柯西不等式的证明及其应用
- 格式:doc
- 大小:644.00 KB
- 文档页数:11
柯西不等式各种形式的证明及其应用(一)柯西不等式各种形式的证明及其应用1. 柯西不等式的原始形式证明•柯西不等式的原始形式为:对任意的实数序列a1,a2,...,a n和b1,b2,...,b n,有下列不等式成立:(a1b1+a2b2+...+a n b n)2≤(a12+a22+...+a n2)(b12+b22+...+b n2)•证明思路:1.定义辅助函数f(t)=(a1t+a2t+...+a n t)2−(a12t2+a22t2+...+a n2t2)。
2.利用二次函数的性质证明f(t)≥0,即可得到柯西不等式的原始形式。
2. 柯西不等式的向量形式证明•柯西不等式的向量形式为:对任意的n维向量a=[a1,a2,...,a n]和b=[b1,b2,...,b n],有下列不等式成立:|a⋅b|2≤∥a∥2⋅∥b∥2•证明思路:1.将n维向量a和b表示为列向量形式。
2. 利用矩阵转置、乘法和内积的定义证明不等式成立。
3. 柯西不等式的积分形式证明• 柯西不等式的积分形式为:对任意的可积函数f (x )和g (x ),有下列不等式成立:|∫f b a (x )g (x )dx|2≤∫|f (x )|2b a dx ⋅∫|g (x )|2ba dx• 证明思路:1. 构造辅助函数ℎ(t )=∫(f (t )x +g (t ))2b a dt −∫|f (t )|2badt ⋅∫|g (t )|2b a dt 。
2. 利用积分和函数的性质证明ℎ(t )≥0,即可得到柯西不等式的积分形式。
应用一:线性代数中的向量内积• 柯西不等式可以用于证明向量内积的性质。
• 例如,在证明向量的模长定义中,可以利用柯西不等式证明模长的非负性。
• 另外,柯西不等式也广泛应用于线性代数中的向量正交、投影等问题。
应用二:凸函数的判定• 柯西不等式可以用于判定函数的凸性。
•若函数f(x)在区间[a,b]上满足柯西不等式中的积分形式,即″(x)dx≥0,则f(x)为该区间上的凸函数。
西不等式的证明过程以及其在不同领域的应用。
一、柯西不等式的证明柯西不等式的一般形式为:对于任意非负实数序列 {a_i} 和 {b_i} (i=1,2,...,n),都有(a_1^2 + a_2^2 + ... + a_n^2) * (b_1^2 + b_2^2 + ... + b_n^2) ≥ (a_1 * b_1 + a_2 * b_2 + ... + a_n * b_n)^2当且仅当 a_i/b_i (i=1,2,...,n) 为常数时,等号成立。
证明过程如下:首先,我们构造两个向量 A = (a_1, a_2, ..., a_n) 和 B = (b_1, b_2, ..., b_n)。
计算向量 A 和 B 的点积,即 A·B = a_1 * b_1 + a_2 * b_2 + ... + a_n * b_n。
根据向量的施瓦茨不等式(Schwarz Inequality),有 |A·B| ≤ ||A|| * ||B||,其中 ||A|| 和 ||B|| 分别表示向量 A 和 B 的模长。
将向量 A 和 B 的模长展开,得到||A|| = sqrt(a_1^2 + a_2^2 + ... + a_n^2)||B|| = sqrt(b_1^2 + b_2^2 + ... + b_n^2)将 |A·B|、||A|| 和 ||B|| 的表达式代入施瓦茨不等式,整理后即得柯西不等式。
二、柯西不等式的应用柯西不等式在数学、物理、工程等领域都有广泛的应用,以下列举几个例子:线性代数:在求解向量空间中的角度、长度等问题时,柯西不等式可以提供有用的界限。
分析学:在证明一些数列或函数列的收敛性时,柯西不等式可以发挥作用。
例如,利用柯西不等式可以证明实数列的部分和有界性。
找到这些统计量的上下界。
最优化理论:在求解最优化问题时,柯西不等式可以作为目标函数的一个下界或上界,从而简化问题的求解过程。
柯西不等式各种形式的证明及其应用柯西不等式是由大数学家柯西(Cauchy)在研究数学分析中的“流数”问题时得到的。
但从历史的角度讲,该不等式应当称为Cauchy-Buniakowsky-Schwarz 不等式,因为,正是后两位数学家彼此独立地在积分学中推而广之,才将这一不等式应用到近乎完善的地步。
柯西不等式非常重要,灵活巧妙地应用它,可以使一些较为困难的问题迎刃而解。
柯西不等式在证明不等式、解三角形、求函数最值、解方程等问题的方面得到应用。
一、柯西不等式的各种形式及其证明 二维形式在一般形式中,12122,,,,n a a a b b c b d =====令,得二维形式()()()22222bd ac d c b a+≥++等号成立条件:()d c b a bc ad //== 扩展:()()()222222222123123112233nn n n a a a a b b b b a b a b a b a b +++⋅⋅⋅++++⋅⋅⋅+≥+++⋅⋅⋅+等号成立条件:1122000::::,1,2,3,,i i i i n n i i a b a b a b a b a b a b i n ==⎛⎫==⋅⋅⋅= ⎪=⋅⋅⋅⎝⎭当或时,和都等于,不考虑二维形式的证明:()()()()()()22222222222222222222222,,,220=ab c d a b c d R a c b d a d b c a c abcd b d a d abcd b c ac bd ad bc ac bd ad bc ad bc ++∈=+++=+++-+=++-≥+-=等号在且仅在即时成立三角形式ad bc=等号成立条件:三角形式的证明:222111nn n k k k k k k k a b a b ===⎛⎫≥ ⎪⎝⎭∑∑∑()()22222222222222222-2a b c d a b c d ac bd a ac c b bd d a c b d =++++≥+++++≥-+++=-+-≥注:表示绝对值向量形式()()()()123123=,,,,,,,,2=n n a a a a b b b b n N n R αβαβαββαλβλ≥⋅⋅⋅⋅=⋅⋅⋅∈≥∈,等号成立条件:为零向量,或向量形式的证明:()()123123112233222222312322222222112233123123=,,,,,,,,,cos ,cos ,cos ,1n n n n n n n n n nm a a a a n b b b b m n a b a b a b a b m n m na a ab b b b m nm n a b a b a b a b a a a a b b b b =⋅=++++==++++++++≤∴++++≤++++++++令一般形式211212⎪⎭⎫ ⎝⎛≥∑∑∑===n k k k nk k nk k b a b a 1122:::n n i i a b a b a b a b ==⋅⋅⋅=等号成立条件:,或 、均为零。
柯西-许瓦兹不等式的证明方法及应用
柯西-许瓦兹不等式,又称柯西-赫瓦尔定理,是数学界著名的最优化理论。
它由美国数学家约翰·柯西和法国数学家许瓦兹在1817年提出,用于证明函数的最值点。
它被广泛应用于各种科学研究中,如机械学、力学、数学分析等,既是数学理论的基础,又是实际应用的基础。
柯西-许瓦兹不等式的数学公式是:若函数f(x)在[a,b]上对任意x ∈ [a,b]可导,则有∫ (b-x)f′(x)dx⩾ f(b)-f(a),其中f′(x)是函数f(x)的导数。
柯西-许瓦兹不等式的证明方法也比较简单,也是在把数学分析中许多有用的公理和定理的基础上构建起来的。
在把函数f(x)分割成多个子区间
[x1,x2],…[xn-1,xn],分别用梯形公式积分,利用分几数对称性,重用中值定理,及利用适当的技巧,可以得到上式?
柯西-许瓦兹不等式的应用非常广泛,它可以用于分析和证明函数的极值点、求解参数的最优值,也可以应用到定积分和积分方程等问题中。
比如,可以用来证明函数f在[a,b]上存在最大值或最小值点,也可以用来对最优利用问题进行研究,分析有限资源最优分配问题等。
柯西-许瓦兹不等式在解决数学最优化问题中有非常重要的作用,因此它的证明方法及应用也成为当代数学学习中备受重视的研究内容。
柯西不等式各种形式的证明及其应用柯西不等式各种形式的证明及其应用柯西不等式是数学中一个重要的不等式,具有广泛的应用。
本文将列举一些柯西不等式的应用,并对这些应用进行详细讲解。
应用一:向量内积的最大值柯西不等式给出了两个向量内积的最大值。
具体表述为:对于任意两个n维向量a和b,它们的内积满足:|a·b| ≤||a|| ||b|| ,其中||a||和||b||分别表示向量a和b的范数(长度)。
利用柯西不等式,我们可以得到向量内积的最大值。
当两个向量a和b线性相关时,内积达到最大值;当两个向量a和b正交时,内积达到最小值。
应用二:函数内积的最大值在函数空间中,柯西不等式同样适用。
给定两个定义域为[a,b]的函数f(x)和g(x),它们的内积满足:|∫f(x)g(x) dx| ≤ (∫f^2(x) dx)^(1/2) (∫g^2(x) dx)^(1/2)。
利用柯西不等式,我们可以得到函数内积的最大值。
当两个函数f(x)和g(x)线性相关时,内积达到最大值;当两个函数f(x)和g(x)正交时,内积达到最小值。
应用三:平均值与均方差的关系柯西不等式可以用来证明平均值与均方差的关系。
具体表述为:对于任意n个实数x1,x2,…,xn,它们的平均值avg和均方差sd满足:avg^2 ≤ sd^2,其中avg = (x1+x2+…+xn)/n,sd = [(x1-avg)^2 + (x2-avg)^2 + … + (xn-avg)^2]/n。
利用柯西不等式,我们可以得到均方差的最小值。
当n个实数x1,x2,…,xn相等时,均方差达到最小值;当n个实数x1,x2,…,xn分别与极值相等时,均方差达到最大值。
应用四:不等式约束条件下的最优化在最优化问题中,柯西不等式可以用来求解不等式约束条件下的最优解。
具体表述为:对于一组实数x1,x2,…,xn和正实数a1,a2,…,an,满足不等式约束条件:(x12/a12) + (x22/a22) + … + (xn2/an2) ≤ 1,以及目标函数f(x1,x2,…,xn)。
柯西不等式各种形式的证明及其应用
1.柯西不等式的证明:
柯西不等式的最常见的证明是基于构造内积的思路。
假设有两个n维
向量a=(a1,a2,…,an)和b=(b1,b2,…,bn),我们可以定义它们的内积为a·b=a1b1+a2b2+…+anbn。
柯西不等式就是说,对于任意两个向量a和b,有,a·b,≤,a,b。
这个不等式可以通过构造内积的平方来进行证明。
具体的证明过程可以参考高等数学相关教材或参考资料。
2.柯西不等式的应用:
-线性代数:柯西不等式可以用来证明向量范数的性质,如欧几里得
范数和曼哈顿范数的非负性、三角不等式等。
-概率论:柯西不等式可以用来证明概率论中的一些重要定理,比如
马尔可夫不等式、切比雪夫不等式等。
-信号处理:柯西不等式可以用来证明信号处理中的一些重要性质,
比如能量守恒定理、奇异值分解等。
-函数分析:柯西不等式可以用来证明函数分析中的一些重要定理,
比如巴拿赫空间的完备性定理等。
-矩阵论:柯西不等式可以用来证明矩阵论中的一些重要性质,比如
矩阵的条件数、病态度等。
总之,柯西不等式是一条十分重要的不等式,具有广泛的应用价值。
它不仅是高等数学中的重要工具,还可以应用于其他学科的研究中。
通过
了解柯西不等式的证明和应用,我们可以更好地理解和运用它,进一步深
化数学和相关学科的学习。
柯西不等式各种形式的证明及其应用1.柯西不等式的证明:(x1,y1) + (x2,y2) + ... + (xn,yn),≤ √(,x1,^2 + ,x2,^2 + ... + ,xn,^2)√(,y1,^2 + ,y2,^2 + ... + ,yn,^2)证明:设向量(x1,x2,...,xn)与(y1,y2,...,yn)的内积为A,则有:A = x1y1 + x2y2 + ... + xnyn考虑不等式(,x1,^2/,A, + ,x2,^2/,A, + ... + ,xn,^2/,A,) * (,y1,^2A + ,y2,^2/,A, + ... + ,yn,^2/,A,) ≥ 1根据乘法交换律,可以将上式化简为:(,x1,^2 + ,x2,^2 + ... + ,xn,^2) * (,y1,^2 + ,y2,^2 + ... + ,yn,^2) ≥ ,A,^2由于A是内积,其绝对值不超过向量的模的乘积,即,A,≤ √(,x1,^2 + ,x2,^2 + ... + ,xn,^2)√(,y1,^2 + ,y2,^2 + ...+ ,yn,^2)将不等式化简可得:(x1,y1) + (x2,y2) + ... + (xn,yn),≤ √(,x1,^2 + ,x2,^2 + ... + ,xn,^2)√(,y1,^2 + ,y2,^2 + ... + ,yn,^2)2.柯西不等式的应用:2.1内积空间中的角度和长度:根据柯西不等式,可以得出两个向量的内积的绝对值小于等于它们的模的乘积,即,A,≤ ,x,y,其中x和y是向量。
从而可以推出内积与向量的模的乘积的乘积的cosine值不超过1,即cosθ ≤ 1,其中θ是x和y之间的角度。
这表明柯西不等式可以用于计算向量的夹角。
2.2线性无关的证明:假设有n个非零向量(x1,x2,...,xn),如果存在n维向量(a1,a2,...,an),使得a1x1 + a2x2 + ... + anx_n = 0,其中a1,a2,...,an不全为零,则称向量组(x1,x2,...,xn)线性相关。
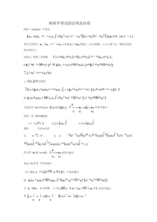
柯西不等式的证明及应用柯西( Cauchy )不等式a 1b 1 a 2b 2a nb n 2a 12a 22a n22 b 12b 22b n 2 2a ib iR, i 1,2 n等号当且仅当 a 1 a 2 a n 0 或 b ika i 时建立( k 为常数, i1,2 n )现将它的证明介绍以下:证明 1:结构二次函数f ( x)a 1 xb 1 2a 2 xb 2 2 a n x b n2= a 12 a 22a n n x 2 2 a 1b 1 a 2 b 2a nb n x b 12 b 22b n na 12 a 22a n n 0f x0 恒建立4 a 1b 1a 2b 2a nb n 24 a 12a 22a n nb 12b 22b nn即 a 1b 1 a 2b 2a nb n 2a 12a 22a n nb 12b 22b n n当且仅当 a i xb i x0 i 1,2 n即a1a 2 a n 时等号建立b 1b 2b n证明( 2)数学概括法( 1)当 n 1 时左式 = a 1b 1 22右式 = ab 11明显左式 =右式n 2 时 ,a 12a 22b 12 b 222a 2b 22a 12b 22当右 式a 1b 1a 22b 12222a 1a 2b 1b 2 a 1b 22a 1b 1 a 2 b 2a 2b 2右式仅立即 a 2 b 1a 1b 2 即a1a 2 时等号建立b 1b 2故 n 1,2时 不等式建立(2)假定 n k k, k 2 时,不等式建立即 a 1b 1 a 2b 2 a k b k 2a 12a 22a kkb 12 b 22b k k当 b i ka i , k 为常数, i1,2 n 或 a 1 a 2a k0 时等号建立设2 2 22 2212a kb 1b 2b ka aC a1b1a2 b2a k b k则a k21b k21b k21a k21b k21C22Ca k 1b k 1 a k21b k2C ak 1bk 121a2a2a2a2b2b2k b2kb212k k1121a1b1a2b2a k b k2 ak 1bk 1当 b i ka i,k为常数, i1,2n或 a1a2a k 0 时等号建立即 n k 1 时不等式建立综合( 1)(2)可知不等式建立柯西不等式是一个特别重要的不等式,灵巧奇妙的应用运用它,能够使一些较为困难的问题水到渠成,这个不等式结构和睦,应用灵巧宽泛,利用柯西不等式可办理以下问题:1)证明有关命题例 1.用柯西不等式推导点到直线的距离公式。
柯西不等式及应用————————————————————————————————作者: ————————————————————————————————日期:柯西不等式及应用武胜中学周迎新柯西不等式:设a1,a2,…an,b1,b2…b n均是实数,则有(a1b1+a2b2+…+a n b n)2≤(a12+a22+…an2)(b12+b22+…bn2)等号当且仅当ai=λb i(λ为常数,i=1,2.3,…n)时取到。
注:二维柯西不等式:(一)、柯西不等式的证明柯西不等式有多种证明方法,你能怎么吗?证法一:判别式法:令f(x)=(a1x+b1)2+(a2x+b2)2+…+(a n x+b n)2=(a12+a22+…+a n2)x2+2(a1b1+a2b2+…+an b n)x +(b12+b22+…+bn2)∵f(x)≥0∴△≤0 即 (a1b1+a2b2+…+a n b n)2≤(a12+a22+…+an2)(b12+b22+…+bn2)等号仅当 ai=λbi时取到。
证法二:(二)、柯西不等式的应用柯西不等式是一个非常重要的不等式,其结构和谐,应用灵活广泛,灵活巧妙的运用它,可以使一些较为困难的问题迎刃而解,并且柯西不等式本身的证明方法也值得在不等式证明中借鉴。
使用一些方法构造符合柯西不等式的形式及条件,继而达到使用柯西不等式解决有关的问题。
1. 证明不等式利用柯西不等式证明某些不等式显得特别方便,而利用柯西不等式的技巧也有很多。
如常数的巧拆、结构的巧变、巧设数组等,(1)巧拆常数:例1:设a 、b 、c 为正数且各不相等。
求证:c b a a c c b b a ++>+++++9222 分析∵a 、b 、c 均为正∴为证结论正确只需证:9]111)[(2>+++++++a c c b b a c b a 而)()()()(2a c c b b a d b a +++++=++ 又2)111(9++=(2)重新安排某些项的次序:例2:a 、b 为非负数,a +b =1,+∈R x x 21,求证:212121))((x x ax bx bx ax ≥++ 分析:不等号左边为两个二项式积,+-∈∈R x x R b a 21,,,,每个两项式可以使柯西不等式,直接做得不到预想结论,当把节二个小括号的两项前后调换一下位置,就能证明结论了。
柯西不等式的证明及相关应用一、柯西不等式的证明:(a1b1 + a2b2 + ... + anbn)^2 ≤ (a1^2 + a2^2 + ... + an^2) * (b1^2 + b2^2 + ... + bn^2)证明过程如下:1. 首先构造一个关于t的二次函数f(t) = (at - b)^2,其中a和b为任意实数。
2. 将函数f(t)进行完全平方,得到f(t) = a^2t^2 - 2abt + b^23.根据二次函数的性质,可以发现f(t)≥0,即二次函数的图像在t轴上方或与t轴相切。
4.根据二次函数的图像性质,我们可以得到二次函数在顶点处取到最小值。
5.通过求解f(t)对t的导数等于0,得到当t=b/a时,函数f(t)取到最小值。
6. 将f(t)中的a和b代换成数列a和b的对应元素,我们得到f(t) = (a1b1 + a2b2 + ... + anbn)^2 - 2(a1b1 + a2b2 + ... + anbn) + (b1^2 + b2^2 + ... + bn^2)。
7. 将t = b/a = (a1b1 + a2b2 + ... + anbn)/(a1^2 + a2^2 + ... + an^2)代入f(t),得到f(t) ≥ 0,即(a1b1 + a2b2 + ... + anbn)^2≤ (a1^2 + a2^2 + ... + an^2) * (b1^2 + b2^2 + ... + bn^2)。
8. 由于a1, a2, ..., an和b1, b2, ..., bn为任意实数,因此柯西不等式成立。
二、柯西不等式的应用:1.判定正交性:对于向量空间中的两个向量a和b,根据柯西不等式的等号情况可以判断a和b是否正交。
当且仅当(a·b)^2=,a,^2*,b,^2时,向量a和b正交。
2. 证明向量的长度:根据柯西不等式,可以推导出向量的长度公式。
设向量a = (a1, a2, ..., an),则有,a, = sqrt(a1^2 + a2^2 + ... + an^2)。
柯西不等式各种形式的证明及其应用柯西不等式是由大数学家柯西(Cauchy)在研究数学分析中的“流数”问题时得到的。
但从历史的角度讲,该不等式应当称为Cauchy-Buniakowsky-Schwarz 不等式,因为,正是后两位数学家彼此独立地在积分学中推而广之,才将这一不等式应用到近乎完善的地步。
柯西不等式非常重要,灵活巧妙地应用它,可以使一些较为困难的问题迎刃而解。
柯西不等式在证明不等式、解三角形、求函数最值、解方程等问题的方面得到应用。
一、柯西不等式的各种形式及其证明 二维形式在一般形式中,12122,,,,n a a a b b c b d =====令,得二维形式()()()22222bd ac d c b a+≥++等号成立条件:()d c b a bc ad //== 扩展:()()()222222222123123112233nn n n a a a a b b b b a b a b a b a b +++⋅⋅⋅++++⋅⋅⋅+≥+++⋅⋅⋅+等号成立条件:1122000::::,1,2,3,,i i i i n n i i a b a b a b a b a b a b i n ==⎛⎫==⋅⋅⋅= ⎪=⋅⋅⋅⎝⎭当或时,和都等于,不考虑二维形式的证明:()()()()()()22222222222222222222222,,,220=ab c d a b c d R a c b d a d b c a c abcd b d a d abcd b c ac bd ad bc ac bd ad bc ad bc ++∈=+++=+++-+=++-≥+-=等号在且仅在即时成立三角形式ad bc=等号成立条件:三角形式的证明:222111nn n k k k k k k k a b a b ===⎛⎫≥ ⎪⎝⎭∑∑∑()()22222222222222222-2a b c d a b c d ac bd a ac c b bd d a c b d =++++≥+++++≥-+++=-+-≥注:表示绝对值向量形式()()()()123123=,,,,,,,,2=n n a a a a b b b b n N n R αβαβαββαλβλ≥⋅⋅⋅⋅=⋅⋅⋅∈≥∈,等号成立条件:为零向量,或向量形式的证明:()()123123112233222222312322222222112233123123=,,,,,,,,,cos ,cos ,cos ,1n n n n n n n n n nm a a a a n b b b b m n a b a b a b a b m n m na a ab b b b m nm n a b a b a b a b a a a a b b b b =⋅=++++==++++++++≤∴++++≤++++++++令一般形式211212⎪⎭⎫ ⎝⎛≥∑∑∑===n k k k nk k nk k b a b a 1122:::n n i i a b a b a b a b ==⋅⋅⋅=等号成立条件:,或 、均为零。
柯西没有等式百般形式的说明及其应用之阳早格格创做柯西没有等式是由大数教家柯西(Cauchy)正在钻研数教分解中的“流数”问题时得到的.但是从履历的角度道,该没有等式应当称为Cauchy-Buniakowsky-Schwarz 没有等式,果为,正是后二位数教家相互独力天正在积分教中推而广之,才将那一没有等式应用到近乎完备的天步. 柯西没有等式非常要害,机动巧妙天应用它,不妨使一些较为艰易的问题迎刃而解. 柯西没有等式正在说明没有等式、解三角形、供函数最值、解圆程等问题的圆里得到应用. 一、柯西没有等式的百般形式及其说明 二维形式正在普遍形式中,12122,,,,n a a a b b c b d =====令,得二维形式 等号创制条件:()d c b a bc ad //== 扩展:()()()222222222123123112233n n n n aa a ab b b b a b a b a b a b +++⋅⋅⋅++++⋅⋅⋅+≥+++⋅⋅⋅+等号创制条件:1122000::::,1,2,3,,i i i i n n i i a b a b a b a b a b a b i n ==⎛⎫==⋅⋅⋅= ⎪=⋅⋅⋅⎝⎭当或时,和都等于,不考虑二维形式的说明: 三角形式222111n nn k k k k k k k a b a b ===⎛⎫≥ ⎪⎝⎭∑∑∑三角形式的说明: 背量形式背量形式的说明: 普遍形式普遍形式的说明: 说明:推广形式(卡我紧没有等式):卡我紧没有等式表述为:正在m*n 矩阵中,各止元素之战的几许仄衡数没有小于各列元素 之积的几许仄衡之战. 大概者: 大概者推广形式的说明: 推广形式证法一: 大概者推广形式证法二:究竟上波及仄衡值没有等式皆不妨用均值没有等式去证, 那个没有等式本去没有易,不妨简朴说明如下: 付:柯西(Cauchy )没有等式相闭说明要领:等号当且仅当021====n a a a 大概i i ka b =时创制(k 为常数,n i 2,1=)现将它的说明介绍如下:说明1:构制二次函数 ()()()2222211)(n n b x a b x a b x a x f ++++++==()()()22222121122122n nn n n n a a a x a b a b a b x b b b +++++++++++()0f x ∴≥恒创制即()()()2222211221212nnn n n n a b a b a b a a a b b b +++≤++++++当且仅当()01,2i i a x b x i n +== 坐即1212n na a ab b b ===等号创制说明(2)数教归纳法(1)当1n =时 左式=()211a b 左式=()211a b 隐然 左式=左式 当2n =时, 左式()()()()2222222222121211222112a a b b a b a b a b a b =++=+++()()()2221122121212222a b a b a a b b a b a b ≥++=+=左式仅当即 2112a b a b = 坐即1212a ab b =等号创制故1,2n =时 没有等式创制(2)假设n k =(),2k k ∈N ≥时,没有等式创制 即 ()()()2222211221212kk k k k k a b a b a b a a a b b b +++≤++++++当 i i ka b =,k 为常数,1,2i n = 大概120k a a a ====时等号创制设22212k a a a A ====22212k b b b B ====则()()2222211111k k k k k a b b a b +++++A +B +=AB +A + 当 i i ka b =,k 为常数,1,2i n = 大概120k a a a ====时等号创制即 1n k =+时没有等式创制概括(1)(2)可知没有等式创制 二、柯西没有等式的应用 1、巧拆常数证没有等式例1:设a 、b 、c 为正数且互没有相等.供证:2222a b b c a ca b c++++++. a b c 、、均为正数()()()()()111292=a b c a b b c a c a b c a b b c a c ∴⎛⎫++++ ⎪+++⎝⎭+++++++为证结论正确,只需证:而为证论断精确,只需证:又29(111)=++∴只需证:又a b c 、、互没有相等,所以没有克没有及与等∴本没有等式创制,证毕.2、供某些特殊函数最值 例2:y =求函数 函数的定义域为[5,9],0y3、用柯西没有等式推导面到曲线的距离公式. 已知面()00,x y P 及曲线:l 0x y C A +B +=()220A +B ≠ 设面p 是曲线l 上的任性一面, 则0x x C A +B+= (1)12p p =(2)面12p p 二面间的距离12p p 便是面p 到曲线l 的距离,供(2)式有最小值,有由(1)(2)得:21200p p x y C≥A +B + 即12p p ≥(3)当且仅当 ()()0101:y y x x B --=A12p p l ⊥ (3)式与等号 即面到曲线的距离公式即4、 说明没有等式例 3已知正数,,a b c 谦脚1a b c ++= 说明 2223333a b c a b c ++++≥说明:利用柯西没有等式又果为 222a b c ab bc ca ++≥++ 正在此没有等式二边共乘以2,再加上222a b c ++得:()()2223a b c a b c ++≤++故2223333a b c a b c ++++≥5、 解三角形的相闭问题例 4设p 是ABC 内的一面,,,x y z 是p 到三边,,a b c 的距离,R 是ABC 说明:由柯西没有等式得, 记S 为ABC 的里积,则故没有等式创制.6、 供最值例5已知真数,,a b c ,d 谦脚3a b c d +++=, 22222365a b c d +++=试供a 的最值解:由柯西没有等式得,有 即()2222236b c d b c d ++≥++ 由条件可得, ()2253a a -≥- 解得,12a ≤≤== 时等号创制,代进111,,36b c d ===时, max 2a =211,,33b c d ===时 min 1a =7、利用柯西没有等式解圆程 例6正在真数集内解圆程 解:由柯西没有等式,得()()()()222222286248624xy z x y y ⎡⎤++-++-≥-+-⎣⎦①又()22862439x y y -+-=即没有等式①中惟有等号创制进而由柯西没有等式中等号创制的条件,得 它与862439x y y -+-=联坐,可得8、用柯西没有等式阐明样本线性相闭系数 正在线性返回中,有样本相闭系数()()niix x y y --∑指出1r ≤且r 越交近于1,相闭程度越大,r 越交近于0,则相闭程度越小.当前可用柯西没有等式阐明样本线性相闭系数.现记i i a x x =-,i i b y y =-,则,ni ia b∑1r≤当1r=时,()222111n nni i iii i i a b ab====∑∑∑此时,()()i ii iy yb k x x a -==-,k 为常数.面(),i i x y n i 2,1=均正在曲线()y y k x x -=-上,r当1r→时,()222111n nni i iii i i a b ab===→∑∑∑即()2221110nnni i ii i i i a b a b ===-→∑∑∑而()()22221111n n ni i ii i j j i i i i i j na b a b a b a b ===≤≤≤-=--∑∑∑∑⇒,iib k k a →为常数. 此时,此时,()()i ii iy yb k x x a -==-,k 为常数面(),i i x y 均正在曲线()y y k x x -=-附近,所以r越交近于1,相闭程度越大 当0r→时,(),i i a b 没有具备上述特性,进而,找没有到符合的常数k ,使得面(),i i x y 皆正在曲线()y y k x x -=-附近.所以,r 越交近于0,则相闭程度越小.9、闭于没有等式22222)())((bd ac d c b a +≥++的几许背景 几许背景:如图,正在三角形OPQ中,θ=∠QOP d c Q b a P ),,(),,(,则 ,,2222d c OQ b a OP+=+=.)()(22d b c a PQ -+-=将以上三式代进余弦定理θcos 2222⋅⋅-+=OQ OP OQ OP PQ ,并化简,可得2222cos dc b a bdac +⋅++=θ大概.))(()(cos 222222d c b a bd ac +++=θ 果为1cos 02≤≤θ,所以,1))(()(22222≤+++d c b a bd ac ,于是22222)())((bd ac d c b a +≥++.柯西没有等式的相闭真质简介(1)赫我德(Holder)没有等式当2==q p 时,即为柯西没有等式.果此,赫我德没有等式是柯西没有等式更为普遍的形式,正在分解教中有着较为广大的应用.(2)仄里三角没有等式(柯西没有等式的等价形式)22222112222122221)()()(n n n n b a b a b a b b b a a a ++++++≥+++++++ 不妨借帮其二维形式22221122212221)()(b a b a b b a a +++≥+++去明白,根据三角形的二边之战大于第三边,很简单考证那一没有等式的精确性.该没有等式的普遍形式ppn n ppppn ppppn ppb a b a b a b b b a a a 12211121121])()()[()()(++++++≥+++++++称为闵可妇斯基(Minkowski )没有等式.它是由闵可妇斯基正在对付n 维空间中的对付称凸几许体定义了一种“距离”的前提上得到的,即对付于面),,,(),,,,(2121n n y y y y x x x x ==,定义其距离为pni pi i y x y x 1)(),(∑-=ρ.闵可妇斯基坐脚于那一没有等式树坐了相映的几许,修坐了一种类似于新颖度量空间的表里,即真变函数中的赋范空间前提.那从另一个正里体现了柯西没有等式的歉富数教背景.。
柯西不等式的证明及相关应用摘要:柯西不等式是高中数学新课程的一个新增内容,也是高中数学的一个重要知识点,它不仅历史悠久,形式优美,结构巧妙,也是证明命题、研究最值问题的一个强有力的工具。
关键词:柯西不等式 柯西不等式变形式 最值 一、柯西(Cauchy )不等式:等号当且仅当021====n a a a Λ或i i ka b =时成立(k 为常数,n i Λ2,1=) 现将它的证明介绍如下: 方法1 证明:构造二次函数=()()()2222122112222212n n n n b b b x b a b a b a x a a a +++++++++++ΛΛΛ由构造知 ()0≥x f 恒成立又22120nn a a a +++≥Q L即()()()222212222122211nn n n b b b a a a b a b a b a ++++++≤+++ΛΛΛ 当且仅当()n i b x a i i Λ2,10==+ 即1212n na a ab b b ===L 时等号成立 方法2 证明:数学归纳法(1) 当1n =时 左式=()211a b 右式=()211a b 显然 左式=右式 当2=n 时 右式 ()()()()2222222222121211222112a a b b a b a b a b a b =++=+++()()()2221122121212222a b a b a a b b a b a b ≥++=+=左式 故1,2n =时 不等式成立(2)假设n k =(),2k k ∈N ≥时,不等式成立即 ()()()222212222122211k k k k b b b a a a b a b a b a ++++++≤+++ΛΛΛ当 i i ma b =,m 为常数,k i Λ2,1= 或120k a a a ====L 时等号成立设A=22221k a a a +++Λ B=22221k b b b +++Λ 1122k k C a b a b a b =+++L则()()212121212121+++++++++=++k k k k k k b a Ba Ab AB b B a A当 i i ma b =,m 为常数,12,1+=k i Λ 或121+===k a a a Λ时等号成立 即 1n k =+时不等式成立 综合(1)(2)可知不等式成立二、柯西不等式的简单应用柯西不等式是一个非常重要的不等式,学习柯西不等式可以提高学生的数学探究能力、创新能力等,能进一步开阔学生的数学视野,培养学生的创新能力,提高学生的数学素质。
柯西不等式的证明及应用柯西(Cauchy )不等式()22211n n b a b a b a +++ ()()222221222221nnb b ba a a ++++++≤ ()n i Rb a ii 2,1,=∈等号当且仅当021====n a a a 或i i ka b =时成立(k 为常数,n i 2,1=)现将它的证明介绍如下:证明1:构造二次函数 ()()()2222211)(n n b x a b x a b x a x f ++++++==()()()22222121122122n nn n n n a a a x a b a b a b x b b b +++++++++++22120nn a a a +++≥()0f x ∴≥恒成立()()()2222211*********n n n n n n a b a b a b a a a b b b ∆=+++-++++++≤即()()()2222211221212nn n n nn a b a b a b a a a bb b +++≤++++++当且仅当()01,2i i a x b x i n +== 即1212n na a ab b b === 时等号成立 证明(2)数学归纳法(1)当1n =时 左式=()211a b 右式=()211a b 显然 左式=右式 当2n =时, 右式()()()()2222222222121211222112a a b b a b a b a b a b =++=+++()()()2221122121212222a b a b a a b b a b a b ≥++=+=右式仅当即 2112a b a b = 即1212a ab b =时等号成立 故1,2n =时 不等式成立(2)假设n k =(),2k k ∈N ≥时,不等式成立 即 ()()()2222211221212kk k k kk a b a b a b a a a bb b +++≤++++++当 i i ka b =,k 为常数,1,2i n = 或120k a a a ==== 时等号成立设22212ka a a A ==== 22212k b b b B ====1122k k C a b a b a b =+++则()()2222211111k k k k k a b ba b +++++A +B +=AB +A +()22221111112k k k k k k C Ca b a b C a b ++++++≥++=+ ()()22222222121121k k kka a a ab b b b ++∴++++++++()2112211k k k k a b a b a b a b ++≥++++当 i i ka b =,k 为常数,1,2i n = 或120k a a a ==== 时等号成立即 1n k =+时不等式成立 综合(1)(2)可知不等式成立柯西不等式是一个非常重要的不等式,灵活巧妙的应用运用它,可以使一些较为困难的问题迎刃而解,这个不等式结构和谐,应用灵活广泛,利用柯西不等式可处理以下问题: 1) 证明相关命题例1. 用柯西不等式推导点到直线的距离公式。
柯西不等式的证明与应用首先,我们假设有两组实数序列 x1, x2, ..., xn 和 y1, y2, ..., yn ,我们要证明的是:(x1y1 + x2y2 + ... + xnyn)² ≤ (x1² + x2² + ... + xn²)(y1² + y2² + ... + yn²)我们可以通过数学归纳法来证明柯西不等式。
1.当n=2时,我们有:(x1y1+x2y2)²≤(x1²+x2²)(y1²+y2²)这是由于等式左边是二次多项式的平方,所以一定是非负的。
我们可以展开等式左边并整理得到:(x1y1)²+2x1x2y1y2+(x2y2)²≤x1²y1²+x1²y2²+x2²y1²+x2²y2²可以看出等式两边的差异主要来自于中间的交叉项2x1x2y1y2、由于二次项非负,所以差异总是非负的。
因此,n=2的情况得证。
2.假设当n=k时,不等式成立。
我们要证明当n=k+1时,不等式也成立。
首先,我们取兩個向量 xn = (x1, x2, ..., xk+1) 和 yn = (y1, y2, ..., yk+1)。
根据归纳假设,我们有:(x1y1 + x2y2 + ... + xk+1yk+1)² ≤ (x1² + x2² + ... +xk+1²)(y1² + y2² + ... + yk+1²)现在我们要引入两个新变量 a 和 b,并定义两个新的向量 ak = (x1, x2, ..., xk) 和 bk = (y1, y2, ..., yk)。
那么原始的向量可以表示为xn = (ak, xk+1) 和 yn = (bk, yk+1)。
柯西不等式的证明及其应用基础知识:定理:如果1212,,,;,,,n n a a a b b b …………为两组实数,则222222211221212()()()n n n n a b a b a b a a a b b b +++≤++++++……………… (*)当且仅当12211331110n n a b a b a b a b a b a b -=-==-=……时等号成立。
若120,0,,0n b b b ≠≠≠……,则不等式的等号成立的条件是1212n na a ab b b ===……。
我们称不等式(*)为柯西不等式。
证明:1)两个实数的柯西不等式的证明:对于实数1212,,,a a b b ,恒有2222211221212()()()a b a b a a b b +≤++,当且仅当12210a b a b -=时等号成立。
如果120,0b b ≠≠则等式成立的条件是1212a ab b =。
证明:对于任意实数1212,,,a a b b ,恒有222222121211221221()()()()a a b b a b a b a b a b ++=++-,而21221()0a b a b -≥, 故2222211221212()()()a b a b a a b b +≤++当且仅当12210a b a b -=时等号成立。
不等式的几何意义如图1所示,在直角坐标系中有异于原点O 的两点12(,)P a a ,12(,)Q b b ,由距离公式得:|OP|=,|OQ|=|PQ|=设OP 与OQ 的夹角为θ, 由余弦定理得222||||||cos 2||||OP OQ PQ OP OQ θ+-==。
因为1cos 1θ-≤≤,所以2cos 1θ≤21≤,即2222211221212()()()a b a b a a b b +≤++当且仅当2cos 1θ=时等号成立,即OPQ 共线时等号成立。
柯西不等式各种形式的证明及其应用引言柯西不等式(Cauchy’s inequality)是数学中一项重要的不等式,它在多个领域中得到了广泛的应用。
本文将介绍柯西不等式的几种常见形式的证明,并探讨其在数学分析、概率论和信号处理等领域的应用。
一. 柯西不等式的基本形式下面是柯西不等式的基本形式:定理1:对于任意两个n维向量a=(a1,a2,...,a n)和b=(b1,b2,...,b n),有如下不等式成立:(a1b1+a2b2+...+a n b n)2≤(a12+a22+...+a n2)⋅(b12+b22+...+b n2)证明我们可以用多种方法证明柯西不等式的基本形式,其中最常见的方法是使用向量的内积。
方法一我们首先定义向量a和b的内积为<a,b>=a1b1+a2b2+...+a n b n。
根据向量内积的性质,我们可以将柯西不等式写成如下形式:<a,b>2≤||a||2⋅||b||2其中||a||2=a12+a22+...+a n2表示向量a的模的平方。
由于平方根函数是单调递增的,所以不等式的成立与不成立性质不改变。
因此,我们可以将证明目标转化为证明以下形式的不等式:<a,b>2≤<a,a>⋅<b,b>方法二另一种证明柯西不等式的基本形式的方法是利用二次函数的性质。
设f (t )=(a 1t +b 1)2+(a 2t +b 2)2+...+(a n t +b n )2,其中t 是实数。
如果对于任意t ,函数f (t )都大于等于零,则不等式成立。
我们来计算f (t ): f (t )=∑(a i 2t 2+b i 2+2a i b i t )n i=1=∑a i 2n i=1t 2+∑b i 2n i=1+2t ∑a i n i=1b i由于任何一个实数的平方都大于等于零,所以第一项和第二项都大于等于零。
而根据数列的有序性质,∑a i n i=1b i ≤√(∑a i 2n i=1)⋅(∑b i 2n i=1),不等式成立。
柯西不等式的证明及其应用赵增林(青海民族大学,数学学院,青海,西宁,810007)摘要:柯西不等式是一个非常重要的不等式,本文用五种不同的方法证明了柯西不等式,并给出了一些柯西不等式在证明不等式、求函数最值、解方程、解三角与几何问题等方面的应用,最后用其证明了点到直线的距离公式,更好的解释了柯西不等式。
关键词:柯西不等式,证明,应用柯西不等式定理:如果1212,,,;,,,n n a a a b b b …………为两组实数,则222222211221212()()()n n n n a b a b a b a a a b b b +++≤++++++……………… (*)当且仅当12211331110n n a b a b a b a b a b a b -=-==-=……时等号成立。
若120,0,,0n b b b ≠≠≠……,则不等式的等号成立的条件是1212n na a ab b b ===……。
我们称不等式(*)为柯西不等式。
柯西不等式的证明:一)两个实数的柯西不等式的证明:对于实数1212,,,a a b b ,恒有2222211221212()()()a b a b a a b b +≤++,当且仅当 12210a b a b -=时等号成立。
如果120,0b b ≠≠则等式成立的条件是1212a ab b =。
证明:对于任意实数1212,,,a a b b ,恒有222222121211221221()()()()a a b b a b a b a b a b ++=++-,而21221()0a b a b -≥, 故2222211221212()()()a b a b a a b b +≤++。
当且仅当12210a b a b -=时等号成立。
不等式的几何意义如图1所示,在直角坐标系中有异于原点O 的两点12(,)P a a ,12(,)Q b b ,由距离公式得:|OP |2212a a =+,|OQ |2212b b =+|PQ|=设OP 与OQ 的夹角为θ,由余弦定理得222||||||cos 2||||OP OQ PQ OP OQ θ+-==因为1cos 1θ-≤≤,所以2cos 1θ≤21≤,即2222211221212()()()a b a b a a b b +≤++当且仅当2cos 1θ=时等号成立, 即OPQ 共线时等号成立。
这时有1212a ab b =,即12210a b a b -=。
二)柯西不等式的证明:常用的证明柯西不等式的方法有: 1)配方法:作差:因为222111()()()nnniji i i j i a b a b ===-∑∑∑221111()()()()n n n niji i j j i j i j a b a b a b =====-∑∑∑∑221111n n n ni ji i j j i j i j a b a b a b =====-∑∑∑∑22221111111(2)2n n n n n ni j j i i j j i i j i j i j a b a b a b a b =======+-∑∑∑∑∑∑2222111(2)2n n i j i j j i j i i j a b a b a b a b ===-+∑∑2111()02n ni j j i i j a b a b ===-≥∑∑所以222111()()()n n n iji i i j i a b a b ===-∑∑∑0≥,即222111()()()n n niji i i j i a b a b ===≥∑∑∑即222222211221212()()()n n n n a b a b a b a a a b b b +++≤++++++……………… 当且仅当0(,1,2,,)i j j i a b a b i j n -==……即(1,2,,;1,2,,;0)ji j i ja a i n j nb b b ===≠…………时等号成立。
2)利用恒等式证明:先用数学归纳法证明如下恒等式,然后证明柯西不等式: 对于二组实数1212,,,;,,,n n a a a b b b …………有柯西—拉格朗日恒等式222222212121122()()()n n n n a a a b b b a b a b a b ++++++-+++………………2221221133111()()()n n a b a b a b a b a b a b =-+-++-+… 22223322211()()()n n n n n n a b a b a b a b a b a b ---++-++-……由实数性质20()R αα≥∈可得柯西不等式成立。
3)利用判别式证明(构造二次函数法) i)若120n a a a ====……,则不等式显然成立。
ii)若12n a a a ,,……,至少有一个不为0,则22212n a a a +++……>0对于任意的实数x ,总有2()0i i a x b -≥(1,2,,)i n =……, 22220i i i i a x a b x b ++≥。
当1,2,,i n =……时,将以上n 个式子相加,有222222212112212()2()()0n n n n a a a x a b a b a b x b b b +++-+++++++≥……………… 当222120n a a a +++>……时,上面的不等式对于所有的x 均成立。
故有判别式2222222112212124()4()()0n n n n a b a b a b a a a b b b ∆=+++-++++++≤……………… 即222222211221212()()()n n n n a b a b a b a a a b b b +++≤++++++………………。
当1212n n a a a b b b ===……时,因为11221222121n n n a b a b a b ab b b b ====……。
故11221222121n n n a b a b a b a b b b b +++=+++…………。
同理可得11221222121n n n a b a b a b b a a a a +++=+++…………。
两式相乘,得222222211221212()()()n n n n a b a b a b a a a b b b +++=++++++………………即不等式的等号成立。
不等式的等号成立,即222222211221212()()()n n n n a b a b a b a a a b b b +++=++++++………………时,有 222222*********[2()]4()()0n n n n a b a b a b a a a b b b -+++-++++++=………………则关于x 的方程222222212112212()2()()0n n n n a a a x a b a b a b x b b b +++-+++++++=………………则有2221122()()()0n n a x b a x b a x b -+-++-=…… 于是0(1,2,)i i a x b i n -==……,即1(1,2,)i i a i n b x==……, 即1212n na a ab b b ===……。
4)用数学归纳法证明i )当1n =时,有2221112()a b a b =,不等式成立。
当2n =时,22222112212221122()2a b a b a b a b a b a b +=++ 222222222222121211221221()()a a b b a b a b a b a b ++=+++。
因为2222122111222a b a b a b a b +≥,故有2222211221212()()()a b a b a a b b +≤++ 当且仅当1221a b a b =,即1212a ab b =时等号成立。
ii )假设n k =时不等式成立。
即222222211221212()()()k k k k a b a b a b a a a b b b +++≤++++++………………当且仅当1212n na a ab b b ===……时等号成立。
那么当1n k =+时,2112211()k k k k a b a b a b a b ++++++……222112211112211()2()k k k k k k k k a b a b a b a b a b a b a b a b ++++=++++++++…………22222222121211112211()()2()k k k k k k k k a a a b b b a b a b a b a b a b ++++≤+++++++++++………………2222222222222222121211111111()()k k k k k k k k k k a a a b b b a b b a a b b a a b ++++++≤++++++++++++………………222222121121()()k k a a a b b b ++=++++++…………2222221212()()n n a a a b b b =++++++…………当且仅当1111212111,,,k k k k k k k k a b b a a b b a a b b a ++++++===……时等号成立, 即112121k k k k a a a a b b b b ++====……时等号成立。
于是1n k =+时不等式成立。
由i )ii )可得对于任意的自然数n ,柯西不等式成立。
5)用向量法证明设n 维空间中有二个向量a 12,,,n a a a =(……),b 12(,,,)n b b b =……,其中 1212,,,;,,,n n a a a b b b …………为任意两组实数。
由向量的长度定义,有|a|=b|=又由内积的定义,a ⋅b =|a ||b |cos θ,其中θ是a , b 的夹角, 且有a ⋅b 1222n n a b a b a b =+++……。
因|cos θ|1≤,故| a ⋅b | ≤|a ||b |,于是|1122n n a b a b a b +++……|≤即 222222211221212()()()n n n n a b a b a b a a a b b b +++≤++++++………………当且仅当|cos θ|1=时,即a 与b 共线时等号成立。