春秋战国各国国君
- 格式:doc
- 大小:110.00 KB
- 文档页数:21
春秋战国时期秦国历代国君介绍展开全文1、秦始皇嬴政 [秦] (前259~前210)秦始皇(前259—前210),嬴姓(一说赵姓),名政,秦庄襄王之子,中国历史上杰出的政治家、军事家、统帅。
秦始皇于秦昭王四十八年正月生于赵国邯郸,是秦庄襄王与吕不韦的姬妾所生,所以有人说秦始皇为吕不韦之子。
出生后,姓赵。
公元前247年,庄襄王死,嬴政即秦王位,时年13岁。
相国吕不韦掌握实权。
公元前238年,22岁的秦王政加冕亲政。
这年,宦官嫪毒发动宫廷政变,秦始皇派昌平君......[详细]2、秦孝公嬴渠梁 [春秋战国] (前381~前338)嬴渠梁(公元前381~公元前338年),战国时秦国国君,即秦孝公,公元前361年即王位。
秦孝公即位之初,秦国经济、文化都比中原的国家落后。
他雄心勃勃想恢复300年前先祖秦穆公的霸业,在即位的第二年,就发出征求贤能人才的文告,宣布谁能使秦国富强,就封给高官,赏给土地。
求贤令发出后,在卫国不得志的卫鞅(即商鞅)来到秦国,经孝公的宠臣景监推荐给孝公。
孝公第三次接见卫鞅时,听了卫鞅用“霸道”(法家治国之......[详细]3、秦宣公 [春秋战国] (?~前664)秦宣公(?—前664年),秦国国君,秦德公之长子、秦成公及秦穆公之长兄,在位十二年而卒,葬于平阳墓区(陕西省宝鸡县东阳平镇)。
有子九人,未立,传位于其弟秦成公。
宣公崛起秦宣公即位后的第一年前675,即碰上了周王朝的宫廷政变。
卫国燕国攻打周王室,把惠王赶出了朝廷,拥立王子穨,颓为王。
又过了两年前673,郑伯。
虢叔又杀死了王子穨,送惠王返回朝中。
姬颓为周庄王之庶子,为周庄王所宠爱。
后庄王传子周僖王。
僖......[详细]4、秦惠文王嬴驷 [春秋战国] (前356~前311)秦惠文王(公元前356—公元前311年),一称秦惠王,嬴姓,赵氏,名驷,秦孝公之子,战国时期秦国国君,公元前337—前311年在位。
秦惠文王年十九即位,以宗室多怨,诛杀卫鞅。
卫康叔姬封前1042年~?卫康伯(牟伯)姬髡卫考伯卫嗣伯卫*伯卫靖伯卫贞伯卫顷候前867年~前855年卫厘候前855年~前813年卫共伯姬馀前813年~前812年卫武公姬和前812年~前758年卫庄公姬扬前757年~前735年卫恒公姬完前734年~前719年卫废公姬州吁前719年卫宣公姬晋前718年~前700年卫惠公姬朔前699年~前696年卫君黔牟姬黔牟前696年~前687年卫宣公(复位)姬朔前686年~前669年卫懿公姬赤前668年~前660年卫戴公姬申前660年卫文公姬毁前659年~前635年卫成公姬郑前634年~前633年卫废公姬瑕前632年卫成公(复位)姬郑前631年~前600年卫穆公姬* 前599年~前589年卫定公姬臧前588年~前577年卫献公姬* 前576年~前559年卫殇公姬秋前558年~前547年卫献公(复位)姬* 前546年~前544年卫襄公姬恶前543年~前535年卫灵公姬元前534年~前493年卫出公姬辄前492年~前480年卫庄公姬蒯聩前480年~前478年卫君般师姬般师前478年卫废公姬起前477年卫出公(复位)姬辄前476年~前470年卫悼公姬黔前469年~前465年卫敬公姬弗前464年~前432年卫昭公姬纠前431年~前426年卫怀公姬* 前425年~前414年卫慎公姬颓前414年~前383年卫声公姬训前382年~前372年卫成候姬不逝前371年~前343年卫平候姬劲前342年~前335年卫嗣君前334年~前293年卫怀君前292年~前252年卫元君前252年~前230年卫君角姬角前229年~前209年注:公元前334年卫嗣君继位,在位期间被其附庸的魏国贬爵位为君,公元前221年,君角9年,秦统一天下,秦王政自称为始皇帝。
其又成为秦国附庸国。
前209年,君角21年,秦二世胡亥废卫君角卫庶人,卫国灭亡。
春秋战国周及各主要诸侯国年表周历代天子年表西周周武王发前1046年—前1043年4周成王诵前1042年—前1021年22周康王钊前1020年—前996年25周昭王瑕前995年—前977年19周穆王满前976年—前922年55周共王繄扈前922年—前900年23周懿王囏前899年—前892年8周孝王辟方前891年—前886年6周夷王燮前885年—前878年8周厉王胡前877年—前841年37(共伯和) 和前841年—前828年14周宣王静前827年—前782年46周幽王宫涅前781年—前771年11春秋时期(14位):周平王姬宜臼前770年至前720年周携王姬余臣前770年至前750年周桓王姬林前719年至前697年周庄王姬佗前696年至前682年周釐王姬胡齐前681年至前677年周惠王姬阆前676年至前652年周前废王(王子颓)姬颓前675年至前673年周襄王姬郑前651年至前619年周中废王(王子带)姬带前635年?周顷王姬壬臣前618年至前613年周匡王姬班前612年至前607年周定王姬瑜前606年至前586年周简王姬夷前585年至572年周灵王姬泄心前571年至前545年周景王姬贵前544年至前521年周悼王姬猛前520年周敬王姬丐前520年至前477年周后废王(王子朝)姬朝前520年至前516年战国时期(12位):周元王姬仁前476年至前469年周贞定王姬介前468年至前441年周哀王姬去疾前441年周思王姬叔前441年周考王姬嵬前441年至前426年周威烈王姬午前425年至前402年周安王姬骄前401年至前376年周烈王姬喜前375年至前369年周显王姬扁前368年至前321年周慎靓王姬定前320年至前315年周赧王姬延前314年至前256年周顺王姬杰前255年至前249年太姒与周文王生有十子,依次是:长子伯邑考,早卒。
次子周武王姬发。
三子管叔鲜,三监之一,侯爵,封於管(今河南信阳县)。
西周及春秋战国各诸侯国历代国君鲁国吴国越国楚国燕国韩国魏国中山国杞国杞国是中国历史上自商代到战国初年的一个诸侯国,国祚延绵1000多年,国君为姒姓,禹的后裔。
杞国建国于商朝,其间时断时续,具体事迹已不可考。
周朝初年,杞国重新建国,自东楼公起,有史料可考的传了二十位国君。
直到公元前445年,杞国亡于楚国。
杞国是小国,史书罕有记载,《史记》虽有“陈杞世家”记载陈、杞两国的历史,但对杞国的描述只有二百七十多字,而且还特别说:“杞小微,其事不足称述。
”这样的小国,在周围强邻的压迫下,被迫屡有迁徙。
杞国最初大致在今河南省杞县一带,后来迁到今山东省新泰,后又迁至昌乐、再至安丘一带。
杞国虽小,但也有其重要意义,那就是杞国人乃是夏朝王室之后,存有夏礼,因此孔子曾为考察夏朝之礼而到访杞国。
只是由于杞国文献也多散失,因此孔子感慨道:“夏礼吾能言之,杞不足征也”(《论语·八佾》)。
杞国存在的考古证据不多。
共计有六块殷墟甲骨文提到了杞侯或杞地,可作为商代杞国存在的证据。
而在杞县尚未找到杞国遗存,县城中曾有后人建的东娄公庙,祭祀杞国开国君主东娄公(即东楼公),该建筑在1949年后也已被拆毁。
商朝时期,杞国就已存在。
据《大戴礼记·少间篇》记载,商汤击败夏桀灭亡夏朝之后,将夏王室姒姓的一些遗族迁到了杞(今河南杞县一带)。
但后来曾数次废掉杞国封号(《史记》:“杞在商时,或封或绝”)。
周武王灭商之后,寻找大禹的后裔,结果找到了东楼公,便封他到杞地,延续杞国国祚,主管对禹的祭祀。
同时把舜的后人封到陈国,主管对舜的祭祀。
从东楼公到杞谋娶公,《史记》记载共传四世,其间年份不详,但谋娶公在位时期,正值周厉王当政,和周武王封东楼公差了200多年,共经历了十个周王,因此,有人推算,其间杞国的世系一定有所缺漏。
滕国周公东征后封其弟错叔绣于滕,今山东滕县西南7公里有古滕城即其国都。
有认为滕始封可能在卫地,后改封山东。
春秋初期,滕、鲁关系密切。
春秋战国主要诸侯国世系表春秋(约公元前770-前476)鲁帝王在位年数孝公/姬称28惠公/姬弗涅46隐公/姬息姑11桓公/姬允18庄公/姬同32泯公/姬启02釐公/姬申33文公/姬兴18宣公/姬馁18成公/姬黑肱18襄公/姬午31昭公/姬稠32定公/姬宋15哀公/姬将19齐帝王在位年数庄公/姜赎64僖公/姜禄父33襄公/姜诸儿12桓公/姜小白43孝公/姜昭10昭公/姜潘20懿公/姜商人04惠公/姜元10顷公/姜无野17灵公/姜环28庄公/姜光06景公/姜杵臼58元年干支公元前796乙巳年公元前768癸酉年公元前722己未年公元前711庚午年公元前693戊子年公元前661庚申年公元前659壬戌年公元前626乙未年公元前608癸丑年公元前590辛未年公元前572己丑年公元前541庚申年公元前509壬辰年公元前494丁未年元年干支公元前794丁未年公元前730辛亥年公元前697甲申年公元前685丙申年公元前642己卯年公元前632己丑年公元前612己酉年公元前608癸丑年公元前598癸亥年公元前581庚辰年公元前553戊申年公元前547甲寅年晏儒子/姜茶01公元前489壬子年悼公/姜阳生04公元前488癸丑年简公/姜任04公元前484丁巳年平公/姜骜05公元前480辛酉年晋帝王在位年数元年干支文侯/姬仇35公元前780辛酉年昭侯/姬伯06公元前745丙申年孝侯/姬平16公元前739壬寅年鄂侯/姬卻06公元前723戊午年哀侯/姬光08公元前717甲子年姬小子03公元前709壬申年姬泯28公元前706乙亥年武公/姬称02公元前678癸卯年献公/姬诡诸26公元前676乙巳年惠公/姬夷吾14公元前650辛未年文公/姬重耳09公元前636乙酉年襄公/姬欢07公元前627甲午年灵公/姬夷皋14公元前620辛丑年成公/姬黑臀07公元前606乙卯年景公/姬据19公元前599壬戌年厉公/姬寿曼08公元前580辛巳年悼公/姬周15公元前572己丑年平公/姬彪26公元前557甲辰年昭公/姬夷06公元前531庚午年顷公/姬弃疾14公元前525丙子年定公/姬午36公元前511庚寅年秦帝王在位年数元年干支襄公12公元前777甲子年文公50公元前765丙子年宁公12公元前715丙寅年出公06公元前703戊寅年武公20公元前697甲申年德公02公元前677甲辰年宣公12公元前675丙午年成公04公元前663戊午年穆公39公元前659壬戌年康公12公元前620辛丑年共公05公元前608癸丑年桓公27公元前603戊午年景公40公元前576乙酉年哀公36公元前536乙丑年惠公10公元前500辛丑年悼公14公元前490辛亥年厉共公01楚帝王在位年数熊若敖27熊霄敖06熊蚡冒17武王/熊通51 文王/熊赀13 熊诸敖囏05成王/熊恽46 穆王/熊商臣12 庄王/熊侣23 共王/熊审31 康王/熊招15 熊郏敖04灵王/熊围12 平王/熊居13 昭王/熊珍27 惠王/熊章13 宋帝王在位年数戴公34武公/子司空18宣公/子力19穆公/子和09殇公/子与夷09子冯19公元前476乙丑年元年干支公元前790辛亥年公元前763戊寅年公元前757甲申年公元前740辛丑年公元前689壬辰年公元前676乙巳年公元前671庚戌年公元前625丙申年公元前613戊申年公元前590辛未年公元前559壬寅年公元前544丁巳年公元前540辛酉年公元前528癸酉年公元前515丙戌年公元前488癸丑年元年干支公元前799壬寅年公元前765丙子年公元前747甲午年公元前728癸丑年公元前719壬戌年公元前710辛未年湣公/子捷10公元前691庚寅年桓公/子御说31公元前681庚子年襄公/子兹父14公元前650辛未年成公/子王臣17公元前636乙酉年昭公/子杵臼09公元前619壬寅年文公/子鲍22公元前610辛亥年共公/子瑕13公元前588癸酉年平公/子成44公元前675丙戌年元公/子佐15公元前531庚午年景公/子头曼41公元前516乙酉年战国(约公元前475-前221)秦帝王在位年数元年干支厉共公34公元前476乙丑年躁公14公元前442己亥年怀公04公元前428癸丑年灵公10公元前424丁巳年简公/赢悼子15公元前414丁卯年惠公13公元前399壬午年出子02公元前386乙未年献公23公元前384丁酉年孝公/赢渠梁24公元前361庚申年商鞅变法收复河西惠文王/赢驷27公元前337甲申年北扫义渠,西平巴蜀,东出函谷,南下商於,得楚地汉中,秦国的关中、汉中、巴蜀连成一片,秦国对六国形成了居高临下的压迫形势。
图说中国历代君主帝王25---春秋战国韩国各代国君图说中国历代君主帝王25---春秋战国韩国各代国君韩武子韩万叔虞的儿子名燮(xie谢),燮自唐徙居晋水旁,就改称晋侯。
燮生武侯,名宁旅,为三世。
武侯生成侯,名服人,为四世。
成侯生厉侯,名福,为五世。
厉侯生靖后,名宜臼,为六世。
靖侯生厘侯,名司徒,为七世。
厘侯生献侯,名籍,为八世。
献侯生穆侯,名费王,为九世。
穆侯生成师,封于曲沃,是为桓叔,为十世。
成师之子万,即韩武子,为韩氏受姓始祖。
韩赇伯是晋国韩氏家族的领袖之一,为韩氏第二任领袖,承袭父亲韩万担任韩氏家族领袖。
韩赇伯死后,儿子韩简继位,是为韩定伯韩简是晋国韩氏家族的领袖之一,为韩氏第三任领袖,承袭父亲韩赇伯担任韩氏家族领袖。
前645年秋,秦穆公出兵伐晋,交战的地方就是韩简的封地。
战前,韩简曾向晋惠公说,由于惠公对秦国失信,此战胜算不大。
惠公派韩简向秦穆公下了战书,战争中,韩简截击穆公,不料,这时惠公的战车陷入泥泞,韩简只好丢下秦穆公来救惠公。
战斗的结果是,晋惠公做了秦国俘虏,韩简随之被俘。
因为晋惠公的姐姐、秦穆公夫人伯姬的劝谏,秦穆公放了惠公君臣。
晋惠公怨天尤人,韩简再次出来进谏,直言是惠公的过错。
韩简死后,谥号定,史称韩定伯,儿子韩舆继位。
韩舆又名韩子舆,是晋国韩氏家族的领袖之一,为韩氏第四任领袖,承袭父亲韩简担任韩氏家族领袖。
韩舆死后,儿子韩厥继位。
[1]《左传》记载,前589年的鞍之战中,韩厥担任晋军司马,作战前一天,韩厥梦见父亲韩舆告诉自己,作战时不要站在战车上的左右两边。
这样在战斗韩厥免于被齐顷公射杀。
韩献子韩厥姬姓、韩氏、讳厥、谥号献,史称韩献子。
韩子舆的儿子。
是中国春秋时期晋国韩氏第五任的领袖。
g_U69 z 早年丧父,由赵盾抚养长大,被赵盾推荐为晋军司马。
前597年,参加泌城之战。
前589年,参加鞍之战。
前583年,帮助赵武使赵氏复兴。
前575年,参加鄢陵之战。
前573年,韩厥继栾书为正卿。
春秋战国周及各主要诸侯国年表周历代天子年表西周周武王发前1046年—前1043年4周成王诵前1042年—前1021年22周康王钊前1020年—前996年25周昭王瑕前995年—前977年19周穆王满前976年—前922年55周共王繄扈前922年—前900年23周懿王囏前899年—前892年8周孝王辟方前891年—前886年 6周夷王燮前885年—前878年8周厉王胡前877年—前841年37(共伯和) 和前841年—前828年14周宣王静前827年—前782年46周幽王宫涅前781年—前771年11春秋时期(14位):周平王姬宜臼前770年至前720年周携王姬余臣前770年至前750年周桓王姬林前719年至前697年周庄王姬佗前696年至前682年周釐王姬胡齐前681年至前677年周惠王姬阆前676年至前652年周前废王(王子颓)姬颓前675年至前673年周襄王姬郑前651年至前619年周中废王(王子带)姬带前635年?周顷王姬壬臣前618年至前613年周匡王姬班前612年至前607年周定王姬瑜前606年至前586年周简王姬夷前585年至572年周灵王姬泄心前571年至前545年周景王姬贵前544年至前521年周悼王姬猛前520年周敬王姬丐前520年至前477年周后废王(王子朝)姬朝前520年至前516年战国时期(12位):周元王姬仁前476年至前469年周贞定王姬介前468年至前441年周哀王姬去疾前441年周思王姬叔前441年周考王姬嵬前441年至前426年周威烈王姬午前425年至前402年周安王姬骄前401年至前376年周烈王姬喜前375年至前369年周显王姬扁前368年至前321年周慎靓王姬定前320年至前315年周赧王姬延前314年至前256年周顺王姬杰前255年至前249年太姒与周文王生有十子,依次是:长子伯邑考,早卒。
次子周武王姬发。
三子管叔鲜,三监之一,侯爵,封於管(今河南信阳县)。
春秋战国各主要诸侯国历代国君春秋战国时期是中国历史上一个重要的分水岭,这段时期充满了战争和政治斗争,主要由各个诸侯国所主导。
本文将逐一介绍春秋战国时期各主要诸侯国的历代国君,带领读者回顾这段激动人心的历史时期。
1. 齐国齐国是春秋战国时期的典型中等诸侯国之一,国君历代较为出众。
首任国君为吕尚,吕尚位于齐桓公(姬姓)在位时期,他是齐国的奠基者,也是推动齐国在当时地位上升的关键人物。
之后的齐国国君大多与吕姓相关,至春秋末年间,齐国的君主为齐襄公。
值得一提的是,齐襄公是著名的政治家和军事家,他成功地扩大了齐国的势力范围,使得齐国成为战国时期七雄之一。
2. 秦国秦国是战国时期最具野心的诸侯国之一,他们充分利用了时势,通过改革和征战一步步扩大自己的势力。
秦国首任国君为嬴驹,他是秦国的开国君主,是名副其实的奠基者。
接下来的秦国国君大多为嬴姓,其中最著名的是嬴政,他在位时进行了一系列变法,推动了秦国的发展,并最终统一了六国,建立了中国历史上第一个封建帝国。
3. 楚国楚国是春秋战国时期最南部的诸侯国,其国君众多且富有传奇色彩。
楚国首任国君为熊通,他是楚国的奠基者,为楚国的兴起打下了坚实的基础。
此后,楚国历代国君主要为蔡、嬴、春、赵等姓氏,其中蔡问是楚国最为杰出的国君之一。
蔡问在位期间,推动了楚国的政治与军事改革,使楚国成为了战国时期的重要势力。
4. 魏国魏国是春秋战国时期的中等诸侯国之一,其国君也有较高的政治才能。
魏国首任国君为魏武,他在位时期致力于将国家建设成富饶的领土。
之后,魏国历代国君除了魏武后裔外,也有来自其他姓氏的国君,其中最为著名的是魏昭王(姬姓)。
魏昭王是春秋末年的魏国君主,他采取了一系列改革措施,使得魏国在政治和军事方面都取得了一定的成绩。
5. 韩国韩国是春秋战国时期的弱小诸侯国之一,国君在历代中资质并不出众。
韩国首任国君为韩康伯,他是韩国的奠基者,致力于巩固韩国的地位。
接下来的韩国国君有来自不同姓氏的,大多无太多政治成就,韩哀侯是最后的韩国国君,他在位时期韩国土地被齐国所侵占,韩国逐渐失去了独立性。
春秋战国时期魏国历代国君介绍1、魏文侯魏斯 [春秋战国] (前472~前396)魏文侯(前472年―前396年),姬姓魏氏,名斯,一名都,安邑(今山西夏县)人,魏桓子之孙。
战国时期魏国开国君主。
公元前445年即位。
公元前403年,韩、赵、魏,被周威烈王正式承认为诸侯,成为封建国家。
魏文侯在位时礼贤下士,师事儒门子弟子夏、田子方、段干木等人,任用李悝、翟璜为相,乐羊、吴起等为将。
这些出身于小贵族或平民的士开始在政治、军事方面发挥其作用,标志着世族政治开始为官僚政治所代替。
魏文侯......[详细]2、魏武侯魏击 [春秋战国] (?~前370)魏武侯(?—前370年),姬姓,魏氏,名击,安邑(今山西夏县)人,魏文侯之子,战国初期魏国国君,前395年—前370年在位(《史记》、《资治通鉴》误载魏武侯前387年即位,前386年为魏武侯元年。
据《竹书纪年》则为前396年即位,前395年为武侯元年)。
他是三家分晋后魏国的第二代国君,在位期间将魏国的百年霸业再一次推向高峰。
......[详细]3、魏昭王魏遫 [春秋战国] (?~前277)魏昭王(?─前277年),汉族,姬姓,魏氏,名遫。
魏襄王之子,魏惠王之孙。
东周魏国第5代国君。
前295年—前277年在位。
孟尝君奔魏,魏昭王以为相,与诸侯共伐破齐。
魏昭王十二年,燕昭王悉起燕国之兵,以乐毅为上将军,直取齐国七十余城。
魏昭王的小儿子,公子魏无忌,是魏安釐王的异母弟弟,也就是所谓战国四公子中的信陵君,以养士出名。
魏哀王二十三年(公元前296年),魏哀王去世,魏昭王继位。
魏昭王元年(公......[详细]4、魏襄王魏嗣 [春秋战国] (?~前296)魏襄王(?―公元前296年),姬姓,魏氏,名嗣,一名赫,魏惠王之子,战国时期魏国第四任国君,公元前318年—公元前296年在位。
公元前318年,魏、韩、赵、楚、燕五国合纵攻秦,不克而返。
惠施为魏出使楚国。
公元前296年,魏襄王去世,其子魏昭王即位。
春秋战国时期楚国历代国君一览表楚国是春秋战国时期的诸侯国之一,在当时是十分强大的,一共历经了43位国君,下文是历代国君一览表,供大家查阅。
1、熊绎,鬻熊曾孙,西周诸侯国楚国始封君。
2、熊艾,熊绎之子,西周时期楚国君主。
3、熊䵣,熊艾之子,西周时期楚国的第三任君王。
4、熊胜,熊䵣之子,楚国的第四任君王。
5、熊杨,楚国的第五任君王,在位期间,主要活动范围,仍限于荆山及古沮、漳河上游地区。
6、熊渠,楚熊杨之子,西周时期诸侯国楚国第六任君主,在位时间前886年—前877年,在位年数9。
7、熊挚,在位时间?~前876年,又作熊挚红。
8、熊延,在位时间前875年~前847年,在位年数29,原名熊执疵。
9、熊勇,在位时间前846年~前838年,在位年数9。
10、熊严,在位时间前837年~前828年,在位年数10。
11、熊霜,在位时间前827年~前822年,在位年数6。
12、熊徇,在位时间前821年~前800年,在位年数22。
13、熊咢,在位时间前799年~前791年,在位年数9。
14、楚若,氏名敖熊仪,在位时间前790年~前764年,在位年数27。
15、楚霄,氏名敖熊坎,在位时间前763年~前758年,在位年数6。
16、楚蚡冒,氏名熊眴,在位时间前757年~前741年,在位年数17,《韩非子》作楚厉王。
17、楚武王,氏名熊通,在位时间前740年~前690年,在位年数51。
18、楚文王,氏名熊赀,在位时间前689年~前677年,在位年数13。
19、楚堵敖,氏名熊艰,在位时间前676年~前672年,在位年数5。
20、楚成王,氏名熊恽,在位时间前671年~前626年,在位年数47。
21、楚穆王,氏名熊商臣,在位时间前625年~前614年,在位年数12。
22、楚庄王,氏名熊侣,在位时间前613年~前591年,在位年数23,出土文献作臧王,《吕览》作庄哀王。
23、楚共王,氏名熊审,在位时间前590年~前560年,在位年数31,又作龚王。
历史上春秋战国时期的四大君主是哪四个?春秋战国时期“四大君主”1.齐桓公齐桓公(前685—前643),春秋时齐国国君,春秋五霸之首,姜姓,名小白,其兄齐襄公在位时,昏庸暴乱,诸弟出逃,小白也逃往莒国。
公元前686年,齐襄公被杀,小白抢先回到齐国,在齐国高氏帮助下,取得君位,是为齐桓公。
齐桓公任用管仲,在内进行行政改革,发展生产,使齐国经济、军事力量大增,对外?「尊王攘夷」,取得了「挟天子以令诸侯」的优势,又顺应了当时戎狄内侵、中原各国关注如何抵御的态势。
齐桓公在诸国间获得了极高的威信,最终成为春秋时期第一位霸主。
(选择的原因:名副其实)2. 越王勾践勾践(前520年—前465年),春秋末越国国君,春秋五霸之一。
姓姒(因为是大禹的后代,所以姓姒),名勾践,又名菼执,越王允常之子。
公元前496年,勾践即越王位,同年在李大败吴师。
公元前494年,被吴军败于夫椒,被迫向吴投降,勾践做了吴臣仆。
此后二十年间,勾践卧薪尝胆,忍辱负重,任用贤臣,繁息人口,发展生产,重建武装,越国重新强大起来。
从公元前482年起,越开始攻吴。
前473年,灭掉吴国,统一了东南一带。
后来勾践又北上争霸,横行江淮,号称霸王。
(选择的原因:因成语“卧薪尝胆”而喜欢)3.秦孝公秦孝公(前381—前338),战国时秦国国君。
嬴姓,名渠梁。
先秦时期男子称氏不称姓,虽为嬴姓,却不叫嬴渠梁。
秦献公之子。
前361年—前338年在位。
秦孝公重用卫鞅(即商鞅)实行变法,奖励耕战,并迁都咸阳(今陕西咸阳东北),建立县制行政,开阡陌,在加强中央集权的同时,不断增进农业生产。
对外,秦与楚和亲,与韩订约,联齐、赵攻魏安邑(今山西夏县西北),拓地至洛水以东,自此国力日强,为秦统一中国奠定了基础。
(选择的原因:没有孝公的打基础,就没有始皇的得天下)4.秦始皇秦始皇(公元前259 --- 公元前210年),姓嬴,名政。
因生于赵都邯郸,故又称赵政。
13岁即王位,39岁称皇帝,在位37 年。
春秋战国人物列表春秋战国时期,是中国历史上一个重要的时代,也是一个充满战乱和变革的时期。
许多著名的历史人物在这个时代崭露头角,为后世留下了深刻的影响。
本文将为您介绍一些春秋战国时期的重要人物,让我们一同了解这段历史的风云人物。
1. 孔子(公元前551年-公元前479年)孔子是中国古代著名的思想家、教育家和哲学家,被尊称为“大师”。
他的学说被后世称为儒家学派,对中国思想文化产生了深远影响。
孔子的主要思想包括仁义道德、礼制和孝道,他的教育思想强调培养人的品德和修养。
他的弟子记录并整理了他的言行,形成了《论语》,成为后世思想家和政治家的重要参考。
2. 孟子(公元前372年-公元前289年)孟子是孔子学派的重要承继者,也是中国古代著名的哲学家和政治家。
他的思想强调人性本善,主张通过教育和正确的治理来实现社会的和谐和国家的安定。
孟子的学说对儒家思想产生了深远的影响,他的观点也受到了后来道家、墨家等其他学派的争议和发展。
3. 鲁国国君鲁桓公(公元前711年-公元前694年)鲁桓公是春秋时期鲁国的国君,也是《论语》中的重要人物之一。
他致力于改革鲁国的政治和社会制度,提倡礼仪和仁爱,减轻农民的税赋和劳役,倡导以文化和道德来治理国家。
他的改革措施对后世产生了积极的影响,被后世称为“仁君”。
4. 齐国国君孟尝君(公元前319年-公元前266年)孟尝君是战国时期齐国的国君,也是中国历史上著名的政治家和军事家。
他致力于齐国的国内改革和对外扩张,使齐国成为当时的强国。
孟尝君的政治手腕和治国理念备受赞誉,他通过一系列的措施改革齐国的行政、财政和军事制度,为齐国的繁荣和发展做出了巨大贡献。
5. 楚国国君项羽(公元前232年-公元前202年)项羽是战国时期楚国的国君,也是中国历史上著名的政治家和军事家。
他率军推翻秦朝统治,结束了秦朝的统一局面,成为战国时期争霸的重要人物之一。
然而,在建立新的政权方面,项羽却屡屡失利,最终让刘邦夺取了天下,结束了战国时期的混乱局势。
春秋五霸齐桓公、宋襄公、晋文公、秦穆公和楚庄王。
齐桓公:齐桓公是公元前685年即位。
他任用管仲为相,在政治、经济上作了一系列改革,使齐国强大起来。
由于齐桓公率兵击退戎族、狄族的进攻,又率齐、鲁、宋等八国之师破蔡伐楚,阻止楚军北进,他的威信由此大增。
公元前651年,他大会诸侯于葵丘(今河南考城),订立盟约,“九合诸侯,一匡天下”,最先成为中原第一个霸主。
宋襄公:周襄王十三年(公元前639年)春,宋、齐、楚三国国君相聚在齐国的鹿地。
宋襄公一开始就以盟主的身份自居,认为自己是这次会议的发起人,同时又认为自己的爵位也比楚、齐国君高,盟主非已莫属。
但是楚成王令楚兵把宋襄王拘押起来,然后指挥五百乘大军浩浩荡荡杀奔宋国。
最后宋襄公被楚国抓走后又放掉。
宋襄公一心想成为霸主,其霸业不过昙花一现。
晋文公:公元前633年,楚成王率领楚、郑、陈等国军队围攻宋国都城睢阳(今河南商丘)。
宋国派人到晋国求救。
晋文公采纳了部下的正确意见。
争取了齐国和秦国参战,壮大了自己的力量。
而后又改善同曹、卫的关系,孤立楚国。
这时,楚国令尹(官名,相当于宰相)子玉大怒,发兵进攻晋军。
晋文公为避楚军的锋芒,以便选择战机,命令部队向后撤退九十里。
古代军队行军三十里叫做一舍,九十里就是三舍。
晋军“退避三舍”,后撤到卫国的城濮(今山东省憋县)。
城濮离晋国比较近,补给供应很方便,又便于会合齐、秦、宋等盟国军队,集中兵力。
公元前632年4月,晋楚两军开始决战。
晋军诱敌深入,楚军陷入重围,全部被歼。
城濮之战创造了在军事上先退让一步,后发制人的著名战例。
随后晋文公请来周襄王,在践土(今河南广武)和诸侯会盟。
周天子策封晋文公为“侯伯”(诸侯之长),并赏赐他黑红两色弓箭,表示允许他有权自由征伐。
晋文公成了中原霸主。
秦穆公:晋国称霸的时候,西部的秦国也强大起来。
秦穆公企图向东争霸中原,但由于向东的通路为晋所阻,便向西吞并十几个小国,在函谷关以西一带称霸,史称“称霸西戎”。
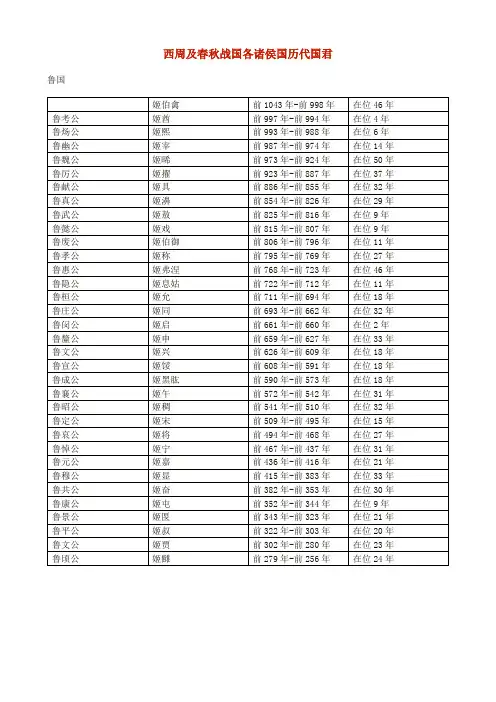
鲁国姬伯禽前1043年-前998年在位46年鲁考公姬酋前997年-前994年在位4年鲁炀公姬熙前993年-前988年在位6年鲁幽公姬宰前987年-前974年在位14年鲁魏公姬晞前973年-前924年在位50年鲁厉公姬擢前923年-前887年在位37年鲁献公姬具前886年-前855年在位32年鲁真公姬濞前854年-前826年在位29年鲁武公姬敖前825年-前816年在位9年鲁懿公姬戏前815年-前807年在位9年鲁废公姬伯御前806年-前796年在位11年鲁孝公姬称前795年-前769年在位27年鲁惠公姬弗涅前768年-前723年在位46年鲁隐公姬息姑前722年-前712年在位11年鲁桓公姬允前711年-前694年在位18年鲁庄公姬同前693年-前662年在位32年鲁闵公姬启前661年-前660年在位2年鲁厘公姬申前659年-前627年在位33年鲁文公姬兴前626年-前609年在位18年鲁宣公姬馁前608年-前591年在位18年鲁成公姬黑肱前590年-前573年在位18年鲁襄公姬午前572年-前542年在位31年鲁昭公姬稠前541年-前510年在位32年鲁定公姬宋前509年-前495年在位15年鲁哀公姬将前494年-前468年在位27年鲁悼公姬宁前467年-前437年在位31年鲁元公姬嘉前436年-前416年在位21年鲁穆公姬显前415年-前383年在位33年鲁共公姬奋前382年-前353年在位30年鲁康公姬屯前352年-前344年在位9年鲁景公姬匽前343年-前323年在位21年鲁平公姬叔前322年-前303年在位20年鲁文公姬贾前302年-前280年在位23年鲁顷公姬雠前279年-前256年在位24年齐国(姜氏)齐太公姜尚(前1046年--前1000年) 47年齐丁公姜及(前999年--前)齐乙公姜得(前--前)齐癸公姜慈母(前--前)齐哀公姜不辰(前--前863年)齐胡公姜静(前862年--前860年) 3年齐献公姜山(前859年--前851年) 9年齐武公姜寿(前850年--前825年) 26年齐厉公姜无忌(前824年--前816年) 9年1齐文公姜赤(前815年--前804年) 12年齐成公姜说(前803年--前795年) 9年齐前庄公姜购(前794年--前731年) 64年齐厘公姜禄甫(前730年--前698年) 33年齐襄公姜诸儿(前697年--前686年) 12年齐前废公姜无知(前686年--前686年) 2月齐桓公姜小白(前685年--前643年) 43年齐中废公姜无诡(前643年--前643年) 3月齐孝公姜昭(前642年--前633年) 10年齐昭公姜潘(前632年--前613年) 20年齐后废公姜舍(前613年--前613年) 5月齐懿公姜商人(前612年--前609年) 4年齐惠公姜元(前608年--前599年) 10年齐顷公姜无野(前598年--前582年) 17年齐灵公姜环(前581年--前554年) 28年齐后庄公姜光(前553年--前548年) 6年齐景公姜杵臼(前547年--前490年) 58年齐晏孺子姜荼(前489年--前489年) 10月齐悼公姜阳生(前488年--前485年) 4年齐简公姜壬(前484年--前481年) 4年齐平公姜骛(前480年--前456年) 25年齐宣公姜积(前455年--前405年) 51年齐康公姜贷(前404年--前379年) 26年(田氏)齐太公田和(前404年--前384年) 21年齐前废王田剡(前378年--前375年) 4年齐桓王田午(前374年--前357年) 18年齐威王田因齐(前356年--前320年) 37年齐宣王田辟疆(前319年--前301年) 19年齐愍王田地(前300年--前284年) 17年齐襄王田法章(前283年--前265年) 19年齐后废王田建(前264年--前221年) 44年郑国郑桓公姬友在位36年前806年—前771年郑武公姬掘突在位27年前770年—前744年郑庄公姬寤生在位43年前743年—前701年郑昭公姬忽在位1年前700年郑厉公姬突在位4年前700年—前697年郑昭公姬忽在位2年前696年—前695年(复位)郑子亹姬子亹在位7月前694年郑子婴姬婴在位14年前693年—前680年郑厉公姬突在位7年前679年—前673年(复位)郑文公姬踕在位45年前672年—前628年郑穆公姬子兰在位22年前627年—前606年郑灵公姬子夷在位1年前605年郑襄公姬子坚在位18年前604年—前587年2郑悼公姬沸在位2年前586年—前585年郑成公姬睔在位14年前584年—前571年郑厘公姬恽在位5年前570年—前566年郑简公姬嘉在位36年前565年—前530年郑定公姬宁在位16年前529年—前514年郑献公姬趸在位13年前513年—前501年郑声公姬胜在位38年前500年—前463年郑哀公姬易在位8年前462年—前455年郑共公姬丑在位31年前454年—前424年郑幽公姬已在位1年前423年郑繻公姬骀在位27年前422年—前396年郑康公姬乙在位21年前395年—前375年宋国宋微子子启宋微仲子衍宋宋公子稽宋丁公子申宋前闵公子共宋炀公子熙宋历公子鲋祀宋厘公子举(前859-前831)在位28年宋惠公子覵(前830-前800)在位30年宋哀公(前799)在位30年宋戴公子武庄(前799-前766)在位34年宋武公子司空(前765-前748)在位18年宋宣公子力(前749-前729)在位19年宋穆公子和(前728-前720)在位9年宋殇公子与夷(前719-前711)在位10年宋庄公子冯(前710-前692)在位19年宋后愍公子捷(前691-前682)在位11年宋前废公子游(前682)在位1年宋桓公子御说(前681-前651)在位31年宋襄公子兹父(前650-前637)在位14年宋成公子王臣(前636-前620)在位17年宋中废公子御(前620)宋前昭公子杵臼(前619-前611)在位9年宋文公子鲍(前610-前589)在位22年宋共公子瑕(前588-前576)在位13年宋平公子成(前575-前532)在位44年宋元公子佐(前531-前517)在位15年宋景公子头曼(前516-前451)在位64年宋后昭公子特(前450-前404)在位47年宋悼公子购繇(前403-前396)在位8年宋休公子田(前395-前373)在位23年宋辟公子辟兵(前372-前370)在位3年宋后废公子剔成(前369-前329)在位41年宋康王子偃(前328-前286)即在位47年吴国3古公禀父(前?-前?)吴伯太伯(前?-前?) 仲雍(前?-前?) 季简(前?-前?) 叔达(前?-前?) 周章(前?-前?) 熊遂(前?-前1039) 柯相(前1038-前1009) 在位30年强鸠夷(前1008-前958) 在位51年余桥疑吾(前957-前920) 在位38年柯卢(前919-前861) 在位59年周繇(前860-前829) 在位32年屈羽(前828-前795) 在位34年夷吾(前794-前762) 在位33年禽处(前761-前723) 在位39年转(前722-前682) 在位41年颇高(前681-前672) 在位9年句卑(前671-前621) 在位51年去齐(前622-前586) 在位35年吴王寿梦(前585-前561) 在位25年吴王诸樊(前561-前548) 在位13年吴王余祭(前548-前531) 在位17年吴王余眛(前531-前527) 在位4年吴王僚(前527-前515) 在位12年吴王阖闾(前515-前496) 在位19年吴王夫差(前496-前473) 在位23年越国越王姒无余(前1981年之前)越王姒丕诚(前621之前)越王姒无壬(前621—前591)越王姒无译(前591—前565)越王姒夫镡(前565—前538)越王允常(前538—前497)越王勾践(前497-前465)越王鹿郢(前464-前459)越王不寿(前459-前449)越王朱勾(前449-前412)越王姒翳(前411-前376)越王诸咎(前376.7—10)越王姒错枝(前375-前374)越王之侯(前375-前363)越王无颛(前363-前355)越王无强(前355-前333)越王姒玉(前333-前306)楚国熊蚤(前1046年--前)熊丽(前--前)熊狂(前--前)熊泽(前--前)熊艾(前--前)4熊瞻(前--前)熊胜(前--前)熊杨(前--前)熊渠(前--前)熊挚(前--前)熊延(前--前848年)熊勇(前847年--前838年) 10年熊严(前837年--前828年) 10年熊霜(前827年--前822年) 6年熊徇(前821年--前800年) 22年熊咢(前799年--前791年) 9年熊仪(前790年--前764年) 27年熊坎(前763年--前758年) 6年熊眴(前757年--前741年) 17年楚武王熊通(前740年--前690年) 51年楚文王熊赀(前689年--前675年) 15年楚堵敖熊艰(前674年--前672年) 3年楚成王熊恽(前671年--前626年) 46年楚穆王熊商臣(前625年--前614年) 12年楚庄王熊侣(前613年--前591年) 23年楚共王熊审(前590年--前560年) 31年楚康王熊招(前559年--前545年) 15年楚郏王熊员(前544年--前541年) 4年楚灵王熊围(前540年--前529年) 12年楚平王熊居(前528年--前516年) 13年楚昭王熊珍(前515年--前489年) 27年楚惠王熊章(前488年--前432年) 57年楚简王熊中(前431年--前408年) 24年楚声王熊当(前407年--前402年) 6年楚悼王熊疑(前401年--前381年) 21年楚肃王熊臧(前380年--前370年) 11年楚宣王熊良夫(前369年--前340年) 30年楚威王熊商(前339年--前329年) 11年楚怀王熊槐(前328年--前296年) 33年楚顷襄王熊横(前298年--前263年) 36年楚考烈王熊元(前262年--前238年) 26年楚幽王熊悍(前237年--前229年) 9年楚哀王熊犹(前228年--前228年) 2月楚王熊负刍(前228年--前223年) 6年晋国唐叔虞姬虞(前1042年--前)晋侯燮姬燮(前--前)晋武侯姬宁族(前--前)晋成侯姬服人(前--前)晋厉侯姬福(前--前859年)5晋靖侯姬宜臼(前858年--前841年) 18年晋厘侯姬司徒(前840年--前823年) 18年晋献侯姬籍(前822年--前812年) 11年晋穆侯姬费王(前811年--前785年) 27年晋殇叔姬殇(前784年--前781年) 4年晋文侯姬仇(前780年--前746年) 35年晋昭侯姬伯(前745年--前740年) 6年晋孝侯姬平(前739年--前724年) 16年晋鄂侯姬却(前723年--前718年) 6年晋哀侯姬光(前717年--前709年) 9年晋小子侯姬小子(前708年--前705年) 4年晋缗侯姬缗(前704年--前679年) 26年曲沃桓叔姬成师(前744年--前731年) 14年曲沃庄公姬鳝(前730年--前716年) 15年曲沃武公(晋武公) 姬称(前715年--前677年) 39年晋献公姬诡诸(前676年--前651年) 26年晋惠公姬夷吾(前650年--前637年) 14年晋怀公姬圉(前637年--前637年) 1年晋文公姬重耳(前636年--前628年) 9年晋襄公姬欢(前627年--前621年) 7年晋灵公姬夷皋(前620年--前607年) 14年晋成公姬黑肩(前606年--前600年) 7年晋景公姬据(前599年--前581年) 19年晋厉公姬寿曼(前580年--前573年) 8年晋悼公姬周(前572年--前558年) 15年晋平公姬彪(前557年--前532年) 26年晋昭公姬夷(前531年--前526年) 6年晋顷公姬弃疾(前525年--前512年) 14年晋定公姬午(前511年--前475年) 37年晋出公姬凿(前474年--前452年) 23年晋哀公姬骄(前451年--前434年) 18年晋幽公姬柳(前433年--前416年) 18年晋烈公姬止(前415年--前389年) 27年晋孝公姬欣(前388年--前357年) 32年晋静公姬俱酒(前356年--前349年) 8年秦国秦非子前900年~前846年在位54年秦公伯前846年~前844年在位2年嬴仲前845年~前822年在位23年秦庄公前821年~前778年在位44年秦襄公敬仲前777年~前766年在位12年秦文公前765年~前716年在位50年秦静公早逝秦宁公竫公前715年~前698年在位18年秦出公谋杀6秦武公前697年~前678年在位20年秦德公前677年~前676年在位2年秦宣公前675年~前664年在位12年秦成公前663年~前660年在位4年秦穆公任好前659年~前621年在位39年秦康公嬴罃前620年~前609年在位12年秦共公嬴和前608年~前604年在位5年秦桓公嬴荣前603年~前577年在位27年秦景公嬴后前576年~前537年在位40年秦哀公前536年~前501年在位36年秦夷公史记称夷公“早死,不得立,立夷公子,是为惠公。