第二章数列单元综合测试题附答案
- 格式:doc
- 大小:948.50 KB
- 文档页数:8
高中数学(人教版)必修五第二章数列综合测试卷本试卷满分150分,其中选择题共75分,填空题共25分,解答题共50分。
试卷难度:0.63一.选择题(共15小题,满分75分,每小题5分)1.(5分)记S n为等差数列{a n}的前n项和.若a4+a5=24,S6=48,则{a n}的公差为()A.1B.2C.4D.82.(5分)我国古代数学名著《算法统宗》中有如下问题:“远望巍巍塔七层,红光点点倍加增,共灯三百八十一,请问尖头几盏灯?”意思是:一座7层塔共挂了381盏灯,且相邻两层中的下一层灯数是上一层灯数的2倍,则塔的顶层共有灯()A.1盏B.3盏C.5盏D.9盏3.(5分)几位大学生响应国家的创业号召,开发了一款应用软件.为激发大家学习数学的兴趣,他们推出了“解数学题获取软件激活码”的活动.这款软件的激活码为下面数学问题的答案:已知数列1,1,2,1,2,4,1,2,4,8,1,2,4,8,16,…,其中第一项是20,接下来的两项是20,21,再接下来的三项是20,21,22,依此类推.求满足如下条件的最小整数N:N>100且该数列的前N项和为2的整数幂.那么该款软件的激活码是()A.440B.330C.220D.1104.(5分)已知数列{a n}、{b n}、{c n},以下两个命题:①若{a n+b n}、{b n+c n}、{a n+c n}都是递增数列,则{a n}、{b n}、{c n}都是递增数列;②若{a n+b n}、{b n+c n}、{a n+c n}都是等差数列,则{a n}、{b n}、{c n}都是等差数列;下列判断正确的是()A.①②都是真命题B.①②都是假命题C.①是真命题,②是假命题D.①是假命题,②是真命题5.(5分)一给定函数y=f(x)的图象在下列图中,并且对任意a1∈(0,1),=f(a n)得到的数列{a n}满足a n+1>a n,n∈N*,则该函数的图象是由关系式a n+1()A.B.C.D.6.(5分)若数列{a n},{b n}的通项公式分别为a n=(﹣1)n+2016•a,b n=2+,且a n<b n,对任意n∈N*恒成立,则实数a的取值范围是()A.B.[﹣1,1)C.[﹣2,1)D.7.(5分)数列{a n}是正项等比数列,{b n}是等差数列,且a6=b7,则有()A.a3+a9≤b4+b10B.a3+a9≥b4+b10C.a3+a9≠b4+b10D.a3+a9与b4+b10大小不确定8.(5分)已知数列{a n}满足:a1=1,a n+1=(n∈N*)若(n∈N*),b1=﹣λ,且数列{b n}是单调递增数列,则实数λ的取值范围是()A.B.λ<1C.D.9.(5分)设△A n B n C n的三边长分别是a n,b n,c n,△A n B n C n的面积为S n,n∈N*,若b1>c1,b1+c1=2a1,b n+1=,则()A.{S n}为递减数列B.{S n}为递增数列C.{S2n﹣1}为递增数列,{S2n}为递减数列D.{S2n﹣1}为递减数列,{S2n}为递增数列10.(5分)《张丘建算经》是我国南北朝时期的一部重要数学著作,书中系统的介绍了等差数列,同类结果在三百多年后的印度才首次出现.书中有这样一个问题,大意为:某女子善于织布,后一天比前一天织的快,而且每天增加的数量相同,已知第一天织布5尺,一个月(按30天计算)总共织布390尺,问每天增加的数量为多少尺?该问题的答案为()A.尺B.尺C.尺D.尺11.(5分)已知数列{a n}为等差数列,S n其前n项和,且a2=3a4﹣6,则S9等于()A.25B.27C.50D.5412.(5分)《九章算术》是我国古代的数字名著,书中《均属章》有如下问题:“今有五人分五钱,令上二人所得与下三人等.问各德几何.”其意思为“已知A、B、C、D、E五人分5钱,A、B两人所得与C、D、E三人所得相同,且A、B、C、D、E每人所得依次成等差数列.问五人各得多少钱?”(“钱”是古代的一种重量单位).在这个问题中,E所得为()A.钱B.钱C.钱D.钱13.(5分)已知等差数列{a n}的前n项和为s n,且S2=10,S5=55,则过点P(n,a n),Q(n+2,a n+2)(n∈N*)的直线的斜率为()A.4B.C.﹣4D.﹣14.(5分)已知等差数列{a n}的前n项和为S n,且S3=9,a2a4=21,数列{b n}满足,若,则n的最小值为()A.6B.7C.8D.915.(5分)已知函数f(x)的图象关于x=﹣1对称,且f(x)在(﹣1,+∞)上单调,若数列{a n}是公差不为0的等差数列,且f(a50)=f(a51),则{a n}的前100项的和为()A.﹣200B.﹣100C.﹣50D.0二.填空题(共5小题,满分25分,每小题5分)16.(5分)等比数列{a n}的各项均为实数,其前n项为S n,已知S3=,S6=,则a8=.17.(5分)等差数列{a n}的前n项和为S n,a3=3,S4=10,则=.18.(5分)“中国剩余定理”又称“孙子定理”.1852年英国来华传教伟烈亚利将《孙子算经》中“物不知数”问题的解法传至欧洲1874年,英国数学家马西森指出此法符合1801年由高斯得出的关于同余式解法的一般性定理,因而西方称之为“中国剩余定理”.“中国剩余定理”讲的是一个关于整除的问题,现有这样一个整除问题:将2至2017这2016个数中能被3除余1且被5除余1的数按由小到大的顺序排成一列,构成数列{a n },则此数列的项数为.19.(5分)已知无穷数列{a n },a 1=1,a 2=2,对任意n ∈N *,有a n +2=a n ,数列{b n }满足b n +1﹣b n =a n (n ∈N *),若数列中的任意一项都在该数列中重复出现无数次,则满足要求的b 1的值为.20.(5分)设数列{a n }的通项公式为a n =n 2+bn ,若数列{a n }是单调递增数列,则实数b 的取值范围为.三.解答题(共5小题,满分50分,每小题10分)21.(10分)对于给定的正整数k ,若数列{a n }满足:a n ﹣k +a n ﹣k +1+…+a n ﹣1+a n +1+…+a n +k ﹣1+a n +k =2ka n 对任意正整数n (n >k )总成立,则称数列{a n }是“P (k )数列”.(1)证明:等差数列{a n }是“P (3)数列”;(2)若数列{a n }既是“P (2)数列”,又是“P (3)数列”,证明:{a n }是等差数列.22.(10分)设{a n }和{b n }是两个等差数列,记c n =max {b 1﹣a 1n ,b 2﹣a 2n ,…,b n ﹣a n n }(n=1,2,3,…),其中max {x 1,x 2,…,x s }表示x 1,x 2,…,x s 这s 个数中最大的数.(1)若a n =n ,b n =2n ﹣1,求c 1,c 2,c 3的值,并证明{c n }是等差数列;(2)证明:或者对任意正数M ,存在正整数m ,当n ≥m 时,>M ;或者存在正整数m ,使得c m ,c m +1,c m +2,…是等差数列.23.(10分)已知等差数列{a n }和等比数列{b n }满足a 1=b 1=1,a 2+a 4=10,b 2b 4=a 5. (Ⅰ)求{a n }的通项公式;(Ⅱ)求和:b 1+b 3+b 5+…+b 2n ﹣1.24.(10分)记S n 为等比数列{a n }的前n 项和.已知S 2=2,S 3=﹣6.(1)求{a n }的通项公式;(2)求S n ,并判断S n +1,S n ,S n +2是否成等差数列.25.(10分)已知{x n }是各项均为正数的等比数列,且x 1+x 2=3,x 3﹣x 2=2. (Ⅰ)求数列{x n }的通项公式;(Ⅱ)如图,在平面直角坐标系xOy 中,依次连接点P 1(x 1,1),P 2(x 2,2)…P n +1(x n +1,n +1)得到折线P 1 P 2…P n +1,求由该折线与直线y=0,x=x 1,x=x n +1所围成的区域的面积T n.高中数学(人教版)必修五第二章数列综合测试卷参考答案与试题解析一.选择题(共15小题,满分75分,每小题5分)1.(5分)(2017•新课标Ⅰ)记S n为等差数列{a n}的前n项和.若a4+a5=24,S6=48,则{a n}的公差为()A.1B.2C.4D.8【考点】85:等差数列的前n项和;84:等差数列的通项公式.【专题】11 :计算题;34 :方程思想;4O:定义法;54 :等差数列与等比数列.【分析】利用等差数列通项公式及前n项和公式列出方程组,求出首项和公差,由此能求出{a n}的公差.【解答】解:∵S n为等差数列{a n}的前n项和,a4+a5=24,S6=48,∴,解得a1=﹣2,d=4,∴{a n}的公差为4.故选:C.【点评】本题考查等差数列的面公式的求法及应用,是基础题,解题时要认真审题,注意等差数列的性质的合理运用.2.(5分)(2017•新课标Ⅱ)我国古代数学名著《算法统宗》中有如下问题:“远望巍巍塔七层,红光点点倍加增,共灯三百八十一,请问尖头几盏灯?”意思是:一座7层塔共挂了381盏灯,且相邻两层中的下一层灯数是上一层灯数的2倍,则塔的顶层共有灯()A.1盏B.3盏C.5盏D.9盏【考点】89:等比数列的前n项和;88:等比数列的通项公式.【专题】11 :计算题;34 :方程思想;54 :等差数列与等比数列.【分析】设这个塔顶层有a盏灯,由题意和等比数列的定义可得:从塔顶层依次向下每层灯数是等比数列,结合条件和等比数列的前n项公式列出方程,求出a 的值.【解答】解:设这个塔顶层有a盏灯,∵宝塔一共有七层,每层悬挂的红灯数是上一层的2倍,∴从塔顶层依次向下每层灯数是以2为公比、a为首项的等比数列,又总共有灯381盏,∴381==127a,解得a=3,则这个塔顶层有3盏灯,故选B.【点评】本题考查了等比数列的定义,以及等比数列的前n项和公式的实际应用,属于基础题.3.(5分)(2017•新课标Ⅰ)几位大学生响应国家的创业号召,开发了一款应用软件.为激发大家学习数学的兴趣,他们推出了“解数学题获取软件激活码”的活动.这款软件的激活码为下面数学问题的答案:已知数列1,1,2,1,2,4,1,2,4,8,1,2,4,8,16,…,其中第一项是20,接下来的两项是20,21,再接下来的三项是20,21,22,依此类推.求满足如下条件的最小整数N:N>100且该数列的前N项和为2的整数幂.那么该款软件的激活码是()A.440B.330C.220D.110【考点】8E:数列的求和.【专题】35 :转化思想;4R:转化法;54 :等差数列与等比数列.【分析】方法一:由数列的性质,求得数列{b n}的通项公式及前n项和,可知当N为时(n∈N+),数列{a n}的前N项和为数列{b n}的前n项和,即为2n ﹣n﹣2,容易得到N>100时,n≥14,分别判断,即可求得该款软件的激活码;方法二:由题意求得数列的每一项,及前n项和S n=2n+1﹣2﹣n,及项数,由题意可知:2n+1为2的整数幂.只需将﹣2﹣n消去即可,分别分别即可求得N的值.【解答】解:设该数列为{a n},设b n=+…+=2n﹣1,(n∈N+),则=a i,由题意可设数列{a n}的前N项和为S N,数列{b n}的前n项和为T n,则T n=21﹣1+22﹣1+…+2n﹣1=2n﹣n﹣2,),数列{a n}的前N项和为数列{b n}的前n项和,可知当N为时(n∈N+即为2n﹣n﹣2,容易得到N>100时,n≥14,A项,由=435,440=435+5,可知S440=T29+b5=230﹣29﹣2+25﹣1=230,故A 项符合题意.B项,仿上可知=325,可知S330=T25+b5=226﹣25﹣2+25﹣1=226+4,显然不为2的整数幂,故B项不符合题意.C项,仿上可知=210,可知S220=T20+b10=221﹣20﹣2+210﹣1=221+210﹣23,显然不为2的整数幂,故C项不符合题意.D项,仿上可知=105,可知S110=T14+b5=215﹣14﹣2+25﹣1=215+15,显然不为2的整数幂,故D项不符合题意.故选A.方法二:由题意可知:,,,…,根据等比数列前n项和公式,求得每项和分别为:21﹣1,22﹣1,23﹣1, (2)﹣1,每项含有的项数为:1,2,3,…,n,总共的项数为N=1+2+3+…+n=,所有项数的和为S n:21﹣1+22﹣1+23﹣1+…+2n﹣1=(21+22+23+…+2n)﹣n=﹣n=2n+1﹣2﹣n,由题意可知:2n+1为2的整数幂.只需将﹣2﹣n消去即可,则①1+2+(﹣2﹣n)=0,解得:n=1,总共有+2=3,不满足N>100,②1+2+4+(﹣2﹣n)=0,解得:n=5,总共有+3=18,不满足N>100,③1+2+4+8+(﹣2﹣n)=0,解得:n=13,总共有+4=95,不满足N>100,④1+2+4+8+16+(﹣2﹣n)=0,解得:n=29,总共有+5=440,满足N >100,∴该款软件的激活码440.故选A.【点评】本题考查数列的应用,等差数列与等比数列的前n项和,考查计算能力,属于难题.4.(5分)(2017•上海模拟)已知数列{a n}、{b n}、{c n},以下两个命题:①若{a n+b n}、{b n+c n}、{a n+c n}都是递增数列,则{a n}、{b n}、{c n}都是递增数列;②若{a n+b n}、{b n+c n}、{a n+c n}都是等差数列,则{a n}、{b n}、{c n}都是等差数列;下列判断正确的是()A.①②都是真命题B.①②都是假命题C.①是真命题,②是假命题D.①是假命题,②是真命题【考点】81:数列的概念及简单表示法.【专题】11 :计算题;35 :转化思想;4O:定义法;5L :简易逻辑.【分析】对于①不妨设a n=2n,b n=3n、c n=sinn,满足{a n+b n}、{b n+c n}、{a n+c n}都是递增数列,但是不满足c n=sinn是递增数列,对于②根据等差数列的性质和定义即可判断.【解答】解:对于①不妨设a n=2n,b n=3n、c n=sinn,∴{a n+b n}、{b n+c n}、{a n+c n}都是递增数列,但c n=sinn不是递增数列,故为假命题,对于②{a n+b n}、{b n+c n}、{a n+c n}都是等差数列,不妨设公差为分别为a,b,c,∴a n+b n﹣a n﹣1﹣b n﹣1=a,b n+c n﹣b n﹣1﹣c n﹣1=b,a n+c n﹣a n﹣1﹣c n﹣1=c,设{a n},{b n}、{c n}的公差为x,y,x,∴则x=,y=,z=,故若{a n+b n}、{b n+c n}、{a n+c n}都是等差数列,则{a n}、{b n}、{c n}都是等差数列,故为真命题,故选:D【点评】本题考查了等差数列的性质和定义,以及命题的真假,属于基础题.5.(5分)(2017•徐汇区校级模拟)一给定函数y=f(x)的图象在下列图中,并且对任意a1∈(0,1),由关系式a n+1=f(a n)得到的数列{a n}满足a n+1>a n,n∈N*,则该函数的图象是()A.B.C.D.【考点】81:数列的概念及简单表示法.【专题】31 :数形结合;51 :函数的性质及应用.=f(a n)得到的数列{a n}满足a n+1>a n(n∈N*),根据点与【分析】由关系式a n+1直线之间的位置关系,我们不难得到,f(x)的图象在y=x上方.逐一分析不难得到正确的答案.=f(a n)>a n知:f(x)的图象在y=x上方.【解答】解:由a n+1故选:A.【点评】本题考查了数列与函数的单调性、数形结合思想方法,考查了推理能力与计算能力,属于基础题.6.(5分)(2017•河东区二模)若数列{a n},{b n}的通项公式分别为a n=(﹣1)n+2016•a,b n=2+,且a n<b n,对任意n∈N*恒成立,则实数a的取值范围是()A.B.[﹣1,1)C.[﹣2,1)D.【考点】82:数列的函数特性.【专题】32 :分类讨论;35 :转化思想;54 :等差数列与等比数列;59 :不等式的解法及应用.【分析】由a n=(﹣1)n+2016•a,b n=2+,且a n<b n,对任意n∈N*恒成立,可得:(﹣1)n+2016•a<2+,对n分类讨论即可得出.【解答】解:a n=(﹣1)n+2016•a,b n=2+,且a n<b n,对任意n∈N*恒成立,∴(﹣1)n+2016•a<2+,n为偶数时:化为a<2﹣,则a<.n为奇数时:化为﹣a<2+,则a≥﹣2.则实数a的取值范围是.故选:D【点评】本题考查了数列通项公式、分类讨论方法、数列的单调性,考查了推理能力与计算能力,属于中档题.7.(5分)(2017•宝清县一模)数列{a n}是正项等比数列,{b n}是等差数列,且a6=b7,则有()A.a3+a9≤b4+b10B.a3+a9≥b4+b10C.a3+a9≠b4+b10D.a3+a9与b4+b10大小不确定【考点】82:数列的函数特性.【专题】54 :等差数列与等比数列.【分析】由于{b n}是等差数列,可得b4+b10=2b7.已知a6=b7,于是b4+b10=2a6.由于数列{a n}是正项等比数列,可得a3+a9=≥=2a6.即可得出.【解答】解:∵{b n}是等差数列,∴b4+b10=2b7,∵a6=b7,∴b4+b10=2a6,∵数列{a n}是正项等比数列,∴a3+a9=≥=2a6,∴a3+a9≥b4+b10.【点评】本题考查了等差数列与等比数列的性质、基本不等式的性质,属于中档题.8.(5分)(2017•湖北模拟)已知数列{a n}满足:a1=1,a n+1=(n∈N*)若(n∈N*),b1=﹣λ,且数列{b n}是单调递增数列,则实数λ的取值范围是()A.B.λ<1C.D.【考点】82:数列的函数特性.【专题】11 :计算题;35 :转化思想;4O:定义法;54 :等差数列与等比数列.【分析】根据数列的递推公式可得数列{+1}是等比数列,首项为+1=2,公=(n﹣2λ)•2n,根据数列的单调性即可求出λ的范围.比为2,再代值得到b n+1【解答】解:∵数列{a n}满足:a1=1,a n+1=(n∈N*),∴=+1,化为+1=+2∴数列{+1}是等比数列,首项为+1=2,公比为2,∴+1=2n,=(n﹣2λ)(+1)=(n﹣2λ)•2n,∴b n+1∵数列{b n}是单调递增数列,>b n,∴b n+1∴(n﹣2λ)•2n>(n﹣1﹣2λ)•2n﹣1,解得λ<1,但是当n=1时,b2>b1,∵b1=﹣λ,∴(1﹣2λ)•2>﹣λ,故选:A.【点评】本题考查了变形利用等比数列的通项公式的方法、单调递增数列,考查了推理能力与计算能力,属于中档题.9.(5分)(2017•海淀区校级模拟)设△A n B n C n的三边长分别是a n,b n,c n,△A nB nC n的面积为S n,n∈N*,若b1>c1,b1+c1=2a1,b n+1=,则()A.{S n}为递减数列B.{S n}为递增数列C.{S2n﹣1}为递增数列,{S2n}为递减数列D.{S2n﹣1}为递减数列,{S2n}为递增数列【考点】82:数列的函数特性.【专题】54 :等差数列与等比数列;58 :解三角形;59 :不等式的解法及应用.【分析】由a n=a n可知△A n B n C n的边B n C n为定值a1,由b n+1+c n+1﹣2a1=(b n+c n+1﹣2a n),b1+c1=2a1得b n+c n=2a1,则在△A n B n C n中边长B n C n=a1为定值,另两边A n C n、A n B n的长度之和b n+c n=2a1为定值,由此可知顶点A n在以B n、C n为焦点的椭圆上,根据b n﹣c n+1=(c n﹣b n),得b n﹣c n=,可知n→+∞时b n→c n,+1据此可判断△A n B n C n的边B n C n的高h n随着n的增大而增大,再由三角形面积公式可得到答案.【解答】解:b1=2a1﹣c1且b1>c1,∴2a1﹣c1>c1,∴a1>c1,∴b1﹣a1=2a1﹣c1﹣a1=a1﹣c1>0,∴b1>a1>c1,又b1﹣c1<a1,∴2a1﹣c1﹣c1<a1,∴2c1>a1,∴c1,+c n+1=+a n,∴b n+1+c n+1﹣2a n=(b n+c n﹣2a n),由题意,b n+1∴b n+c n﹣2a n=0,∴b n+c n=2a n=2a1,∴b n+c n=2a1,﹣c n+1=,又由题意,b n+1∴b n﹣(2a1﹣b n+1)==a1﹣b n,b n+1﹣a1=(a1﹣b n)=(b1 +1﹣a1).∴b n=a1+(b1﹣a1),c n=2a1﹣b n=a1﹣(b1﹣a1),=•=单调递增.可得{S n}单调递增.故选:B.【点评】本题主要考查由数列递推式求数列通项、三角形面积海伦公式,综合考查学生分析解决问题的能力,有较高的思维抽象度,属于难题.10.(5分)(2017•汉中二模)《张丘建算经》是我国南北朝时期的一部重要数学著作,书中系统的介绍了等差数列,同类结果在三百多年后的印度才首次出现.书中有这样一个问题,大意为:某女子善于织布,后一天比前一天织的快,而且每天增加的数量相同,已知第一天织布5尺,一个月(按30天计算)总共织布390尺,问每天增加的数量为多少尺?该问题的答案为()A.尺B.尺C.尺D.尺【考点】84:等差数列的通项公式.【专题】11 :计算题;34 :方程思想;4O:定义法;54 :等差数列与等比数列.【分析】由题意,该女子从第一天起,每天所织的布的长度成等差数列,其公差为d,由等差数列的前n项和公式能求出公差.【解答】解:由题意,该女子从第一天起,每天所织的布的长度成等差数列,记为:a1,a2,a3,…,a n,其公差为d,则a1=5,S30=390,∴=390,∴d=.故选:B.【点评】本题查等差数列的公差的求法,是基础题,解题时要认真审题,注意等差数列的性质的合理运用.11.(5分)(2017•徐水县模拟)已知数列{a n}为等差数列,S n其前n项和,且a2=3a4﹣6,则S9等于()A.25B.27C.50D.54【考点】84:等差数列的通项公式.【专题】11 :计算题.【分析】由题意得a2=3a4﹣6,所以得a5=3.所以由等差数列的性质得S9=9a5=27.【解答】解:设数列{a n}的首项为a1,公差为d,因为a2=3a4﹣6,所以a1+d=3(a1+3d)﹣6,所以a5=3.所以S9=9a5=27.故选B.【点评】解决此类题目的关键是熟悉等差数列的性质并且灵活利用性质解题.12.(5分)(2017•安徽模拟)《九章算术》是我国古代的数字名著,书中《均属章》有如下问题:“今有五人分五钱,令上二人所得与下三人等.问各德几何.”其意思为“已知A、B、C、D、E五人分5钱,A、B两人所得与C、D、E三人所得相同,且A、B、C、D、E每人所得依次成等差数列.问五人各得多少钱?”(“钱”是古代的一种重量单位).在这个问题中,E所得为()A.钱B.钱C.钱D.钱【考点】84:等差数列的通项公式.【专题】11 :计算题;21 :阅读型;33 :函数思想;51 :函数的性质及应用;54 :等差数列与等比数列.【分析】设A=a﹣4d,B=a﹣3d,C=a﹣2d,D=a﹣d,E=a,列出方程组,能求出E所得.【解答】解:由题意:设A=a﹣4d,B=a﹣3d,C=a﹣2d,D=a﹣d,E=a,则,解得a=,故E所得为钱.故选:A.【点评】本题考查函数值的求法,是基础题,解题时要认真审题,注意函数性质、等差数列的性质的合理运用.13.(5分)(2017•南开区模拟)已知等差数列{a n}的前n项和为s n,且S2=10,S5=55,则过点P(n,a n),Q(n+2,a n+2)(n∈N*)的直线的斜率为()A.4B.C.﹣4D.﹣【考点】84:等差数列的通项公式.【专题】54 :等差数列与等比数列.【分析】设出等差数列的首项和公差,由已知列式求得首项和公差,代入两点求直线的斜率公式得答案.【解答】解:设等差数列{a n}的首项为a1,公差为d,由S2=10,S5=55,得,解得:.∴过点P(n,a n),Q(n+2,a n+2)的直线的斜率为k=.故选:A.【点评】本题考查等差数列的通项公式,考查等差数列的前n项和,训练了两点求直线的斜率公式,是基础题.14.(5分)(2017•枣阳市校级模拟)已知等差数列{a n}的前n项和为S n,且S3=9,a2a4=21,数列{b n}满足,若,则n的最小值为()A.6B.7C.8D.9【考点】84:等差数列的通项公式.【专题】34 :方程思想;35 :转化思想;54 :等差数列与等比数列;59 :不等式的解法及应用.【分析】设等差数列{a n}的公差为d,由S3=9,a2a4=21,可得3a1+d=9,(a1+d)(a1+3d)=21,可得a n.由数列{b n}满足,利用递推关系可得:=.对n取值即可得出.【解答】解:设等差数列{a n}的公差为d,∵S3=9,a2a4=21,∴3a1+d=9,(a1+d)(a1+3d)=21,联立解得:a1=1,d=2.∴a n=1+2(n﹣1)=2n﹣1.∵数列{b n}满足,∴n=1时,=1﹣,解得b1=.n≥2时,+…+=1﹣,∴=.∴b n=.若,则<.n=7时,>.n=8时,<.因此:,则n的最小值为8.故选:C.【点评】本题考查了等差数列通项公式与求和公式、数列递推关系及其单调性,考查了推理能力与计算能力,属于中档题.15.(5分)(2017•安徽一模)已知函数f(x)的图象关于x=﹣1对称,且f(x)在(﹣1,+∞)上单调,若数列{a n}是公差不为0的等差数列,且f(a50)=f(a51),则{a n}的前100项的和为()A.﹣200B.﹣100C.﹣50D.0【考点】84:等差数列的通项公式.【专题】11 :计算题;35 :转化思想;4O:定义法;54 :等差数列与等比数列.【分析】由函数图象关于x=﹣1对称,由题意可得a50+a51=﹣2,运用等差数列的性质和求和公式,计算即可得到所求和.【解答】解:函数f(x)的图象关于x=﹣1对称,数列{a n}是公差不为0的等差数列,且f(a50)=f(a51),可得a50+a51=﹣2,又{a n}是等差数列,所以a1+a100=a50+a51=﹣2,则{a n}的前100项的和为=﹣100故选:B.【点评】本题考查函数的对称性及应用,考查等差数列的性质,以及求和公式,考查运算能力,属于中档题.二.填空题(共5小题,满分25分,每小题5分)16.(5分)(2017•江苏)等比数列{a n}的各项均为实数,其前n项为S n,已知S3=,S6=,则a8=32.【考点】88:等比数列的通项公式.【专题】34 :方程思想;35 :转化思想;54 :等差数列与等比数列.【分析】设等比数列{a n}的公比为q≠1,S3=,S6=,可得=,=,联立解出即可得出.【解答】解:设等比数列{a n}的公比为q≠1,∵S3=,S6=,∴=,=,解得a1=,q=2.则a8==32.故答案为:32.【点评】本题考查了等比数列的通项公式与求和公式,考查了推理能力与计算能力,属于中档题.17.(5分)(2017•新课标Ⅱ)等差数列{a n}的前n项和为S n,a3=3,S4=10,则=.【考点】8E:数列的求和;85:等差数列的前n项和.【专题】11 :计算题;35 :转化思想;49 :综合法;54 :等差数列与等比数列.【分析】利用已知条件求出等差数列的前n项和,然后化简所求的表达式,求解即可.【解答】解:等差数列{a n}的前n项和为S n,a3=3,S4=10,S4=2(a2+a3)=10,可得a2=2,数列的首项为1,公差为1,S n=,=,则=2[1﹣++…+]=2(1﹣)=.故答案为:.【点评】本题考查等差数列的求和,裂项消项法求和的应用,考查计算能力.18.(5分)(2017•汕头三模)“中国剩余定理”又称“孙子定理”.1852年英国来华传教伟烈亚利将《孙子算经》中“物不知数”问题的解法传至欧洲1874年,英国数学家马西森指出此法符合1801年由高斯得出的关于同余式解法的一般性定理,因而西方称之为“中国剩余定理”.“中国剩余定理”讲的是一个关于整除的问题,现有这样一个整除问题:将2至2017这2016个数中能被3除余1且被5除余1的数按由小到大的顺序排成一列,构成数列{a n},则此数列的项数为134.【考点】81:数列的概念及简单表示法.【专题】11 :计算题;35 :转化思想;4R:转化法;54 :等差数列与等比数列.【分析】由能被3除余1且被5除余1的数就是能被15整除余1的数,运用等差数列通项公式,以及解不等式即可得到所求项数.【解答】解:由能被3除余1且被5除余1的数就是能被15整除余1的数,故a n=15n﹣14.由a n=15n﹣14≤2017得n≤135,∵当n=1时,符合要求,但是该数列是从2开始的,故此数列的项数为135﹣1=134.故答案为:134【点评】本题考查数列模型在实际问题中的应用,考查等差数列的通项公式的运用,考查运算能力,属于基础题19.(5分)(2017•闵行区一模)已知无穷数列{a n},a1=1,a2=2,对任意n∈N*,=a n,数列{b n}满足b n+1﹣b n=a n(n∈N*),若数列中的任意一项都在有a n+2该数列中重复出现无数次,则满足要求的b1的值为2.【考点】81:数列的概念及简单表示法.【专题】35 :转化思想;48 :分析法;5M :推理和证明.【分析】依题意数列{a n}是周期数咧,则可写出数列{a n}的通项,由数列{b n}满足b n﹣b n=a n(n∈N*),可推出b n+1﹣b n=a n=⇒,,+1,,…要使数列中的任意一项都在该数列中重复出现无数次,则b2=b6=b10=…=b2n﹣1,b4=b8=b12=…=b4n,可得b8=b4=3即可,【解答】解:a1=1,a2=2,对任意n∈N*,有a n+2=a n,∴a3=a1=1,a4=a2=2,a5=a3=a1=1,∴a n=﹣b n=a n=,∴b n+1﹣b2n+1=a2n+1=1,b2n+1﹣b2n=a2n=2,∴b2n+2﹣b2n=3,b2n+1﹣b2n﹣1=3∴b2n+2∴b3﹣b1=b5﹣b3=…=b2n+1﹣b2n﹣1=3,b4﹣b2=b6﹣b4=b8﹣b6=…=b2n﹣b2n﹣2=3,b2﹣b1=1,,,,,,,…,=b4n﹣2∵数列中的任意一项都在该数列中重复出现无数次,∴b2=b6=b10=…=b4n﹣2,b4=b8=b12=…=b4n,解得b8=b4=3,b2=3,∵b2﹣b1=1,∴b1=2,故答案为:2【点评】本题考查了数列的推理与证明,属于难题.20.(5分)(2017•青浦区一模)设数列{a n}的通项公式为a n=n2+bn,若数列{a n}是单调递增数列,则实数b的取值范围为(﹣3,+∞).【考点】82:数列的函数特性.【专题】35 :转化思想;54 :等差数列与等比数列;59 :不等式的解法及应用.【分析】数列{a n}是单调递增数列,可得∀n∈N*,a n+1>a n,化简整理,再利用数列的单调性即可得出.【解答】解:∵数列{a n}是单调递增数列,∴∀n∈N*,a n>a n,+1(n+1)2+b(n+1)>n2+bn,化为:b>﹣(2n+1),∵数列{﹣(2n+1)}是单调递减数列,∴n=1,﹣(2n+1)取得最大值﹣3,∴b>﹣3.即实数b的取值范围为(﹣3,+∞).故答案为:(﹣3,+∞).【点评】本题考查了数列的单调性及其通项公式、不等式的解法,考查了推理能力与计算能力,属于中档题.三.解答题(共5小题,满分50分,每小题10分)21.(10分)(2017•江苏)对于给定的正整数k ,若数列{a n }满足:a n ﹣k +a n ﹣k +1+…+a n ﹣1+a n +1+…+a n +k ﹣1+a n +k =2ka n 对任意正整数n (n >k )总成立,则称数列{a n }是“P (k )数列”.(1)证明:等差数列{a n }是“P (3)数列”;(2)若数列{a n }既是“P (2)数列”,又是“P (3)数列”,证明:{a n }是等差数列.【考点】8B :数列的应用.【专题】23 :新定义;35 :转化思想;4R :转化法;54 :等差数列与等比数列.【分析】(1)由题意可知根据等差数列的性质,a n ﹣3+a n ﹣2+a n ﹣1+a n +1+a n +2+a n +3=(a n ﹣3+a n +3)+(a n ﹣2+a n +2)+(a n ﹣1+a n +1)═2×3a n ,根据“P (k )数列”的定义,可得数列{a n }是“P (3)数列”;(2)由已知条件结合(1)中的结论,可得到{a n }从第3项起为等差数列,再通过判断a 2与a 3的关系和a 1与a 2的关系,可知{a n }为等差数列.【解答】解:(1)证明:设等差数列{a n }首项为a 1,公差为d ,则a n =a 1+(n ﹣1)d ,则a n ﹣3+a n ﹣2+a n ﹣1+a n +1+a n +2+a n +3,=(a n ﹣3+a n +3)+(a n ﹣2+a n +2)+(a n ﹣1+a n +1),=2a n +2a n +2a n ,=2×3a n ,∴等差数列{a n }是“P (3)数列”;(2)证明:当n ≥4时,因为数列{a n }是P (3)数列,则a n ﹣3+a n ﹣2+a n ﹣1+a n +1+a n +2+a n +3=6a n ,①,因为数列{a n }是“P (2)数列”,所以a n ﹣3+a n ﹣3+a n +a n +1=4a n ﹣1,②,a n ﹣1+a n +a n +2+a n +3=4a n +1,③,②+③﹣①,得2a n =4a n ﹣1+4a n +1﹣6a n ,即2a n =a n ﹣1+a n +1,(n ≥4),因此n ≥4从第3项起为等差数列,设公差为d ,注意到a 2+a 3+a 5+a 6=4a 4, 所以a 2=4a 4﹣a 3﹣a 5﹣a 6=4(a 3+d )﹣a 3﹣(a 3+2d )﹣(a 3+3d )=a 3﹣d ,因为a1+a2+a4+a5=4a3,所以a1=4a3﹣a2﹣a4﹣a5=4(a2+d)﹣a2﹣(a2+2d)﹣(a2+3d)=a2﹣d,也即前3项满足等差数列的通项公式,所以{a n}为等差数列.【点评】本题考查等差数列的性质,考查数列的新定义的性质,考查数列的运算,考查转化思想,属于中档题.22.(10分)(2017•北京)设{a n}和{b n}是两个等差数列,记c n=max{b1﹣a1n,b2﹣a2n,…,b n﹣a n n}(n=1,2,3,…),其中max{x1,x2,…,x s}表示x1,x2,…,x s这s个数中最大的数.(1)若a n=n,b n=2n﹣1,求c1,c2,c3的值,并证明{c n}是等差数列;(2)证明:或者对任意正数M,存在正整数m,当n≥m时,>M;或者存在正整数m,使得c m,c m+1,c m+2,…是等差数列.【考点】8B:数列的应用;8C:等差关系的确定.【专题】32 :分类讨论;4R:转化法;54 :等差数列与等比数列.【分析】(1)分别求得a1=1,a2=2,a3=3,b1=1,b2=3,b3=5,代入即可求得c1,c2,c3;由(b k﹣na k)﹣(b1﹣na1)≤0,则b1﹣na1≥b k﹣na k,则c n=b1﹣na1=1﹣c n=﹣1对∀n∈N*均成立;﹣n,c n+1(2)由b i﹣a i n=[b1+(i﹣1)d1]﹣[a1+(i﹣1)d2]×n=(b1﹣a1n)+(i﹣1)(d2﹣d1×n),分类讨论d1=0,d1>0,d1<0三种情况进行讨论根据等差数列的性质,即可求得使得c m,c m+1,c m+2,…是等差数列;设=An+B+对任意正整数M,存在正整数m,使得n≥m,>M,分类讨论,采用放缩法即可求得因此对任意正数M,存在正整数m,使得当n≥m时,>M.【解答】解:(1)a1=1,a2=2,a3=3,b1=1,b2=3,b3=5,当n=1时,c1=max{b1﹣a1}=max{0}=0,当n=2时,c2=max{b1﹣2a1,b2﹣2a2}=max{﹣1,﹣1}=﹣1,当n=3时,c3=max{b1﹣3a1,b2﹣3a2,b3﹣3a3}=max{﹣2,﹣3,﹣4}=﹣2,下面证明:对∀n∈N*,且n≥2,都有c n=b1﹣na1,当n∈N*,且2≤k≤n时,则(b k﹣na k)﹣(b1﹣na1),=[(2k﹣1)﹣nk]﹣1+n,=(2k﹣2)﹣n(k﹣1),=(k﹣1)(2﹣n),由k﹣1>0,且2﹣n≤0,则(b k﹣na k)﹣(b1﹣na1)≤0,则b1﹣na1≥b k﹣na k,因此,对∀n∈N*,且n≥2,c n=b1﹣na1=1﹣n,c n+1﹣c n=﹣1,∴c2﹣c1=﹣1,∴c n﹣c n=﹣1对∀n∈N*均成立,+1∴数列{c n}是等差数列;(2)证明:设数列{a n}和{b n}的公差分别为d1,d2,下面考虑的c n取值,由b1﹣a1n,b2﹣a2n,…,b n﹣a n n,考虑其中任意b i﹣a i n,(i∈N*,且1≤i≤n),则b i﹣a i n=[b1+(i﹣1)d1]﹣[a1+(i﹣1)d2]×n,=(b1﹣a1n)+(i﹣1)(d2﹣d1×n),下面分d1=0,d1>0,d1<0三种情况进行讨论,①若d1=0,则b i﹣a i n═(b1﹣a1n)+(i﹣1)d2,当若d2≤0,则(b i﹣a i n)﹣(b1﹣a1n)=(i﹣1)d2≤0,则对于给定的正整数n而言,c n=b1﹣a1n,此时c n+1﹣c n=﹣a1,∴数列{c n}是等差数列;当d2>0,(b i﹣a i n)﹣(b n﹣a n n)=(i﹣n)d2>0,则对于给定的正整数n而言,c n=b n﹣a n n=b n﹣a1n,﹣c n=d2﹣a1,此时c n+1∴数列{c n}是等差数列;此时取m=1,则c1,c2,…,是等差数列,命题成立;②若d1>0,则此时﹣d1n+d2为一个关于n的一次项系数为负数的一次函数,故必存在m∈N*,使得n≥m时,﹣d1n+d2<0,则当n≥m时,(b i﹣a i n)﹣(b1﹣a1n)=(i﹣1)(﹣d1n+d2)≤0,(i∈N*,1≤i≤n),因此当n≥m时,c n=b1﹣a1n,此时c n﹣c n=﹣a1,故数列{c n}从第m项开始为等差数列,命题成立;+1③若d1<0,此时﹣d1n+d2为一个关于n的一次项系数为正数的一次函数,故必存在s∈N*,使得n≥s时,﹣d1n+d2>0,则当n≥s时,(b i﹣a i n)﹣(b n﹣a n n)=(i﹣1)(﹣d1n+d2)≤0,(i∈N*,1≤i ≤n),因此,当n≥s时,c n=b n﹣a n n,此时==﹣a n+,=﹣d2n+(d1﹣a1+d2)+,令﹣d1=A>0,d1﹣a1+d2=B,b1﹣d2=C,下面证明:=An+B+对任意正整数M,存在正整数m,使得n≥m,>M,若C≥0,取m=[+1],[x]表示不大于x的最大整数,当n≥m时,≥An+B≥Am+B=A[+1]+B>A•+B=M,此时命题成立;若C<0,取m=[]+1,当n≥m时,≥An+B+≥Am+B+C>A•+B+C≥M﹣C﹣B+B+C=M,此时命题成立,因此对任意正数M,存在正整数m,使得当n≥m时,>M;综合以上三种情况,命题得证.【点评】本题考查数列的综合应用,等差数列的性质,考查与不等式的综合应用,考查“放缩法”的应用,考查学生分析问题及解决问题的能力,考查分类讨论及转化思想,考查计算能力,属于难题.23.(10分)(2017•北京)已知等差数列{a n}和等比数列{b n}满足a1=b1=1,a2+a4=10,b2b4=a5.(Ⅰ)求{a n}的通项公式;(Ⅱ)求和:b1+b3+b5+…+b2n﹣1.【考点】8E:数列的求和;8M:等差数列与等比数列的综合.【专题】11 :计算题;35 :转化思想;49 :综合法;54 :等差数列与等比数列.【分析】(Ⅰ)利用已知条件求出等差数列的公差,然后求{a n}的通项公式;(Ⅱ)利用已知条件求出公比,然后求解数列的和即可.【解答】解:(Ⅰ)等差数列{a n},a1=1,a2+a4=10,可得:1+d+1+3d=10,解得d=2,所以{a n}的通项公式:a n=1+(n﹣1)×2=2n﹣1.(Ⅱ)由(Ⅰ)可得a5=a1+4d=9,等比数列{b n}满足b1=1,b2b4=9.可得b3=3,或﹣3(舍去)(等比数列奇数项符号相同).∴q2=3,}是等比数列,公比为3,首项为1.{b2n﹣1b1+b3+b5+…+b2n﹣1==.【点评】本题考查等差数列与等比数列的应用,数列求和以及通项公式的求解,考查计算能力.24.(10分)(2017•新课标Ⅰ)记S n为等比数列{a n}的前n项和.已知S2=2,S3=﹣6.(1)求{a n}的通项公式;(2)求S n,并判断S n+1,S n,S n+2是否成等差数列.【考点】8E:数列的求和;89:等比数列的前n项和.【专题】35 :转化思想;4R:转化法;54 :等差数列与等比数列.【分析】(1)由题意可知a3=S3﹣S2=﹣6﹣2=﹣8,a1==,a2==,由a1+a2=2,列方程即可求得q及a1,根据等比数列通项公式,即可求得{a n}的通项公式;(2)由(1)可知.利用等比数列前n项和公式,即可求得S n,分别求得S n+1,S n+2,显然S n+1+S n+2=2S n,则S n+1,S n,S n+2成等差数列.。
七年级数学上册第二章单元测试题及答案一、填空题:1、|-222|=222,-(-222)=222,-1/(-2)=1/22、+1.2米表示水位上升1.2米3、距离为|-3.5-4.5|=84、a=-b+45、p点向左移动3个单位后为-7,再向右移动1个单位长度为-6,所以p点表示的数为-66、最大的负整数为-1,最小的正整数为1,它们的和为7、-1(2003+2004)=-20078、|x||y|=xy9、a的取值范围为a≤-1/210、a=±,b=±二、选择题:1、B。
2、C。
3、D。
4、C。
5、D。
6、A。
7、A。
8、D。
9、C。
10、D三、计算题:1、(-16)+(-6)+(-16)+8=-302、(-5.3)+(-3.2)-(-2.5)-4.8=-1.23、(-8)×(-25)×(-0.02)=44、|-1|÷|-10|2=1/205、(-1)÷(-10)=1/10四则运算题目:1、(-36+1557-)/(-3+1/2)2、(-3)*(-2)/(6+8-4/3)3、-2/(-4)-33/74、100/(-2)-(-2)/(-8/3)解答:1、(-36+1557-)/(-3+1/2) = (-.5)/(-5/2) = .62、(-3)*(-2)/(6+8-4/3) = 6/433、-2/(-4)-33/7 = 25/284、100/(-2)-(-2)/(-8/3) = -50-3/2 = -101/2改写后的解答:1、计算(-36+1557-)/(-3+1/2)的值。
首先将分母化为通分数,即(-3+1/2) = (-6/2+1/2) = -5/2,然后进行除法运算,得到(-36+1557-)/(-5/2) = (-.5)/(-5/2) = .6.2、计算(-3)*(-2)/(6+8-4/3)的值。
先将加减法运算进行化简,即6+8-4/3 = 18/3+24/3-4/3 = 38/3,然后进行乘除法运算,得到(-3)*(-2)/(38/3) = 6/43.3、计算-2/(-4)-33/7的值。
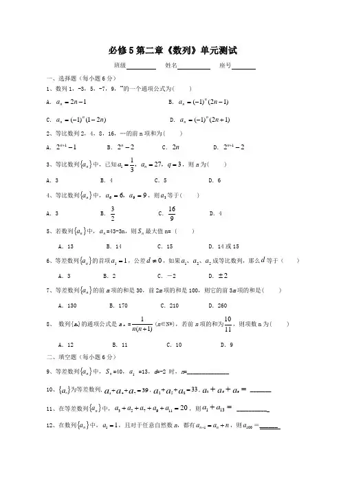
必修5第二章《数列》单元测试班级 姓名 座号一、选择题(每小题6分)1、数列1,-3,5,-7,9,…的一个通项公式为( )A .12-=n a nB .)12()1(--=n a n nC .)21()1(n a nn --= D .)12()1(+-=n a nn2、等比数列2,4,8,16,…的前n 项和为( )A .121-+nB .22-nC .n 2D .221-+n3、等比数列{}n a 中,已知112733n a a q ===,,,则n 为( )A .3B .4C .5D .64、等比数列{}n a 中,9696==a a ,,则3a 等于( )A .3B .23C .916D .45、若数列{}n a 中,n a =43-3n ,则n S 最大值n= ( )A .13B .14C .15D .14或156、等差数列{}n a 的首项11=a ,公差0≠d ,如果521a a a 、、成等比数列,那么d 等于()A .3B .2C .-2D .2±7、等差数列{}n a 的前m 项的和是30,前2m 项的和是100,则它的前3m 项的和是( )A .130B .170C .210D .2608、 数列{a n }的通项公式是a n =1(1)n n +(n ∈N*),若前n 项的和为1011,则项数n 为( )A .12B .11C .10D .9二、填空题(每小题6分)9、等差数列{}n a 中,n S =40,1a =13,d =-2 时,n =______________ 10、{}a n 为等差数列,14739a a a ++=,25833a a a ++=,=++a a a 963 _______11、在等差数列{}n a 中,35791120a a a a a ++++=,则113a a += __________12、在数列{}n a 中,11a =,且对于任意自然数n ,都有1n n a a n +=+,则100a =______三、解答题13、(本题10分)求数列11111,2,3,424816…的前n 项和。
数列练习题_附答案强⼒推荐⼈教版数学⾼中必修5习题第⼆章数列1.{a n }是⾸项a 1=1,公差为d =3的等差数列,如果a n =2 005,则序号n 等于( ).A .667B .668C .669D .6702.在各项都为正数的等⽐数列{a n }中,⾸项a 1=3,前三项和为21,则a 3+a 4+a 5=( ).A .33B .72C .84D .1893.如果a 1,a 2,…,a 8为各项都⼤于零的等差数列,公差d ≠0,则( ).A .a 1a 8>a 4a 5B .a 1a 8<a 4a 5C .a 1+a 8<a 4+a 5D .a 1a 8=a 4a 54.已知⽅程(x 2-2x +m )(x 2-2x +n )=0的四个根组成⼀个⾸项为41的等差数列,则|m -n |等于( ).A .1B .43C .21D . 83 5.等⽐数列{a n }中,a 2=9,a 5=243,则{a n }的前4项和为( ).A .81B .120C .168D .1926.若数列{a n }是等差数列,⾸项a 1>0,a 2 003+a 2 004>0,a 2 003·a 2 004<0,则使前n 项和S n >0成⽴的最⼤⾃然数n 是( ).A .4 005B .4 006C .4 007D .4 0087.已知等差数列{a n }的公差为2,若a 1,a 3,a 4成等⽐数列, 则a 2=( ).A .-4B .-6C .-8D .-108.设S n 是等差数列{a n }的前n 项和,若35a a =95,则59S S =( ). A .1 B .-1 C .2 D .21 9.已知数列-1,a 1,a 2,-4成等差数列,-1,b 1,b 2,b 3,-4成等⽐数列,则212b a a 的值是( ).A .21B .-21C .-21或21D .4110.在等差数列{a n }中,a n ≠0,a n -1-2n a +a n +1=0(n ≥2),若S 2n -1=38,则n =( ).A .38B .20C .10D .9⼆、填空题11.设f (x )=221+x ,利⽤课本中推导等差数列前n 项和公式的⽅法,可求得f (-5)+f (-4)+…+f (0)+…+f (5)+f (6)的值为 .12.已知等⽐数列{a n }中,(1)若a 3·a 4·a 5=8,则a 2·a 3·a 4·a 5·a 6=.(2)若a 1+a 2=324,a 3+a 4=36,则a 5+a 6=.(3)若S 4=2,S 8=6,则a 17+a 18+a 19+a 20= .13.在38和227之间插⼊三个数,使这五个数成等⽐数列,则插⼊的三个数的乘积为. 14.在等差数列{a n }中,3(a 3+a 5)+2(a 7+a 10+a 13)=24,则此数列前13项之和为 .15.在等差数列{a n }中,a 5=3,a 6=-2,则a 4+a 5+…+a 10= .16.设平⾯内有n 条直线(n ≥3),其中有且仅有两条直线互相平⾏,任意三条直线不过同⼀点.若⽤f (n )表⽰这n 条直线交点的个数,则f (4)=;当n >4时,f (n )=.三、解答题17.(1)已知数列{a n }的前n 项和S n =3n 2-2n ,求证数列{a n }成等差数列.(2)已知a 1,b 1,c 1成等差数列,求证a c b +,b a c +,cb a +也成等差数列.18.设{a n }是公⽐为 q 的等⽐数列,且a 1,a 3,a 2成等差数列.(1)求q 的值;(2)设{b n }是以2为⾸项,q 为公差的等差数列,其前n 项和为S n ,当n ≥2时,⽐较S n 与b n 的⼤⼩,并说明理由.19.数列{a n }的前n 项和记为S n ,已知a 1=1,a n +1=n n 2 S n (n =1,2,3…).求证:数列{nS n }是等⽐数列.第⼆章数列参考答案⼀、选择题1.C解析:由题设,代⼊通项公式a n =a 1+(n -1)d ,即2 005=1+3(n -1),∴n =699.2.C解析:本题考查等⽐数列的相关概念,及其有关计算能⼒.设等⽐数列{a n }的公⽐为q (q >0),由题意得a 1+a 2+a 3=21,即a 1(1+q +q 2)=21,⼜a 1=3,∴1+q +q 2=7.解得q =2或q =-3(不合题意,舍去),∴a 3+a 4+a 5=a 1q 2(1+q +q 2)=3×22×7=84.3.B .解析:由a 1+a 8=a 4+a 5,∴排除C .⼜a 1·a 8=a 1(a 1+7d )=a 12+7a 1d ,∴a 4·a 5=(a 1+3d )(a 1+4d )=a 12+7a 1d +12d 2>a 1·a 8.4.C解析:解法1:设a 1=41,a 2=41+d ,a 3=41+2d ,a 4=41+3d ,⽽⽅程x 2-2x +m =0中两根之和为2,x 2-2x +n =0中两根之和也为2,∴a 1+a 2+a 3+a 4=1+6d =4,∴d =21,a 1=41,a 4=47是⼀个⽅程的两个根,a 1=43,a 3=45是另⼀个⽅程的两个根.∴167,1615分别为m 或n ,∴|m -n |=21,故选C .解法2:设⽅程的四个根为x 1,x 2,x 3,x 4,且x 1+x 2=x 3+x 4=2,x 1·x 2=m ,x 3·x 4=n .由等差数列的性质:若+s =p +q ,则a +a s =a p +a q ,若设x 1为第⼀项,x 2必为第四项,则x 2=47,于是可得等差数列为41,43,45,47,∴m =167,n =1615,∴|m -n |=21. 5.B解析:∵a 2=9,a 5=243,25a a =q 3=9243=27,∴q =3,a 1q =9,a 1=3,∴S 4=3-13-35=2240=120. 6.B解析:解法1:由a 2 003+a 2 004>0,a 2 003·a 2 004<0,知a 2 003和a 2 004两项中有⼀正数⼀负数,⼜a 1>0,则公差为负数,否则各项总为正数,故a 2 003>a 2 004,即a 2 003>0,a 2 004<0.∴S 4 006=2+006400641)(a a =2+006400420032)(a a >0,∴S 4 007=20074·(a 1+a 4 007)=20074·2a 2 004<0,故4 006为S n >0的最⼤⾃然数. 选B .解法2:由a 1>0,a 2 003+a 2 004>0,a 2 003·a 2 004<0,同解法1的分析得a 2 003>0,a 2 004<0,∴S 2 003为S n 中的最⼤值.∵S n 是关于n 的⼆次函数,如草图所⽰,∴2 003到对称轴的距离⽐2 004到对称轴的距离⼩,∴20074在对称轴的右侧.根据已知条件及图象的对称性可得4 006在图象中右侧零点B 的左侧,4 007,4 008都在其右侧,S n >0的最⼤⾃然数是4 006.7.B解析:∵{a n }是等差数列,∴a 3=a 1+4,a 4=a 1+6,⼜由a 1,a 3,a 4成等⽐数列,∴(a 1+4)2=a 1(a 1+6),解得a 1=-8,∴a 2=-8+2=-6.(第6题)8.A 解析:∵59S S =2)(52)(95191a a a a ++=3559a a ??=59·95=1,∴选A . 9.A解析:设d 和q 分别为公差和公⽐,则-4=-1+3d 且-4=(-1)q 4,∴d =-1,q 2=2,∴212b a a -=2q d -=21. 10.C解析:∵{a n }为等差数列,∴2n a =a n -1+a n +1,∴2n a =2a n ,⼜a n ≠0,∴a n =2,{a n }为常数数列,⽽a n =1212--n S n ,即2n -1=238=19,∴n =10.⼆、填空题11.23.解析:∵f (x )=221+x ,∴f (1-x )=2211+-x =x x 2222?+=x x 22221+,∴f (x )+f (1-x )=x 221++x x 22221+?=x x 222211+?+=x x 22)22(21++=22.设S =f (-5)+f (-4)+…+f (0)+…+f (5)+f (6),则S =f (6)+f (5)+…+f (0)+…+f (-4)+f (-5),∴2S =[f (6)+f (-5)]+[f (5)+f (-4)]+…+[f (-5)+f (6)]=62,∴S =f (-5)+f (-4)+…+f (0)+…+f (5)+f (6)=32.12.(1)32;(2)4;(3)32.解析:(1)由a 3·a 5=24a ,得a 4=2,∴a 2·a 3·a 4·a 5·a 6=54a =32.(2)9136)(324222121==+=+q q a a a a ,∴a 5+a 6=(a 1+a 2)q 4=4.(3)2=+=+++=2=+++=4444821843214q qS S a a a S a a a a S ,∴a 17+a 18+a 19+a 20=S 4q 16=32.13.216.解析:本题考查等⽐数列的性质及计算,由插⼊三个数后成等⽐数列,因⽽中间数必与38,227同号,由等⽐中项的中间数为22738?=6,∴插⼊的三个数之积为38×227×6=216. 14.26.解析:∵a 3+a 5=2a 4,a 7+a 13=2a 10,∴6(a 4+a 10)=24,a 4+a 10=4,∴S 13=2+13131)(a a =2+13104)(a a =2413?=26. 15.-49.解析:∵d =a 6-a 5=-5,∴a 4+a 5+…+a 10 =2+7104)(a a =25++-755)(d a d a =7(a 5+2d )=-49.16.5,21(n +1)(n -2).解析:同⼀平⾯内两条直线若不平⾏则⼀定相交,故每增加⼀条直线⼀定与前⾯已有的每条直线都相交,∴f (k )=f (k -1)+(k -1).由f (3)=2,f (4)=f (3)+3=2+3=5,f (5)=f (4)+4=2+3+4=9,……f (n )=f (n -1)+(n -1),相加得f (n )=2+3+4+…+(n -1)=21(n +1)(n -2).三、解答题17.分析:判定给定数列是否为等差数列关键看是否满⾜从第2项开始每项与其前⼀项差为常数.证明:(1)n =1时,a 1=S 1=3-2=1,当n ≥2时,a n =S n -S n -1=3n 2-2n -[3(n -1)2-2(n -1)]=6n -5,n =1时,亦满⾜,∴a n =6n -5(n ∈N*).⾸项a 1=1,a n -a n -1=6n -5-[6(n -1)-5]=6(常数)(n ∈N*),∴数列{a n }成等差数列且a 1=1,公差为6.(2)∵a 1,b 1,c 1成等差数列,∴b 2=a 1+c1化简得2ac =b (a +c ). a c b ++cb a +=ac ab a c bc +++22=ac c a c a b 22+++)(=ac c a 2+)(=2++2)()(c a b c a =2·bc a +,∴a c b +,b a c +,cb a +也成等差数列. 18.解:(1)由题设2a 3=a 1+a 2,即2a 1q 2=a 1+a 1q ,∵a 1≠0,∴2q 2-q -1=0,∴q =1或-21.(2)若q =1,则S n =2n +21-)(n n =23+2n n .当n ≥2时,S n -b n =S n -1=22+1-))((n n >0,故S n >b n .若q =-21,则S n =2n +21-)(n n (-21)=49+-2n n .当n ≥2时,S n -b n =S n -1=4-11-)0)((n n ,故对于n ∈N +,当2≤n ≤9时,S n >b n ;当n =10时,S n =b n ;当n ≥11时,S n <b n .19.证明:∵a n +1=S n +1-S n ,a n +1=nn 2+S n ,∴(n +2)S n =n (S n +1-S n ),整理得nS n +1=2(n +1) S n ,所以1+1+n S n =n S n 2.故{n S n }是以2为公⽐的等⽐数列.。
【关键字】数学【高考调研】2015年高中数学第二章数列章末测试题(A)新人教版必修5一、选择题(本大题共12小题,每小题5分,共60分.在每小题给出的四个选项中,只有一项是符合题目要求的)1.已知an=cosnπ,则数列{an}是( )A.递增数列B.递减数列C.常数列D.摆动数列答案 D2.在数列2,9,23,44,72,…中,第6项是( )A.82 B.107C.100 D.83答案 B3.等差数列{an}的前n项和为Sn,若S2=2,S4=10,则S6等于( )A.12 B.18C.24 D.42答案 C解析思路一:设公差为d,由题意得解得a1=,d=.则S6=1+15d=24.思路二:S2,S4-S2,S6-S4也成等差数列,则2(S4-S2)=S6-S4+S2,所以S6=3S4-3S2=24.4.数列{an}中,a1=1,对所有n≥2,都有a3…an=n2,则a3+a5=( )A. B.C. D.答案 A5.已知{an}为等差数列,a2+a8=12,则a5等于( )A.4 B.5C.6 D.7答案 C解析由等差数列的性质可知a2、a5、a8也成等差数列,故a5==6,故选C.6.在数列{an}中,a1=2,an+1=an+ln(1+),则an=( )A.2+ln n B.2+(n-1)ln nC.2+n ln n D.1+n+ln n答案 A解析依题意得an+1-an=ln,则有a2-a1=ln,a3-a2=ln,a4-a3=ln ,…,an-an-1=ln ,叠加得an-a1=ln(···…·)=ln n,故an=2+ln n,选A.7.已知{an}为等差数列,a1+a3+a5=105,a2+a4+a6=99.以Sn表示{an}的前n 项和,则使得Sn达到最大值的n是( )A.21 B.20C.19 D.18答案 B解析∵a1+a3+a5=105,a2+a4+a6=99,∴3=105,4=99,即a3=35,a4=33.∴a1=39,d=-2,得an=41-2n.令an=0且an+1<0,n∈N*,则有n=20.故选B.8.设等差数列{an}的前n项和为Sn.若a1=-11,a4+a6=-6,则当Sn取最小值时,n等于( )A.6 B.7C.8 D.9答案 A解析设等差数列{an}的公差为d,∵a4+a6=-6,∴a5=-3,∴d==2,∴a6=-1<0,a7=1>0,故当等差数列{an}的前n项和Sn取得最小值时,n等于6.9.等比数列{an}的前n项和为Sn,且1,2,a3成等差数列.若a1=1,则S4等于( ) A.7 B.8C.15 D.16答案 C解析由1+a3=2⇒4+q2=4q⇒q=2,则S4=a1+a2+a3+a4=1+2+4+8=15.故选C.10.如果数列{an}满足a1,a2-a1,a3-a2,…,an-an-1,…是首项为1,公比为2的等比数列,那么an=( )A.2n+1-1 B.2n-1C.2n-1 D.2n+1答案 B11.含2n+1个项的等差数列,其奇数项的和与偶数项的和之比为( )A.2n+1nB.n+1nC.n-1nD.n+12n答案 B12.如果数列{a n }满足a 1=2,a 2=1,且a n ·a n -1a n -1-a n =a n ·a n +1a n -a n +1,那么此数列的第10项为( )A.1210 B.129 C.110D.15答案 D 解析 ∵a n ·a n -1a n -1-a n =a n ·a n +1a n -a n +1,∴{a n ·a n -1a n -1-a n}为常数列.∴a n ·a n -1a n -1-a n =a 2·a 1a 1-a 2=2,∴a n ·a n -1=2a n -1-2a n .∴1a n -1a n -1=12,∴{1a n }为等差数列,1a 1=12,d =12. ∴1a n =12+(n -1)·12=n 2.∴a n =2n ,∴a 10=15. 二、填空题(本大题共4个小题,每小题5分,共20分,把答案填在题中的横线上) 13.已知等差数列{a n }的公差为3,若a 1,a 3,a 4成等比数列,则a 2=________. 答案 -9解析 由题意得a 23=a 1a 4,所以(a 1+6)2=a 1(a 1+9),解得a 1=-12.所以a 2=-12+3=-9.14.将全体正整数排成一个三角形数阵:1 2 3 4 5 6 7 8 9 10 11 12 13 14 15 … … … … … …根据以上排列规律,数阵中第n (n ≥3)行从左至右的第3个数是________. 答案n 22-n2+3(n ≥3)解析 该数阵的第1行有1个数,第2行有2个数,…,第n 行有n 个数,则第n -1(n ≥3)行的最后一个数n -11+n -12=n 22-n 2,则第n 行从左至右的第3个数为n 22-n2+3(n ≥3).15.设S n 为等比数列{a n }的前n 项和,已知3S 3=a 4-2,3S 2=a 3-2,则公比q =________. 答案 4解析 ⎩⎪⎨⎪⎧3S 3=a 4-2, ①3S 2=a 3-2, ②,①-②,得3a 3=a 4-a 3,4a 3=a 4,q =a 4a 3=4.16.已知数列{a n }对于任意p ,q ∈N *,有a p +a q =a p +q ,若a 1=19,则a 36=________.答案 4 解析 ∵a 1=19,∴a 2=a 1+a 1=29,a 4=a 2+a 2=49,a 8=a 4+a 4=89.∴a 36=a 18+a 18=2a 18=2(a 9+a 9)=4a 9=4(a 1+a 8)=4(19+89)=4.三、解答题(本大题共6个小题,共70分,解答应写出文字说明、证明过程或演算步骤) 17.(10分)在公差不为零的等差数列{a n }中,a 1,a 2为方程x 2-a 3x +a 4=0的两实数根,求此数列的通项公式.答案 a n =2+(n -1)×2=2n18.(12分)等差数列{a n }中,a 4=10,且a 3,a 6,a 10成等比数列,求数列{a n }前20项的和S 20.解析 设数列{a n }的公差为d ,则a 3=a 4-d =10-d ,a 6=a 4+2d =10+2d .a 10=a 4+6d =10+6d .由a 3,a 6,a 10成等比数列,得a 3a 10=a 26. 即(10-d )(10+6d )=(10+2d )2, 整理得10d 2-10d =0,解得d =0或d =1. 当d =0时,S 20=20a 4=200;当d =1时,a 1=a 4-3d =10-3×1=7. 于是S 20=20a 1+20×192d =20×7+190=330.19.(12分)某市共有1万辆燃油型公交车,有关部门计划于2004年投入128辆电力型公交车,随后电力型公交车每年的投入比上一年增加50%.试问:(1)该市在2010年应该投入多少辆电力型公交车? (2)到哪一年底,电力型公交车的数量开始超过公交车总量的13?答案 (1)1 458辆 (2)2011年底20.(12分)设{a n }为等比数列,{b n }为等差数列,且b 1=0,c n =a n +b n ,若{c n }是1,1,2,…,求数列{c n }的前10项的和.解析 ∵c 1=a 1+b 1,即1=a 1+0,∴a 1=1.又⎩⎪⎨⎪⎧a 2+b 2=c 2,a 3+b 3=c 3,即⎩⎪⎨⎪⎧q +d =1, ①q 2+2d =2. ②②-2×①,得q 2-2q =0. 又∵q ≠0,∴q =2,d =-1.c 1+c 2+c 3+…+c 10=(a 1+a 2+a 3+…+a 10)+(b 1+b 2+b 3+…+b 10)=a 11-q 101-q +10b 1+10×92d=210-1+45·(-1)=978.21.(12分)已知数列{a n }满足a 1=1,a 2=2,a n +2=a n +a n +12,n ∈N *.(1)令b n =a n +1-a n ,证明:{b n }是等比数列; (2)求{a n }的通项公式. 解析 (1)b 1=a 2-a 1=1, 当n ≥2时,b n =a n +1-a n =a n -1+a n2-a n =-12(a n -a n -1)=-12b n -1,∴{b n }是以1为首项,-12为公比的等比数列.(2)由(1)知b n =a n +1-a n =(-12)n -1,当n ≥2时,a n =a 1+(a 2-a 1)+(a 3-a 2)+…+(a n -a n -1) =1+1+(-12)+…+(-12)n -2=1+1--12n -11--12=1+23[1-(-12)n -1]=53-23(-12)n -1,当n =1时,53-23(-12)1-1=1=a 1.∴a n =53-23(-12)n -1(n ∈N *).22.(12分)设正项等比数列{a n }的首项a 1=12,前n 项和为S n ,且210S 30-(210+1)S 20+S 10=0.(1)求{a n }的通项; (2)求{nS n }的前n 项和T n . 解析 (1)a n =12n ,n =1,2,…(2)∵{a n }是首项a 1=12,公比q =12的等比数列,∴S n =121-12n1-12=1-12n ,nS n =n -n2n . 则数列{nS n }的前n 项和T n =(1+2+…+n )-(12+222+…+n2n ), ①T n 2=12(1+2+…+n )-(122+223+…+n -12n +n2n +1),② ①-②,得T n 2=12(1+2+…+n )-(12+122+…+12n )+n 2n +1 =nn +14-121-12n 1-12+n2n +1,即T n =n n +12+12n -1+n2n -2.此文档是由网络收集并进行重新排版整理.word 可编辑版本!。
第二章数列单元综合测试时间:120分钟 分值:150分第Ⅰ卷(选择题,共60分)1.数列{2n +1}的第40项a 40等于( ) A .9 B .10 C .40D .41解析:a 40=2×40+1=81=9.答案:A2.等差数列{2-3n }中,公差d 等于( ) A .2 B .3 C .-1D .-3解析:设a n =2-3n ,则an +1-a n =[2-3(n +1)]-(2-3n )=-3. 答案:D3.数列{a n }的通项公式是a n =2n ,S n 是数列{a n }的前n 项和,则S 10等于( )A .10B .210C .210-2D .211-2解析:∴数列{a n }是公比为2的等比数列且a 1=2.答案:D4.在等差数列{a n }中,前n 项和为S n ,若a 7=5,S 7=21,那么S 10等于( ) A .55 B .40 C .35D .70解析:设公差为d ,则⎩⎪⎨⎪⎧a 1+6d =5,7a 1+21d =21,解得d =23,a 1=1,则S 10=10a 1+45d =40. 答案:B5.等比数列{a n }的前n 项和为S n ,且4a 1,2a 2,a 3成等差数列.若a 1=1,则S 4等于( ) A .7 B .8 C .15D .16解析:设公比为q ,由于4a 1,2a 2,a 3成等差数列, 则4a 2=4a 1+a 3,所以4q =4+q 2,解得q =2. 所以S 4=a 1(1-q 4)1-q =1-241-2=15.答案:C6.等差数列{a n }的前n 项和为S n, 若a 3+a 17=10,则S 19的值是( ) A .55 B .95 C .100D .不确定解析:a 3+a 17=a 1+a 19,∴S 19=19(a 1+a 19)2=192×10=95.答案:B7.设{a n }是公差为正数的等差数列,若a 1+a 2+a 3=15,a 1a 2a 3=80,则a 11+a 12+a 13=( )A .120B .105C .90D .75解析:{a n }是公差为正数的等差数列,若a 1+a 2+a 3=15,即3a 2=15,则a 2=5. 又a 1a 2a 3=80,∴a 1a 3=(5-d )(5+d )=16,∴d =3.答案:B8.一个只有有限项的等差数列,它前5项的和为34,最后5项的和为146,所有项的和为234,则它的第7项等于( )A .22B .21C .19D .18解析:设该数列有n 项,且首项为a 1,末项为a n, 公差为d .则依题意有⎩⎪⎨⎪⎧5a 1+10d =34,①5a n -10d =146,②a 1+an2·n =234,③①+②可得a 1+a n =36.代入③得n =13.从而有a 1+a 13=36. 又所求项a 7恰为该数列的中间项,∴a 7=a 1+a 132=362=18.故选D.答案:D9.三个不同的实数a ,b ,c 成等差数列,又a ,c ,b 成等比数列,则ab 等于( )A .-2B .2C .-4D .4解析:∵2b =a +c ,∴c =2b -a .∵c 2=ab ,∴a 2-5ab +4b 2=0,∴a =b (舍去)或a =4b ,∴a b=4. 答案:D10.已知等比数列{a n }满足a n >0,n =1,2,…,且a 5·a 2n -5=22n (n ≥3),则当n ≥1时,log 2a 1+log 2a 3+…+log 2a 2n -1等于( )A .n (2n -1)B .(n +1)2C .n 2D .(n -1)2解析:设公比为q ,答案:C11.在一直线上共插有13面小旗,相邻两面小旗之间距离为10 m ,在第一面小旗处有一个人,把小旗全部集中到一面小旗的位置上,每次只能拿一面小旗,要使他走的路程最短,应集中到哪一面小旗的位置上( )A .7B .6C .5D .4解析:图1如图1所示,设将旗集中到第x 面小旗处,则从第一面旗到第x 面旗共走路程为10(x-1)m ,然后回到第二面旗处再到第x 面处的路程是20(x -2)m ,…,从第x -1面到第x 面来回共20 m ,从第x 面处到第x +1面处路程为20 m ,从第x 面到第x +2面处的路程为20×2 m ,….总共的路程为s =10(x -1)+20(x -2)+20(x -3)+…+20×1+20×1+20×2+…+20×(13-x )=10(x -1)+20·(x -2)(x -1)2+20·(13-x )(14-x )2=10[(x -1)+(x -2)(x -1)+(13-x )(14-x )]=10(2x 2-29x +183)=20(x -294)2+31154.∵x ∈N *,∴当x =7时,s 有最小值为780 m , 即将旗集中到第7面小旗处,所走的路程最短. 答案:A12.若数列{a n }是等差数列,首项a 1>0,a 2007+a 2008>0,a 2007·a 2008<0,则使前n 项和S n >0成立的最大自然数n 是( )A .4013B .4014C .4015D .4016解析:由已知a 1>0,a 2007·a 2008<0,可得数列{a n }为递减数列,即d <0,a 2007>0,a 2008<0.利用等差数列的性质及前n 项和公式可得所以使前n 项和S n >0成立的最大自然数n 是4014,选B. 答案:B第Ⅱ卷(非选择题,共90分)二、填空题(每小题5分,共20分)13.数列{a n }中的前n 项和S n =n 2-2n +2,则通项公式a n =________. 解析:当n =1时,a 1=S 1=1;当n >1时,a n =S n -S n -1=(n 2-2n +2)-[(n -1)2-2(n -1)+2]=2n -3. 又n =1时,2n -3≠a 1,所以有a n =⎩⎪⎨⎪⎧1,n =1,2n -3,n >1.答案:a n =⎩⎪⎨⎪⎧1,n =1,2n -3,n >114.设{a n }为公比q >1的等比数列,若a 2006和a 2007是方程4x 2-8x +3=0的两根,则a 2008+a 2009=________.解析:方程4x 2-8x +3=0的两根是12和32,答案:1815.等差数列{a n }中,若S 12=8S 4,且d ≠0,则a 1d等于________.解析:∵S 12=12a 1+66d ,S 4=4a 1+6d ,又S 12=8S 4,∴12a 1+66d =32a 1+48d .∴20a 1=18d ,∴a 1d =1820=910.答案:91016.用[x ]表示不超过x 的最大整数,如[0.78]=0,[3.01]=3,如果定义数列{x n }的通项公式为x n =[n5](n ∈N *),则x 1+x 2+…+x 5n =________.解析:x 5n =[5n5]=[n ]=n ,则x 1+x 2+…+x 5n =5[x 5+x 10+x 15+…+x 5(n -1)]+x 5n =5(1+2+…+n -1)+n =52n 2-32n .答案:52n 2-32n三、解答题(写出必要的计算步骤,只写最后结果不得分,共70分)17.(本小题10分)三个数成等比数列,其积为512,如果第一个数与第三个数各减2,则成等差数列.求这三个数.解:设三数为aq,a ,aq .由题意,得⎩⎪⎨⎪⎧a 3=512,(a q -2)+(aq -2)=2a , 解得⎩⎪⎨⎪⎧a =8,q =2或⎩⎪⎨⎪⎧a =8,q =12.所以这三个数为4,8,16或16,8,4.18.(本小题12分)求和:(a -1)+(a 2-2)+…+(a n -n ),a ≠0. 解:原式=(a +a 2+…+a n )-(1+2+…+n )=(a +a 2+…+a n )-n (n +1)2=⎩⎪⎨⎪⎧a (1-a n )1-a-n (n +1)2(a ≠1),n -n 22(a =1).19.(本小题12分)已知数列{a n }是等差数列,a 2=6,a 5=18;数列{b n }的前n 项和是T n ,且T n +12b n =1.(1)求数列{a n }的通项公式; (2)求证:数列{b n }是等比数列. 解:(1)设{a n }的公差为d ,∴⎩⎪⎨⎪⎧a 1+d =6,a 1+4d =18,解得a 1=2,d =4. ∴a n =2+4(n -1)=4n -2.(2)证明:当n =1时,b 1=T 1,由T 1+12b 1=1,得b 1=23.当n ≥2时,∵T n =1-12b n ,Tn -1=1-12b n -1,∴T n -T n -1=12(bn -1-b n ).∴b n =12(b n -1-b n ).∴b n =13b n -1. ∴{b n }是以23为首项,13为公比的等比数列.20.(本小题12分)假设某市2007年新建住房400万平方米,其中有250万平方米是中低价房.预计在今后的若干年内,该市每年新建住房面积平均比上一年增长8%.另外,每年新建住房中,中低价房的面积均比上一年增加50万平方米.那么,到哪一年底,该市历年所建中低价房的累计面积(以2007年为累计的第一年)等于4750万平方米?解:设n 年后该市每年所建中低价房的面积为a n , 由题意可知{a n }是等差数列,其中a 1=250,d =50,则S n =250n +n (n -1)2×50=25n 2+225n .令25n 2+225n =4750,即n 2+9n -190=0, 解得n =-19或n =10. 又n 是正整数,∴n =10.到2016年底,该市历年所建中低价房的累计面积等于4750万平方米. 21.(本小题12分)设a 1=1,a 2=53,an +2=53an +1-23a n (n ∈N *).(1)令b n =an +1-a n (n ∈N *),求数列{b n }的通项公式;(2)求数列{na n }的前n 项和S n .解:(1)因为b n +1=a n +2-a n +1=53a n +1-23a n -a n +1=23(a n +1-a n )=23b n ,所以数列{b n }是首项为b 1=a 2-a 1=23,公比为23的等比数列,所以b n =(23)n (n =1,2,…).22.(本小题12分)将数列{a n }中的所有项按每一行比上一行多一项的规则排成如下数表:a 1 a 2 a 3 a 4 a 5 a 6 a 7 a 8 a 9 a 10记表中的第一列数a 1,a 2,a 4,a 7,…构成的数列为{b n },b 1=a 1=1.S n 为数列{b n }的前n 项和,且满足2b nb n S n -S 2n=1(n ≥2).(1)证明数列{1S n}成等差数列,并求数列{b n }的通项公式;(2)上表中,若从第三行起,每一行中的数按从左到右的顺序均构成等比数列,且公比为同一个正数.当a 81=-491时,求上表中第k (k ≥3)行所有项的和.解:(1)证明:由已知,当n ≥2时,2b nb n S n -S 2n=1,又因为S n =b 1+b 2+…+b n ,又因为S 1=b 1=a 1=1,所以数列{1S n }是首项为1,公差为12的等差数列.由上可知1S n =1+12(n -1)=n +12,即S n =2n +1.所以当n ≥2时,b n =S n -S n -1=2n +1-2n =-2n (n +1). 因此b n =⎩⎪⎨⎪⎧1,n =1,-2n (n +1),n ≥2. (2)设题表中从第三行起,每行的公比都为q ,且q >0.因为1+2+…+12=12×132=78,所以表中第1行至第12行共含有数列{a n }的前78项.故a 81在表中第13行第三列,因此a 81=b 13·q 2=-491.又b 13=-213×14,所以q =2.记表中第k (k ≥3)行所有项的和为S ,即S =b k (1-q k )1-q =-2k (k +1)·1-2k 1-2=2k (k +1)(1-2k )(k ≥3).。
课时训练8 等差数列的性质一、等差数列性质的应用1.在等差数列{a n}中,已知a4+a8=16,则a2+a10=( )A.12B.16C.20D.24答案:B2.等差数列{a n}中,若a2+a4 024=4,则a2 013=( )A.2B.4C.6D.-2答案:A解析:2a2013=a2+a4024=4,∴a2013=2.3.在等差数列{a n}中,a3+3a8+a13=120,则a3+a13-a8等于( )A.24B.22C.20D.-8答案:A解析:根据等差数列的性质可知a3+a13=2a8,所以已知等式可变为2a8+3a8=120,解得a8=24,所以a3+a13-a8=2a8-a8=a8=24.4.如果等差数列{a n}中,a1=2,a3=6,则数列{2a n-3}是公差为 的等差数列.答案:4解析:设数列{a n}的公差为d,则a3-a1=2d=4,∴d=2.∴数列{2a n-3}的公差为4.5.在等差数列{a n}中,a3=7,a5=a2+6,则a6= .答案:13解析:设等差数列{a n}的公差为d.∵a5=a2+6,∴a5-a2=6,即3d=6,d=2.∴a6=a3+3d=7+3×2=13.6.(2015河南郑州高二期末,14)若2,a,b,c,9成等差数列,则c-a= .答案:72解析:由等差数列的性质可得2b=2+9,解得b=112.又可得2a=2+b=2+112=152,解得a=154,同理可得2c=9+112=292,解得c=294,故c-a=294−154=144=72.二、等差数列的综合应用7.已知等差数列{a n}中,a7=π4,则tan(a6+a7+a8)等于( )A.-√33B.-√2C.-1D.1答案:C解析:在等差数列中,a6+a7+a8=3a7=3π4,∴tan(a6+a7+a8)=tan3π4=-1.8.已知数列{a n}是等差数列,a4=15,a7=27,则过点P(3,a3),Q(5,a5)的直线斜率为( )A.4B.14C.-4 D.-14答案:A解析:由数列{a n}是等差数列,知a n是关于n的一次函数,其图象是一条直线上的等间隔的点(n,a n),因此过点P(3,a3),Q(5,a5)的直线斜率即过点(4,15),(7,27)的直线斜率,所以直线的斜率k=27-157-4 =4.9.在等差数列{a n}中,若a4+a6+a8+a10+a12=90,则a10-13a14的值为( )A.12B.14C.16D.18答案:A解析:由等差数列的性质及a4+a6+a8+a10+a12=90得5a8=90,即a1+7d=18,∴a10-13a14=a1+9d-13(a1+13d)=23(a1+7d)=23×18=12,故选A.10.数列{a n}满足a1=1,a n+1=(n2+n-λ)a n(n=1,2,…),λ是常数.(1)当a2=-1时,求λ与a3的值;(2)数列{a n}是否可能为等差数列?若可能,求出它的通项公式;若不可能,请说明理由.解:(1)由条件得a2=(2-λ)a1,又a1=1,a2=-1,所以λ=3,从而a3=(22+2-3)a2=-3.(2)假设数列{a n}是等差数列,由a1=1,a n+1=(n2+n-λ)a n得a2=2-λ,a3=(6-λ)(2-λ),a4=(12-λ)(6-λ)(2-λ).由假设知2a2=a1+a3,即2(2-λ)=1+(6-λ)(2-λ),解得λ=3,于是a2=-1,a3=-3,a4=-27,所以a2-a1=-2,而a4-a3=-24,与数列{a n}是等差数列矛盾,故数列{a n}不可能是等差数列.(建议用时:30分钟)1.已知{a n}为等差数列,a2+a8=12,则a5等于( )A.4B.5C.6D.7答案:C解析:由等差数列性质得a2+a8=2a5=12,所以a5=6.2.在等差数列{a n}中,a1+3a8+a15=120,则3a9-a11的值为( )A.6B.12C.24D.48答案:D解析:∵a1+a15=2a8,∴a1+3a8+a15=5a8.∴5a8=120,a8=24.而3a9-a11=3(a8+d)-(a8+3d)=2a8=48.∴选D.3.若数列{a n}为等差数列,a p=q,a q=p(p≠q),则a p+q为( )A.p+qB.0C.-(p+q)D.p+q2答案:B解析:公差d=p-qq-p=-1,∴a p+q=a p+(p+q-p)d=q+q×(-1)=0.4.由公差d≠0的等差数列a1,a2,…,a n,…组成一个数列a1+a3,a2+a4,a3+a5,…,下列说法正确的是( )A.该新数列不是等差数列B.是公差为d的等差数列C.是公差为2d的等差数列D.是公差为3d的等差数列答案:C解析:∵(a n+1+a n+3)-(a n+a n+2)=(a n+1-a n)+(a n+3-a n+2)=2d,∴数列a1+a3,a2+a4,a3+a5,…是公差为2d的等差数列.5.已知{a n}为等差数列,若a1+a5+a9=8π,则cos(a3+a7)的值为( )A.√32B.-√32C.12D.-12答案:D解析:∵{a n}为等差数列,a1+a5+a9=8π,∴a5=83π,cos(a3+a7)=cos(2a5)=cos163π=-12.6.等差数列{a n}中,已知a3=10,a8=-20,则公差d= . 答案:-6解析:由题知d=a8-a38-3=-305=-6.7.在等差数列{a n}中,已知a8+m=10,a8-m=6,其中m∈N*,且1≤m≤7,则a8= . 答案:8解析:∵a 8+m +a 8-m =2a 8,∴a 8=8.8.如果有穷数列a 1,a 2,…,a m (m 为正整数)满足条件:a 1=a m ,a 2=a m-1,…,a m =a 1,则称其为“对称”数列.例如数列1,2,5,2,1与数列8,4,2,4,8都是“对称”数列.已知在21项的“对称”数列{c n }中,c 11,c 12,…,c 21是以1为首项,2为公差的等差数列,c 2= .答案:19解析:因为c 11,c 12,…,c 21是以1为首项,2为公差的等差数列,又{c n }为21项的对称数列,所以c 2=c 20=c 11+9d=1+9×2=19.9.已知等差数列{a n }中,a 1+a 4+a 7=15,a 2a 4a 6=45,求此数列的通项公式.解:∵a 1+a 7=2a 4,∴a 1+a 4+a 7=3a 4=15.∴a 4=5.又∵a 2a 4a 6=45,∴a 2a 6=9.即(a 4-2d )(a 4+2d )=9,即(5-2d )(5+2d )=9,解得d=±2.若d=2,a n =a 4+(n-4)d=2n-3;若d=-2,a n =a 4+(n-4)d=13-2n.10.已知{a n }为等差数列,a 15=8,a 60=20,求a 75.解:解法一:因为{a n }为等差数列,∴a 15,a 30,a 45,a 60,a 75也成等差数列,设其公差为d ,a 15为首项,则a 60为其第4项,∴a 60=a 15+3d ,得d=4.∴a 75=a 60+d=20+4=24.解法二:设{a n }的公差为d ,因为a 15=a 1+14d ,a 60=a 1+59d ,∴{a 1+14d =8,a 1+59d =20,解得{a 1=6415,d =415.故a 75=a 1+74d=6415+74×415=24.。
函数、数列以及极限的综合题例 已知函数y = f(x)的图象是自原点出发的一条折线.当n <1( n=0,1,2,…)时,该图象是斜率为b n 的线段(其中正常数b 1),设数列{x n }由f (xj = n(n 二1,2,…)定 义.求:(1) 求为、x 2和x n 的表达式;(2) 求f (x)的表达式,并写出其定义域;(3) 证明:y 二f (x)的图像与y =x 的图象没有横坐标大于 1的交点.分析:本题主要考查函数的基本概念、等比数列、数列极限的基础知识,考查归纳、推 理和综合的能力.(1)由斜率分式求出X 「X 2,同样由斜率公式求出关于 召的递推式,然后求出x n ,( 2) 由点斜式求出[心人』段的f (x)的表达式,用极限的方法求出定义域.(3)y = f (x)与y =x 没有交点,只要b 1时f (x) • x ,或0 ::: b :::1时f (x) ::: x 恒成立,当b1,由于f (X )- X f (X n ) - X n ,只要证 f(X n )-X . 0.f(0) =0,又由f(xj =1,当0乞y 乞1时,函数y 二f(x)的图象是当1辽y 乞2时,函数目二f(x)的图象是斜率为b 的线段,故由f (x 2) - f (X , )1 +,12 1b ,即 X 2 - X 1 得 x^ 1 -x 2 - 论 bb记x 。
=0.由函数y = f(x)的图象中第n 段线段的斜率为b nd ,故得5"讣X n —X n/解:(1)依题意 斜率为b 0=1的线段,故由 f(X 1)-f (0)=1 得 X 1「.又由 f (X 2)=2 ,又f (X n) -n, f(X n4)= n -1; •••―八皿由此知数列{X n -乩}为等比数列,其首项为1,公比为bn因 b /,得 X n = » (X k -X n 」)k 40 ::: b :::1时,n-•:,Xn 也趋向于无穷大. 综上,当b .1时,y = f (x)的定义域为[0占当 0 ::: b :::1 时,y 二 f (X)的定义域为[0,::).K(3)证法1首先证明当b ::: 1,1 ::: x —— 时,恒有f(x)・x 成立.b —1K对任意的X • (1, ------- ),存在X n 使X n ::: X 乞X n 1,此时有b-1f (X )- f(X n ) =b n (X -X n ) X-X n ( n_ 1),f (x) -X f (X n ) - X n .1 1又 f (X n )二 n 1 亠亠 亠 n 4 =X n , b bf(X n )-X n 0,f (X )-X f (X n ) - X n 0,即有f (x) X 成立.其次,当b :::1,仿上述证明,可知当 x 1时,恒有f(x) :::x 成立.X n -b -11 n_1 7厂 b -1(2)当0乞y 乞1时,从(1)可知y =x ,即当0乞x 乞1时,f (x)二X , 当n < y < n • 1时,即当x^x n 1时,由(1)可知f(x) = n b n (x —X n )(X n 沁 EX n 1,n =1,2,3,).为求函数f(x)的定义域,须对X nb£) b —1(n 二1,2,3,…)进行讨论.当b 1时, lim x n = limn . n ):: 叫)n -1b -1bb —1故函数f (x)的图象与y二x的图象没有横会标大于1的交点.K证法2首先证明当b 1,1 ■:x——时,恒有f(x) .x成立.b-1用数学归纳法证明:(i )由(1 )知当n =1 时,在(1,x2]上,y 二f (x) = 1 • b(x - 1),所以f(x) -x =(x -1)(b -1) 0 成立.(ii)假设n=k时在(x^X k』上恒有f (x) • x成立.可得f (x k k 1 X k 1,在(X k 1,x k 2]上,f (x) - k 1 b k 1(X =X k 1),所以f (x) _x = k 十1+b k41(x_x k也)_x-(b -1)(x -兀.J (k 1-兀.J 0也成立.K由(i)与(i)知,对所有自然数n在(X n,X n』上都即1 :::X -时,恒有f (X) X. b-1其次,当b ::: 1,仿上述证明,可知当x ::: 1时,恒有f (x) :::x成立.说明:本题不仅考查直线方程、数列、函数、不等式知识,还着重考查综合运用数学知识、思想方法解决问题的能力. 解答本题首先必须具备较强的阅读理解能力,图象想像能力,本题的(2)用求极限的方法求定义域,反映了高考命题“不拘泥于大纲”的原则,不过从实践上看,与现在中学数学实际有些超前,本题的难度系数为0.02,三人平均不足1分,创了近年高考得分低的记录.命题人设计试卷时为使考生不放弃难题,将本题放在倒数第二题的位置. 本题得分低一方面是试题“超前”,另一方面反映考生能力差,现在中学数学备考主要是“大运用量”的模仿训练,创新精神提倡不够,一遇情境新颖的问题学生就毫无办法. 以后坚持考不等式证明题的方向不会改变,试题难度会适度降低.判断数列极限命题的真假例判断下列命题的真假:0,1,0,1,…J (T),的极限是0和1.2(1) 数列(2) 数列(3) 数列11 1 11,一,2,一3,…,(一1)厂* n:厂的极限是0.2 2 2 21 1 1sin 1,sin , sin , ,sin ,… 的极限不存在.2 3 n0,1 1 1(4)数列1, , 2,…,10000的极限是0.3 3 3分析:判断一个数列否存在极限,极限是多少,主要依据极限的定义,即数列的变化 趋势. 解:(1) 一个数列的极限如果存在,它的极限是唯一的,不能是两个或更多个,是假命 题.是真命题.(3) 随着n 无限增大,数列彳丄[的项无限趋近于0,因此数列$sin 〕?无限趋近于0, 是假命题.(4) 有穷数列无极限,是假命题. 说明:(3)中容易认为极限不存在.数列只有10001项,是有穷数列,不存在极限.根据数列的极限确定参数的范围例八「1_a Y 右 lim !2a 丿=0,则a 的取值范围是()A . a =1B . a < --1 或 a > 1 C . -Uac 1 D . 1 a £ —一或 a>13 33分析 :由 lim a n= 0(a 为常数),知l a v 1,所以由已知可得1-a <1,解这个不等n —jpC2a式就可求得a 的取值范围.所以1—a <2a两边平方,得:(1 -a )2 :: 4a 2,3a 2 2a-1 0,(3a -1)(a 1) 0,1所以a ::: -1或a 1.3答案 B(2)随着n 无限增大,数列2nJ的项无限趋近于 0,因此它的极限是(4)容易错误认为是真命题,尽管数列随着n 的增大而逐渐趋近于0,但由于::1 ,给出4与S n 的关系式,可以利用S h 4^a n ( n-2),设法求出a .的表达式.1 _a说明:解题过程容易误认为只有0,得a = 1,错选A •解决含有涉及到求字母 2a取值范围的问题时,常常要利用集合的包含关系,充要条件来考虑问题.分析数列求极限已知数列1.9, 1.99, 1.999,…,1.99 99,…(1) 写出它的通项a n ; (2) 计算 I a n - 2 I ;(3) (4) (5) 第几项以后所有的项与 第几项以后所有的项与 指出这个数列的极限.2的差的绝对值小于 0.01? 2的差的绝对值小于 0.001 ?分析:观察数列的特点,可以通过特殊数归纳总结规律,简化数列通项的一般形式,再 求极限.解:(1)可将数列改写为n个——.(2-0.1), (2-0.01) , (2-0.001),…,(2—0.00,01 ),…1于是此数列的通项an =2 - n .1011 (2) 丨a n -2 冃(2 n ) -21 n .1010 1(3)令 |a n 一2卜:0.01 即 -:::0.01,解得 n • 210故这个数列的第2项以后的所有项与 2的差的绝对值均小于0.01.1(4) 令 |a n -2卜:0.001 即 n <0.001,解得 n 3 10故这个数列的第3项以后的所有项与 2的差的绝对值均小于 0.001.1(5)说明:求数列奇数项和的极限数列<:aj 的前n 项和记为S n ,已知a n =5S n -3( n ・N ),求l i m®1a ?n J 的值.n —■分析:为求a 1 ' a^' - a 2n ^当n —; 的极限,应先求出a n 的表达式.从已知条件中当 0 :: q < 1 时,S n ,r )(_q n ),lim 丄=limni -qn—: Sn n r (i r)(i -q )i -q i -q ” , 3 解:由 a i = S 及 a i = 5Sj - 3 = 5a^ - 3,可得 a i -4又 n _ 2 时,a n = S n — S n j ,贝V a n = 5S n —'3 =; a n 丄一'5S n 」一3 、 /i 两式相减,得 a n = a n j =5a n ,a n a nd 4QA数列:a 「是以一为首项,公比为-一的无穷等比数列.4d =i 「= 0,所以{b n }是首项为i + r ,公比为q 的等比数列,从而b n =(i * r)q n_l = n(i r) , lim — = lim nTc s n 1^( i+r)曰 是进而可得,数列a!,a 3,a 5, ,a2n“…,是以a^-为首项,公比为4无穷等比数列,于是可求出极限.3 L i2i lim (a i a 3a ?n J 二n -;i 丄 i5 i6说明:这同i999年全国高考文史类试题.对于这类求极限的题目,必须先用数列的性质求出a n 的通项公式,或确定数列的特征再求极限•由于所求数列是一个公式 穷等比数列,所以在解题时,可以不必再求极限,而直接代入无穷等比数列求和的公式a i等比数列和的极限q < 1的无已知数列{an}满足条件:d ,去=「( r > 0),且{an a ^^}是公比为q ( q > 0 )i的等比数列.设b n= a 2n4 'a 2n ( n =i,2,…),求b n 与lim,其中S n 二b i ■ b 2_b n•解:因为a n i a n 2 _ a n 2a n a n ia n=q ,所以乩b na 2n i a 2n a 2n -4a 2na 2n 」q a 2n qa 2n 4a 2ni=0 ;当q =i 时,S n已知数列{a n }满足条件:耳=1 , a 2 = r ( r . 0),,对任意n N ,有弓匕1= r •设 an反思升华: S -bn - a3n _2 ' a3n 」'a3n ,当q 1时,s _(1r)(1—q n )S n -1 ,lim lim - 0.-q n 匚s n n 忙:(1 . r)(1 _q )1 -q 1 所以lim— j :S n 1-q1 r 00 :: q ::: 1 q _i=d b ?亠 亠 b n ,求 lim S -.n —^c。
第二章 数列答案第1课时 数列的概念及其通项公式1.(1)21,81(2)6465,89 2.53.(1)n a n n )1(-= (2)n a n 2= (3)2n a n =(4)111+-=n n a n 4. 解:(1) n a =2n +1;(2) n a =)12)(12(2+-n n n;(3) n a =2)1(1n-+;(4) 将数列变形为1+0, 2+1, 3+0, 4+1, 5+0, 6+1, 7+0, 8+1, ……,∴n a =n +2)1(1n-+;(5) 将数列变形为1×2, -2×3, 3×4, -4×5, 5×6,……, ∴ n a =(-1)1+n n(n +1)5.(1)440,80208==a a(2)323是这个数列的第17项 6.(1)21-=a 72-=a 103-=a 114-=a 105-=a (2)当4=n 时,取最小的值11-第2课时 数列的概念及其通项公式1.C2. 25-3.∵13a =,121n n a a +=+,∴27a =,315a =,431a =,563a =, ∴121n na +=-4.解:(1) 1a =0, 2a =1, 3a =4,4a =9, 5a =16,∴ n a =(n -1)2;(2) 1a =1,2a =32,3a =4221=, 4a =52, 5a =6231=,∴ n a =12+n ;5.(1)n n a 2= (2)3n a n =(3)2)1(2ab b a a nn --++=(4)n a n =(5))110(31)1(!--=+n n n a6.设n a kn b =+,则31021k b k b +=⎧⎨+=⎩,解得21k b =⎧⎨=⎩,∴21()n a n n N *=+∈,∴20054011a =,又∵2a ,4a ,6a ,8a ,即为5,9,13,17,…,∴41n b n =+第3课时 等差数列的概念和通项公式1.C2.A3.D4. C5.23n -6.87.108.39.由题意知27na n =-,由2752n -=,得29.5n N *=∉,∴52不是该数列中的项.又由2727n k -=+解得7n k N *=+∈,∴27k +是数列{}n a 中的第7k +项.10. (1)445,2171==d a (2) 179=a第4课时 等差数列的概念和通项公式1. D2.B3. A4. 245. 26. 3:17.218. 解:∵ {a n }是等差数列∴ 1a +6a =4a +3a =9⇒3a =9-4a =9-7=2 ∴ d=4a -3a =7-2=5 ∴ 9a =4a +(9-4)d=7+5*5=32 ∴ 3a =2, 9a =329.解:当n ≥2时, (取数列{}n a 中的任意相邻两项1-n a 与n a (n ≥2))])1([)(1q n p q pn a a n n +--+=--p q p pn q pn =+--+=)(为常数∴{n a }是等差数列,首项q p a +=1,公差为p.10.∵(1)2f =,2()1(1)2f n f n ++=,∴1(1)()2f n f n +-=,∴{}()f n 是以2为首项,12为公差的等差数列,∴13()22f n n =+,∴(101)52f =.第5课时 等差数列的概念和通项公式1.B2.C3.B4.D5.B6. 3:4:57. 1,5,11-或11,5,1-或6,5,16-或16,5,6-8.共40项;9.中间三个齿轮的齿数为16,20,2410.(1)每一行与每一列都成等差数列 (2)100,10020200a =第6课时等差数列的前n 项和(1)1. C2. D3. A4.B 5.6(1)84(1,)n n n n N *=⎧⎨->∈⎩6.0 7.6 8. 8769.∵40.8a =,11 2.2a =,∴由1147a a d =+得0.2d =,∴51114010.2a a d =+=∴5152805130293029303010.20.239322a a a a d ⨯⨯+++=+=⨯+⨯=. 10.0,121,1,n n a n n n N*=⎧=⎨->∈⎩ 第7课时等差数列的前n 项和(2)1. D 2. B 3. A 4. 401003- 5. 6 6.247.1650 8.-110 9. 14710. ①∵121126767713113712()6()002130()1302S a a a a a a a S a a a ⎧=+=+>⎪+>⎧⎪⇔⎨⎨<⎩⎪=+=<⎪⎩,∴111211060212a d a d a d +>⎧⎪+<⎨⎪+=⎩ 解得,2437d -<<-,②由67700a a a +>⎧⎨<⎩6700a a >⎧⇒⎨<⎩, 又∵2437d -<<-∴{}n a 是递减数列,∴1212,,,S S S 中6S 最大.第8课时等差数列的前n 项和(3)1. A2.C3.A4.C5. B6. 113, -227. 208.209.前18、19项和相等且最大;n A 最大值略10. (1)第100行是199个数的和,这些数的和是10000 (2)第n行的值2n第9课时 等比数列的概念和通项公式1.A2.D3. A4. C5.B6.12- 7.102.510⨯ 8. 证明略 9. 9,6,4,2或25,-10,4,18 10. 证明略第10课时 等比数列的概念和通项公式1.D2.B3. A4. C7.5 8.①②③9. 平均每年至多只能减少8公顷 10.(1)A1B1=a 5,A2B2=a 35,A3B3=a 955 (2) An Bn=a n 1)35(5-⋅ 第11课时 等比数列的概念和通项公式1. C2. B3. C4. C5.46.81,4096--或7.3,(1)2,(2)nn n=⎧⎨⎩8. 20%9.∵在等比数列{}n a 中, 12a a +,34a a +,56a a +也成等比数列,∵12324a a +=,3436a a +=∴5636364324a a ⨯+== 10. 解:(1)a n +1 = S n +1 –S n221)2(81)2(81+-+=+n n a a ,∴8 a n +1 =221)2()2(+-++n n a a , ∴0)2()2(221=+--+n n a a , ∴(a n +1 + a n )(a n +1 – a n – 4)=0, ∵a n ∈N *,∴a n +1 + a n ≠0, ∴a n +1 – a n – 4=0,即a n +1 – a n = 4, ∴数列{a n }是等差数列. (2)由a n +1 – a n = 4,由题知 B n +1 = 5B n – 4 B n –1 B n +1 – B n = 4(B n – B n –1) b n +1 = 4b n (n ≥2) 又已知b 1 = 1,b 2 = 4.故{b n }是首项为1,公比为4的等比数列. a n =4n –1 (n ∈N +)第12课时 等比数列的前n 项和(1)1.B2.C3.D4.C5.B6.D7.341128 8.21()12n n -+9.27 10.10,2⎛+ ⎝⎭ 11. 由211128n n a a a a -==,又166n a a +=得, 1,n a a 是方程2661280x x -+=的两根,解这个方程得,1264n a a =⎧⎨=⎩或1642n a a =⎧⎨=⎩,由11n n a a qS q -=-得26q n =⎧⎨=⎩或126q n ⎧=⎪⎨⎪=⎩. 12.∵等比数列中k S ,2k k S S -,32k k S S -,……仍成等比数列,∴4S ,84S S -,128S S -,……也成等比数列,而17181920a a a a +++则是这个等比数列中的第5项,由42S =,86S =得844S S -=∴这个等比数列即是:2,4,8,16,32,……,∴1718192032a a a a +++=.第13课时 等比数列的 前n 项和(2)1.A2.B3.C4.A5.C6.35 7. 88.解: ∵211211n n n n n a n =++⋅⋅⋅++++=)111(82122+-=+⋅=n n n n b n ∴数列{bn}的前n 项和:)]111()4131()3121()211[(8+-+⋅⋅⋅+-+-+-=n n S n =)111(8+-n = 18+n n9.解:设)231()71()41()11(12-++⋅⋅⋅++++++=-n a a a S n n 将其每一项拆开再重新组合得)23741()1111(12-+⋅⋅⋅+++++⋅⋅⋅+++=-n aa a S n n (分组) 当a =1时,2)13(n n n S n -+==2)13(nn +(分组求和) 当1≠a 时,2)13(1111n n aa S nn -+--==2)13(11nn a a a n -+--- 10.解:设nn n n a n -+=++=111,则 11321211+++⋅⋅⋅++++=n n S n )1()23()12(n n -++⋅⋅⋅+-+-=11-+n第14课时 等比数列的前n 项和(3)1.D2.D3.C4.C5. A6. 31123n⎡⎤⎛⎫-⎢⎥ ⎪⎝⎭⎢⎥⎣⎦7. 20468. 12(1)q + 9.【解】∵ ⎩⎨⎧=+=+1854510811d a d a , 解得1a =5, d =3,∴ n a =3n +2, n b =n a 2=3×n 2+2,n S =(3×2+2)+ (3×22+2)+ (3×32+2)+……+(3×n 2+2)=3·12)12(2--n +2n =7·n 2-6.(分组求和法)10. 甲方案的总利润68.161≈S 万元 乙方案的总利润56.162≈S 万元 甲方案优第15课时 数列复习课练习(1)(1)C (2)A (3)B (4)D (5)D (6)-1 (7)120 (8)54 (9)92(10)31nn --(11)① ,不能一次性还清贷款;②617.4万元 (1231[1()]23n n a =-;1311(21)()443n n S n -=-+. 第16课时 数列复习课练习(2)(1)D .(2)C. (3)C. (4)B.(5)A.(6)C.(7)D.(8)3000.(9)10,11,12. (10)25. (11)提示:利用等差中项的概念.(12)提示:设()f x kx b =+求得()21f x x =-,(1)(2)(3)(4)(5)25f f f f f ++++=.第2章数列数列单元测试1、B2、 B3、 C4、 A5、 120°6、 10,37、 11,178、 12,18 3249、13,10(略)11、解:由⎩⎨⎧=++=,28,44322a a a a 得⎩⎨⎧=+=.24)1(,4211q q a q a 由0>n a 解出⎩⎨⎧==.2,21q a 所以833==+q a a nn .12、(1)a n =-2m=10;(2)⎪⎩⎪⎨⎧≥+-≤≤+-=6n 40n 9n 5n 1n9n S 22n ;(3)m=713、A 14、B 15、D 16、C 17、B 18、123n +- 19、12-n20、5421、2 22、(3)63110f =++=;观察图4,不难发现第n 堆最底层(第一层)的乒乓球数123n a n =++++ (1)2n n +=,第n 堆的乒乓球总数相当于n 堆乒乓球的底层数之和,即123()n f n a a a a =++++222211(1)(1)(2)(123)2226n n n n n n +++=+++++⋅=23、解: ∵10S n =a n 2+5a n +6, ① ∴10a 1=a 12+5a 1+6,解之得a 1=2或a 1=3. 又10S n -1=a n -12+5a n -1+6(n ≥2),②由①-②得 10a n =(a n 2-a n -12)+6(a n -a n -1),即(a n +a n -1)(a n -a n -1-5)=0 ∵a n +a n -1>0 , ∴a n -a n -1=5 (n ≥2).当a 1=3时,a 3=13,a 15=73. a 1, a 3,a 15不成等比数列∴a 1≠3;当a 1=2时, a 3=12, a 15=72, 有 a 32=a 1a 15 , ∴a 1=2, ∴a n =5n -3. 24、(I )证明:2132,n n n a a a ++=-21112*2112(),1,3,2().n n n n n n n na a a a a a a a n N a a ++++++∴-=-==-∴=∈-{}1n n a a +∴-是以21a a -2=为首项,2为公比的等比数列。
第11课时 等差数列的前n 项和知识点一 等差数列前n 项和公式的简单应用1.已知等差数列{a n }中,a 2=7,a 4=15,则S 10等于( ) A .100 B .210 C .380 D .400 答案 B 解析 ∵d =a 4-a 24-2=15-72=4,又a 2=a 1+d =7,∴a 1=3.∴S 10=10a 1+10×92d =10×3+45×4=210.故选B .2.在等差数列{a n }中,S 10=120,则a 2+a 9=( ) A .12 B .24 C .36 D .48 答案 B 解析 ∵S 10=10a 1+a 102=5(a 2+a 9)=120,∴a 2+a 9=24.3.设S n 是等差数列{a n }的前n 项和,若S 7=35,则a 4=( ) A .8 B .7 C .6 D .5 答案 D 解析 ∵S 7=a 1+a 72×7=35,∴a 1+a 7=10,∴a 4=a 1+a 72=5.知识点二 “知三求二”问题4.等差数列{a n }中,a 1=1,a 3+a 5=14,其前n 项和S n =100,则n =( ) A .9 B .10 C .11 D .12 答案 B解析 a 1=1,a 3+a 5=2a 1+6d =14,∴d =2,∴S n =n +n n -12×2=100.∴n =10.5.设等差数列{a n }的前n 项和为S n ,若a 6=S 3=12,则{a n }的通项a n =________. 答案 2n解析 由已知⎩⎪⎨⎪⎧a 1+5d =12,3a 1+3d =12⇒⎩⎪⎨⎪⎧a 1=2,d =2.故a n =2n .知识点三 a n 与S n 的关系6.已知数列{a n }的通项公式为a n =2-3n ,则{a n }的前n 项和S n 等于( ) A .-32n 2+n 2 B .-32n 2-n2C .32n 2+n 2D .32n 2-n 2 答案 A解析 易知{a n }是等差数列且a 1=-1,所以S n =n a 1+a n2=n 1-3n2=-32n 2+n2.故选A .7.已知等差数列{a n }的前n 项和S n =n 2+n ,则过P (1,a 1),Q (2,a 2)两点的直线的斜率是( )A .1B .2C .3D .4 答案 B解析 ∵S n =n 2+n ,∴a 1=S 1=2,a 2=S 2-S 1=6-2=4.∴过P ,Q 两点直线的斜率k =a 2-a 12-1=4-21=2.8.已知{a n }的前n 项之和S n =2n+1,则此数列的通项公式为________.答案 a n =⎩⎪⎨⎪⎧3n =1,2n -1n ≥2解析 当n =1时,a 1=S 1=2+1=3, 当n ≥2时,a n =S n -S n -1=2n +1-(2n -1+1)=2n -1,又21-1=1≠3,所以a n =⎩⎪⎨⎪⎧3n =1,2n -1n ≥2.易错点一 等差数列的特点考虑不周全9.已知数列{a n }的前n 项和S n =n 2+3n +2,判断{a n }是否为等差数列.易错分析 本题容易产生如下错解:∵a n =S n -S n -1=(n 2+3n +2)-[(n -1)2+3(n -1)+2]=2n +2.a n +1-a n =[2(n +1)+2]-(2n +2)=2(常数),∴数列{a n }是等差数列.需注意:a n =S n -S n -1是在n ≥2的条件下得到的,a 1是否满足需另外计算验证. 解 a 1=S 1=6;当n ≥2时,a n =S n -S n -1=(n 2+3n +2)-[(n -1)2+3(n -1)+2]=2n +2,∴a n =⎩⎪⎨⎪⎧6n =1,2n +2n ≥2,显然a 2-a 1=6-6=0,a 3-a 2=2,∴{a n }不是等差数列.易错点二 忽略对项数的讨论10.已知等差数列{a n }的第10项为-9,前11项和为-11,求数列{|a n |}的前n 项和T n . 易错分析 对于特殊数列求和,往往要注意项数的影响,要对部分特殊项进行研究,否则计算易错.解 设等差数列{a n }的首项为a 1,公差为d ,前n 项和为S n ,则⎩⎪⎨⎪⎧a 1+9d =-9,11a 1+11×102d =-11,解得⎩⎪⎨⎪⎧a 1=9,d =-2,所以a n =9-2(n -1)=11-2n . 由a n >0,得n <112,则从第6项开始数列各项均为负数,那么 ①当n ≤5时,数列{a n }的各项均为正数,T n =n a 1+a n 2=n 9+11-2n 2=n (10-n );②当n ≥6时,T n =|a 1|+|a 2|+…+|a n |=-(a 1+a 2+…+a n )+2(a 1+a 2+…+a 5)=-S n +2S 5=n 2-10n +2×(10×5-52)=n 2-10n +50.所以T n =⎩⎪⎨⎪⎧n 10-n ,1≤n ≤5,n 2-10n +50,n ≥6.一、选择题1.在各项均不为零的等差数列{a n }中,若a n +1-a 2n +a n -1=0(n ≥2),则S 2n -1-4n =( ) A .-2 B .0 C .1 D .2 答案 A解析 ∵{a n }是等差数列,∴2a n =a n -1+a n +1(n ≥2).又a n +1-a 2n +a n -1=0(n ≥2),∴2a n-a 2n =0.∵a n ≠0,∴a n =2,∴S 2n -1-4n =(2n -1)×2-4n =-2.故选A .2.《九章算术》是我国第一部数学专著,下有源自其中的一个问题:“今有金箠(chuí),长五尺,斩本一尺,重四斤,斩末一尺,重二斤.问金箠重几何?”其意思为:“今有金杖(粗细均匀变化)长5尺,截得本端1尺,重4斤,截得末端1尺,重2斤.问金杖重多少?”则答案是( )A .14斤B .15斤C .16斤D .18斤 答案 B解析 由题意可知等差数列中a 1=4,a 5=2,则S 5=a 1+a 5×52=4+2×52=15, ∴金杖重15斤.故选B .3.一个等差数列的项数为2n ,若a 1+a 3+…+a 2n -1=90,a 2+a 4+…+a 2n =72,且a 1-a 2n =33,则该数列的公差是( )A .3B .-3C .-2D .-1 答案 B解析 由⎩⎪⎨⎪⎧a 1+a 3+…+a 2n -1=na 1+n n -12×2d =90,a 2+a 4+…+a2n=na 2+n n -12×2d =72,得nd =-18.又a 1-a 2n =-(2n -1)d =33,所以d =-3.4.一同学在电脑中打出如下图案:○●○○●○○○●○○○○●○○○○○●…若将此图案依此规律继续下去,那么在前120个中的●的个数是( )A .12B .13C .14D .15 答案 C解析 S =(1+2+3+…+n )+n =n n +12+n ≤120,∴n (n +3)≤240,∴n =14.故选C .5.在小于100的自然数中,所有被7除余2的数之和为( ) A .765 B .665 C .763 D .663 答案 B解析 ∵a 1=2,d =7,2+(n -1)×7<100,∴n <15.∴n =14,S 14=14×2+12×14×13×7=665.二、填空题6.已知数列{a n }的前n 项和S n =n 2+1,则a 1+a 5=________. 答案 11解析 由S n =n 2+1,得a 1=12+1=2,a 5=S 5-S 4=(52+1)-(42+1)=9.∴a 1+a 5=2+9=11.7.S n 是等差数列{a n }的前n 项和,若S n S 2n =n +14n +2,则a 3a 5=________.答案 35解析 ∵S n 是等差数列{a n }的前n 项和,S n S 2n =n +14n +2, ∴S 1S 2=a 1a 1+a 1+d =26=13,∴3a 1=2a 1+d ,∴a 1=d ,∴a 3a 5=a 1+2d a 1+4d =3d 5d =35.8.在等差数列{a n }中,a 23+a 28+2a 3a 8=9,且a n <0,则S 10=________. 答案 -15解析 由a 23+a 28+2a 3a 8=9得(a 3+a 8)2=9, ∵a n <0,∴a 3+a 8=-3. ∴S 10=10a 1+a 102=10a 3+a 82=10×-32=-15. 三、解答题9.设{a n }为等差数列,S n 为数列{a n }的前n 项和,已知S 7=7,S 15=75,T n 为数列⎩⎨⎧⎭⎬⎫S n n 的前n 项和,求T n .解 设等差数列{a n }的公差为d ,∵S 7=7,S 15=75,∴⎩⎪⎨⎪⎧7a 1+21d =7,15a 1+105d =75,即⎩⎪⎨⎪⎧a 1+3d =1,a 1+7d =5,解得⎩⎪⎨⎪⎧a 1=-2,d =1,∴S n n =a 1+12(n -1)d =-2+12(n -1), ∵S n +1n +1-S n n =12, ∴数列S n n 是等差数列,其首项为-2,公差为12,∴T n =n ×(-2)+n n -12×12=14n 2-94n . 10.已知{a n }是等差数列,公差为d ,首项a 1=3,前n 项和为S n ,令c n =(-1)nS n (n ∈N *),{c n }的前20项和T 20=330.数列{b n }满足b n =2(a -2)dn -2+2n -1,a ∈R .(1)求数列{a n }的通项公式;(2)若b n +1≤b n ,n ∈N *,求a 的取值范围. 解 (1)设等差数列的公差为d ,因为c n =(-1)nS n ,所以T 20=-S 1+S 2-S 3+S 4+…+S 20=330, 则a 2+a 4+a 6+…+a 20=330,则10(3+d )+10×92×2d =330,解得d =3,所以a n =3+3(n -1)=3n . (2)由(1)知b n =2(a -2)3n -2+2n -1,b n +1-b n=2(a -2)3n -1+2n-[2(a -2)3n -2+2n -1]=4(a -2)3n -2+2n -1=4·3n -2⎣⎢⎡⎦⎥⎤a -2+12⎝ ⎛⎭⎪⎫23n -2,由b n +1≤b n ⇔(a -2)+12⎝ ⎛⎭⎪⎫23n -2≤0⇔a ≤2-12⎝ ⎛⎭⎪⎫23n -2,因为2-12⎝ ⎛⎭⎪⎫23n -2随着n 的增大而增大,所以n =1时,2-12⎝ ⎛⎭⎪⎫23n -2最小值为54,所以a ≤54.。
同步精选测试 等比数列性质(建议用时:45分钟)[基础测试]一、选择题1.等比数列{a n }的公比q =-14,a 1=2,则数列{a n }是( )A.递增数列B.递减数列C.常数数列D.摆动数列【解析】 因为等比数列{a n }的公比为q =-14,a 1=2,故a 2<0,a 3>0,…所以数列{a n }是摆动数列.【答案】 D2.对任意等比数列{a n },下列说法一定正确的是( ) A.a 1,a 3,a 9成等比数列 B.a 2,a 3,a 6成等比数列 C.a 2,a 4,a 8成等比数列 D.a 3,a 6,a 9成等比数列【解析】 设等比数列的公比为q ,因为a 6a 3=a 9a 6=q 3,即a 26=a 3a 9,所以a 3,a 6,a 9成等比数列.故选D.【答案】 D3.已知数列{a n }满足log 3a n +1=log 3a n +1(a ∈N +),且a 2+a 4+a 6=9,则log 13(a 5+a 7+a 9)的值是( )A.-5B.-15C.5D.15【解析】 ∵log 3a n +1=log 3a n +1,∴a n +1=3a n , ∴数列{a n }是以3为公比的等比数列, ∴a 2+a 4+a 6=a 2(1+q 2+q 4)=9,∴a 5+a 7+a 9=a 5(1+q 2+q 4)=a 2q 3(1+q 2+q 4)=35, ∴log 1335=-5.【答案】 A4.在3和一个未知数间填上一个数,使三数成等差数列,若中间项减去6,则成等比数列,则此未知数是( )A.3B.27C.3或27D.15或27【解析】 设此三数为3,a ,b ,则⎩⎪⎨⎪⎧2a =3+b ,a -62=3b ,解得⎩⎪⎨⎪⎧a =3,b =3或⎩⎪⎨⎪⎧a =15,b =27.所以这个未知数为3或27. 【答案】 C5.已知等比数列{a n }满足a n >0,n =1,2,3,…,且a 5·a 2n -5=22n(n ≥3),则当n ≥1时,log 2a 1+log 2a 3+…+log 2a 2n -1=( )【导学号:18082097】A.n (2n -1)B.(n +1)2C.n 2D.(n -1)2【解析】 因为{a n }为等比数列,所以a 5·a 2n -5=a 2n . 由a 5·a 2n -5=22n(n ≥3),得a 2n =22n.又因为a n >0,所以a n =2n,所以log 2a 1+log 2a 3+…+log 2a 2n -1=1+3+…+(2n -1)=n 2,故选C.【答案】 C 二、填空题6.在等比数列{a n }中,a 3=16,a 1a 2a 3…a 10=265,则a 7等于________. 【解析】 ∵a 1a 2a 3…a 10=(a 3a 8)5=265, ∴a 3a 8=213.∵a 3=16=24,∴a 8=29=512. 又∵a 8=a 3q 5,∴q =2,∴a 7=a 8q =5122=256.【答案】 2567.在右列表格中,每格填上一个数字后,使每一横行成等差数列,每纵列成等比数列,则x +y +z 的值为________.【解析】 ∵x 2=24,∴x =1.∵第一行中的数成等差数列,首项为2,公差为1,故后两格中数字分别为5,6. 同理,第二行后两格中数字分别为2.5,3.∴y =5·⎝ ⎛⎭⎪⎫123,z =6·⎝ ⎛⎭⎪⎫124. ∴x +y +z =1+5·⎝ ⎛⎭⎪⎫123+6·⎝ ⎛⎭⎪⎫124=3216=2.【答案】 28.某单位某年十二月份的产值是同年一月份产值的m 倍,那么该单位此年的月平均增长率是________.【解析】 由题意可知,这一年中的每一个月的产值成等比数列,求月平均增长率只需利用a 12a 1=m ,所以月平均增长率为11m -1. 【答案】11m -1三、解答题9.若a ,b 是函数f (x )=x 2-px +q (p >0,q >0)的两个不同的零点,且a ,b ,-2这三个数可适当排序后成等差数列,也可适当排序后成等比数列,求p +q 的值.【解】 不妨设a >b ,由题意得⎩⎪⎨⎪⎧a +b =p >0,ab =q >0,∴a >0,b >0,又a ,b ,-2这三个数可适当排序后成等差数列,也可适当排序后成等比数列.∴⎩⎪⎨⎪⎧ab =-22,a -2=2b ,①或⎩⎪⎨⎪⎧2a =b -2,ab =4,②解①得⎩⎪⎨⎪⎧a =4,b =1,解②得⎩⎪⎨⎪⎧a =1,b =4,∴p =5,q =4,∴p +q =9.10.在等比数列{a n }中,a 4=23,a 3+a 5=209.(1)求数列{a n }的通项公式;(2)若数列{a n }的公比大于1,且b n =log 3a n2,求证:数列{b n }为等差数列,并求其前n项和S n .【导学号:18082098】【解】 (1)设等比数列{a n }的公比为q ,则q ≠0,a 4q +a 4q =209.因为a 4=23,所以1q +q =103,解得q =13或q =3.当q =13时,a 1=18,所以a n =18×⎝ ⎛⎭⎪⎫13n-1=2×33-n;当q =3时,a 1=281,所以a n =281×3n -1=2×3n -5.(2)证明:由(1)及数列{a n }的公比大于1, 得q =3,a n =2×3n -5,所以b n =log 3a n2=log 33n -5=n -5,所以b n -b n -1=1(常数). 又因为b 1=log 3a 12=-4,所以数列{b n }是首项为-4,公差为1的等差数列. 所以S n =n b 1+b n2=12n 2-92n . [能力提升]1.等比数列{a n }是递减数列,前n 项的积为T n ,若T 13=4T 9,则a 8a 15=( ) A.±2 B.±4 C.2 D.4 【解析】 ∵T 13=4T 9. ∴a 1a 2…a 9a 10a 11a 12a 13=4a 1a 2…a 9. ∴a 10a 11a 12a 13=4.又∵a 10·a 13=a 11·a 12=a 8·a 15, ∴(a 8·a 15)2=4.∴a 8a 15=±2.又∵{a n }为递减数列,∴q >0.∴a 8a 15=2. 【答案】 C2.公差不为零的等差数列{a n }中,2a 3-a 27+2a 11=0,数列{b n }是等比数列,且b 7=a 7,则b 6b 8=( )A.16B.14C.4D.49【解析】 ∵2a 3-a 27+2a 11=2(a 3+a 11)-a 27=4a 7-a 27=0, ∵b 7=a 7≠0,∴b 7=a 7=4. ∴b 6b 8=b 27=16. 【答案】 A3.设{a n }是公比为q 的等比数列,|q |>1,令b n =a n +1(n =1,2,…),若数列{b n }有连续四项在集合{-53,-23,19,37,82}中,则6q =________.【解析】 由题意知,数列{b n }有连续四项在集合{-53,-23,19,37,82}中,说明{a n }有连续四项在集合{-54,-24,18,36,81}中,由于{a n }中连续四项至少有一项为负,∴q <0.又∵|q |>1,∴{a n }的连续四项为-24,36,-54,81. ∴q =36-24=-32,∴6q =-9. 【答案】 -94.在等差数列{a n }中,公差 d ≠0,a 2是a 1与a 4的等比中项.已知数列a 1,a 3,ak 1,ak 2,…,ak n ,…成等比数列,求数列{k n }的通项k n .【解】 依题设得a n =a 1+(n -1)d ,a 22=a 1a 4, ∴(a 1+d )2=a 1(a 1+3d ),整理得d 2=a 1d , ∵d ≠0,∴d =a 1,得a n =nd .∴由已知得d,3d ,k 1d ,k 2d ,…,k n d ,…是等比数列.又d ≠0,∴数列1,3,k 1,k 2,…,k n ,…也是等比数列,首项为1,公比为q =31=3,由此得k 1=9.等比数列{k n }的首项k 1=9,公比q =3,∴k n =9×q n -1=3n +1(n =1,2,3,…),即得到数列{k n }的通项为k n =3n +1.附:什么样的考试心态最好大部分学生都不敢掉以轻心,因此会出现很多过度焦虑。
2.4 等比数列1.等比数列的定义一般地,如果一个数列从第2项起,每一项与它的前一项的比等于___________,那么这个数列叫做等比数列,这个常数叫做等比数列的公比,公比通常用字母q 表示(0)q ≠.定义也可叙述为:在数列{}n a 中,若1(n na q q a +=为常数且0)q ≠,则{}n a 是等比数列. 2.等比中项如果在a 与b 中间插入一个数G ,使a ,G ,b 成等比数列,那么___________叫做a 与b 的等比中项.3.等比数列的通项公式设等比数列{}n a 的首项为1a ,公比为q ,则这个等比数列的通项公式是1______(,0)n a a q =≠.4.等比数列与指数函数 (1)等比数列的图象等比数列{}n a 的通项公式11n n a a q -=还可以改写为1nn a a q q=⋅,当1q ≠且10a ≠时,x y q =是指数函数,1x a y q q =⋅是指数型函数,因此数列{}n a 的图象是函数1xa y q q=⋅的图象上一些孤立的点.例如,教材第50页【探究】(2),12n n a -=的图象如下图所示.(2)等比数列的单调性已知等比数列{}n a 的首项为1a ,公比为q ,则 ①当101a q >⎧⎨>⎩或1001a q <⎧⎨<<⎩时,{}n a 是___________数列;②当1001a q >⎧⎨<<⎩或101a q <⎧⎨>⎩时,{}n a 是___________数列;③当1q =时,{}n a 为常数列(0)n a ≠;④当0q <时,{}n a 为摆动数列,所有的奇数项(偶数项)同号,奇数项与偶数项异号. K 知识参考答案: 1.同一常数2.G3.11n a q- 4.递增 递减等比数列的判定与证明判断数列{}n a 是否为等比数列的方法: (1)定义法:判断1n na a +是否为常数; (2)等比中项法:判断11(,2)n nn n a a n n a a +-=∈≥*N 是否成立; (3)通项公式法:若数列{}n a 的通项公式形如(0)nn a tq tq =≠,则数列{}n a 是等比数列.(1)若{}n a 的通项公式为212n n a -=,试判断数列{}n a 是否为等比数列.(2)若,,,a b c d 成等比数列,,,a b b c c d +++均不为零,求证:,,a b b c c d +++成等比数列.【答案】(1){}n a 是等比数列,证明见解析;(2),,a b b c c d +++成等比数列,证明见等比数列的通项公式及应用(1)在等比数列{}n a中,若474,32,a a==则na=____________;(2)在等比数列{}n a中,已知253636,72,a a a a+=+=若1024na=,则n=____________.与q ,即可写出数列{}n a 的通项公式;(2)当已知等比数列{}n a 中的某项,求出公比q 后,可绕过求1a 而直接写出其通项公式,即(,)n mn m a a qm n -=∈*N .等比数列的性质的应用若数列{}n a 是公比为q 的等比数列,由等比数列的定义可得等比数列具有如下性质:(1)若m n p q +=+,则m n p q a a a a =;若2m n r +=,则2(,)m n r a a a m n,p,q,r =∈*N .推广:1211;n n i n i a a a a a a -+-===L L ①②若m n t p q r++=++,则m n t p q r a a a a a a =.(2)若,,m n p 成等差数列,则,,m n p a a a 成等比数列. (3)数列{}(0)n a ≠λλ仍是公比为q 的等比数列;数列1{}n a 是公比为1q的等比数列; 数列{}||n a 是公比为||q 的等比数列;若数列{}n b 是公比为q'的等比数列,则数列{}n n a b 是公比为qq'的等比数列. (4)23,,,,k k m k m k m a a a a +++L 成等比数列,公比为m q .(5)连续相邻k 项的和(或积)构成公比为(k q 或2)k q 的等比数列.已知等比数列{}n a 满足0,n a >(1)若1237894,9,a a a a a a ==则456a a a =_____________; (2)若25253(3)n n a a n -⋅=≥,则当1n ≥时,3133321log log log n a a a -+++=L _____________.【答案】(1)6;(2)2n .【解析】(1)方法1:因为31231322789798()4,()a a a a a a a a a a a a a ====389,a ==由递推公式构造等比数列求数列的通项公式(1)形如1(1,0)n n a pa q p pq +=+≠≠的递推关系式①利用待定系数法可化为1n a +-()11n q q p a p p =---,当101qa p-≠-时,数列{}1n qa p--是等比数列; ②由1n n a pa q +=+,1(2)n n a pa q n -=+≥,两式相减,得11()n n n n a a p a a +--=-,当210a a -≠时,数列1{}n n a a +-是公比为p 的等比数列.(2)形如+1(,0)nn n a ca d c d cd =+≠≠的递推关系式除利用待定系数法直接化归为等比数列外,也可以两边同时除以1n d +,进而化归为等比数列.(1)在数列{}n a 中,111,36,n n a a a +==+则数列{}n a 的通项公式为n a =_____________;(2)在数列{}n a 中,1111,63,n n n a a a ++==+则数列{}n a 的通项公式为n a =_____________.忽略等比数列中所有项不为零导致错误已知等比数列{}n a 的前三项分别为,22,33a a a ++,则a =_____________.【错解】因为22a +为a 与33a +的等比中项,所以2(22)(33)a a a +=+,解得1a =-或4-.【错因分析】若1a =-,则,22,33a a a ++这三项为1,0,0-,不符合等比数列的定义. 【正解】因为22a +为a 与33a +的等比中项,所以2(22)(33)a a a +=+,解得1a =-或4-.由于1a =-时,220,330a a +=+=,所以1a =-应舍去,故4a =-.【名师点睛】因为等比数列中各项均不为零,所以解题时一定要注意将所求结果代入题中验证,若所求结果使等比数列中的某些项为零,则一定要舍去.忽略等比数列中项的符号导致错误在等比数列{}n a 中,246825a a a a =,则19a a =_____________.【错解】因为{}n a 为等比数列,所以192846a a a a a a ==,由246825a a a a =可得219()25a a =,故195a a =±.【错因分析】错解中忽略了在等比数列中,奇数项或偶数项的符号相同这一隐含条件. 【正解】因为{}n a 为等比数列,所以192846a a a a a a ==,由246825a a a a =可得219()25a a =,故195a a =±.又在等比数列中,所有的奇数项的符号相同,所以190a a >,所以195a a =.【名师点睛】在等比数列中,奇数项或者偶数项的符号相同.因此,在求等比数列的某一项或者某些项时要注意这些项的正负问题,要充分挖掘题目中的隐含条件.1.已知1,,,,5a b c 五个数成等比数列,则b 的值为A .3BC.D .522.在等比数列{}n a 中,112a =,12q =,132n a =,则项数n 为 A .3 B .4 C .5D .63.已知等比数列{}n a 为递增数列,若10a >,且212()3n n n a a a ++-=,则数列{}n a 的公比q =A .2或12B .2C .12D .2-4.已知数列{}n b 是等比数列,9b 是1和3的等差中项,则216b b = A .16 B .8 C .2D .45.已知等比数列{}n a 中,3462,16a a a ==,则101268a a a a --的值为A .2B .4C .8D .166.在等比数列{}n a 中,若48,a a 是方程2430x x -+=的两根,则6a 的值是 A.BC.D .3±7.已知三个数成等比数列,它们的积为27,它们的平方和为91,则这三个数的和为 A .13B .-7C .-7或13D .无法求解8.已知0a b c <<<,且,,a b c 是成等比数列的整数,n 为大于1的整数,则下列关于log a n ,log b n ,log c n 的说法正确的是A .成等差数列B .成等比数列C .各项的倒数成等差数列D .以上都不对9.已知数列{}n a 满足13n n a a +=,且2469a a a ++=,则15793log ()a a a ++=____________.10.在等比数列{}n a 中,21a =,公比1q ≠±.若135,4,7a a a 成等差数列,则6a 的值是_____________.11.在等比数列{}n a 中,572a a =,2103a a +=,则124a a =_____________. 12.已知单调递减的等比数列{}n a 满足23428a a a ++=,且32a +是2a ,4a 的等差中项,则公比q =_____________,通项公式为n a =_____________.13.已知等比数列{}n a 中,2766a a +=,36128a a =,求等比数列{}n a 的通项公式n a .14.已知数列}{n a 满足递推式)2(121≥+=-n a a n n ,其中415a =.(1)求321,,a a a ;(2)求证:数列{1}n a +为等比数列.15.已知数列{}n a 与等比数列{}n b 满足3()n an b n =∈*N .(1)试判断{}n a 是何种数列; (2)若813a a m +=,求1220b b b L .16.已知{}n a 是等比数列,且263a a +=,61012a a +=,则812a a +=A .B .24C .D .4817.已知等差数列{}n a 和等比数列{}n b 的首项都是1,公差和公比都是2,则=++432b b b a a aA .24B .25C .26D .2718.若等比数列{}n a 的各项均为正数,且310119122e a a a a +=(e 为自然对数的底数),则12ln ln a a ++⋅⋅⋅+20ln a =A .50B .40C .30D .2019.各项均为正的等比数列{}n a 中,4a 与14a的等比中项为,则27211log log a a +的值为A .4B .3C .2D .120.已知等差数列{}n a 和等比数列{}n b 的首项都是1,公差和公比都是2,则234a a a b b b ++=A .24B .25C .26D .8421.在等比数列{}n a 中,27a =,公比1q ≠±.若135,4,7a a a 成等差数列,则21n a +=____________.22.已知数列{}n a 满足132(2)n n a a n -=+≥,且12a =,则n a =_____________. 23.已知1,,,4a b --成等差数列,1,,,,4m n t --成等比数列,则b an-=______________. 24.等差数列{}n a 的各项均为正数,13a =,前n 项和为n S ,{}n b 为等比数列,11b =,且2264,b S =33960b S =. (1)求n a 与n b ; (2)求和:12111nS S S +++.25.已知数列{}n a 的前n 项和为n S ,在数列{}n b 中,11b a =,1(2)n n n b a a n -=-≥,且n n a S n +=.(1)设1n n c a =-,求证:{}n c 是等比数列; (2)求数列{}n b 的通项公式.26.(2018北京文)“十二平均律”是通用的音律体系,明代朱载堉最早用数学方法计算出半音比例,为这个理论的发展做出了重要贡献.十二平均律将一个纯八度音程分成十二份,依次得到十三个单音,从第二个单音起,每一个单音的频率与它的前一个单音的频率的比都等于.若第一个单音的频率f ,则第八个单音频率为 ABC.fD.27.(2016四川理)某公司为激励创新,计划逐年加大研发资金投入.若该公司2015年全年投入研发资金130万元,在此基础上,每年投入的研发资金比上一年增长12%,则该公司全年投入的研发资金开始超过200万元的年份是 (参考数据:lg 1.12≈0.05,lg 1.3≈0.11,lg2≈0.30) A .2018年 B .2019年 C .2020年D .2021年28.(2017北京理)若等差数列{}n a 和等比数列{}n b 满足11–1a b ==,448a b ==,则22a b =______________. 29.(2017新课标全国Ⅲ理)设等比数列{}n a 满足a 1+a 2=–1,a 1–a 3=–3,则a 4=______________.30.(2018新课标全国Ⅰ文)已知数列{}n a 满足11a =,12(1)n n na n a +=+,设nn a b n=. (1)求1b ,2b ,3b ;(2)判断数列{}n b 是否为等比数列,并说明理由; (3)求{}n a 的通项公式.31.(2016新课标全国Ⅲ文)已知各项都为正数的数列{}n a 满足11a =,21(21)n n n a a a +---120n a +=.(1)求23,a a ;(2)求{}n a 的通项公式.1.【答案】B【解析】设等比数列的公比为q .由题意得,215b b =⨯⇒=,又2210b q q =⨯=>,所以b =B .2.【答案】C【解析】根据等比数列通项公式11n n a a q-=⋅有1111()3222n -=⋅,解得5n =,故选C .5.【答案】B【解析】由题意得246516a a a ==,所以54a =±,因为32a =,所以54a =,所以2532a q a ==,所以91141012115768114a a a q a q q a a a q a q--===--,故选B . 6.【答案】B【解析】由48,a a 是方程2430x x -+=的两根有484840,3a a a a +=>=,故48,a a 都为正数,而26483a a a ==,所以6a =,由于2640a a q =>,所以6a =,故选B . 7.【答案】C【解析】由题意,可设这三个数分别为aq,a ,aq ,则22222222739999191aa aq a q q a a a q q q ⎧⋅⋅==⎧⎪⎪⎪⇒⎨⎨++=⎪⎪++=⎩⎪⎩239a q =⎧⇒⎨=⎩或2319a q =⎧⎪⎨=⎪⎩,所以3q =±或13q =±,故这三个数为1,3,9或-1,3,-9或9,3,1或-9,3,-1.故这三个数的和为13或-7.故选C .9.【答案】−5【解析】因为13n n a a +=,所以数列{}n a 是以3为公比的等比数列,335579246()393a a a q a a a ∴++=++=⨯=,∴15793log ()5a a a ++=-.10.【答案】149【解析】由题意得342231511878778107=+⇒=+⇒-+=⇒=a a a q q q q q q 或21=q (舍去),从而461.49a q == 11.【答案】2或21【解析】由等比数列性质知57210=2a a a a =,又2103a a +=,所以21a =,102a =或22a =,101a =,所以1012422a a a a ==或21. 12.【答案】12 61()2n - 【解析】由题意得,3243332(2)2(2)288a a a a a a +=+⇒++=⇒=,所以2481208202a a q q q +=⇒+=⇒=或2(舍去),所以通项公式为3631()2n n n a a q --==.13.【答案】12n n a -=或82nn a -=.【解析】设等比数列的首项为1a ,公比为q , 由题意得272727362766,66,2,64128128a a a a a a a a a a +=+==⎧⎧⎧⇒⇒⎨⎨⎨===⎩⎩⎩或2764,2.a a =⎧⎨=⎩所以55722a q a ==或512,即2q =或12, 所以2122n n n a a q--==或22812n n n a a q --==.故等比数列{}n a 的通项公式为12n n a -=或82nn a -=.14.【答案】(1)11a =,23a =,37a =;(2)见解析.【解析】(1)由121n n a a -=+及415a =知432115,a a =+= 解得,73=a 同理可得.1,312==a a(2)由121+=-n n a a 可得2211+=+-n n a a ,)1(211+=+-n n a a ,{1}n a +是以211=+a 为首项,2为公比的等比数列.(2)因为120813a a a a m +=+=,所以1220a a a +++=L ()120202a a +=10m ,所以2012201210122033333a a a a a am b b b +++===L L L .16.【答案】B【解析】由题意知4446102626261243a a a q a q q a a a a ++====++,则22q =, 所以222812610610()21224a a a q a q q a a +=+=+=⨯=,故选B . 17.【答案】B【解析】等比数列}{n b 首项是1,公比是2,所以2342,4,8b b b ===,等差数列{}n a 的首项是1,公差是2,所以2342481311311225b b b a a a a a a a d ++=++=+=+⨯=,故选B . 18.【答案】C【解析】在等比数列中,q p n m a a a a q p n m =⇒+=+,所以3310119121011101122e e a a a a a a a a +==⇒=,由对数的运算可知1220ln ln ln a a a ++⋅⋅⋅+12201202191011ln()ln[()()()]a a a a a a a a a =⋅⋅⋅=1031011ln()10ln e 30a a ===,故选C .19.【答案】B【解析】由4a 与14a的等比中项为4148a a =,所以27211271124142log log log log log 83a a a a a a +====,故选B . 20.【答案】D【解析】等差数列{}n a 首项是1,公差是2,所以2343,5,7a a a ===,等比数列{}n b 首项是1,公比是2,所以23424635722284a a a b b b b b b ++=++=++=,故选D . 21.【解析】由题意得342231511878778107=+⇒=+⇒-+=⇒=a a a q q q q q q 或21=q (舍去),从而2211117777nn n n a q +-=⨯=⨯=. 22.【答案】31n -【解析】1132(2),2n n a a n a -=+≥=,1113(1),13n n a a a -∴+=++=,即数列{1}n a +是以3为首项、3为公比的等比数列,则nn a 31=+,即13-=nn a . 23.【答案】12【解析】因为1,,,4a b --成等差数列,设公差为d ,所以4(1)141b a d ----===--,因为1,,,,4m n t --成等比数列,所以2(1)(4)4n =-⨯-=, 即2n =±,由于n 与1,4--同号,所以0n <,所以2n =-,所以1122b a n --==-. 24.【答案】(1)21n a n =+,18n n b -=;(2)32342(1)(2)n n n +-++. 【解析】(1)设{}n a 的公差为d ,{}n b 的公比为q , 则0d>,3(1)n a n d =+-,1n n b q -=,依题意有23322(93)960,(6)64,S b d q S b d q ⎧=+=⎨=+=⎩解得2,8d q =⎧⎨=⎩或6,5403d q ⎧=-⎪⎪⎨⎪=⎪⎩(舍去),故32(1)21n a n n =+-=+,18n n b -=.(2)35(21)(2)n S n n n =++++=+,所以121111111132435(2)n S S S n n +++=++++⨯⨯⨯+11111111(1)2324352n n =-+-+-++-+ 1111(1)2212n n =+--++ 323.42(1)(2)n n n +=-++ 25.【答案】(1)见解析;(2)1()2nn b =.【解析】(1)因为n n a S n += ①,所以111n n a S n +++=+ ②,②−①得111n n n a a a ++-+=,所以121n n a a +=+, 所以12(1)1n n a a +-=-,所以11112n n a a +-=-,所以{1}n a -是等比数列.因为首项111c a =-,111a a +=,所以112a =,所以112c =-, 所以{}n c 是以12-为首项,12为公比的等比数列. (2)由(1)可知1111()()()222n n n c -=-⋅=-,所以111()2n n n a c =+=-.故当2n ≥时,111111111()[1()]()()()22222n n n n nn n n b a a ---=-=---=-=.又1112b a ==代入上式也符合,所以1()2n nb =.26.【答案】D【解析】因为每一个单音与前一个单音频率比为,所以*1(2,)n n a n n -=≥∈N , 又1a f =,则7781a a q f ===,故选D .【名师点睛】本题考查等比数列的实际应用,解决本题的关键是能够判断单音成等比数列.等比数列的判断方法主要有如下两种: (1)定义法,若1*(0,)n n a q q n a +=≠∈N 或1*(0,2,)n n aq q n a n -≠≥∈=N , 数列{}n a 是等比数列;(2)等比中项公式法,若数列{}n a 中,0n a ≠且*2123,()n n n a a a n n --≥∈=⋅N ,则数列{}n a 是等比数列.28.【答案】1【解析】设等差数列的公差和等比数列的公比分别为d 和q ,则3138d q -+=-=,求得2,3q d =-=,那么221312a b -+==. 29.【答案】8-【解析】设等比数列{}n a 的公比为q ,很明显1q ≠-,结合等比数列的通项公式和题意可得方程组:1212131(1)1(1)3a a a q a a a q +=+=-⎧⎨-=-=-⎩①②,由②①可得:2q =-,代入①可得11a =,由等比数列的通项公式可得3418a a q ==-.30.【答案】(1)11b =,22b =,34b =;(2)数列{}n b 是等比数列,理由见解析;(3)1·2n n a n -=.【解析】(1)由条件可得12(1)n n n a a n++=, 将1n =代入得214a a =,而11a =,所以24a =. 将2n =代入得323a a =,所以312a =. 从而11b =,22b =,34b =.31.【答案】(1)41,2132==a a ;(2)121-=n n a . 【解析】(1)由题意得41,2132==a a . (2)由02)12(112=---++n n n n a a a a ,得)1()1(21+=++n n n n a a a a . 因为{}n a 的各项都为正数,所以211=+n n a a , 故{}n a 是首项为1,公比为21的等比数列,因此121-=n n a .。
高二数学必修5第二章数列测试题一、选择题(共20小题,每小题3分,共60分):1、给出下列数列:(1)0,0,0,0,0,…;(2)1,11,111,1111,…;(3) ,2,2,2,2432;(4) ,3,1,1,3,5---;(5)1,2,3,5,8,…;其中等差数列有( )A 、 1个B 、2个C 、3个D 、4个2、已知=+-=102,31a n n a n 则( )A 、1039B 、10310C 、1009D 、103、在等比数列中,已知13,48,2n a a q ===,则n=( )A 、 3B 、4C 、5D 、64、在等比数列{}n a 中,,3,21==q a 则=4S ( )A 、26B 、27C 、80D 、815、等差数列}{n a 的前10项和===d a S 则公差首项,1,100110( )A 、1B 、2C 、3D 、46、在数列}{n a 中,已知211+=+n n a a ,且21=a ,则101a 等于( )A 、49B 、50C 、51D 、527、已知19,,,4y x 构成等差数列,则y x ,的值分别为( )A 、 9,14B 、8,13C 、7,12D 、6,118、等差数列}{n a 中,已知1,16497==+a a a ,则12a 的值是( )A 、15B 、30C 、31D 、649、在等差数列}{n a 中,9015=S ,则8a =( )A 、3B 、5C 、6D 、1210、在等比数列{}n a 中,0,32,251>==q a a 则=5S ( )A 、60B 、62C 、64D 、6611、在等比数列{}n a 中,,6,584==a a 则=102a a ( )A 、27B 、28C 、29D 、3012、在等差数列{}n a 中,若,1201210864=++++a a a a a 则=-12102a a 的值为() A 、20 B 、22 C 、24 D 、26第1页(试卷共2页)13、等差数列}{n a 的前n 项和为n S ,且 963,7,3S S S 则==的值是( )A 、12B 、15C 、11D 、814、已知等差数列共有10项,其中奇数项之和为15,偶数项之和为45,则其公差是( )A 、3B 、4C 、5D 、615、等差数列{}n a 的公差为2,若842,,a a a 成等比数列,则{}n a 的前n 项和=n S ( )A 、2)1(-n nB 、2)1(+n n C 、)1(-n n D 、)1(+n n16、已知数列{}n a 满足)(1,111*+∈+==N n a a a a n n n ,则数列{}n a 的通项公式为( )A 、n a n =B 、n a n 1=C 、1-=n a nD 、11-=n a n17、已知数列{}n a 的前n 项和为1,2-=n S S n n ,则=2016a ( )A 、4031B 、4032C 、2015D 、201618、在等比数列}{n a 中,各项均为正数,且7,13211=++=a a a a ,则数列}{n a 的通项公式n a =( )A 、n 2B 、12-nC 、n 4D 、14-n19、已知三个数成等差数列,且三个数之和为15,首末两项之积为9,则这三个数为( )A 、2,5,8B 、1,5,9C 、9,5,1D 、1,5,9或9,5,120、在等差数列{}n a 中,121=a ,其前n 项和为n S ,且1510S S =,则n S 的最大值为( )A 、74B 、76C 、78D 、80二、填空题(共4小题,每小题3分,共12分):21、数列1,4,9,16,25…的一个通项公式为 。
第二章 数列能力检测满分150分.考试时间120分钟.一、选择题(本大题共12个小题,每小题5分,共60分,在每小题给出的四个选项中,只有一项是符合题目要求的)1.(2019年山西太原期末)数列1,3,6,10,…的一个通项公式是( ) A .a n =n n +12B .a n =n n -12C .a n =n 2-(n -1) D .a n =n 2-1【答案】A【解析】观察数列1,3,6,10,…,可以发现1=1,3=1+2,6=1+2+3,10=1+2+3+4,…,第n 项为1+2+3+4+…+n =n n +12.∴a n =n n +12.故选A .2.已知等差数列{a n }的前n 项和为S n 且满足S 33-S 22=1,则数列{a n }的公差d 是( )A .-2B .-1C .1D .2【答案】D【解析】由S 33-S 22=1得a 1+a 2+a 33-a 1+a 22=a 1+d -2a 1+d 2=d2=1,∴d =2.3.已知3,a +2,b +4成等比数列,1,a +1,b +1成等差数列,则等差数列的公差为( ) A .4或-2 B .-4或2 C .4 D .-4【答案】C【解析】∵3,a +2,b +4成等比数列,1,a +1,b +1成等差数列,∴(a +2)2=3(b +4),2(a +1)=1+b +1,联立解得⎩⎪⎨⎪⎧a =-2,b =-4或⎩⎪⎨⎪⎧ a =4,b =8.当⎩⎪⎨⎪⎧a =-2,b =-4时,a +2=0,与3,a +2,b +4成等比数列矛盾,应舍去;当⎩⎪⎨⎪⎧a =4,b =8时,等差数列的公差为(a +1)-1=a =4.故选C .4.已知等差数列{a n }的公差d <0,若a 4·a 6=24,a 2+a 8=10,则该数列的前n 项和S n的最大值为( )A .50B .40C .45D .35【答案】C【解析】∵a 4+a 6=a 2+a 8=10,a 4·a 6=24,d <0,∴⎩⎪⎨⎪⎧a 4=6,a 6=4.∴d =a 6-a 46-4=-1,∴a n =a 4+(n -4)d =10-n .∴当n =9或10时S n 取到最大值,S 9=S 10=45.5.公差不为0的等差数列{a n },其前23项和等于其前10项和,a 8+a k =0,则正整数k =( )A .24B .25C .26D .27【答案】C【解析】由题意设等差数列{a n }的公差为d ,d ≠0,∵其前23项和等于其前10项和,∴23a 1+23×222d =10a 1+10×92d ,变形可得13(a 1+16d )=0.∴a 17=a 1+16d =0.由等差数列的性质可得a 8+a 26=2a 17=0,∴k =26.故选C .6.已知各项为正的等比数列{a n }中,a 4与a 14的等比中项为22,则a 7a 9a 11=( ) A .16 B .16 2 C .32 D .32 2【答案】B【解析】∵各项为正的等比数列{a n }中,a 4与a 14的等比中项为22,∴a 4a 14=(22)2=8.∴a 7a 11=a 29=8.∴a 7a 9a 11=16 2.故选B .7.如果数列{a n }满足a 1=2,a 2=1且a n -1-a n a n -1=a n -a n +1a n +1(n ≥2),则这个数列的第10项等于( )A .129B .1210 C .110 D .15【答案】D 【解析】∵a n -1-a n a n -1=a n -a n +1a n +1,∴1-a n a n -1=a n a n +1-1,a n a n -1+a n a n +1=2,∴1a n -1+1a n +1=2a n ,故⎩⎨⎧⎭⎬⎫1a n 是等差数列.又d =1a 2-1a 1=12,∴1a 10=12+9×12=5,故a 10=15.8.设等差数列{a n }的前n 项和为S n ,若2a 8=6+a 11,则S 9的值等于( ) A .54 B .45 C .36 D .27【答案】A【解析】∵2a 8=a 5+a 11,2a 8=6+a 11,∴a 5=6.∴S 9=9a 5=54.9.已知各项都为正数的等比数列{a n }中,a 2a 4=4,a 1+a 2+a 3=14,则满足a n ·a n +1·a n +2>19的最大正整数n 的值为( ) A .3 B .4 C .5 D .6【答案】B【解析】∵a 2a 4=4,a n >0,∴a 3=2.∴a 1+a 2=12.∴⎩⎪⎨⎪⎧a 1+a 1q =12,a 1q 2=2,消去a 1,得1+qq2=6.∵q >0,∴q =12.∴a 1=8,∴a n =8×⎝ ⎛⎭⎪⎫12n -1=24-n .∴不等式a n a n +1a n +2>19化为29-3n>19,当n=4时,29-3×4=18>19,当n =5时,29-3×5=164<19.故选B . 10.(2019年内蒙古包头模拟)已知各项均为正数的数列{a n }的前n 项和为S n ,且S n 满足n (n +1)S 2n +(n 2+n -1)S n -1=0(n ∈N *),则S 1+S 2+…+S 2019=( )A .12 019 B .12 020 C .2 0182 019 D .2 0192 020【答案】D【解析】∵n (n +1)S 2n +(n 2+n -1)S n -1=0(n ∈N *),∴(S n +1)[n (n +1)S n -1]=0.又S n>0,∴n (n +1)S n -1=0,∴S n =1nn +1=1n -1n +1.∴S 1+S 2+…+S 2 019=⎝ ⎛⎭⎪⎫1-12+⎝ ⎛⎭⎪⎫12-13+…+⎝⎛⎭⎪⎫12 019-12 020=2 0192 020.11.已知数列3,7,11,…,139与2,9,16,…,142,则它们所有公共项的个数为( ) A .4 B .5 C .6 D .7【答案】B【解析】由题意可知数列3,7,11,…,139的通项公式为a n =4n -1,139是数列第35项.数列2,9,16,…,142的通项公式为b m =7m -5,142是数列第21项.设数列3,7,11,…,139的第n 项与数列2,9,16,…,142的第m 项相同,则4n -1=7m -5,n =7m -44=7m 4-1,∴m为4的倍数且m 不大于21,n 不大于35.由此可知,m 只能为4,8,12,16,20.此时n 的对应值为6,13,20,27,34.∴公共项的个数为5.故选B .12.(2019年福建厦门模拟)已知等差数列{a n }的公差d ≠0,{a n }的部分项ak 1,ak 2,…,ak n 构成等比数列,若k 1=1,k 2=5,k 3=17,则k n =( )A .2×3n -1-1 B .2×3n -1+1C .2×3n-1 D .2×3n+1【答案】A【解析】设等比数列ak 1,ak 2,…,ak n 的公比为q .因为k 1=1,k 2=5,k 3=17,所以a 1·a 17=a 25,即a 1(a 1+16d )=(a 1+4d )2,化简得a 1d =2d 2.又d ≠0,得a 1=2d ,所以q =a 5a 1=a 1+4da 1=2d +4d2d=3.一方面,ak n 作为等差数列{a n }的第k n 项,有ak n =a 1+(k n -1)d =2d +(k n -1)d =(k n +1)d ;另一方面,ak n 作为等比数列的第n 项,又有ak n =ak 1·q n -1=a 1·3n -1=2d ·3n -1,所以(k n +1)d =2d ·3n -1.又d ≠0,所以k n =2×3n -1-1.二、填空题(本大题共4个小题,每小题5分,共20分,把正确答案填在题中横线上) 13.(2017年新课标Ⅲ)设等比数列{a n }满足a 1+a 2=-1,a 1-a 3=-3,则a 4=________. 【答案】-8【解析】设{a n }的公比为q ,则⎩⎪⎨⎪⎧a 1+a 2=a 11+q =-1,a 1-a 3=a 11-q2=-3,解得⎩⎪⎨⎪⎧a 1=1,q =-2,∴a 4=a 1q 3=-8.14.等比数列{a n }的前n 项和为S n ,已知S 1,2S 2,3S 3成等差数列,则{a n }的公比为________. 【答案】13【解析】∵S 1,2S 2,3S 3成等差数列,∴4S 2=S 1+3S 3.a n =a 1qn -1,即4(a 1+a 1q )=a 1+3(a 1+a 1q +a 1q 2),解得q =13.15.已知数列{a n }满足a n +1=12+a n -a 2n 且a 1=12,则该数列的前 2 017项的和等于________.【答案】3 0252【解析】∵a 1=12,a n +1=12+a n -a 2n ,∴a 2=1,从而a 3=12,a 4=1,即得a n =⎩⎪⎨⎪⎧12,n =2k -1k ∈N +,1,n =2k k ∈N +,故数列的前2 017项的和S 2 017=1 008×1+1 009×12=3 0252.16.(2018年江苏)已知集合A ={x |x =2n -1,n ∈N *},B ={x |x =2n ,n ∈N *}.将A ∪B 的所有元素从小到大依次排列构成一个数列{a n }.记S n 为数列{a n }的前n 项和,则使得S n >12a n +1成立的n 的最小值为________.【答案】27【解析】B ={2,4,8,16,32,64,128…},与A 相比,元素间隔大,所以从S n 中加了几个B 中元素考虑.1个:n =1+1=2,S 2=3,12a 3=36;2个:n =2+2=4,S 4=10,12a 5=60;3个:n =4+3=7,S 7=30,12a 8=108;4个:n =8+4=12,S 12=94,12a 13=204;5个:n =16+5=21,S 21=318,12a 22=396;6个:n =32+6=38,S 38=1 150,12a 39=780.发现21≤n ≤38时S n -12a n +1与0的大小关系发生变化,以下采用二分法查找:S 30=687,12a 31=612,所以所求n 应在22~29之间,S 25=462,12a 26=492,所以所求n 应在25~29之间,S 27=546,12a 28=540,所以所求n 应在25~27之间,S 26=503,12a 27=516.因为S 27>12a 28,而S 26<12a 27,所以使得S n >12a n+1成立的n 的最小值为27.三、解答题(本大题共6个小题,共70分,解答应写出文字说明,证明过程或演算步骤.) 17.(本小题满分10分)(2017年北京)已知等差数列{a n }和等比数列{b n }满足a 1=b 1=1,a 2+a 4=10,b 2b 4=a 5.(1)求{a n }的通项公式; (2)求和:b 1+b 3+b 5+…+b 2n -1. 【解析】(1)设等差数列{a n }的公差为d . 因为a 2+a 4=10,∴2a 1+4d =10. 解得d =2. 所以a n =2n -1.(2)设等比数列{b n }的公比为q . 因为b 2b 4=a 5,所以b 21q 4=9. 解得q 2=3. 所以b 2n -1=b 1q2n -2=3n -1.从而b 1+b 3+b 5+…b 2n -1=1+3+32+…+3n -1=3n-12.18.(本小题满分12分)已知{a n }为等差数列,前n 项和为S n ,S 5=S 6且a 3=-6. (1)求数列{a n }的通项公式;(2)若等比数列{b n }满足b 2=6,6b 1+b 3=-5a 3,求{b n }的前n 项和T n .【解析】(1)由已知可得a 6=0,设等差数列的公差为d ,由题意可得⎩⎪⎨⎪⎧a 1+2d =-6,a 1+5d =0,解得d =2,a 1=-10,∴数列{a n }的通项公式为a n =2n -12. (2)设{b n }的公比为q ,由题设得⎩⎪⎨⎪⎧b 1q =6,6b 1+b 1q 2=30,解得⎩⎪⎨⎪⎧b 1=3,q =2或⎩⎪⎨⎪⎧b 1=2,q =3.1-2当b 1=2,q =3时,T n =21-3n1-3=3n-1.19.(本小题满分12分)等差数列{a n }满足:a 2+a 4=6,a 6=S 3,其中S n 为数列{a n }的前n 项和.(1)求数列{a n }的通项公式;(2)若k ∈N *且a k ,a 3k ,S 2k 成等比数列,求k 值. 【解析】(1)设等差数列{a n }的首项为a 1,公差为d , 由a 2+a 4=6,a 6=S 3,得⎩⎪⎨⎪⎧2a 1+4d =6,a 1+5d =3a 1+3d ,解得⎩⎪⎨⎪⎧a 1=1,d =1.∴a n =1+1×(n -1)=n . (2)S 2k =2k +2k2k -12=2k 2+k , 由a k ,a 3k ,S 2k 成等比数列,得 9k 2=k (2k 2+k ),解得k =4.20.(本小题满分12分)已知数列{a n }是公差不为零的等差数列,a 1=2且a 2,a 4,a 8成等比数列.(1)求数列{a n }的通项公式;(2)若{b n -(-1)na n }是等比数列且b 2=7,b 5=71,求数列{b n }的前n 项和T n . 【解析】(1)设数列{a n }的公差为d (d ≠0), ∵a 1=2且a 2,a 4,a 8成等比数列, ∴a 24=a 2a 8,即(2+3d )2=(2+d )(2+7d ), 解得d =2或d =0(舍去).∴a n =a 1+(n -1)d =2+2(n -1)=2n .(2)令c n =b n -(-1)na n ,设数列{c n }的公比为q , ∵b 2=7,b 5=71,a n =2n ,∴c 2=b 2-a 2=7-2×2=3,c 5=b 5+a 5=71+2×5=81.∴q 3=c 5c 2=813=27,故q =3.∴c n =c 2·q n -2=3×3n -2=3n -1,即b n -(-1)n a n =3n -1,∴b n =3n -1+(-1)n·2n .则T n =b 1+b 2+b 3+…+b n =(30+31+…+3n -1)+[-2+4-6+…+(-1)n·2n ],1-322当n 为奇数时,T n =1-3n1-3+2×n -12-2n =3n-2n -32.∴T n=⎩⎪⎨⎪⎧3n+2n -12,n 为偶数,3n-2n -32,n 为奇数.21.(本小题满分12分)(2019年山东莱芜模拟)已知等比数列{a n }满足a n +1+a n =9·2n -1,n ∈N *.(1)求数列{a n }的通项公式;(2)设b n =na n ,求数列{b n }的前n 项和为S n . 【解析】(1)设等比数列{a n }的公比为q . ∵a n +1+a n =9·2n -1,∴a 2+a 1=9,a 3+a 2=18.∴q =a 3+a 2a 2+a 1=189=2. 又2a 1+a 1=9,∴a 1=3. ∴a n =3·2n -1,n ∈N *.(2)b n =na n =3n ·2n -1,∴13S n =1×20+2×21+…+(n -1)×2n -2+n ×2n -1.① ∴23S n =1×21+2×22+…+(n -1)×2n -1+n ×2n.② ①-②,得-13S n =1+21+22+…+2n -1-n ×2n =1-2n1-2-n ×2n =(1-n )2n-1.∴S n =3(n -1)2n+3.22.(本小题满分12分)数列{a n }是公比为12的等比数列且1-a 2是a 1与1+a 3的等比中项,前n 项和为S n ;数列{b n }是等差数列,b 1=8,其前n 项和T n 满足T n =nλ·b n +1(λ为常数且λ≠1).(1)求数列{a n }的通项公式及λ的值; (2)比较1T 1+1T 2+1T 3+…+1T n 与12S n 的大小.【解析】(1)由题意得,(1-a 2)2=a 1(1+a 3), ∴(1-a 1q )2=a 1(1+a 1q 2). ∵q =12,∴a 1=12,∴a n =⎝ ⎛⎭⎪⎫12n.∵⎩⎪⎨⎪⎧T 1=λb 2,T 2=2λb 3,∴⎩⎪⎨⎪⎧8=λ8+d ,16+d =2λ8+2d .∴λ=12,d =8.(2)由(1)得b n =8n ,∴T n =4n (n +1). ∴1T n =14⎝ ⎛⎭⎪⎫1n -1n +1. 令C n =1T 1+1T 2+…+1T n=14⎣⎢⎡⎦⎥⎤⎝ ⎛⎭⎪⎫1-12+⎝ ⎛⎭⎪⎫12-13+…+⎝ ⎛⎭⎪⎫1n -1n +1 =14⎝ ⎛⎭⎪⎫1-1n +1,∴18≤C n <14. ∵S n =12⎝ ⎛⎭⎪⎫1-12n 1-12=1-⎝ ⎛⎭⎪⎫12n,∴12S n =12⎣⎢⎡⎦⎥⎤1-⎝ ⎛⎭⎪⎫12n ,∴14≤12S n <12. ∴C n <12S n .。
等差数列的前n项和(30分钟60分)一、选择题(每小题5分,共30分)1.已知等差数列{a n}的前10项和为30,a6=8,则a100=( )A.100B.958C.948D.18【解析】选C.设等差数列{a n}的公差为d,由已知解得所以a100=-42+99×10=948.2.已知等差数列{a n}的公差为3,且a1+a3=8,则数列{a n}的前4项的和S4的值为( ) A.10B.16C.22D.35【解析】选C.因为等差数列{a n}的公差为3,且a1+a3=8,所以2a1+2×3=8,所以a1=1,所以S4=4×1+×3=22.3.(2019·某某高二检测)已知等差数列的前n项和S n,且S3=S5=15,则S7=() A.4B.7C.14D.【解析】选B.等差数列的前n项和为S n,且S3=S5=15,所以a4+a5=0,所以2a1+7d=0.再根据S3=3a1+3d=15,可得a1=7,d=-2,则S7=7a1+d=49+21×(-2)=7.4.(2019·某某高一检测)在等差数列{a n}中,若a3+a4+a5+a6+a7=45,则S9=() A.45B.162C.81D.【解析】选C.因为在等差数列{a n}中,a3+a4+a5+a6+a7=5a5=45,所以a5=9.所以S9==9a5=81.5.等差数列{a n}的前n项和为S n,若=,则下列结论中正确的是( )A.=2B.=C.=D.=【解析】选C.由已知S n=a n,S n-1=a n-1(n≥2),两式相减可得a n=a n-a n-1(n≥2),化简得=(n≥2),当n=3时,=.6.数列{a n}的前n项和S n=2n2+n(n∈N*),则a n=( )A.2n-1B.2n+1C.4n-1D.3n+2【解析】选C.因为数列{a n}的前n项和S n=2n2+n,所以当n≥2时,a n=S n-S n-1=2n2+n-[2(n-1)2+(n-1)]=4n-1,当n=1时,a1=S1=3,符合上式,所以综上a n=4n-1.二、填空题(每小题5分,共10分)7.设等差数列{a n}的前n项和为S n,S3=6,S4=12,则S6=________.【解析】方法一:设数列{a n}的首项为a1,公差为d,由S3=6,S4=12,得解得所以S6=6a1+15d=30.方法二:因为{a n}为等差数列,可设前n项和S n=An2+Bn,由S3=6,S4=12得解得即S n=n2-n,所以S6=36-6=30.答案:308.设等差数列{a n}的前n项和为S n,若S8=32,则a2+2a5+a6=__________.【解析】因为S8=32,所以=32.可得a4+a5=a1+a8=8,则a2+2a5+a6=2(a4+a5)=2×8=16.答案:16三、解答题(每小题10分,共20分)9.在各项为正的等差数列{a n}中,已知公差d=2,a n=11,S n=35,求a1和n.【解析】由题意得即解得或(舍去)故10.已知数列{a n}的前n项和为S n,a1=1,a n≠0,a n a n+1=λS n-1,其中λ为常数.(1)证明:a n+2-a n=λ.(2)是否存在λ,使得{a n}为等差数列?并说明理由.【解析】(1)由a n a n+1=λS n-1知,a n+1a n+2=λS n+1-1,两式相减得,a n+1(a n+2-a n)=λa n+1,又因为a n+1≠0,所以a n+2-a n=λ.(2)存在.由a1=1,a1a2=λa1-1,得a2=λ-1,由(1)知,a3=λ+1.令2a2=a1+a3,解得λ=4.所以a n+2-a n=4,由此可得,{a2n-1}是首项为1,公差为4的等差数列,a2n-1=1+(n-1)·4=4n-3; {a2n}是首项为3,公差为4的等差数列,a2n=3+(n-1)·4=4n-1.所以a n=2n-1,a n+1-a n=2.因此存在λ=4,使得{a n}为等差数列.(45分钟75分)一、选择题(每小题5分,共25分)1.已知等差数列{1-3n},则公差d等于( )A.1B.3C.-3D.n【解析】选C.因为a n=1-3n,所以a1=-2,a2=-5,所以d=a2-a1=-3.2.设等差数列{a n}的前n项和为S n,若S17=255,a10=20,则数列{a n}的公差为( ) A.3B.4C.5D.6【解析】选C.根据等差数列的求和公式,可得S17=×17=17a9=255,可得a9=15,又a10=20,所以d=a10-a9=20-15=5.3.等差数列中,S n是前n项和,若a3+a8=5,S9=45,则S11=( )A.0B.10C.20D.25【解析】选A.设等差数列的首项为a1,公差为d,因为,所以,即,解得,则S11=25×11-×5=0.故选A.4.已知等差数列{a n}中,a2=6,a5=15,若b n=a2n,则数列{b n}的前5项和等于( ) A.30B.45C.90D.186【解析】选C.因为所以故所以a n=a1+(n-1)d=3n,故b n=a2n=6n,则因此{b n}的前5项和为S5=5×6+×6=90.5.(2019·定州高一检测)记等差数列{a n}的前n项和为S n,若a5=3,S13=91,则S11=( ) A.36B.72C.55D.110【解析】选C.因为S13==13a7=91,所以a7=7,因为a5=3,所以a5+a7=10,因为a1+a11=a5+a7=10,所以S11==55.二、填空题(每小题5分,共20分)6.(2019·全国卷Ⅲ)记S n为等差数列{a n}的前n项和,a1≠0,a2=3a1,则=________.【解析】设该等差数列的公差为d,因为a2=3a1,所以a1+d=3a1,故d=2a1(a1≠0,d≠0),所以====4.答案:47.若数列{a n}的前n项和S n=n2-8n,n=1,2,3,…,则满足a n>0的n的最小值为________.【解析】(1)当n=1时,a1=S1=12-8=-7.(2)当n>1时,由S n=n2-8n得:S n-1=(n-1)2-8(n-1)=n2-10n+9,两式相减,得:a n=2n-9,n=1也符合,由a n=2n-9>0,得:n>4.5,所以,满足a n>0的n的最小值为5.答案:58.已知数列{a n}的前n项和S n=n2-2n+3,则a n=________.【解析】当n=1时,a1=S1=2,当n≥2,a n=S n-S n-1=n2-2n-(n-1)2+2(n-1)=2n-3,故a n=答案:9.我国古代,9是数字之极,代表尊贵之意,所以中国古代皇家建筑中包含许多与9相关的设计.例如,天坛圆丘的地面由扇环形的石板铺成(如图所示),最高一层是一块天心石,围绕它的第一圈有9块石板,从第二圈开始,每一圈比前一圈多9块,共有9圈,则前9圈的石板总数是________.【解析】因为最高一层的中心是一块天心石,围绕它的第一圈有9块石板,从第二圈开始,每一圈比前一圈多9块,共有9圈,则每圈的石板数构成一个以9为首项,以9为公差的等差数列,所以a n=9n,当n=9时,第9圈共有81块石板,所以前9圈的石板总数S9=(9+81)=405.答案:405三、解答题(每小题10分,共30分)10.等差数列{a n}的前n项和记为S n,已知a10=30,a20=50.(1)求通项a n.(2)令S n=242,求n.【解析】(1)由a n=a1+(n-1)d,a10=30,a20=50,得方程组解得所以a n=2n+10.(2)由S n=na1+·d,S n=242,得方程12n+×2=242,解得n=11或n=-22(舍去),即n=11.11.设a1,d为实数,首项为a1,公差为d的等差数列{a n}的前n项和为S n,满足S5S6+15=0.(1)若S5=5,求S6及a1.(2)求d的取值X围.【解析】(1)由题意知S6=-=-3,a6=S6-S5=-8,所以解得a1=7. 综上,S6=-3,a1=7.(2)因为S5S6+15=0,所以(5a1+10d)(6a1+15d)+15=0,即2+9da1+10d2+1=0,所以(4a1+9d)2=d2-8,所以d2≥8.故d的取值X围为d≤-2或d≥2.12.(2017·某某高考)对于给定的正整数k,若数列{a n}满足a n-k+a n-k+1+…+a n-1+a n+1+…+a n+k-1+a n+k=2ka n对任意正整数n(n>k)总成立,则称数列{a n}是“P(k)数列”.(1)证明:等差数列{a n}是“P(3)数列”.(2)若数列{a n}既是“P(2)数列”,又是“P(3)数列”,证明:{a n}是等差数列.【证明】(1)因为是等差数列,设其公差为d,则a n=a1+(n-1)d,从而,当n≥4时,a n-k+a n+k=a1+(n-k-1)d+a1+(n+k-1)d=2a1+2(n-1)d=2a n,k=1,2,3,所以a n-3+a n-2+a n-1+a n+1+a n+2+a n+3=6a n,因此等差数列是“P数列”.(2)数列既是“P数列”,又是“P数列”,因此,当n≥3时,a n-2+a n-1+a n+1+a n+2=4a n,①当n≥4时,a n-3+a n-2+a n-1+a n+1+a n+2+a n+3=6a n.②由①知,a n-3+a n-2=4a n-1-(a n+a n+1),③a n+2+a n+3=4a n+1-(a n-1+a n),④将③④代入②,得a n-1+a n+1=2a n,其中n≥4,所以a3,a4,a5,…是等差数列,设其公差为d′.在①中,取n=4,则a2+a3+a5+a6=4a4,所以a2+a3+a3+2d′+a3+3d′=4(a3+d′),即a2=a3-d′,在①中,取n=3,则a1+a2+a4+a5=4a3,因为a3=a2+d′,所以a1+a2+a2+2d′+a2+3d′=4(a2+d′), 即a1=a2-d′,所以数列{a n}是等差数列.。
高中数学第二章数列单元质量测评含解析新人教A 版必修5081931本试卷分第Ⅰ卷(选择题)和第Ⅱ卷(非选择题)两部分,满分150分,考试时间120分钟.第Ⅰ卷 (选择题,共60分)一、选择题(本大题共12小题,每小题5分,共60分.在每小题给出的四个选项中,只有一项是符合题目要求的)1.数列3,5,9,17,33,…的通项公式a n 等于( ) A .2n B .2n +1 C .2n -1 D .2n +1答案 B解析 由于3=2+1,5=22+1,9=23+1,…,所以通项公式是a n =2n+1.(或特值法,当n =1时只有B 项符合.)2.记等差数列的前n 项和为S n ,若S 2=4,S 4=20,则该数列的公差d =( ) A .2 B .3 C .6 D .7 答案 B解析 S 4-S 2=a 3+a 4=20-4=16,∴a 3+a 4-S 2=(a 3-a 1)+(a 4-a 2)=4d =16-4=12,∴d =3. 3.在数列{a n }中,a 1=2,2a n +1-2a n =1,则a 101的值为( ) A .49 B .50 C .51 D .52 答案 D解析 ∵2a n +1-2a n =1,∴a n +1-a n =12.∴数列{a n }是首项a 1=2,公差d =12的等差数列.∴a 101=2+12×(101-1)=52.4.在等差数列{a n }中,若a 1+a 2+a 3=32,a 11+a 12+a 13=118,则a 4+a 10=( ) A .45 B .50 C .75 D .60 答案 B解析 ∵a 1+a 2+a 3=3a 2=32,a 11+a 12+a 13=3a 12=118,∴3(a 2+a 12)=150,即a 2+a 12=50,∴a 4+a 10=a 2+a 12=50.5.公差不为零的等差数列{a n }的前n 项和为S n .若a 4是a 3与a 7的等比中项,S 8=32,则S 10等于( )A .18B .24C .60D .90 答案 C解析 由a 24=a 3a 7得(a 1+3d )2=(a 1+2d )(a 1+6d ),即2a 1+3d =0. ① 又S 8=8a 1+562d =32,则2a 1+7d =8. ②由①②,得d =2,a 1=-3. 所以S 10=10a 1+902d =60.故选C .6.等比数列{a n }的通项为a n =2·3n -1,现把每相邻两项之间都插入两个数,构成一个新的数列{b n },那么162是新数列{b n }的( )A .第5项B .第12项C .第13项D .第6项 答案 C解析 162是数列{a n }的第5项,则它是新数列{b n }的第5+(5-1)×2=13项. 7.《九章算术》是我国古代的数学名著,书中有如下问题:“今有五人分五钱,令上二人所得与下三人等.问各得几何?”其意思为:“已知甲、乙、丙、丁、戊五人分5钱,甲、乙两人所得与丙、丁、戊三人所得相同,且甲、乙、丙、丁、戊所得依次成等差数列.问五人各得多少钱?”(“钱”是古代的一种重量单位).这个问题中,甲所得为( )A .54钱B .43钱C .32钱D .53钱 答案 B解析 依题意设甲、乙、丙、丁、戊所得钱分别为a -2d ,a -d ,a ,a +d ,a +2d ,则由题意可知,a -2d +a -d =a +a +d +a +2d ,即a =-6d ,又a -2d +a -d +a +a +d +a +2d =5a =5,∴a =1,则a -2d =a -2×⎝ ⎛⎭⎪⎫-a 6=43a =43.故选B .8.已知{a n }是等差数列,a 3=5,a 9=17,数列{b n }的前n 项和S n =3n,若a m =b 1+b 4,则正整数m 等于( )A .29B .28C .27D .26 答案 A解析 因为{a n }是等差数列,a 9=17,a 3=5,所以6d =17-5,得d =2,a n =2n -1.又因为S n =3n,所以当n =1时,b 1=3,当n ≥2时,S n -1=3n -1,b n =3n -3n -1=2·3n -1,由a m =b 1+b 4,得2m -1=3+54,得m =29,故选A .9.在各项均为正数的等比数列{a n }中,a 1=2且a 2,a 4+2,a 5成等差数列,记S n 是数列{a n }的前n 项和,则S 5=( )A .32B .62C .27D .81 答案 B解析 设各项均为正数的等比数列{a n }的公比为q , 又a 1=2,则a 2=2q ,a 4+2=2q 3+2,a 5=2q 4, ∵a 2,a 4+2,a 5成等差数列,∴4q 3+4=2q +2q 4, ∴2(q 3+1)=q (q 3+1),由q >0,解得q =2, ∴S 5=21-251-2=62.故选B .10.已知数列{a n }前n 项和为S n =1-5+9-13+17-21+…+(-1)n -1(4n -3),则S 15+S 22-S 31的值是( )A .13B .-76C .46D .76 答案 B解析 ∵S n =1-5+9-13+17-21+…+ (-1)n -1(4n -3),∴S 14=7×(1-5)=-28,a 15=60-3=57, S 22=11×(1-5)=-44, S 30=15×(1-5)=-60, a 31=124-3=121,∴S 15=S 14+a 15=29,S 31=S 30+a 31=61. ∴S 15+S 22-S 31=29-44-61=-76.故选B .11.已知函数f (x )=⎩⎪⎨⎪⎧2x-1,x ≤0,f x -1+1,x >0,把方程f (x )=x 的根按从小到大的顺序排列成一个数列{a n },则该数列的通项公式为( )A .a n =n n -12(n ∈N *)B .a n =n (n -1)(n ∈N *) C .a n =n -1(n ∈N *) D .a n =n -2(n ∈N *) 答案 C解析 令2x-1=x (x ≤0),易得x =0. 当0<x ≤1时,由已知得f (x -1)+1=x , 即2x -1-1+1=2x -1=x ,则x =1.当1<x ≤2时,由已知得f (x )=x , 即f (x -1)+1=x ,即f (x -2)+1+1=x , 故2x -2+1=x ,则x =2.因此,a 1=0,a 2=1,a 3=2, 结合各选项可知该数列的通项公式为a n =n -1(n ∈N *).故选C .12.已知数列{a n }满足a n +1+(-1)na n =2n -1,S n 为其前n 项和,则S 60=( ) A .3690 B .1830 C .1845 D .3660 答案 B解析 ①当n 为奇数时,a n +1-a n =2n -1,a n +2+a n +1=2n +1,两式相减得 a n +2+a n =2;②当n 为偶数时,a n +1+a n =2n -1,a n +2-a n +1=2n +1,两式相加得a n +2+a n =4n ,故S 60=a 1+a 3+a 5+…+a 59+(a 2+a 4+a 6+…+a 60)=2×15+(4×2+4×6+…+4×58) =30+4×450=1830.故选B .第Ⅱ卷 (非选择题,共90分)二、填空题(本大题共4小题,每小题5分,共20分)13.已知数列{a n }中,a 1=10,a n +1=a n -12,则它的前n 项和S n 的最大值为________.答案 105解析 ∵a n +1-a n =-12,∴d =-12,又a 1=10,∴a n =-n 2+212(n ∈N *).∵a 1=10>0,d =-12<0,设从第n 项起为负数,则-n 2+212<0(n ∈N *).∴n >21,于是前21项和最大,最大值为S 21=105.14.已知等比数列{a n }为递增数列,若a 1>0,且2(a n +a n +2)=5a n +1,则数列{a n }的公比q =________.答案 2解析 ∵{a n }是递增的等比数列,且a 1>0,∴q >1.又∵2(a n +a n +2)=5a n +1,∴2a n +2a n q 2=5a n q .∵a n ≠0,∴2q 2-5q +2=0,∴q =2或q =12(舍去),∴公比q 为2.15.在数列{a n }中,a 1=1,a 2=2,且a n +2-a n =1+(-1)n(n ∈N *),则a 1+a 2+…+a 51=________.答案 676解析 当n 为正奇数时,a n +2-a n =0,又a 1=1,则所有奇数项都是1;当n 为正偶数时,a n +2-a n =2,又a 2=2,则所有偶数项是首项和公差都是2的等差数列,所以a 1+a 2+…+a 51=(a 1+a 3+…+a 51)+(a 2+a 4+…+a 50)=26a 1+25a 2+25×242×2=676.16.某企业为节能减排,用9万元购进一台新设备用于生产,第一年需运营费用2万元,从第二年起,每年运营费用均比上一年增加3万元,该设备每年生产的收入均为21万元.设该设备使用了n (n ∈N *)年后,盈利总额达到最大值(盈利总额等于总收入减去总成本),则n 等于________.答案 7解析 设该设备第n 年的运营费用为a n 万元,则数列{a n }是以2为首项,3为公差的等差数列,则a n =3n -1.设该设备使用n 年的运营费用总和为T n , 则T n =n 2+3n -12=32n 2+12n . 设n 年的盈利总额为S n ,则S n =21n -⎝ ⎛⎭⎪⎫32n 2+12n -9=-32n 2+412n -9. 由二次函数的性质可知,当n =416时,S n 取得最大值,又n ∈N *,故当n =7时,S n 取得最大值.三、解答题(本大题共6小题,共70分.解答应写出文字说明、证明过程或演算步骤) 17.(本小题满分10分)设a ,b ,c 是实数,3a ,4b ,5c 成等比数列,且1a ,1b ,1c成等差数列,求a c +c a的值.解 ∵3a ,4b ,5c 成等比数列,∴16b 2=15ac . ① ∵1a ,1b ,1c成等差数列,∴2b =1a +1c. ②由①,得4b2·15ac =64. ③ 将②代入③,得1a +1c2·15ac =64,∴1a 2+1c 2+2ac ac =6415. ∴c a +a c =3415. 18.(本小题满分12分)数列{a n }的前n 项和为S n ,数列{b n }中,b 1=a 1,b n =a n -a n -1(n ≥2),若a n +S n =n ,c n =a n -1.(1)求证:数列{c n }是等比数列; (2)求数列{b n }的通项公式.解 (1)证明:∵a 1=S 1,a n +S n =n , ① ∴a 1+S 1=1,得a 1=12.又a n +1+S n +1=n +1, ②由①②两式相减得2(a n +1-1)=a n -1, 即a n +1-1a n -1=12,也即c n +1c n =12, 故数列{c n }是等比数列. (2)∵c 1=a 1-1=-12,∴c n =-12n ,a n =c n +1=1-12n ,a n -1=1-12n -1.故当n ≥2时,b n =a n -a n -1=12n -1-12n =12n . 又b 1=a 1=12也适合上式,∴b n =12n .19.(本小题满分12分)已知数列{a n }满足a 1=1,a 2=3,a n +2=3a n +1-2a n (n ∈N *). (1)证明:数列{a n +1-a n }是等比数列; (2)求数列{a n }的通项公式. 解 (1)证明:∵a n +2=3a n +1-2a n , ∴a n +2-a n +1=2(a n +1-a n ),∴a n +2-a n +1a n +1-a n=2.∵a 1=1,a 2=3,∴{a n +1-a n }是以a 2-a 1=2为首项,2为公比的等比数列. (2)由(1)得a n +1-a n =2n,∴a n =(a n -a n -1)+(a n -1-a n -2)+…+(a 2-a 1)+a 1=2n -1+2n -2+…+2+1=2n-1.故数列{a n }的通项公式为a n =2n-1.20.(本小题满分12分)2010年4月14日,冰岛南部艾雅法拉火山喷发,弥漫在欧洲上空多日的火山灰严重影响欧洲多个国家的机场正常运营.由于风向,火山灰主要飘落在该火山口的东北方向与东南方向之间的地区.假设火山喷发停止后,需要了解火山灰的飘散程度,为了测量的需要,现将距离火山喷口中心50米内的扇形面记为第1区、50米至100米的扇环面记为第2区、…、50(n -1)米至50n 米的扇环面记为第n 区,若测得第1区的火山灰每平方米的平均质量为1吨、第2区每平方米的平均质量较第1区减少了2%、第3区较第2区又减少了2%,依此类推,问:(1)离火山口1225米处的火山灰大约为每平方米多少千克?(结果精确到1千克) (2)第几区内的火山灰总质量最大?提示:当n 较大时,可用(1-x )n ≈1-nx 进行近似计算. 解 (1)设第n 区的火山灰为每平方米a n 千克, 依题意,数列{a n }为等比数列,且a 1=1000(千克), 公比q =1-2%=0.98, ∴a n =a 1×qn -1=1000×0.98n -1.∵离火山口1225米处的位置在第25区,∴a 25=1000×(1-0.02)24≈1000×(1-24×0.02)=520,即离火山口1225米处的火山灰大约为每平方米520千克.(2)设第n 区的火山灰总质量为b n 千克,且该区的火山灰总质量最大. 依题意,第n 区的面积为14π{(50n )2-[50(n -1)]2}=625π(2n -1), ∴b n =625π(2n -1)×a n .依题意得⎩⎪⎨⎪⎧b n ≥b n -1,b n ≥b n +1,解得49.5≤n ≤50.5.∵n ∈N *, ∴n =50,即第50区的火山灰总质量最大.21.(本小题满分12分)设数列{a n }的前n 项和为S n =2n 2,数列{b n }为等比数列,且a 1=b 1,b 2(a 2-a 1)=b 1.(1)求数列{a n }和{b n }的通项公式;(2)设c n =a n b n,求数列{c n }的前n 项和T n . 解 (1)当n =1时,a 1=S 1=2; 当n ≥2时,a n =S n -S n -1=2n 2-2(n -1)2=4n -2,∵当n =1时,a 1=4-2=2也适合上式, ∴{a n }的通项公式为a n =4n -2, 即{a n }是a 1=2,公差d =4的等差数列. 设{b n }的公比为q ,则b 1qd =b 1, ∴q =14.故b n =b 1q n -1=2×14n -1.即{b n }的通项公式为b n =24n -1.(2)∵c n =a n b n =4n -224n -1=(2n -1)4n -1,∴T n =c 1+c 2+…+c n =1+3×41+5×42+…+(2n -1)4n -1,4T n =1×4+3×42+5×43+…+(2n -3)4n -1+(2n -1)4n.两式相减,得3T n =-1-2(41+42+43+…+4n -1)+(2n -1)4n =13[(6n -5)4n+5],∴T n =19[(6n -5)4n+5].22.(本小题满分12分)已知a 1=2,点(a n ,a n +1)在函数f (x )=x 2+2x 的图象上,其中n =1,2,3,….(1)证明:数列{lg (1+a n )}是等比数列; (2)设T n =(1+a 1)·(1+a 2)…(1+a n ),求T n ;(3)记b n =1a n +1a n +2,求数列{b n }的前n 项和S n ,并证明S n <1.解 (1)证明:由已知a n +1=a 2n +2a n , ∴a n +1+1=(a n +1)2,∴lg (1+a n +1)=2lg (1+a n ), ∴{lg (1+a n )}是公比为2的等比数列. (2)由(1)知lg (1+a n )=2n -1·lg (1+a 1)=2n -1·lg 3=lg 32n -1,∴1+a n =32n -1,∴T n =(1+a 1)(1+a 2)…(1+a n )=320.321.322 (32)n -1=31+2+22+…+2n -1=32n-1.(3)∵点(a n ,a n +1)在函数f (x )=x 2+2x 的图象上, ∴a n +1=a 2n +2a n ,∴a n +1=a n (a n +2). ∴1a n +1=12⎝ ⎛⎭⎪⎫1a n -1a n +2,∴1a n +2=1a n -2a n +1, ∴b n =1a n +1a n +2=1a n +1a n -2a n +1=2⎝ ⎛⎭⎪⎫1a n -1a n +1. ∴S n =b 1+b 2+…+b n =2⎝ ⎛1a 1-1a 2+1a 2-1a 3+…+⎭⎪⎫1a n -1a n +1=2⎝ ⎛⎭⎪⎫1a 1-1a n +1. ∵a n =32n -1-1,a 1=2,a n +1=32n-1,∴S n =1-232n -1.32n-1>32-1=8>2,∴0<232n-1<1.∴S n <1.。
第二章章末检测一、选择题(本大题共10小题,每小题5分,共50分.在每小题给出的四个选项中,只有一项是符合题目要求的)1.1.一个首项为23,公差为整数的等差数列中,前6项均为正数,从第7项起为负数,则公差d为( )A. -2B. -3C. -4D. -5【答案】C【解析】【分析】先写出数列的通项a n=23+(n-1)d,再解不等式组即得d的值.【详解】设通项公式为a n=23+(n-1)d,由题意列不等式组解得-<d<-.∵d是整数,∴d=-4.故答案为:C【点睛】本题主要考查等差数列的通项和性质,意在考查学生对这些知识的掌握水平和分析推理计算能力.2.2.若等比数列{a n}满足a n a n+1=16n,则公比为( )A. 2B. 4C. 8D. 16【答案】B【解析】当n=1时,a1a2=16①;当n=2时,a2a3=256②,②÷①得:=16,即q2=16,解得q=4或q=﹣4,当q=﹣4时,由①得:a12×(﹣4)=16,即a12=﹣4,无解,所以q=﹣4舍去,则公比q=4.故选B3.3.已知{a n}为等差数列,a1+a3+a5=105,a2+a4+a6=99,则a20等于( )A. -1B. 1C. 3D. 7【答案】B【解析】【分析】先根据已知求出,d,再利用等差数列的通项求a20.【详解】∵a1+a3+a5=3a3=105,∴a3=35,∴a2+a4+a6=3a4=99,∴a4=33,∴d=a4-a3=33-35=-2,∴a20=a3+17d=35+17×(-2)=1.故答案为:B【点睛】(1)本题主要考查等差数列的性质和通项,意在考查学生对这些知识的掌握水平和分析推理计算能力.(2)等差数列中,如果,则,特殊地,时,则,是的等差中项.4.4.在等差数列{a n}中,前n项和为S n,S10=90,a5=8,则a4=( )A. 16B. 12C. 8D. 6【答案】D【解析】【分析】根据已知得到关于a1,d的方程组,解方程组得a1,d,即得a4的值.【详解】设等差数列{a n}的首项为a1,公差为d,则解得∴a4=a1+3d=0+3×2=6.故答案为:D【点睛】(1)本题主要考查等差数列的前n项和和通项,意在考查学生对这些知识的掌握水平和计算能力.(2)等差数列的前项和公式:一般已知时,用公式,已知时,用公式5.5.在等比数列{a n}中,若a n>0,且a2=1-a1,a4=9-a3,则a4+a5的值为( )A. 16B. 81C. 36D. 27【答案】D【解析】【分析】根据已知条件得到关于的方程组,解方程组即得,即得a4+a5的值.【详解】设等比数列{a n}的公比为q且q>0,由已知得⇒q2=9⇒q=3,所以a1=,所以a4+a5=×33+×34==27.故答案为:D【点睛】(1)本题主要考查等比数列的通项,意在考查学生对该知识的掌握水平和计算推理能力.(2)等比数列的通项公式:.6.6.一个蜂巢里有1只蜜蜂,第1天,它飞出去找回了5个伙伴;第2天,6只蜜蜂飞出去,各自找回了5个伙伴…如果这个找伙伴的过程继续下去,第6天所有的蜜蜂都归巢后,蜂巢中一共有蜜蜂( )A. 55 986只B. 46 656只C. 216只D. 36只【答案】B【解析】【分析】先由题得到{a n}是公比为6的等比数列,再利用等比数列的通项求出a6得解.【详解】设第n天所有的蜜蜂都归巢后共有a n只蜜蜂,则有a n+1=6a n,a1=6,则{a n}是公比为6的等比数列,则a6=a1q5=6×65=46656.故答案为:B【点睛】本题主要考查等比数列性质的判定和等比数列的通项,意在考查学生对这些知识的掌握水平和计算推理能力.7.7.等差数列{a n}的首项为a1,公差为d,S n为前n项和,则数列{}是( )A. 首项为a1,公差为d的等差数列B. 首项为a1,公比为d的等比数列C. 首项为a1,公差为的等差数列D. 首项为a1,公比为的等比数列【答案】C【解析】【分析】先计算出,再判断该是数列的性质得解.【详解】∵S n=na1+d,∴=a1+(n-1)·,∴{}是以a1为首项,为公差的等差数列.故答案为:C【点睛】(1)本题主要考查数列性质的判定,意在考查学生对该知识的掌握水平和分析推理能力.(2)数列性质的证明一般有两种方法,方法一:利用等差数列等比数列的定义来证明.是等差数列,数列是等比数列.8.8.已知S n=1-2+3-4+…+(-1)n-1n,则S17+S33+S50等于( )A. 0B. 1C. -1D. 2【答案】B【解析】【分析】先分别求S17,S33,S50,再求S17+S33+S50的值.【详解】S17=1-2+3-4+…+17=-8+17=9,S33=1-2+3-4+…+33=-16+33=17,S50=1-2+3-4+…-50=-25,∴S17+S33+S50=9+17-25=1.故答案为:B【点睛】(1)本题主要考查数列求和,意在考查学生对该知识的掌握水平和分析推理能力.(2)本题利用的是并项求和.9.9.已知{a n}为等差数列,a1+a3+a5=105,a2+a4+a6=99,以S n表示{a n}的前n项和,则使得S n达到最大值的n是( )A. 21B. 20C. 19D. 18【答案】B【解析】试题分析:由a1+a3+a5=105,a2+a4+a6=99,得,令得,所以S n达到最大值的n是20考点:等差数列性质及求和10.10.数列{a n}的通项公式a n=n cos,其前n项和为S n,则S2 012等于( )A. 1 006B. 2 012C. 503D. 0【答案】A【解析】【分析】先计算出a1+a2+a3+a4=2,a5+a6+a7+a8=2,…,a4k+1+a4k+2+a4k+3+a4k+4=2,再利用数列和的周期性求S2 012.【详解】由题意知,a1+a2+a3+a4=2,a5+a6+a7+a8=2,…,a4k+1+a4k+2+a4k+3+a4k+4=2,k∈N,故S2 012=503×2=1006.故答案为:A【点睛】(1)本题主要考查数列的求和,意在考查学生对该知识的掌握水平和分析推理能力.(2)本题发现归纳出数列和的周期性是解题的关键.二、填空题(本大题共5小题,每小题4分,共20分.把答案填在题中的横线上)11.11.-1与+1的等比中项是________.【答案】±1【解析】【分析】直接利用等比中项的定义求解.【详解】设-1与+1的等比中项为G,则G2=(-1)(+1)=1,∴G=±1.故答案为:±1【点睛】(1)本题主要考查等比中项,意在考查学生对该知识的掌握水平.(2)等比数列中,如果,则,特殊地,时,则,是的等比中项.12.12.等比数列{a n}的前n项和为S n,已知S1,2S2,3S3成等差数列,则{a n}的公比为.【答案】【解析】试题分析:先根据等差中项可知4S2=S1+3S3,利用等比数列的求和公式用a1和q分别表示出S1,S2和S3,代入即可求得q.解:∵等比数列{a n}的前n项和为S n,已知S1,2S2,3S3成等差数列,∴a n=a1q n﹣1,又4S2=S1+3S3,即4(a1+a1q)=a1+3(a1+a1q+a1q2),解.故答案为考点:等比数列的性质.13.13.已知数列{a n}为等比数列,S n是它的前n项和.若a2·a3=2a1,且a4与2a7的等差中项为,则S5等于________.【答案】31【解析】【分析】根据两个已知条件求出的值,再利用等比数列的前n项和求S5.【详解】设数列{a n}的公比为q,则a2·a3=a·q3=a1·a4=2a1⇒a4=2,a4+2a7=a4+2a4q3=2+4q3=2×⇒q=.故a1==16,S5==31.故答案为:31【点睛】(1)本题主要考查等比数列的通项和求和,意在考查学生对这些知识的掌握水平和计算分析推理能力.(2)等比数列的前项和公式:.14.14.在数列{a n}和{b n}中,b n是a n与a n+1的等差中项,a1=2,且对任意n∈N*都有3a n+1-a n=0,则数列{b n}的通项公式b n=________.【答案】【解析】由,得,又因为,所以,故填. 15.15.某房地产开发商在销售一幢23层的商品楼之前按下列方法确定房价:由于首层与顶层均为复式结构,因此首层价格为a1元/m2,顶层由于景观好价格为a2元/m2,第二层价格为a元/m2,从第三层开始每层在前一层价格上加价元/m2,则该商品房各层的平均价格为________元/m2.【答案】 (a1+a2+23.1a)【解析】【分析】先求出S21,再求平均价格得解.【详解】设第二层到第22层的价格构成数列{b n},则{b n}是等差数列,b1=a,公差d=,共21项,所以其和为S21=21a+·=23.1a,故平均价格为 (a1+a2+23.1a)元/m2.故答案为: (a1+a2+23.1a)【点睛】本题主要考查等比数列的前n项和,意在考查学生对该知识的掌握水平和分析推理能力.三、解答题(本大题共5小题,共50分.解答应写出必要的文字说明、证明过程或演算步骤)16.16.数列{a n}的前n项和记为S n,点(n,S n)在曲线f(x)=x2-4x(x∈N*)上.求数列{a n}的通项公式.【答案】a n=2n-5.【解析】【分析】先由题得到S n=n2-4n,再由项和公式求数列{a n}的通项公式.【详解】解:由点(n,S n)在曲线f(x)=x2-4x(x∈N*)上知,S n=n2-4n,当n≥2时a n=S n-S n-1=n2-4n-[(n-1)2-4(n-1)]=2n-5;当n=1时,a1=S1=-3,满足上式;∴数列{a n}的通项公式为a n=2n-5.【点睛】(1)本题主要考查项和公式求数列的通项,意在考查学生对该知识的掌握水平和分析推理能力.(2)若在已知数列中存在:的关系,可以利用项和公式,求数列的通项.17.17.已知数列{log2(a n-1)}(n∈N*)为等差数列,且a1=3,a3=9.(1)求数列{a n}的通项公式;(2)证明:<1.【答案】(1)a n=2n+1.(2)见解析【解析】【分析】(1)先求出数列{log2(a n-1)}的公差d,再利用等差数列的通项求出a n.(2)先求出==,再利用等比数列求和公式求和证明不等式.【详解】解:(1)设等差数列{log2(a n-1)}的公差为d.由a1=3,a3=9,得log2(9-1)=log2(3-1)+2d,则d=1.所以log2(a n-1)=1+(n-1)×1=n,即a n=2n+1.(2)证明:因为==,所以++…+=+++…+=1-<1.【点睛】本题主要考查等差数列的通项,考查等比数列的前n项和,意在考查学生对这些知识的掌握水平和计算推理能力.18.18.等比数列{a n}的前n项和为S n,已知S1,S3,S2成等差数列.(1)求{a n}的公比q;(2)若a1-a3=3,求S n.【答案】(1)(2)【解析】(1)∵S1,S3,S2成等差数列,∴2S3=S1+S2,即2(a1+a2+a3)=a1+a1+a2,∴2a3=-a2,∴q=.(2)a3=a1q2=a1,∴a1-a1=3,∴a1=4,∴S n=19.19.已知数列{a n}的前n项和为S n,且a1=1,a n+1=S n(n=1,2,3,…).(1)求数列{a n}的通项公式;(2)当b n=(3a n+1)时,求证:数列的前n项和T n=.【答案】(1)(2)见解析【解析】【分析】(1)由项和公式得到a n+1=a n(n≥2),得到数列{a n}是以a2为首项,以为公比的等比数列,再写出数列{a n}的通项公式.(2)利用裂项相消法求数列的前n项和T n=.【详解】解:(1)由已知 (n≥2),得a n+1=a n(n≥2).∴数列{a n}是以a2为首项,以为公比的等比数列.又a2=S1=a1=,∴a n=a2× (n≥2).∴a n=(2)证明:b n=log (3a n+1)=log=n.∴==-,∴T n=+++…+=+++…+=1-=.【点睛】(1)本题主要考查项和公式和等比数列的通项的求法,考查裂项相消法求和,意在考查学生对这些知识的掌握水平和计算推理能力.(2)类似(其中是各项不为零的等差数列,为常数)的数列、部分无理数列等.用裂项相消法求和.20.20.甲、乙两超市同时开业,第一年的全年销售额为a万元,由于经营方式不同,甲超市前n年的总销售额为 (n2-n+2)万元,乙超市第n年的销售额比前一年销售额多a万元.(1)求甲、乙两超市第n年销售额的表达式;(2)若其中某一超市的年销售额不足另一超市的年销售额的50%,则该超市将被另一超市收购,判断哪一超市有可能被收购?如果有这种情况,将会出现在第几年?【答案】(1)见解析(2)第7年【解析】【分析】(1)利用a n= (n2-n+2)- [(n-1)2-(n-1)+2]求甲超市第n年销售额的表达式,利用累加法求乙超市第n年销售额的表达式.(2) 由b n<a n得 a< (n-1)a,解不等式即得第7年乙超市的年销售额不足甲超市的一半,乙超市将被甲超市收购.【详解】解:(1)设甲、乙两超市第n年的销售额分别为a n,b n.则有a1=a,当n≥2时,a n= (n2-n+2)- [(n-1)2-(n-1)+2]=(n-1)a,∴a n=b n=b1+(b2-b1)+(b3-b2)+…+(b n-b n-1)=a(n∈N*).(2)易知b n<3a,所以乙超市将被甲超市收购,由b n<a n得: a< (n-1)a.∴n+>7,∴n≥7,即第7年乙超市的年销售额不足甲超市的一半,乙超市将被甲超市收购.【点睛】(1)本题主要考查项和公式和累加法求通项,考查不等关系,意在考查学生对这些知识的掌握水平和分析推理能力.(2)解答本题的关键是读懂已知,求出甲、乙两超市第n年销售额的表达式.。
姓名______ 学号_______ 班级______ 第二章 数列测试题 (1)命题 洞口三中 方锦昌 一、选择题 1、设{}n a 是等差数列,若273,13a a ==,则数列{}n a 前8项的和为( )A.128 B .80 C.64 D.562、记等差数列的前n 项和为n S ,若244,20S S ==,则该数列的公差d =( )A 、2B 、3C 、6D 、7 3、设等比数列{}n a 的公比2q =,前n 项和为n S ,则42S a =( ) A .2ﻩﻩB.4C.215ﻩﻩD.217 4、设等差数列{}n a 的前n 项和为n S ,若39S =,636S =,则789a a a ++=( ) A.63 B .45 C.36 D .275、在数列{}n a 中,12a =, 11ln(1)n n a a n+=++,则n a =( )A .2ln n + B.2(1)ln n n +- C.2ln n n + D.1ln n n ++ 6、若等差数列{}n a 的前5项和525S =,且23a =,则7a =( )(A)12 (B)13 (C)14 (D )15 7、已知{}n a 是等比数列,41252==a a ,,则12231n n a a a a a a ++++=( )(A )16(n--41) (B)16(n--21) (C)332(n --41) (D)332(n--21) 8、非常数数列}{n a 是等差数列,且}{n a 的第5、10、20项成等比数列,则此等比数列的公比为 ( )A.51 B .5 C.2 D .219、已知数列}{n a 满足)(133,0*11N n a a a a n n n ∈+-==+,则20a =( )A .0B.3-ﻩC.3ﻩ D.2310、在单位正方体ABC D-A1B 1C 1D 1中,黑、白两只蚂蚁均从点A 出发,沿棱向前爬行,每爬完一条棱称为“爬完一段”,白蚂蚁的爬行路线是AA 1⇒A 1D 1⇒D1C 1⇒…;黑蚂蚁的爬行路线是A B⇒BB 1⇒B1C1⇒…,它们都遵循以下的爬行规则:所爬行的第i +2段与第i 段所在的直线必为异面直线(其中i 为自然数),设黑、白蚂蚁都爬完2008段后各自停止在正方体的某个顶点处,则此时两者的距离为 ( )A 1 B \r(,2) C \r(, 3) D 0二、填空题 11.已知{}n a 为等差数列,3822a a +=,67a =,则5a =____________ 12.设数列{}n a 中,112,1n n a a a n +==++,则通项n a = ___________。
13.设n S 是等差数列{}n a 的前n 项和,128a =-, 99S =-,则16S =14.已知函数()2xf x =,等差数列{}x a 的公差为2.若246810()4f a a a a a ++++=,则212310log [()()()()]f a f a f a f a ⋅⋅⋅⋅= .15、将全体正整数排成一个三角形数阵:按照以上排列的规律,第n 行(3≥n )从左向右的第3个数为 三、解答题16、已知数列{}n x 的首项13x =,通项()2*,,n n x p np n N p q =+∈为常数,且145,x x x 成等差数列。
求:(Ⅰ)p ,q 的值; (Ⅱ) 数列{}n x 前n 项和n S 的公式。
17.已知数列{}n a 的首项123a =,121n n n a a a +=+,1,2,3,n =….(Ⅰ)证明:数列1{1}n a -是等比数列;(Ⅱ)数列{}nna 的前n 项和n S . 18.数列{a n }是首项为23,公差为整数的等差数列,且第六项为正,第七项为负.(1)求数列的公差;(2)求前n 项和S n 的最大值;(3)当S n>0时,求n 的最大值.19.设等比数列{}n a 的首项211=a ,前n 项和为n S ,且0)12(21020103010=++-S S S , 且数列{}n a 各项均正。
(Ⅰ)求{}n a 的通项; (Ⅱ)求{}n nS 的前n 项和n T 。
20、从社会效益和经济效益出发,某地投入资金进行生态环境建设,并以此发展旅游产业,根据规划,本年度投入800万元,以后每年投入将比上年减少错误!,本年度当地旅游业收入估计为400万元,由于该项建设对旅游业的促进作用,预计今后的旅游业收入每年会比上年增加14;①设n 年内(本年度为第一年)总投入为a n 万元,旅游业总收入为bn 万元,写出a n 、b n 的表达式;② 至少经过几年旅游业的总收入才能超过总投入21.已知等差数列{}n a 满足818163a a 34a a 31a a >-=-=+且,(1)求数列{}n a 的通项公式; (2)、把数列{}n a 的第1项、第4项、第7项、……、第3n-2项、……分别作为数列{}n b 的第1项、第2项、第3项、……、第n项、……,求数列{}2n b的所有项之和;第二章 数列测试题 (2)一、选择题1、下列命题中正确的( ) (A)若a,b,c 是等差数列,则log 2a,lo g2b ,lo g2c是等比数列(B)若a,b,c 是等比数列,则lo g2a,log 2b,log 2c是等差数列 (C )若a,b,c 是等差数列,则2a ,2b,2c 是等比数列 (D)若a ,b,c 是等比数列,则2a ,2b ,2c是等差数列 2、若a,b,c 成等比数列,m 是a,b 的等差中项,n 是b,c 的等差中项,则=+ncm a ( )(A )4 (B)3 (C )2 (D)13、等比数列{a n}中,已知对任意自然数n,a 1+a 2+a 3+…+a n =2n -1,则a 12+a 22+a 32+…+a n 2等于( ) (A )2)12(-n (B))12(31-n (C )14-n (D ) )14(31-n4、已知数列{a n }是等差数列,首项a 1<0,a2005+a 2006<0,a 2005·a 2006<0,则使前n 项之和S n <0成立的最大自然数n是( )A 4008 B 4009 C 4010 D 4011 5、已知数列{a n }满足a 1=4, an+1 +a n =4n+6(n ∈N*),则a 20 =( )A 40B 42C 44D 466、在等比数列{an }中,a 1=2,前n 项之和为S n,若数列{a n +1}也是等比数列,则Sn =( )A 2n+1-2B 3n C 2n D 3n-1 7、已知数列{a n }满足:a1=1, a n+1 =2a n +3(n ∈N*),则a10 =( )A 、210-3B 、 211-3C 、212-3D 、213-38、已知数列{n a }的前n 项和29n S n n =-,第k 项满足58k a <<,则k =( )A.9 B .8 C . 7 D.69、各项均为正数的等比数列{}n a 的前n项和为S n ,若S n =2,S 30=14,则S 40等于( )A .80B .30 C.26 D.1610、设等差数列{}n a 的公差d 不为0,19a d =.若k a 是1a 与2k a 的等比中项,则k =( ) A .2 B.4 C .6 D.8二、填空题 11、已知等比数列{an }中,a 1+a2=9,a 1a 2a3=27,则{a n }的前n 项和 S n = __________ 12、 数列{an}满足:a1=31,且 n an=错误! (n ∈N *,n≥2),则数列{a n}的通项公式是a n =______13、已知数列{a n}满足:a 1=2, a n+1 =2(1+1n)2·a n (n ∈N*),则数列{a n }的通项公式a n =____14、已知数列{a n}满足:a 1=1, a n+1 - a n =4n-2(n ∈N*),则使an ≥163的正整数n 的最小值是____15、已知数列{a n }的通项公式a n =log 2(\f(n+1,n+2)) (n ∈N *),其前n项之和为S n ,则使Sn <-5成立的正整数n的最小值是_____三、解答题:★16.等差数列{}n a 中,410a =且3610a a a ,,成等比数列,求数列{}n a 前20项的和20S .★17、设关于x 的一元二次方程n a x2-1n a +x+1=0 (n ∈N*)有两根α和β,且满足6α-2αβ+6β=3. (1)试用n a 表示a 1n +; (2)求证:数列{n a -错误!}是等比数列.(3)当 1a =错误!时,求数列{n a }的通项公式.★18.设数列{}n a 满足*01,1,,n n a a a ca c c N +==+-∈其中,a c 为实数,且0c ≠ (Ⅰ)求数列{}n a 的通项公式 (Ⅱ)设11,22a c ==,*(1),n n b n a n N =-∈,求数列{}n b 的前n 项和n S ;★19.已知{}n a 是一个等差数列,且21a =,55a =-.(Ⅰ)求{}n a 的通项n a ; (Ⅱ)求{}n a 前n 项和S n 的最大值.★20题、沿海地区甲公司响应国家开发西部的号召,对西部地区乙企业进行扶持性技术改造,乙企业的经营状况是,每月收入45万元,但因设备老化,从下个月开始需支付设备维修费,第一个月为3万元,以后逐月递增2万元。
甲公司决定投资400万元扶持改造乙企业;据测算,改造后乙企业第一个月收入为16万元,在以后的4个月中,每月收入都比上个月增长50%,而后各月收入都稳定在第五个月的水平上,若设备改造时间可忽略不计,那么从下个月开始至少经过多少个月,改造后的乙企业的累计总收益多于仍按现状生产所带来的总收益? ★21、 已知正数数列{na}满足:1a=1,n ∈*N时,有1n naa-=111n naa -+-(1)、求证:数列{1na}为等差数列;并求{na}的通项公式;(2)、试问3a ·6a是否为数列{na}中的项,如果是,是第几项,如果不是,说明理由;(3)、设nc=na·1n a+(n ∈*N),若{nc}的前n 项之和为nS,求nS附(备选例题):★1.在数列}{n a 中,11a =,122nn n a a +=+. (Ⅰ)设12nn n a b -=.证明:数列}{n b 是等差数列; (Ⅱ)求数列}{n a 的前n 项和n S★2、 已知数列))}1({log *2N n a n ∈-为等差数列,且.9,331==a a (Ⅰ)求数列}{n a 的通项公式;(Ⅱ)证明.111112312<-++-+-+nn a a a a a a★3、甲乙两物体分别从相距70米的两处相向运动,甲第1分钟走2米,以后每分钟比前1分钟多走1米,乙每分钟走5米,①甲、乙开始运动几分钟后相遇?②如果甲、乙到达对方起点后立即折返,甲继续每分钟比前1分钟多走1米 ,乙继续每分钟走5米,那么开始运动几分钟之后第二次相遇?★4、 某企业去年的纯利润为500万元,因设备老化等原因,企业的生产能力将逐年下降,若不进行技术改造,预测今年起每年比上一年纯利润减少20万元。