信号与系统奥本海姆答案
- 格式:docx
- 大小:13.82 KB
- 文档页数:3
第七章7.6 解:见 8.17.8 解: (a) )]()([)21()(50πωδπωδπωk k j j X n k +--=∑= 信号截止频率 πω5=m采样频率 m s T ωπππω2102.022====对于正弦信号,会发生混叠 (b) ππω5==T c所以输出信号 )sin()21()(40t k t y k k π∑== 所以j e e t g tjk t jk k k 2)21()(40ππ-=-=∑ ∑-==44k t jk k e a π其中,⎪⎪⎩⎪⎪⎨⎧≤≤-=≤≤-=+-+14)21(0041)21(11k j k k j a k k k 7.10 解:(a) 错 信号时域为矩形波,频域为sinc 函数,无论怎么样都会混叠 (b) 符合采样定理,对(c) 符合采样定理,对7.15 解:要求 76N 2,76273ππππω>=⨯>即s 237max =<∴N N 取 7.16 解: 易见ππn n 2sin2满足性质1, 3对性质2,考虑时域乘积得频域卷积,易见2))2/sin((4][n n n x ππ=7.19 解:设x[n]经零值插入后得输出为z[n] (a) 531πω≤时, ⎪⎩⎪⎨⎧><=1101)(ωωωωωj e X ⎪⎪⎩⎪⎪⎨⎧>≤<=30531)(11ωωπωωωj e Z所以 ⎪⎪⎩⎪⎪⎨⎧><=3031)(11ωωωωωj e W因此可得,n n n w πω/)3(sin ][1=又由 ]5[][n w n y =可得 )5/()35(sin][1n n n y πω= (b) 531πω>时 ⎪⎪⎩⎪⎪⎨⎧>><=53031)(11πωωωωωj e Z)/()5(sin ][n nn w ππ=∴][51)5/()(sin ][n n n n y δππ== 7.21 解: 采样频率m s Tωππω2200002>== 即πω10000<m 时,可以恢复 (a) 可以(b) 不可以(c) 不能确定(d) 可以 (e) 不可以 (f) 可以 (g) 可以7.22 解:)(*)()(21t x t x t y = 则有πωωωω10000)()()(21>==j X j X j Y πω1000=∴m 因而 πωω20002=>m s故 s T s 3102-=<ωπ 7.23 解:见 8.27.24 解:见 8.37.29 解:见 8.107.31 解:见 8.157.35 解:见 8.247.38 解:见 8.97.41 解:见 8.197.45 解: 见 8.17。
.第三章作业解答3.1解:420ππω==T , j a a 4*33-==- 则:t j t j t j t j k tjk ke a e a e a e a ea t x 00000333311)(ωωωωω----∞-∞=+++==∑-)243cos(84cos 443sin 84cos 4)](21[8)(2144422434344434344πππππππππππππ++=-=--⨯++⨯=-++=------t t tt e e je e jejeeet j t j t j t j t jt jt j t j3.3解:)35sin(4)32cos(2)(t t t x ππ++= 则3)32cos(1=→T t π 56)35s i n (2=→T t π故:6],[21==T T lcm T 320ππω==T )(214)(21235353232t j t j t j t j e e je e ππππ---⨯+++=则:20=a 2122==-a a 25j a -= 25j a =- 3.9x[n]波形如下图所示:0 1 4 5 n…- 4 -3则:N=4,220ππω==N ]84[41]}1[8][4{41][41][122302300πππωδδjk n jk n n jk n n jk N n k e e n n e n x e n x N a --=-=->=<+=-+===∑∑∑即:2112133210j a a j a a +=-=-==3.15解:6π=T ,1220==Tπω )(ωj H 如下图所示:则:⎩⎨⎧>≤=9||08||1)(0k k jk H ωtjk k kea t x 0)(ω∑∞-∞==tjk k ktjk k k ea ea jk H t y 00880)()(ωωω∑∑-=∞-∞===而:)()(t y t x =,即:t jk k k tjk k k e a t y ea t x 0088)()(ωω∑∑-=∞-∞====故:当9||≥k 时,0=k a3.22解:(a )2=T ,ππω==T20 ]|[12121)(11111110dt e te jk dt te dt e t x T a tjk t jk t jk T t jk k ⎰⎰⎰---------===πππωπkjk t jk t jk k j k j k k je k j e jk te k j )1(k ]02[21]|1|[211111-=⎪⎪⎩⎪⎪⎨⎧-=--=---=-----πππππππππ为奇数为偶数021110==⎰-dt t a(注意:与性质验证,由于x(t)是实奇函数,则a k 为纯虚的奇函数,满足: *k k k a a a -=-=- 且:00=a ) (d) 2=T ,ππω==T20 ])1(21[21]21[21)]1(2)([21)(1200k jk t jk T tjk k e dt e t t dt e t x T a --=-=--==---⎰⎰--ππωδδ21)]1(2)([21200-=--=⎰--dt t t a δδ3.28(b )解:)(21)(21)2cos()32sin(][223232nj n j n jnje e eejn n n x ππππππ--++== )(416/76/6/6/7n j n j n j n j e e e e j ππππ----+=12/2.712/2.12/2.12/2..7(41ππππn j jn jn n j e e e e j----+=⎪⎪⎪⎩⎪⎪⎪⎨⎧++=-++==othersrN rN k j rN rN k j a k 05,11417,141 则:⎪⎩⎪⎨⎧++++==othersrN rN rN rN k a k 05,11,7,141||⎪⎪⎪⎩⎪⎪⎪⎨⎧++=++=-=∠othersrN rN k rN rN k a k 05,1127,12ππ 3.34解:(b)∑∞-∞=--=n nn t t x )()1()(δ其波形如下图所示:其周期T=2,基波频率为:ππω==T20 ⎩⎨⎧=--=-=--==---⎰⎰--是偶数是奇数k 01])1(1[21]1[21)]1()([21)(1200k e dt e t t dt e t x T a k jk t jk T tjk k ππωδδ而:⎪⎩⎪⎨⎧<>==--00)(44||4t et e et h t tt则:240401684141)()(s s s dte e dt e e dt e t h s H st t st t st -=++-=+==--∞-∞--∞∞-⎰⎰⎰故:2)(168)(ππjk jk H -=故:⎪⎩⎪⎨⎧-==∑∞-∞=为偶数为奇数(k k e jk ea jk H t y tjk tjk k k 0)168)()(200πωπω3.357π=T ,1420==Tπω 解:)(ωj H 如下图所示:则:⎩⎨⎧<>=17||017||1)(0k k jk H ωtjk k kea t x 0)(ω∑∞-∞==tjk k k tjk k k ea ea jk H t y 0018||0)()(ωωω∑∑∞=∞-∞===而:)()(t y t x =,即:tjk k ktjk k kea t y ea t x 0018||)()(ωω∑∑∞=∞-∞====故:当18||<k 时,0=k a3.44解:(1)*k k a a =- (2)6=T ,320ππω==T (3)⎩⎨⎧===其他,不为02||1||0k k a k(4)k jk k k a e b t x a t x π--=→--→)3()(k jk k a ea π--= 则:当为偶数k a k 0=结合(3)则:⎩⎨⎧==其他不为01||0k a k(5)帕斯瓦尔关系式:21||21||||12121=⇒=+-a a a (6)211=a 211=-a 则t e e ea e a t x t j t j t j tj 3cos )(21)(333131πππππ=+=+=--- 故:03,1===C B A π。
第一章作业解答1.9解:(b )jt t t j e e e t x --+-==)1(2)(由于)()(2)1()1())(1(2t x e e e T t x T j t j T t j ≠==++-+-++-,故不是周期信号;(或者:由于该函数的包络随t 增长衰减的指数信号,故其不是周期信号;) (c )n j e n x π73][= 则πω70= 7220=ωπ是有理数,故其周期为N=2; 1.12解:]4[1][1)1(]1[1][43--=--==+---=∑∑∞=∞=n u m n mk k n n x m k δδ-3 –2 –1 0 1 2 3 4 5 6 n1…减去:-3 –2 –1 0 1 2 3 4 5 6 nu[n-4]等于:-3 –2 –1 0 1 23 4 5 6 n…故:]3[+-n u 即:M=-1,n 0=-3。
1.14解:x(t)的一个周期如图(a)所示,x(t)如图(b)所示:而:g(t)如图(c)所示……dtt dx )(如图(d )所示:……故:)1(3)(3)(--=t g t g dtt dx 则:1t ,0t 3,32121==-==;A A 1.15解:该系统如下图所示: 2[n](1)]4[2]3[5]2[2]}4[4]3[2{21]}3[4]2[2{]3[21]2[][][1111111222-+-+-=-+-+-+-=-+-==n x n x n x n x n x n x n x n x n x n y n y即:]4[2]3[5]2[2][-+-+-=n x n x n x n y(2)若系统级联顺序改变,该系统不会改变,因为该系统是线性时不变系统。
(也可以通过改变顺序求取输入、输出关系,与前面做对比)。
1.17解:(a )因果性:)(sin )(t x t y =举一反例:当)0()y(,0int s x t =-=-=ππ则时输出与以后的输入有关,不是因果的;(b )线性:按照线性的证明过程(这里略),该系统是线性的。
第九章 9.6 解:(a) 若是有限持续期信号Roc 为整个s 平面,故存在极点不可能,故不可能为有限持续期。
(b) 可能是左边的。
(c) 不可能是右边的,若是右边信号,它并不是绝对可积的。
(d) x(t)可能为双边的。
9.8 解:因为te t x t g 2)()(=的傅氏变换,)(ωj G 收敛 所以)(t x 绝对可积若)(t x 为左边或者右边信号,则)(t x 不绝对可积 故)(t x 为双边信号 9.10 解:(a) 低通 (b) 带通 (c) 高通 9.14 解:dt e t x s X st⎰∞∞--=)()(, 由)(t x 是偶函数可得)()()(t d e t x s X st--=⎰-∞∞dt et x ts ⎰∞∞----=)()(dt e t x t s ⎰∞∞---=)()( )(s X -=421πj e s =为极点,故421πj e s -=也为极点,由)(t x 是实信号可知其极点成对出现,故421πj e s -=与421πje s --=也为极点。
)21)(21)(21)(21()(4444ππππjjjjes es es es Ms X --++--=由⎰∞∞-=4)(dt t x 得 4)0(=x所以,M =1/4 即,42}Re{42<<-s 9.21 解:(a) 3121)(+++=s s s X 2}Re{->s(b) 25)5(541)(2++++=s s s X 4}R e {->s (c) 3121)(----=s s s X 2}R e {<s (d) 22)2(1)2(1)(--+=s s s X2}R e {2<<-s (e) 22)2(1)2(1)(-++-=s s s X 2}R e {2<<-s (f) 2)2(1)(-=s s X 2}R e {<s (g) )1(1)(s e ss X --=0}R e {>s (h) 22)1()(s e s X s -=-0}R e {>s如对您有帮助,欢迎下载支持,谢谢!(i) ss X 11)(+= 0}R e {>s (j) ss X 131)(+=0}R e {>s9.23 解:1. Roc 包括 Re{s}=3 2. Roc 包括 Re{s}=03. Roc 在最左边极点的左边 4. Roc 在最右边极点的右边图1:1,2}Re{>s2,2}Re{2<<-s 3,2}Re{-<s 4,2}Re{>s图2: 1,2}Re{->s 2,2}Re{->s 3,2}Re{-<s 4,2}Re{->s 图3: 1,2}Re{>s 2,2}Re{<s 3,2}Re{<s 4,2}Re{>s 图4: 1,S 为整个平面 2,S 为整个平面 3,S 为整个平面 4,S 为整个平面 9.25 解:图略 9.27 解:)(t x 为实信号,)(s X 有一个极点为j s +-=1 )(s X ∴另一个极点为j s --=1 )1)(1()(j s j s Ms X ++-+=∴又 8)0(=X16=∴M则,)1(8)1(8)(j s jj s j s X -+-++=1}Re{->s 或者1}Re{-<s 之一使其成立又 )(2t x e t不是绝对可积的∴对任一个s ,右移2,不一定在Roc 中因此,1}Re{-<s 9.35 解:(a) )(1)(*)(s X st u t x L−→− 那么方框图表示的方程为)(*)(*)(6)(*)()()(*)(*)()(*)(2)(t u t u t y t u t y t y t u t u t x t u t x t x --=++即 ⎰⎰⎰⎰⎰⎰∞-∞-∞-∞-∞-∞---=++t ttt ttdt d y d y t y dt d x d x t x ττττττττ)(6)()()()(2)(对两边求导可得)(6)()()()()(2222t x dt t dx dt t x d t y dt t dy dt t y d --=++ (b) 126)(22++--=s s s s s H121-==s s 是)(s H 的二重极点,由于系统是因果的所以 1}Re{->sRoc 包含虚轴,所以系统是稳定的。
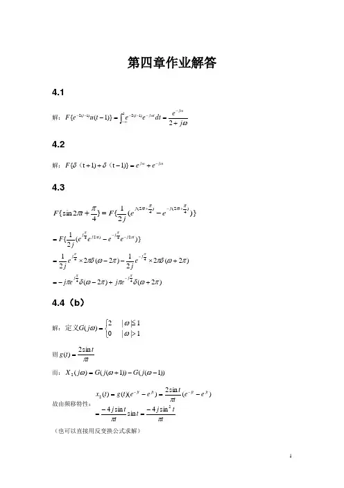
第四章作业解答4.1解:ωωωj e dt eet u eF j tj t t +==--∞------⎰2)}1({1)1(2)1(2 4.2解:ωωδδj j e e F -+=-++)}1t )1t {((4.3)}(21{}42{sin )42()42(ππππππ+-+-=+t j t j e e jF t F)2()2()2(221)2(221)}(21{444424)24πωδππωδππωπδπωπδππππππππ++--=+⨯--⨯=-=----jjj j t j j t j jej e j e j e j e e e e jF 4.4(b )解:⎩⎨⎧>≤=1||01||2)(ωωωj G 定义 则ttt g πsin 2)(=而:))1(())1(()(2--+=ωωωj G j G j X故由频移特性:tt j t t t j e e tt e e t g t x jt jtjt jt πππ22sin 4sin sin 4)(sin 2))(()(-=-=-=-=-- (也可以直接用反变换公式求解)解:由公式{ωωa 00)(||1)}(tj e aj X a t at x F -=-直接得到结果(见书后答案)4.21(a)解:)}()(21{)}(cos {000t u e e eF t tu e F t j tj atat ωωω---+= 而:ωj a t u e F at+=-1)}({则根据频移特性:)()(1)(121)}()(21{0000ωωωωωω+++-+=+--j a j a t u e e eF t j t j at4.22解:(a )因为⎩⎨⎧>≤=-3||03||1}3sin 2{1t t F ωω根据频移特性:⎩⎨⎧>≤=3||03||)(2t t e t x t j π (b))4(21)4(21}2121{)}4{cos(4411-++=+=---t t e e F F j j δδωωω则根据频移特性:t j e t t t x 3)]4()4([21)(πδδ--++=(d))(23)(1)]}2()2([3)]1()1([2{221tj t j jt jt e e e e F πππππωδπωδωδωδ----+-=+--++--解:(a )设)1()(1+=t x t x ,如下图所示,则)1()(1-=t x t x故:ωωωj e j X j X -=)()(1又因为:)(1t x 是实偶信号,则)(1ωj X 也为实偶,故:⎩⎨⎧<-≥-=-∠=∠0)(0)()()(111ωωπωωωωωj X j X j X j X(b) 因为:dt e t x j X t j ⎰∞∞--=ωω)()(则:dt t x j X ⎰∞∞-=)()0(即为x(t)的面积,故:7)()0(==⎰∞∞-dt t x j X(c) 因为:ωωπωd e j X t x t j ⎰∞∞-=)(21)(则:ωωπd j X x ⎰∞∞-=)(21)0( ππωω4)0(2)(==⇒⎰∞∞-x d j X(d) 令:ωωωsin 2)(=j G 则:)()()(ωωωj G j X j Y =则:)(*)()(t g t x t y = 其中g(t)如下图所示:则:)2(2)(sin 2)(22y d e j Y d e j X j j πωωωωωωωω==⎰⎰∞∞-∞∞-而:τττd t g x t g t x t y )()()(*)()(⎰∞∞--==τττππd g x y )2()(2)2(2⎰∞∞--=1 2 3 τ则:ππτττππ3232)2()(2)2(2=⨯=-=⎰∞∞-d g x y(e )根据帕斯瓦尔关系式:πππωω26132|)(|2|)(|22=⨯==⎰⎰∞∞-∞∞-dt t x d j X(f )2)()()()}({1t x t x t x j X F e -+==-ω(图略)4.28解:(a )以为p(t)是周期信号,其傅里叶级数为:tjn n n o e a t p ω∑∞-∞==)(则其傅里叶变换为:)(2)(on nn a j P ωωδπω-=∑∞-∞=由于:)()()(t p t x t y =则:])(2*)([21)(*)(21)(0∑∞-∞=-==n n n a j X j P j X j Y ωωδπωπωωπω ))((0∑∞-∞=-=n nn j X aωω(b)(1)22cos )(22t jtjeet t p -+== 则:πω4210==T⎪⎩⎪⎨⎧=±==00121n n a n则:))21((21))21((21))(()(0++-=-=∑∞-∞=ωωωωωj X j X n j X a j Y n n(6) 解:∑∞-∞=-=n n t t p )()(πδ周期π=T20=ω π11==T a n故:))2((1))(()(0∑∑∞-∞=∞-∞=-=-=n n nn j X n j X aj Y ωπωωω4.32解:⎩⎨⎧<=otherst tF 04||1}4sin {ωπ则根据时移特性:⎩⎨⎧<=--=otherse t t F j H j 04||})1()1(4sin {)(ωπωω(a) 因为][21)26cos()()26()26(1πππ+-++=+=t j t j e et t x 则:60=ω 根据特征函数特征值的概念:0])6([)6([21)()26()26(1=-+=+-+ππt j t j e H eH t y。
Signals and SystemChap11.6 Determine whether or not each of the following signals is periodic:(a): (/4)1()2()j t x t e u t π+= (b): 2[][][]x n u n u n =+-(c): 3[]{[4][14]}k x n n k n k δδ∞=-∞=----∑Solution:(a).No 【周期信号无始无终,单边肯定不周期】Because 12cos()2sin(),0()440,0t j t t x t t ππ⎧+++>⎪=⎨⎪<⎩ when t<0, )(1t x =0. (b).No 【注意n =0】 Because 21,0[]2,01,0n n n n x >⎧⎪==⎨⎪<⎩(c).Y es 【画图、归纳】 Because∑∞-∞=--+--+=+k k m n k m n m n x ]}414[]44[{]4[3δδ∑∞-∞=------=k m k n m k n )]}(41[)](4[{δδ{[4][14]}k n k n k δδ∞=-∞=----∑N=4.1.9 Determine whether or not each of the following signals is periodic, if a signal is periodic, specify its fundamental period:(a): 101()j tx t je =(b): (1)2()j t x t e -+=(c): 73[]j n x n e π=(d): 3(1/2)/54[]3j n x n e π+= (e): 3/5(1/2)5[]3j n x n e += Solution: (a). T=π/5Because 0w =10, T=2π/10=π/5. (b). Aperiodic.Because jt t e e t x --=)(2, while t e -is not periodic, )(2t x is not periodic. (c). N=2Because 0w =7π, N=(2π/0w )*m, and m=7. (d). N=10Because n j j e e n x )5/3(10/343)(ππ=, that is 0w =3π/5,N=(2π/0w )*m, and m=3. (e). Aperiodic.Because 0w =3/5, N=(2π/0w )*m=10πm/3 , it ’s not a rational number.1.14 consider a periodic signal 1,01()2,12t x t t ≤≤⎧=⎨-<<⎩with periodT=2. The derivative of this signal is related to the “impulsetrain ”()(2)k g t t k δ∞=-∞=-∑, with period T=2. It can be shownthat1122()()()dx t A g t t A g t t dt=-+-. Determine the values of1A , 1t , 2A , 2t .Solution:A 1=3, t 1=0, A 2=-3, t 2=1 or -1 Because∑∞-∞=-=k k t t g )2()(δ,)1(3)(3)(--=t g t g dtt dx1.15. Consider a system S with input x[n] and output y[n].This system is obtained through a series interconnection of a system S 1 followed by a system S2. The input-output relationships for S 1 and S 2 areS 1: ],1[4][2][111-+=n x n x n y S 2: ]3[21]2[][222-+-=n x n x n yWhere ][1n x and ][2n x denote input signals.(a) Determine the input-output relationship for system S.(b)Does the input-output relationship of system S change if the order in which S 1 and S 2 are connected in series is reversed(ie., if S2 follows S 1)? Solution: (a)]3[21]2[][222-+-=n x n x n y]3[21]2[11-+-=n y n y]}4[4]3[2{21]}3[4]2[2{1111-+-+-+-=n x n x n x n x]4[2]3[5]2[2111-+-+-=n x n x n xThen, ]4[2]3[5]2[2][-+-+-=n x n x n x n y【可以考虑先求取单位脉冲响应,再做卷积】(b).No. because it ’s linear, S 1 and S 2 do not diverge.1.16. Consider a discrete-time system with input x[n] and output y[n].The input-output relationship for this system is]2[][][-=n x n x n y(a) Is the system memory less?(b) Determine the system output when the input is ][n A δ, where A is any real or complex number . (c) Is the system invertible? Solution: (a). No.For example, when n=0, y[0]=x[0]x[-2]. So the system is memory. (b). y[n]=0.When the input is ][n A δ,]2[][][2-=n n A n y δδ, so y[n]=0.(c). No.For example, when x[n]=0, y[n]=0; when x[n]=][n A δ, y[n]=0. So the system is not invertible.1.17.Consider a continuous-time system with input x(t) and output y(t) related by ))(sin()(t x t y =, (a) Is this system causal? (b) Is this system linear? Solution: (A). No.For example,)0()(x y =-π. So it ’s not causal.【得到什么启示?】 (b). Y es.Because : ))(sin()(11t x t y = , (sin()(22tx t y =)()())(sin())(sin()(21213t by t ay t bx t ax t y +=+=1.21. A continuous-time signal ()x t is shown in Figure P1.21. Sketch and label carefully each of the following signals:(a): (1)x t - (b): (2)x t - (c): (21)x t + (d): (4/2)x t - (e): [()()]()x t x t u t +-(f): ()[(3/2)(3/2)]x t t t δδ+--Solution: (a).(b).(c). (d).1.22. A discrete-time signal ][n x is shown in as the following. Sketch and label carefully each of the following signals: (a): [4]x n - (b): [3]x n - (c): [3]x n(d): [31]x n + (e): [][3]x n u n -(f): [2][2]x n n δ--(g): 11[](1)[]22nx n x n +-(h): 2[(1)]x n -Solution:(a).(b).(e).(f) ]2[-n δ(g)1.25. Determine whether or not each of the following continuous-time signals is periodic. If the signal is periodic, determine its fundamental period.(a): ()3cos(4)3x t t π=+ (b): (1)()j t x t e π-=(c): 2()[cos(2)]3x t t π=-(d): (){cos(4)()}x t t u t ενπ=(e): (){sin(4)()}x t t u t ενπ= (f): (2)()t n n x t e∞--=-∞=∑Solution:(a).Periodic. T=π/2. Solution: T=2π/4=π/2. (b). Periodic. T=2.Solution: T=2π/π=2.(c). Periodic. T=π/2.【括号内周期,平方后仍然周期,或者做三角变换】 (d). Periodic. T=0.5. Solution: )}()4{cos()(t u t E t x v π= )}())(4cos()()4{cos(21t u t t u t --+=ππ )}()(){4cos(21t u t u t -+=π)4cos(21t π=So, T=2π/4π=0.5【值得商榷】 (e)、(f)非周期信号。
第一章作业解答解:(b )jt t t j e e e t x --+-==)1(2)(由于)()(2)1()1())(1(2t x e e e T t x T j t j T t j ≠==++-+-++-,故不是周期信号;(或者:由于该函数的包络随t 增长衰减的指数信号,故其不是周期信号;) (c )n j e n x π73][= 则πω70= 7220=ωπ是有理数,故其周期为N=2;解:]4[1][1)1(]1[1][43--=--==+---=∑∑∞=∞=n u m n mk k n n x m k δδ-3 –2 –1 0 1 2 3 4 5 6 n1…减去:-3 –2 –1 0 1 2 3 4 5 6 nu[n-4]等于:-3 –2 –1 0 1 2 34 5 6 n…故:]3[+-n u 即:M=-1,n 0=-3。
解:x(t)的一个周期如图(a)所示,x(t)如图(b)所示:而:g(t)如图(c)所示……dtt dx )(如图(d )所示:……故:)1(3)(3)(--=t g t g dtt dx 则:1t ,0t 3,32121==-==;A A 1.15解:该系统如下图所示: 2[n](1)]4[2]3[5]2[2]}4[4]3[2{21]}3[4]2[2{]3[21]2[][][1111111222-+-+-=-+-+-+-=-+-==n x n x n x n x n x n x n x n x n x n y n y即:]4[2]3[5]2[2][-+-+-=n x n x n x n y(2)若系统级联顺序改变,该系统不会改变,因为该系统是线性时不变系统。
(也可以通过改变顺序求取输入、输出关系,与前面做对比)。
解:(a )因果性:)(sin )(t x t y =举一反例:当)0()y(,0int s x t =-=-=ππ则时输出与以后的输入有关,不是因果的;(b )线性:按照线性的证明过程(这里略),该系统是线性的。
∑ {δ [n + 4m - 4k ] - δ [n + 4m - 1 - 4k ]}∑ {δ [n - 4(k - m )] - δ [n - 1 - 4(k - m )]}∑ {δ [n - 4k ] - δ [n - 1 - 4k ]}s Because g (t ) =∑ δ (t - 2k ) ,Chapter 1 Answers1.6 (a).NoBecause when t<0, x (t ) =0. 1(b).NoBecause only if n=0, x [n ] has valuable.2(c).Y esBecause x[n + 4m ] ===∞ k =-∞ ∞ k =-∞ ∞ k =-∞N=4.1.9 (a). T=π /5Because w =10, T=2π /10= π /5.(b). Not periodic.Because x (t ) = e -t e - jt , while e -t is not periodic, x (t ) is not periodic.2 2(c). N=2Because w =7 π , N=(2 π / w )*m, and m=7.0 0(d). N =10Because x (n) = 3e j 3π / 10 e j (3π / 5)n , that is w =3 π /5, N=(2 π / w )*m, and m=3.4 0(e). Not periodic.Because w =3/5, N=(2 π / w )*m=10π m/3 , it ’not a rational number .1.14 A1=3, t1=0, A2=-3, t2=1 or -1Solution: x(t) isdx(t )dtis∞ k =-∞1.15. (a). y[n]=2x[n-2]+5x[n-3]+2x[n-4]dx(t ) dx(t )=3g(t)-3g(t -1) or =3g(t)-3g(t+1)d t dt2 22 12Solution:y [n ] = x [n - 2] + 1x [n - 3] 2 2 1= y [n - 2] + y [n - 3]1 1= {2 x [n - 2] + 4 x [n - 3]} + {2 x [n - 3] + 4 x [n - 4]}1 1 1 1 =2 x [n - 2] + 5x [n - 3] + 2 x [n - 4]1 11Then, y[n ] = 2 x [n - 2] + 5x[n - 3] + 2 x [n - 4](b).No. For it ’s linearity .the relationship be tw e en y [n ] and x [n ] is the same in-out relationship with (a).1 2you can have a try.1.16. (a). No.For example, when n=0, y[0]=x[0]x[-2]. So the system is memory . (b). y[n]=0.When the input is A δ [n ] ,then, y[n] = A 2δ [n]δ [n - 2] , so y[n]=0.(c). No.For example, when x[n]=0, y[n]=0; when x[n]= A δ [n ] , y[n]=0.So the system is not invertible.1.17. (a). No.For example, y(-π ) = x(0) . So it ’s not causal.(b). Y es.Because : y (t ) = x (sin(t )) ,y (t ) = x (sin(t ))1 122ay (t ) + by (t ) = ax (sin(t )) + bx (sin(t ))1 2121.21. Solution:W e(a).have known:(b).(c).(d).1.22.Solution:W e have known:(a).(b).(e).22 E {x(t )} =(g)1.23. Solution:For1[ x (t ) + x(-t )] v 1O {x(t )} = [ x (t ) - x(-t )] dthen, (a).(b).(c).1.24.2Solution:For:E {x[n ]} = v 1 2( x [n ] + x[-n ])1O {x[n]} = ( x [n ] - x[-n ]) dthen,(a).(b).Solution: x(t ) = E {cos(4π t )u(t )}s(c).1.25. (a). Periodic. T=π /2.Solution: T=2π /4= π /2. (b). Periodic. T=2.Solution: T=2π / π =2. (d). Periodic. T=0.5.v1= {cos(4πt )u (t ) + cos(4π (-t ))u (-t )}2 1= cos(4π t ){u (t ) + u(-t )}2 1= cos(4π t )2So, T=2π /4 π =0.51.26. (a). Periodic. N=7Solution: N= 2π* m =7, m=3.6π / 7(b). Aperriodic.Solution: N= 2π 1/ 8* m = 16m π , it ’not rational number .(e). Periodic. N =16Solution as follow:2 cos( n ) , it ’s period is N=2π *m/( π /4)=8, m=1.sin( n ) , it ’s period is N=2π *m/( π /8)=16, m=1.(2). g (t ) ∑δ (t - 2k )π π π πx[n ] = 2 cos( n ) + sin( n ) - 2 cos( n + 4 8 2 6)in this equation,π4 π8π π- 2 cos( n + 2 6) , it ’s period is N=2π *m/( π /2)=4, m=1.So, the fundamental period of x[n ] is N=(8,16,4)=16.1.31. SolutionBecausex (t ) = x (t ) - x (t - 2), x (t ) = x (t + 1) + x (t ) .2 11311According to LTI property ,y (t ) = y (t ) - y (t - 2), y (t ) = y (t + 1) + y (t )2 11311Extra problems:1. SupposeSketch y(t ) = ⎰t-∞x(t )dt .Solution:2. SupposeSketch:(1). g (t )[δ (t + 3) + δ (t + 1) - 2δ (t - 1)]∞k =-∞Because x[n]=(1 2 0 –1) , h[n]=(2 0 2) , the nSolution: (1).(2).Chapter 22.1 Solution:-1(a).So,y [n ] = 2δ [n + 1] + 4δ [n ] + 2δ [n - 1] + 2δ [n - 2] - 2δ [n - 4]1(b). according to the property of convolutioin:y [n ] = y [n + 2]2 1(c). y [n] = y [n + 2]31=∑ x[k ]h [n - k ]( ) 0 - ( ) (n +2)-2+1= ∑ ( ) k -2 u[n] = 2 u[n]2 ⎩0, elsewhere W e have known: x[n] = ⎨ ⎩0,elsewhere , h[n] = ⎨ ,( N ≤ 9 ), , ∑ h[k ]u[n - k ]∑ (u[k ] - u[k - N - 1])(u[n - k ] - u[n - k - 10])∑ (u[k ] - u[k - N - 1])(u[4 - k ] - u[-k - 6])⎧∑ 1,...N ≤ 4⎪∑1,...N ≥ 4 ⎪⎩∑ (u[k ] - u[k - N - 1])(u[14 - k ] - u[4 - k ])2.3 Solution:y[n ] = x[n ]* h [n ]∞ k =-∞ ∞1= ∑ ( ) k -2 u [k - 2]u [n - k + 2]2k =-∞1 1 n +2 121 k =2 1 -21= 2[1 - ( ) n +1 ]u [n ]2the figure of the y[n] is:2.5 Solution:⎧1 ....0 ≤ n ≤ 9 ....⎧1 0≤ n ≤ N .... Then,x[n] = u[n] - u[n - 10] , h[n] = u[n] - u[n - N - 1]y[n] = x[n]* h[n] =∞k =-∞=∞ k =-∞So, y[4] =∞ k =-∞N⎪ ⎪ = ⎨k =04k =0=5, the n N ≥ 4And y[14] =∞ k =-∞⎧∑ 1,...N ≤ 14⎪∑1,...N ≥ 14 ⎪⎩ ∑ x[k ]g [n - 2k ]∑ x[k ]g [n - 2k ] = ∑ δ [k - 1]g [n - 2k ] = g [n - 2]∑ x[k ]g [n - 2k ] = ∑ δ [k - 2]g [n - 2k ] = g [n - 4]∑ x[k ]g [n - 2k ] = ∑ u[k ]g [n - 2k ] = ∑ g [n - 2k ]N⎪ ⎪= ⎨ k =514k =5∴N = 4=0, the n N < 52.7 Solution:y[n] =∞k =-∞(a ) x[n] = δ [n - 1] , y[n] =∞∞k =-∞ k =-∞ (b)x[n] = δ [n - 2] , y[n] =∞∞k =-∞k =-∞(c) S is not LTI system..(d) x[n] = u[n] , y[n] =∞ ∞∞k =-∞k =-∞ k =02.8 Solution:y(t ) = x(t ) * h (t ) = x(t ) *[δ (t + 2) + 2δ (t + 1)]= x(t + 2) + 2 x (t + 1)Then,⎩ = ⎰ u(τ - 3)e -3(t -τ )u(t - τ )d τ - ⎰ u(τ - 5)e -3(t -τ )u(t - τ )d τ⎩= u(t - 3)⎰ e -3(t -τ ) d τ - u(t - 5)⎰ e -3(t -τ ) d τ⎧t + 3,..... - 2 < t < -1 ⎪4,.......... t = -1 ⎪⎪That is, y(t ) = ⎨t + 4,..... - 1 < t ≤ 0⎪2 - 2t,....0 < t ≤ 1 ⎪ ⎪0,....... others2.10 Solution:(a). W e know:Then,h '(t ) = δ (t ) - δ (t - α )y '(t ) = x(t ) * h '(t ) = x(t ) *[δ (t ) - δ (t - α )]= x(t ) - x(t - α )that is,⎧t,.....0 ≤ t ≤ α ⎪α ,....α ≤ t ≤ 1So, y(t ) = ⎨⎪1 + α - t,.....1 ≤ t ≤ 1 + α ⎪0,.....others(b). From the figure of y '(t ) , only if α = 1 , y '(t ) would contain merely therediscontinuities.2.11 Solution:(a).y(t ) = x(t ) * h(t ) = [u (t - 3) - u (t - 5)]* e -3t u (t )∞ ∞-∞-∞tt35= ⎨⎰ e -3(t -τ ) d τ = ,.....3 ≤ t < 5 ⎪ 3 ⎪⎰ e -3(t -τ ) d τ - ⎰ e -3(t -τ ) d τ = - e ⎪ t9-3t + e 15-3t ⎪⎩ s y(t ) = e -t u (t ) * ∑ δ (t - 3k ) = ∑ [e = ∑ e -(t -3k )u (t - 3k )y(t ) = e -t [ ∑ e 3k u (t - 3k )] = e -t∑ ew [n ] = 1w [n - 1] + x[n ]⎧⎪ ⎪0,................. t < 3⎪ t1 - e 9-3t3t353,...... t ≥ 5(b). g (t ) = (dx(t ) / dt ) * h(t ) = [δ (t - 3) - δ (t - 5)]* e -3t u (t )= e -3(t -3) u (t - 3) - e -3(t -5) u (t - 5)(c). It ’obvious that g (t ) = d y (t ) / dt .2.12 Solution∞∞k =-∞k =-∞∞k =-∞Considering for 0 ≤ t < 3 ,we can obtain-t u (t ) * δ (t - 3k )]∞k =-∞0 k =-∞3k= e -t 11 - e -3.(Because k mu st be negetive , u (t - 3k ) = 1 for 0 ≤ t < 3 ).2.19 Solution:(a). W e have known:2 (1)y[n ] = αy[n - 1] + βw [n ](2)then, H ( E ) = H ( E ) H ( E ) =βE 2= .... or : (α + ) = ∴⎨ 2 8 ⎝ 2 = - E ∴ h [n ] = ⎢2( ) n - ( ) n ⎥u [n ] ⎩Θ⎰⎰ sin(2πt )δ (t + 3)dt has value only on t = -3 , but - 3 ∉ [0,5]⎰ sin(2πt )δ (t + 3)dt =0Θ⎰-4from (1), H ( E ) =E1E -1 2from (2), H ( E ) =2 βEE - α121 ( E - α )(E - )2 = β1 α 1 - (α + ) E -1 + E -22 21 α∴ y[n ] - (α + ) y[n - 1] + y[n - 2] = βx[n ]2 21 3but, y[n ] = - y[n - 2] + y[n - 1] + x[n ]8 4⎧α 1 ⎛1 ⎪ 3 ⎫ ⎪4 ⎭ ⎧ 1 ⎪α = ∴⎨ 4⎪β = 1(b). from (a), we know H ( E ) = H ( E ) H ( E ) =1 22E +1 1 E - E -4 2⎡ 1 1 ⎤ ⎣ 24 ⎦2.20 (a). 1⎪⎩β = 1E 21 1 ( E - )(E - ) 4 2(b). 0∞-∞ u (t ) cos(t )dt =⎰∞ δ (t ) cos(t )dt = cos(0) = 1-∞Θ∴(c). 05 0 5 05-5 u (1 - τ ) cos(2πτ )d τ = -⎰6 u (t ) cos(2πt )dt1 1= -⎰6 δ '(t ) cos(2πt )dt-4= cos '(2π t ) |t =0= -2π sin(2πt ) |t =0= 0∑ δ (t - kT ) * h (t )∑ h (t - kT )⎰ y(t )d t , A = ⎰ x(t )dt ,A = ⎰ h(t )d t .⎰ x(τ ) x (t - τ )d τ⎰ y(t )dt = ⎰ ⎰ x(τ ) x (t - τ )d τd t= ⎰ ⎰ x(τ ) x (t - τ )dtd τ = ⎰ x(τ ) ⎰ x(t - τ )dtd τ⎰ x(τ ) ⎰ x(ξ )d ξ d τ = ⎰ x(τ )d τ{ ⎰ x(ξ )d ξ}2.23 Solution:Θ y(t ) = x(t ) * h (t ) =∞k =-∞=∞ k =-∞∴2.27 SolutionA = y∞ ∞ ∞ x h-∞ y(t ) = x(t )* h(t ) = -∞ -∞ ∞-∞A = y∞ ∞ ∞-∞ -∞ -∞∞ ∞∞∞-∞ -∞-∞ -∞= ∞ ∞ ∞ ∞-∞= A Ax h-∞ -∞ -∞⎰e ⎰ eδ (τ - 2)d τ = ⎰ e⎰ u(τ + 1)eu(t - 2 - τ )d τ - ⎰ u(τ - 2)e= u(t - 1) ⎰ ed τ - u(t - 4) ⎰ e-(t -2-τ )d τ2.40 Solution(a) y(t ) = t-(t -τ) x(τ - 2)d τ ,Let x(t ) = δ (t ) ,then y(t ) = h (t ) .-∞So , h(t ) = t t -2-(t -τ ) -∞-∞-(t -2-ξ )δ (ξ )d ξ = e -(t -2)u(t - 2)(b)y(t ) = x(t )* h(t ) = [u(t + 1) - u(t - 2)]* e -(t -2)u(t - 2)=∞ ∞ -(t -2-τ )-∞-∞-(t -2-τ )u(t - 2 - τ )d τt -2-1-(t -2-τ ) t -2 2= u(t - 1)[e -(t -2) e τ ]| t -2 -u(t - 4)[e -(t -2) e τ ]| t -2-1 2= [1- e -(t -1) ]u(t - 1) - [1- e -(t -4) ]u(t - 4)2.46 SolutionBecaused d dx(t ) = [ 2e -3t ]u (t - 1) + 2e -3t [ u (t - 1)] d t dt d t= -3x(t ) + 2e -3t δ (t - 1) = -3x(t ) + 2e -3δ (t - 1) .From LTI property ,we knowdd tx(t ) → -3 y (t ) + 2e -3 h (t - 1)whereh (t ) is the impulse response of the system.So ,following equation can be derived.2e -3h(t - 1) = e -2t u (t )Finally, h (t ) = 12e 3e -2(t +1)u (t + 1)2.47 SoliutionAccording to the property of the linear time-invariant system:(a). y(t ) = x(t ) * h(t ) = 2 x (t ) * h (t ) = 2 y (t )0 0(b). y(t ) = x(t ) * h(t ) = [ x (t ) - x (t - 2)]* h(t )1y(t)= x (t ) * h (t ) - x (t - 2) * h (t )0 2 4t= [ y (t )] = y (1). Because H ( P ) = 1so h (t ) = (1= 2 + E - E ⎪ [ ]⎪δ [k ] = i (-1 - i) n- (-1 + i) n u [n] so h [n ] = 2 2 i= y (t ) - y (t - 2)0 0(c). y(t ) = x(t ) * h(t ) = x (t - 2) * h (t + 1) = x (t - 2) * h (t ) * δ (t + 1) = y (t - 1)0 0(d). The condition is not enough.(e). y(t ) = x(t ) * h(t ) = x (-t ) * h (-t )0 0= ⎰∞ x (-τ )h (-t + τ )d τ-∞ = ⎰∞x (m )h (-t - m )dm = y (-t )-∞(f). y(t ) = x(t ) * h (t ) = x ' (-t ) * h ' (-t ) = [ x ' (-t ) * h (-t )] ' ' ' " (t )Extra problems:1. Solute h(t), h[n](1). d 2 dy(t ) + 5 y(t ) + 6 y(t ) = x(t )dt 2 dt(2). y[n + 2] + 2 y[n + 1] + 2 y[n ] = x[n + 1]Solution:1 1 - 1= = +P 2 + 5P + 6 ( P + 2)( P + 3) P + 2 P + 3- 1+)δ (t ) = (e -2t - e -3t )u (t )P + 2P + 3(2). Because H ( E ) = E E E= =E 2 + 2E + 2 ( E + 1) 2 + 1 ( E + 1 + i)( E + 1 - i)i i E - E2E + 1 + i E + 1 - i⎛ i ⎫+E + 1 + i E + 1 - i ⎪ 2 ⎪ ⎝ ⎭x(t ) = ∑ for the period of cos( 5πt ) is T = 63the period of sin( 22⎰ x 2 (t )e - jkw 2t d t = ⎰ ( x 1 (1- t ) + x 1 (t - 1))e - jkw 1t dtT T TChapter 33.1 Solution:Fundamental period T = 8 . ω = 2π / 8 = π / 4∞a e j ω0kt = a e j ω0t + a e - j ω0t + a e j 3ω0t + a e - j 3ω0tk 1 -1 3 -3k =-∞ = 2ej ω0t+ 2e - j ω0t + 4 je j 3ω0t - 4 je - j3ω0t π 3π= 4cos( t ) - 8sin( t )4 43.2 Solution:for , a = 1 , a0 -2= e - j π / 4 , a = e j π / 4 , a 2-4= 2e - j π / 3 , a = 2e j π / 34x[n] = ∑ a e jk (2π / N )nkk =< N >= a + a e j (4π / 5)n + a e - j (4π / 5)n + a e j (8π / 5)n + a e - j (8π / 5)n0 2-24-4= 1 + e j π / 4 e j (4π / 5)n + e - j π / 4 e - j (4π / 5)n + 2e j π / 3e j (8π / 5)n + 2e - j π / 3e - j (8π / 5)n4 π 8 π= 1 + 2 cos( πn + ) + 4 cos( πn + )5 4 5 3 4 3π 8 5π= 1 + 2sin( πn + ) + 4sin( πn + )5 4 5 63.3 Solution:2πt ) is T= 3 , 3so the period of x(t ) is 6 , i.e. w = 2π / 6 = π / 32π 5π x(t ) = 2 + cos(t ) + 4sin(t )331= 2 + cos(2w t ) + 4sin(5w t )0 0 1= 2 + (e j 2w 0t + e - j 2w 0t ) - 2 j(e j5w 0t - e - j5w 0t )2 then, a = 2 , a 0 -2 1= a = , a 2 -5 = 2 j , a = -2 j 53.5 Solution:(1). Because x (t ) = x (1 - t ) + x (t - 1) , the n x (t ) has the same period as x (t ) ,21121that is T = T = T ,w = w2121(2). b = 1 k⎰ x 1 (1- t )e - jkw 1t d t + 1 ⎰ x 1 (t - 1)e - jkw 1t dt ∑∑⎰ x(t ) 2 dt = a 0 2 + a -1 2 + a 1 2 = 2 a 1 2 = 1 Fundamental period T = 8 . ω = 2π / 8 = π / 4∑∑ a H ( jkw )ejkw 0tk ω ⎩0,......k ≠ 0⎧ ∑t Because a =⎰ x(t )d t = 1⎰4 1d t + 1 ⎰ 8(-1)d t = 0TT88 4= 1 T T T T= a e - jkw 1 + a e - jkw 1 = (a -k k3.8 Solution:-k+ a )e - jkw 1 kΘx(t ) =∞ k =-∞a e jw 0ktkwhile:andx(t ) is real and odd, the n a = 0 , a = -a 0 kT = 2 , the n w = 2π / 2 = πa = 0 for k > 1k-ksox(t ) =∞ a e jw 0kt = a + a e - jw 0t + a e jw 0tk 0 -1 1k =-∞= a (e j πt - e - j πt ) = 2a sin(π t )11for1 2 2 0∴∴a = ± 2 /21x(t ) = ± 2 sin(π t )3.13 Solution:Θx(t ) =∞ k =-∞a e jw 0ktk∴ y(t ) =∞k 0k =-∞H ( jk ω ) = sin(4k ω0 ) =⎨4,...... k = 00 0 ∴ y(t ) =∞a H ( jkw )e jkw 0= 4a k 00 k =-∞1Soy(t ) = 0 .∑∑a H(jkw)e jkw0tT t H(jw)=⎨if a=0,it needs kw>100T ⎰T⎰t dt=0T ⎰x(t)e-jkw0t dt=⎰te-jk22t dt=1⎰1te-jkπt dt11⎰1tde-jkπt2jkπ⎢-1⎦⎢(e-jkπ+e jkπ)-⎥-jkπ2c os(kπ)+-jkπ⎥⎦[2cos(kπ)]=j cos(kπ)=j(-1)k............k≠03.15Solution:Θx(t)=∞k=-∞a e jw0kt k∴y(t)=∞k=-∞k0∴a=1k ⎰Ty(t)H(jkw)e-jkw0d tfor⎧⎪1,......w≤100⎪⎩0,......w>100∴k0that is k2π100 >100,.......k>π/612and k is integer,so K>8 3.22Solution:a=10x(t)dt=112-1a= k 1T2-12-1π=-1 2jkπ-1=-1⎡⎢te-jkπt⎣1-1-e-jkπt-jkπ1⎤⎥⎥=-=-12jkπ12jkπ⎡(e-jkπ-e jkπ)⎤⎣⎦⎡2sin(kπ)⎤⎢⎣=-12jkπkπkπ⎰ h (t )e - j ωt d t = ⎰ e -4 t e - j ωt d t= ⎰ e e d t + ⎰ e -4t e - j ωt d t∑0 ∑∑Ta = ⎰ x(t )e - jkw 0t d t = ⎰1/ 2 δ(t )e - jk 2πt d t = 1T T-1/ 2 ∑T∑ (-1) δ (t - n ) .T=2, ω = π , a = 1T a = ⎰ x(t )e - jkw 0t d t = ⎰ δ (t )e - jk πt d t + ⎰ 3/ 2 (-1)δ (t - 1)e - jk πt d tT 2 -1/ 2 2 1/ 2 T 16 + (k π )23.34 Solution:∞ ∞H ( j ω ) =-∞-∞0 ∞ 4t - j ωt-∞118=+=4 - j ω 4 + j ω 16 + ω 2A periodic continous-signal has Fourier Series:. x(t ) =T is the fundamental period of x(t ) . ω = 2π / T∞ k =-∞a e j ω ktkThe output of LTI system with inputed x(t ) is y(t ) =Its coefficients of Fourier Series: b = a H ( jk ω )k k 0∞ k =-∞a H ( jk ω )e jk ω tk 0(a) x(t ) =∞ n =-∞ δ (t - n ) .T=1, ω = 2π a = 1 = 1 .0 k1 k(N ot e :If x(t ) =∞ n =-∞δ (t - nT ) , a =1 k)So b = a H ( jk 2π ) = k k 8 2=16 + (2k π )2 4 + (k π )2(b) x(t ) = ∞n =-∞n0 k= 11 1 1/2 1 k1= [1- (-1)k ] 24[1-(-1)k ]So b = a H ( jk π ) = ,k k(c) T=1, ω = 2π⎰ x(t )e - jk ω0t d t = ⎰1/ 4e - jk 2πt d t =∑∑ a H ( jkw )ejkw 0t⎪⎩0,......otherwise ⎩0,......otherwise H ( jw) = ⎨⎪, 14Let y(t ) = x(t ) , b = a , it needs a = 0 ,for k < 18..or .. k ≤ 17 .∑∑∑ 2n e - j ωn + ∑ ( )n e - j ωn1 =2 41 1 5∑a ejk ( N )n .a = k1 T T -1/ 4 k π sin(2 k π)b = a H ( jk π ) =k k k π8sin( )2 k π [16 + (2k π )2 ]3.35 Solution: T= π / 7 , ω = 2π / T = 14 .Θx(t ) =∞a e jw 0ktk∴y(t ) =k =-∞ ∞ k =-∞k 0∴b = a H ( jkw )k k 0for ⎧1,...... w ≥ 250 ⎧1,...... k ≥ 170 that is k ω 0 < 250,....... k < 250, and k is integer , so k < 18..or .. k ≤ 17 .kkk3.37 Solution:H (ej ω) = ∞n =-∞h [n ]e- j ωn=∞ n =-∞1 ( ) ne - j ωn 2-1∞1= 2n =-∞ n =0 1 3e j ω+ =1 - e j ω 1 - e - j ω - cos ω2 2 4A periodic sequen ce has Fourier Series: x [n ] =N is the fundamental period of x[n ] .k =< N >k2πThe output of LTI system with inputed x[n ] is y[n ] =∑ a H (ekj 2π k N)ejk ( 2π )n N .k =< N >∑4 .So b = a H (e j N k ) = 1 4 45 - cos( 2π k ) k =2 21 T ' 1 3T '-1 = ⎰ x(3t - 1)e T ' dt = ⎰ x(m )e = ⎰ x(m )e e⎡ 1T -1 T ⎢⎰∑a e jk (2π/T )t ,where a = 0 for every2π Its coefficients of Fourier Series: b = a H (ejN k )kk3(a) x[n ] =∞ k =-∞δ [n - 4k ] .N=4, a = 1 k k k 2π 4 4b =k3 165 π- cos( k ) 4 23.40 Solution:According to the property of fourier series:(a). a k '= a e - jkw 0t 0 + a e jkw 0t 0 = 2a cos(kw t ) = 2a cos(k k k k 0 0 k 2π t )T 0(b). Because E {x(t )} =v x(t ) + x(-t )2a ' a + a k 2-k= E {a }v k(c). Because R {x(t )} = x(t ) + x * (t )e'a + a *a = k-k k(d). a '= ( jkw ) 2 a = ( jk k 0 k 2πT) 2 ak(e). first, the period of x(3t - 1) is T ' =T3th e n ak ' 2π - jk t T ' 0 T ' -11 T -12π 2π - jkm - jk dmT TT -1- jk 2π m +1 dm T ' 3 3= e- jk 2π ⎣ T -1x(m )e2π- jk m T⎤dm ⎥⎦2π = a e- jk Tk3.43 (a) Proof:( i ) Because x(t ) is odd harmonic , x(t ) =non-zer o even k.∞ k =-∞k kx(t + ) = ∑ a e jk (2π /T )(t + 2 )T 2∑= - ∑ a e jk (2π /T )t(ii )Because of x(t ) = - x (t + ) ,we get the coefficients of Fourier Seriesa = ⎰ x(t )e - jk 2T π t d t = 1 ⎰ T / 2 x(t )e - jk 2T π t d t + 1 ⎰ T x(t )e - jk 2T π t d tT 0 T 0 T T /2 1 T /2 1 T /2 = ⎰ T dt + ⎰ x(t + T / 2)e x(t )e 1 T /2 1 T /2 = ⎰ x(t )eT dt - ⎰ x(t )(-1)k e T dt 1T /2It is obvious that a = 0 for every non-zer o even k. So x(t ) is odd harmonic ,-11x(t ) = ∑ δ (t - kT ) , T = π∞ T k k =-∞= ∞a e jk π e jk (2π /T )tkk =-∞∞kk =-∞It is noticed that k is odd integers or k=0.That meansTx(t ) = - x (t + )2T21 T k2π - jk t T 0 T 0 2π- jk (t +T / 2) Tdt2π 2π- jk t - jk t T 0 T 0= [1- (-1)k ] ⎰T 02π x(t )e- jk Tt d tk(b) x(t )1......-2-12 tExtra problems:∞ k =-∞(1). Consider y(t ) , when H ( jw) isx(t ) = ∑ δ (t - kT ) ↔T π T∑ a H ( jkw )ejkw 0t=1k =-∞ π∑∑π∑1(2). Consider y(t ) , when H ( jw) isSolution:∞k =-∞ 1 1 2π= , w = = 2 0(1).y(t ) =∞k 0∞k =-∞a H ( j 2k )e j 2ktk=2π (for k can only has value 0)(2).y(t ) =∞ k =-∞a H ( jkw )e jkw 0t =1k 0∞k =-∞a H ( j 2k )e j 2ktk=1π (e - j 2t + e j 2t ) =2 cos 2tπ(for k can only has value – and 1)。
第一章 1.3 解:(a). 2401lim(),04Tt T TE x t dt e dt P ∞-∞∞→∞-====⎰⎰(b) dt t x TP T TT ⎰-∞→∞=2)(21lim121lim ==⎰-∞→dt T TTT∞===⎰⎰∞∞--∞→∞dt t x dt t x E TTT 22)()(lim(c).222lim()cos (),111cos(2)1lim()lim2222TT TTTT T TTE x t dt t dt t P x t dt dt TT∞∞→∞--∞∞→∞→∞--===∞+===⎰⎰⎰⎰(d) 034121lim )21(121lim ][121lim 022=⋅+=+=+=∞→=∞→-=∞→∞∑∑N N n x N P N Nn n N N N n N 34)21()(lim202===∑∑-∞=∞→∞nNNn N n x E (e). 2()1,x n E ∞==∞211lim []lim 112121N NN N n N n NP x n N N ∞→∞→∞=-=-===++∑∑ (f) ∑-=∞→∞=+=NNn N n x N P 21)(121lim 2∑-=∞→∞∞===NNn N n x E 2)(lim1.9. a). 00210,105T ππω===; b) 非周期的; c) 00007,,22m N N ωωππ=== d). 010;N = e). 非周期的; 1.12 解:∑∞=--3)1(k k n δ对于4n ≥时,为1即4≥n 时,x(n)为0,其余n 值时,x(n)为1 易有:)3()(+-=n u n x , 01,3;M n =-=-1.15 解:(a)]3[21]2[][][222-+-==n x n x n y n y , 又2111()()2()4(1)x n y n x n x n ==+-, 1111()2[2]4[3][3]2[4]y n x n x n x nx n ∴=-+-+-+-,1()()x n x n =()2[2]5[3]2[4]y n x n x n x n =-+-+- 其中][n x 为系统输入。
信号与系统 奥本海姆第二版 习题解答Department of Computer Engineering2005.12ContentsChapter 1 (2)Chapter 2 (17)Chapter 3 (35)Chapter 4 (62)Chapter 5 (83)Chapter 6 (109)Chapter 7 (119)Chapter 8 (132)Chapter 9 (140)Chapter 10 (160)Chapter 1 Answers1.1 Converting from polar to Cartesian coordinates:111cos 222j eππ==- 111c o s ()222j e ππ-=-=- 2cos()sin()22jj j eπππ=+=2c o s ()s i n ()22jjj eπππ-=-=- 522j jj eeππ==4c o s ()s i n ())144jjj πππ+=+9441j jj ππ=-9441j j j ππ--==-41jj π-=-1.2 055j=, 22j e π-=,233jj e π--=212je π--=, 41j j π+=, ()2221jj eπ-=-4(1)j je π-=, 411j je π+=-12e π-1.3. (a) E ∞=4014tdt e∞-=⎰, P ∞=0, because E ∞<∞ (b) (2)42()j t t x eπ+=, 2()1t x =.Therefore, E ∞=22()dt t x +∞-∞⎰=dt +∞-∞⎰=∞,P ∞=211limlim222()TTTTT T dt dt TTt x --→∞→∞==⎰⎰lim11T →∞=(c) 2()t x =cos(t). Therefore, E ∞=23()dt t x +∞-∞⎰=2cos()dt t +∞-∞⎰=∞, P ∞=2111(2)1lim lim 2222cos()TTTTT T COS t dt dt T Tt --→∞→∞+==⎰⎰(d)1[][]12nn u n x =⎛⎫ ⎪⎝⎭,2[]11[]4nu n n x =⎛⎫ ⎪⎝⎭. Therefore, E ∞=24131[]4nn n x +∞∞-∞===⎛⎫∑∑ ⎪⎝⎭P ∞=0,because E ∞<∞.(e) 2[]n x =()28n j e ππ-+,22[]n x =1. therefore, E ∞=22[]n x +∞-∞∑=∞,P ∞=211limlim1122121[]NNN N n Nn NN N n x →∞→∞=-=-==++∑∑.(f) 3[]n x =cos 4nπ⎛⎫ ⎪⎝⎭. Therefore, E ∞=23[]n x +∞-∞∑=2cos()4n π+∞-∞∑=2cos()4n π+∞-∞∑,P ∞=1limcos 214nNN n NN π→∞=-=+⎛⎫∑ ⎪⎝⎭1cos()112lim ()2122NN n Nn N π→∞=-+=+∑ 1.4. (a) The signal x[n] is shifted by 3 to the right. The shifted signal will be zero for n<1, And n>7. (b) The signal x[n] is shifted by 4 to the left. The shifted signal will be zero for n<-6. And n>0. (c) The signal x[n] is flipped signal will be zero for n<-1 and n>2.(d) The signal x[n] is flipped and the flipped signal is shifted by 2 to the right. The new Signal will be zero for n<-2 and n>4.(e) The signal x[n] is flipped and the flipped and the flipped signal is shifted by 2 to the left. This new signal will be zero for n<-6 and n>0.1.5. (a) x(1-t) is obtained by flipping x(t) and shifting the flipped signal by 1 to the right. Therefore, x (1-t) will be zero for t>-2. (b) From (a), we know that x(1-t) is zero for t>-2. Similarly, x(2-t) is zero for t>-1, Therefore, x (1-t) +x(2-t) will be zero for t>-2. (c) x(3t) is obtained by linearly compression x(t) by a factor of3. Therefore, x(3t) will be zero for t<1.(d) x(t/3) is obtained by linearly compression x(t) by a factor of 3. Therefore, x(3t) will bezero for t<9.1.6(a) x1(t) is not periodic because it is zero for t<0.(b) x2[n]=1 for all n. Therefore, it is periodic with a fundamental period of 1.(c) x3[n1.7. (a)()1[]vnxε={}1111[][]([][4][][4])22n n u n u n u n u nx x+-=--+----Therefore, ()1[]vnxεis zero for1[]nx>3.(b) Since x1(t) is an odd signal, ()2[]vnxεis zero for all values of t.(c)(){}11311[][][][3][3]221122vn nn n n u n u nx x xε-⎡⎤⎢⎥=+-=----⎢⎥⎢⎥⎣⎦⎛⎫⎛⎫⎪ ⎪⎝⎭⎝⎭Therefore, ()3[]vnxεis zero when n<3 and when n→∞.(d) ()1554411()(()())(2)(2)22vt tt t t u t u tx x x e eε-⎡⎤=+-=---+⎣⎦Therefore, ()4()vtxεis zero only when t→∞.1.8. (a) ()01{()}22cos(0)tt tx eπℜ=-=+(b) ()02{()}cos()cos(32)cos(3)cos(30)4tt t t tx eππℜ=+==+(c) ()3{()}sin(3)sin(3)2t tt t tx e eππ--ℜ=+=+(d) ()224{()}sin(100)sin(100)cos(100)2t t tt t t tx e e eππ---ℜ=-=+=+1.9. (a)1()tx is a periodic complex exponential.101021()j t j tt jx e eπ⎛⎫+⎪⎝⎭==(b)2()tx is a complex exponential multiplied by a decaying exponential. Therefore,2()tx is not periodic.(c)3[]nx is a periodic signal. 3[]n x=7j neπ=j neπ.3[]nx is a complex exponential with a fundamental period of 22ππ=.(d)4[]nx is a periodic signal. The fundamental period is given by N=m(23/5ππ)=10().3mBy choosing m=3. We obtain the fundamental period to be 10.(e)5[]nx is not periodic. 5[]nx is a complex exponential with 0w=3/5. We cannot find any integer m such that m(2wπ) is also an integer. Therefore,5[]nxis not periodic.1.10. x(t)=2cos(10t+1)-sin(4t-1)Period of first term in the RHS =2105ππ=.Period of first term in the RHS =242ππ=.Therefore, the overall signal is periodic with a period which the least commonmultiple of the periods of the first and second terms. This is equal toπ.1.11. x[n] = 1+74j n e π−25j n e πPeriod of first term in the RHS =1. Period of second term in the RHS =⎪⎭⎫ ⎝⎛7/42π=7 (when m=2)Period of second term in the RHS =⎪⎭⎫ ⎝⎛5/22ππ=5 (when m=1)Therefore, the overall signal x[n] is periodic with a period which is the least common Multiple of the periods of the three terms inn x[n].This is equal to 35.1.12. The signal x[n] is as shown in figure S1.12. x[n] can be obtained by flipping u[n] and thenShifting the flipped signal by 3 to the right. Therefore, x[n]=u[-n+3]. This implies that M=-1 and no=-3.1.13y (t)=⎰∞-tdt x )(τ =dt t))2()2((--+⎰∞-τδτδ=⎪⎩⎪⎨⎧>≤≤--<2,022,12,0,t t tTherefore ⎰-==∞224d t E∑∑∞-∞=∞-∞=----=k k k t k t t g 12(3)2(3)(δδ)This implies that A 1=3, t 1=0, A 2=-3, and t 2=1.1.15 (a) The signal x 2[n], which is the input to S 2, is the same as y 1[n].Therefore ,y 2[n]= x 2[n-2]+21x 2[n-3] = y 1[n-2]+ 21y 1[n-3]=2x 1[n-2] +4x 1[n-3] +21( 2x 1[n-3]+ 4x 1[n-4]) =2x 1[n-2]+ 5x 1[n-3] + 2x 1[n-4] The input-output relationship for S isy[n]=2x[n-2]+ 5x [n-3] + 2x [n-4](b) The input-output relationship does not change if the order in which S 1and S 2 are connected series reversed. . We can easily prove this assuming that S 1 follows S 2. In this case , the signal x 1[n], which is the input to S 1 is the same as y 2[n].Therefore y 1[n] =2x 1[n]+ 4x 1[n-1]= 2y 2[n]+4 y 2[n-1]=2( x 2[n-2]+21 x 2[n-3] )+4(x 2[n-3]+21x 2[n-4]) =2 x 2[n-2]+5x 2[n-3]+ 2 x 2[n-4]The input-output relationship for S is once againy[n]=2x[n-2]+ 5x [n-3] + 2x [n-4]1.16 (a)The system is not memory less because y[n] depends on past values of x[n].(b)The output of the system will be y[n]= ]2[][-n n δδ=0(c)From the result of part (b), we may conclude that the system output is always zero for inputs of the form ][k n -δ, k ∈ ґ. Therefore , the system is not invertible .1.17 (a) The system is not causal because the output y(t) at some time may depend on future values of x(t). For instance , y(-π)=x(0).(b) Consider two arbitrary inputs x 1(t)and x 2(t).x 1(t) →y 1(t)= x 1(sin(t)) x 2(t) → y 2(t)= x 2(sin(t))Let x 3(t) be a linear combination of x 1(t) and x 2(t).That is , x 3(t)=a x 1(t)+b x 2(t)Where a and b are arbitrary scalars .If x 3(t) is the input to the given system ,then the corresponding output y 3(t) is y 3(t)= x 3( sin(t))=a x 1(sin(t))+ x 2(sin(t)) =a y 1(t)+ by 2(t)Therefore , the system is linear.1.18.(a) Consider two arbitrary inputs x 1[n]and x 2[n].x 1[n] → y 1[n] =][01k x n n n n k ∑+-=x 2[n ] → y 2[n] =][02k x n n n n k ∑+-=Let x 3[n] be a linear combination of x 1[n] and x 2[n]. That is :x 3[n]= ax 1[n]+b x 2[n]where a and b are arbitrary scalars. If x 3[n] is the input to the given system, then the corresponding outputy 3[n] is y 3[n]=][03k x n n n n k ∑+-==])[][(2100k bx k ax n n n n k +∑+-==a ][001k x n n n n k ∑+-=+b ][02k x n n n n k ∑+-== ay 1[n]+b y 2[n]Therefore the system is linear.(b) Consider an arbitrary input x 1[n].Lety 1[n] =][01k x n n n n k ∑+-=be the corresponding output .Consider a second input x 2[n] obtained by shifting x 1[n] in time:x 2[n]= x 1[n-n 1]The output corresponding to this input isy 2[n]=][02k x n n n n k ∑+-== ]n [1100-∑+-=k x n n n n k = ][01011k x n n n n n n k ∑+---=Also note that y 1[n- n 1]=][01011k x n n n n n n k ∑+---=.Therefore , y 2[n]= y 1[n- n 1] This implies that the system is time-invariant.(c) If ][n x <B, then y[n]≤(2 n 0+1)B. Therefore ,C ≤(2 n 0+1)B.1.19 (a) (i) Consider two arbitrary inputs x 1(t) and x 2(t). x 1(t) → y 1(t)= t 2x 1(t-1)x 2(t) → y 2(t)= t 2x 2(t-1)Let x 3(t) be a linear combination of x 1(t) and x 2(t).That is x 3(t)=a x 1(t)+b x 2(t)where a and b are arbitrary scalars. If x 3(t) is the input to the given system, then the corresponding output y 3(t) is y 3(t)= t 2x 3 (t-1)= t 2(ax 1(t-1)+b x 2(t-1))= ay 1(t)+b y 2(t)Therefore , the system is linear.(ii) Consider an arbitrary inputs x 1(t).Let y 1(t)= t 2x 1(t-1)be the corresponding output .Consider a second input x 2(t) obtained by shifting x 1(t) in time:x 2(t)= x 1(t-t 0)The output corresponding to this input is y 2(t)= t 2x 2(t-1)= t 2x 1(t- 1- t 0)Also note that y 1(t-t 0)= (t-t 0)2x 1(t- 1- t 0)≠ y 2(t) Therefore the system is not time-invariant.(b) (i) Consider two arbitrary inputs x 1[n]and x 2[n]. x 1[n] → y 1[n] = x 12[n-2]x 2[n ] → y 2[n] = x 22[n-2].Let x 3(t) be a linear combination of x 1[n]and x 2[n].That is x 3[n]= ax 1[n]+b x 2[n]where a and b are arbitrary scalars. If x 3[n] is the input to the given system, then the corresponding output y 3[n] is y 3[n] = x 32[n-2]=(a x 1[n-2] +b x 2[n-2])2=a 2x 12[n-2]+b 2x 22[n-2]+2ab x 1[n-2] x 2[n-2]≠ ay 1[n]+b y 2[n]Therefore the system is not linear.(ii) Consider an arbitrary input x 1[n]. Let y 1[n] = x 12[n-2]be the corresponding output .Consider a second input x 2[n] obtained by shifting x 1[n] in time:x 2[n]= x 1[n- n 0]The output corresponding to this input isy 2[n] = x 22[n-2].= x 12[n-2- n 0]Also note that y 1[n- n 0]= x 12[n-2- n 0] Therefore , y 2[n]= y 1[n- n 0] This implies that the system is time-invariant.(c) (i) Consider two arbitrary inputs x 1[n]and x 2[n].x 1[n] →y 1[n] = x 1[n+1]- x 1[n-1] x 2[n ]→y 2[n] = x 2[n+1 ]- x 2[n -1]Let x 3[n] be a linear combination of x 1[n] and x 2[n]. That is :x 3[n]= ax 1[n]+b x 2[n]where a and b are arbitrary scalars. If x 3[n] is the input to the given system, then the corresponding output y 3[n] is y 3[n]= x 3[n+1]- x 3[n-1]=a x 1[n+1]+b x 2[n +1]-a x 1[n-1]-b x 2[n -1]=a(x 1[n+1]- x 1[n-1])+b(x 2[n +1]- x 2[n -1])= ay 1[n]+b y 2[n]Therefore the system is linear.(ii) Consider an arbitrary input x 1[n].Let y 1[n]= x 1[n+1]- x 1[n-1]be the corresponding output .Consider a second input x 2[n] obtained by shifting x 1[n] in time: x 2[n]= x 1[n-n 0]The output corresponding to this input isy 2[n]= x 2[n +1]- x 2[n -1]= x 1[n+1- n 0]- x 1[n-1- n 0] Also note that y 1[n-n 0]= x 1[n+1- n 0]- x 1[n-1- n 0] Therefore , y 2[n]= y 1[n-n 0] This implies that the system is time-invariant.(d) (i) Consider two arbitrary inputs x 1(t) and x 2(t).x 1(t) → y 1(t)= d O {}(t) x 1 x 2(t) → y 2(t)= {}(t) x 2d OLet x 3(t) be a linear combination of x 1(t) and x 2(t).That is x 3(t)=a x 1(t)+b x 2(t)where a and b are arbitrary scalars. If x 3(t) is the input to the given system, then the corresponding output y 3(t) is y 3(t)= d O {}(t) x 3={}(t) x b +(t) ax 21d O=a d O {}(t) x 1+b {}(t) x 2d O = ay 1(t)+b y 2(t)Therefore the system is linear.(ii) Consider an arbitrary inputs x 1(t).Lety 1(t)= d O {}(t) x 1=2)(x -(t) x 11t -be the corresponding output .Consider a second input x 2(t) obtained by shifting x 1(t) in time:x 2(t)= x 1(t-t 0)The output corresponding to this input isy 2(t)= {}(t) x 2d O =2)(x -(t) x 22t -=2)(x -)t -(t x 0101t t --Also note that y 1(t-t 0)= 2)(x -)t -(t x 0101t t --≠ y 2(t)Therefore the system is not time-invariant.1.20 (a) Givenx )(t =jt e 2 y(t)=t j e 3x )(t =jt e 2- y(t)=t j e 3- Since the system liner+=tj e t x 21(2/1)(jt e 2-))(1t y =1/2(tj e 3+tj e 3-)Thereforex 1(t)=cos(2t))(1t y =cos(3t)(b) we know thatx 2(t)=cos(2(t-1/2))= (j e -jte 2+je jt e 2-)/2Using the linearity property, we may once again writex 1(t)=21( j e -jt e 2+j e jte 2-))(1t y =(j e -jt e 3+je jte 3-)= cos(3t-1)Therefore,x 1(t)=cos(2(t-1/2)))(1t y =cos(3t-1)1.21.The signals are sketched in figure S1.21.1.24 The even and odd parts are sketched in Figure S1.24 1.25 (a) periodic period=2π/(4)= π/2 (b) periodic period=2π/(4)= 2(c) x(t)=[1+cos(4t-2π/3)]/2. periodic period=2π/(4)= π/2 (d) x(t)=cos(4πt)/2. periodic period=2π/(4)= 1/2 (e) x(t)=[sin(4πt)u(t)-sin(4πt)u(-t)]/2. Not period. (f) Not period.1.26 (a) periodic, period=7.(b) Not period.(c) periodic, period=8.(d) x[n]=(1/2)[cos(3πn/4+cos(πn/4)). periodic, period=8. (e) periodic, period=16. 1.27 (a) Linear, stable(b) Not period. (c) Linear(d) Linear, causal, stable(e) Time invariant, linear, causal, stable (f) Linear, stable(g) Time invariant, linear, causal 1.28 (a) Linear, stable(b) Time invariant, linear, causal, stable (c)Memoryless, linear, causal (d) Linear, stable (e) Linear, stable(f) Memoryless, linear, causal, stable (g) Linear, stable1.29 (a) Consider two inputs to the system such that[][][]{}111.S e x n y n x n −−→=ℜand [][][]{}221.Se x n y n x n −−→=ℜNow consider a third inputx3[n]=x2[n]+x 1[n]. The corresponding system outputWill be [][]{}[][]{}[]{}[]{}[][]33121212e e e e y n x n x n x n x n x n y n y n ==+=+=+ℜℜℜℜtherefore, we may conclude that the system is additive Let us now assume that inputs to the system such that [][][]{}/4111.Sj e x n y n e x n π−−→=ℜand[][][]{}/4222.Sj e x n y n e x n π−−→=ℜNow consider a third input x 3 [n]= x 2 [n]+ x 1 [n]. The corresponding system outputWill be[][]{}()[]{}()[]{}()[]{}()[]{}()[]{}()[]{}[]{}[]{}[][]/433331122/4/41212cos /4sin /4cos /4sin /4cos /4sin /4j e m e m e m e j j e e y n e x n n x n n x n n x n n x n n x n n x n e x n e x n y n y n πππππππππ==-+-+-=+=+ℜℜI ℜI ℜI ℜℜ therefore, we may conclude that the system is additive (b) (i) Consider two inputs to the system such that()()()()211111Sdx t x t y t x t dt ⎡⎤−−→=⎢⎥⎣⎦and ()()()()222211S dx t x t y t x t dt ⎡⎤−−→=⎢⎥⎣⎦ Now consider a third input x3[t]=x2[t]+x 1[t]. The corresponding system outputWill be()()()()()()()()()2333211111211dx t y t x t dt d x t x t x t x t dt y t y t ⎡⎤=⎢⎥⎣⎦⎡⎤+⎡⎤⎣⎦=⎢⎥+⎢⎥⎣⎦≠+ therefore, we may conclude that the system is not additiveNow consider a third input x 4 [t]= a x 1 [t]. The corresponding system output Will be()()()()()()()()2444211211111dx t y t x t dt d ax t ax t dt dx t a x t dt ay t ⎡⎤=⎢⎥⎣⎦⎡⎤⎡⎤⎣⎦=⎢⎥⎢⎥⎣⎦⎡⎤=⎢⎥⎣⎦=Therefore, the system is homogeneous.(ii) This system is not additive. Consider the fowling example .Let δ[n]=2δ[n+2]+2δ[n+1]+2δ[n] andx2[n]=δ[n+1]+ 2δ[n+1]+ 3δ[n]. The corresponding outputs evaluated at n=0 are [][]120203/2y andy ==Now consider a third input x 3 [n]= x 2 [n]+ x 1 [n].= 3δ[n+2]+4δ[n+1]+5δ[n]The corresponding outputs evaluated at n=0 is y 3[0]=15/4. Gnarly, y 3[0]≠ ]0[][21y y n +.This[][][][][]444442,1010,x n x n x n y n x n otherwise ⎧--≠⎪=-⎨⎪⎩[][][][][][]4445442,1010,x n x n ax n y n ay n x n otherwise ⎧--≠⎪==-⎨⎪⎩Therefore, the system is homogenous.1.30 (a) Invertible. Inverse system y(t)=x(t+4)(b)Non invertible. The signals x(t) and x 1(t)=x(t)+2πgive the same output (c) δ[n] and 2δ[n] give the same output d) Invertible. Inverse system; y(t)=dx(t)/dt(e) Invertible. Inverse system y(n)=x(n+1) for n ≥0 and y[n]=x[n] for n<0 (f) Non invertible. x (n) and –x(n) give the same result (g)Invertible. Inverse system y(n)=x(1-n) (h) Invertible. Inverse system y(t)=dx(t)/dt(i) Invertible. Inverse system y(n) = x(n)-(1/2)x[n-1] (j) Non invertible. If x(t) is any constant, then y(t)=0 (k) δ[n] and 2δ[n] result in y[n]=0 (l) Invertible. Inverse system: y(t)=x(t/2)(m) Non invertible x 1 [n]= δ[n]+ δ[n-1]and x 2 [n]= δ[n] give y[n]= δ[n] (n) Invertible. Inverse system: y[n]=x[2n]1.31 (a) Note that x 2[t]= x 1 [t]- x 1 [t-2]. Therefore, using linearity we get y 2 (t)= y 1 (t)- y 1 (t-2).this is shown in Figure S1.31(b)Note that x3 (t)= x1 [t]+ x1 [t+1]. .Therefore, using linearity we get Y3 (t)= y1 (t)+ y1 (t+2). this is2(4) y 2(t) periodic, period T; x(t) periodic, period T/2;1.33(1) True x[n]=x[n+N ]; y 1 (n)= y 1 (n+ N 0)i.e. periodic with N 0=n/2if N is even and with period N 0=n if N is odd.(2)False. y 1 [n] periodic does no imply x[n] is periodic i.e. Let x[n] = g[n]+h[n] where0,1,[][]0,(1/2),nn even n even g n and h n n odd n odd⎧⎧==⎨⎨⎩⎩ Then y 1 [n] = x [2n] is periodic but x[n] is clearly not periodic. (3)True. x [n+N] =x[n]; y 2 [n+N 0] =y 2 [n] where N 0=2N (4) True. y 2 [n+N] =y 2 [n]; y 2 [n+N 0 ]=y 2 [n] where N 0=N/2 1.34. (a) ConsiderIf x[n] is odd, x[n] +x [-n] =0. Therefore, the given summation evaluates to zero. (b) Let y[n] =x 1[n]x 2[n] .Theny [-n] =x 1[-n] x 2[-n] =-x 1[n]x 2[n] =-y[n]. This implies that y[n] is odd.(c)ConsiderUsing the result of part (b), we know that x e [n]x o [n] is an odd signal .Therefore, using the result of part (a) we may conclude thatTherefore,(d)ConsiderAgain, since x e (t) x o (t) is odd,Therefore,1.35. We want to find the smallest N 0 such that m(2π /N) N 0 =2πk or N 0 =kN/m,{}1[][0][][]n n x n x x n x n ∞∞=-∞==++-∑∑22[][]e o n n n n x x ∞∞=-∞=-∞=+∑∑222[][][]e on n n n n n x x x∞∞∞=-∞=-∞=-∞==+∑∑∑2[][]0eon n n x x ∞=-∞=∑222[][][].e on n n n n n xx x ∞∞∞=-∞=-∞=-∞==+∑∑∑2220()()()2()().eoet dt t dt t dt t t dt x x x x x ∞∞∞∞-∞-∞-∞-∞=++⎰⎰⎰⎰0()()0.et t dt x x ∞-∞=⎰222()()().e ot dt t dt t dt xx x ∞∞∞-∞-∞-∞=+⎰⎰⎰()()()()()().xy yx t x t y d y t x d t φττττττφ∞-∞∞-∞=+=-+=-⎰⎰where k is an integer, then N must be a multiple of m/k and m/k must be an integer .this implies that m/k is a divisor of both m and N .Also, if we want the smallest possible N 0, then m/k should be the GCD of m and N. Therefore, N 0=N/gcd(m,N). 1.36.(a)If x[n] is periodic0(),0..2/j n N T o e where T ωωπ+= This implies that022o T kNT k T T Nππ=⇒==a rational number . (b)T/T 0 =p/q then x[n] =2(/)j n p q e π,The fundamental period is q/gcd(p,q) and the fundmental frequencyis(c) p/gcd(p,q) periods of x(t) are needed .1.37.(a) From the definition of ().xy t φWe havepart(a) that()().xx xx t t φφ=-This implies that()xy t φis(b) Note from even .Therefore,the odd part of().xx t φis zero.(c) Here, ()().xy xx t t T φφ=-and ()().yy xx t t φφ= 1.38.(a) We know that /22(2)().t t δδ=ThereforeThis implies that1(2)().2t t δδ=(b)The plot are as shown in Figure s3.18. 1.39 We havelim ()()lim (0)()0.u t t u t δδ→→==Also,0022gcd(,)gcd(,)gcd(,)gcd(,).T pp q p q p q p q q p q p pωωππ===/21lim (2)lim ().2t t δδ→∞→∞=01lim ()()().2u t t t δδ→=u Δ'(t ) 1 1/2Δ/2-Δ/2t 0tu Δ'(t )12Δ t 0tu Δ'(t ) 1 1/2Δ-Δttu Δ'(t )1 1/2Δ-Δt 0t⎰⎰∞∞∞--=-=0)()()()()(ττδτττδτd t u d t u t gTherefore,0,0()1,00t g t t undefined for t >⎧⎪=<⎨⎪=⎩()0()()()t u t t δττδτδτ-=-=-1.40.(a) If a system is additive ,then also, if a system is homogeneous,then(b) y(t)=x 2(t) is such a systerm . (c) No.For example,consider y(t) ()()ty t x d ττ-∞=⎰with ()()(1).x t u t u t =--Then x(t)=0for t>1,but y(t)=1 for t>1.1.41. (a) y[n]=2x[n].Therefore, the system is time invariant.(b) y[n]=(2n-1)x[n].This is not time-invariant because y[n- N 0]≠(2n-1)2x [n- N 0]. (c) y[n]=x[n]{1+(-1)n +1+(-1)n-1}=2x[n].Therefore, the system is time invariant .1.42.(a) Consider two system S 1 and S 2 connected in series .Assume that if x 1(t) and x 2(t) arethe inputs to S 1..then y 1(t) and y 2(t) are the outputs.respectively .Also,assume thatif y 1(t) and y 2(t) are the input to S 2 ,then z 1(t) and z 2(t) are the outputs, respectively . Since S 1 is linear ,we may write()()()()11212,s ax t bx t ay t by t +→+where a and b are constants. Since S 2 is also linear ,we may write()()()()21212,s ay t by t az t bz t +→+We may therefore conclude that)()()()(212121t b t a t b t a z z x x s s +−→−+Therefore ,the series combination of S 1 and S 2 is linear. Since S 1 is time invariant, we may write()()11010s x t T y t T -→-and()()21010s y t T z t T -→-Therefore,()()121010s s x t T z t T -→-Therefore, the series combination of S 1 and S 2 is time invariant.(b) False, Let y(t)=x(t)+1 and z(t)=y(t)-1.These corresponds to two nonlinear systems. If these systems are connected in series ,then z(t)=x(t) which is a linear system.00.()().00x t y t =→=0()()()()0x t x t y t y t =-→-=(c) Let us name the output of system 1 as w[n] and the output of system 2 as z[n] .Then11[][2][2][21][22]24y n z n w n w n w n ==+-+-[][][]241121-+-+=n x n x n xThe overall system is linear and time-invariant.1.43. (a) We have())(t y t x s−→−Since S is time-invariant.())(T t y T t x s-−→−-Now if x (t) is periodic with period T. x{t}=x(t-T). Therefore, we may conclude that y(t)=y(t-T).This impliesthat y(t) is also periodic with T .A similar argument may be made in discrete time . (b)1.44 (a) Assumption : If x(t)=0 for t<t 0 ,then y(t)=0 for t< t 0.To prove That : The system is causal.Let us consider an arbitrary signal x 1(t) .Let us consider another signal x 2(t) which is the same as x 1(t)fort< t 0. But for t> t 0 , x 2(t) ≠x 1(t),Since the system is linear,()()()()1212,x t x t y t y t -→-Since ()()120x t x t -=for t< t 0 ,by our assumption =()()120y t y t -=for t< t 0 .This implies that()()12y t y t =for t< t 0 . In other words, t he output is not affected by input values for 0t t ≥. Therefore, thesystem is causal .Assumption: the system is causal . To prove that :If x(t)=0 for t< t 0 .then y(t)=0 for t< t 0 .Let us assume that the signal x(t)=0 for t< t 0 .Then we may express x(t) as ()()12()x t x t x t =-, Where()()12x t x t = for t< t 0 . the system is linear .the output to x(t) will be()()12()y t y t y t =-.Now ,since the system is causal . ()()12y t y t = for t< t 0 .implies that()()12y t y t = for t< t 0 .Therefore y(t)=0 for t< t 0 .(b) Consider y(t)=x(t)x(t+1) .Now , x(t)=0 for t< t 0 implies that y(t)=0 for t< t 0 .Note that the system is nonlinear and non-causal .(c) Consider y(t)=x(t)+1. the system is nonlinear and causal .This does not satisfy the condition of part(a). (d) Assumption: the system is invertible. To prove that :y[n]=0 for all n only if x[n]=0 for all n . Consider[]0[]x n y n =→. Since the system is linear :2[]02[]x n y n =→.Since the input has not changed in the two above equations ,we require that y[n]= 2y[n].This implies that y[n]=0. Since we have assumed that the system is invertible , only one input could have led to this particular output .That input must be x[n]=0 .Assumption: y[n]=0 for all n if x[n]=0 for all n . To prove that : The system is invertible . Suppose that11[][]x n y n → and21[][]x n y n →Since the system is linear ,1212[][][][]0x n x n y n y n -=→-=By the original assumption ,we must conclude that 12[][]x n x n =.That is ,any particular y 1[n] can be produced that by only one distinct input x 1[n] .Therefore , the system is invertible. (e) y[n]=x 2[n]. 1.45. (a) Consider ,()111()()shx x t y t t φ→= and()222()()shx x t y t t φ→=.Now, consider ()()()312x t ax t bx t =+. The corresponding system output will be()()12331212()()()()()()()()()hx hx y t x h t d a x h t d b x t h t d a t b t ay t by t ττττττττφφ∞-∞∞∞-∞-∞=+=+++=+=+⎰⎰⎰Therefore, S is linear .Now ,consider x 4(t)=x 1(t-T).The corresponding system output will be()14411()()()()()()()hx y t x h t d x T h t d x h t T d t T τττττττττφ∞-∞∞-∞∞-∞=+=-+=++=+⎰⎰⎰Clearly, y 4(t)≠ y 1(t-T).Therefore ,the system is not time-invariant.The system is definitely not causal because the output at any time depends on future values of the input signal x(t).(b) The system will then be linear ,time invariant and non-causal. 1.46. The plots are in Figure S1.46.1.47.(a) The overall response of the system of Figure P1.47.(a)=(the response of the system to x[n]+x 1[n])-the response of the system to x 1[n]=(Response of a linear system L to x[n]+x 1[n]+zero input response of S)- (Response of a linear system L to x 1[n]+zero input response of S)=( (Response of a linear system L to x[n]).Chapter 2 answers2.1 (a) We have know that 1[]*[][][]k y x n h n h k x n k ∞=-∞==-∑1[][1][1][1][1]y n h x n h x n =-++-2[1]2[1]x n x n =++-This gives1[]2[1]4[]2[1]2[2]2[4]y n n n n n n δδδδδ=+++-+--- (b)We know that2[][2]*[][][2]k y n x n h n h k x n k ∞=-∞=+=+-∑Comparing with eq.(S2.1-1),we see that21[][2]y n y n =+(c) We may rewrite eq.(S2.1-1) as1[][]*[][][]k y n x n h n x k h n k ∞=-∞==-∑Similarly, we may write3[][]*[2][][2]k y n x n h n x k h n k ∞=-∞=+=+-∑Comparing this with eq.(S2.1),we see that31[][2]y n y n =+2.2 Using given definition for the signal h[n], we may write{}11[][3][10]2k h k u k u k -⎛⎫=+-- ⎪⎝⎭The signal h[k] is non zero only in the rang 1[][2]h n h n =+. From this we know that the signal h[-k] is non zero only in the rage 93k -≤≤.If we now shift the signal h[-k] by n to the right, then the resultant signal h[n-k] will be zero in the range (9)(3)n k n -≤≤+. Therefore ,9,A n =- 3B n =+ 2.3 Let us define the signals11[][]2nx n u n ⎛⎫= ⎪⎝⎭and1[][]h n u n =. We note that1[][2]x n x n =- and 1[][2]h n h n =+ Now,。
第九章作业解答9.21 解: (a) 2}Re{21)}({2->+=-s s t u e L t3}Re{31)}({3->+=-s s t u e L t2}Re{3)(2(5s 23121)(->+++=+++=s s s s s s X )Re(s )(c) 2}Re{21)}({2<--=-s s t u e L t3}Re{31)}({3<--=-s s t u e L t2}Re{3)(2(5s23121)(<----=----=s s s s s s X )9.22(a )0}Re{91)(2>+=s s s X根据:0}Re{)(sin 20200>+→s s t tu ωωω 则:)(3sin 31}91{21t tu s L =+- (c )根据:0}Re{)(cos 2020<+→--s s s t tu ωω 以及:)(X )(00s s t x e t s -→ 则:)(3cos }3)1(1{221t tu e s s L t --=+++-- (e) 32216512+++-=+++s s s s s 根据收敛域:2}Re{3-<<-s 故:)(}21{21t u e s L t -=+--- )(2}32{31t u e s L t --=+ )(2)()(32t u e t u e t x t t --+-= (g) 2222222)1(3131)1(3)1(31)1(31)1(3)1()1(1+++-=+-+-=+-=+-+=++-s s s s s s s s s s s s (须先转换为真分式)则根据收敛域:)(3)(3)()(t u te t u e t t x t t --+-=δ9.28解:其所有可能的收敛域:(1)1}{R >s e ,收敛域不包括虚轴,不稳定;收敛域位于最右边极点的右半平面,因果;(2)2}{R -<s e ,收敛域不包括虚轴,不稳定;收敛域位于最左边极点的左半平面,非因果;(3)1}{R 1-<<s e ,收敛域包括虚轴,稳定;非因果(由两个右边信号与一个左边信号组成);(4)1}{R 2--<<s e ,收敛域不包括虚轴,不稳定;非因果(由两个左边信号与一个右边信号组成);9.31解:解:微分方程两边同时进行拉氏变换,得:)2111(31)2)(1(121)()()(H 2-++-=-+=--==s s s s s s s X s Y s(1)系统是稳定时,则2}{R 1-<<s e ,h(t)为双边信号:)](2)([31)(2t u e t u e t h t t ---=- (2)系统是因果时,则}{R 2s e <,h(t)为右边信号:)](2)([31)(2t u e t u e t h t t +-=- (2)系统既不因果又不稳定时,则收敛域不包括虚轴,且不是最右边极点的右半平面,故1}{R -<s e ,h(t)为左边信号:)](2)([31)(2t u e t u e t h t t ---=-9.32由(a),根据特征函数特征值的概念,则得出:t e t x 2)(= t t e e H t y 22)6/1()2()(==故:6/1)2(=H由(b):对方程同时进行拉氏变换,则得到:0}{R )b 4121)(H >+++=s e s s s s ( 带入(a)的条件,最后得到b=1则0}s {R )4s (s 2)4s )(2s(s 42s )14121)(H >+=+++=+++=e s s s s (。
第1章信号与系统1.1复习笔记1,连续时间和离散时间信号1个连续时间信号和离散时间信号(1)连续时间信号(图1-1(a))①定义连续时间信号是指自变量是连续变量的信号,并且该信号是在自变量的连续值上定义的。
②代表自变量由T表示,表示连续时间。
连续时间信号表示为X(T)。
(2)离散时间信号(图1-1(b))①定义离散时间信号的自变量仅在一组离散值中选择,并且仅在离散时间点定义信号。
②代表自变量由N表示,N表示离散时间。
离散时间信号表示为x [n]。
说明:hwocrtemp_ ROC60图1-1信号的图形表示(a)连续的时间表示;(b)离散时间信号2.信号能量和功率(1)有限间隔内信号的总能量和功率①描述中的连续时间信号x(T):hwocrtemp_ roc120中的总能量说明:hwocrtemp_ ROC130哪里x |是X的模块(可能是复数)。
通过将上述公式除以长度t2-t1,可以获得平均功率。
②描述中的离散时间信号x [n]:hwocrtemp_ roc140中的总能量说明:hwocrtemp_ ROC150将其除以interval_中的点数即可。
Roc160获得该范围内的平均功率。
(2)无限间隔内信号的总能量和功率①无限时间连续时间信号的总能量x(T)说明:hwocrtemp_ ROC180无限时间连续时间信号x(T)的平均功率说明:hwocrtemp_ ROC220②无限时间中离散时间信号x [n]的总能量说明:hwocrtemp_ ROC190无限时间间隔内离散时间信号x [n]的平均功率说明:hwocrtemp_ ROC230(3)根据信号能量和功率的限制进行分类①该信号的总能量有限,即:hwocrtemp_ Roc240,该信号的平均功率为零。
②如果平均功率P∞是有限的,则其能量是无限的。
③具有无限大的P∞和E∞的信号。
2,自变量的变换基本转型(1)时移①X(t-t0)表示具有延迟|的X(T)。
Charpt 11.21—(a),(b),(c)一连续时间信号x(t)如图original所示,请画出下列信号并给予标注:a)x(t-1)b)x(2-t)c)x(2t+1)d)x(4-t/2)e)[x(t)=x(-t)]u(t)f)x(t)[δ(t+3/2)-δ(t-3/2)](d),(e),(f)1.22一离散时间信号x[n]如图original所示,请画出下列信号并给予标注。
a)x[n-4]b)x[3-n]c)x[3n]e)x[n]u[3-n]f)x[n-2]δ[n-2]1.23确定并画出图original信号的奇部和偶部,并给予标注。
1.25判定下列连续时间信号的周期性,若是周期的,确定它的基波周期。
a)x(t)=3cos(4t+π/3)T=2π/4=π/2;b)x(t)=e )1(t j T=2π/π=2;c)x(t)=[cos(2t-π/3)]2x(t)=1/2+cos[(cos(4t-2π/3))]/2, so T=2π/4=π/2;d)x(t)=E v {cos(4πt)u(t)}定义x(0)=1/2,则T=1/2; e)E v {sin(4πt)u(t)}非周期f )x(t)=n n t e )2(假设其周期为T 则n n t e )2(=n T n t e )22(=n T n t e ))2(2(=n n t e )2(所以T=1/2(最小正周期);1.26判定下列离散时间信号的周期性;若是周期的,确定他们的基波周期。
(a)x[n]=sin(6π/7+1) N=7(b)x[n]=cos(n/8-π) 不是周期信号(c )x[n]=cos(πn 2/8)假设其周期为N ,则8/8/)(22n N n +k 2所以易得N=8(d )x[n]=)4cos()2cos(n n N=8(e) x[n]=)62cos(2)8sin()4cos(2n n n N=16 1.31在本题中将要说明线性时不变性质的最重要的结果之一,即一旦知道了一个线性系统或线性时不变系统对某单一输入的响应或者对若干个输入的响应,就能直接计算出对许多其他输入信号的响应。
信号与系统奥本海姆答案
“信号与系统”是与通信、信息及自动控制等专业有关的一门基础学科。
它的主要任务是:(1)在“时间域”及“频率域”下研究时间函数x(t)及离散序列x(n)的各种表示方式,(2)在“时间域”及“频率域”下研究系统特性的各种描述方式,(3)在“时间域”及“频率域”下研究激励信号通过系统时所获得的响应。
信号与系统是通信和电子信息类专业的核心基础课,其中的概念和分析方法广泛应用于通信、自动控制、信号与信息处理、电路与系统等领域。
时间函数x(t)及自变量代表时间的离散序列x(n)是信号的时域的基本表示方式。
此外,无论是连续信号还是离散序列,都可以在频域中用它的傅里叶变换(即频谱函数)表示,也可以在“复频域”中用相应的拉普拉斯变换或z变换表示。
与此对应,连续或离散系统的特性可在时域中用微分方程或差分方程描述,也可分别用冲激响应h(t)或h(n)描述;或频域中用频率响应H(jω)、H(ejω)或传递函数H(s)、H(z)描述。
研究在给定的激励下通过系统的响应,可以在时域下用解微分方程或差分方程的方法,或通过激励信号与冲激响应的卷积进行,也可以在频域下,分别将连续信号或离散序列的傅里叶变换、拉普拉斯变换或z变换与系统的频率响应或传递函数相乘,得出响应的傅里叶变换、拉普拉斯变换或z变换,再进行反变换。
就得到了以时间函数或离散序列表示的响应。
信号与系统是通信和电子信息类专业的核心基础课,其中的概念和分析方法广泛应用于通信、自动控制、信号与信息处理、电路与系统等领域。
本课程从概念上可以区分为信号分解和系统分析两部分,但二者又是密切相关的,根据连续信号分解为不同的基本信号,对应推导出线性系统的分析方法分别为:时域分析、频域分析和复频域分析;离散信号分解和系统分析也是类似的过程。
本课程采用先连续后离散的布局安排知识,可先集中精力学好连续信号与系统分析的内容,再通过类比理解离散信号与系统分析的概念。
状态分析方法也结合两大块给出,从而建立完整的信号与系统的概念。
信号与系统课程研究信号与系统理论的基本概念和基本分析方法。
初步认识如何建立信号与系统的数学模型,经适当的数学分析求解,对所得结果给以物理解释、赋予物理意义。
课程范围限定于确定性信号(非随机信号)经线性、时不变系统传输与处理的基本理论。
本课程涉及的数学内容包括微分方程、差分方程、级数、复变函数、线性代数等。
本课程与先修课程"电路分析基础"联系密切,电路分析基础课程是从电路分析的角度研究问题,本课程则从系统的观点进行分析。