山东省大学生数学竞赛(专科)试卷2017决赛试卷(含答案)
- 格式:pdf
- 大小:289.82 KB
- 文档页数:4
2017年数学竞赛预赛(非数学类)试题评分标准及参考答案一 1. 已知可导函数满足, 则()f x解: 在方程两边求导得'()c o s +()s i n f x x f x x =,'()+()tan sec f x f x x x =.从而tan tan ()sec xdx xdx f x e xe dx c -⎛⎫⎰⎰=+ ⎪⎝⎭⎰l n c o sl n c o s211==cos cos cos x x ee dx c x dx c x x --⎛⎫⎛⎫++ ⎪ ⎪⎝⎭⎝⎭⎰⎰ ()=c o s t a n =s i n c o sx x c x cx ++ 由于(0)1f =,故()sin cos f x x x =+。
2.求()n n n +∞→22sin lim π解 由于 ()=+n n 22sin π()ππn n n -+22sin=2sin 1⎛⎫→。
3. 设(,)w f u v =具有二阶连续偏导数,且==+u x cy v x cy -,,其中c 为非零常数。
则21xx yy w w c-=_________。
解: 12+x w f f =,1112222xx w f f f =++,21()y w c f f =-,()()()22111122122111222=2yy w cf f c cf cf cf cf c f f f y∂=-=--+-+∂。
所以1221=4xx yy w w f c-。
4. 设()f x 有二阶导数连续,且(0)'(0)0,"(0)6f f f ===,则24(s i n )l i m x f xx →=______解:21()(0)'(0)"()2f x f f x f x ξ=++,所以241(sin )"()sin 2f x f x ξ=。
这样244400(sin )"()sin lim=lim 32x x f x f xx x ξ→→=。
首届中国大学生数学竞赛赛区赛试卷解答 (数学类,2009)考试形式: 闭卷 考试时间: 120 分钟 满分: 100 分.一、(15分)求经过三平行直线1:L x y z ==,2:11L x y z -==+,3:11L x y z =+=-的圆柱面的方程. 二、(20分)设n n C ⨯是n n ⨯复矩阵全体在通常的运算下所构成的复数域C 上的线性空间,121000100010001n n n a a F a a ---⎛⎫⎪- ⎪ ⎪=- ⎪⎪ ⎪-⎝⎭ .(1)假设111212122212n n n n nn a a a a a a A aa a ⎛⎫⎪⎪=⎪⎪⎪⎝⎭,若AF FA =,证明:121112111n n n n A a F a F a F a E ---=++++ ;(2)求n n C ⨯的子空间{}()|n n C F X C FX XF ⨯=∈=的维数.三、(15分)假设V 是复数域C 上n 维线性空间(0n >),,f g 是V 上的线性变换.如果fg gf f -=,证明:f 的特征值都是0,且,f g 有公共特征向量.四、(10分)设{}()n f x 是定义在[],a b 上的无穷次可微的函数序列且逐点收敛,并在[],a b 上满足'()n f x M ≤.(1)证明{}()n f x 在[],a b 上一致收敛;(2)设()lim ()n n f x f x →∞=,问()f x 是否一定在[],a b 上处处可导,为什么? 五、(10分)设320sin sin n nta t dt t π=⎰, 证明11n na ∞=∑发散. 六、(15分) (,)f x y 是{}22(,)|1x y x y +≤上二次连续可微函数,满足222222f fx y x y∂∂+=∂∂,计算积分221x y I dxdy +≤⎛⎫=⎰⎰. 七、(15分))假设函数 ()f x 在 [0,1]上连续,在(0,1)内二阶可导,过点 (0,(0))A f ,与点 (1,(1))B f 的直线与曲线 ()y f x =相交于点 (,())C c f c ,其中 01c <<. 证明:在 (0,1)内至少存在一点 ξ,使()0f ξ''=。
绝密★启用前山东省大学生数学竞赛(专科)总决赛试卷(非数学类,2017)考试形式: 闭卷 考试时间: 120 分钟 满分: 100 分一、填空题(每小题5分,共30分,请将答案填在题中横线上。
) . 1111.1的反函数为函数x x y ---+= . )1sin 1(cot lim .20=-→x x x x 求. d d cos sin sin 3.422=⎩⎨⎧+===πt x y t t t t y t x 求为参数),(设 (). d m ax .4222=⎰-x x x ,求. 32 )1(.53211,其收敛半径为已知级数Λ-+-=-∑∞=-x x x n x n n n. 035126.的通解为分方程二阶常系数齐次线性微=+'-''y y y注意:1.答题前,请竞赛选手将密封线内的项目填写清楚。
2.将答案直接答在试卷相应题目的位置,答错位置不得分。
线封密身份证号: 所在院校: 座号: 姓名:二、综合题(本题共70分,请写出相应演算步骤。
) .)()()sin sin (lim 111.sin sin 其类型的间断点,并指出,求函数,记此极限为分)求极限(x f x f xt x t x x t -→. 0 )(0 )0()( 0)0()0()(122.连续导数是连续的,且具有一阶,,,试证明函数存在,具有一阶连续函数,且分)设函数(⎪⎩⎪⎨⎧≠='==''x xx f x f x F f f x f.d e )()(113.2212的单调区间与极值分)求函数(t t x x f x t ⎰--=[]0.)()3,0(2)0()()2,0(1)3()2(d )()0(2 )30(3,0)(12.420=''∈=∈+==⎰ξξηηf f f f f x x f f x f ,使)证明存在(;,使证明存在)(,内存在二阶导数,且,上连续,在在分)设函数(.ln 10145.体积轴旋转一周所得旋转体绕的面积及围成,求区域与直线由区域点,轴交于与,又的切线,切点为:)点做曲线,分)过((x D D AB L D B x L A x y L =.d d 833106.2⎰⎰=+==Dy x x y x x y y x D 围成,计算及,由直线分)设平面区域(。
绝密★启用前山东省大学生数学竞赛(专科)决赛试卷(非数学类(A ),2018)考试形式: 闭卷 考试时间: 120 分钟满分: 100 分一、填空题(每小题5分,共30分,请将答案填在题中横线上。
)[].________)(0)(1)(e )( .12=≥-==x x x x f x f x ϕϕϕ,则,且,已知[][][][].0 )1ln(.01)1(0)1ln()1ln()(1e 1)(e )(e )( 222)()()(故应填,即,所以而,解得,,所以而,,则因为≤-≤≥-≥--=-=-===x x x x x x x x x x f x f x f x x x ϕϕϕϕϕ解.________)100(lim .22=++-∞→x x x x 求注意:1.答题前,请竞赛选手将密封线内的项目填写清楚。
2.将答案直接答在试卷相应题目的位置,答错位置不得分。
线封密.50.5011001100lim100100lim)100(lim 222--=-+-=-+=++-∞→-∞→-∞→故应填xxx x x x x x x x 解.________)()2(lim1)( .30000=----='→x x f x x f xx f x ,则已知[][]1..1)()2(1lim )()2(lim 1)()(2)()()()2(lim)()2(lim0000000000000000故应填得,由=---=---='+'-=-----=---→→→→xx x f x x f x x f x x f x x f x f x x f x x f x f x x f x x x f x x f x x x x 解.________ 0)πsin( .4102='=-==y x y y xy ,则已知方程.π21.π21π2)πcos(0π2)πcos(0)πsin( 10222--='-='='-'+=-==故应填所以,,即求导得等式两边同时对方程y x y xy y yy y y y y x y x y xy 解 .________d 1ln .52=-⎰x x x 求.ln .ln d 1d 11ln d 11d ln d 1d ln d 1ln 222222C xxC xxx x x x x x x xx x x x x x x x x x +-+-=-+⋅-=--=-=-⎰⎰⎰⎰⎰⎰⎰故应填解.________)0(d )12()( .61,其单减区间为已知函数>-=⎰x t tx F x).41,0).41,0410001212)( 故应填(所以单减区间为(,,得,且由<<><-=-='x x xx x x F 解二、综合题(本题共6小题,共70分,请写出相应演算步骤。
2017年山东省春季高考数学试卷一、选择题1.已知全集U={1,2},集合M={1},则∁U M等于()A.∅B.{1}C.{2}D.{1,2}2.函数的定义域是()A.[﹣2,2]B.(﹣∞,﹣2]∪[2,+∞) C.(﹣2,2) D.(﹣∞,﹣2)∪(2,+∞)3.下列函数中,在区间(﹣∞,0)上为增函数的是()A.y=x B.y=1 C.D.y=|x|4.二次函数f(x)的图象经过两点(0,3),(2,3)且最大值是5,则该函数的解析式是()A.f(x)=2x2﹣8x+11 B.f(x)=﹣2x2+8x﹣1 C.f(x)=2x2﹣4x+3 D.f(x)=﹣2x2+4x+35.等差数列{a n}中,a1=﹣5,a3是4与49的等比中项,且a3<0,则a5等于() A.﹣18 B.﹣23 C.﹣24 D.﹣326.已知A(3,0),B(2,1),则向量的单位向量的坐标是()A.(1,﹣1)B.(﹣1,1)C.D.7.“p∨q为真”是“p为真”的()A.充分不必要条件 B.必要不充分条件C.充要条件D.既不充分也不必要条件8.函数y=cos2x﹣4cosx+1的最小值是()A.﹣3 B.﹣2 C.5 D.69.下列说法正确的是()A.经过三点有且只有一个平面B.经过两条直线有且只有一个平面C.经过平面外一点有且只有一个平面与已知平面垂直D.经过平面外一点有且只有一条直线与已知平面垂直10.过直线x+y+1=0与2x﹣y﹣4=0的交点,且一个方向向量的直线方程是()A.3x+y﹣1=0 B.x+3y﹣5=0 C.3x+y﹣3=0 D.x+3y+5=011.文艺演出中要求语言类节目不能相邻,现有4个歌舞类节目和2个语言类节目,若从中任意选出4个排成节目单,则能排出不同节目单的数量最多是() A.72 B.120 C.144 D.28812.若a,b,c均为实数,且a<b<0,则下列不等式成立的是()A.a+c<b+c B.ac<bc C.a2<b2D.13.函数f(x)=2kx,g(x)=log3x,若f(﹣1)=g(9),则实数k的值是()A.1 B.2 C.﹣1 D.﹣214.如果,,那么等于()A.﹣18 B.﹣6 C.0 D.1815.已知角α的终边落在直线y=﹣3x上,则cos(π+2α)的值是()A.B.C.D.16.二元一次不等式2x﹣y>0表示的区域(阴影部分)是() A.B.C.D.17.已知圆C1和C2关于直线y=﹣x对称,若圆C1的方程是(x+5)2+y2=4,则圆C2的方程是()A.(x+5)2+y2=2 B.x2+(y+5)2=4 C.(x﹣5)2+y2=2 D.x2+(y﹣5)2=4 18.若二项式的展开式中,只有第4项的二项式系数最大,则展开式中的常数项是()A.20 B.﹣20 C.15 D.﹣1519.从甲、乙、丙、丁四位同学中选拔一位成绩较稳定的优秀选手,参加山东省职业院校技能大赛,在同样条件下经过多轮测试,成绩分析如表所示,根据表中数据判断,最佳人选为()成绩分析表甲乙丙丁平均成绩96968585标准差s4242A.甲B.乙C.丙D.丁20.已知A1,A2为双曲线(a>0,b>0)的两个顶点,以A1A2为直径的圆与双曲线的一条渐近线交于M,N两点,若△A1MN的面积为,则该双曲线的离心率是()A.B.C.D.二、填空题:21.若圆锥的底面半径为1,母线长为3,则该圆锥的侧面积等于.22.在△ABC中,a=2,b=3,∠B=2∠A,则cosA=.23.已知F1,F2是椭圆+=1的两个焦点,过F1的直线交椭圆于P、Q两点,则△PQF2的周长等于.24.某博物馆需要志愿者协助工作,若从6名志愿者中任选3名,则其中甲、乙两名志愿者恰好同时被选中的概率是.25.对于实数m,n,定义一种运算:,已知函数f(x)=a*a x,其中0<a<1,若f(t﹣1)>f(4t),则实数t的取值范围是.三、解答题:26.已知函数f(x)=log2(3+x)﹣log2(3﹣x),(1)求函数f(x)的定义域,并判断函数f(x)的奇偶性;(2)已知f(sinα)=1,求α的值.27.某职业学校的王亮同学到一家贸易公司实习,恰逢该公司要通过海运出口一批货物,王亮同学随公司负责人到保险公司洽谈货物运输期间的投保事宜,保险公司提供了缴纳保险费的两种方案:①一次性缴纳50万元,可享受9折优惠;②按照航行天数交纳:第一天缴纳0。
绝密★启用前2017年普通高等学校招生全国统一考试(山东卷)理科数学本试卷分第I 卷和第II 卷两部分,共4页。
满分150分。
考试用时120分钟。
考试结束后,将本试卷和答题卡一并交回。
注意事项:1.答卷前,考生务必用0.5毫米黑色签字笔将自己的姓名、座号、考生号、县区和科类填写在答题卡和试卷规定的位置上。
2.第Ⅰ卷每小题选出答案后,用2B 铅笔把答题卡上对应题目的答案标号涂黑;如需改动,用橡皮擦干净后,再选涂其他答案标号。
答案写在试卷上无效。
3.第Ⅱ卷必须用0.5毫米黑色签字笔作答,答案必须写在答题卡各题目指定区域内相应的位置,不能写在试卷上;如需改动,先划掉原来的答案,然后再写上新的答案;不能使用涂改液、胶带纸、修正带。
不按以上要求作答的答案无效。
4、填空题请直接填写答案,解答题应写出文字说明,证明过程或演算步骤。
参考公式:如果事件A ,B 互斥,那么P (A+B )=P(A)+P(B);如果事件A 、B 独立,那么P (AB )=P(A)﹒P(B)第I 卷(共50分)一、选择题:本大题共10小题,每小题5分,共50分,在每小题给出的四个选项中,只有一项是符号题目要求的.(1)设函数A ,函数y=ln(1-x)的定义域为B ,则A B ⋂= (A )(1,2) (B )⎤⎦(1,2 (C )(-2,1) (D )[-2,1) (2)已知a R ∈,i是虚数单位,若,4z a z z =+⋅=,则a= (A )1或-1 (B(C )(D(3)已知命题p:()x x ∀+>0,ln 1>0;命题q :若a >b ,则a b 22>,下列命题为真命题的是 (A ) ∧p q (B )⌝∧p q (C ) ⌝∧p q (D )⌝⌝∧p q (4)已知x,y 满足x y 3x y ⎧-+≤⎪+≤⎨⎪+≥⎩30+5030x ,则z=x+2y 的最大值是(A )0 (B ) 2 (C ) 5 (D )6(5)为了研究某班学生的脚长x (单位:厘米)和身高y (单位:厘米)的关系,从该班随机抽取10名学生,根据测量数据的散点图可以看出y 与x 之间有线性相关关系,设其回归直线方程为ˆˆˆybx a =+.已知101225ii x==∑,1011600i i y ==∑,ˆ4b=.该班某学生的脚长为24,据此估计其身高为 (A )160 (B )163 (C )166 (D )170 (6)执行两次右图所示的程序框图,若第一次输入的x 的值为7,第二次输入的x 的值为9,则第一次、第二次输出的a 的值分别为(A )0,0 (B )1,1 (C )0,1 (D )1,0(7)若0a b >>,且1ab =,则下列不等式成立的是 (A )()21log 2a b a a b b +<<+ (B )()21log 2a b a b a b <+<+ (C )()21log 2a ba ab b +<+< (D )()21log 2a b a b a b +<+<(8)从分别标有1,2,⋅⋅⋅,9的9张卡片中不放回地随机抽取2次,每次抽取1张.则抽到的2张卡片上的数奇偶性不同的概率是 (A )518 (B )49 (C )59(D )79 (9)在C ∆AB 中,角A ,B ,C 的对边分别为a ,b ,c .若C ∆AB 为锐角三角形,且满足()sin 12cosC 2sin cosC cos sinC B +=A +A ,则下列等式成立的是(A )2a b = (B )2b a = (C )2A =B (D )2B =A(10)已知当[]0,1x ∈时,函数()21y mx =-的图象与y m =的图象有且只有一个交点,则正实数m的取值范围是 (A )(])0,123,⎡+∞⎣(B )(][)0,13,+∞(C )()23,⎡+∞⎣(D )([)3,+∞第II 卷(共100分)二、填空题:本大题共5小题,每小题5分,共25分(11)已知()13nx +的展开式中含有2x 项的系数是54,则n = .(12)已知12,e e 12-e 与12λ+e e 的夹角为60,则实数λ的值是 . (13)由一个长方体和两个14圆柱体构成的几何体的三视图如右图,则该几何体的体积为 .(14)在平面直角坐标系xOy 中,双曲线()222210,0x y a b a b-=>>的右支与焦点为F 的抛物线()220x px p =>交于,A B 两点,若4AF BF OF +=,则该双曲线的渐近线方程为 . (15)若函数()x e f x ( 2.71828e =是自然对数的底数)在()f x 的定义域上单调递增,则称函数()f x 具有M 性质.下列函数中所有具有M 性质的函数的序号为 .①()2x f x -=②()3x f x -=③()3f x x =④()22f x x =+三、解答题:本大题共6小题,共75分。
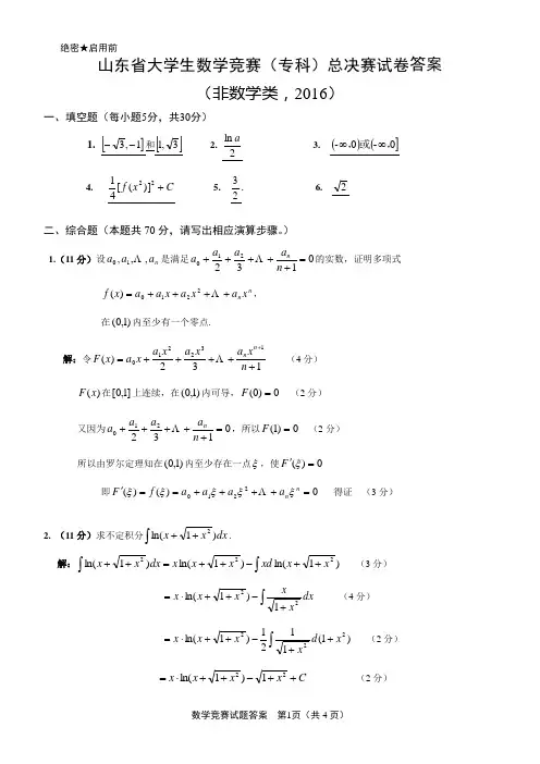
绝密★启用前山东省大学生数学竞赛(专科)总决赛试卷答案(非数学类,2016)一、填空题(每小题5分,共30分) 1. []1,3--和][3,1 2. 2ln a 3. ()(]0-0-,或,∞∞ 4.C x f +22)]([41 5. 23. 6.2 二、综合题(本题共70分,请写出相应演算步骤。
)1.(11分)设n a a a ,,,10Λ是满足0132210=+++++n a a a a n Λ的实数,证明多项式 n n x a x a x a a x f ++++=Λ2210)(,在)1,0(内至少有一个零点.解:令132)(132210+++++=+n x a x a x a x a x F n n Λ (4分) )(x F 在]1,0[上连续,在)1,0(内可导,0)0(=F (2分)又因为0132210=+++++n a a a a n Λ,所以0)1(=F (2分) 所以由罗尔定理知在)1,0(内至少存在一点ξ,使0)(='ξF即0)()(2210=++++=='n n a a a a f F ξξξξξΛ 得证 (3分)2. (11分)求不定积分dx x x )1ln(2⎰++. 解:⎰⎰++-++=++)1ln()1ln()1ln(222x x xd x x x dx x x (3分) ⎰+-++⋅=dx x xx x x 221)1ln( (4分)⎰++-++⋅=)1(1121)1ln(222x d xx x x (2分) C x x x x ++-++⋅=221)1ln( (2分)3. (16分)设)(x f 连续,dt xt f x ⎰=10 )()(ϕ,且A xx f x =→)(lim 0(A 为常数),求)(x ϕ'并讨论)(x ϕ'在0=x 处的连续性.解:当0≠x 时,令u xt =,则du dt x =⋅,当0=t 时0=u ,当1=t 时x u =, 所以xduu f du x u f x x x ⎰⎰== 0 0 )()( )(ϕ (4分) 所以当0≠x 时,2 0)()()(x du u f x xf x x⎰-='ϕ (2分) 由A xx f x =→)(lim 0知0)0(=f (1分) 又由dt xt f x ⎰=10 )()(ϕ和0)0(=f 知0)0(=ϕ (1分) 则2 0 00)(lim 0)0()(lim )0(x du u f x x x x x ⎰→→=--='ϕϕϕ22)(lim 0A x x f x ==→ (4分) 所以⎪⎪⎩⎪⎪⎨⎧=≠-='⎰0 ,20,)()()(2 0 x A x x du u f x xf x x ϕ (1分) 又因为)0(22)(lim )(lim )()(lim )(lim 2 0 0202 0 00ϕϕ'==-=-=-='⎰⎰→→→→A A A x du u f x x xf x du u f x xf x xx x x x x (注意2 00)()(lim x duu f x xf x x ⎰-→直接用洛必达法则计算有一定问题,若直接用洛必达法则计算要得出结论,需证明)(x f '在0=x 处是连续的,而题设中没有此结论)所以)(x ϕ'在0=x 处连续 (3分)4. (16分)已知一开口向上的抛物线通过x 轴上的两点)0,1(A 和)0,3(B .(1)试证:两坐标轴与该抛物线所围图形的面积等于x 轴与该抛物线所围图形的面积;(2)计算上述两个平面绕x 轴旋转一周所产生的两个旋转体体积之比.解:由开口向上,通过x 轴上的两点)0,1(A 和)0,3(B ,得抛物线方程)0()34()3)(1(2>+-=--=a x x a x x a y (4分)(1)两坐标轴与该抛物线所围图形的面积 ()13122100443(23)33x s a x x dx a x x a =-+=-+=⎰ (2分)x 轴与该抛物线所围图形的面积()33 3222 114[43](23)33x s a x x dx a x x a =--+=--=⎰ (2分) 结论得证。
2017年普通高等学校招生全国统一考试(山东卷)理科数学本试卷分第I 卷和第II 卷两部分,共4页。
满分150分。
考试用时120分钟。
考试结束后,将本试卷和答题卡一并交回。
注意事项:1.答卷前,考生务必用0.5毫米黑色签字笔将自己的姓名、座号、考生号、县区和科类填写在答题卡和试卷规定的位置上。
2.第Ⅰ卷每小题选出答案后,用2B 铅笔把答题卡上对应题目的答案标号涂黑;如需改动,用橡皮擦干净后,再选涂其他答案标号。
答案写在试卷上无效。
3.第Ⅱ卷必须用0.5毫米黑色签字笔作答,答案必须写在答题卡各题目指定区域内相应的位置,不能写在试卷上;如需改动,先划掉原来的答案,然后再写上新的答案;不能使用涂改液、胶带纸、修正带。
不按以上要求作答的答案无效。
4、填空题请直接填写答案,解答题应写出文字说明,证明过程或演算步骤。
参考公式:如果事件A ,B 互斥,那么P (A+B )=P(A)+P(B)第I 卷(共50分)一、选择题:本大题共10小题,每小题5分,共50分,在每小题给出的四个选项中,只有一项是符号题目要求的.(1) 设函数A ,函数y=的定义域为B,则A B =(A )(1,2) (B )⎤⎦(1,2 (C )(-2,1) (D )[-2,1) (2)已知i 是虚数单位,(A )i 或-1 (B (C ) (D(3)已知命题p:()>,log 1>0+x x;命题q :若a >b ,则>a ba b ,下列命题为真命题的是(A ) p q ∧ (B )p q ⌝∧ (C ) p q ⌝∧ (D )p q ⌝⌝∧ (4)已知x,y 满足31,+11⎧-+≤⎪+≤⎨⎪⎩x y 2x y ,则z=x+2y 的最大值是(A ) (B ) (C ) (D )6(5)为了研究某班学生的脚长x (单位:厘米)和身高y (单位:厘米)的关系,从该班随机抽取10名学生,学|科网根据散点图可以看出y 与x 之间有相关关系,直线方程为y=bx+a 已知∑=225,∑=1000,b=1该班某学生的脚长为,据此估计身高为(A )160(B )183(C )(D )170(6)执行两次右图所示的程序框图,若第一次输入的x 值为7,第二次输入的x 值为,则第一次,第二次输出的的值分别为(A )0,0(B )1,1(C )0,1(D )1,0(7)若a >b >0,且ab=1,则下列不等式成立的是(A )2a 1b a log (a b)2+〈〈+b(B )2a b 1log (a b)a 2〈+〈+b(C )2a 1b a log (a b)2+〈+〈b (D )2a 1b log (a b)a 2+〈+〈b (8)从分别标有1,2,…,9的9张卡片中不放回地随机抽取Z 次,每次抽取1张,则抽到在2张卡片上的数奇偶性不同的概率是(A ) (B ) (C ) (D )(9)在ABC 中,角A ,B ,C 的对边分别为a,b,c,若ABC 为锐角三角形,且满足sinB (1+2cosC )=2sinAcosC+cosAsinC ,则下列等式成立的是(A )a=2b (B)b=2a (C)A=2B (D) B=2A(10)已知当x []01∈,时,函数y=(mx-1)2 的图象与y=+m 的图象有且只有一个交点,则正实数m 的取值范围是(A )(0,1)[2,+] (B )(0,1)[3,+ ] (C )(0,[2,+] (C) (0,[3,+]第II 卷(共100分)二、填空题:本大题共5小题,每小题5分,共25分(11)已知(1+3x )n 的展开式中含有x -1的系数是54,则n =(12)已知12,e e 是互相垂直的单位向量,若 123-e e 与12+3e e 夹角为 则实数λ的值是(13)由一个长方体和两个14圆柱构成的几何体的三视图如图,则该几何体的体积为 .(14)在平面直角坐标系xOy 中,双曲线4(0)>>2222x y +=a b a b 与焦点为F 的抛物线()2x =2py p >0 交于A,B 两点,若AF +BF =OF ,则该双曲线的渐近线方程为_________.(15)若函数y=f(x),本题请等后更新。