2014华北电力大学电子工程学院拟录名单
- 格式:xls
- 大小:109.50 KB
- 文档页数:28
2015-2016学年度华北电力大学研究生先进个人获奖名单附件2015-2016学年度研究生先进个人和先进集体获奖名单北京校部一、优秀研究生标兵(30人)1、博士(5人)梁晓林王晓龙杨燕燕李娜娜王洋2、硕士(25人)吴梦凯王彦杰黄旭炜樊玮郭京唐萁龙日尚王震丁泽宇郑清清郑炯智陈莹陈袁宋智超张越牛文静龙东腾肖伯文赵浩然胡勇延玲玲郑君萧赵卫娟丛丹赵悦含二、优秀研究生(447人)1、电气与电子工程学院(145人)博士(24人)苑宾于明许冬王刘旺王健李海峰毕经天张尚闫江燕王皓界帅旗李建国李承昱季石宇崔灿周志宇周一辰周宏杨刘涛陈鹏伟杨洋李猛蔡万通袁之康硕士(121人)祝艺嘉魏旭辉王海岩邵冰冰易登辉王玲庞志开朱晨张荐蒋璐行季澜涛张芬芬徐慧婷熊岩魏宏升康胜阳李志超姬煜轲陈奕汝朱溪王程施锦月邱扬陆格野刘航李磊周楠钱晨牛淑娅刘畅郭裕群周爽周晨轶王申磨唯马贵芳张博越杨波徐定康刘洋刘昌于志诚阳以歆谢文超吴震苏晨博宋宏图许鹏程王晓晨樊威林心昊杨家莉王欣任哲锋刘思华李志崔仪朱炎平周秋张轶张旭杜施默柏慧夏喻毛乃强马宇飞汪雪婷成锐李静怡崔康生王洁聪房国俊王兵蒋若蒙高涵宇杨玉瑾徐靖雯姚黎婷顼佳宇吴晨曦王宇唐成鹏任艺李大勇黄婷关睿顾妙松成敏杨吕思琦金东亚韩通张蒙晰李亦天顾玮贺艳华朱雨蕙朱俊谕郑嘉炜薛宇石王江天刘军游静江郝嘉诚宫晓珊赵裕童孙畅罗莹莹陈剑赵佳吴倩刘迪杨佳艺石城胡浩李校莹范宁宁王思涵王婉君张晗耿坤龙李世豪2、能源动力与机械工程学院(94人)博士(24人)徐婧耿直陈公达张盼张俊龙庄晓雯甄纪亮张月陈磊任丽霞靳舒葳刘慧敏吴俊杰孔艳强金鑫明王建袁博谢佳林李超赵世飞刘婧豆龙江陈亮余雄江硕士(70人)马腾徐鸿飞张景胤和圣杰齐心贾明祥刘亦芳矫延林高远白雪亮余志文丁一王永智张晓龙马婧雯邓颖李力董伟徐璋冯涛黄平瑞孙杨贾时轮郑晓欢韩露满孝增梁明宇仪凯唐静陆高锋冯澎湃王婷李瑞华沈亚洲孙诗梦原奇鑫孙莹岳国强王源意董艳艳何姗姗刘晓威陈俊寰席翔申鹏侯步逸马艳青陈颖李鸿飞王刚刘洪涛吕志鹏王仲陈宇张慧聪章岱超王泰白璞万震天薛小军牛晨巍刘琦李倩倩李慧顾雯雯卢晗王鹏毅杨兰李紫恬辛美玲3、控制与计算机工程学院(67人)博士(7人)李郅辰高骏强孟洪民姜頔金世举张国强席嫣娜硕士(60人)马杰李超鹏李玉莹李岩薛建永乔鑫张博林炜姜珂李皓阳梁超安培秀周琰张英强侯杰杨玉李荣丽郑可轲李昭周书清姜漫利赵泽昆刘玉奇任杰苗田银何宇婷张春雨姜卓于露杨雅兰胡柏吉贾慧秒刘宏宇王修岩聂祥谦张昭侯晓帅杨旭东李妍赵雄飞孙长浩舒俊华文丰白硕王娟邓志光简一帆李青青张皓余晓玲邸小慧张璜李一娇刘红丁健康邱恒白雪剑张洋徐建光李尚欢4、经济与管理学院(66人)博士(9人)鞠立伟许晓敏马天男杨雍琦李书科李赟陈玉龙苑嘉航宋宗耘硕士(57人)白俊维孙浦萌李淑洁王旭龙腾刘凯杨萌孙肖坤潘昕昕国潇丹徐阳张吉祥陈康婷王强王毅唐天琦李昂程雅欐孙小茹牛英杰吕寒蒋文琦时媛媛柴艺彤张严张栩蓓潘张益马原柯毅明李源非潘格张弘扬卜银河李冉崔丹邓凤娟吴美琼张子璇代思晨李文姝黎欢龙芸陈露高原辛立柱蔡晓亚吴金花郭瑞林班念奇刘凤贤蔡晓静王建华周锐高源胡以磊陆明郭思5、可再生能源学院(30人)博士(6人)蒋晓燕林俊杰卫东叶小宁李聪刘吉硕士(24人)张天翔吴昱董晔徐真郭强林彦楷董晓晨孙莹林常枫王恬悦李文涛李红传钱晨昊王晶孙雪薇范威威张语晴魏立帅侯悦何文栋苏琳王志斌时小强吴高翔6、核科学与工程学院(15人)博士(3人)王冠鹰李璐赵媛媛硕士(12人)张峥孙凯丽曾晓佳刘军姚志鹏秦亥琦齐实黄及娟文海洋王雨李楠崔双双7、数理学院(13人)田亚芳王丹贾利芬郝志奇苗清孙勇韬崔文军闫瑞芳赵雅迪张莹张瑜廖珩璐付琳8、人文与社会科学学院政教部(9人)罗维昱张睿李娉马涵慧李德贞丁芳邱瑞昕赵晓燕冻梁9、外国语学院(8人)白玉莲张晓娟熊野许琳刘珂张静谢凌云杨树青三、优秀研究生干部(244人)1、电气与电子工程学院(84人)博士(9人)杨洋李猛蔡万通袁之康郭云翔田硕李珏廖坤玉林一峰硕士(75人)吴梦凯祝艺嘉魏旭辉王海岩邵冰冰朱晨徐定康樊威成锐高涵宇杨玉瑾徐靖雯姚黎婷阴凯赵西贝刘东奇张海华张毓颖宋国省郭志锋丁琪刘晗王兆东刘诗怡王国成贠宇婷崔岩周琳赵鲲翔康龙孙吕祎张伟波肖莞王畅吴界辰杨佳艺石城胡浩李校莹范宁宁王思涵王婉君张晗耿坤龙李世豪朱宗旺张子豪张迪王晟张首魁程云帆司梦李晓晗袁柳杨邹兰青田彦鹏王瑞杰任赟罗娅刘畅杨嘉楠苏洪玉张继阳石冰珂王峥烨丁慧龙张硕李冰田浩庞东泽刘昶刘阳李忠禹钦高唯王炜2、能源动力与机械工程学院(46人)博士(6人)王伟佳黄显威刘伟龙徐婧胡亮耿直硕士(40人)郑清清马腾袁荔翟鹏程张靖彭向锋常乔磊徐鸿飞张景胤陈浩和圣杰蔡悠然齐心林兰兰董永星贾明祥刘亦芳矫延林高远白雪亮余志文丁一蔡顺凯王尧何源常浩李玉章王永智邓攀登施烨张果孙莹陈颖徐晓星魏惠春罗方正刘洋常蓓华东旭张建杰3、控制与计算机工程学院(36人)博士(3人)董蕊芳王耀函洪烽硕士(33人)张蜜蜜刘广旭马菁泽卢陈越曾帅桑金嵩郑可轲曾志勇韩梅张琦韩博周辉于彬邱日轩姜婷周磊月冯静菊赵明乾张竞予孙长浩吴梦华曹柳青孙建建苏晴牟犇郭俊霖秦正鹏张美玲刘红李岩王小雨张光明孙熙4、经济与管理学院(34人)博士(5人)鞠立伟许浒罗开颜宋宗耘王玉玮硕士(29人)刘素蔚贺东元纵翔宇熊媛媛闫振丁艳许克毛春宇彭道鑫闫风光张超高冰董琦齐宏斌马原杨蕙嘉王媛朱国栋焦杰李冉徐铭浩崔丹邓凤娟张为荣林志莉刘晓鹏马营王玲敖锦5、可再生能源学院(19人)博士(3人)张培俞洪杰蒋晓燕硕士(16人)王超延平牛兵兵顾培根傅玉彭燕祥初文婷兰学娜董洁张浩戚风亮李秋翔胡哲孙莹何文栋苏琳6、核科学与工程学院(6人)硕士(6人)郑君萧王聪李宗洋陈伟王雨付云7、数理学院(7人)硕士(7人)孙勇韬崔文军张莹田艳姣王俊超张星张佳丽8、人文与社会科学学院政教部(6人)硕士(6人)马涵慧张晶丛丹冻梁谢益桂孙逢倩9、外国语学院(6人)硕士(6人)陈森亚熊野杭泽波谢凌云徐娜赵小雪四、先进班集体(19个)研电1506班研电1406班研电1403班研电1510班研电1508班研动1413班研动1514班研动1515班研控计1426班研控计1523班研经管1421班研核1534班研经管1527班研经管1528班研数理1535班研英1538班研可再生1531班研可再生1436班研人文1537班保定校区一、优秀研究生标兵(17人)岳贤龙程华新曹大卫孙永健徐国智庞永超黄星智周沛杨硕王勇李天琦刘薇魏炜焦键段思宁张木柳王迪二、优秀研究生(239 人)1、电力系(63人)肖志恒郭永明华瑞浩高静王月茹李永彬李浪张立娜王涛郭旭东程亮亮於慧敏关大伟胡志亮王桂哲郑璐温云沈亮印李长元朱静张宁翟晨曦于立杰佟子娟狄开丽张津黄河王壮华征朱锦山靳哲夏曼焦洁孙聪薛伏申孙彦萍殷加玞李康平绳菲菲周立栋靳伟佳王琛易琛王星海林浩凡陈旭王雪莹李忠徽钟平胡兰青苏亚慧任洁王子睿张莹杨怡然韩鹏飞尹胜利严思齐洪千里刘晋维邢东霞金绘民袁森2、电子系(21人)毛训周生平薛凯夫郝聪慧马真张华乐范丽敏宋天慧方子希王光陛王明苏思岚赵百捷张恩杰孙海波赵令令范晓晴张敏敏孟格格刘薇胡启杨3、动力系(37人)刘琰杨颖张士兵茅天智海云龙李金岗张晨谷兵李永康陈健阳孙立巍赵豫晋尹立冰韩健张岩艾书剑徐搏超肖坤玉马明皓祁超张楠苑一鸣仲凯李丹杨少东张垚鹏马梦祥赵若丞丁艺陈天张宁蒋衍祝燕赵砣杨浩楠郭保仓薛清元4、法政系(含政教部)(5人)高鹏飞贾巾月梁博通李晴刘静娴5、环境学院(15人)王佳男杨晓丹刘明珠张立男徐冰漪纪妍陆义海晏雅婧王弯弯高然曾祥超刘建芝温佳琪吴晶晶穆曼6、机械系(16人)高雪媛邓玮琪卢文博吴鹏李文浩李红梅孙立江马一丹曹雨薇赵晓迪崔婧韩春雨库巍赵东雷李帅卢艺7、计算机系(21人)李紫君潘振福龚亚强赵江曼许静姚陶郝姜伟董景涛马泉泉焦亚菲杨明晓赵乙桥赵晓伟张鹏于长海刘园园张子薇邢芮毕营帅刘少伟刘慧琳8、经管系(23人)徐燕锋刘默涵刘彦君葛小杰白璐张二女牛静杰张梓原姜媛田月怡彭晨阳孙静怡张咪张岩李悦张建秦聪赵小翠李昂张航王佳伟张微郭佳慧9、数理系(4人)康绍岳李姚洁宋金建陶齐勇10、英语系(5人)敖馨和李际星李姗姗张效梅张喻11、自动化系(29人)吴延群刘金龙靳昊凡杨磊李雪曾华清谢碧霞吕金花赵海龙袁一丁张钦杨光王立国刘家宝李丹华宋凯兵杨金彭王艳飞闫萧王鹏飞邸帅徐东东苑召雄何宗源吕猛李珂邬峰罗磊吴家佳三、优秀研究生干部(141人)1、电力系(39人)肖志恒王慧娟郭学成陈群杰王羽凝杜冰心关大伟康文强王佳裕董沛毅郑洁杨喆明董晨晨史孟焦洁刘畅何梦媛王雪莹任洁王子睿高兆谢志新曹轩岳贤龙张佳怡蒋晨阳于聪夏曼严逍孙玉晶梁宵翟晨曦徐樊浩袁贺杨海悦刘辉海张文彦严思齐乔林思杭2、电子系(11人)张卫华贾少栓杨俊李文敬李建超程航姚亚青郑冰李娜陈青钦李佳3、动力系(23人)艾书剑徐搏超肖坤玉郭永成于文圣张俊强付晓俊张雪梅周沛马明皓张楠史浩莹武旭阳张玉波张永昇杜斌孟岩石宇周博滔许鸿胜许文良郭保仓王壮4、法政系(含政教部)(4人)林子琳陈凡羽梁博通黄思博雅5、环境学院(10人)杨硕李晓龙冯雪黄斐鹏宋健袁晓东王佳男朱思洁刘建芝张瀚之6、机械系(6人)王勇蒙玉超赵冲张秋桦马一丹赵东雷7、计算机系(9人)李紫君潘振福董景涛杨璐朱万意张鹏刘园园赵江曼李强8、经管系(19人)聂婧黄沈海刘薇范莹莹窦洪杰马延郡高亚蒙魏炜郄少媛王佳伟贾智杰田月怡刘媛媛姜媛葛小杰孙静怡王时瑶张汝佳张航9、数理系(2人)何娟娟张伟10、英语系(4人)段思宁敖馨和赵政刘彩月11、自动化系(14人)靳昊凡杨磊王立国刘家宝刘潇宋凯兵闫萧何宗源张栋刘昭麟王桐吴家佳李斯斯吴延群四、先进班集体(13个)硕电力141班硕电力145班硕电力155班硕电子142班硕动力143班硕动力153班硕环工151班硕机械151班硕计算机152班硕英语151班硕经管151班硕数理班硕自动化152班。
2011-2014华电研究生各专业录取详情
华电各专业考研初试分数线,各专业考研计划招生名额(不是实际招生名额)。
2014年华电各专业录取详情,考研(计划招生考研人数),保研(实际保研人数),录取(实际考研录取人数),最高(考研录取最高分),最低(考研录取最低分)。
2014年工科专业国家线为285,2014年初试分数和最低分数凡是285的,均表示该专业初试分数线为国家线并且接收调剂名额。
文科专业,如英语,2014初试分数和最低录取分数都是285,此时的285仅仅表示文科专业国家线,英语专业的国家线可能不是285。
表格中,人数为0,表示此年该专业没招人或保研的人数为0;分数为0表示该专业没招生。
注:本表格由“小时候可凶啦”根据研究生院公布数据整理,数据若与官方数据冲突,以官方数据为准。
请尊重作者劳动成果,转载本数据,注明“华电论坛”和“小时候可凶啦”。
工科专业A类考生国家线:2011年300,2012年290,2013年295,2014年285。
附件:2014年推免生最终名单姓名 学号 推荐单位代码推荐单位 推荐类型接收单位代码接收单位接收专业代码接收专业 备注王小康20100140001 农学院科学学位10001 北京大学071001植物学外推张碧波20100260001 农学院科学学位10003 清华大学070300化学生物学外推彭茂林20100022001 农学院科学学位10246 复旦大学071010生物化学与分子生物学外推任嫣颖20105050001 农学院科学学位10246 复旦大学071010生物化学与分子生物学外推温雪玮20100398001 农学院科学学位10335 浙江大学090401植物病理学外推荆芳20100616001 农学院科学学位10358 中国科学技术大学071000生物学外推邓力20100559001 农学院科学学位10487 华中科技大学100703生药学外推肖大恒20100010001 农学院科学学位10610 四川大学030301社会学外推毛雨20100023001 农学院科学学位10651 西南财经大学020215农业经济学外推冉晓娟20100477001 农学院科学学位80100 中科院上海生命科学研究院 071001植物学外推张滢滢20100530001 农学院科学学位80106 中科院昆明植物研究所078001药物化学外推胡梅娟20100588001 农学院科学学位80121 中科院遗传与发育生物学研究所071007遗传学外推杨超20100012001 农学院科学学位80121 中科院遗传与发育生物学研究所071007遗传学外推郭美枝20105107001 农学院科学学位80121 中科院遗传与发育研究所071008人类与动物发育生物学外推冉秀华20100097001 农学院科学学位10626 四川农业大学071010生物化学与分子生物学本硕连读张亚洲20100090001 农学院科学学位10626 四川农业大学071010生物化学与分子生物学本硕连读梅岫峰20100084001 农学院科学学位10626 四川农业大学090101作物栽培学与耕作学本硕连读赵建红20100102001 农学院科学学位10626 四川农业大学090101作物栽培学与耕作学本硕连读江谷驰弘20100083001 农学院科学学位10626 四川农业大学090101作物栽培与耕作学本硕连读严文20100100001 农学院科学学位10626 四川农业大学090102作物遗传育种本硕连读樊世军20100092001 农学院科学学位10626 四川农业大学090102作物遗传育种本硕连读钟萍20100099001 农学院科学学位10626 四川农业大学090102作物遗传育种本硕连读李雪梅20100101001 农学院科学学位10626 四川农业大学090102作物遗传育种本硕连读马从艳20100091001 农学院科学学位10626 四川农业大学090102作物遗传育种本硕连读胡博晶20100087001 农学院科学学位10626 四川农业大学090102作物遗传育种本硕连读范滔20100085001 农学院科学学位10626 四川农业大学090401植物病理学本硕连读罗丽雅20100096001 农学院科学学位10626 四川农业大学090401植物病理学本硕连读汪翠存20100197001 农学院科学学位10626 四川农业大学071001植物学许力20100232001 农学院科学学位10626 四川农业大学071010生物化学与分子生物学王强生20100190001 农学院科学学位10626 四川农业大学090101作物栽培学与耕作学张晓玲20100163001 农学院科学学位10626 四川农业大学090102作物遗传育种周丽娟20100168001 农学院科学学位10626 四川农业大学090102作物遗传育种刘梦20100343001 农学院科学学位10626 四川农业大学090102作物遗传育种毛红洁20100509001 农学院科学学位10626 四川农业大学090102作物遗传育种宗路娟20100615001 农学院科学学位10626 四川农业大学090102作物遗传育种徐远刚20100283001 农学院科学学位10626 四川农业大学0901Z2烟草学李冉20100727001 农学院科学学位10626 四川农业大学090401植物病理学胡玉婷20100462001 农学院科学学位10626 四川农业大学090401植物病理学田亚静20100417001 农学院科学学位10626 四川农业大学090402农业昆虫与害虫防治田青兰20100626001 农学院科学学位10626 四川农业大学090101作物栽培与耕作学周红20100130001 农学院科学学位10626 四川农业大学090102作物遗传育种张盼20100200001 农学院科学学位10626 四川农业大学090102作物遗传育种胡丽20100622001 农学院科学学位10626 四川农业大学090102作物遗传育种王琦20100543001 农学院科学学位10626 四川农业大学090102作物遗传育种胡小红20100439001 农学院科学学位10626 四川农业大学090401植物病理学宋苞雪20100425001 农学院科学学位10626 四川农业大学090402农业昆虫与害虫防治邹丽秋20100234001 农学院专业学位10023 北京协和医学院105003生药学外推毕晨光20100212001 农学院专业学位10335 浙江大学085238生物工程外推盛安然20100478001 农学院专业学位10422 山东大学085238生物工程外推辜新月20100532001 农学院专业学位80110 中科院成都生物研究所085235制药工程外推许丽20100098001 农学院专业学位10626 四川农业大学095101作物本硕连读罗文波20100088001 农学院专业学位10626 四川农业大学095104植物保护本硕连读刘燕承20100089001 农学院专业学位10626 四川农业大学095104植物保护本硕连读姜立慧20100093001 农学院专业学位10626 四川农业大学095104植物保护本硕连读王佳悦20100094001 农学院专业学位10626 四川农业大学095104植物保护本硕连读廖任娅20100095001 农学院专业学位10626 四川农业大学095104植物保护本硕连读李丽婷20100204001 农学院专业学位10626 四川农业大学095101作物魏碧漪20100203001 农学院专业学位10626 四川农业大学095101作物谢孟林20102920001 农学院专业学位10626 四川农业大学095101作物祝倩20101878001 农学院专业学位10626 四川农业大学095101作物廖雪如20100303001 农学院专业学位10626 四川农业大学095101作物曹鑫20100623001 农学院专业学位10626 四川农业大学095101作物田静20104699001 农学院专业学位10626 四川农业大学095101作物胡文俐20100339001 农学院专业学位10626 四川农业大学095104植物保护刘瑶20100423001 农学院专业学位10626 四川农业大学095104植物保护王瑶20100365001 农学院专业学位10626 四川农业大学095104植物保护李培20100007001 农学院专业学位10626 四川农业大学095110农村与区域发展王顺祥20100062001 农学院专业学位10626 四川农业大学095110农村与区域发展周媛20100029001 农学院专业学位10626 四川农业大学095110农村与区域发展唐刻意20100903002 动物科技学院科学学位10335 浙江大学071012生态学外推李攀峰20100630002 动物科技学院科学学位10335 浙江大学090202蔬菜学外推冯燕20101147002 动物科技学院科学学位10504 华中农业大学090801水产养殖外推景亚玲20100802002 动物科技学院科学学位10610 四川大学071007遗传学外推韩建明20103226002 动物科技学院科学学位80100 中科院上海生命科学研究院071008发育生物学外推杨利霞20100829002 动物科技学院科学学位80110 中科院成都生物研究所078001药物化学外推陈卫军20101125002 动物科技学院科学学位80119 中科院水生生物研究所090801水产养殖外推柴捷20100902002 动物科技学院科学学位10626 四川农业大学090501动物遗传育种与繁殖本硕连读李仲玄20100917002 动物科技学院科学学位10626 四川农业大学090501动物营养与饲料科学本硕连读熊祥平20100904002 动物科技学院科学学位10626 四川农业大学090501动物遗传育种与繁殖本硕连读张宁宁20100914002 动物科技学院科学学位10626 四川农业大学090501动物遗传育种与繁殖本硕连读廖乾哲20100910002 动物科技学院科学学位10626 四川农业大学090501动物遗传育种与繁殖本硕连读刘淑君20100915002 动物科技学院科学学位10626 四川农业大学090501动物遗传育种与繁殖本硕连读陈力20107267002 动物科技学院科学学位10626 四川农业大学090501动物遗传育种与繁殖本硕连读杨雅茹20100918002 动物科技学院科学学位10626 四川农业大学090501动物遗传育种与繁殖本硕连读舒燕20100916002 动物科技学院科学学位10626 四川农业大学090502动物营养与饲料科学本硕连读钟和局20100911002 动物科技学院科学学位10626 四川农业大学090502动物营养与饲料科学本硕连读刘虹20100920002 动物科技学院科学学位10626 四川农业大学090502动物营养与饲料科学本硕连读张灿20100908002 动物科技学院科学学位10626 四川农业大学090502动物营养与饲料科学本硕连读陈韵梅20100731002 动物科技学院科学学位10626 四川农业大学071002动物学兰宇豪20105643002 动物科技学院科学学位10626 四川农业大学071007遗传学邓克莉20102990002 动物科技学院科学学位10626 四川农业大学0901Z1药用植物学苏园20100862002 动物科技学院科学学位10626 四川农业大学090501动物遗传育种与繁殖王鹏俊20101154002 动物科技学院科学学位10626 四川农业大学090501动物遗传育种与繁殖巫小倩20100865002 动物科技学院科学学位10626 四川农业大学090501动物遗传育种与繁殖熊代琴20100835002 动物科技学院科学学位10626 四川农业大学090501动物遗传育种与繁殖马盼20101086002 动物科技学院科学学位10626 四川农业大学090502动物营养与饲料科学郑欣20101025002 动物科技学院科学学位10626 四川农业大学090502动物营养与饲料科学严海东20100679002 动物科技学院科学学位10626 四川农业大学090900草学龙芸20101190002 动物科技学院科学学位10626 四川农业大学090102作物遗传育种曾艳20100798002 动物科技学院科学学位10626 四川农业大学 090501动物遗传育种与繁殖苏玥宁20101004002 动物科技学院科学学位10626 四川农业大学 090801水产养殖蒋登湖20100813002 动物科技学院专业学位10335 浙江大学095105养殖外推贾海康20100901002 动物科技学院专业学位10626 四川农业大学095105养殖本硕连读陈航20100906002 动物科技学院专业学位10626 四川农业大学095105养殖本硕连读叶子巧婧20100913002 动物科技学院专业学位10626 四川农业大学095105养殖本硕连读颜川20100905002 动物科技学院专业学位10626 四川农业大学095105养殖本硕连读李耀辉20100907002 动物科技学院专业学位10626 四川农业大学095105养殖本硕连读丁琳20100867002 动物科技学院专业学位10626 四川农业大学095105养殖王宇豪20100880002 动物科技学院专业学位10626 四川农业大学095105养殖尹华俊20100786002 动物科技学院专业学位10626 四川农业大学095105养殖张扬20100751002 动物科技学院专业学位10626 四川农业大学095105养殖郭丽娟20100684002 动物科技学院专业学位10626 四川农业大学095106草业刘欢20100666002 动物科技学院专业学位10626 四川农业大学095106草业范玉蕾20101120002 动物科技学院专业学位10626 四川农业大学095200兽医杨丽珠20101062002 动物科技学院专业学位10626 四川农业大学095200兽医赵一霞20101458003 动物医学院科学学位10023 北京协和医学院071010生物化学与分子生物学外推盛杨20101453003 动物医学院科学学位10284 南京大学071007遗传学外推冉蓓20101720003 动物医学院科学学位10610 四川大学100702药剂学外推寸兴利20101611003 动物医学院科学学位10610 四川大学100702药剂学外推李丹丹20101719003 动物医学院科学学位10610 四川大学100706药理外推陈泽慧20101457003 动物医学院科学学位80103 中科院动物研究所071300生态学外推张燕20101304003 动物医学院科学学位10626 四川农业大学090601基础兽医学本硕连读胡志强20101294003 动物医学院科学学位10626 四川农业大学090601基础兽医学本硕连读周浩20101296003 动物医学院科学学位10626 四川农业大学090602预防兽医学本硕连读李亚青20101301003 动物医学院科学学位10626 四川农业大学090602预防兽医学本硕连读周鹏20101298003 动物医学院科学学位10626 四川农业大学090602预防兽医学本硕连读文彩芳20101312003 动物医学院科学学位10626 四川农业大学090602预防兽医学本硕连读周梦佳20101303003 动物医学院科学学位10626 四川农业大学090602预防兽医学本硕连读许凯迪20101310003 动物医学院科学学位10626 四川农业大学090602预防兽医学本硕连读黄霞20101306003 动物医学院科学学位10626 四川农业大学090602预防兽医学本硕连读谢娜20101302003 动物医学院科学学位10626 四川农业大学090603临床兽医学本硕连读梁珍20101308003 动物医学院科学学位10626 四川农业大学090603临床兽医学本硕连读高飞20101563003 动物医学院科学学位10626 四川农业大学071010生物化学与分子生物学蒋洁20101585003 动物医学院科学学位10626 四川农业大学090601基础兽医学夏玉20101334003 动物医学院科学学位10626 四川农业大学090601基础兽医学刘梦喜20101742003 动物医学院科学学位10626 四川农业大学090601基础兽医学荣茜20106664003 动物医学院科学学位10626 四川农业大学090601基础兽医学秦红霞20101622003 动物医学院科学学位10626 四川农业大学090601基础兽医学李萍20106534003 动物医学院科学学位10626 四川农业大学090602预防兽医学刘静20101232003 动物医学院科学学位10626 四川农业大学090602预防兽医学肖璐20101284003 动物医学院科学学位10626 四川农业大学090602预防兽医学邹芙沁20101218003 动物医学院科学学位10626 四川农业大学090602预防兽医学曹玉琴20101646003 动物医学院科学学位10626 四川农业大学090602预防兽医学何肖20101465003 动物医学院科学学位10626 四川农业大学090602预防兽医学江一帆20101406003 动物医学院科学学位10626 四川农业大学090602预防兽医学税芸20108646003 动物医学院科学学位10626 四川农业大学090602预防兽医学原慧20101354003 动物医学院科学学位10626 四川农业大学090602预防兽医学王寒20101456003 动物医学院科学学位10626 四川农业大学090603临床兽医学王正义20101469003 动物医学院科学学位10626 四川农业大学090603临床兽医学邓惠丹20101425003 动物医学院科学学位10626 四川农业大学090601基础兽医学费文波20101736003 动物医学院科学学位10626 四川农业大学090601基础兽医赵思琦20101211003 动物医学院科学学位10626 四川农业大学090602预防兽医学代科20101706003 动物医学院科学学位10626 四川农业大学090602预防兽医学徐璟20101459003 动物医学院科学学位10626 四川农业大学090602预防兽医学姜宏泽20101441003 动物医学院科学学位10626 四川农业大学090602预防兽医学邱春红20101548003 动物医学院专业学位10358 中国科学技术大学085238生物工程外推蒲云丹20101311003 动物医学院专业学位10626 四川农业大学095200兽医硕士本硕连读徐敬钧20101309003 动物医学院专业学位10626 四川农业大学095200兽医硕士本硕连读牙侯勋20101299003 动物医学院专业学位10626 四川农业大学095200兽医硕士本硕连读崔佳琪20101300003 动物医学院专业学位10626 四川农业大学095200兽医硕士本硕连读杨丽红20101305003 动物医学院专业学位10626 四川农业大学095200兽医硕士本硕连读宋星桔20101307003 动物医学院专业学位10626 四川农业大学095200兽医硕士本硕连读袁贵强20101297003 动物医学院专业学位10626 四川农业大学095200兽医硕士本硕连读简克灵20101213003 动物医学院专业学位10626 四川农业大学095200兽医王波20106013003 动物医学院专业学位10626 四川农业大学095200兽医魏娜20101239003 动物医学院专业学位10626 四川农业大学095200兽医罗雅莉20101509003 动物医学院专业学位10626 四川农业大学095200兽医闫冰20101578003 动物医学院专业学位10626 四川农业大学095200兽医陈杰20101669003 动物医学院专业学位10626 四川农业大学095200兽医邓佳佳20101337003 动物医学院专业学位10626 四川农业大学095200兽医杨丹20101468003 动物医学院专业学位10626 四川农业大学095200兽医杨嫱20101331003 动物医学院专业学位10626 四川农业大学095200兽医赵珊20101122003 动物医学院专业学位10626 四川农业大学095200兽医张玉婷20101721003 动物医学院专业学位10626 四川农业大学095200兽医周迅20101658003 动物医学院专业学位10626 四川农业大学095200兽医赵谨20101603003 动物医学院专业学位10626 四川农业大学095200兽医李月萍20103805004 林学院科学学位10225 东北林业大学082902木材科学与技术外推胡文刚20101925004 林学院科学学位10298 南京林业大学0829Z1家具设计与工程外推李慧敏20101942004 林学院科学学位10298 南京林业大学0829Z1家具设计与工程外推蔡新莉20100737004 林学院科学学位80107 中科院华南植物园071300生态学外推陈珊珊20102207004 林学院科学学位80110 中科院城市环境研究所071300生态学外推全孝飞20102046004 林学院科学学位80126 中科院南京土壤研究所090301土壤学外推李俊20101767004 林学院科学学位10626 四川农业大学071300生态学本硕连读朱玲俐20101779004 林学院科学学位10626 四川农业大学090701林木遗传育种本硕连读黄金亮20101763004 林学院科学学位10626 四川农业大学090702森林培育本硕连读刘思泽20101765004 林学院科学学位10626 四川农业大学090702森林培育本硕连读刘华20101768004 林学院科学学位10626 四川农业大学090702森林培育本硕连读韩东苗20101770004 林学院科学学位10626 四川农业大学090702森林培育本硕连读蒋雪20101775004 林学院科学学位10626 四川农业大学090702森林培育本硕连读付杨20101772004 林学院科学学位10626 四川农业大学090703森林保护学本硕连读彭艳20101777004 林学院科学学位10626 四川农业大学090703森林保护学本硕连读秦琼20101780004 林学院科学学位10626 四川农业大学090703森林保护学本硕连读崔亚潇20101771004 林学院科学学位10626 四川农业大学090707水土保持与荒漠化防治本硕连读郭海艳20102075004 林学院科学学位10626 四川农业大学083001环境科学陈琦20101502004 林学院科学学位10626 四川农业大学090702森林培育陈思敏20101919004 林学院科学学位10626 四川农业大学090702森林培育李祥民20105431004 林学院科学学位10626 四川农业大学090702森林培育罗杰20101849004 林学院科学学位10626 四川农业大学090702森林培育朱晓庆20101809004 林学院科学学位10626 四川农业大学090703森林保护学王淋敏20102180004 林学院科学学位10626 四川农业大学090703森林保护学符饶20101874004 林学院科学学位10626 四川农业大学090704森林经理学余先静20102206004 林学院科学学位10626 四川农业大学090704森林经理学何瑞20102239004 林学院科学学位10626 四川农业大学090302森林培育学王平20101761004 林学院专业学位10626 四川农业大学095400林业硕士本硕连读王珂20101762004 林学院专业学位10626 四川农业大学095400林业硕士本硕连读吴富雨20101766004 林学院专业学位10626 四川农业大学095400林业硕士本硕连读李元会20101769004 林学院专业学位10626 四川农业大学095400林业硕士本硕连读张逍一20101773004 林学院专业学位10626 四川农业大学095400林业硕士本硕连读贺婷婷20101774004 林学院专业学位10626 四川农业大学095400林业硕士本硕连读曾念念20101776004 林学院专业学位10626 四川农业大学095400林业硕士本硕连读郭丽娜20101778004 林学院专业学位10626 四川农业大学095400林业硕士本硕连读刘敏20101916004 林学院专业学位10626 四川农业大学095400林业卢丹20102254004 林学院专业学位10626 四川农业大学095400林业张如义20101859004 林学院专业学位10626 四川农业大学095400林业赵雪娇20101807004 林学院专业学位10626 四川农业大学095400林业刘小辉20102200004 林学院专业学位10626 四川农业大学095400林业蒲远凤20102215004 林学院专业学位10626 四川农业大学095400林业舒奕嘉20102202004 林学院专业学位10626 四川农业大学095400林业李静苑20102067004 林学院专业学位10626 四川农业大学095400林业向娟20102886005 园艺学院科学学位10019 中国农业大学090201果树学外推聂颖20102590005 园艺学院科学学位10335 浙江大学090203茶学外推周盈20102549005 园艺学院科学学位10335 浙江大学090203茶学外推饶玲20102637005 园艺学院科学学位10635 西南大学090202蔬菜学外推王霞20102626005 园艺学院科学学位80129 中科院水土保持与生态环境研究中心090301土壤学外推李清南20102681005 园艺学院科学学位10626 四川农业大学090201果树学本硕连读刘胤20102683005 园艺学院科学学位10626 四川农业大学090201果树学本硕连读李雁翎20102689005 园艺学院科学学位10626 四川农业大学090201果树学本硕连读曹淑燕20102690005 园艺学院科学学位10626 四川农业大学090201果树学本硕连读龚艳箐20102694005 园艺学院科学学位10626 四川农业大学090201果树学本硕连读彭小芮20102697005 园艺学院科学学位10626 四川农业大学090201果树学本硕连读吴宛玲20102698005 园艺学院科学学位10626 四川农业大学090201果树学本硕连读汪湖20102687005 园艺学院科学学位10626 四川农业大学090202蔬菜学本硕连读兰雨婷20102691005 园艺学院科学学位10626 四川农业大学090202蔬菜学本硕连读谢晓红20102692005 园艺学院科学学位10626 四川农业大学090202蔬菜学本硕连读邱爽20102695005 园艺学院科学学位10626 四川农业大学090202蔬菜学本硕连读陆涵20102777005 园艺学院科学学位10626 四川农业大学090201果树学宋霞20102882005 园艺学院科学学位10626 四川农业大学090201果树学王娟20102912005 园艺学院科学学位10626 四川农业大学090201果树学刘均20102919005 园艺学院科学学位10626 四川农业大学090201果树学李莎20102713005 园艺学院科学学位10626 四川农业大学090202蔬菜学付雪莲20102511005 园艺学院科学学位10626 四川农业大学090203茶学王馨语20102489005 园艺学院科学学位10626 四川农业大学090203茶学毛箐20102917005 园艺学院科学学位10626 四川农业大学090201果树学林夏20102680005 园艺学院专业学位10626 四川农业大学095102园艺本硕连读左楷20102682005 园艺学院专业学位10626 四川农业大学095102园艺本硕连读易长江20102685005 园艺学院专业学位10626 四川农业大学095102园艺本硕连读李康宁20102686005 园艺学院专业学位10626 四川农业大学095102园艺本硕连读邢玉良20102688005 园艺学院专业学位10626 四川农业大学095102园艺本硕连读范鸿鹏20102696005 园艺学院专业学位10626 四川农业大学095102园艺本硕连读成凯20102898005 园艺学院专业学位10626 四川农业大学095102园艺林玲20102778005 园艺学院专业学位10626 四川农业大学095102园艺吕玲玉20102923005 园艺学院专业学位10626 四川农业大学095102园艺蒋丹20102441005 园艺学院专业学位10626 四川农业大学095102园艺龙秀丰20102559005 园艺学院专业学位10626 四川农业大学095102园艺聂枞宁20102462005 园艺学院专业学位10626 四川农业大学095102园艺晏秀梅20102585005 园艺学院专业学位10626 四川农业大学095102园艺吴淳荩20102670005 园艺学院专业学位10626 四川农业大学095102园艺张津20102558006 经济管理学院科学学位10019 中国人民大学120301农业经济管理外推孙奇琦20103028006 经济管理学院科学学位10610 四川大学020101政治经济学外推罗媛媛20103542006 经济管理学院科学学位10613 西南交通大学120400公共管理外推赵梓涵20103339006 经济管理学院科学学位10651 西南财经大学020204金融学外推母舜20103557006 经济管理学院科学学位10651 西南财经大学020204金融学外推韦闻佳20103621006 经济管理学院科学学位10651 西南财经大学020204金融学外推黄晶20103240006 经济管理学院科学学位10651 西南财经大学020206国际贸易学外推彭丝露20103237006 经济管理学院科学学位10651 西南财经大学0202Z6税收学外推简玮20102962006 经济管理学院科学学位10651 西南财经大学120201会计学外推张宣建20103100006 经济管理学院科学学位10651 西南财经大学1202Z6财务管理外推屠滨20103474006 经济管理学院科学学位10626 四川农业大学120204技术经济及管理本硕连读吴震煌20103470006 经济管理学院科学学位10626 四川农业大学120301农业经济管理本硕连读赵雯宇20103478006 经济管理学院科学学位10626 四川农业大学120301农业经济管理本硕连读王维信20103479006 经济管理学院科学学位10626 四川农业大学120301农业经济管理本硕连读陈茜20103481006 经济管理学院科学学位10626 四川农业大学120301农业经济管理本硕连读吴晓婷20103483006 经济管理学院科学学位10626 四川农业大学120301农业经济管理本硕连读唐淑一20103484006 经济管理学院科学学位10626 四川农业大学120301农业经济管理本硕连读黄幸20103487006 经济管理学院科学学位10626 四川农业大学120301农业经济管理本硕连读陈显波20103473006 经济管理学院科学学位10626 四川农业大学120302林业经济管理本硕连读付通文20103480006 经济管理学院科学学位10626 四川农业大学1203Z1农村金融本硕连读夏丽20103485006 经济管理学院科学学位10626 四川农业大学1203Z1农村金融本硕连读宋倩20103477006 经济管理学院科学学位10626 四川农业大学120405土地资源管理本硕连读喻世凤20103486006 经济管理学院科学学位10626 四川农业大学120405土地资源管理本硕连读张沥文20103391006 经济管理学院科学学位10626 四川农业大学020205产业经济学邓肖丹20108087006 经济管理学院科学学位10626 四川农业大学020205产业经济学王艳君20103275006 经济管理学院科学学位10626 四川农业大学020205产业经济学张宽20108122006 经济管理学院科学学位10626 四川农业大学020205产业经济学汪琦玲20103398006 经济管理学院科学学位10626 四川农业大学020205产业经济学王才金20103341006 经济管理学院科学学位10626 四川农业大学020205产业经济学杨覃20103429006 经济管理学院科学学位10626 四川农业大学120204技术经济及管理廖芮20103307006 经济管理学院科学学位10626 四川农业大学120204技术经济及管理罗云耀20103140006 经济管理学院科学学位10626 四川农业大学120204技术经济及管理齐贝贝20103152006 经济管理学院科学学位10626 四川农业大学120204技术经济及管理何晓朦20102948006 经济管理学院科学学位10626 四川农业大学120204技术经济及管理彭肖肖20103078006 经济管理学院科学学位10626 四川农业大学120204技术经济及管理杨龙燕20103091006 经济管理学院科学学位10626 四川农业大学120204技术经济及管理刘杰20103578006 经济管理学院科学学位10626 四川农业大学120204技术经济及管理卢冲20103439006 经济管理学院科学学位10626 四川农业大学120301农业经济管理王淦20103267006 经济管理学院科学学位10626 四川农业大学120301农业经济管理杨文婷20103695006 经济管理学院科学学位10626 四川农业大学120301农业经济管理汪君20105991006 经济管理学院科学学位10626 四川农业大学120301农业经济管理杨程20103463006 经济管理学院科学学位10626 四川农业大学1203Z1农村金融李丹华20103371006 经济管理学院科学学位10626 四川农业大学1203Z1农村金融刘珍20103400006 经济管理学院科学学位10626 四川农业大学1203Z1农村金融张彼西20103387006 经济管理学院科学学位10626 四川农业大学1203Z1农村金融邓卉20102964006 经济管理学院科学学位10626 四川农业大学1203Z1农村金融符巍兰20103041006 经济管理学院科学学位10626 四川农业大学1203Z1农村金融。
专家介绍1. 毕天姝,华北电力大学电气与电子工程学院教授,博士生导师,新能源电力系统国家重点实验室常务副主任,大学第四届学位评定委员会委员;兼任IEEE 高级会员,CIGRE B5.48工作组召集人、B5.40, B5.43工作组成员,Institute for Critical Infrastructures (CRIS)执行委员会委员,IET Renewable Power Generation Journal、International Journal on Power System Optimization、《电力系统保护与控制》、《电力系统及其自动化学报》编委会委员。
毕天姝教授长期从事电力系统保护与控制、广域同步相量测量技术及应用,故障诊断等方面的研究。
2005年入选教育部新世纪优秀人才,2012年获国家自然科学基金首届优秀青年科学基金资助,是国家“十三五”能源领域战略研究专家组成员。
近5年,主持国家973课题1项、863重大项目课题1项、自然科学基金重大国际合作项目1项等;作为项目组核心成员参加了国家自然科学基金重点项目、教育部长江学者及创新团队计划、高等学科创新引智计划(“111”计划)项目等;主持或参加横向项目20余项。
获省部级科技进步二等奖4项,三等奖2项。
授权国家发明专利9项;在国内外权威学术期刊与国际会议上发表SCI、EI收录学术论文80余篇,并且1篇论文获“第六届(2008年)中国科协期刊优秀学术论文二等奖”,1篇论文获首届《中国电机工程学报》百篇杰出学术论文称号。
2. 王飞,男,汉族,1973年8月出生,河北保定人,华北电力大学电力系统及其自动化专业工学博士(导师:杨奇逊、米增强教授),清华大学电机系博士后(合作导师:孙宏斌教授),华北电力大学电力工程系副教授,IEEE会员、中国电机工程学会会员,《中国电机工程学报》、《电力系统自动化》、《电工技术学报》、《太阳能学报》、《IET Generation, Transmission & Distribution》、《IET Renewable Power Generation》、《Energies》等国内、国际重要学术期刊特约审稿人,曾担任多个国际学术会议技术委员会成员与分会主席,主要从事光伏发电功率预测、电压无功协调优化、负荷预测与特性分析、智能电网能量管理与运行控制等方面的研究与教学工作。
中国社会科学院研究生院2014年MBA拟录取名单中国传媒大学2014MBA拟录取情况北京邮电大学2014MBA拟录取情况上海外国语大学2014年MBA拟录取结果天津师范大学2014MBA第一批录取公示2014年重庆理工大学MBA拟录取名单(第一批)重庆工商大学2014年mba拟录取情况太原理工大学2014年MBA硕士研究生拟录取名单公示青岛科技大学2014年MBA硕士研究生拟录取名单公示中国地质大学武汉2014年MBA硕士研究生拟录取情况汕头大学2014年MBA、MPA拟录取名单情况华南师范大学2014年工商管理硕士(MBA)研究生拟录取青岛科技大学2014年MBA硕士研究生拟录取情况2014年长江大学MBA拟录取情况湖北工业大学MBA拟录取情况湖南农业大学MBA/MPA拟录取情况长沙理工大学2014年mba招收硕士研究生拟录取情况南昌大学2014mba、mpa拟录取情况汇总江西师范大学MBA、MPA拟录取人数情况陕西师范大学2014年MBA拟录取考生公示名单2014年西安工业大学MBA硕士研究生拟录取情况西安电子科技大学2014年国家双证MBA录取情况西南石油大学MBA教育中心2014年硕士研究生拟录取电子科技大学2014年MBA拟录取人数四川师范大学2014MBA拟录取人数统计西南科技大学2014年MBA拟录取人数兰州商学院2014MBA硕士拟录取人数统计新疆石河子大学2014年mba研究生拟录取内蒙古工业大学2014年mba研究生拟录取海南大学2014年MBA、MPA拟录取名单公示云南师范大学2014年MBA硕士研究生拟录取情况昆明理工大学2014年MBA硕士研究生拟录取名单2014云南大学MBA硕士拟录取人数统计2014年南开大学工程管理硕士(MEM)复试拟录取情况南开大学商学院2014年MBA招生拟录人数天津商业大学MBA2014年拟录取统计复旦大学2014年MBA拟录取人数统计情况北京理工大学2014年工商管理硕士(MBA)拟录取情况北京交通大学2014年MBA拟录取名单公示北京航空航天大学2014年MBA拟录取情况北方工业大学2014年MBA硕士研究生招生拟录北京工商大学2014年MBA拟录取人数2014中央财经大学MPA硕士拟录取人数统计2014中央财经大学MBA硕士拟录取人数统计北京建筑大学2014MBA拟录取人数首都经济贸易大学2014MBA、MPA拟录取人数北京第二外国语学院2014年MBA硕士拟录取人数中国农业大学2014年MBA硕士研究生拟录取情况北京化工大学2014年MBA硕士研究生拟录取情况2014年中央民族大学-MBA、MPA生拟录取统计北京师范大学社会发展与公共政策学院MPA2014拟录取情况北京师范大学政府管理学院2014年MPA拟录取统计北京师范大学大学2014年MBA硕士研究生拟录取统计中国政法大学2014年MBA硕士研究生拟录取统计中国政法大学2014年MPA硕士研究生拟录取统计华东理工大学2014年公共管理硕士(MPA)拟录取情况上海海事大学-2014MBA拟录取人数统计东华大学-2014MBA拟录取人数统计华东师范大学-2014MBA拟录取人数统计华东师范大学2014MPA硕士研究生录取人数上海对外经贸大学2014年MBA硕士研究生拟录取情况重庆师范大学2014年MBA拟录取情况深圳大学2014年MBA硕士研究生拟录取统计深圳大学2014年MPA硕士研究生拟录取统计中山大学2014年MBA硕士研究生拟录取统计中山大学2014年MPA硕士研究生拟录取统计2014广东财经大学MBA拟录取情况2014华南理工大学MBA拟录取情况2014广东工业大学工商管理(MBA)拟录取情况2014福建农林大学MBA、MPA硕士拟录取情况2014福州大学工商管理(MBA)拟录取情况华侨大学2014年MBA(公商管理硕士)拟录取情况华侨大学2014年MPA(公共管理硕士)拟录取情况南京师范大学2014年MBA研究生首批拟录取情况南京师范大学2014年MPA(公共管理硕士)拟录取情况2014年中国矿业大学硕士研究-MBA、MPA生拟录取统计江苏科技大学2014年MBA硕士研究生拟录取统计东南大学2014年MBA、MPA硕士研究生拟录取统计南京邮电大学管理学院2014年MBA拟录取人数浙扬州大学2014秋MBA/MPA拟录取名人数统计南京工业大学2014年工商管理硕士拟录取名单公示南京财经大学2014年工商管理硕士拟录取名单公示南京林业大学2014年MBA秋季班拟录取情况江南大学2014年MBA秋季班拟录取情况宁波大学2014年MPA(公共管理硕士)拟录取情况宁波大学2014年MBA(工商管理硕士)拟录取情况浙江师范大学2014秋MBA/MPA拟录取名人数统计浙江工业大学2014秋MBA拟录取名人数统计2014年河北工程大学mba硕士研究生拟录取人数整理2014年河北科技大学A硕士研究生拟录取人数整理河北工业2014年MBA硕士研究生拟录取人数整理石家庄铁道大学2014年MBA拟录取情况2014河北经济贸易大学MBA拟录取人数整理2014年河南郑州大学MBA拟录取情况2014年河南理工大学MBA拟录取情况2014年河南工业大学MBA拟录取情况2014年河南科技大学MBA拟录取情况山西财经2014年MBA/MPA拟录取人数统计青岛学2014年MPA硕士研究生拟录取情况青岛学2014年MBA硕士研究生拟录取情况2014年山东理工大学MBA拟录取情况2014年山东大学MBA拟录取名单武汉大学2014年MBA“求是”项目拟录取人员情况武汉大学2014年MBA招生“弘毅”项目拟录取情况华中科技大学MBA2014年拟录取人数情况2014武汉科技大学MPA双证拟录取情况2014武汉科技大学MBA双证拟录取情况2014武汉科技大学MBA双证拟录取情况2014武汉理工大学MBA双证拟录取情况2014中南财经政法大学MPA双证拟录取情况2014年华中师范大学MBA拟录取人数情况2014年华中师范大学MPA拟录取人数情况武汉工程大学2014年MBA硕士研究生拟录取情况湖南师范大学2014年MBA拟录取人数统计湖南师范大学2014年MPA拟录取人数统计南华大学2014年MBA硕士研究生拟录取湘潭大学2014年公共管理学院(MPA)拟录取情况安徽大学2014MBA/MPA研究生拟录取情况中国科大管理学院2014秋季入学MBA拟录取名单东北师范大学2014年MBA拟录取考生情况吉林大学2014公共管理MPA硕士拟录取人数统计吉林大学2014年工商管理硕士(MBA)拟录取黑龙江大学2014年MBA/MPA拟录取人数统计哈工大管理学院2014年MBA/MPA拟录取人数统计哈尔滨商业大学2014年MBA/MPA拟录取人数统计西安交通大学2014MBA拟录取人数统计西北农林科技大学2014MBA拟录取人数统计陕西科技大学2014年全国MBA拟录取名人数统计西安理工大学2014年全国MBA拟录取名人数统计西安科技大学2014年全国MBA拟录取名人数统计长安大学2014年全国MBA拟录取名人数统计西北大学2014年国家MBA全国拟录取名单西安石油大学2014年全国MBA拟录取名人数统计西北工业大学2014年全国MBA拟录取名人数统计2014年西安邮电大学MBA考生拟录取情况西南交通大学2014年MBA/MPA拟录取情况统计成都理工大学2014年MBA拟录取情况统计西南财经大学2014年MBA/MPA拟录取情况统计兰州大学2014年工商管理硕士(MBA)、MPA拟录取人数新疆财经大学2014年MBA拟录取人数统计宁夏大学大学2014年MBA拟录取情况统计广西师范大学2014年MBA/MPA拟录取情况统计桂林理工2014年工商管理硕士(MBA)拟录取统计广西大学2014年MBA硕士研究生拟录取人数桂林电子科技大学2014年MBA拟录取人数2014年北京科技大学MBA硕士研究生录取情况2014年北京科技大学MBA、MPA硕士研究生录取情况北京林业大学2014年MBA拟录取情况统计对外经济贸易大学2014年MPA拟录取情况统计对外经济贸易大学2014年MBA拟录取情况统计华北电力大学北京-2014MBA硕士拟录取人数中国地质大学(北京)2014年MBA研究生拟录取人数中国石油大学2014 MBA拟录取人数统计天津大学2014年全日制工商管理硕士(MBA)拟录取河北大学2014年研究生MBA、M[A拟录取人数2014华北电力大学保定 NBA硕士拟录取人数河北经贸大学2014年研究生MBA拟录取人数2014年辽宁大学MBA/MPA研究生拟录人数大连理工大学2014年MBA、MPA拟录取人数东北财经大学2014MBA/MPA硕士拟录取人数东北师范大学2014年MBA拟录取考生人数上海交通大学2014年MBA/MPA硕士生拟录取人数2014上海财经大学MBA拟录取人数统计上海大学2014年硕士研究生拟录取人数-MBA2014东南大学MBA、MPA拟录取人数统计南京航天航空大学2014年MBA拟录取人数2014南京理工大学MBA拟录取人数统计南京大学商学院2014年MBA硕士研究生拟录取人数苏州大学2014年mba、mpa硕士研究生录取人数南京理工经济管理学院2014年MBA硕士拟录取人数中国矿业大学徐州2014年MBA硕士研究生拟录取人数河海大学2014年秋季工商管理硕士(MBA)拟录取人数江苏大学2014年秋季工商管理硕士(MBA)拟录取名单公示2014年南京农业大学MBA硕士拟录人数统计浙江大学2014MBA招生拟录取名单人数统计杭州电子科技大学2014年mba硕士研究生拟录取人数2014浙江工商大学硕士研究生MBA拟录取人数浙江财经大学MBA学院 2014年MBA招生拟录取人数安徽财经大学2014年MBA秋季双证拟录取人数合肥工业大学MBA MPA管理中心 2014拟录取人数统计安徽工业大学2014年MBA研究生拟录取人数2014年厦门大学公共管理硕士(MPA)拟录取人数2014年厦门大学工商管理硕士(MBA)拟录取人数中国石油大学(华东)2014年mba硕士拟录取人数山东农业大学2014年MBA、mpa拟录取人数山东财经2014年mba研究生入学考试拟录取人数河南大学2014年MBA、MPA拟录取名单人数整理河南财经政法大学2014年MBA拟录取人数。
华北电力大学2014年专业型硕士研究生招生专业目录领域代码、名称及研究方向招生人数考试科目001电气与电子工程学院157 085207电气工程11701. 电机及其系统分析与监控02. 电力系统分析与控制03. 电力系统保护与安全控制04. 先进输电技术05. 新能源发电与智能电网06. 高电压与绝缘技术07. 电力电子技术及其应用08. 电力经济09. 电力工程管理10. 电力信息与通信技术1 101思想政治理论2 201英语一3 301数学一4 811电力系统分析基础085208电子与通信工程4001. 通信网支撑技术02. 光通信与光传感技术03. 无线通信网络与新技术04. 电力系统通信及信息处理05. 多媒体信息处理与传输技术06. 物联网与现代传感技术07. 信息系统与信息安全08. 下一代网络技术1 101思想政治理论2 201英语一3 301数学一4 814信号与系统002能源动力与机械工程学院104 085201 机械工程1101. 数字化设计与制造02. 机电一体化技术与设备03. 状态监测与故障诊断04. 新能源技术与设备05. 电力设备安全与优化设计1 101思想政治理论2 204英语二3 302数学二4 821机械设计基础或822材料力学06. 先进施工技术与设备085206动力工程9301. 能量系统节能与技术经济分析02. 电站设备状态监测与故障诊断03. 传热传质技术04. 清洁燃烧及环境污染控制05. 热力设备及系统的优化设计理论与可靠性分析06. 电站机组运行优化、维护与管理07. 制冷及空调工程08. 流体力学与流体设备09. 先进制造技术10. 新能源开发利用与节能环保11. 核能科学与工程12. 辐射防护及环境保护1 101思想政治理论2 201英语一3 301数学一4 824传热学或825工程热力学或826流体力学003经济与管理学院162 025600资产评估1001. 企业价值评估理论方法研究02. 无形资产评估与管理03. 电力资产评估1 101思想政治理论2 204英语二3 303 数学三4 436 资产评估专业基础085236工业工程2001. 系统效益技术及应用02. 现代企业信息系统1 101思想政治理论03. 电力生产过程能效管理 3 302 数学二4 833管理原理085240物流工程1201. 物流系统规划与设计02. 物流系统优化与信息化03. 物流系统建模与仿真① 101思想政治理论② 204英语二③ 303 数学三④ 833管理原理125100工商管理10001. 电力企业管理02. 人力资源管理03. 项目管理04. 财务与金融05. 市场营销06. 现代物流管理1 199管理类联考综合能力2 204英语二125300会计1001. 会计理论与应用研究02. 审计理论与应用研究03. 财务管理理论与应用研究同上125600工程管理1001. 工程建设管理理论与实务02. 电力工程建设管理03. 能源工程建设管理同上004控制与计算机工程学院82 085210控制工程3801. 控制理论及其在过程控制中的应用02. 发电企业信息化与节能优化技术03. 发电系统建模、仿真与优化控制04. 清洁能源发电技术与系统05. 现代测控新技术与信息处理06. 故障诊断技术与应用07. 网络化控制技术与系统08. 控制工程管理、决策支持理论与方法09. 智能仪表与智能系统1 101思想政治理论2 204英语二3 302数学二4 841自动控制原理或843微机原理及应用085211 计算机技术2901. 物联网与智能电网02. 网络信息安全03. 信息系统运行与维护04. 数据库与信息系统05. 电力企业管理与ERP06. 信息处理技术1 101思想政治理论2 204英语二3 302数学二4 844数据结构085212 软件工程1501. 软件构件/架构技术02. 软件测试与质量保证03. 软件项目管理04. 电力信息化工程同上007资源与环境研究院14 085229环境工程1401. 大气污染控制工程02. 水污染控制技术03. 固体废物处理与资源化工程04. 环境规划与管理05. 物理性污染控制技术1 101思想政治理论2 204英语二3 302 数学二4 871环境保护概论009英语系9 055101英语笔译601. 科技笔译1 101思想政治理论2 211翻译硕士英语3 357英语翻译基础4 448汉语写作与百科知识055102英语口译301. 科技口译同上。
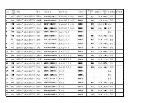
姓名考生编号专业代码专业名称政治成绩外语成绩业务课1成绩业务课2成绩初试总分类型孙** 100544000002552080201 机械制造及其自动化59 55 71 122 307 一志愿 张** 100544000003502080201 机械制造及其自动化62 4359 124 288 一志愿 张**104874000130074 080201 机械制造及其自动化 76 63 89 112 340 调剂 高*102474111003617080201 机械制造及其自动化 77 54 86 113 330 调剂 张**100074000006834 080201 机械制造及其自动化 68 64 94 99 325 调剂 程**102134020210221 080201 机械制造及其自动化 67 57 88 98 310 调剂 陈*100034012000499 080201 机械制造及其自动化 57 54 100 92 303 调剂 刘* 100544000000454 080202 机械电子工程57 52 128 127 364 一志愿 吴* 100544000003677 080202 机械电子工程52 60 94 117 323 一志愿 张* 100544000002798 080202 机械电子工程 60 58 78 125 321 一志愿 马** 100544000002864 080202 机械电子工程 56 40 100 107 303 一志愿 王* 100544000000453 080202 机械电子工程 62 49 60 120 291 一志愿 黄** 100544000003804 080203 机械设计及理论 65 61 109 130 365 一志愿 王**100544000000457080203 机械设计及理论6139103130333 一志愿Un Re gi st er ed陈** 100544000000458 080203 机械设计及理论 45 49 89 119 302 一志愿 徐** 100544000002706 080203 机械设计及理论 67 53 91 79 290 一志愿 解** 100544000000822 080502 材料学 51 63 120 137 371 一志愿 陶** 100544000000813 080502 材料学 60 61 106 128 355 一志愿 王** 100544000000817 080502 材料学 62 55 89 128 334 一志愿 陈** 100544000000812 080502 材料学 63 49 85 125 322 一志愿 辛** 100544000002716 080502 材料学 53 42 122 103 320 一志愿 苗* 100544000000815 080502 材料学 48 45 88 136 317 一志愿 徐* 100544000000819 080502 材料学 51 56 85 124 316 一志愿 赵** 100544000000814 080502 材料学 52 38 90 120 300 一志愿 李** 100544000000821 080502 材料学 58 45 66 127 296 一志愿 梁** 100544000003474 080502 材料学 63 51 72 109 295 一志愿 石* 100544000002868 080502 材料学 63 43 63 121 290 一志愿 唐* 104874000138580 080502 材料学 58 55 114 131 358 调剂 仪* 100034035000993 080502 材料学 72 47 81 116 316 调剂 胡** 105614000006000 080502 材料学 70 58 84 102 314 调剂 黄** 100544000003778 080701 工程热物理 66 64 111 122 363 一志愿 刘**100544000002180080701 工程热物理7062103125360 一志愿Un Re gi st er ed陈** 100544000002167 080701 工程热物理 58 68 109 121 356 一志愿 彭** 100544000000487 080701 工程热物理 71 62 81 140 354 一志愿 刘** 100544000002002 080701 工程热物理 60 46 99 113 318 一志愿 王* 100544000000483 080701 工程热物理 52 53 92 119 316 一志愿 陈** 100544000002166 080701 工程热物理 65 55 95 101 316 一志愿 曹** 100544000000486 080701 工程热物理 56 62 73 123 314 一志愿 靳* 100544000001964 080701 工程热物理 49 45 118 83 295 一志愿 李* 100544000003771 080701 工程热物理 61 46 60 112 279 一志愿 李* 100544000000499 080702 热能工程 62 67 134 139 402 一志愿 刘* 100544000003305 080702 热能工程 60 71 123 148 402 一志愿 黄** 100544000000467 080702 热能工程 72 64 124 136 396 一志愿 张* 100544000000533 080702 热能工程 57 62 124 145 388 一志愿 于** 100544000000504 080702 热能工程 69 61 121 135 386 一志愿 黄** 100544000000531 080702 热能工程 64 68 99 148 379 一志愿 林** 100544000000535 080702 热能工程 77 62 102 138 379 一志愿 李** 100544000002176 080702 热能工程 70 45 133 130 378 一志愿 李** 100544000003043 080702 热能工程 71 59 117 131 378 一志愿 卫**100544000000523080702 热能工程6055129133377 一志愿Un Re gi st er ed马** 100544000001138 080702 热能工程 80 59 112 126 377 单考 李* 100544000003426 080702 热能工程 59 59 108 147 373 一志愿 梁** 100544000000468 080702 热能工程 73 57 113 129 372 一志愿 杨** 100544000000507 080702 热能工程 58 62 103 148 371 一志愿 曹** 100544000000517 080702 热能工程 64 66 101 140 371 一志愿 叶** 100544000000497 080702 热能工程 58 61 121 131 371 一志愿 鲍** 100544000000528 080702 热能工程 66 67 105 132 370 一志愿 王** 100544000000466 080702 热能工程 73 58 117 120 368 一志愿 李** 100544000000495 080702 热能工程 69 48 113 133 363 一志愿 赵** 100544000000521 080702 热能工程 67 58 101 133 359 一志愿 马** 100544000000505 080702 热能工程 68 63 101 127 359 一志愿 商** 100544000003228 080702 热能工程 70 58 115 115 358 一志愿 郑* 100544000000473 080702 热能工程 61 58 112 127 358 一志愿 张** 100544000001961 080702 热能工程 67 57 99 133 356 一志愿 翟** 100544000002955 080702 热能工程 65 58 90 140 353 一志愿 葛** 100544000003306 080702 热能工程 54 56 110 133 353 一志愿 孙* 100544000000524 080702 热能工程 63 67 102 120 352 一志愿 曹*100544000003014080702 热能工程6455123110352 一志愿Un Re gi st er ed李** 100544000000509 080702 热能工程 68 57 92 134 351 一志愿 杨** 100544000000490 080702 热能工程 60 58 107 126 351 一志愿 贾** 100544000000534 080702 热能工程 64 60 91 136 351 一志愿 黄** 100544000002172 080702 热能工程 67 50 113 120 350 一志愿 吴* 100544000000526 080702 热能工程 58 54 105 130 347 一志愿 马* 100544000001905 080702 热能工程 61 67 104 112 344 一志愿 范* 100544000000511 080702 热能工程 58 49 101 135 343 一志愿 黄** 100544000000532 080702 热能工程 62 54 95 132 343 一志愿 刘* 100544000000500 080702 热能工程 64 55 96 127 342 一志愿 张* 100544000003332 080702 热能工程 57 52 109 121 339 一志愿 赵** 100544000003773 080702 热能工程 54 56 113 116 339 一志愿 郑** 100544000002164 080702 热能工程 56 63 113 105 337 一志愿 储** 100544000000501 080702 热能工程 60 42 102 131 335 一志愿 周** 100544000003719 080702 热能工程 64 56 101 112 333 一志愿 王** 100544000000498 080702 热能工程 68 53 78 133 332 一志愿 康* 100544000000516 080702 热能工程 62 50 88 131 331 一志愿 王** 100544000003294 080702 热能工程 55 68 85 120 328 一志愿 兰**100544000003016080702 热能工程606490113327 一志愿Un Re gi st er ed秦** 100544000003368 080702 热能工程 61 46 103 117 327 一志愿 李* 100544000002811 080702 热能工程 54 44 102 127 327 一志愿 孙** 100544000002182 080702 热能工程 53 59 92 122 326 一志愿 王** 100544000003042 080702 热能工程 65 59 99 103 326 一志愿 满** 100544000003301 080702 热能工程 70 55 81 120 326 一志愿 章* 100544000003012 080702 热能工程 59 52 91 124 326 一志愿 张* 100544000001963 080702 热能工程 52 40 115 117 324 一志愿 韩* 100544000003230 080702 热能工程 63 42 87 131 323 一志愿 朱* 100544000000520 080702 热能工程 49 59 106 107 321 一志愿 刘** 100544000000496 080702 热能工程57 63 82 117 319 一志愿 尹** 100544000003291 080703 动力机械及工程 66 61 100 125 352 一志愿 欧** 100544000000474 080703 动力机械及工程62 47 123 117 349 一志愿 王* 100544000003117 080703 动力机械及工程59 52 109 108 328 一志愿 张** 100544000003503 080703 动力机械及工程 52 45 96 133 326 一志愿 高* 100544000001926 080703 动力机械及工程 60 72 107 85 324 一志愿 李** 100544000002006 080703 动力机械及工程 58 60 79 124 321 一志愿 安** 100544000000536 080703 动力机械及工程 52 52 94 119 317 一志愿 党**100544000002184080703 动力机械及工程655589100309 一志愿Un Re gi st er ed刘** 100544000003147 080703 动力机械及工程 61 46 72 127 306 一志愿 王* 100544000002580 080703 动力机械及工程 54 63 78 103 298 一志愿 张** 100544000001962 080704 流体机械及工程 61 57 83 122 323 一志愿 周** 100544000003531 080704 流体机械及工程 54 52 90 110 306 一志愿 严** 100544000002438 080705 制冷及低温工程5541 68119 283 一志愿 高* 100544000000540 081404 供热、供燃气、通风及空调工程 61 56 115 125 357 一志愿 郭** 100544000000542 081404 供热、供燃气、通风及空调工程 62 54 98 140 354 一志愿 连* 100544000003156 081404 供热、供燃气、通风及空调工程 65 48 117 107 337 一志愿 邵** 100544000003404 085201 机械工程 68 53 119 129 369 一志愿 杨** 100544000001003 085201 机械工程 68 75 91 133 367 一志愿 刘** 100544000000998 085201 机械工程 54 70 107 127 358 一志愿 侯** 100544000002298 085201 机械工程 64 55 108 128 355 一志愿 李* 100544000001925 085201 机械工程 65 64 95 124 348 一志愿 闫** 100544000002516 085201 机械工程 60 74 107 104 345 一志愿 马* 100544000002391 085201 机械工程 49 53 118 111 331 一志愿 袁* 100544000001002 085201 机械工程 52 73 74 129 328 一志愿 刘* 100544000002724 085201 机械工程 49 42 120 116 327 一志愿 罗**100544000000999085201 机械工程635689116324 一志愿Un Re gi st er ed李* 100544000003529 085201 机械工程 59 55 73 137 324 一志愿 石** 100544000001006 085201 机械工程 63 63 79 117 322 一志愿 杨** 100544000003390 085201 机械工程 57 50 88 123 318 一志愿 魏** 100544000002623 085201 机械工程 67 51 68 121 307 一志愿 柴** 100544000001958 085201 机械工程 57 51 85 114 307 一志愿 王** 100544000002160 085201 机械工程 52 56 70 126 304 一志愿 刘** 100544000002297 085201 机械工程 62 46 78 116 302 一志愿 李** 100544000001005 085201 机械工程 56 56 63 127 302 一志愿 原** 100544000000588 085206 动力工程 62 65 141 135 403 一志愿 郭** 100544000000546 085206 动力工程 54 68 127 147 396 一志愿 何** 100544000000550 085206 动力工程 58 62 127 133 380 一志愿 姚* 100544000002681 085206 动力工程 59 56 110 149 374 一志愿 王* 100544000003005 085206 动力工程 65 73 111 119 368 一志愿 常* 100544000002173 085206 动力工程 68 75 111 113 367 一志愿 赵* 100544000000586 085206 动力工程 52 47 119 145 363 一志愿 方** 100544000002646 085206 动力工程 57 63 106 137 363 一志愿 高* 100544000000611 085206 动力工程 67 60 104 129 360 一志愿 李**100544000003782085206 动力工程717094124359 一志愿Un Re gi st er ed钱** 100544000000547 085206 动力工程 58 65 102 133 358 一志愿 张* 100544000000580 085206 动力工程 67 49 98 139 353 一志愿 杨* 100544000000556 085206 动力工程 65 61 84 142 352 一志愿 王** 100544000003300 085206 动力工程 49 57 119 126 351 一志愿 柴** 100544000003297 085206 动力工程 68 66 82 135 351 一志愿 马** 100544000000568 085206 动力工程 68 58 90 131 347 一志愿 王* 100544000000609 085206 动力工程 57 53 104 132 346 一志愿 郑** 100544000000578 085206 动力工程 53 72 83 137 345 一志愿 吕** 100544000003369 085206 动力工程 57 61 101 126 345 一志愿 刘** 100544000003050 085206 动力工程 71 48 108 118 345 一志愿 孙** 100544000000559 085206 动力工程 62 55 84 142 343 一志愿 赵* 100544000000548 085206 动力工程 66 43 89 142 340 一志愿 赵* 100544000002170 085206 动力工程 64 58 105 112 339 一志愿 王* 100544000000579 085206 动力工程 65 69 77 126 337 一志愿 陈* 100544000001997 085206 动力工程 68 55 87 126 336 一志愿 许* 100544000000610 085206 动力工程 62 60 107 106 335 一志愿 王** 100544000000560 085206 动力工程 54 46 98 136 334 一志愿 宋*100544000000567085206 动力工程655780130332 一志愿Un Re gi st er ed宋* 100544000003296 085206 动力工程 70 54 85 120 329 一志愿 沈** 100544000000571 085206 动力工程 54 61 103 108 326 一志愿 孙** 100544000000574 085206 动力工程 66 53 76 128 323 一志愿 张** 100544000002708 085206 动力工程 59 43 114 107 323 一志愿 樊** 100544000002179 085206 动力工程 62 46 107 106 321 一志愿 陈** 100544000002680 085206 动力工程 53 57 82 129 321 一志愿 李* 100544000000572 085206 动力工程 61 54 83 121 319 一志愿 周** 100544000001865 085206 动力工程 59 41 85 130 315 一志愿 程* 100544000000607 085206 动力工程 59 72 67 117 315 一志愿 张** 100544000003405 085206 动力工程 55 53 103 102 313 一志愿 牛** 100544000002276 085206 动力工程 56 50 93 114 313 一志愿 胡** 100544000002279 085206 动力工程 65 56 87 103 311 一志愿 毕* 100544000000565 085206 动力工程 52 50 83 126 311 一志愿 刘** 100544000003024 085206 动力工程 42 45 90 131 308 一志愿 岳** 100544000002709 085206 动力工程 52 44 87 124 307 一志愿 杨** 100544000002956 085206 动力工程 66 47 70 124 307 一志愿 周** 100544000000570 085206 动力工程 49 51 80 123 303 一志愿 徐*100544000001866085206 动力工程595280111302 一志愿Un Re gi st er ed张** 100544000000577 085206 动力工程 49 48 77 127 301 一志愿 陈** 100544000000557 085206 动力工程 54 44 74 127 299 一志愿 赵** 100544000000480 085206 动力工程 62 47 79 109 297 一志愿 王** 100544000002272 085206 动力工程 73 48 65 111 297 一志愿 张** 100544000002273 085206 动力工程 61 49 77 110 297 一志愿 唐** 100544000002800 085206 动力工程 71 55 64 106 296 一志愿 胡* 100544000000481 085206 动力工程 58 56 63 117 294 一志愿 王** 100544000000575 085206 动力工程 64 45 75 110 294 一志愿 孙** 100544000003373 085206 动力工程 49 38 83 124 294 一志愿 孙** 100544000000587 085206 动力工程 62 59 74 98 293 一志愿 杨** 100544000003295 085206 动力工程 57 41 80 114 292 一志愿 郏** 100544000000554 085206 动力工程 54 66 66 106 292 一志愿 李** 100544000003504 085206 动力工程 56 51 61 120 288 一志愿 董** 100544000000584 085206 动力工程 65 43 57 122 287 一志愿 马* 100544000000585 085206 动力工程 46 52 70 119 287 一志愿 何** 100544000000564 085206 动力工程 53 37 57 139 286 一志愿 陈** 100544000003223 085206 动力工程 56 48 69 113 286 一志愿 汪**100544000002707085206 动力工程58538491286 一志愿Un Re gi st er ed和** 100544000000583 085206 动力工程 55 52 79 99 285 一志愿 张** 100544000000561 085206 动力工程 68 47 75 90 280 一志愿 王** 100544000003231 085206 动力工程 62 45 84 88 279 一志愿 蔡** 100544000003004 085206 动力工程 51 56 56 116 279 一志愿 靳** 100544000002277 085206 动力工程 52 49 64 113 278 一志愿 黄* 100544000000553 085206 动力工程 60 67 60 89 276 一志愿 马**100034101111916 085206 动力工程 60 67 139 103 369 调剂 蒋* 103354000905418 085206 动力工程 62 82 92 128 364 调剂 周*103354000905343085206 动力工程 75 72 85 131 363 调剂 谢**100034014000571 085206 动力工程 61 56 120 120 357 调剂 张**828024082700040 085206 动力工程 69 68 92 111 340 调剂 彭*100034101111917085206 动力工程 55 54 105 126 340 调剂 游**102484121414253 085206 动力工程 73 69 92 102 336 调剂 董*104874000130358085206 动力工程 68 50 81 134 333 调剂 王**100034101109361 085206 动力工程 63 70 98 102 333 调剂朱**103354000914552 085206动力工程66 52 98 116 332 骨干计划 王**100034101109417 085206 动力工程 62 58 115 96 331 调剂 师**102484121410098085206 动力工程614990130330 调剂Un Re gi st er ed李*102864211405829 085206 动力工程 63 64 71 131 329 调剂 许*100034101109421085206 动力工程 58 64 112 93 327 调剂 朱**102484121410052 085206 动力工程 60 73 85 105 323 调剂 常*100544000003562085206 动力工程 70 53 86 109 318 调剂 刘**104874000100905 085206 动力工程 64 48 78 127 317 调剂 姚*102484121410027 085206 动力工程 65 55 86 110 316 调剂 王*101414121082386085206 动力工程 71 53 68 123 315 调剂 刘**100544000001903 085206 动力工程 58 43 89 124 314 调剂 李*104224510096206 085206 动力工程 61 54 69 127 311 调剂 吕*100544000000146085206 动力工程 62 54 66 128 310 调剂 杜**100544000002174 085206 动力工程 62 55 89 99 305 调剂 朱**100544000002183 085206 动力工程 56 45 89 114 304 调剂 冯**100544000002169 085206 动力工程 64 59 86 94 303 调剂 吴**100064210000799 085206 动力工程 57 58 102 86 303 调剂 武*100544000003227085206 动力工程 61 62 78 101 302 调剂 蔺**100544000000493 085206 动力工程 58 46 94 103 301 调剂 陈*102864320202802085206 动力工程595870113300 调剂Un Re gi st er ed。