数学分析选讲第二次作业大题
- 格式:doc
- 大小:83.00 KB
- 文档页数:3
0088数学分析选讲。
答案。
XXX课程考试试题卷XXX课程考试试题卷学期:2020年春季课程名称【编号】:数学分析选讲【0088】A卷考试类别:大作业满分:100分二、选择题(每小题5分,共30分)一、判断下列命题的正误(每小题2分,共16分)1.函数f(x)=3sinx-2cosx既不是奇函数,也不是偶函数。
(√)2.在[a,b]上,若函数f(x)有无限多个间断点,则f(x)在[a,b]上一定不可积。
(×)3.若数列{an}收敛,则数列{an}也收敛。
(√)4.设f可导,则df(cos2x)=2f'(cos2x)sinxdx。
(D)5.∫[-1,2]x^5-x^4+5x^3+1dx=(2/3)。
(A)6.∫xe^(-x)dx=-xe^(-x)+e^(-x)+C。
(C)7.若f(x)在x处可导,则f(x)在x处的左导数与右导数都存在。
(×)三、计算题(每小题9分,共45分)1.求极限lim(x->∞)(x+1)/(x-2)=1.(答案:1)2.设f(x)=x^2+2-ln(x+x^2+2),则f'(x)=2x/(x^2+2)-1/(x+x^2+2)。
(答案:2x/(x^2+2)-1/(x+x^2+2))3.求函数y=x^5-5x^4+5x^3+1在区间[-1,2]上的最大值与最小值。
(答案:最大值为17,最小值为-1)4.求不定积分∫arctanxdx=xarctanx-ln|1+x^2|/2+C。
(答案: xarctanx-ln|1+x^2|/2+C)5.求定积分∫(x+1)exdx。
(答案: ∫(x+1)exdx=ex(x-1)+C)四、证明题(9分)证明:若函数f(x),g(x)在区间[a,b]上可导,且f'(x)>g'(x),f(a)=g(a),则在(a,b]内有f(x)>g(x)。
(证明略)。
数学分析(2)期末试题课程名称 数学分析(Ⅱ) 适 用 时 间 试卷类别 1 适用专业、年级、班 应用、信息专业一、单项选择题(每小题3分,3×6=18分)1、 下列级数中条件收敛的是( ).A .1(1)nn ∞=-∑ B . 1nn ∞= C .21(1)nn n∞=-∑ D . 11(1)nn n ∞=+∑2、 若f 是(,)-∞+∞内以2π为周期的按段光滑的函数, 则f 的傅里叶(Fourier )级数在它的间断点x 处 ( ).A .收敛于()f xB .收敛于1((0)(0))2f x f x -++ C . 发散 D .可能收敛也可能发散3、函数)(x f 在],[b a 上可积的必要条件是( ).A .有界B .连续C .单调D .存在原函数4、设()f x 的一个原函数为ln x ,则()f x '=( )A .1x B .ln x x C . 21x- D . x e 5、已知反常积分20 (0)1dxk kx +∞>+⎰收敛于1,则k =( )A . 2πB .22πC . 2D . 24π6、231ln (ln )(ln )(1)(ln )n nx x x x --+-+-+ 收敛,则( )A . x e <B .x e >C . x 为任意实数D . 1e x e -<<二、填空题(每小题3分,3×6=18分)1、已知幂级数1nn n a x∞=∑在2x =处条件收敛,则它的收敛半径为 .2、若数项级数1n n u ∞=∑的第n 个部分和21n nS n =+,则其通项n u = ,和S = . 3、曲线1y x=与直线1x =,2x =及x 轴所围成的曲边梯形面积为 . 4、已知由定积分的换元积分法可得,1()()bxxaef e dx f x dx =⎰⎰,则a = ,b = .5、数集(1)1, 2 , 3, 1nn n n ⎧⎫-=⎨⎬+⎩⎭的聚点为 . 6、函数2()x f x e =的麦克劳林(Maclaurin )展开式为 .65三、计算题(每小题6分,6×5=30分) 1、(1)dx x x +⎰. 2、2ln x x dx ⎰. 3、 0 (0)dx a >⎰. 4、 2 0cos limsin xx t dt x→⎰.5、dx ⎰.四、解答题(第1小题6分,第2、3 小题各8分,共22分)1、讨论函数项级数21sin n nxn ∞=∑在区间(,)-∞+∞上的一致收敛性. 2、求幂级数1nn x n ∞=∑的收敛域以及收敛区间内的和函数.3、设()f x x =, 将f 在(,)ππ-上展为傅里叶(Fourier )级数.五、证明题(每小题6分,6×2=12分)1、已知级数1nn a∞=∑与1nn c∞=∑都收敛,且, 1, 2, 3 n n n a b c n ≤≤= ,证明:级数1nn b∞=∑也收敛.2、证明:22 0sin cos nn x dx x dx ππ=⎰⎰.66试题参考答案与评分标准课程名称 数学分析(Ⅱ) 适 用 时 间 试卷类别 1 适用专业、年级、班 应用、信息专业一、 单项选择题(每小题3分,3×6=18分)⒈ B ⒉ B ⒊ A ⒋ C ⒌ D ⒍ D二、 填空题(每小题3分,3×6=18分)⒈ 2 ⒉ 2, =2(1)n u S n n =+ ⒊ ln 2⒋ 1, a b e == ⒌ 1± ⒍ 201, (,)!nn x x n ∞=∈-∞+∞∑三、 计算题(每小题6分,6×5=30分)1. 解111(1)1x x x x=-++ 1(1)dx x x ∴+⎰ (3分)11()1dx x x =-+⎰ln ln 1.x x C =-++ (3分)2. 解 由分部积分公式得231ln ln 3x xdx xdx =⎰⎰ 3311ln ln 33x x x d x =-⎰ (3分) 33111ln 33x x x dx x =-⋅⎰ 3211ln 33x x x dx =-⎰ 3311ln 39x x x C =-+ (3分) 3. 解 令sin , [0, ]2x a t t π=∈ 由定积分的换元积分公式,得⎰2220cos a tdt π=⎰ (3分)6768220(1cos 2)2a t dt π=+⎰221(sin 2)22a t t π=+2.4a π=(3分)4. 解 由洛必达(L 'Hospital)法则得200cos limsin xx tdtx →⎰20cos limcos x xx →= (4分) 0lim cos x x →=1= (2分)5. 解= (2分)20 sin cos x xdx π=-⎰4204(cos sin ) (sin cos )x x dx x x dx πππ=-+-⎰⎰ (2分)244(sin cos )(sin cos )x x x x πππ=+-+2.= (2分)四、 解答题(第1小题6分,第2、3小题各8分,共22分)1. 解 (, ), x n ∀∈-∞∞∀+(正整数)22sin 1nx n n ≤ (3分) 而级数211n n ∞=∑收敛,故由M 判别法知,21sin n nxn ∞=∑在区间(,)-∞+∞上一致收敛. (3分)2. 解 幂级数1nn x n∞=∑的收敛半径1R ==,收敛区间为(1,1)-. (2分)易知1nn x n∞=∑在1x =-处收敛,而在1x =发散,故1nn x n∞=∑的收敛域为[1,1)-. (2分) 01, (1, 1)1n n x x x ∞==∈--∑ (2分)逐项求积分可得0001, (1,1)1xx nn dt t dt x t ∞==∈--∑⎰⎰. 即101ln(1), (1,1).1n nn n x x x x n n+∞∞==--==∈-+∑∑ (2分) 3. 解 函数f 及其周期延拓后的图形如下函数f 显然是按段光滑的,故由收敛性定理知它可以展开为Fourier 级数。
福师11春学期《数学分析选讲》在线作业二福师11春学期《数学分析选讲》在线作业二一,判断题1. 在换元积分法中,将反映了正、逆两种换元方式,习惯上分别称为第二换元积分法和第一换元积分法A. 错误B. 正确正确答案:A2. 有界性既是数列的必要条件又是充分条件A. 错误B. 正确正确答案:A3. 开区间与闭区间统称为有限区间A. 错误B. 正确正确答案:A4. 我们将以导数为工具研究不定式极限的方法统称为洛必达法则A. 错误B. 正确正确答案:B5. 数a的绝对值就是a到原点的距离A. 错误B. 正确正确答案:B6. 函数y=f(x)中,x为因变量A. 错误B. 正确正确答案:A7. 无穷小量与有界量的乘积为无穷小量A. 错误B. 正确正确答案:B8. 若S既无上界又无下界,则S称为有界集A. 错误B. 正确正确答案:A9. 函数1/x,当x趋向于无穷时,极限为0A. 错误B. 正确正确答案:B10. 增函数和减函数统称为单调函数A. 错误B. 正确正确答案:B11. 定积分概念产生的背景就是对很多数学问题进行“分割,近似求和”,进而将其解决A. 错误正确答案:A12. 对于同号级数,只须研究各项都是由正数组成的级数称为正项级数A. 错误B. 正确正确答案:B13. 若函数f在区间I上的某些点连续,则称f为I上的连续函数A. 错误B. 正确正确答案:A14. f(x)=1/x,为(0,1]上的有界函数A. 错误B. 正确正确答案:A15. 若函数f在闭区间[a,b]上连续,则f在[a,b]上有界.A. 错误B. 正确正确答案:B16. 函数f与其逆函数互为反函数A. 错误B. 正确正确答案:B17. 有限区间与无限区间统称为区间B. 正确正确答案:B18. 复合函数y=f(g(x))中,f为内函数A. 错误B. 正确正确答案:A19. y=cos(x)为周期函数A. 错误B. 正确正确答案:B20. 两个无穷小量或两个无穷大量之比的极限统称为不定式极限A. 错误B. 正确正确答案:B21. 可去间断点和跳跃间断点统称为第二类间断点A. 错误B. 正确正确答案:A22. 任何初等函数都是在其定义区间的连续函数A. 错误B. 正确正确答案:B23. 由基本初等函数经过有限次四则运算与复合运算所得到的函数称为初等函数A. 错误B. 正确正确答案:B24. 上确界与下确界统称为确界A. 错误B. 正确正确答案:B25. 数列本身以及数列去掉有限项后得到的子列称为平凡子列A. 错误B. 正确正确答案:B26. 二阶导数以上的导数称为高阶导数A. 错误B. 正确正确答案:A27. 函数的表示法有两种,即公式法和列表法A. 错误B. 正确正确答案:A28. 最大值点和最小值点统称为极值点A.错误B. 正确正确答案:A29. 柯西收敛准则反映的事实是收敛数列各项的值愈到后面,彼此愈是接近A. 错误B. 正确正确答案:B30. 若函数f在x可导,则f在x连续A. 错误B. 正确正确答案:B31. 右导数与左导数统称单侧导数A. 错误B. 正确正确答案:B32. 若函数极限存在,则其极限具有唯一性A. 错误B. 正确正确答案:B33. 有理数和无理数统称为实数A. 错误B. 正确正确答案:B34. y=tan(x)为偶函数A. 错误B. 正确正确答案:A35. 指数函数形式为y=sinxA. 错误B. 正确正确答案:A36. 在实数系中,有界的单调数列必有极限A. 错误B. 正确正确答案:B37. 导数也叫微商A. 错误B. 正确正确答案:B38. 若数项级数各项的符号都相同,则称它为同号级数A. 错误B. 正确正确答案:B39. 用一系列小矩形面积来近似小曲边梯形面积的结果,这个近似的方法称为矩形法A. 错误B. 正确正确答案:B40. 由曲率园的定义可以知道,曲线在点P与曲率圆既有相同的切线,又有相同的曲率和凸性B. 正确正确答案:B41. 要判断一个函数是否可积,必须研究可积分条件A. 错误B. 正确正确答案:B42. 若数列没有极限,则称其为收敛数列A. 错误B. 正确正确答案:A43. 若数列收敛,则它只有一个极限A. 错误B. 正确正确答案:B44. 常函数的导数为1A. 错误B. 正确正确答案:A45. 有理函数是指有两个多项式函数的积所表示的函数A. 错误B. 正确正确答案:A46. 若数列的极限为0,则称其为无穷小数列B. 正确正确答案:B47. 任一非空数集必有上,下确界A. 错误B. 正确正确答案:B48. 我们称收敛而不绝对收敛者为条件收敛A. 错误B. 正确正确答案:B49. 若函数f在闭区间连续,则f在此闭区间上有最大值A. 错误B. 正确正确答案:B50. 积分中值定理即积分第一中值定理A. 错误B. 正确正确答案:B。
福师1203考试批次《数学分析选讲》复习题及参考答案本课程复习题所提供的答案仅供学员在复习过程中参考之用,有问题请到课程论坛提问。
本复习题页码标注所用教材为:教材名称 单价 作者版本 出版社 数学分析41华东师范大学数学系第三版高等教育出版社如学员使用其他版本教材,请参考相关知识点福师1203考试批次《数学分析选讲》复习题及参考答案一一、(12分)选择题(将符合要求的结论题号,填在题末的括号内,每题至多选两个题号): 1. 与lim n n x a →∞=的定义等价的是:( )A 、0,ε∀> 总有n x a ε-<;B 、0,ε∀> 至多只有{}n x 的有限项落在(,)a a εε-+之外;C 、存在自然数N ,对0,ε∀>当n N >,有n x a ε-<;D 、0(01),εε∀><<存在自然数N ,对,n N ∀>有n x a ε-<; 答案:B,D2.下列命题中正确的是:( )A 、若函数()f x 在[,]a b 内无界,则()f x 在[,]a b 上不可积;B 、若函数()f x 在[,]a b 上不连续,则()f x 在[,]a b 上不可积;C 、若函数()f x 在[,]a b 上可积,则[()]()xaf t dt f x '=⎰;D 、若函数()f x 在[,]a b 上可积,则()f x 在[,]a b 上也可积,反之不然. 答案:AD3.函数()f x 在[a,b]上可积的必要条件是( )A 、有界B 、连续C 、单调D 、存在原函数 答案:A二、填空题:(共10分,每题2分)1.设21(1)nn x∞=-∑收敛,则lim n n x →∞= 。
考核知识点:级数的收敛性。
参见教材(下册)P1-5 提示:利用P3页的推论进行计算。
2.(,)limx y →= 。
考核知识点:二元函数的极限。
参见教材(下册)P93-96.提示:)(,)(,)(0,0)(,)(0,0)1limlimlim1x y x y x y xy→→→==3.设3()sin F x x '=,则()F x = 。
(0088)《数学分析选讲》网上作业题答案1:第一次作业2:第二次作业3:第三次作业4:第四次作业5:第五次作业1:[判断题]两个无穷小量的和一定是无穷小量参考答案:正确1、应注意写出要点;2、注意检查语法和拼写错误;3、文理通顺,中心突出。
2:[判断题]两个无穷大量的和一定是无穷大量参考答案:错误1、应注意写出要点;2、注意检查语法和拼写错误;3、文理通顺,中心突出。
3:[单选题]设f,g在(-a,a)上都是奇函数,则g(f(x))与f(g(x))A:都是奇函数B:都是偶函数C:一是奇函数,一是偶函数D:都是非奇、非偶函数参考答案:A社会实践是检验认识是否具有真理性的唯一标准,这是由真理的本性和实践的特点所决定的。
第一,真理的本性是主观同客观相符合。
要判明认识是否具有真理性的标准,只能通过一种能够把主观同客观联系、沟通起来的桥梁,这就是人们的社会实践,舍此别无它路。
它成为“实践是检验真理的唯一标准”的内在根据。
第二,实践的过程是一个主体能动地使自己的目的物化或对象化的过程,因而它具有直接现实性。
因此实践可以使主观与客观相对照,从而直接检验出主观认识是否与客观相符合以及符合的程度。
4:[判断题]闭区间上的连续函数是一致连续的参考答案:正确1、应注意写出要点;2、注意检查语法和拼写错误;3、文理通顺,中心突出。
5:[单选题]设数列{An}收敛,数列{Bn}发散,则数列{AnBn}A:收敛B:发散C:是无穷大D:可能收敛也可能发散参考答案:D马克思主义认为,劳动创造了人本身,同时也就创造了人类社会。
因此,只有实践,才是社会生活的真正本质。
说实践是社会的本质,主要理由是:首先,实践是社会关系的发祥地。
其次,实践构成了社会生活的基本领域。
最后,实践构成了社会发展的动力。
6:[判断题]最大值若存在必是上确界参考答案:正确1、应注意写出要点;2、注意检查语法和拼写错误;3、文理通顺,中心突出。
7:[判断题]若f,g在区间I上一致连续,则fg在I上也一致连续。
2013年春西南大学《数学分析选讲》1、2、3次客观题答案(已整理)第一次作业客观题【判断题】狄利克雷函数D(x)是有最小正周期的周期函数错【选择题】设数列{An}收敛,数列{Bn}发散,则数列{AnBn} D【判断题】收敛数列必有界对【判断题】两个(相同类型的)无穷小量的和一定是无穷小量对【判断题】若函数在某点无定义,则在该点的极限不存在错【选择题】设 f,g 为区间 (a,b)上的递增函数,则 min{f(x),g(x)}是(a,b) 上的A【选择题】设f在[a,b]上无界,且f(x)不等于0,则1/f(x)在[a,b]上D【判断题】闭区间上的连续函数是一致连续的对【判断题】两个收敛数列的和不一定收敛错【判断题】有上界的非空数集必有上确界对【判断题】两个无穷小量的商一定是无穷小量错【选择题】若函数f在(a,b)的任一闭区间上连续,则f B【选择题】一个数列{An}的任一子列都收敛是数列{An}收敛的C【判断题】若f,g在区间I上一致连续,则fg在I上也一致连续。
错【判断题】区间上的连续函数必有最大值错【判断题】两个收敛数列的商不一定收敛对【选择题】设函数f(x)在(a-c,a+c)上单调,则f(x)在a处的左、右极限B【选择题】定义域为[a,b],值域为(-1,1)的连续函数B【选择题】y=f(x)在c处可导是y=f(x)在点(c,f(c))处存在切线的A【判断题】最大值若存在必是上确界对【选择题】设f,g在(-a,a)上都是奇函数,则g(f(x))与f(g(x)) A【判断题】两个无穷大量的和一定是无穷大量错【选择题】函数f在c处存在左、右导数,则f在c点B【判断题】若函数在某点可导,则在该点连续对【判断题】若f(x)在[a,b]上有定义,且f(a)f(b)<0,则在(a,b)内至少存在一点c,使得f(c)=0 错第二次作业客观题【判断题】若f在区间I上连续,则f在I上存在原函数。
对【判断题】不存在仅在一点可导,而在该点的任一空心邻域内皆无连续点的函数。
西南大学培训与继续教育学院课程考试试题卷学期:2020年春季课程名称【编号】: 数学分析选讲【0088】 A 卷考试类别:大作业 满分:100 分一、 判断下列命题的正误(每小题2分,共16分)1. 函数()3sin 2cos f x x x =- 既不是奇函数,也不是偶函数. ( √ ) 2.有界的非空数集必有上确界. ( × ) 3.若数列{}n a 收敛,则数列{}n a 也收敛. ( × ) 4.若数列}{n x 收敛,数列}{n y 发散,则数列{}n n x y +发散. ( √ ) 5.任一实系数奇次方程至少有一个实根. ( √ ) 6.若()f x 在0x 处连续,则()f x 在0x 处一定可导. ( × ) 7.若()f x 在0x 处可导,则()f x 在0x 处的左导数与右导数都存在. ( × ) 8.若函数()f x 在[,]a b 上有无限多个间断点,则()f x 在[,]a b 上一定不可积. ( × )二、选择题(每小题 5分,共30分)1.设21,1()3,1x x f x x x -≤⎧=⎨->⎩, 则 (1)f =( C ) .A 1- ;B 0 ;C 1 ;D 2 2.设()f x 在[,]a b 上无界,且()f x 不等于0,则1()f x 在[,]a b 上 ( B ) A 无界 ; B 有界;C 有上界或有下界 ;D 可能有界,也可能无界 3.定义域为[,]a b ,值域为(1,1)-的连续函数( C )A 存在;B 可能存在;C 不存在;D 存在且唯一4.设f 可导,则 2(cos )d f x = ( B )A 2(cos )f x dx '; B 2(cos )sin 2f x x dx '-; C 22(cos )cos f x xdx '; D 22(cos )sin f x xdx '5.15411x x dx --=⎰( A )A 0 ;B 1- ;C 1 ;D 2 6.2x xe dx +∞-=⎰( C )A 1 ;B 12 ;C 0 ;D 12-三、计算题(每小题9分,共45分)1.求极限11lim 2x x x x +→∞+⎛⎫⎪-⎝⎭.2.设22()2ln(2)f x x x x =+-++,求()f x '.3.求函数543551y x x x =-++在区间[1,2]-上的最大值与最小值.4.求不定积分arctan x dx⎰.5.求定积分⎰10dx e x. `四、证明题(9分)证明:若函数(),()f x g x 在区间[,]a b 上可导,且()(),()()f x g x f a g a ''>=,则在(,]a b 内有()()f x g x >.答:证明:设辅助函数F (x )=f (x )-g(x ),则F (x )在区间[a ,b ]上可导,且F ¢(x )=f ¢(x )-g(x )>0,故F (x )在区间[a ,b ]上是增函数,因此,当x Î(a ,b )时,F (x )>F (a ),而F (a )=f (a )-g (a )=0,即F (x )>0,f (x )-g (x )>0,∴ f (x )>g (x )。
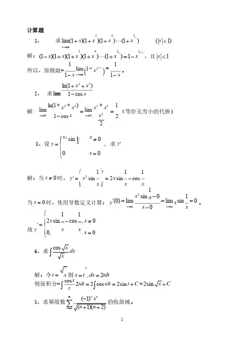
计算题1、 求求242lim(1)(1)(1)(1)(1)nn x x x x x ®¥++++< 解:12422(1)(1)(1)(1)(1)1nn x x x x x x+-++++=- ,且1x <所以,原极限所以,原极限==()1211lim 111n x x x x+®¥-=--。
2、 求250ln(1)lim 1cos x x x x ®++- 解: 2525200ln(1)1limlim 1cos 22x x x x x xx x®®+++==-(等价无穷小的代换)(等价无穷小的代换) 3 3、设、设21sin 000x x x y x ì¹ï=íï=î , , 求求y ¢解:当0x ¹时,2111sin 2sin cos y x x x x x ¢æö¢==-ç÷èø 当0x =时,使用导数定义计算:201sin 01(0)limlim sin00x x x x y x x x®®-¢===-。
故112sin cos ,00, 0x x y x x x ì-¹ï¢=íï=î 4、求cos x dx xò解:令t x =则2,2x t dx tdt ==则原积分则原积分==cos 22cos 2sin ttdt tdt t C t ==+òò=2sin x C + 5、求幂级数0(1)(1)(2)n nn xn n ¥=-++å的收敛域。
的收敛域。
解:解由0(1)(1)(2)n n n x n n ¥=-++å知(1)(1)(2)nn a n n -=++,则1(1)(2)lim lim 1(2)(3)n n n n n n a a n n r +®¥®¥++==-=++, 收敛半径11R r==,又1R =时级数0(1)(1)(2)nn n n ¥=-++å是交错级数,收敛。
数学分析选讲复习资料参考答案一、选择题(将符合要求的结论题号,填在题末的括号内,每题至多选两个题号):1、下列命题中,正确的是:A 、若()f x 在点0x 连续,则()f x 在0x 连续;B 、若 ()f x 在(,)a b 上连续;则对0,()f x ε∀>在[,]a b εε+-上连续;C 、若()f x 是初等函数,其定义域为(,)a b ,则()f x 在(,)a b 有界;D 、函数()y f x =在0x 点连续的充要条件是()f x 在0x 点的左、右极限存在. 答:( B ) 2、当0x x →时,()f x 以B 为极限,则A 、0,0,εδ∀>∀>存在x 满足00,x x δ<-<有()f xB ε-<; B 、0,0,εδ∀>∃>00x x δ<-<当时,有()f x B ε-<;C 、存在00{},(1,2),()n n n x x x n x x n ≠=→→∞L ,使{()}n f x 不以B 为极限;D 、0x x →时,()f x 的极限存在. 答:( B D )3、设函数()f x 在[,]a b 上连续,则在[,]a b 上有A 、()()ba d f x dx f x dx =⎰; B 、()()xad f t dt f x dx =⎰;C 、;()f x 在[,]a b 上单调;D 、()f x 在[,]a b 上未必有最大值. 答:( B ) 4、设级数n u ∑收敛,则A 、0,N ∃> 当n m N >>时,11/2m m n u u u ++++<L .B 、{}1n n u =∞有界;C 、绝对收敛;D 、 lim n n u →∞未必存在答:( AB ) 5、若数列{}1n n a =∞满足lim nn a a →∞=,则下列说法正确的是( B )A 、0,ε∀> 0,N ∀>当n N >时,都有n a a ε-<。
2013年春 西南大学《数学分析选讲》作业及答案(共5次,已整理) 第一次作业 【主观题】 【论述题】一、判断下列命题的正误1. 设S 为非空数集。
若S 有上界,则S 必有上确界;若S 有下界,则S 必有下确 (正确)2. 收敛数列必有界. (正确)3. 设数列{}n a 与{}n b 都发散,则数列{}n n a b +一定发散.(错误)4.若S 为无上界的数集,则S 中存在一递增数列趋于正无穷. (正确) 5.若一数列收敛,则该数列的任何子列都收敛. (正确)二、选择题1.设2,1()3,1x x f x x x -≤⎧=⎨->⎩, 则 [(1)]f f =( A ) .A 3- ;B 1- ;C 0 ;D 2 2.“对任意给定的)1,0(∈ε,总存在正整数N ,当N n ≥时,恒有2||2n x a ε-≤”是数列}{n x 收敛于a 的( A ).A 充分必要条件;B 充分条件但非必要条件;C 必要条件但非充分条件;D 既非充分又非必要条件 3.若数列}{n x 有极限a ,则在a 的(0)ε>邻域之外,数列中的点( B ) A 必不存在 ; B 至多只有有限多个;C 必定有无穷多个 ;D 可以有有限个,也可以有无限多个 4.数列}{n x 收敛,数列}{n y 发散,则数列{}n n x y + ( D ). A 收敛; B 发散; C 是无穷大; D 可能收敛也可能发散5.设a x n n =∞→||lim ,则 ( C )A 数列}{n x 收敛;B a x n n =∞→lim ;C 数列}{n x 可能收敛,也可能发散;D a x n n -=∞→lim ;6.若函数)(x f 在点0x 极限存在,则( C ) A )(x f 在0x 的函数值必存在且等于极限值;B )(x f 在0x 的函数值必存在,但不一定等于极限值;C )(x f 在0x 的函数值可以不存在;D 如果)(0x f 存在的话必等于函数值7.下列极限正确的是( D )A 01lim sin 1x x x →=;B sin lim1x x x →∞=; C 1lim sin 0x x x →∞=; D 01lim sin 1x x x →= 8. 1121lim21xx x→-=+( D )A 0;B 1 ;C 1- ;D 不存在三、计算题1.求极限 902070)15()58()63(lim --++∞→x x x x . 解: 902070902070902070583155863lim )15()58()63(lim⋅=⎪⎭⎫ ⎝⎛-⎪⎭⎫ ⎝⎛-⎪⎭⎫ ⎝⎛+=--++∞→+∞→x x x x x x x x 2.求极限 211lim()2x x x x +→∞+-. 解:211lim()2x x x x +→∞+=-21111lim 2211xx x x x x →∞⎛⎫⎛⎫++ ⎪ ⎪⋅= ⎪ ⎪ ⎪ ⎪--⎝⎭⎝⎭211lim 21xx x x →∞⎛⎫+ ⎪= ⎪ ⎪-⎝⎭2(4)21[(1)]lim 2[(1)]x x x x x→∞--+- 264e e e-==. 3. 求极限 1111lim(1)23n n n→∞++++ 解:由于111111(1)23nnn n≤++++≤ 又1n =, 由迫敛性定理1111lim(1)123n n n→∞++++= 4.考察函数),(,lim )(+∞-∞∈+-=--∞→x n n n n x f xxxx n 的连续性.若有间断点指出其类型.解: 当0x <时,有221()lim lim 11x x x xx x n n n n n f x n n n --→∞→∞--===-++;同理当0x >时,有()1f x =.而(0)0f =,所以1,0()sgn 0,01,0x f x x x x -<⎧⎪===⎨⎪>⎩。
一. 判断题(每小题3分,共21分)(正确者后面括号内打对勾,否则打叉) 1.若()x f 在[]b a ,连续,则()x f 在[]b a ,上的不定积分()⎰dx x f 可表为()C dt t f xa+⎰( ).2.若()()x g x f ,为连续函数,则()()()[]()[]⎰⎰⎰⋅=dx x g dx x f dx x g x f ( ).3. 若()⎰+∞adx x f 绝对收敛,()⎰+∞adx x g 条件收敛,则()()⎰+∞-adx x g x f ][必然条件收敛( ). 4. 若()⎰+∞1dx x f 收敛,则必有级数()∑∞=1n n f 收敛( )5. 若{}n f 与{}n g 均在区间I 上内闭一致收敛,则{}n n g f +也在区间I 上内闭一致收敛( ).6. 若数项级数∑∞=1n n a 条件收敛,则一定可以经过适当的重排使其发散于正无穷大( ).7. 任何幂级数在其收敛区间上存在任意阶导数,并且逐项求导后得到的新幂级数收敛半径与收敛域与原幂级数相同( ). 二. 单项选择题(每小题3分,共15分)1.若()x f 在[]b a ,上可积,则下限函数()⎰ax dx x f 在[]b a ,上( )A.不连续B. 连续C.可微D.不能确定2. 若()x g 在[]b a ,上可积,而()x f 在[]b a ,上仅有有限个点处与()x g 不相等,则( )A. ()x f 在[]b a ,上一定不可积;B. ()x f 在[]b a ,上一定可积,但是()()⎰⎰≠babadx x g dx x f ;C. ()x f 在[]b a ,上一定可积,并且()()⎰⎰=bab adx x g dx x f ;D. ()x f 在[]b a ,上的可积性不能确定.3.级数()∑∞=--+12111n n n nA.发散B.绝对收敛C.条件收敛D. 不确定4.设∑n u 为任一项级数,则下列说法正确的是( ) A.若0lim =∞→n n u ,则级数∑nu 一定收敛;B. 若1lim1<=+∞→ρnn n u u ,则级数∑n u 一定收敛;C. 若1,1<>∃+n n u uN n N ,时有当,则级数∑n u 一定收敛;D. 若1,1>>∃+n n u uN n N ,时有当,则级数∑n u 一定发散;5.关于幂级数∑n n x a 的说法正确的是( ) A. ∑nnxa 在收敛区间上各点是绝对收敛的; B. ∑nnxa 在收敛域上各点是绝对收敛的;C. ∑nn xa 的和函数在收敛域上各点存在各阶导数; D.∑nnxa 在收敛域上是绝对并且一致收敛的;三.计算与求值(每小题5分,共10分)1. ()()()n n n n n n n +++∞→Λ211lim2. ()⎰dx x x 2cos sin ln四. 判断敛散性(每小题5分,共15分)1.dx xx x ⎰∞+++-021132.∑∞=1!n nnn3.()nnn nn21211+-∑∞=五. 判别在数集D 上的一致收敛性(每小题5分,共10分)1.()()+∞∞-===,,2,1,sin D n nnxx f n Λ2. (][)∞+⋃-∞-=∑,22,2D xn n六.已知一圆柱体的的半径为R,经过圆柱下底圆直径线并保持与底圆面030角向斜上方切割,求从圆柱体上切下的这块立体的体积。
《数学分析选讲》 第二次主观题 作业一、判断下列命题的正误1. 若函数在某点无定义,则在该点的极限可能存在.2. 若)(x f 在[,]a b 上连续,则)(x f 在[,]a b 上一致连续.3. 若()f x 在[,]a b 上有定义,且()()0f a f b <,则在(,)a b 内至少存在一点ξ,使得()0f ξ=.4. 初等函数在其定义区间上连续.5.闭区间[,]a b 的全体聚点的集合是[,]a b 本身. 二、选择题1.下面哪些叙述与数列极限A a n n =∞→lim 的定义等价( ) A )1,0(∈∀ε,0>∃N ,N n ≥∀,ε≤-||A a n ;B 对无穷多个0>ε,0>∃N ,N n >∀,ε<-||A a n ;C 0>∀ε,0>∃N ,有无穷多个N n >,ε<-||A a n ;D 0>∀ε,有}{n a 的无穷多项落在区间),(εε+-A A 之内2.任意给定0>M ,总存在0>X ,当X x -<时,M x f -<)(,则( )A -∞=-∞→)(lim x f x ;B -∞=∞→)(lim x f x ;C ∞=-∞→)(lim x f x ;D ∞=+∞→)(lim x f x 3.设a 为定数.若对任给的正数ε,总存在0>X ,当X x -<时,()f x a ε-<,则( ).A lim ()x f x a →+∞=;B lim ()x f x a →-∞=;C lim ()x f x a →∞=;D lim ()x f x →∞=∞ 4.极限=-→xx x 10)21(lim ( ) A 2e ; B 2e - ; C 1e - ; D 15.21sin(1)lim 1x x x →-=-( ) A 1 ; B 2 ; C21 ; D 0 6.定义域为],[b a ,值域为),(∞+-∞的连续函数 ( )A 存在;B 可能存在;C 不存在;D 存在且唯一7.设 =)(x f 1(12) , 0 , 0x x x k x ⎧⎪-≠⎨⎪=⎩ 在0=x 处连续, 则=k ( )A 1 ;B e ;C 1- ;D 21e8.方程410x x --=至少有一个根的区间是( ) A 1(0,)2; B 1(,1)2; C (2,3) ; D (1,2) 三、计算题1.求极限 n n n 313131212121lim 22++++++∞→ 2.求极限n →∞+3.求极限 )111)(110()110()13()12()1(lim 2222--++++++++∞→x x x x x x x 4. 求极限 112sin lim 0-+→x x x四、证明题设,f g 在],[b a 上连续,且()(),()()f a g a f b g b ><. 证明:存在(,),a b ξ∈使得()()f g ξξ=.。
《数学分析选讲》第二次作业
一.叙述下列定理
1.闭区间套定理;
答:若]},{[n n b a 是一个区间套,则存在唯一一点ξ,使得 ,2,1],,[=∈n b a n n ξ或 ,2,1,=≤≤n b a n n ξ
2.聚点定理;
答:实轴上的每一个有界无穷点集必有聚点.
3.有限覆盖定理
答:闭区间的任一开复盖必有有限子复盖.
4.积分第一中值定理
答:若f 在[]b a ,上连续,则至少存在一点[]b a ,∈ξ,使得
()()().a b f dx x f b a -=⎰ξ 二.求积分
(1)⎰-+-dx x x x )11(323
331233
:(111324
x x dx
dx xdx x dx x x x x -+=-+-=-+-⎰⎰⎰⎰解
(2)⎰+22d x
x 222221
d 1112:d d arctan 222221122
x x x x x x x ===+++⎰⎰⎰解 (3)dx e e x x 3)1(+⎰ **** 3341:(1)(1)(1)(1)4
x x x x x e e dx e d e e +=++=+⎰⎰解 (4)⎰-357x dx
***
()()()
1322331:75755133755210x d x x x -=---=-⨯=--=⎰解
(5)⎰
xdx x arctan ()2222222222222211:arctan arctan arctan arctan 22
1111arctan arctan 21211111arctan 1arctan 212111(1)arctan 22
x xdx x xdx x x x x x x x x dx x x dx x x x x dx x x dx dx x x x x x C ==-⎛⎫⎛⎫+-=-=- ⎪ ⎪++⎝⎭⎝⎭⎛⎫⎛⎫⎛⎫=--=-+ ⎪ ⎪ ⎪++⎝⎭⎝
⎭⎝⎭=+-+⎰⎰⎰⎰⎰⎰⎰⎰解 (6)⎰
'dx x f e x f )()( ()()()():()f x f x f x e f x dx e df x e c '==+⎰⎰解
(7)⎰2ln e e x x dx
2222ln ln ln 1:ln ln ln ln ln 2ln ln e e e e e x e e e dx d x x x x ===-=⎰⎰解 (8)⎰
-1024dx
x
:32π=+⎰
解 (9)⎰-1
22d ||x x x
1
1
2222||d ||d x x x x x x --=⎰⎰解: 三.讨论无穷积分dx x p
⎰+∞
11的收敛性。
解:当1p ≠时
11
11111111111,10.
11lim 11111,10.lim 11111p p p p x p p
x p
p p x dx x p p p x p dx x p p
dx x
p p x p
dx x dx x
dx p x
-+∞
+∞
-+∞
→+∞+∞-→+∞+∞+∞+∞=-〉-〈-=-=---〈-〉=+∞-〉〈≤⎰⎰⎰⎰⎰⎰若则故此时是收敛的.若则而故此时是发散的.当p=1时,易知发散.综上所述,无穷积分当时收敛.0p 1时发散.。