现代数字信号处理题解
- 格式:doc
- 大小:2.17 MB
- 文档页数:10
第一章数字信号处理概述简答题:1.在A/D变换之前和D/A变换之后都要让信号通过一个低通滤波器,它们分别起什么作用?答:在A/D变化之前为了限制信号的最高频率,使其满足当采样频率一定时,采样频率应大于等于信号最高频率2倍的条件。
此滤波器亦称为“抗混叠”滤波器。
在D/A变换之后为了滤除高频延拓谱,以便把抽样保持的阶梯形输出波平滑化,故又称之为“平滑”滤波器。
判断说明题:2.模拟信号也可以与数字信号一样在计算机上进行数字信号处理,自己要增加一道采样的工序就可以了。
()答:错。
需要增加采样和量化两道工序。
3.一个模拟信号处理系统总可以转换成功能相同的数字系统,然后基于数字信号处理理论,对信号进行等效的数字处理。
()答:受采样频率、有限字长效应的约束,与模拟信号处理系统完全等效的数字系统未必一定能找到。
因此数字信号处理系统的分析方法是先对抽样信号及系统进行分析,再考虑幅度量化及实现过程中有限字长所造成的影响。
故离散时间信号和系统理论是数字信号处理的理论基础。
第二章 离散时间信号与系统分析基础一、连续时间信号取样与取样定理 计算题:1.过滤限带的模拟数据时,常采用数字滤波器,如图所示,图中T 表示采样周期(假设T 足够小,足以防止混叠效应),把从)()(t y t x 到的整个系统等效为一个模拟滤波器。
(a ) 如果kHz rad n h 101,8)(=π截止于,求整个系统的截止频率。
(b ) 对于kHz T 201=,重复(a )的计算。
解 (a )因为当0)(8=≥ωπωj e H rad 时,在数 — 模变换中)(1)(1)(Tj X Tj X Te Y a a j ωω=Ω=所以)(n h 得截止频率8πω=c 对应于模拟信号的角频率c Ω为8π=ΩT c因此 Hz Tf c c 6251612==Ω=π 由于最后一级的低通滤波器的截止频率为Tπ,因此对T8π没有影响,故整个系统的截止频率由)(ωj e H 决定,是625Hz 。
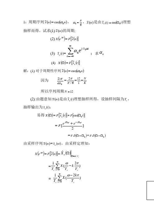
1:周期序列()()n n x 0cos ~ω=, 0ω6π=,()n x ~是由)(~t x a ()t 0cos Ω=理想抽样而得。
试求(1)()n x ~的周期;(2)()()[]n x F e X j ~=ω (3) ()t x a~=∑∞-∞=n ntj n 0e Ωα;求n α (4)()()[]t x F X a ~=Ω 解:(1) 对于周期性序列()()n n x 0cos ~ω= 因为2ωπ=6/2ππ=112=K N所以序列周期12=N(2):由题意知()n x ~是由()t x a ~理想抽样所得,设抽样间隔为s T ,抽样输出为()t xa ˆ; 易得()()[]t x F X a ~=Ω()[]t F 0cos Ω= ]2[00tj t j e e F Ω-Ω+==π()0Ω+Ωδ+π()0Ω-Ωδ由采样序列()n x ~=()nt xa ˆ,由采样定理知: ()()[]n x F e X j ~=ω=()sTaX /ˆω=ΩΩ =∑∞∞--k ss sT k T X T )2(1πω =∑∞∞--k s s T k X T )2(1πω=)]26()26([1sk s s T k T k T ππωπδππωπδ-++--∑∞∞- =)]26()26([ππωπδππωπδk k k -++--∑∞∞- (3) 由)(~t x a ()t 0cos Ω==200tj tj e e Ω-Ω+=∑∞-∞=n nt j n 0e Ωα得:⎪⎩⎪⎨⎧=±==其他n n n 0121α(4)由(2)得:()ΩX =π()0Ω+Ωδ+π()0Ω-Ωδ2:有限长序列()⎪⎭⎫⎝⎛=n n x 6cos π()n R 12求:(1))]([)(n R F e R n j n =ω(2) ()()[]n x F e X j =ω,用)(ωj N e R 表示; (3)求(2)中()ωj e X 的采样值⎪⎪⎭⎫ ⎝⎛k j e X 122π 110≤≤k ; (4)()()[]n x DFT k X =;(5):求第(3)问中⎪⎪⎭⎫ ⎝⎛k j e X 122π的IDFT 变换; (6):求()()⎥⎦⎤⎢⎣⎡⎪⎭⎫ ⎝⎛=n R n F e X j 2416cos πω的采样值⎪⎪⎭⎫ ⎝⎛k j e X 2421π230≤≤k ; (7):求第(6)问中的采样序列()n x 1; (8):第(2)问中()ωj e X 的采样值⎪⎪⎭⎫ ⎝⎛k j e X 242π对应的采样序列。
第一章2、已知线性移不变系统的输入为()x n ,系统的单位抽样相应为()h n ,试求系统的输出()y n 。
(2)3()(),x n R n = 4()()h n R n =解:此题考察线性移不变系统的输出为激励与单位抽样相应的卷积,即:()()*(){1,2,3,3,2,1}y n x n h n == 4、判断下列每个序列的周期性,若是周期性的,试确定其周期。
3()cos()78x n A n ππ=-解:03 ()cos()78314 N=2/2/7314,3x n A n k k k k ππππωπ=-==∴=是周期的,周期是。
6、试判断系统的线性和移不变性。
()2(2) ()y n x n =⎡⎤⎣⎦ 解:()2()y n x n =⎡⎤⎣⎦()[]()[]2111)(n x n x T n y ==()()[]()[]2222n x n x T n y ==()()()[]()[]212121n bx n ax n by n ay +=+()()[]()()[]()[]()[]()()()()[]()()n by n ay n bx n ax T n x n abx n bx n ax n bx n ax n bx n ax T 2121212221221212 +≠+++=+=+即()[]()[]()()[]()[]()系统是移不变的即∴-=--=--=-m n y m n x T m n x m n y m n x m n x T 228、以下序列是系统的单位抽样响应()h n ,试说明系统的因果性和稳定性。
(4)3()nu n - 解:因果性:当0n <时,()0h n ≠,∴是非因果的;稳定性:0123|()|3332n h n •••∞--=-∞=+++=∑,∴是稳定的。
11、有一理想抽样系统,抽样角频率为6s πΩ=,抽样后经理想低通滤波器()a H j Ω还原,其中1,3()20,3a H j ππ⎧Ω<⎪Ω=⎨⎪Ω≥⎩今有两个输入,12()cos 2,()cos5a a x t t x t t ππ==。
数字信号处理习题(xítí)解答第1-2章:1. 判断下列(xiàliè)信号是否为周期信号,若是,确定其周期。
若不是,说明(shuōmíng)理由(1)f1(t) = sin2t + cos3t(2)f2(t) = cos2t + sinπt2、判断下列序列是否为周期(zhōuqī)信号,若是,确定其周期。
若不是(bùshi),说明理由(1)f1(k) = sin(3πk/4) + cos(0.5πk)(2)f2(k) = sin(2k)(3)若正弦序列x(n)=cos(3πn /13)是周期的, 则周期是N=3、判断下列信号是否为周期信号,若是,确定其周期; 若不是,说明理由(1)f(k) = sin(πk/4) + cos(0.5πk)(2)f2(k) = sin(3πk/4) + cos(0.5πk)解1、解β1 = π/4 rad,β2 = 0.5π rad 由于2π/ β1 = 8 N1 =8,N2 = 4,故f(k) 为周期序列,其周期为N1和N2的最小公倍数8。
(2)β1 = 3π/4 rad,β2 = 0.5π rad由于2π/ β1 = 8/3 N1 =8, N2 = 4,故f1(k) 为周期序列,其周期为N1和N2的最小公倍数8。
4、画出下列函数的波形(1).(2).解5、画出下列函数的波形x(n)=3δ(n+3)+δ(n+1)-3δ(n-1)+2δ(n-2)6. 离散线性时不变系统单位阶跃响应,则单位响应=?7、已知信号(xìnhào),则奈奎斯特取样(qǔyàng)频率为( 200 )Hz。
8、在已知信号(xìnhào)的最高频率为100Hz(即谱分析范围(fànwéi))时,为了避免频率(pínlǜ)混叠现象,采样频率最少要200 Hz:9. 若信号的最高频率为20KHz,则对该信号取样,为使频谱不混叠,最低取样频率是40KHz10、连续信号:用采样频率采样,写出所得到的信号序列x(n)表达式,求出该序列x(n) 的最小周期解:,11、连续信号:用采样频率100s f Hz = 采样,写出所得到的信号序列x(n)表达式,求出该序列x(n) 的最小周期长度。
第一章),(服从正态分布,即之间的唯一性定理知:由特征函数与分布函数)()()()()()(的特征函数则),,,(此外,)(的特征函数为:)()()()()。
概率密度函数为:,(服从正态分布,即、证明:∑∑∑∑∑∑∑=-=-===-=⎥⎦⎤⎢⎣⎡---=-x T x x T T T x x TT T T T xT x N xT T x X xT x x xNx x B B B m N X B B B B m j B B B m j B f f t t t t t t t m j t f X m X m X x p m N X X~]21exp[]21exp[]21exp[21exp 21~1211212ξξμμμμμμμμξπξ[]相互独立。
与)()()()(),(的联合概率密度函数为,),(的协方差为,的协方差为设、证明:Y X Y p X p Y Y X X Y X R Y X R Y X p Y X Y X E R Y X Cov Y X T X T X Y X M N T XY TXY M N Y XY X T YXNN NN∴=⎭⎬⎫⎩⎨⎧--=⎪⎪⎭⎪⎪⎬⎫⎪⎪⎩⎪⎪⎨⎧⎥⎥⎥⎦⎤⎢⎢⎢⎣⎡-=∴⎥⎥⎦⎤⎢⎢⎣⎡===∑∑∑∑∑∑∑∑++⨯⨯2121exp 2121exp 2100][221212212ππ 。
且,则,,则要使))((则,为常量。
,其中设、证明:∑==-==∴====+-=----==+=x Tx x xx ee x T ee TTx x xx T x x ee T x x x Cov m m R R m xa a a aa R aa m m R a m x a m x E R ee E a a m x),(ˆ00min ][][ˆ3φ∆=-=--T Hy)-)(E[( )]ˆ(ˆ[:6.1x Hy x x x x x E T)(、解][2][][T T T yy HE yx E xy E dHd +--=φ为随机误差。
数字信号处理试题及答案一、选择题1. 数字信号处理中的离散傅里叶变换(DFT)是傅里叶变换的______。
A. 连续形式B. 离散形式C. 快速算法D. 近似计算答案:B2. 在数字信号处理中,若信号是周期的,则其傅里叶变换是______。
A. 周期的B. 非周期的C. 连续的D. 离散的答案:A二、填空题1. 数字信号处理中,______是将模拟信号转换为数字信号的过程。
答案:采样2. 快速傅里叶变换(FFT)是一种高效的______算法。
答案:DFT三、简答题1. 简述数字滤波器的基本原理。
答案:数字滤波器的基本原理是根据信号的频率特性,通过数学运算对信号进行滤波处理。
它通常包括低通滤波器、高通滤波器、带通滤波器和带阻滤波器等类型,用于选择性地保留或抑制信号中的某些频率成分。
2. 解释什么是窗函数,并说明其在信号处理中的作用。
答案:窗函数是一种数学函数,用于对信号进行加权,以减少信号在离散化过程中的不连续性带来的影响。
在信号处理中,窗函数用于平滑信号的开始和结束部分,减少频谱泄露效应,提高频谱分析的准确性。
四、计算题1. 给定一个信号 x[n] = {1, 2, 3, 4},计算其 DFT X[k]。
答案:首先,根据 DFT 的定义,计算 X[k] 的每个分量:X[0] = 1 + 2 + 3 + 4 = 10X[1] = 1 - 2 + 3 - 4 = -2X[2] = 1 + 2 - 3 - 4 = -4X[3] = 1 - 2 - 3 + 4 = 0因此,X[k] = {10, -2, -4, 0}。
2. 已知一个低通滤波器的截止频率为0.3π rad/sample,设计一个简单的理想低通滤波器。
答案:理想低通滤波器的频率响应为:H(ω) = { 1, |ω| ≤ 0.3π{ 0, |ω| > 0.3π }五、论述题1. 论述数字信号处理在现代通信系统中的应用及其重要性。
答案:数字信号处理在现代通信系统中扮演着至关重要的角色。
数字信号处理第2章习题解答2.1 今对三个正弦信号1()cos(2)a x t t π=,2()cos(6)a x t t π=-,3()cos(10)a x t t π=进行理想采样,采样频率为8s πΩ=,求这三个序列输出序列,比较其结果。
画出1()a x t 、2()a x t 、3()a x t 的波形及采样点位置并解释频谱混淆现象。
解:采样周期为2184T ππ== 三个正弦信号采样得到的离散信号分别表示如下:1()cos(2)cos()42a n x n n ππ=⋅=2()cos(6)cos()42a n x n n ππ=-⋅=-3()cos(10)cos()42a n x n n ππ=⋅=输出序列只有一个角频率2π,其中1()a x n 和3()a x n 采样序列完全相同,2()a x n 和1()a x n 、3()a x n 采样序列正好反相。
三个正弦信号波形及采样点位置图示如下:tx a 1(t )tx a 2(t )tx a 3(t )三个正弦信号的频率分别为1Hz 、3Hz 和5Hz ,而采样频率为4Hz ,采样频率大于第一个正弦信号频率的两倍,但是小于后两个正弦信号频率的两倍,因而由第一个信号的采样能够正确恢复模拟信号,而后两个信号的采样不能准确原始的模拟信号,产生频谱混叠现象。
2.3 给定一连续带限信号()a x t 其频谱当f B >时,()a X f 。
求以下信号的最低采样频率。
(1)2()a x t (2)(2)a x t (3)()cos(7)a x t Bt π解:设()a x t 的傅里叶变换为()a X j Ω(1)2()a x t 的傅里叶变换为22()[()]Ba a BX j X j d ππωωω-⋅Ω-⎰因为22,22B B B B πωππωπ-≤≤-≤Ω-≤ 所以44B B ππ-≤Ω≤即2()a x t 带限于2B ,最低采样频率为4B 。
==============================绪论==============================1. A/D 8bit 5V 00000000 0V 00000001 20mV 00000010 40mV 00011101 29mV==================第一章 时域离散时间信号与系统==================1.①写出图示序列的表达式答:3)1.5δ(n 2)2δ(n 1)δ(n 2δ(n)1)δ(n x(n)-+---+++= ②用δ(n) 表示y (n )={2,7,19,28,29,15}2. ①求下列周期)54sin()8sin()4()51cos()3()54sin()2()8sin()1(n n n n n ππππ-②判断下面的序列是否是周期的; 若是周期的, 确定其周期。
(1)A是常数 8ππn 73Acos x(n)⎪⎪⎭⎫ ⎝⎛-= (2))81(j e )(π-=n n x 解: (1) 因为ω=73π, 所以314π2=ω, 这是有理数, 因此是周期序列, 周期T =14。
(2) 因为ω=81, 所以ωπ2=16π, 这是无理数, 因此是非周期序列。
③序列)Acos(nw x(n)0ϕ+=是周期序列的条件是是有理数2π/w 0。
3.加法乘法序列{2,3,2,1}与序列{2,3,5,2,1}相加为__{4,6,7,3,1}__,相乘为___{4,9,10,2} 。
移位翻转:①已知x(n)波形,画出x(-n)的波形图。
②尺度变换:已知x(n)波形,画出x(2n)及x(n/2)波形图。
卷积和:①h(n)*求x(n),其他02n 0n 3,h(n)其他03n 0n/2设x(n) 例、⎩⎨⎧≤≤-=⎩⎨⎧≤≤= }23,4,7,4,23{0,h(n)*答案:x(n)=②已知x (n )={1,2,4,3},h (n )={2,3,5}, 求y (n )=x (n )*h (n )x (m )={1,2,4,3},h (m )={2,3,5},则h (-m )={5,3,2}(Step1:翻转)解得y (n )={2,7,19,28,29,15}③(n)x *(n)x 3),求x(n)u(n u(n)x 2),2δ(n 1)3δ(n δ(n)2、已知x 2121=--=-+-+=}{1,4,6,5,2答案:x(n)=4.如果输入信号为,求下述系统的输出信号。
习题二1、求证:,()(,)x i j x i j xi xj R t t C t t m m =+。
证明:(,)(,)(,,,)x i j i j iji j i j i j R t t E x x x xp x x t t dx dx ==⎰⎰(,)[(),()](),()(,,,)()(,,,)(,)(,)i j i j j i i j i j j i i j i jx i j i x j x i x j x i j i j i ji j i x j x x x i j i j i j x i j x x x x x x x i j x x C t t E x m x m x m x m p x x t t dx dx x x x m x m m m p x x t t dx dx R t t m m m m m m R t t m m =--=--=--+=--+=-⎰⎰⎰⎰ 2、令()x n 和()y n 不是相关的随机信号,试证:若()()()w n x n y n =+,则w x y m m m=+和222w x y σσσ=+。
证明:(1)[()][()()][()][()]x ym E n E x n y n E x n E y n m m ωω==+=+=+ (2)2222222222[(())]{[()()()]}[(())(())][(())][(())]2[(())(())]2[]x y x y x y x y x y x y x y x y x y x yE n m E x n y n m m E x n m y n m E x n m E y n m E x n m y n m m m m m m m m m ωωσωσσσσ=-=+-+=-+-=-+-+--=++--+=+即222x y ωσσσ=+3、试证明平稳随机信号自相关函数的极限性质,即证明: ①当0τ=时,2(0),(0)x x x x R D C σ==; ②当τ=∞时,2(),()0x x x R m C ∞=∞=。
《数字信号处理(第四版)》部分课后习题解答一、简答题1. 什么是数字信号处理?数字信号处理(DSP)是指对数字信号进行处理和分析的一种技术。
它使用数学和算法处理模拟信号,从而实现信号的采样、量化、编码、存储和重构等过程。
DSP广泛应用于通信、音频处理、图像处理和控制系统中。
2. 数字信号处理的主要特点有哪些?•数字信号处理能够处理和分析具有广泛频谱范围的信号。
•数字信号处理能够实现高精度的信号处理和复杂的算法运算。
•数字信号处理能够实现信号的存储、传输和复原等功能。
•数字信号处理可以利用计算机等处理硬件进行实时处理和系统集成。
3. 数字信号处理的基本原理是什么?数字信号处理的基本原理是将连续时间的模拟信号转换成离散时间的数字信号,然后通过一系列的算法对数字信号进行处理和分析。
该过程主要涉及信号的采样、量化和编码等环节。
4. 什么是离散时间信号?离散时间信号是指信号的取样点在时间上呈现离散的情况。
在离散时间信号中,只能在离散时间点上获取信号的取样值,而无法观测到连续时间上的信号变化。
5. 描述离散时间信号的功率和能量的计算方法。
对于离散时间信号,其功率和能量的计算方法如下:•功率:对于离散时间信号x(n),其功率可以通过求平方和的平均值来计算,即功率P = lim(T->∞) [1/T *∑|x(n)|^2],其中T表示信号x(n)的观测时间。
•能量:对于离散时间信号x(n),其能量可以通过求平方和来计算,即能量E = ∑|x(n)|^2。
二、计算题1. 设有一个离散时间周期序列x(n) = [2, 3, -1, 4, 0, -2],求其周期N。
由于x(n)是一个周期序列,我们可以通过观察序列来确定其周期。
根据观察x(n)的取值,我们可以发现序列在n=1和n=5两个位置上取得了相同的数值。
因此,序列x(n)的周期为N = 5 - 1 = 4。
2. 设有一个信号x(t) = 2sin(3t + π/4),请将其离散化为离散时间信号x(n)。
数字信号处理习题及答案HEN system office room 【HEN16H-HENS2AHENS8Q8-HENH1688】==============================绪论============================== 1. A/D 8bit 5V 00000000 0V 00000001 20mV 00000010 40mV 00011101 29mV==================第一章 时域离散时间信号与系统================== 1.①写出图示序列的表达式答:3)1.5δ(n 2)2δ(n 1)δ(n 2δ(n)1)δ(n x(n)-+---+++= ②用(n) 表示y (n )={2,7,19,28,29,15} 2. ①求下列周期②判断下面的序列是否是周期的; 若是周期的, 确定其周期。
(1)A是常数 8ππn 73Acos x(n)⎪⎪⎭⎫ ⎝⎛-= (2))81(j e )(π-=n n x 解: (1) 因为ω=73π, 所以314π2=ω, 这是有理数, 因此是周期序列, 周期T =14。
(2) 因为ω=81, 所以ωπ2=16π, 这是无理数, 因此是非周期序列。
③序列)Acos(nw x(n)0ϕ+=是周期序列的条件是是有理数2π/w 0。
3.加法乘法序列{2,3,2,1}与序列{2,3,5,2,1}相加为__{4,6,7,3,1}__,相乘为___{4,9,10,2} 。
移位翻转:①已知x(n)波形,画出x(-n)的波形图。
②尺度变换:已知x(n)波形,画出x(2n)及x(n/2)波形图。
卷积和:①h(n)*求x(n),其他2n 0n 3,h(n)其他3n 0n/2设x(n) 例、⎩⎨⎧≤≤-=⎩⎨⎧≤≤=②已知x (n )={1,2,4,3},h (n )={2,3,5}, 求y (n )=x (n )*h (n )x (m )={1,2,4,3},h (m )={2,3,5},则h (-m )={5,3,2}(Step1:翻转)解得y (n )={2,7,19,28,29,15} ③(n)x *(n)x 3),求x(n)u(n u(n)x 2),2δ(n 1)3δ(n δ(n)2、已知x 2121=--=-+-+=4. 如果输入信号为,求下述系统的输出信号。
现代数字信号处理复习题一、填空题1、平稳随机信号是指:概率分布不随时间推移而变化的随机信号,也就是说,平稳随机信号的统计特性与起始时间无关,只与时间间隔有关。
判断随机信号是否广义平稳的三个条件是:(1)x(t)的均值为与时间无关的常数:C t m x =)( (C 为常数) ;(2)x(t)的自相关函数与起始时间无关,即:)(),(),(ττx i i x j i x R t t R t t R =+=;(3)信号的瞬时功率有限,即:∞<=)0(x x R D 。
高斯白噪声信号是指:噪声的概率密度函数满足正态分布统计特性,同时其功率谱密度函数是常数的一类噪声信号。
信号的遍历性是指:从随机过程中得到的任一样本函数,好象经历了随机过程的所有可能状态,因此,用一个样本函数的时间平均就可以代替它的集合平均 。
广义遍历信号x(n)的时间均值的定义为: ,其时间自相关函数的定义为: 。
2、连续随机信号f(t)在区间上的能量E 定义为:其功率P 定义为:离散随机信号f(n)在区间上的能量E 定义为:其功率P 定义为:注意:(1)如果信号的能量0<E<∞,则称之为能量有限信号,简称能量信号。
(2)如果信号的功率0<P<∞,则称之为功率有限信号,简称功率信号。
3、因果系统是指:对于线性时不变系统,如果它在任意时刻的输出只取决于现在时刻和过去时刻的输入,而与将来时刻的输入无关,则该系统称为因果系统。
4、对平稳随机信号,其自相关函数为)(τx R ,自协方差函数为)(τx C , (1)当0→τ时,有:)(τx R =x D ,)(τx C =2x σ。
(2)当∞→τ时,有:)(τx R =2x m ,)(τx C =0。
5、高斯-马尔可夫随机信号的自相关函数的一般表达式可表示为:||)(τβητ-e R x = 。
6、高斯–马尔可夫信号)(t x 的自相关函数为||410)(ττ-e R x =,其均值 0)(=∞=x x R m ,均方值10)0(==x x R D ,方差102==x D σ。
其一阶概率密度函数的表达式为:⎭⎬⎫⎩⎨⎧⨯-=102exp 201)(2x x p π 。
注意:(1))()()(22t m t t D x x x +=σ(2)一阶高斯随机信号的概率密度函数为:⎭⎬⎫⎩⎨⎧--=222)(exp 21)(σσπx m x x p , 式中,x x D R ==)0(2σ7、求)1(MA 的功率谱的一般表达式为:212221)()(ωωγσσωj j x e e H S -+==。
8、由Wold 分解定理推论可知,任何AR 或ARMA 序列均可用 无限阶的惟一MA 模型MA(∞) 来表示。
9、经典功率谱估计的方法主要有 周期图法(直接法) 和 相关图法(间接法) 两大类。
对经典谱估计方法的改进措施主要有: (1)经典谱估计性能分析;(2)Bartlett 法谱估计;(3)Welch 法谱估计 。
10、设计维纳滤波器时使用的正交性原理是指: 在最小均方误差(MMSE )准则下,误差e(n)与每一个输入样本x(n-k)都是正交的 。
11、在训练自适应滤波器时,收敛速度与学习率及输入信号的自相关矩阵的最小特征值取值有关。
学习率越大,收敛速度越 快 ;最小特征值越小,收敛速度越 慢 。
12、谱估计的分辨率是指 估计值)(ˆωS保证真实谱)(ωS 中两个靠得很近的谱峰仍然能被分辨出来的能力 ,在经典谱估计中,决定谱估计分辨率的主要因素是 窗函数的主瓣宽度。
注意:主瓣越宽,分辨率越低。
二、问答题1、什么叫能量信号?什么叫功率信号? 答:(1)如果信号的能量0<E<∞,则称之为能量有限信号,简称能量信号。
(2)如果信号的功率0<P<∞,则称之为功率有限信号,简称功率信号。
2、什么叫线性时不变系统?什么叫因果系统? 答:(1)具有线性性和时不变性的系统叫线性时不变系统。
(2)对于线性时不变系统,如果它在任意时刻的输出只取决于现在时刻和过去时刻的输入,而与将来时刻的输入无关,则该系统称为因果系统。
注意:因果系统是指当且仅当输入信号激励系统时,才会出现输出响应的系统。
也就是说,因果系统的响应不会出现在输入信号激励系统的以前时刻。
3、如何判断一个线性时不变系统是稳定的? 答:一个线性时不变系统是稳定的充要条件:∑∞-∞=∞<n n h )((1)充分性:如果∑∞-∞=∞<n n h )(成立,对∀有界的输入,输出也是有界的;(2)必要性:如果系统稳定,∑∞-∞=∞<n n h )(成立。
4、强平稳随机信号和广义平稳随机信号是如何定义的? 答:(1)(2)5、对于连续时间信号和离散时间信号,试写出相应的维纳-辛欣定理的主要内容。
答:(1)连续时间信号相应的维纳-辛欣定理主要内容:连续时间信号的功率谱密度与其自相关函数满足如下关系:))(()()(τττωωτx j x x R F d e R S ==-∞∞-⎰ωωπτωτd e S R j x x ⎰∞∞-=)(21)((2)离散时间信号相应的维纳-辛欣定理主要内容:离散时间信号的功率谱密度与其自相关函数满足如下关系:mj m xj x em R e S ωω-∞-∞=∑=)()(ωπωππωd e eS m R m j j xx ⎰-=)(21)(6、试列举出随机信号的功率谱密度函数的三条性质。
答:7、什么是估计的偏差?什么叫无偏估计?什么叫渐进无偏估计?答:假设估计量为a (a 可以是均值、方差、自相关函数等),它的估计值为aˆ,如果a a E =)ˆ(,则称a ˆ为a 的无偏估计,否则称aˆ为有偏估计; 定义估计的偏差为:a aE b -=)ˆ(~,如果估计值a ˆ不是无偏估计,但随着样本数目的增加,其数学期望趋近于真实的估计量,即:0])ˆ([lim =-∞→a aE N ,则称估计值a ˆ为渐近无偏估计。
8、请写出ARMA ),(q p 的数学模型表达式,并画出该模型的电路框图。
答:(1)ARMA ),(q p 的数学模型表达式:式中,q p γγγϕϕϕ,...,,,,...,,2121为常数,100==γϕ (2)该模型的电路框图如下所示:9、请写出AR )(p 的数学模型表达式,并画出该模型的电路框图。
答:(1)AR )(p 的数学模型表达式:(2)该模型的电路框图如下所示:注意:AR )(p 模型又称全极点模型。
10、请写出MA )(q 的数学模型表达式,并画出该模型的电路框图。
答:(1)MA )(q 的数学模型表达式:(2)该模型的电路框图如下所示:注意:MA )(q 模型又称全零点模型。
11、什么是谱估计的分辨率?在经典谱估计中,决定其分辨率的主要因素是什么?答:谱估计的分辨率是指估计值)(ˆωS保证真实谱)(ωS 中两个靠得很近的谱峰仍然能被分辨出来的能力,在经典谱估计中,决定谱估计分辨率的主要因素是窗函数的主瓣宽度,主瓣越宽,分辨率越低。
12、BT 谱估计的理论根据是什么?请写出此方法的具体步骤。
答:(1)相关图法又称BT 法,BT 谱估计的理论根据是:通过改善对相关函数的估计方法,来对周期图进行平滑处理以改善周期图谱估计的方差性能。
(2)此方法的具体步骤是:①给出观察序列)1(),...,1(),0(-N x x x ,估计出自相关函数:∑--=-≤≤+-+=mN n N m N ,m n x n x Nm R1011)()(1)(ˆ②对自相关函数在(-M ,M )内作Fourier 变换,得到功率谱:mj MMm e m m RSωωω--=∑=)()(ˆ)(ˆ式中,一般取1-≤N m ,)(m ω为一个窗函数,通常可取矩形窗。
可见,该窗函数的选择会影响到谱估计的分辨率。
13、AR 谱估计的基本原理是什么?与经典谱估计方法相比,其有什么特点? 答:(1)AR 谱估计的基本原理是: p 阶的AR 模型表示为:∑=+--=pi i n u i n x n x 1)()()(ϕ其自相关函数满足以下YW 方程:取p m ,...,2,1,0=,可得到如下矩阵方程:在实际计算中,已知长度为N 的序列)(n x ,可以估计其自相关函数)(ˆm R x,再利用以上矩阵方程,直接求出参数p ϕϕϕ,...,,21及2σ,于是可求出)(n x 的功率谱的估计值。
(2)与经典谱估计方法相比,其有以下特点:⎥⎥⎥⎥⎥⎦⎤⎢⎢⎢⎢⎢⎣⎡=⎥⎥⎥⎥⎥⎦⎤⎢⎢⎢⎢⎢⎣⎡⎥⎥⎥⎥⎦⎤⎢⎢⎢⎢⎣⎡--001)0()1()()1()0()1()()1()0(21σϕϕp x x x x x x x x x R p R p R p R R R p R R R14、Burg 算法有什么特点?答:(1)不需要估计自相关函数)(ˆn R m,而是从数据)(n x 直接求解; (2)比自相关函数法有更好的分辨率,但会出现“谱线分裂”的现象,对于高阶模型可能产生虚假的峰值;(3)对于短序列(N 较小),Burg 算法的性能不亚于LD 算法的性能,N 较大时,两者性能相当; (4)Burg 算法估计的参数满足,p ,,,i i ...211=≤ϕ,即求出的AR 模型总是稳定的;(5)对于有噪声的正弦信号,Burg 算法存在着对正弦初相位的敏感问题,尤其当数据长度比较短时,随着频率偏差的增加,这种敏感性就越来越明显,从而会导致与相位有关的频率偏差。
15、试简要说明设计维纳滤波器的一种方法。
答:如果设计的滤波器是线性非时变的,并按照最小均方误差准则来设计,得到的滤波器即是维纳滤波器。
16、梯度搜索法的基本原理是什么?Widrow 提出的LMS 算法与基本梯度法有何不同?试写出Widrow 提出的LMS算法的基本步骤。
答:(1)梯度搜索法的基本原理:课本第165页(2)Widrow 提出的LMS 算法与基本梯度法的区别:课本第168页(3)Widrow 提出的LMS 算法的基本步骤:课本第168页三、证明题1、均值函数、均方函数及方差函数三者之间满足如下关系:)()()(22t m t t D x xx +=σ。
证明:2、试证明:对于广义平稳随机信号,其自相关函数、自协方差函数与均值之间如下关系:2)()(x x x m C R +=ττ。
证明:3、对平稳随机序列,设110,,-N x x x ,是观察到的N 个样本,如果其均值x m 已知,对方差的估计为:∑-=-=1022)(1ˆN n x n x m x Nσ,请证明,此估计是无偏的,并且是一致的。
证明:4、 令)(n x 是一个平稳白噪声过程,它的均值为零、方差为2τσ。