b =-+-在[0,1]上的最大值为2,求实数b 的值.(1)1122(2)222k a a k -=∴==∴=分分(2)2()f x x =222()21()()1[0,1]h x x bx b h x x b b b x =-++-=--+-+∈max 1)1,(1)22bh h b ≥===分2max 2)01,()122b h h b b b b <<==-+=∴=舍)分max 3)0,(0)1212b h h b b ≤==-=∴=-分综上:212b b ∴==-或分20.有时可用函数0.115ln ,(6)() 4.4,(6)4a x a xf x x x x ⎧+≤⎪⎪-=⎨-⎪>⎪-⎩描述某人学习某学科知识的掌握程度,其中x 表示某学科知识的学习次数(*x N ∈),()f x 表示对该学科知识的掌握程度,正实数a 与学科知识有关. (1)证明:当7x ≥时,掌握程度的增加量(1)()f x f x +-总是单调递减的;(2)根据经验,学科甲、乙、丙对应的a 的取值区间分别为(115,121]、(121,127]、 (127,133].当学习某学科知识6次时,掌握程度是85%,请确定相应的学科.21.对于函数12(),(),()f x f x h x ,如0.050.0.42(3)(4)(3)(4)(3)(4)0.320.115ln0.85,2,66x x x x x x aae a a e a ≥--≥---->∴≥+==--=(1)当x 7时,f(x+1)-f(x)=分而当7时,函数y=单调递增,且 故f(x+1)-f(x)单调递减.当7,掌握程度的增长量f(x+1)-f(x)总是单调递减.分()由题意可知分 整理得解得(](]050.05620.506123.0,21123.0121,127123.0121,133.1e ⋅≈⨯=-∈∈分由此可知,该学科是乙和丙学科。
上海市浦东新区2013-2014学年高一数学上学期期末质量测试试题(含解析)苏教版(答题时间:90分钟 试卷满分:100分)一、填空题(本大题满分36分)本大题共有12题,只要求直接填写结果,每个空格填对得3分,否则一律得零分. 1.函数2)(+=x x f 的定义域是___________.4.设集合},3{2m A =、}12,3,1{-=m B ,若A B ⊂≠,则实数m =___________.【答案】-1 【解析】试题分析:由于A B ⊂≠,则12=m 或122-=m m ,得1±=m ,又由集合元素的互异性可知m =1-.考点:集合的概念和运算.5. 某班共30人,其中有15人喜爱篮球运动,有10人喜爱兵乓球运动,有3人对篮球和兵乓球两种运动都喜爱,则该班对篮球和乒乓球运动都不喜爱的人数有___________.8. 若函数3412++=kx kx y 的定义域为R ,则实数k 可的取值范围是___________.【答案】 【解析】试题分析:由函数3412++=kx kx y 的定义域为R 0342>++⇔kx kx 在R 恒成立,当0=k 时,显然成立;当0≠k 时,⎩⎨⎧<-=∆>0121602k k k 得430<<k ; 综上,∈k 30,4⎡⎫⎪⎢⎣⎭.考点:1.函数的定义域;2.二次函数的性质.9. 函数xx x x f 42)(2+-=(0>x )的值域是___________.11. 已知)(x f y =是定义在R 上的奇函数,当0≥x 时12)(+-=x x x f ,则当0<x 时=)(x f ___________.12. 关于x 的方程0424=+⋅-xx a 在),0[+∞上有两个不同的实数根,则实数a 的取值范围是___________.二、选择题(本大题满分12分)本大题共有4题,每题都给出代号为A 、B 、C 、D 的四个结论,其中有且只有一个结论是正确的,每题答对得3分,否则一律得零分.13. 下列四组函数中,表示为同一函数的是………………………………………………( )A .2(),()f x x g x x ==B .x x f -=2)(与2)(-=x x gC .21(),()11x f x g x x x -==+- D .2()11,()1f x x x g x x =+-=-【答案】A 【解析】试题分析:对于A ,x x x g ==2)((R x ∈),与x x f =)((R x ∈)解析式和定义域均相同故选A ; 对于B ,xx f -=2)((R x ∈),而2)(-=x x g (0≠x )故错;对于C ,)(x f 定义域为{}1|≠x x ,而)(x g 定义域为R 故错;对于D ,)(x f 定义域为{}1|≥x x ,而)(x g 定义域为{}11|-≤≥x x x 或故错;故选A . 考点:函数的性质.14.“20<<x ”是“02<-x x ”的………………………………………………………( )A .充分非必要条件B .必要非充分条件C .充分必要条件D .既非充分又非必要条件三、解答题(本大题满分52分)本大题共有5题,解答下列各题必须写出必要的步骤. 17. (本题满分8分)解不等式组260;|2| 4.x x x ⎧--≥⎨-<⎩【答案】63<≤x . 【解析】试题分析:本题是一到解不等式组的基础题,先求一元二次不等式的解23-≤≥或x ,再求绝对值不等式的解62<<-x ,再求它们的交集.试题解析:解不等式062≥--x x 得 23-≤≥或x …………4分 解不等式42<-x 得 62<<-x …………7分 所以不等式的解为 63<≤x ………… 8分. 考点:不等式得解法.18.(本题满分10分)已知全集R U =,设集合),1[+∞-=A ,集合{}04)4(|2>--+=a x a x x B ,若A B A =I ,求实数a 的取值范围.19. (本题满分10分,第1小题4分,第2小题6分) 已知幂函数322)(--=m mx x f (Z m ∈)在),0(+∞是单调减函数,且为偶函数.(1)求)(x f 的解析式;(2)讨论)()2()()(5x f x a x af x F ⋅-+=的奇偶性,并说明理由. 【答案】(Ⅰ)4()f x x -=;(Ⅱ)详见解析. 【解析】试题分析:(Ⅰ)由幂函数322)(--=m mx x f (Z m ∈)在),0(+∞是单调减函数,且为偶函数可知2230m m --<,得13m -<<,又因为Z m ∈所以1m =;20.(本题满分12分,第1小题3分,第2小题4分,第,3小题5分)心理学家通过研究学生的学习行为发现;学生的接受能力与老师引入概念和描述问题所用的时间相关,教学开始时,学生的兴趣激增,学生的兴趣保持一段较理想的状态,随后学生的注意力开始分散,分析结果和实验表明,用()x f 表示学生掌握和接受概念的能力, x 表示讲授概念的时间(单位:min ),可有以下的关系:()x f ()()()⎪⎩⎪⎨⎧≤<+-≤<≤<++-=.30161073,161059,100436.21.02x x x x x x (1)开讲后第5min 与开讲后第20min 比较,学生的接受能力何时更强一些? (2)开讲后多少min 学生的接受能力最强?能维持多少时间?(3)若一个新数学概念需要55以上(包括55)的接受能力以及13min 时间,那么老师能否在学生一直达到所需接受能力的状态下讲授完这个概念?(3)由10610055436.21.02≤<⇒⎩⎨⎧≤<≥++-x x x x ……9分又由3117163016551073≤<⇒⎩⎨⎧≤<≥+-x x x , ……11分故接受概念的能力在55以上(包括55)的时间为()1331116163117610<=+⎪⎭⎫ ⎝⎛-+-∴老师不能在学生一直达到所需接受能力的的状态下讲授完这个新概念…12分考点:根据实际问题选择函数类型.21. (本题满分12分,第1小题3分,第2小题4分,第3小题5分) 已知0a >,函数()||()f x x x a x R =-∈. (1)当2a =时,画出函数)(x f y =的大致图像;(2)当2a =时,根据图像写出函数)(x f y =的单调减区间,并用定义证明你的结论; (3)试讨论关于x 的方程()1f x a +=解的个数.11109876543Oxy11-1-1【答案】(1)详见解析;(2)详见解析;(3)详见解析.……………3分。
浦东新区2013-2014学年第二学期高一期末考试数学试卷(满分:100分 完成时间:90分钟 )一、填空题(本大题满分36分)本大题共12题,只要求填写结果,每题填对得3分,否则一律得零分.1、函数arcsin(21)y x =-的定义域是_______________2、函数32x y =+的反函数是________________________3、当函数()3sin f x x =取最小值是,x =_____________________4、函数()4log 01a f x x a a =+≠(<,)的图象恒经过定点P ,则点P 的坐标为_________5、已知点P sin ,cos a a ()在第二象限,则α∠的终边在第 象限6、已知7cos ,cos 2252πααπα⎛⎫∈=-= ⎪⎝⎭,,且则_______________ 7、已知函数3log ,01()9,03x x x f x f f x ⎧⎡⎤⎛⎫==⎨ ⎪⎢⎥⎝⎭⎣⎦⎩>,则<_______________ 8、函数22()log (1)f x x =+的值域是___________________9、sin cos 3αα+=已知()0απ∈且,,则sin cos αα-=__________________ 10、如右图,长为3,宽为1的矩形木块,在桌面上做无滑动翻滚,翻滚到第三面后被一块小木块挡住,使木块与桌面成 30角,则点A 走过的路程是_____________11、若关于x 的不等式2log 0c x x -≤在1(0,]2x ∈上恒成立,则实数c 的取值范围是_____________.12、设函数()sin 0y x x π=<<的图像为曲线C ,动点()A ,x y 在曲线C 上,过A 且平行于x 轴的直线交曲线于点B (A B 、可以重合),设线段AB 的长为()f x ,则函数()f x 的单调递增区间为_____________.二、选择题(本大题满分12分)本大题共有4题,每题都给出4个结论,其中有且只有一个结论是正确的,必须把正确结论的代号写在题后的圆括号内,每题选对的3分,否则一律得零分.13、函数sin 2y x =是一个…………………………………………………( )(A )周期为π的奇函数 (B )周期为π的偶函数(C )周期为2π的奇函数 (D )周期为2π的偶函数 14、把函数cos 6y x π⎛⎫=- ⎪⎝⎭向左平移()0m m >个单位,所得的图像关于y 轴对称,则m 的最小值为 ………………………………………………………………( )(A )12π (B )6π (C )3π (D )2π 15、某人要作一个三角形,要求它的三条高的长度分别为11113115,,,此人将( )(A )不能作出满足要求的三角形 (B )作出一个锐角三角形(C )作出一个直角三角形 (D )作出一个钝角三角形16、对于函数210()log 10x f x x x-=-++,有下列结论:()()0;()f f f x ππ-+=①②在定义域内不是单调函数;③若[]6,6x ∈-;则函数最大值为8;值域为R ,上述结论正确的数目为 ()(A )1 (B )2 (C )3 (D )4三、解答题(本大题满分74分)本大题共有5题,解答下列各题必须在答题纸上与题号对应的区域写出必要的步骤.17、已知3cos 5α=-,α是第二象限角,求()sin 2tan παπα⎛⎫- ⎪⎝⎭-的值.18、解方程222log (4)log (1)1log (1)x x x ++-=++.19、在平面直角坐标系,以x 轴正半轴为始边的两个锐角αβ、,它们的终边分别交单位圆于A B 、两点.(1)若A B 、()sin αβ+; (2)若3cos cos sin sin 1,2αβαβ+=+=,求cos()αβ-的值.20、已知函数2()2cos 2xf x a x b ⎛⎫=+ ⎪⎝⎭,(1)当1a =时,求()f x 的最小正周期和单调增区间;(2)当[]0,x π∈时,()f x 的值域是[]34,,求,a b 的值.21、已知在锐角ABC △中,a b c 、、分别为角A B C 、、所对边,且2cos cos c b A a B -=().(1)求角A 的值;(2)若a 则求b c +的取值范围.参考答案。
上海市浦东新区2014-2015学年高一上学期期末考试数学试题(答题时间:90分钟 试卷满分:100分)一、填空题(本大题满分36分)本大题共有12题,只要求直接填写结果,每个空格填对得3分,否则一律得零分.1. 已知集合{1,1,2,4},{1,0,2},A B =-=- 则B A =2.“若11x y >⎧⎨>⎩,则21x y xy +>⎧⎨>”是 (真或假)命题.3.函数y =_____________.4. 命题“若x ≠3且x ≠4,则x 2–7x +12≠0”的逆否命题是 .5.已知()2-=x x x f ,()2-=x x g ,则()()=⋅x g x f.6.若幂函数)(x f 的图像经过点)33,3(,则()f x = . 7.若函数m x f x+⎪⎭⎫⎝⎛=21)(的图像不经过第一象限,则实数m 的取值范围是 .8. ()[]()()==-=a f f a f 则上是奇函数,若在区间设函数,112,2-x y __________.9. 设0>x ,则13++x x 的最小值为 10.已知()x f y =是R 上的偶函数,且()x f 在(]0,∞-上是增函数,若()()2f a f ≥,则a 的取值范围是.11、已知关于x 不等式02>++c bx ax 的解集为{x |1<x <2},则不等式2(21)(21)0c x b x a ++++>的解集为 12.近几年,每年11月初,黄浦江上漂浮在大片的水葫芦,严重影响了黄浦江的水利、水质、航运和市容景观。
为了解决这个环境问题,科研人员进行科研攻关。
下图是科研人员在实验室池塘中观察水葫芦的面积与时间的函数关系图像。
假设其函数关系为指数函数,并给出下列说法:①此指数函数的底数为2;②在第5个月时,水葫芦的面积会超过302m ; ③水葫芦从42m 蔓延到122m 只需1.5个月;④设水葫芦蔓延至22m 、32m 、62m 所需的时间分别为1t 、2t 、3t ,则有123t t t +=; 其中正确的说法有 . (请把正确的说法的序号都填在横线上).二、选择题(本大题满分12分)本大题共有4题,每题都给出代号为A 、B 、C 、D 的四个结论,其中有且只有一个结论是正确的,必须把正确结论的代号写在题后的圆括号内,选对得3分,不选、错选或者选出的代号超过一个(不论代号是否都写在圆括号内),一律得零分.13.若下列命题中正确的是: ( ) (A )若bc ac >,则b a >(B) 若a 2>b 2,则b a >(C )若ba 11>,则b a < (D) 若b a <,则b a <14.设命题甲为“0<x<5”,命题乙为“|x-2|<3”,那么甲是乙的: ( )(A )充分非必要条件; (B )必要非充分条件; (C )充要条件; (D )既非充分又非必要条件15.若集合}{xy y M 2==,}{1-==x y y P ,则P M = ()(A )}{1>y y(B )}{1≥y y (C )}{0>y y(D )}{0≥y y16. 函数xy ⎪⎭⎫⎝⎛=21的图像是 ()三、解答题(本大题满分52分)本大题共有5题,解答下列各题必须写出必要的步骤. 17.(本题满分8分)解不等式组2321680x x x x +⎧≤⎪+⎨⎪-+<⎩【解】18.(本题满分8分)已知函数()1313+-=x x x f ,判断函数()x f 的奇偶性,并说明理由.【解】19.(本题满分10分,第1小题4分,第2小题6分)设集合},04|{2R x x x x A ∈=+=,},01)1(2|{22R x a x a x x B ∈=-+++=, (1)若A ∩B =A ∪B ,求实数a 的值; (2)若A ∩B= B ,求实数a 的取值范围。
20.(本题满分12分,第1小题6分,第2小题6分)将长为12米的钢筋截成12段,做成底面为正方形的长方体水箱骨架,设水箱的高h ,底面边长x ,水箱的表面积(各个面的面积之和)为S 。
(1)将S 表示成x 的函数。
(2)根据实际需要,底面边长不小于0.25,不大于1.25,当底面边长为多少时,这个水箱表面积最小值,并求出最小面积。
【解】21.(本题满分14分,第1小题3分,第2小题6分,第3小题5分)已知函数()af x x b x=++,其中a b 、为实常数。
(1)若方程()31f x x =+有且只有一个实数解2x =,求实数a b 、的值;(2)设0a >,(0,)x ∈+∞,写出()f x 的单调区间,并对单调递增区间用函数单调性定义进行证明;(3)若对任意1[,2]2a ∈,不等式()10f x ≤在1[,1]4x ∈上恒成立,求实数b 的取值范围。
【解】答案及评分细则一、填空题(本大题共有12题,满分36分。
每个空格填对得3分,等价即得分.) 1.}4,2,1,0,1{-; 2.真; 3.[)(]2,11,2-; 4.若x 2–7x +12=0,则 x=3或x=4 ;5.x x 22- ()2≥x ; 6.21; 7.1-≤m ; 8.-11 ; 9.132-;10. []2,2- ; 11.1(,0)4-; 12. ①②④ 二、选择题 (本大题共有4题,每小题3分,本大题满分12分) 13. D ; 14. A ; 15.C ; 16.B三、解答题(其他解法相应得分) 17.(本题8分)解: 由213≤++x x 得:011≥+-x x ,∴1x 1≥-<或x …………………3分 由2680x x -+<得:24x << …………………………… 6分 ∴不等式组得解集为()2,4……………………………………… 8分18.(本题8分)解:奇函数 ……………………………………………………………………2分Rx ∈任意 ,()()()()()()()11313113331133113133xx x x x x x x x xf x f x -------=====-++++3分4分5分6分7分 ⇒ ()x f 为奇函数. (8分)19.(本题10分,4+6)解:(1) A={x|x 2+4x =0,x ∈R}={0,-4}…………………………………………1分 若A ∩B =A ∪B ,则B A = …………………………………………2分()22101116811017a a a a a a a ⎧-===-⎧⎪⇒⎨⎨-++-===⎪⎩⎩或或 ……………………………3分 ∴1=a ……………………………………………………………………………4分 (2)若A ∩B= B ,则 B ⊆A∴ B=∅或{0}或{-4}或{0,-4};…………………………………………………5分 ①当B=∅时,⊿=[2(a+1)]2-4•(a 2-1)<0⇒ a< -1……………………………6分 ②当B={0}时,202(1)01a a =-+⎧⎨=-⎩ ⇒ a=-1 … …………………………7分③当B={-4}时,2442(1)161a a --=-+⎧⎨=-⎩⇒ a 不存在… …………………………8分 ④当B={0,-4}时,2402(1)01a a -+=-+⎧⎨=-⎩⇒ a=1 …………………………9分∴ a 的取值范围为}1{]1,( --∞。
…………………………10分20.(本题12分,6+6)解:(1)由题得1248=+h x ……………………………………………………2分水箱的表面积224x xh S +=……………………………………………4分∴()22812x x x S +-==x x 1262+-(5分)30,2x ⎛⎫∈ ⎪⎝⎭…………6分(2) S =()6162+--x (8分) []0.25,1.25x ∈……………………9分 ∴当 210.25=8x S =小时,………………………………………………11分 ∴当水箱的高与底面边长都为0.25米时,这个水箱的表面积最小,为218平方米…12分21.(本题14分,3+6+5)解:(1)由()31f x x =+得31ax b x x++=+,即22(1)0x b x a +--=, ………1分 21020(1)80a b b a --=⎧⎪⎨-+=⎪⎩, 89a b =-⎧⎨=⎩。
…………………………………………3分 (2)()f x在(0,上是单调递减函数,在)+∞上是单调递增函数。
证明:设12,(0,)x x ∈+∞,且12x x <,()()1212121212()(1)a a a f x f x x x x x x x x x -=+--=--,120x x -<,………………5分当12,(0,x x ∈时,1210ax x -<,()()12f x f x >,()f x在(0上递减;……7分当12,)x x ∈+∞时,1210ax x ->,()()12f x f x <,()f x在)+∞上递增;…9分 (3)∵()f x 在1[,1]4上的最大值为1()4f 与(1)f 中的较大者,…………………11分1[,2]2a ∈,不等式()10f x ≤在1[,1]4x ∈上恒成立,∴1()104(1)10f f ⎧≤⎪⎨⎪≤⎩,……………13分 39449b a b a⎧≤-⎪⎨⎪≤-⎩,74b ≤,即7(,]4b ∈-∞。
……………………………………………14分。