合肥工业大学大学物理考试试题
- 格式:docx
- 大小:54.38 KB
- 文档页数:6
大学物理C 思考题5-1-2气体在平衡状态时有何特征?这时气体中有分子热运动吗?热力学中的平衡与力学中的平衡有何不同?5-4-1对一定量的气体来说,当温度不变时,气体的压强随体积的减小而增大;当体积不变时,压强随温度的升高而增大。
就微观来看,他们有何区别?5-5-5如盛有气体的容器相对于某坐标系从静止开始运动,容器内的分子速度相对于这坐标系也将增大,则气体的温度会不会因此升高呢?5-5-6速率分布函数的物理意义是什么?试说明下列各量的意义:(1)dv v f )(;(2)dv v Nf )(;(3)⎰21)(v v dv v f ;(4)⎰21)(v v dv v Nf ;(5)⎰21)(v v dv v vf ;(6)⎰21)(v v dv v Nvf 。
5-7-2平均自由程与气体的状态以及分子本身的性质有何关系?在计算平均自由程时,什么地方体现了统计平均?5-0-1理想气体的微观模型?5-0-2能量均分定理及含义?6-2-1为什么气体热容的数值可以有无穷多个?什么情况下,气体的摩尔热容是零?什么情况下,气体的摩尔热容是无穷大?什么情况下是正值?什么情况下是负值?6-3-2有两个热气分别用不同的热源作卡诺循环,在V p -图上,它们的循环曲线所包围的面积相等,但形状不同,如图所示,它们吸热和放热的差值是否相同?对所作的净功是否相同?效率是否相同?6-6-2在日常生活中,经常遇到一些单方向的过程,如:(1)桌上热餐变凉;(2)无支持的物体自由下落;(3)木头或其他燃料的燃烧。
它们是否都与热力学第二定律有关?在这些过程中熵变是否存在?如果存在,则是增大还是减小?7-2-2根据点电荷的电场强度公式r e r q E 2041πε=,当所考察的场点和点电荷的距离0→r 时,电场强度∞→E ,这是没有物理意义的,对此似是而非的问题应如何解释?7-3-1如果在高斯面上的E处处为零,能否肯定此高斯面内一定没有净电荷?反过来,如果高斯面内没有净电荷,能否肯定面上所有各点的E 都等于零?7-5-1(1)已知电场中某点的电势,能否计算出该点的场强?(2)已知电场中某点附近的电势分布,能否计算出该点的场强?7-6-5一带点导体放在封闭的金属壳内部。
八、刚体的平面运动8.1 如图所示,O 1A 的角速度为ω1,板ABC 和杆O 1A 铰接。
问图中O 1A 和AC 上各点的速度分布规律对不对?8.2如图所示,板车车轮半径为r ,以角速度ω 沿地面只滚动不滑动,另有半径同为r 的轮A 和B 在板车上只滚动不滑动,其转向如图,角速度的大小均为ω,试分别确定A 轮和B 轮的速度瞬心位置。
[解] 板车作平动,轮A 、B 与板车接触点 E 、F 的速度相同,且r v v v O F E ω=== 对A 轮由基点法求轮心A 的速度 A E AE =+v v v ,r v AE ω=∴ r v A ω2=,且A 轮的速度瞬心在E 点下方r 处。
同理可得B 轮的速度瞬心就在轮心B 处。
8.3直杆AB 的A 端以匀速度v 沿半径为R 的半圆弧轨道运动,而杆身保持与轨道右尖角接触。
问杆AB 作什么运动?你能用几种方法求出杆AB 的角速度?E FPOE v Av Fv Ov[解] AB 杆作平面运动。
(一) 瞬心法AB 杆作平面运动,速度瞬心为P 。
Rv AP v AAB2==ω (二)基点法D A DA =+v v v ,DA v v AB A DA ωθ==sin又 DA =2R cos(90o -θ)=2R sin θ ∴ Rv AB 2=ω(三)自然法: d d AB tϕω=,而R S ϕ2= ∴d d 2d d S R v t t ϕ==, d d 2vt R ϕ= ∴ Rv AB 2=ω 8.4如图所示四连杆机构OABO 1中,OA=O 1B=AB/2,曲柄OA 的角速度ω=3rad/s 。
当OA 转到与OO 1垂直时,O 1B 正好在OO 1的延长线上,求该瞬时AB 杆的角速度ωAB 和曲柄O 1B 的角速度ω1。
[解]取AB 为研究对象,AB 作平面运动。
以A 为基点,画B 点速度合成图 由B A BA =+v v v(rad/s)32230sin o==∴⋅=⋅==ωωωωAB OAAB OA v v AB AB ABABBBvvvDAv Dv Dv111cos3022(rad/s)B BAv v OA O Bωωω=︒=⋅=∴=8.5图示曲柄摇机构中,曲柄OA以角速度oω绕O轴转动,带动连杆AC在摇块B内滑动,摇块及与其固结的BD杆绕B铰转动,杆BD长l;求在图示位置时摇块的角速度及D点的速度。
《半导体器件物理》试卷(二)标准答案及评分细则一、填空(共24分,每空2分)1、PN结电击穿的产生机构两种;答案:雪崩击穿、隧道击穿或齐纳击穿。
2、双极型晶体管中重掺杂发射区目的;答案:发射区重掺杂会导致禁带变窄及俄歇复合,这将影响电流传输,目的为提高发射效率,以获取高的电流增益。
3、晶体管特征频率定义;β时答案:随着工作频率f的上升,晶体管共射极电流放大系数β下降为1=所对应的频率f,称作特征频率。
T4、P沟道耗尽型MOSFET阈值电压符号;答案:0V。
>T5、MOS管饱和区漏极电流不饱和原因;答案:沟道长度调制效应和漏沟静电反馈效应。
6、BV CEO含义;答案:基极开路时发射极与集电极之间的击穿电压。
7、MOSFET短沟道效应种类;答案:短窄沟道效应、迁移率调制效应、漏场感应势垒下降效应。
8、扩散电容与过渡区电容区别。
答案:扩散电容产生于过渡区外的一个扩散长度范围内,其机理为少子的充放电,而过渡区电容产生于空间电荷区,其机理为多子的注入和耗尽。
二、简述(共20分,每小题5分)1、内建电场;答案:P型材料和N型材料接触后形成PN结,由于存在浓度差,N区的电子会扩散到P区,P区的空穴会扩散到N区,而在N区的施主正离子中心固定不动,出现净的正电荷,同样P区的受主负离子中心也固定不动,出现净的负电荷,于是就会产生空间电荷区。
在空间电荷区内,电子和空穴又会发生漂移运动,它的方向正好与各自扩散运动的方向相反,在无外界干扰的情况下,最后将达到动态平衡,至此形成内建电场,方向由N区指向P区。
2、发射极电流集边效应;答案:在大电流下,基极的串联电阻上产生一个大的压降,使得发射极由边缘到中心的电场减小,从而电流密度从中心到边缘逐步增大,出现了发射极电流在靠近基区的边缘逐渐增大,此现象称为发射极电流集边效应,或基区电阻自偏压效应。
3、MOSFET 本征电容;答案:即交流小信号或大信号工作时电路的等效电容,它包括栅漏电容和栅源电容,栅漏电容是栅源电压不变、漏源电压变化引起沟道电荷的变化与漏源电压变化量之间的比值,而栅源电容是指栅压变化引起沟道电荷与栅源电压变化量之间的比值。
大学物理学专业《大学物理(二)》期末考试试卷附答案姓名:______ 班级:______ 学号:______考试须知:1、考试时间:120分钟,本卷满分为100分。
2、请首先按要求在试卷的指定位置填写您的姓名、班级、学号。
一、填空题(共10小题,每题2分,共20分)1、一质点作半径为0.1m的圆周运动,其运动方程为:(SI),则其切向加速度为=_____________。
2、一平行板空气电容器的两极板都是半径为R的圆形导体片,在充电时,板间电场强度的变化率为dE/dt.若略去边缘效应,则两板间的位移电流为__________________。
3、长为、质量为的均质杆可绕通过杆一端的水平光滑固定轴转动,转动惯量为,开始时杆竖直下垂,如图所示。
现有一质量为的子弹以水平速度射入杆上点,并嵌在杆中. ,则子弹射入后瞬间杆的角速度___________。
4、两列简谐波发生干涉的条件是_______________,_______________,_______________。
5、一弹簧振子系统具有1.OJ的振动能量,0.10m的振幅和1.0m/s的最大速率,则弹簧的倔强系数为_______,振子的振动频率为_______。
6、动方程当t=常数时的物理意义是_____________________。
7、花样滑冰运动员绕通过自身的竖直轴转动,开始时两臂伸开,转动惯量为,角速度为;然后将两手臂合拢,使其转动惯量变为,则转动角速度变为_______。
8、在主量子数n=2,自旋磁量子数的量子态中,能够填充的最大电子数是______________。
9、一长直导线旁有一长为,宽为的矩形线圈,线圈与导线共面,如图所示. 长直导线通有稳恒电流,则距长直导线为处的点的磁感应强度为___________;线圈与导线的互感系数为___________。
10、一个中空的螺绕环上每厘米绕有20匝导线,当通以电流I=3A时,环中磁场能量密度w =_____________ .()二、名词解释(共6小题,每题2分,共12分)1、能量子:2、受激辐射:3、黑体辐射:4、布郎运动:5、熵增加原理:6、瞬时加速度:三、选择题(共10小题,每题2分,共20分)1、气体在状态变化过程中,可以保持体积不变或保持压强不变,这两种过程()。
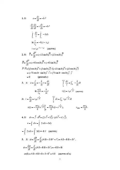
1. S: 2kv dtdva -==2kv dxdvv dt dx dx dv -==k d x v dvxx vv -=⎰⎰)(ln00x x k v v--= )(00x x k e v v --= (answer)2. S: j t i t dt rd v )3cos 15()3sin 15(+-== jt i t dtv d a )3sin 45()3cos 45(-+-==()()j t i t j t i t v r)3cos 15()3sin 15()3sin 5()3cos 5(+-⋅+=⋅j j t t i i t t⋅⋅+⋅⋅-=)3c o s 3s i n 75()3sin 3cos 75( 0= (proved c)3. S: dtdv v m k m f a =-==dt mkv dv t t v v -=⎰⎰0)(0t mkv t v -=0)(ln t m ke v t v -=0)( (answer) D: t m k e v dtdxv -==0dt e v dx t m k tt x -⎰⎰=00)(0kmv x e kmv ekmv t x t m k t t mk 0max 00),1()(=-=-=--4. S: )()32(j y d i dx j i x r d f dw+⋅+=⋅=dy xdx dw w fi32+==⎰⎰dy xdx 323342⎰⎰--+== -6 J (answer)5. S: 23230.60.4)0.30.4(t t t t t dtddt d +-=+-==θω, t t t dtddt d 60.6)30.60.4(2+-=+-==ωα 0.40300.60.4)0(2=⨯+⨯-=ω (answer of a)0.28)0.4(30.40.60.4)0.4(2=⨯+⨯-=ω rad/s (answer of a ) 60.266)0.2(=⨯+-=α rad/s 2 (answer of b )t t 60.6)(+-=α is time varying not a constant (answer of c) 6. S: ω20031222ML L v m L mv +⋅= MLmv ML L mv 4343020==ω (answer a))c o s 1(2)31(21m a x 22θω-=LMg ML ]1631[cos 2221maxgLM v m -=-θ (answer b) 7. G: m =1.0g, M =0.50kg, L =0.60m, I rod =0.0602m kg ⋅,s rod /5.4=ωR:I sys , v 0S: I sys =I rod +(M+m)L2=0.060+(0.50+0.0010)×0.602= 0.24 2m kg ⋅(answer)the system ’s angular momentum about rotating axis is conservative in the collision.sysI L mv ω=0s m mL I v sys/108.160.00010.024.05.430⨯=⨯⨯==ω (answer )D: The bullet momentum 0v m p=(before impact), its angular momentumabout rotating axis can be expressed as L mv 0(a scalar) 8. S:γ==00.800x xt v c -∆==0811800.600 3.0010t t γ∆=∆=⨯⨯ 9. S: 202202)(mc E cp E E γγ==+=222c p m c m c m c =10. S: 0i n t =-=∆n e t n e t W Q E n e t n e t W Q = 1(3010)(4.0 1.0)2=-- J 30= (answer)11. S: from nRT PV =and K T A 300= we can get:KT K T C B 100300== (answer of a)Change of internal energy between A and B:0)(23int =-=∆A B T T k n E (answer of b)The net work of the cycle:))(100300()13(2121m N AC BC W ⋅-⋅-=⋅=J 200= (answer of c) From the first law : W E Q +∆=int we can derive:the net heat of the whole cycle is J W Q 200== (answer)12. S: 131)(320===⎰⎰∞F v Av dv Av dv v p F33FvA =(answer of a ) F F v a v g v Av dv vAv v F4341420===⎰13. G: T 1=T 2=T , m 1, p 1, v rms,1, m 2, p 2=2p 1, v avg,2 = 2v rms,1 R: m 1 / m 2 S: v avg,2 =1.602m kTv rms,1 = 1.731m kTv avg,2 = 2v rms,167.4)60.173.12(221=⨯=m m (answer) 14. S: dE int =dQ – dWd Q = dE int + dW = n C v dT+pdV VdVnR T dT nC dV T p T dT nC T dQ dS v v +=+==if i f v VV v T T V V nR T T nC V dVnR T dT nC ds S f i filnln +=+==∆⎰⎰⎰ 15. S: dA E q θεcos 0⎰=212100)0.60100(1085.8⨯-⨯⨯=- C 61054.3-⨯= 16. S: 2041)(r Qr E πε=(R < r <∞) dr rQ dr r E udV dU 2022208421πεπε=⋅== RQ r dr Q udV U R0220288πεπε===⎰⎰∞(answer) RQ r dr Q U r r Rεπεεπε02202*88==⎰∞(answer ) 18. S: in the shell of r – r + drdr r R r dV r dq 204)/1()(πρρ-==)34(31)/(4)(4303200r Rr dr R r r dq r q r-=-==⎰⎰πρπρfrom the shell theorems , within the spherical symmetry distribution )34(12)(41)(20020r Rr Rr r q r E -==ερπε (answer of b)R r r R Rdr dE 320)64(12*00=⇒=-=ερ 00200*max 9])32(3324[12)(ερερRR R R R r E E =-⨯== 19. S: j yV i x V V gradV y x E∂∂-∂∂-=-∇=-=),( )0.20.2(y x x VE x +-=∂∂-= x yV E y 0.2-=∂∂-= )/(480.2)0.20.2()0.2,0.2(m V j i j x i y x E--=-+-=20. S: Q in = - q , Q out = q (answer ) 1010241241)0(R qq V q πεπε==104)0(R qV in πε-=204)0(R q V o u t πε=)0()0()0()0(out in q V V V V ++= )11(4210R R q +=πε21. S: from the planar symmetry and superposition principle, Emust in normal direction of the plates and 1σ,2σ,3σ,4σ must be const. Fromcharge conservationA Q S =+)(21σσ ⇒ SQ A=+21σσ (1) B Q S =+)(43σσ ⇒ SQ B=+43σσ (2) Apply Gauss ’ law in the closed surface shown in Fig. 032=+σσ (3)within the metal, 0=p Ewhich leads to002222432104030201=-++⇒=-++σσσσεσεσεσεσFrom(1), (2), (3), (4) yield:⎪⎪⎩⎪⎪⎨⎧-=-=+==S Q Q SQ Q B AB A 223241σσσσ (answer of a) (6 points) 004030201122222εεσεσεσεσS Q Q E BA p -=--+= (1 point) 004030201222222εεσεσεσεσS Q Q E BA p +=+++=(1 point) (answer of b) d S Q Q d E d E V BA p AB 012ε-==⋅= (2 points) (answer of c)。
Exercise:1. A particle moving along x axis starts from x 0 with initial velocity v 0. Its acceleration can be expressed in a =-kv 2 where k is a known constant. Find its velocity function v =v (x ) with the coordinate x as variable.2. A particle moves in xy plane with the motion function asj t i t t r )3sin 5()3cos 5()(+=(all in SI). Find (a) its velocity )(t v and (b)acceleration )(t ain the unit-vector notation. (c) Show that v r ⊥. 3. A bullet of mass m is shot into a sand hill along a horizontal path, assume that the drag of the sand is kv f -=, find the velocity function v(t) if 0)0(v v = and the gravitation of the bullet can beignored.4. what work is done by a conservative force j i x f 32+= thatmoves a particle in xy plane from the initial position j i r i 32+= tothe final position j i r f 34--=. All quantities are in SI.5. The angular position of a point on the rim of a rotating wheel is given by 320.30.4t t t +-=θ, where θ is in radians and t is in seconds. Find (a) its angular velocities at t=0s and t =4.0s? (b) Calculate its angular acceleration at t =2.0s. (c) Is its angular acceleration constant?6. A uniform thin rod of mass M and length L can rotate freely about a horizontal axis passing through its top end o (231ML I =). Abullet of mass m penetrates the rod passing its center of mass when the rod is in vertical stationary. If the path of the bullet is horizontal with an initial speed v o before penetration and 20v after penetration . Show that (a) the angular velocity of the rod just after the penetration is MLmv 430=ω. (b) Find the maximum angular max θ the rod will swing upward after penetration.7. A 1.0g bullet is fired into a block (M=0.50kg) that is mounted on the end of a rod (L=0.60m). The rotational inertia of the rod alone about A is 206.0m kg ⋅. The block-rod-bullet system then rotates about a fixed axis at point A. Assume the block is small enough to treat as a particle on the end of the rod. Question: (a) What is the rotational inertia of the block-rod-bullet system about A? (b) If the angular speed of the system about A just after the bullet ’s impact is 4.5rad/s , What is the speed of the bullet just before the impact? γ between the rest frame S and the frame S* in which the clock is rest. (b) what time does the clock read as it passes x =180m ?9. What must be the momentum of a particle with mass m so that its total energy is 3 times rest energy?10. Ideal gas within a closed chamber undergoes the cycle shownthe net energy added to the gas as heat shown in the Fig. temperature at state A is 300K.(a). calculate the temperature of state B and C.(b). what is the change in internal energy of the gas between stateA and state B? (int E ∆)(c). the work done by the gas of the whole cycle .(d). the net heat added to the gas during one complete cycle.12. The motion of the electrons in metals is similar to the motion of molecules in the ideal gases. Its distribution function of speed is not Maxwell ’s curve but given by.⎩⎨⎧=0)(2Av v p the possible maximum speed v F is called Fermi speed. (a)。
大学物理C 思考题5-1-2气体在平衡状态时有何特征?这时气体中有分子热运动吗?热力学中的平衡与力学中的平衡有何不同?5-4-1对一定量的气体来说,当温度不变时,气体的压强随体积的减小而增大;当体积不变时,压强随温度的升高而增大。
就微观来看,他们有何区别?5-5-5如盛有气体的容器相对于某坐标系从静止开始运动,容器内的分子速度相对于这坐标系也将增大,则气体的温度会不会因此升高呢?5-5-6速率分布函数的物理意义是什么?试说明下列各量的意义:(1)dv v f )(;(2)dv v Nf )(;(3)⎰21)(v v dv v f ;(4)⎰21)(v v dv v Nf ;(5)⎰21)(v v dv v vf ;(6)⎰21)(v v dv v Nvf 。
5-7-2平均自由程与气体的状态以及分子本身的性质有何关系?在计算平均自由程时,什么地方体现了统计平均?5-0-1理想气体的微观模型?5-0-2能量均分定理及含义?6-2-1为什么气体热容的数值可以有无穷多个?什么情况下,气体的摩尔热容是零?什么情况下,气体的摩尔热容是无穷大?什么情况下是正值?什么情况下是负值?6-3-2有两个热气分别用不同的热源作卡诺循环,在V p -图上,它们的循环曲线所包围的面积相等,但形状不同,如图所示,它们吸热和放热的差值是否相同?对所作的净功是否相同?效率是否相同?6-6-2在日常生活中,经常遇到一些单方向的过程,如:(1)桌上热餐变凉;(2)无支持的物体自由下落;(3)木头或其他燃料的燃烧。
它们是否都与热力学第二定律有关?在这些过程中熵变是否存在?如果存在,则是增大还是减小?7-2-2根据点电荷的电场强度公式r e r q E 2041πε=,当所考察的场点和点电荷的距离0→r 时,电场强度∞→E ,这是没有物理意义的,对此似是而非的问题应如何解释?7-3-1如果在高斯面上的E处处为零,能否肯定此高斯面内一定没有净电荷?反过来,如果高斯面内没有净电荷,能否肯定面上所有各点的E 都等于零?7-5-1(1)已知电场中某点的电势,能否计算出该点的场强?(2)已知电场中某点附近的电势分布,能否计算出该点的场强?7-6-5一带点导体放在封闭的金属壳内部。
注意事项:1.请在本试卷上直接答题. 2.密封线下面不得写班级,姓名,学号等.教师姓名__________________ 作业序号_________专业__________________学号__________________姓名________________ …………………………………………………2011~2012学年第二学期………………………密封装订线………………………2012年6月26日……………………………………安徽工业大学11级《大学物理A1》期末考试试卷(甲卷)一、填空题:(第1题和第7题每空3分,其余每题3分,共36分).如图所示,一静止的均匀细棒,长为L、质量为M,可绕通过O转动惯量为231ML.一质量为m、速率为v的子弹在水平面内沿与棒垂直的方向射出并穿出棒的自由端,设穿过棒后子弹的速率为13v,则此时棒的角速度大小为__________________,子弹穿出后棒获得的动能为______________.2. 在标准状态下,若氧气(视为刚性双原子分子的理想气体)和氦气的体积比V1 / V2=3 / 2 ,则其内能之比E1/ E2为________________.3. 一定量理想气体,从同一状态开始使其体积由V1膨胀到2V1,分别经历以下三种过程:(1)等压过程;(2) 等温过程;(3)绝热过程.其中:__________过程气体对外作功最多;____________过程气体内能增加最多;__________过程气体吸收的热量最少.4. 某气体在温度为T = 273 K时,压强为p=1.0×10-2 atm,密度ρ = 1.24×10-2 kg/m3,则该气体分子的方均根速率为__________m/s.(1 atm = 1.013×105 Pa)5. 两列分别向x轴正向和负向传播的相干波形成驻波.已知相干波的波长为2m,x= 1m处为波节,则x=1.75m处的质元与x= 2.25m处的质元,它们振动的相位差是________________.S1和S2为两相干波源,振幅均为A,它们的振动方发出波长为λ的简谐波,P两列波相遇区域中的一点,已知λ21=PS,λ2.22=PS,两列波在P点发生相消干涉.若S1的振动方程为1cos(2)y A tν=π+π/2,则S2的振动方程为_____________________.7. 有一卡诺热机,用290 g空气为工作物质,工作在27℃的高温热源与-73℃的低温热源之间,此热机的效率η=____________.若在等温膨胀的过程中,气缸体积增大到2.718倍,则此热机每一循环所作的功为__________J.(空气的摩尔质量为29×10-3 kg/mol,R=8.31 11KmolJ--⋅⋅)8. 在迈克耳孙干涉仪的一条光路中,放入一折射率为n,厚度为d的透明薄片,所用单色光波长为λ,放入后,可使光屏中心条纹移动___________条.9. 当粒子的动能等于它的静止能量时,它的运动速度为_____________.(已知光速为c)10. 一束自然光从空气投射到玻璃表面上(空气折射率为1),当折射角为30°时,反射光是完全偏振光,则此玻璃板的折射率等于____________.二、选择题: 请将你所选的各题答案的序号填入下表(每题3分,共36分).1. 一轻绳绕在有水平轴的定滑轮上,滑轮的半径为R,转动惯量为J,绳下端挂一物体.物体的质量为m,滑轮的角加速度为β.若将物体去掉而以与mg相等的力直接向下拉绳子,滑轮的角加速度为β',则β、β'分别为:(A)β=β'=mgR / J.(B) β=mgR / J,2m g Rm R Jβ'=+.(C)2m g Rm R Jββ'==+.(D)2m g Rm R Jβ=+,β'=mgR / J.2. 置于容器内的气体,如果气体内各处压强相等,或气体内各处温度相同,则这两种情况下气体的状态:(A) 一定都是平衡态.(B)不一定都是平衡态.(C) 前者一定是平衡态,后者一定不是平衡态.(D) 后者一定是平衡态,前者一定不是平衡态.3. 若f(v)为气体分子速率分布函数,N为分子总数,m为分子质量,则1221v2vm v N f(v)d v⎰的物理意义是:(A) 速率为2v的各分子的总平动动能与速率为1v的各分子的总平动动能之差.(B) 速率为2v的各分子的总平动动能与速率为1v的各分子的总平动动能之和.(C) 速率处在速率间隔1v~2v之内的分子的平均平动动能.(D)速率处在速率间隔1v~2v之内的分子平动动能之和.4. 热力学第一定律表明:(A) 系统对外作的功不可能大于系统从外界吸收的热量.(B) 系统内能的增量等于系统从外界吸收的热量.(C) 不可能存在这样的循环过程,在此循环过程中,外界对系统作的功不等于系统传给外界的热量.(D) 热机的效率不可能等于1.5. 一质点作简谐振动.其振动曲线如图所示.则用余弦函数描述时初相φ0及它的周期T分别为:(A) φ0 =23πT =12s7.(B) φ0 =23π-T =12s7.(C) φ0 =23πT =24s7.(D) φ0 =23π-T =24s7.6. 一平面简谐波在弹性媒质中传播,在媒质质元从最大位移处回到平衡位置的过程中:(A) 它的势能转换成动能.(B) 它的动能转换成势能.(C)它从相邻的一段媒质质元获得能量,其能量逐渐增加.(D) 它把自己的能量传给相邻的一段媒质质元,其能量逐渐减小.( 反面还有试题)S21 vv俯视图A1甲卷- 1 -A1甲卷 - 2 -7. 一匀质矩形薄板,在它静止时测得其长为a ,宽为b ,质量为m 0.由此可算出其面积密度为m 0 /ab .假定该薄板沿长度方向以接近光速的速度v 作匀速直线运动,此时再测算该矩形薄板的面积密度则为:(A) ab c m 20)/(1v - (B) 20)/(1c ab m v -(C) ])/(1[20c ab m v - (D) 2/320])/(1[c ab m v -8. 用 λ=589.3nm 的钠黄光从空气中( n 1 =1)垂直照射到劈状SiO 2薄膜上,SiO 2薄膜的折射率 n 2 =1.50,其下方介质的折射率n 3 =3.42,观察反射光形成的干涉条纹,从劈形膜棱边开始向右数第5条暗条纹中心所对应的厚度e为:(A) 786 nm . (B) 884 nm . (C) 982 nm . (D) 1080 nm .9. 一弹簧振子作简谐振动,总能量为E 1,如果简谐振动振幅增加为原来的两倍,重物的质量增为原来的四倍,则它的总能量E 2变为: (A) 4E 1. (B) E 1/2.(C) 2E 1. (D) E 1/4.10. 某元素的特征光谱中含有波长分别为λ1=450 nm 和λ2=600 nm (1 nm =10-9 m)的光谱线.在光栅光谱中,这两种波长的谱线有重叠现象,重叠处λ1的谱线的级数将是:(A) 2 ,3 ,4,5 ...... (B) 2 ,5 ,8,11 ...... (C) 4 ,8 ,12,16...... (D) 3 ,6 ,9,12 ......11. 如果两个偏振片堆叠在一起,且偏振化方向之间夹角为30°,光强为I 0的自然光垂直入射在偏振片上,则出射光强为:(A) I 0 / 8. (B) I 0 / 4. (C) 3 I 0 / 8. (D) 3 I 0 / 4.12. (1)对某观察者来说,发生在某惯性系中同一地点、同一时刻的两个事件,对于相对该惯性系作匀速直线运动的其它惯性系中的观察者来说,它们是否同时发生?(2)在某惯性系中发生于同一时刻、不同地点的两个事件,它们在其它惯性系中是否同时发生?关于上述两个问题的正确答案是: (A) (1)同时, (2)不同时. (B) (1)不同时,(2)同时.(C) (1)同时, (2)同时. (D) (1)不同时,(2)不同时. 三、计算题:要求写出解题主要步骤和过程(共28分).(6分)一沿x 轴负方向传播的平面简谐波在t = 2 s 时的波形曲线u=1m/s .求:(1)原O 的初相;(2)原点O 的振动方程;3)这列波的波动方程.(7分)一定量的某种理想气体,开始时处于压强、体积、温度分别p 0=1.2×106Pa ,V 0=8.31×10-3m 3,T 0 =300 K 的初态,后经过一等体T 1 =450 K ,再经过一等温过程,压强降到p = p 0的C p / C V .求: (1) 该理想气体的等压摩尔热容C p .(2) 气体从始态变到末态的全过程中从外界吸收的热量.(普适气体常量R = 8.31 J·mol -1·K -1)(7分)用波长λ=600 nm 的单色光做杨P 处产生第五级明现将折射率n =1.5 的薄透明玻璃如图所示,此时P试计算此玻璃片厚度.(8分)波长在500nm~700nm 之间的一单色平行光垂直照射在一a =0.6 mm 的单缝上,缝后凸透镜焦距f =40cm .若屏上离中1.4 mm 处的P 点为一明条纹.求:入射光的波长; (2)P 点处条纹的级数; 从P 点看,对该光波而言,狭缝处的波面可分成几个半波带?(完)…………………………………………………………………………此线以下答题无效…………………………………………………………………………。
合肥工业大学应用物理学评测1、45.关于电冰箱,下列说法正确的是()[单选题] *A.将水放入冷冻室,水会液化B.打开冷冻室的门会看到“白气”,这是汽化现象C.冷冻室侧壁有时会有霜,这是水蒸气凝固形成的D.食品在冷藏室里能保鲜,利用了制冷剂汽化吸热(正确答案)2、重锤线可以检测墙上的画是否挂正,这利用重力的方向垂直于支持面[判断题] *对错(正确答案)答案解析:重力的方向是竖直向下3、90.某工厂要制造一种特殊用途的钢铝罐,钢罐内表面要压接一层25mm厚的铝膜,一时难住了焊接和锻压专家,后经技术人员的联合攻关解决了这一难题:他们先把铝膜紧贴到钢罐内表面,再往钢罐内灌水,插入冷冻管使水结冰,然后铝膜与钢罐就压接在一起了,其原因是()[单选题] *A.铝膜与钢罐间的水把它们冻牢了B.水结冰时膨胀产生的巨大压力把它们压牢了(正确答案)C.结冰时铝膜与钢罐间的冰把它们粘牢了D.水结冰时放出的热量把它们焊牢了4、错竹筷漂浮在水面上,是由于筷子受到的浮力大于自身重力[判断题] *对错(正确答案)答案解析:漂浮时浮力等于重力5、通常情况下,关于一段镍铬合金丝的电阻,下列说法中正确的是()[单选题]A.合金丝的电阻跟该合金丝的横截面积无关B.合金丝的电阻等于该合金丝两端电压与通过其电流的比值(正确答案)C.合金丝两端的电压越大,合金丝的电阻越大D.通过合金丝的电流越小,合金丝的电阻越大6、67.关于粒子和宇宙,下列认识中正确的是()[单选题] *A.光年是时间单位,宇宙是一个有层次的天体结构B.电子的尺度比原子的尺度大;原子核带负电,电子带正电C.水和酒精混合后总体积变小,说明分子间有引力D.汤姆生发现了电子,卢瑟福建立了原子核式结构模型(正确答案)7、73.铝的密度是木头的5倍,质量相同的铝块和木块,它们的体积之比为1:4,则下列说法正确的是()[单选题] *A.铝块和木块一定都是空心的B.铝块和木块一定都是实心的C.木块一定是空心的D.铝块一定是空心的(正确答案)8、23.三个质量相等的实心球,分别由铝、铁、铜制成,分别放在三个大小相同的空水杯中,再向三个空水杯中倒满水(物体都能浸没,水没有溢出,ρ铝<ρ铁<ρ铜),则倒入水的质量最多的是()[单选题] *A.铝球B.铁球C.铜球(正确答案)D.无法判断9、4.力F的大小为100 N,它的一个分力F1的大小为60 N,则另一个分力一定大于40 N.[判断题] *对错(正确答案)10、85.在“用托盘天平称物体的质量”的实验中,下列哪项操作是错误的()[单选题] * A.使用天平时,应将天平放在水平工作台面上B.天平调平后在称量过程发现横梁不平衡,此时可以通过调节平衡螺母使横梁平衡(正确答案)C.称量时左盘应放置待称量的物体,右盘放置砝码D.观察到指针指在分度盘的中线处,确定天平已平衡11、29.生产和生活中,人们选择材料时会考虑材料的物理性质,下面属于主要从密度的角度考虑选材料的是()[单选题] *A.用塑料作为插座外壳的材料B.用铝合金作为制作飞机的材料(正确答案)C.用橡胶作为汽车轮胎的材料D.用钨作为白炽灯泡灯丝的材料12、41.下列物态变化现象中,说法正确的是()[单选题] *A.夏天从冰箱取出的冰棍周围冒“白气”,这是空气中水蒸气的凝华现象B.市场上售卖“冒烟”的冰激凌,是由于其中的液氮汽化吸热致使水蒸气液化形成(正确答案)C.在饮料中加冰块比加冰水的冰镇效果更好,是因为冰块液化成水的过程中吸热D.手部消毒可以用酒精喷在手上,感到凉爽是因为酒精升华吸热13、下列说法中正确的是()*A.水可以浸润玻璃,水银不能浸润玻璃(正确答案)B.热管是利用升华和汽化传递热量的装置C.布朗运动是指在显微镜下直接观察到的液体分子的无规则运动。
第一部分 选择题与填空题 (共60分)一、单项选择题(共10小题,每题3分,共30分)1.一运动质点在某瞬时位于矢径()y x r ,的端点处, 其速度大小为(A) t r d d (B) t rd d(C) t r d d (D) 22d d d d ⎪⎭⎫⎝⎛+⎪⎭⎫ ⎝⎛t y t x [ ]2.人造地球卫星绕地球作椭圆轨道运动,卫星轨道近地点和远地点分别为A 和B .用L 和E K 分别表示卫星对地心的角动量及其动能的瞬时值,则应有 (A) L A >L B ,E KA >E kB . (B) L A =L B ,E KA <E KB . (C) L A =L B ,E KA >E KB . (D) L A <L B ,E KA <E KB . [ ]3.一轻绳跨过一具有水平光滑轴、质量为M 的定滑轮,绳的两端分别悬有质量为m 1和m 2的物体(m 1<m 2),如图所示.绳与轮之间无相对滑动.若某时刻滑轮沿逆时针方向转动,则绳中的张力(A) 处处相等. (B) 左边大于右边. (C) 右边大于左边. (D) 哪边大无法判断.[ ]4.设图示的两条曲线分别表示在相同温度下氧气和氢气分子的速率分布曲线;令()2O p v 和()2H p v 分别表示氧气和氢气的最概然速率,则(A) 图中a表示氧气分子的速率分布曲线; ()2O p v /()2H p v =4.(B) 图中a表示氧气分子的速率分布曲线; ()2O p v /()2H p v =1/4.(C) 图中b表示氧气分子的速率分布曲线; ()2O p v /()2H p v =1/4.(D) 图中b表示氧气分子的速率分布曲线;()2O p v /()2H p v = 4.[ ]f (v )5.1 mol 理想气体从p -V 图上初态a 分别经历如图所示的(1) 或(2)过程到达末态b .已知T a <T b ,则这两过程中气体吸收的热量Q 1和Q 2的关系是 (A) Q 1> Q 2>0. (B) Q 2> Q 1>0.(C) Q 2< Q 1<0. (D) Q 1< Q 2<0. (E) Q 1= Q 2>0.[ ]6.如图所示,在坐标(a ,0)处放置一点电荷+q ,在坐标(-a ,0)处放置另一点电荷-q .P 点是y 轴上的一点,坐标为(0,y ).当y >>a 时,该点场强的大小为:(A) 204y q επ. (B) 202yqεπ. (C) 302y qa επ. (D) 304y qaεπ. [ ]7. 关于静电场中某点电势值的正负,下列说法中正确的是: (A) 电势值的正负取决于置于该点的试验电荷的正负. (B) 电势值的正负取决于电场力对试验电荷作功的正负. (C) 电势值的正负取决于电势零点的选取. (D) 电势值的正负取决于产生电场的电荷的正负. [ ]8.均匀磁场的磁感强度B垂直于半径为r 的圆面.今以该圆周为边线,作一半球面S ,则通过S 面的磁通量的大小为 (A) 2πr 2B . (B) πr 2B .(C) 0. (D) 无法确定的量. [ ]9.两根无限长平行直导线载有大小相等方向相反的电流I ,并各以d I /d t 的变化率增长,一矩形线圈位于导线平面内(如图),则:(A) 线圈中无感应电流. (B) 线圈中感应电流为顺时针方向. (C) 线圈中感应电流为逆时针方向.(D) 线圈中感应电流方向不确定. [ ]10.在某地发生两件事,静止位于该地的甲测得时间间隔为4 s ,若相对于甲作匀速直线运动的乙测得时间间隔为5 s ,则乙相对于甲的运动速度是(c 表示真空中光速)(A) (4/5) c . (B) (3/5) c .(C) (2/5) c . (D) (1/5) c . [ ]Vp O a b(1)(2) I IO x -a -q +q +a P (0,y ) y二、填空题(共10小题,每题3分,共30分)1.一个力F 作用在质量为 1.0 kg 的质点上,使之沿x 轴运动.已知在此力作用下质点的运动学方程为3243t t t x +-= (SI).在0到4 s 的时间间隔内, (1) 力F 的冲量大小I =__________________.(2) 力F 对质点所作的功W =________________.2.长为l 、质量为M 的匀质杆可绕通过杆一端O 的水平光滑固定轴转动,转动惯量为231Ml ,开始时杆竖直下垂,如图所示.有一质量为m 的子弹以水平速度0v 射入杆上A点,并嵌在杆中,OA =2l / 3,则子弹射入后瞬间杆的角速度ω =__________________________.3.2 g 氢气与2 g 氦气分别装在两个容积相同的封闭容器内,温度也相同.(氢气分子视为刚性双原子分子)(1) 氢气分子与氦气分子的平均平动动能之比He H /2w w =__________.(2) 氢气与氦气压强之比 He H 2p p == ______________________.(3) 氢气与氦气内能之比 He H /2E E = ______________________.4.1 mol 的单原子理想气体,从状态I (p 1,V 1)变化至状态II(p 2,V 2),如图所示,则此过程气体对外作的功为________________________,吸收的热量为______________________.5.热力学第二定律的开尔文表述和克劳修斯表述是等价的,表明在自然界中与热现象有关的实际宏观过程都是不可逆的,开尔文表述指出了________________ _______________的过程是不可逆的,而克劳修斯表述指出了________________的过程是不可逆的.,V 2)6.电荷分别为q 1和q 2的两个点电荷单独在空间各点产生的静电场强分别为1E和2E ,空间各点总场强为E=1E +2E .现在作一封闭曲面S ,如图所示,则以下两式分别给出通过S 的电场强度通量⎰⋅S E d 1=______________________________,⎰⋅S Ed =________________________________.7.静电场中有一质子(带电荷e =1.6×10-19 ) 沿图示路径从a 点经c 点移动到b 点时,电场力作功8×10-15 J .则当质子从b 点沿另一路径回到a 点过程中,电场力作功A =________________;若设a 点电势为零,则b 点电势U b =_________ .8.在如图所示的回路中,两共面半圆的半径分别为a 和b ,且有公共圆心O ,当回路中通有电流I 时,圆心O 处的磁感强度B 0 =___________________,方向___________________.9.如图,一根载流导线被弯成半径为R 的1/4圆弧,其电流方向由a →b,放在磁感强度为B 的均匀磁场中,则载流导线ab 所受磁场的作用力的大小为____________ ,方向_________________.10.狭义相对论的两条基本原理中,相对性原理说的是________________________________________________________________________________ ;光速不变原理说的是_______________________________________________________________________ .I a b OB第二部分 计算题与证明题(共4小题,每题10分,共40分)三、(本题10分)一轴承光滑的定滑轮,质量为M =2.00 kg ,半径为R =0.100 m ,一根不能伸长的轻绳,一端固定在定滑轮上,另一端系有一质量为m =5.00 kg的物体,如图所示.已知定滑轮的转动惯量为J =221MR ,其初角速度 ω0=10.0 rad/s ,方向垂直纸面向里.求:(1) 定滑轮的角加速度的大小和方向;(2) 定滑轮的角速度变化到ω=0时,物体上升的高度; (3)当物体回到原来位置时,定滑轮的角速度的大小和方向.四、(本题10分)长直导线与矩形单匝线圈共面放置,导线与线圈的长边平行.矩形线圈的边长分别为a 、b ,它到直导线的距离为c (如图).当长直导线中通有电流I = I 0sin ωt 时,求矩形线圈中的感应电动势.五、(本题10分)在实验室中测得电子的速度是0.8c ,c 为真空中的光速.假设一观察者相对实验室以0.6c 的速率运动,其方向与电子运动方向相同,试求该观察者测出的电子的动能和动量是多少?(电子的静止质量m e =9.11×10-31kg )六、(本题10分)电荷Q 均匀分布在半径为R的球体内.设无穷远处为电势零点,试证明:距离球心r (r <R)处的电势为 ()302283Rr R Q U επ-=合肥工业大学2004-2005学年第一学期《大学物理》(Ш)参考答案及评分标准第一部分 选择题与填空题 (共60分)一、选择题(本大题共10小题,每小题3分,共30分)1、D2、C3、C4、B5、A6、C7、C8、B9、B 10、B二、填空题(本大题共10小题,每小题3分,共30分)1. 16 N ·s 1分 176 J 2分2. ()lm M /3460+v 3分3. 1 1分2 1分 10/3 1分 4.))((211221V V p p -+ 1分))((21)(2312211122V V p p V p V p -++- 2分5.功变热 2分 热传导 1分6. q 1 / ε0 1分 ( q 1+q 2) / ε0 2分7. -8×10-15 J 2分 -5×104 V 1分8. )11(40ba I +μ 2分垂直纸面向里. 1分 9. BIR 2 2分 沿y 轴正向 1分10. 一切彼此相对作匀速直线运动的惯性系对于物理学定律都是等价的 1分 一切惯性系中,真空中的光速都是相等的 2分第二部分 计算题与证明题(共4小题,每题10分,共40分)三、解: (1) ∵ mg -T =ma 1分 TR =J β 2分 a =R β 1分∴ β = mgR / (mR 2+J )()R M m mgMR mR mgR +=+=222122 =81.7 rad/s 21分方向垂直纸面向外. 1分(2) ∵ βθωω2202-= 当ω=0 时, rad 612.0220==βωθ物体上升的高度h = R θ = 6.12×10-2m 2分(3) ==βθω210.0 rad/s方向垂直纸面向外. 2分四、解:若长直导线中通有变化的电流t I I ωsin 01=,由安培环路定律可得空间的磁场分布为)2/(10r I B π=μ. 3分 穿过矩形线圈的磁通为⎰⎰⋅+π==a c cr b r I S B d 12d 10μΦ aac bI +π=ln 210μ 4分由法拉第电磁感应定律可得矩形回路中的感应电动势为:t aa cb I dt d ωωμεcos ln 200+-=Φ-=π 3分a五、解:设实验室为K 系,观察者在K ′系中,电子为运动物体.则K ′对K 系的速度为u = 0.6c ,电子对K 系速度为v x = 0.8c .电子对K ′系的速度c c u u x x x 385.0)/(12=--='v v v 3分 观察者测得电子动能为J 1085.6)1)/(11(15220-⨯=-'-=c c m E x K v 4分动量为 x m p v '=2)/(1c m x xv v '-'==1.14×10-22 kg ·m/s 3分六、证:半径为r 处的电势应为以r 为半径的球面以内的电荷在该处产生的电势U 1和球面外电荷产生的电势U 2的叠加,即 U = U 1 + U 2球面内电荷产生的电势 3020330144/4R Qr r R Qr r q U i εεεπ=π=π= 4分 球面外电荷产生的电势. 在球面外取r '─→r '+d r '的薄层.其上电荷r r RQ r r R Q dq ''=''ππ=d 3d 43/42323 它对该薄层内任一点产生的电势为r r RQr q U ''π='π=d 434d d 3002εε ⎰⎰''π==R r r r R Q U U d 43d 3022ε()302283Rr R Q επ-= 4分 ()()302230223022183834R r R Q R r R Q R Qr U U U εεεπ-=π-+π=+= 2分 若根据电势定义⎰⋅l Ed 直接算出,即()302220308344R r R Q dr r Q dr R Qr l d E U RRrrεπεπεπ-=+=⋅=⎰⎰⎰∞∞ 同样给分.。
2016~2017学年第一学期课程代码 1000241B 学分 4 课程名称大学物理B(下)命题教师教研室专家组教研室主任审批签名李国祥学号学生姓名教学班号考试班级考试日期成绩一、简答题(共45分)1.试从机理、电荷分布、电场分布等方面来比较导体的静电平衡和电介质的极化有何异同.(9分)2. 如图,一条任意形状的载流导线位于垂直纸面向内的均匀磁场中,试证明它所受的安培力等于载流直导线所受的安培力。
(9分)3. 涡旋电场与静电场有哪些区别? 位移电流与传导电流有哪些区别? (9分)4. 简要叙述如何用一块偏振片来区分自然光、部分偏振光和完全偏振光。
(9分)5. 微观粒子波函数的物理意义是什么?它必须满足的哪些条件?(9分)二.计算题(共55分)1.如图所示,两个同心导体球壳,内球壳半径为R1,均匀带有电荷Q,外球壳半径为R2。
,两球壳的厚度均忽略。
外球壳与地相连接.设地为电势零点。
试求外球壳内部空间(0<r< R2):(1) 场强大小的分布;(2) 电势的分布。
(8分)2.已知真空中的平行板电容器,极板面积为S,两极板间距为d,用电源充电使两极板分别带有电荷-Q和+Q。
断开电源后,把两极板的距离拉开到2d,求:(1)外力所做的功(2)两极板间的相互吸引力。
(8分)3. 一宽度为b的半无限长金属板置于真空中,均匀通有电流I0,P点为薄板边线延长线上的一点,并且与薄板边缘的距离为d(如图所示)。
试求P点处磁感应强度的大小和方向。
(8分)4. 如图所示,一无限长的直导线中通有交变电流,它旁边有一个与其共面的长方形线圈ABCD,长度为,宽度为。
试求:(1)穿过回路ABCD的磁通量;(2)回路ABCD中的感应电动势(8分)2016~2017学年第 一 学期 课程代码 1000241B 学分 4 课程名称 大学物理B (下) 命题教师 教研室专家组 教研室主任审批签名 李国祥 学号 学生姓名 教学班号 考试班级 考试日期 成绩装 考生注意:答题5. 如图所示,二同轴无限长的导体薄壁圆筒,内筒的半径为R 1,外筒的半径为R 2,二圆筒上均匀地流着方向相反的电流,电流强度均为I 。
大学物理A1甲卷 1( 反面还有试题 )注意事项:1.请在本试卷上直接答题. 2.密封线下面不得写班级,姓名,学号等.教师姓名__________________ 作业序号_________ 专业__________________ 学号__________________姓名________________……………………………10~11年第二学期………………………密封装订线…………………2011年6月30日9:00~11:00………………………安徽工业大学10级《大学物理A1》期末考试试卷 (甲卷)一、选择题: 请将你所选的各题答案的序号填入下表(每题3分,共33分)1. 一质点同时在几个力作用下的位移为:k j i r654+-=∆(SI )其中一个力为恒力k j i F953+--= (SI),则此力在该位移过程中所作的功为(A )17J (B )-67J (C )67J (D)91J2. 两容器内分别盛有氢气和氦气,若它们的温度和质量分别相等,则:(A) 两种气体分子的平均平动动能相等(B) 两种气体分子的平均动能相等(C) 两种气体分子的平均速率相等 (D) 两种气体的内能相等3. 下面说法正确的是(A) 平衡过程一定是可逆过程 (B) 可逆过程不一定是平衡过程(C) 一切与热现象有关的实际过程都是不可逆过程(D) 一切自然过程都是朝着熵减小的方向进行4. 一瓶氮气和一瓶氦气密度相同,分子平均平动动能相同,且处于平衡态,T 表示温度,P 表示压强,则两种气体的(A) T 、P 均相同 (B) T 、P 均不相同(C) T 相同,但2N H e P P < (D) T 相同,但2N H e P P >5. 一定量的理想气体,从p -V 图上初态b 经历(1)或(2)过程到达末态a ,已知a 、b 两态处于同一条绝热线上(图中虚线是绝热线),则气体在(A )(1)过程中放热,(2) 过程中吸热 (B )(1)过程中吸热,(2) 过程中放热 (C )两种过程中都吸热 (D )两种过程中都放热6. 一质点沿x 轴作简谐振动,振动方程为)312cos(1042ππ+⨯=-t x(SI) 从t = 0时刻起,到质点位置在m x 2102-⨯-=处,且向x 轴负方向运动的最短时间间隔为 (A )s 41 (B )s 31 (C )s 81 (D )s 617. 图示一简谐波在t = 0时刻的波形图,波速u = 200 m/s ,则P 处质点的振动速度表达式为(A ))2cos(2.0πππ--=t v(B ))cos(2.0πππ--=t v (C ))2cos(2.0πππ+=t v (D ))2/3cos(2.0πππ-=t v8. 一光强为I 0的自然光依次通过两个偏振片P 1、P 2,若P 1和P 2的偏振化方向的夹角α=300,则透射光强是: (A )40I (B )430I (C )80I (D )830I9. 一束平行单色光垂直入射在光栅上,当光栅常数(a + b )为下列哪种情况时(a 代表每条缝的宽度),k =2、4、6等级次的主极大均不出现? (A) a +b=4a (B) a +b=3a(C) a +b=2a (D) a +b=6a 10. 如图所示,两个直径有微小差别的彼此平行的滚柱之间的距离为L ,夹在两块平晶的中间,形成空气劈形膜,当单色光垂直入射时,产生等厚干涉条纹.如果滚柱之间的距离L 变大,则在L 范围内干涉条纹的 (A )数目减少,间距变大 (B )数目不变,间距变小 (C )数目增加,间距变小(D )数目不变,间距变大11. 设某微观粒子的总能量是它静止能量的K 倍,则其运动速度的大小(以c 表示真空中的光速)(A )1-K c (B )KKc 21-(C )KKc 12- (D )1)2(++K K K c二、填空题:(每空3分,共 33分,1~5题共18分,6~10题共15分).1. 一均匀直棒可绕过其一端且与棒垂直的水平光滑固定轴转动.抬起另一端使棒向上与水平面成60°,然后无初转速地将棒释放。
1. S: 2kv dtdva -==2kv dxdvv dt dx dx dv -== kdx v dvxx vv -=⎰⎰)(ln00x x k v v--=(answer) )(00x x k e v v --=2. S: j t i t dt rd v )3cos 15()3sin 15(+-==j t i t dtv d a )3sin 45()3cos 45(-+-==()()j t i t j t i t v r)3cos 15()3sin 15()3sin 5()3cos 5(+-⋅+=⋅ j j t t i i t t⋅⋅+⋅⋅-=)3cos 3sin 75()3sin 3cos 75((proved c)0=3. S:dtdvv m k m f a =-==dt mkv dv t t v v -=⎰⎰0)(0(answer)t mk v t v -=0)(ln tm ke v t v -=0)(D: t m k e v dtdxv -==0dte v dx t m k tt x -⎰⎰=00)(0kmv x e kmv ekmv t x t m k t t mk 0max 00),1()(=-=-=--4. S:)()32(j y d i dx j i x r d f dw+⋅+=⋅=dy xdx dw w fi32+==⎰⎰= -6 J (answer)dy xdx 323342⎰⎰--+=5. S: ,23230.60.4)0.30.4(t t t t t dtddt d +-=+-==θω t t t dtddt d 60.6)30.60.4(2+-=+-==ωα (answer of a)0.40300.60.4)0(2=⨯+⨯-=ωrad/s (answer of a ) 0.28)0.4(30.40.60.4)0.4(2=⨯+⨯-=ω rad/s 2 (answer of b )60.266)0.2(=⨯+-=α is time varying not a constant (answer of c)t t 60.6)(+-=α6. S: ω20031222ML L v m L mv +⋅=(answer a)MLmv ML L mv 4343020==ω )cos 1(2)31(21max 22θω-=LMg ML (answer b)]1631[cos 2221maxgLM v m -=-θ7.G: m =1.0g, M =0.50kg,L =0.60m,I rod =0.060,2m kg ⋅srod /5.4=ωR:I sys , v 0S: I sys =I rod +(M+m)L 2=0.060+(0.50+0.0010)×0.602= 0.24 (answer)2mkg ⋅the system’s angular momentum about rotating axis is conservative in the collision.sys I L mv ω=0 (answer )s m mL I v sys/108.160.00010.024.05.430⨯=⨯⨯==ωD: The bullet momentum (before impact), its angular momentum0v m p=about rotating axis can be expressed as (a scalar)L mv 08. S:γ==00.800x xt v c -∆==0811800.600 3.0010t t γ∆=∆=⨯⨯9. S: 202202)(mc E cp E E γγ==+=222cp ===10. S: 0int =-=∆net net W Q E(answer)net net W Q =1(3010)(4.0 1.0)2=--J 30=11. S: from and we can get:nRT PV =K T A 300=(answer of a)KT K T C B 100300==Change of internal energy between A and B:(answer of b)0)(23int =-=∆A B T T k n E The net work of the cycle:))(100300()13(2121m N AC BC W ⋅-⋅-=⋅=(answer of c)J 200=From the first law : we can derive:W E Q +∆=int the net heat of the whole cycle is (answer)J W Q 200==12. S: 131)(320===⎰⎰∞F v Av dv Av dv v p F(answer of a )33Fv A =F F v avg v Av dv vAv v F4341420===⎰13. G: T 1=T 2=T , m 1, p 1, v rms,1, m 2, p 2=2p 1, v avg,2 = 2v rms,1 R: m 1 / m 2 S: v avg,2 =1.602m kTv rms,1 = 1.731m kTv avg,2 = 2v rms,1(answer) 67.4)60.173.12(221=⨯=m m 14. S: dE int =dQ – dWd Q = dE int + dW = n C v dT+pdV VdVnR T dT nC dV T p T dT nC T dQ dS v v +=+==i f i f v V V v T T V V nR T T nC V dVnR T dT nC ds S fifilnln +=+==∆⎰⎰⎰15. S:dA E q θεcos 0⎰=212100)0.60100(1085.8⨯-⨯⨯=-C 61054.3-⨯=16. S: (R < r <∞)2041)(r Qr E πε= dr rQ dr r E udV dU 2022208421πεπε=⋅== (answer)RQ r dr Q udV U R0220288πεπε===⎰⎰∞(answer )RQ r dr Q U r r Rεπεεπε02202*88==⎰∞18. S: in the shell of r – r + drdr r R r dV r dq 204)/1()(πρρ-==)34(31)/(4)(4303200r R r dr R r r dq r q r-=-==⎰⎰πρπρfrom the shell theorems , within the spherical symmetry distribution (answer of b) )34(12)(41)(20020r Rr Rr r q r E -==ερπεR r r R Rdr dE 320)64(12*00=⇒=-=ερ 00200*max 9]32(3324[12)(ερερRR R R R r E E =-⨯==19. S: j yV i x V V gradV y x E∂∂-∂∂-=-∇=-=),( )0.20.2(y x x VE x +-=∂∂-=x yV E y 0.2-=∂∂-=)/(480.2)0.20.2()0.2,0.2(m V j i j x i y x E--=-+-=20. S: Q in = - q , Q out = q (answer )1010241241)0(R qR q V q πεπε==104)0(R q V in πε-=204)0(R q V out πε=)0()0()0()0(out in q V V V V ++=)11(4210R R q +=πε21. S: from the planar symmetry and superposition principle, must in Enormal direction of the plates and ,,, must be const. From 1σ2σ3σ4σcharge conservation (1)A Q S =+)(21σσ⇒S Q A=+21σσ(2)B Q S =+)(43σσ⇒SQ B=+43σσ Apply Gauss’ law in the closed surface shown in Fig.(3)032=+σσ within the metal, which leads to 0=p E002222432104030201=-++⇒=-++σσσσεσεσεσεσFrom(1), (2), (3), (4) yield:(answer of a) (6 points)⎪⎪⎩⎪⎪⎨⎧-=-=+==S Q Q SQ Q B AB A 223241σσσσ (1 point)004030201122222εεσεσεσεσS Q Q E BA p -=--+= (1 point) (answer of b)004030201222222εεσεσεσεσS Q Q E BA p +=+++=(2 points) (answer of c)d S Q Q d E d E V BA p AB 012ε-==⋅=。
Exercise:1. A particle moving along x axis starts from x 0 with initialvelocity v 0. Its acceleration can be expressed in a =-kv 2where k isa known constant. Find its velocity function v =v (x ) with the coordinate x as variable.2. A particle moves in xy plane with the motion function asj t i t t r )3sin 5()3cos 5()(+=(all in SI). Find (a) its velocity )(t v and (b) acceleration )(t a in the unit-vector notation. (c) Show that v r⊥.3. A bullet of mass m is shot into a sand hill along a horizontal path, assume that the drag of the sand is kv f -=, find the velocity function v(t) if 0)0(v v = and the gravitation of the bullet can beignored.4. what work is done by a conservative force j i x f 32+= that movesa particle in xy plane from the initial position j i r i 32+= to the final position j i r f34--=. All quantities are in SI.5. The angular position of a point on the rim of a rotating wheel is given by 320.30.4t t t +-=θ, where θ is in radians and t is in seconds. Find (a) its angular velocities at t=0s and t = (b) Calculate its angular acceleration at t =. (c) Is its angular acceleration constant6. A uniform thin rod of mass M and length L can rotate freely about a horizontal axis passing through its top end o (231ML I =). A bulletof mass m penetrates the rod passing its center of mass when the rod is in vertical stationary. If the path of the bullet is horizontal with an initial speed v o before penetration and 20v after penetration . Show that (a) the angular velocity of the rod just after the penetration is MLmv 430=ω. (b) Find the maximum angular max θ the rod will swing upward after penetration.7. A 1.0g bullet is fired into a block (M=0.50kg) that is mounted on the end of a rod (L=0.60m). The rotational inertia of the rod alone about A is 206.0m kg ⋅. The block-rod-bullet system then rotates about a fixed axis at point A. Assume the block is small enough to treat as a particle on the end of the rod. Question: (a) What is the rotational inertia of the block-rod-bullet system about A (b) If the angular speed of the system about A just after the bullet ’s impact is s , What is the speed of the bullet just before the impactzero as it passes the origin. (a) Calculate the Lorentz factor γ between the rest frame S and the frame S* in which the clock is rest. (b) what time does the clock read as it passes x =180m9. What must be the momentum of a particle with mass m so that itstotal energy is 3 times rest energychamber undergoes the cycle shown in the Fig. Calculate Q net the net energy added to the gas as heat during one complete cycle.11. One mole of a monatomic ideal gas undergoes the cycle shown in the Fig. temperature at state A is 300K.(a). calculate the temperature of state B and C.(b). what is the change in internal energy of the gas between stateA and stateB (int E )(c). the work done by the gas of the whole cycle .(d). the net heat added to the gas during one complete cycle.12. The motion of the electrons in metals is similar to the motion of molecules in the ideal gases. Its distribution function of speedis not Maxwell ’s curve but given by.⎩⎨⎧=0)(2Av v pthe possible maximum speed v F is called Fermi speed. (a) plotthe distribution curve qualitatively. (b) Express the coefficientA in terms of v F . (c) Find its average speed v avg .13. Two containers are at the same temperature. The first contains gas with pressure 1p , molecular mass 1m , and rms speed 1rms v . The second contains gas with pressure 12p , molecular mass 2m , and average speed 122rms avg v v =. Find the mass ratio 21m m .14. In a quasi-static process of the ideal gas, dW =PdV and d E int =nC v dT . From the 1st law of thermodynamics show that the change of entropy i f v i fT T nC V V nR S ln ln +=∆ .Where n is the number of moles,C v is the molar specific heat of the gas at constant volume, R is the ideal gas constant, (V i , T i ) and (V f , T f ) . are the initial and final volumes and temperatures respectively.15. It is found experimentally that the electric field in a certain region of Earth ’s atmosphere is directed vertically down. At an altitude of 300m the field is N /C ; at an altitude of 200m , the field is 100N /C . Find the net charge contained in a cube 100m on edge, with horizontal faces at altitudes of 200m and 300m . Neglect the curvature of Earth.16. An isolated sphere conductor of radius R with charge Q . (a) Find the energy U stored in the electric field in the vacuum outside the conductor. (b) If the space is filled with a uniform dielectrics of known r ε what is U * stored in the field outside the conductorthen17. Charge is distributed uniformly throughout the volume of an infinitely long cylinder of radius R. (a) show that, at a distance r from the cylinder axis (r<R), r E 02ερ=, where ρis the volume charge density. (b) write the expression for E when r>R .18. A non-uniform but spherically symmetric distribution of charge has a volume density given as follow:⎩⎨⎧-=0)/1()(0R r r ρρ0ρ is a positive constant, r is the distance to the symmetric center O and R is the radius of the charge distribution. Within the charge distribution (r < R ), show that (a) the charge contained in the co-center sphere of radius r is )34(31)(430r Rr r q -=πρ, (b) Find the magnitude of electric field E (r ) within the charge (r < R ). (c) Find the maximum field E max =E (r *) and the value of r *.19. In some region of space, the electric potential is the following function of x,y and z: xy x V 22+=, where the potential is measured in volts and the distance in meter . Find the electric field at thepoint x=2m, y=2m . (express your answer in vector form)20. The Fig. shows a cross section of an isolated spherical metal shell of inner radius R 1 and outer radius R 2. A point charge q islocated at a distance 21R from the center of the shell. If the shell is electrically neutral, (a) what are the induced charges (Q in , Q out ) on both surfaces of the shell (b) Find the electric potential V(0) at the center O assume V (∞)=0.21. Two large metal plates of equal areaare parallel and closed to each other with charges Q A , Q B respectively. Ignore the fringing effects, find (a) the surface charge density on each side of both plates,(b) the electric field at p 1, p 2 . (c) the electric potentialA and B)。