(完整版)二次根式的加减练习题
- 格式:doc
- 大小:102.01 KB
- 文档页数:2
二次根式乘除加减练习测试题附参考答案The pony was revised in January 2021二次根式的乘除,加减练习题双基演练1.23×(-25)=_________,a ×ab =________.2.(2×7)2=_______,22(2)(3)⨯=________.3.15×5=_________, 3.6 5.4⨯=_________,3bc ×13c b-=_______. 4.设长方形的长a=250,宽b=332,则面积S=________.5.已知,x>0,y>0,则2x y ·2xy =__________.6.化简462a a b +结果等于()A .a 2(a 2+b )B .a (a 2+b )C .a 222a ab +D .a 2221a b +7.已知a=2,b=10,用含a 、b 的代数式表示20,这个代数式是()A .a+bB .abC .2aD .2b8.若29x -=3x -·3x +,则x 的取值范围是()A .-3≤x ≤3B .x>-3C .x ≤3D .-3<x<3能力提升93153×(-1210 313223③3m ·3n m ·223m n n ④52xy y ×(-323x y )×35x y10.计算(23-×23+)2002=_______.11.当x<0,y<0时,下列等式成立的是()A .2x y x y =-B .2xy y x =C .393x y x xy =-D .429x y =3x 2y12.若把根号外的因式移到根号内,则a 1a-等于() A .-a -B .a -C .-a D .a13.仿照20.5=22×0.5=220.5⨯=2的做法,化简下列各式:①100.1=②515= 聚焦中考14.下列各数中,与数32-积为有理数的是( )A 32+B 32-C 32+-D 315.已知b a <,化简b a 3-的正确结果是( )A ab a --B ab a -C ab aD ab a -16.观察分析下列数据,寻找规律:0,3,6,3,32,15,……那么第10个数是_____17.(2004。
12.7二次根式的加减知识回顾::1.什么叫同类项?__________________________________________________________________2.(1)4x+5x=_____; (2)._____5422=+y y3.判断下列各组二次根式是否是同类二次根式.(1)271,48,31; (2)45,15,451.4.计算.(1)3112-; (2)512545204-+.目标解读::1.知道二次根式加减运算的步骤.2.能熟练地进行二次根式的混合运算.3.能从实际例子认识二次根式加减法运算法则的合理性.4.会进行带入求值的计算.基础训练:一、选择题1. 是同类二次根式的是( )A. B. C. D. 2. 下面说法正确的是( )A. 被开方数相同的二次根式一定是同类二次根式B.C.D. 同类二次根式是根指数为2的根式3. )A.B. C. D.4. 下列根式中,是最简二次根式的是( )A.B. C. D.5. 若1<x <2 )A. 21x -B. 21x -+C. 3D. -36. 10=,则x 的值等于( ) A. 4 B. 2± C. 2 D. 4±7. x ,小数部分为y y -的值是( )A. 3-B.C. 1D. 38. 下列式子中正确的是( )A. =B. a b =-C. (a b =-D.2== 二、填空题9. 是同类二次根式的是 .10.若最简二次根式____,____a b ==.11. ,则它的周长是 cm.12. ______a =.13. 已知x y ==,则33_________x y xy +=. 14. 已知x =21________x x -+=.15. )()20002001232______________+=. 三、解答题 16. 计算:⑴.; ⑵. (231⎛++ ⎝.⑶. (()2771+-- ; ⑷. ((((22221111++--.能力拓展:17.已知:11a a +=+221a a +的值.18. 已知:,x y 为实数,且y <311+-+-x x ,化简:3y -19. 已知11039322++=+-+-y x x x y x ,求的值.。
二次根式练习题及答案一、选择题1. 计算下列二次根式的结果:A. √16 = 4B. √25 = 5C. √36 = 6D. √49 = 7正确答案:A2. 以下哪个二次根式是同类二次根式?A. √2 和3√2B. √3 和√12C. √5 和2√5D. √7 和√49正确答案:B3. 计算下列二次根式的加法:√5 + √3 =A. √8B. √15C. √18D. 无法计算正确答案:D二、填空题4. 将下列二次根式化简:√121 = ____答案:115. 合并同类二次根式:3√2 + √2 = ____答案:4√26. 计算二次根式的除法:(√6 / √3) = ____答案:√2三、计算题7. 计算下列表达式的值:(√8 + √18) / √2解:首先化简根式,√8 = 2√2,√18 = 3√2,代入原式得:(2√2 + 3√2) / √2 = 5√2/ √2 = 58. 解二次根式方程:x√2 = √3解:将方程两边同时除以√2,得:x = √(3/2) = √6 / 2四、应用题9. 一个直角三角形的两条直角边分别为3和4,求斜边的长度。
解:根据勾股定理,斜边长度为:c = √(3² + 4²) = √(9 + 16) = √25 = 510. 一个正方形的面积为16平方厘米,求其边长。
解:设边长为a,则a² = 16,所以a = √16 = 4厘米。
五、证明题11. 证明√2是一个无理数。
证明:假设√2是有理数,即存在两个互质整数m和n,使得√2= m/n。
根据有理数的性质,可以设m和n的最大公约数为1。
将等式两边平方,得到2n² = m²,从而m²是偶数,所以m也是偶数,设m = 2k。
代入原等式,得到2n² = (2k)²,即n² = 2k²,说明n也是偶数,这与m和n互质矛盾。
二次根式计算专题训练一、解答题(共30 小题)1.计算:(1)+;(2)(+)+(﹣).2.计算:(1)(π﹣3.14)0+| ﹣2| ﹣+()-2.(2)﹣4﹣(﹣).(3)( x﹣ 3)(3﹣x)﹣( x﹣ 2)2.3.计算化简:(1)++(2)2﹣6 +3.4.计算(1)+﹣(2)÷×.5.计算:(1)×+3×2(2)2﹣6+3.6.计算:(1)()2﹣2+|﹣|(2)(﹣)×(3)2﹣3+;(4)(7+4)(2﹣)2+(2+)(2﹣)7.计算(1)?(a≥ 0)(2)÷(3)+﹣﹣(4)(3+)(﹣)8.计算::(1)+﹣(2)3+(﹣)+÷.9.计算(1)﹣4+÷(2)(1﹣)(1+)+(1+)2.10.计算:(1)﹣4+(2)+2﹣(﹣)(3)( 2 +)(2 ﹣ ); (4) + ﹣( ﹣1)0.11.计算:(1)(3+ ﹣4 )÷ ( 2) +9﹣2x 2?.12.计算:①4+﹣+4;②( 7+4 )( 7﹣ 4 )﹣( 3﹣1)2.13.计算题(1)××(2)﹣ +2(3)(﹣ 1﹣)(﹣ +1) (4) ÷( ﹣ )(5)÷ ﹣ × + (6) ..已知:a=,b=,求2+3ab+b2的值.14a15.已知 x, y 都是有理数,并且满足,求的值.16.化简:﹣a.17.计算:(1)9 +5﹣3;(2)2;(3)()2016(﹣)2015.18.计算:.19.已知 y=+﹣4,计算x﹣y2的值.20.已知: a、 b、 c 是△ ABC的三边长,化简.21.已知 1< x<5,化简:﹣| x﹣5|.22.观察下列等式:①==;②==;③==⋯⋯⋯回答下列问题:(1)利用你观察到的规律,化简:(2)计算:+++⋯+.23.观察下面的变形规律:=,=,=,=,⋯解答下面的问题:(1)若 n 为正整数,请你猜想=;(2)计算:(++⋯+)×()24.阅读下面的材料,并解答后面的问题:==﹣1==﹣;==﹣(1)观察上面的等式,请直接写出(n为正整数)的结果;(2)计算()()=;(3)请利用上面的规律及解法计算:(+++⋯+)().25.计算:(1)6﹣2﹣3(2)4+﹣+4.26.计算(1)|﹣2|﹣+2(2)﹣×+.27.计算.28.计算(1)9 +7﹣5+2(2)(2﹣1)(2+1)﹣( 1﹣2)2.29.计算下列各题.(1)(﹣)×+3(2)﹣×.30.计算(1)9 +7﹣5+2(2)(﹣1)(+1)﹣( 1﹣2)2《二次根式计算专题训练》参考答案与试题解析一.解答题(共 30 小题)1.计算:( 1)+= 2+5=7;(2)(+)+(﹣=4+2+2﹣ =6+. 2.计算:( 1)(π﹣3.14) 0+|﹣2| ﹣+( )﹣2﹣ ﹣4 +9=1+2=12﹣5;( 2)﹣4 ﹣( ﹣ )=2 ﹣4× ﹣ +2=+( 3)(x ﹣3)( 3﹣ x )﹣( x ﹣2)2=﹣x 2+6x ﹣ 9﹣( x 2﹣4x+4)=﹣2x 2+10x ﹣133.计算化简:(1)++ =2 +3 +2=5+2;(2)2﹣6 +3= 2×2 ﹣6× +3×4 = 144.计算( 1)+﹣= 2+4﹣2 = 6 ﹣ 2.(2)÷×=2 ÷3 ×3= 2 .5.计算:( 1)× +3×2 = 7 +30= 37 (2)2﹣ 6+3= 4 ﹣2+12 = 146.计算:( 1)()2﹣20+| ﹣ | = 3﹣1+ =(2)(﹣)×( 3﹣)×= 24=(3)2﹣ 3+= 4﹣12+5 ﹣+5= 8(4)(7+4 )(2﹣ )2+(2+)(2﹣)(2+ ) 2(2﹣ )2+(2+ )(2﹣) =1+1=2=7.计算( 1) ? (a ≥0)== 6a( 2)÷==(3)+ ﹣ ﹣=2 +3 ﹣2 ﹣4=2 ﹣3(4)(3+)( ﹣ )=3 ﹣3 +2 ﹣5 ﹣﹣= 28.计算:( 1) +﹣=+3 ﹣2=2 ;(2)3 +(﹣)+ ÷=+﹣2+ = .9.计算:(1)﹣4 + ÷ =3 ﹣2+ =3 ﹣2 +2 =3 ;( 2)(1﹣ )(1+ )+(1+ )2=1﹣ 5+1+2 +5 =2+2 .10.计算:(1)﹣4 + =3 ﹣ 2 + =2 ;( 2) +2﹣(﹣)=2 +2﹣ 3 +=3﹣;(3)(2 + )(2 ﹣ )=12﹣6=6;( 4)+﹣(﹣1)0= +1+3﹣1 =4.11.计算:(1)(3+﹣4 )÷=4 +3﹣2x 2×=(9 + ﹣ 2)÷ 4=8 ÷4=7 ﹣2=2;=5 .(2)+9﹣ 2x 2?12.计算: ①4 + ﹣ +4 =4 +3 ﹣2 +4 =7 +2 ;②( 7+4)(7﹣4)﹣( 3 ﹣1)2 ﹣ ﹣( ﹣6 )﹣ 45+6 .=49 48 45+1 =13.计算题(1)××= ==2×3×5 =30;(2)﹣ +2=×4 ﹣2 +2×=2 ﹣2 += ;(3)(﹣ 1﹣ )(﹣ +1)=﹣( 1+ )(1﹣ ) =﹣( 1﹣5) =4;(4) ÷( ﹣ )=2 ÷(﹣)=2÷=12;(5) ÷﹣ ×+=4÷ ﹣+2 =4+ ;(6)===..已知: a=, b= ,求2+3ab+b 2的值.14a解: a==2+ ,b=2﹣ ,则 a+b=4, ab=1,a 2+3ab+b 2=( a+b )2+ab =17.15.已知 x , y 都是有理数,并且满足,求 的值.【分析】观察式子,需求出 x ,y 的值,因此,将已知等式变形:,x ,y 都是有理数,可得,求解并使原式有意义即可.【解答】 解:∵,∴.∵x ,y 都是有理数,∴ x 2+2y ﹣17 与 y+4 也是有理数,∴解得∵有意义的条件是 x ≥ y ,∴取 x=5,y=﹣ 4,∴.【点评】 此类问题求解,或是转换式子,求出各个未知数的值,然后代入求解.或是将所求式子转化为已知值的式子,然后整体代入求解.16.化简:﹣a .【分析】 分别求出=﹣ a,=﹣,代入合并即可.【解答】 解:原式 =﹣ a+=(﹣ a+1) .【点评】本题考查了二次根式性质的应用当 a ≥0 时,=a ,当 a ≤0 时,=﹣ a .17.计算:(1)9+5 ﹣3 =9 +10 ﹣12 =7 ;(2)2= 2×2×2×=;(3)()2016( ﹣)2015.=[(+)( ﹣ )]2015?( + )=( 5﹣ 6) 2015?( + )=﹣(+ )=﹣﹣ .18.计算:.解:原式 =+()2﹣2+1﹣+=3+3﹣2 +1﹣2+=4﹣.19.已知 y=+﹣4,计算x﹣y2的值.【分析】根据二次根式有意义的条件可得:,解不等式组可得x 的值,进而可求出 y 的值,然后代入 x﹣y2求值即可.【解答】解:由题意得:,解得:x=,把 x=代入y=+﹣4,得y=﹣4,当 x=,y=﹣4时x﹣y2=﹣16=﹣14.20.已知: a、 b、 c 是△ ABC的三边长,化简.【解】解:∵ a、b、 c 是△ ABC的三边长,∴ a+b>c, b+c>a,b+a>c,∴原式 =| a+b+c| ﹣ | b+c﹣a|+| c﹣b﹣a|=a+b+c﹣( b+c﹣a) +( b+a﹣c)=a+b+c﹣b﹣c+a+b+a﹣c=3a+b﹣ c.21.已知 1< x< 5,化简:﹣| x﹣5|.解:∵ 1< x< 5,∴原式 =| x﹣1| ﹣| x﹣ 5| =( x﹣1)﹣( 5﹣x)= 2x﹣6.22.观察下列等式:①==;②==;③==⋯回答下列问题:(1)利用你观察到的规律,化简:(2)计算:+++⋯+.【分析】(1)根据观察,可发现规律;=,根据规律,可得答案;(2)根据二次根式的性质,分子分母都乘以分母两个数的差,可分母有理化.【解答】解:( 1)原式 ==;)(2)原式=+++⋯+=(﹣1).23 .观察下面的变形规律:=,=,=,=,⋯解答下面的问题:( 1)若 n 为正整数,请你猜想=﹣;( 2)计算:(++⋯+)×()解:原式 =[(﹣1)+(﹣)+(﹣)+⋯+(﹣)](+1)=(﹣1)(+1)=()2﹣12=﹣.2016 1 = 201524.阅读下面的材料,并解答后面的问题:==﹣ 1==﹣;==﹣(1)观察上面的等式,请直接写出(n 为正整数)的结果﹣;(2)计算()()= 1 ;(3)请利用上面的规律及解法计算:(+++⋯+)().=(﹣1+﹣+⋯+﹣)()=(﹣1)(+1)=2017﹣1=2016.第 11 页(共 12 页)25.计算:(1)6﹣2 ﹣3= 6﹣5= 6﹣;(2)4+﹣+4=4 +3 ﹣2+4=7+2.26.计算( 1) |﹣2| ﹣+2= 2﹣﹣2+2=;( 2)﹣×+=﹣×5+=﹣1+﹣.=27.计算.=( 10﹣ 6+4)÷=( 10﹣6+4)÷=( 40﹣18+8)÷=30÷=15.28.计算( 1)9 +7﹣5+2= 9 +14﹣20+=;(2)(2 ﹣1)(2 +1)﹣(1﹣2 )2= 12﹣1﹣1+4 ﹣12 = 4 ﹣2.29.计算下列各题.(1)(﹣)×+3=﹣+=6﹣6 +=6﹣5 ;( 2)﹣×=+1﹣= 2+1﹣2 .30.计算(1)9+7﹣5+2= 9+14 ﹣20+=;(2)(﹣1)( +1)﹣( 1﹣2 )2=3﹣1﹣( 1+12﹣ 4 )=2﹣13+4=﹣11+4.单纯的课本内容,并不能满足学生的需要,通过补充,达到内容的完善教育之通病是教用脑的人不用手,不教用手的人用脑,所以一无所能。
12.3 二次根式的加减基础题汇编(3)一.解答题(共30小题)1.(2015•嘉定区一模)计算:|1﹣sin30°|+cot30°•tan60°+. 2.(2014秋•大英县校级期末)计算:0.3.(2014秋•萝岗区期末)化简:(1)(﹣)(2)(a+2)2﹣a(a﹣4)4.(2014秋•宝兴县校级期末)(1)(﹣4)﹣(3﹣2);(2)(5+﹣6)÷.5.(2014秋•大英县校级期末)计算:(1)(2)6cos60°﹣(sin21°﹣1)0×5tan45°.6.(2014秋•青神县期末)﹣3﹣×.7.(2014秋•福田区期末)计算:(1)(2015﹣π)0+()﹣1﹣(+1)(﹣1)(2)+×.8.(2014秋•宝兴县校级期末)计算:()÷.9.(2014秋•宝兴县校级期末)+﹣4+2(﹣1)0.10.(2014•相城区一模)计算化简(1)计算:(2)化简:,然后选择一个合适的x的值代入上式求值.11.(2014•石家庄模拟)化简(1)﹣+sin45°;(2).12.(2014•高邮市模拟)计算:(1)(1﹣)0﹣tan60°+(﹣)﹣1;(2)3(1﹣)+.13.(2014•孟津县一模)计算下列各题(1)(﹣)+;(2)(﹣2)3+(2014﹣)0﹣tan60°.14.(2014•建宁县校级质检)(1)计算:(2)先化简,再求值:,其中x=﹣4.15.(2014春•淮北期中)计算(1)﹣+|1﹣|+()﹣1(2)(﹣3)2+(+3)(﹣3)16.(2013•闵行区三模)计算:.17.(2013秋•汉川市期中)计算:(1)•(+)﹣(﹣5);(2)(3+)(﹣4).18.(2012•潘集区模拟)计算:(1);(2).19.(2012•建宁县校级质检)(1)计算:(2)解不等式组:,并把解集在数轴上表示出来.20.(2011•海门市一模)计算:(1);(2). 21.(2010•巫山县模拟)计算:(1)(2).22.(2002•西藏)当a=时,求代数式﹣﹣的值.23.(1997•山东)先化简,再求值:+.其中x=,y=.24.计算:2a﹣+(a>0)25.计算:(1)+2﹣4﹣(2)(﹣2)﹣(+)(3)+6﹣2x.26.计算:(1).(2)++.(3)(﹣4)﹣(3﹣4).(4)3﹣5+7.27.计算:(1)﹣9+3(2)(a+4)﹣(﹣b).28.计算:(1)+6;(2)(a)﹣(﹣b).29.计算:.30.化简:(+2++).12.3 二次根式的加减基础题汇编(3)参考答案与试题解析一.解答题(共30小题)1.(2015•嘉定区一模)计算:|1﹣sin30°|+cot30°•tan60°+.考点:二次根式的混合运算;特殊角的三角函数值.分析:利用特殊角的三角函数值及二次根式的混合运算的顺序求解即可.解答:解:|1﹣sin30°|+cot30°•tan60°+.=|1﹣|+××+,=++,=﹣2.点评:本题主要考查了二次根式的混合运算及特殊角的三角函数值,解题的关键是熟记特殊角的三角函数值及二次根式的混合运算的顺序.2.(2014秋•大英县校级期末)计算:0.考点:二次根式的混合运算;零指数幂.分析:先根据零指数幂的意义计算,再把各二次根式化为最简二次根式,然后合并即可.解答:解:原式=3+﹣+1=3+1.点评:本题考查了二次根式的计算:先把各二次根式化为最简二次根式,再进行二次根式的乘除运算,然后合并同类二次根式.也考查了零指数幂.3.(2014秋•萝岗区期末)化简:(1)(﹣)(2)(a+2)2﹣a(a﹣4)考点:二次根式的混合运算;整式的混合运算.专题:计算题.分析:(1)根据二次根式的乘法法则运算;(2)利用乘法公式展开,然后合并同类项即可.解答:解:(1)原式=﹣=4﹣2=2;(2)原式=a2+4a+4﹣a2+4a=8a+4.点评:本题考查了二次根式的计算:先把各二次根式化为最简二次根式,再进行二次根式的乘除运算,然后合并同类二次根式.也考查了整式的混合运算.4.(2014秋•宝兴县校级期末)(1)(﹣4)﹣(3﹣2);(2)(5+﹣6)÷.考点:二次根式的混合运算.专题:计算题.分析:(1)先把各二次根式化为最简二次根式,然后去括号后合并即可;(2)先把各二次根式化为最简二次根式,然后把括号内合并后进行二次根式的除法运算.解答:解:(1)原式=4﹣﹣+=3;(2)原式=(20+2﹣6)÷=(22﹣6)=22﹣2.点评:本题考查了二次根式的计算:先把各二次根式化为最简二次根式,再进行二次根式的乘除运算,然后合并同类二次根式.5.(2014秋•大英县校级期末)计算:(1)(2)6cos60°﹣(sin21°﹣1)0×5tan45°.考点:二次根式的混合运算;零指数幂;特殊角的三角函数值.专题:计算题.分析:(1)先把各二次根式化为最简二次根式,然后合并即可;(2)根据零指数幂与特殊角的三角函数值得到原式=6×﹣1×5×1,然后进行有理数的混合运算.解答:解:(1)原式=4+﹣12﹣=﹣;(2)原式=6×﹣1×5×1=3﹣5=﹣2.点评:本题考查了二次根式的计算:先把各二次根式化为最简二次根式,再进行二次根式的乘除运算,然后合并同类二次根式.也考查了零指数幂与特殊角的三角函数值.6.(2014秋•青神县期末)﹣3﹣×.考点:二次根式的混合运算.专题:计算题.分析:先把各二次根式化为最简二次根式,再进行二次根式的乘法运算,然后合并即可.解答:解:原式=2﹣2﹣4•=﹣4a.点评:本题考查了二次根式的计算:先把各二次根式化为最简二次根式,再进行二次根式的乘除运算,然后合并同类二次根式.7.(2014秋•福田区期末)计算:(1)(2015﹣π)0+()﹣1﹣(+1)(﹣1)(2)+×.考点:二次根式的混合运算;零指数幂;负整数指数幂.专题:计算题.分析:(1)根据零指数幂、负整数指数幂和平方差公式得到原式=1+2﹣(3﹣1),然后进行有理数的加减运算;(2)根据二次根式的乘除法则运算.解答:解:(1)原式=1+2﹣(3﹣1)=3﹣2=1;(2)原式=+=3+6=9.点评:本题考查了二次根式的计算:先把各二次根式化为最简二次根式,再进行二次根式的乘除运算,然后合并同类二次根式.也考查了零指数幂和负整数指数幂.8.(2014秋•宝兴县校级期末)计算:()÷.考点:二次根式的混合运算.专题:计算题.分析:根据二次根式的除法法则运算.解答:解:原式=﹣+2+=a2﹣+2+a.点评:本题考查了二次根式的计算:先把各二次根式化为最简二次根式,再进行二次根式的乘除运算,然后合并同类二次根式.9.(2014秋•宝兴县校级期末)+﹣4+2(﹣1)0.考点:二次根式的混合运算;零指数幂.专题:计算题.分析:根据零指数幂的意义和分母有理化得到原式=5+2(﹣1)﹣2+2×1,然后去括号后合并即可.解答:解:原式=5+2(﹣1)﹣2+2×1=5+2﹣2﹣2+2=5.点评:本题考查了二次根式的计算:先把各二次根式化为最简二次根式,再进行二次根式的乘除运算,然后合并同类二次根式.也考查了零指数幂.10.(2014•相城区一模)计算化简(1)计算:(2)化简:,然后选择一个合适的x的值代入上式求值.考点:二次根式的混合运算;分式的化简求值;负整数指数幂;特殊角的三角函数值.分析:(1)首先化简二次根式,代入角的三角函数值,分母有理化,最后合并同类二次根式即可;(2)首先对括号内的两个分式通分相加,然后把除法转化成乘法运算,即可把分式进行化简,然后代入x的值求解即可.解答:解:(1)原式=2+2﹣=2+2﹣(2﹣)=;(2)原式=[﹣]÷=•=当x=1时,原式=1.点评:本题考查的是二次根式的混合运算,在进行此类运算时,一般先把二次根式化为最简二次根式的形式后再运算.第二个题目的计算中要注意分式有意义的条件,x的值不能取0和±3.11.(2014•石家庄模拟)化简(1)﹣+sin45°;(2).考点:二次根式的混合运算;特殊角的三角函数值.专题:计算题.分析:(1)根据分母有理化和特殊角的三角函数值得到原式=﹣3+,然后合并即可;(2)根据特殊角的三角函数值得到原式=,然后进行乘除运算即可.解答:解:(1)原式=﹣3+=﹣2;(2)原式==1.点评:本题考查了二次根式的计算:先把各二次根式化为最简二次根式,再进行二次根式的乘除运算,然后合并同类二次根式.也考查了特殊角的三角函数值.12.(2014•高邮市模拟)计算:(1)(1﹣)0﹣tan60°+(﹣)﹣1;(2)3(1﹣)+.考点:二次根式的混合运算;零指数幂;负整数指数幂;特殊角的三角函数值.专题:计算题.分析:(1)根据零指数幂、负整数指数幂和特殊角的三角函数值得到原式=1﹣﹣2,然后合并即可;(2)先进行二次根式的乘法运算和分母有理化得到﹣6+2(﹣1),然后合并即可.解答:解:(1)原式=1﹣﹣2=﹣1﹣;(2)原式=3﹣6﹣=3﹣6﹣2(+1)=3﹣6﹣2﹣2=﹣8.点评:本题考查了二次根式的计算:先把各二次根式化为最简二次根式,再进行二次根式的乘除运算,然后合并同类二次根式.也考查了零指数幂、负整数指数幂和特殊角的三角函数值.13.(2014•孟津县一模)计算下列各题(1)(﹣)+;(2)(﹣2)3+(2014﹣)0﹣tan60°.考点:二次根式的混合运算;零指数幂;特殊角的三角函数值.分析:(1)先进行二次根式的乘法运算,然后再进行加法运算即可求解;(2)分别进行零指数幂、特殊角的三角函数值等运算,然后合并.解答:解:(1)原式=2﹣+=2;(2)原式=﹣8+﹣×=﹣8+﹣=﹣9.点评:本题考查了二次根式的混合运算,掌握运算法则解答本题的关键.14.(2014•建宁县校级质检)(1)计算:(2)先化简,再求值:,其中x=﹣4.考点:二次根式的混合运算;分式的化简求值;零指数幂;负整数指数幂.专题:计算题.分析:(1)根据零指数幂、负整数指数幂得到原式=3﹣+1﹣3,然后合并即可;(2)先把括号内通分,再把除法运算化为乘法运算,然后把分式分母因式分解后约分得到原式=,再把x的值代入计算.解答:解:(1)原式=3﹣+1﹣3=1﹣;(2)原式=•=,当x=﹣4时,原式=.点评:本题考查了二次根式的混合运算:先把各二次根式化为最简二次根式,再进行二次根式的乘除运算,然后合并同类二次根式.也考查了零指数幂、负整数指数幂和分式的化简求值.15.(2014春•淮北期中)计算(1)﹣+|1﹣|+()﹣1(2)(﹣3)2+(+3)(﹣3)考点:二次根式的混合运算;负整数指数幂.专题:计算题.分析:(1)分别进行二次根式的化简,分母有理化及负整数指数幂的运算,然后合并即可;(2)根据完全平方公式及平方差公式,进行计算即可.解答:解:(1)原式=3﹣+﹣1+2=3+1;(2)原式=5﹣6+9+11﹣9=16﹣6.点评:本题考查的是二次根式的混合运算,在进行此类运算时,一般先把二次根式化为最简二次根式的形式后再运算.16.(2013•闵行区三模)计算:.考点:二次根式的混合运算;分数指数幂;零指数幂.专题:计算题.分析:根据零指数幂、分数指数幂和分母有理化得原式=1﹣(2﹣)++2(2﹣),然后去括号后合并即可.解答:解:原式=1﹣(2﹣)++2(2﹣)=1﹣2+++4﹣2=3.点评:本题考查了二次根式的混合运算:先把各二次根式化为最简二次根式,在进行二次根式的乘除运算,然后合并同类二次根式.也考查了零指数幂、分数指数幂.17.(2013秋•汉川市期中)计算:(1)•(+)﹣(﹣5);(2)(3+)(﹣4).考点:二次根式的混合运算.分析:(1)先进行二次根式的乘法运算,二次根式的化简,最后合并同类二次根式即可;(2)先将二次根式化为最简,然后运用平方差公式进行计算即可.解答:解:(1)原式=2+3﹣2+=3+;(2)原式=(3+4)(3﹣4)=18﹣48=﹣30.点评:本题考查了二次根式的混合运算,在运算之前先观察,有简便算法时,尽量用简便算法.18.(2012•潘集区模拟)计算:(1);(2).考点:二次根式的混合运算;零指数幂;负整数指数幂.专题:计算题.分析:(1)根据平方差公式和完全平方公式得到原式=2﹣1+7﹣,然后进行加减运算;(2)根据零指数幂与负整数指数幂的意义得到原式=1++3+﹣+1,然后合并同类二次根式即可.解答:解:(1)原式=2﹣1+7﹣=8﹣;(2)原式=1++3+﹣+1=5.点评:本题考查了二次根式的混合运算:先把各二次根式化为最简二次根式,在进行二次根式的乘除运算,然后合并同类二次根式.也考查了零指数幂与负整数指数幂.19.(2012•建宁县校级质检)(1)计算:(2)解不等式组:,并把解集在数轴上表示出来.考点:二次根式的混合运算;在数轴上表示不等式的解集;解一元一次不等式组.分析:(1)首先分母有理化,利用公式计算二次根式的乘法、乘方,然后合并同类二次根式即可;(2)首先解每个不等式,在数轴上表示出不等式的解集,两个解集的公共部分就是不等式组的解集.解答:解:(1)原式==2+4﹣﹣1=5﹣(2)由①得:x≤3由②得:x>﹣3∴原不等式组的解集是:﹣3<x≤3.点评:本题考查的是二次根式的混合运算,在进行此类运算时一般先把二次根式化为最简二次根式的形式后再运算.20.(2011•海门市一模)计算:(1);(2).考点:二次根式的混合运算;零指数幂.专题:计算题.分析:(1)根据绝对值、二次根式的化简、零指数幂进行计算即可;(2)先化简二次根式,再合并即可.解答:解:(1)原式==;(2)原式==.点评:本题考查了二次根式的混合运算以及零指数幂,是基础知识要熟练掌握.21.(2010•巫山县模拟)计算:(1)(2).考点:二次根式的混合运算;零指数幂.专题:计算题.分析:(1)先化简二次根式,再合并同类二次根式即可.(2)根据同底数幂乘法的逆运算和零指数幂、绝对值进行计算即可.解答:解:(1)原式=(3分)=(5分)(2)原式=(2分)=(3分)=(4分)=(5分)点评:本题考查了二次根式的混合运算,熟练化简二次根式后,在加减的过程中,有同类二次根式的要合并;相乘的时候,被开方数简单的直接让被开方数相乘,再化简;较大的也可先化简,再相乘,灵活对待.22.(2002•西藏)当a=时,求代数式﹣﹣的值.考点:二次根式的化简求值.分析:原式第一项分子利用完全平方公式化简,第二项分子利用二次根式的化简公式计算,分母提取公因式化简,约分后合并得到最简结果,将a分母有理化后代入计算即可求出值.解答:解:∵a==2﹣,∴a﹣1=2﹣﹣1=1﹣<0,则原式=﹣﹣=a﹣1+﹣=a﹣1=2﹣﹣1=1﹣.点评:此题考查了二次根式的化简求值,熟练掌握运算法则是解本题的关键.23.(1997•山东)先化简,再求值:+.其中x=,y=.考点:二次根式的化简求值.分析:首先对每个根式进行分母有理化,然后进行同分母的分式的加减,最后进行约分即可化简,把x、y的值代入分母有理化即可求解.解答:解:原式=﹣+==∵x=,y=.∴原式==2(﹣)2.点评:本题考查了根式的化简求值,正确进行分母有理化是关键.24.计算:2a﹣+(a>0)考点:二次根式的加减法.分析:先化简二次根式,然后去括号,合并同类二次根式.解答:解:原式=2a﹣+=.点评:本题考查了二次根式的加减法,解答本题的关键是掌握二次根式的化简以及加减运算法则.25.计算:(1)+2﹣4﹣(2)(﹣2)﹣(+)(3)+6﹣2x.考点:二次根式的加减法.分析:(1)先把各根式化为最简二次根式,再合并同类项即可;(2)先去括号,再把各根式化为最简二次根式,合并同类项即可;(3)先把各根式化为最简二次根式,再合并同类项即可.解答:解:(1)原式=+2﹣﹣=2﹣;(2)原式=﹣2﹣+=2﹣1﹣+5+4=(2﹣+5+4)﹣1=﹣1;(3)原式=2+3﹣2=3.点评:本题考查的是二次根式的加减法,熟知二次根式相加减,先把各个二次根式化成最简二次根式,再把被开方数相同的二次根式进行合并,合并方法为系数相加减,根式不变是解答此题的关键.26.计算:(1).(2)++.(3)(﹣4)﹣(3﹣4).(4)3﹣5+7.考点:二次根式的加减法.分析:(1)先进行二次根式的化简,然后合并;(2)先进行二次根式的化简,然后合并;(3)先进行二次根式的化简,然后合并;(4)先进行二次根式的化简,然后合并.解答:解:(1)原式=2+2﹣=+2;(2)原式=++=;(3)原式=2﹣﹣+2=+;(4)原式=3﹣10+21=14.点评:本题考查了二次根式的加减法,掌握运算法则是解答本题的关键.27.计算:(1)﹣9+3(2)(a+4)﹣(﹣b).考点:二次根式的加减法.分析:(1)先进行二次根式的化简,然后合并;(2)先进行二次根式的化简,然后进行二次根式的加减运算.解答:解:(1)原式=4﹣3+6=7;(2)原式=+4﹣+=+5.点评:本题考查了二次根式的加减法,解答本题的关键是掌握二次根式的化简以及同类二次根式合并.28.计算:(1)+6;(2)(a)﹣(﹣b).考点:二次根式的加减法.分析:(1)先把各根式化为最简二次根式,再合并同类项即可;(2)先把各根式化为最简二次根式,再去括号,合并同类项即可.解答:解:(1)原式=2+3﹣2=3;(2)原式=(+4)﹣(﹣)=+4﹣+=3+.点评:本题考查的是二次根式的加减法,熟知二次根式相加减,先把各个二次根式化成最简二次根式,再把被开方数相同的二次根式进行合并,合并方法为系数相加减,根式不变是解答此题的关键.29.计算:.考点:二次根式的加减法.分析:首先把二次根式化简,再去括号合并同类二次根式即可.解答:解:原式=﹣﹣+2=﹣+2.点评:此题主要考查了二次根式的加减,法则:二次根式相加减,先把各个二次根式化成最简二次根式,再把被开方数相同的二次根式进行合并,合并方法为系数相加减,根式不变.30.化简:(+2++).考点:二次根式的混合运算.专题:计算题.分析:根据二次根式的乘法法则运算.解答:解:原式=•+2++=ab+2b+a+1.点评:本题考查了二次根式的混合运算:先把各二次根式化为最简二次根式,再进行二次根式的乘除运算,然后合并同类二次根式.。
二次根式计算专题训练一、解答题(共30小题)1.计算:(1)+;(2)(+)+(﹣).2.计算:(1)(π﹣3.14)0+|﹣2|﹣+()-2.(2)﹣4﹣(﹣).(3)(x﹣3)(3﹣x)﹣(x﹣2)2.3.计算化简:(1)++(2)2﹣6+3.4.计算(1)+﹣(2)÷×.5.计算:(1)×+3×2(2)2﹣6+3.6.计算:(1)()2﹣20+|﹣| (2)(﹣)×(3)2﹣3+;(4)(7+4)(2﹣)2+(2+)(2﹣)7.计算(1)•(a≥0)(2)÷(3)+﹣﹣(4)(3+)(﹣)8.计算::(1)+﹣(2)3+(﹣)+÷.9.计算(1)﹣4+÷(2)(1﹣)(1+)+(1+)2.10.计算:(1)﹣4+(2)+2﹣(﹣)(3)(2+)(2﹣);(4)+﹣(﹣1)0.11.计算:(1)(3+﹣4)÷(2)+9﹣2x2•.12.计算:①4+﹣+4;②(7+4)(7﹣4)﹣(3﹣1)2.13.计算题(1)××(2)﹣+2(3)(﹣1﹣)(﹣+1)(4)÷(﹣)(5)÷﹣×+(6).14.已知:a=,b=,求a2+3ab+b2的值.15.已知x,y都是有理数,并且满足,求的值.16.化简:﹣a.17.计算:(1)9+5﹣3;(2)2;(3)()2016(﹣)2015.18.计算:.19.已知y=+﹣4,计算x﹣y2的值.20.已知:a、b、c是△ABC的三边长,化简.21.已知1<x<5,化简:﹣|x﹣5|.22.观察下列等式:①==;②==;③==………回答下列问题:(1)利用你观察到的规律,化简:(2)计算:+++…+.23.观察下面的变形规律:=,=,=,=,…解答下面的问题:(1)若n为正整数,请你猜想= ;(2)计算:(++…+)×()24.阅读下面的材料,并解答后面的问题:==﹣1==﹣;==﹣(1)观察上面的等式,请直接写出(n为正整数)的结果;(2)计算()()= ;(3)请利用上面的规律及解法计算:(+++…+)().25.计算:(1)6﹣2﹣3(2)4+﹣+4.26.计算(1)|﹣2|﹣+2(2)﹣×+.27.计算.28.计算(1)9+7﹣5+2(2)(2﹣1)(2+1)﹣(1﹣2)2.29.计算下列各题.(1)(﹣)×+3(2)﹣×.30.计算(1)9+7﹣5+2(2)(﹣1)(+1)﹣(1﹣2)2《二次根式计算专题训练》参考答案与试题解析一.解答题(共30小题)1.计算:(1)+= 2+5= 7;(2)(+)+(﹣ = 4+2+2﹣= 6+.2.计算:(1)(π﹣3.14)0+|﹣2|﹣+()﹣2 =1+2﹣﹣4+9=12﹣5;(2)﹣4﹣(﹣)= 2﹣4×﹣+2= +(3)(x﹣3)(3﹣x)﹣(x﹣2)2 =﹣x2+6x﹣9﹣(x2﹣4x+4)=﹣2x2+10x﹣133.计算化简:(1)++= 2+3+2= 5+2;(2)2﹣6+3= 2×2﹣6×+3×4= 144.计算(1)+﹣= 2+4﹣2= 6﹣2.(2)÷×= 2÷3×3= 2.5.计算:(1)×+3×2= 7+30= 37(2)2﹣6+3= 4﹣2+12= 146.计算:(1)()2﹣20+|﹣| = 3﹣1+=(2)(﹣)×=(3﹣)×= 24(3)2﹣3+= 4﹣12+5=﹣8+5(4)(7+4)(2﹣)2+(2+)(2﹣)=(2+)2(2﹣)2+(2+)(2﹣) = 1+1 = 27.计算(1)•(a≥0)= = 6a(2)÷= =(3)+﹣﹣= 2+3﹣2﹣4= 2﹣3(4)(3+)(﹣)= 3﹣3+2﹣5=﹣2﹣8.计算:(1)+﹣=+3﹣2=2;(2)3+(﹣)+÷=+﹣2+=.9.计算:(1)﹣4+÷=3﹣2+=3﹣2+2=3;(2)(1﹣)(1+)+(1+)2 =1﹣5+1+2+5 =2+2.10.计算:(1)﹣4+=3﹣2+=2;(2)+2﹣(﹣)=2+2﹣3+=3﹣;(3)(2+)(2﹣)=12﹣6 =6;(4)+﹣(﹣1)0 =+1+3﹣1 =4.11.计算:(1)(3+﹣4)÷=(9+﹣2)÷4 =8÷4=2;(2)+9﹣2x2•=4+3﹣2x2×=7﹣2=5.12.计算:①4+﹣+4=4+3﹣2+4=7+2;②(7+4)(7﹣4)﹣(3﹣1)2 =49﹣48﹣(45+1﹣6) =﹣45+6.13.计算题(1)××===2×3×5 =30;(2)﹣+2=×4﹣2+2×=2﹣2+=;(3)(﹣1﹣)(﹣+1)=﹣(1+)(1﹣)=﹣(1﹣5) =4;(4)÷(﹣)=2÷(﹣)=2÷=12;(5)÷﹣×+=4÷﹣+2=4+;(6)===.14.已知:a=,b=,求a2+3ab+b2的值.解:a==2+,b=2﹣,则a+b=4,ab=1,a2+3ab+b2=(a+b)2+ab =17.15.已知x,y都是有理数,并且满足,求的值.【分析】观察式子,需求出x,y的值,因此,将已知等式变形:,x,y都是有理数,可得,求解并使原式有意义即可.【解答】解:∵,∴.∵x,y都是有理数,∴x2+2y﹣17与y+4也是有理数,∴解得∵有意义的条件是x≥y,∴取x=5,y=﹣4,∴.【点评】此类问题求解,或是转换式子,求出各个未知数的值,然后代入求解.或是将所求式子转化为已知值的式子,然后整体代入求解.16.化简:﹣a.【分析】分别求出=﹣a,=﹣,代入合并即可.【解答】解:原式=﹣a+=(﹣a+1).【点评】本题考查了二次根式性质的应用当a≥0时,=a,当a≤0时,=﹣a.17.计算:(1)9+5﹣3= 9+10﹣12= 7;(2)2= 2×2×2×= ;(3)()2016(﹣)2015.=[(+)(﹣)]2015•(+)=(5﹣6)2015•(+)=﹣(+)=﹣﹣.18.计算:.解:原式=+()2﹣2+1﹣+=3+3﹣2+1﹣2+=4﹣.19.已知y=+﹣4,计算x﹣y2的值.【分析】根据二次根式有意义的条件可得:,解不等式组可得x的值,进而可求出y的值,然后代入x﹣y2求值即可.【解答】解:由题意得:,解得:x=,把x=代入y=+﹣4,得y=﹣4,当x=,y=﹣4时x﹣y2=﹣16=﹣14.20.已知:a、b、c是△ABC的三边长,化简.【解】解:∵a、b、c是△ABC的三边长,∴a+b>c,b+c>a,b+a>c,∴原式=|a+b+c|﹣|b+c﹣a|+|c﹣b﹣a|=a+b+c﹣(b+c﹣a)+(b+a﹣c)=a+b+c﹣b﹣c+a+b+a﹣c=3a+b﹣c.21.已知1<x<5,化简:﹣|x﹣5|.解:∵1<x<5,∴原式=|x﹣1|﹣|x﹣5| =(x﹣1)﹣(5﹣x)= 2x﹣6.22.观察下列等式:①==;②==;③==…回答下列问题:(1)利用你观察到的规律,化简:(2)计算:+++…+.【分析】(1)根据观察,可发现规律;=,根据规律,可得答案;(2)根据二次根式的性质,分子分母都乘以分母两个数的差,可分母有理化.【解答】解:(1)原式==;)(2)原式=+++…+=(﹣1).23.观察下面的变形规律:=,=,=,=,…解答下面的问题:(1)若n为正整数,请你猜想= ﹣;(2)计算:(++…+)×()解:原式=[(﹣1)+(﹣)+(﹣)+…+(﹣)](+1)=(﹣1)(+1)=()2﹣12 = 2016﹣1 = 2015.24.阅读下面的材料,并解答后面的问题:==﹣1==﹣;==﹣(1)观察上面的等式,请直接写出(n为正整数)的结果﹣;(2)计算()()= 1 ;(3)请利用上面的规律及解法计算:(+++…+)().=(﹣1+﹣+…+﹣)()=(﹣1)(+1)=2017﹣1 =2016.25.计算:(1)6﹣2﹣3= 6﹣5= 6﹣;(2)4+﹣+4= 4+3﹣2+4= 7+2.26.计算(1)|﹣2|﹣+2= 2﹣﹣2+2= ;(2)﹣×+= ﹣×5+= ﹣1+=﹣.27.计算.=(10﹣6+4)÷=(10﹣6+4)÷=(40﹣18+8)÷=30÷=15.28.计算(1)9+7﹣5+2= 9+14﹣20+= ;(2)(2﹣1)(2+1)﹣(1﹣2)2 = 12﹣1﹣1+4﹣12 = 4﹣2.29.计算下列各题.(1)(﹣)×+3= ﹣+=6﹣6+=6﹣5;(2)﹣×= +1﹣= 2+1﹣2.30.计算(1)9+7﹣5+2= 9+14﹣20+= ;(2)(﹣1)(+1)﹣(1﹣2)2=3﹣1﹣(1+12﹣4)=2﹣13+4=﹣11+4.单纯的课本内容,并不能满足学生的需要,通过补充,达到内容的完善教育之通病是教用脑的人不用手,不教用手的人用脑,所以一无所能。
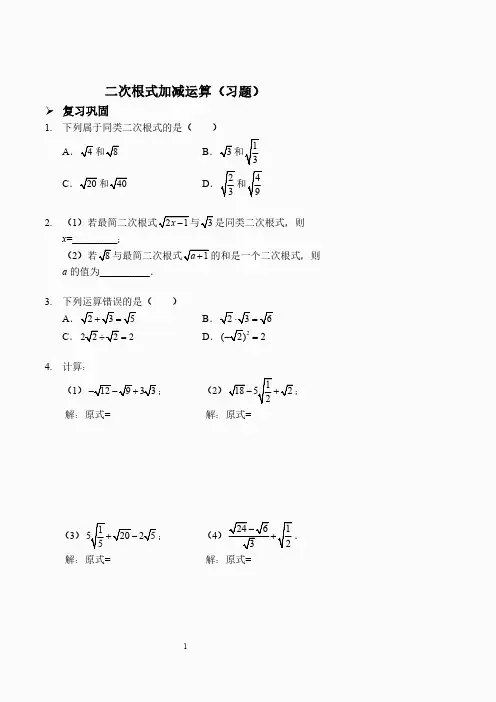
二次根式加减运算(习题)复习巩固1.下列属于同类二次根式的是()A .4和8B .3和13C .20和40D .23和492.(1)若最简二次根式21x -与3是同类二次根式,则x =_________;(2)若8与最简二次根式1a +的和是一个二次根式,则a 的值为__________.3.下列运算错误的是()A .235+=B .236⋅=C .2222÷=D .2(2)2-= 4.计算:(1)12933--+;(2)118522-+;解:原式=解:原式=(3)1520255+-;(4)246123-+.解:原式=解:原式=5.计算:(1)1124628⎛⎫⎛⎫+-+⎪ ⎪⎪ ⎪⎝⎭⎝⎭;(2)11233⎛⎫-⨯⎪⎪⎝⎭;解:原式=解:原式=(3)12035105⎛⎫+-⨯⎪⎝⎭;(4)(4236)22-÷;解:原式=解:原式=(5)1 10486412327⎛⎫-+⎪⎪⎝⎭÷;解:原式=(6)(35)(52)+-;(7)(32)(32)+-;解:原式=解:原式=(8)2(52)+;(9)22(72)(72)--+;解:原式=解:原式=(10)21(26)(26)(3)3-+----;解:原式=(11)(532)(532)-++-;解:原式=(12)21(52)51025--÷+.解:原式=6.如图,在数轴上A ,B 两点表示的数分别是2-,3,若点C 与点B 关于点A 对称,则点C 表示的数是_________.7.如图,在数轴上,点B 与点C 到点A 的距离相等,A ,B 两点所对应的实数分别是1和3-,则点C 对应的实数是_________.【参考答案】 复习巩固1.B 2.(1)2;(2)13.A 4.(1)33-(2)322(3)5(4)322 5.(1)264+(2)5(3)42-(4)3322-(5)1423(6)51-(7)1(8)7210+(9)414-(10)103-(11)26(12)44595-6.223--7.23+。
二次根式 50 题(含解析)1.计算:2.先分解因式,再求值:b2-2b+1-a2,其中a=-3,b=+4.3.已知,求代数式(x+1)2-4(x+1)+4的值.4.先化简,再求值:.5.(1)计算:;(2)化简,求值:,其中x=-1.6.先化简、再求值:+,其中x=,y=.7.计算:(1)(-2)2+3×(-2)-()-2;(2)已知x=-1,求x2+3x-1的值.8.先化简,再求值:,其中.9.已知a=2+,b=2-,试求的值.10.先化简,再求值:,其中a=+1,b=.11.先化简,再求值:,其中,.12.先化简,再求值:,其中a=-1.13.先化简,再求值:(x+1)2-2x+1,其中x=.14.化简,将代入求值.15.已知:x=+1,y=-1,求下列各式的值.(1)x2+2xy+y2;(2)x2-y2.16.先化简,再求值:,其中.17.先化简,再求值:,其中.18.求代数式的值:,其中x=2+.19.已知a为实数,求代数式的值.20.已知:a=-1,求的值.21.已知x=1+,求代数式的值.22.先化简,再求值:,其中x=1+,y=1-.23.有这样一道题:计算-x2(x>2)的值,其中x=1005,某同学把“x=1 005”错抄成“x=1 050”,但他的计算结果是正确的,请回答这是怎么回事?试说明理由.24.已知:x=,y=-1,求x2+2y2-xy的值.25.已知实数x、y、a满足:,试问长度分别为x、y、a的三条线段能否组成一个三角形?如果能,请求出该三角形的面积;如果不能,请说明理由.26.我国古代数学家秦九韶在《数书九章》中记述了“三斜求积术”,即已知三角形的三边长,求它的面积.用现代式子表示即为:…①(其中a、b、c为三角形的三边长,s为面积).而另一个文明古国古希腊也有求三角形面积的海伦公式:s=…②(其中p=.)(1)若已知三角形的三边长分别为5,7,8,试分别运用公式①和公式②,计算该三角形的面积s;(2)你能否由公式①推导出公式②?请试试.27.(1)计算28.(2)解不等式组.29.已知a=+2,b=-2,则的值为()30.已知a=2,则代数式的值等于()31.已知x=,则代数式的值为()32.已知x=,则•(1+)的值是()33.若,则的值为()34.已知,则的值为()35.如果最简二次根式与是同类二次根式,则a=.36.若最简根式与是同类二次根式,则ab=.37.计算:①= ;②=.38.化简-= .39.化简-的结果是.40.计算:= .41.计算:+=.42.化简:= .43.化简:-+=.44.计算:= .45.先化简-(-),再求得它的近似值为(精确到0.01,≈1.414,≈1.732).46.化简:的结果为.47.计算:= .48.化简:= .49.化简:+(5-)=.50.计算:= .解析:1.解:原式=2+(2+)-(7+4)=--5.2.当a=-3,b=+4时,原式=×(+6)=3+6.3.解:原式=(x+1-2)2=(x-1)2,当时,原式==3.4.解:原式=-===.当时,=.5.解:(1)原式=4--4+2=;(2)原式===x+1,当x=-1时,原式=.6.解:原式=-===x-y,当x=,y=时,(2)方法一:当x=-1时,x2+3x-1=(-1)2+3(-1)-1=2-2+1+3-3-1=-1;方法二:因为x=-1,所以x+1=,所以(x+1)2=()2即x2+2x+1=2,所以x2+2x=1所以x2+3x-1=x2+2x+x-1=1+x-1=-1.8.解:原式====-x-4,当时,原式===.9.解:∵a=2+,b=2-,∴a+b=4,a-b=2,ab=1.而=,∴===8.10.原式==,∵∴.11.解:===,把,代入上式,得原式=.12.解:====;当a=-1时,原式====-(-1)=1.13.解:原式=x2+2x+1-2x+1=x2+2;当.14.解:原式=•=x-3;当x=3-,原式=3--3=.15.解:(1)当x=+1,y=-1时,原式=(x+y)2=(+1+-1)2=12;(2)当x=+1,y=-1时,原式=(x+y)(x-y)=(+1+-1)(+1-+1)=4.16.解:===x-2;当时,原式=.17.解:原式=a2-3-a2+6a=6a-3,当a=时,原式=6+3-3=6.18.解:原式=+=+=;当x=2+时,原式==.19.解:∵-a2≥0∴a2≤0而a2≥0∴a=0∴原式=.20.解:原式=,当a=-1时,原式=.21.解:原式=-==,当x=1+时,原式=.22.解:原式===;当x=1+,y=1-时,原式=.23.解:原式==+-x2=-x2=-2.∵化简结果与x的值无关,∴该同学虽然抄错了x的值,计算结果却是正确的.24.解:当时,x2+2y2-xy==.25.解:根据二次根式的意义,得,解得x+y=8,∴+=0,根据非负数的意义,得解得x=3,y=5,a=4,∴可以组成三角形,且为直角三角形,面积为6.26.解:(1)S=,=;P=(5+7+8)=10,又S=;(2)=(-)=,=(c+a-b)(c-a+b)(a+b+c)(a+b-c),=(2p-2a)(2p-2b)•2p•(2p-2c),=p(p-a)(p-b)(p-c),∴=.(说明:若在整个推导过程中,始终带根号运算当然也正确)27.解:27.(1)原式=3--+1=3--+1=+1;28.(2)由①得x+1>3-x,即x>1;由②得4x+16<3x+18,即x<2;不等式组的解集为1<x<2.29.解:原式=====5.30.解:当a=2时,=2-=2-=2-3-2=-3.31.解:=.32.当x=时,=-1,∴原式=1-()=2-.33.解:原式==•-•=a-b,34.解:∵a==,b==,∴==5.35.解:∵最简二次根式与是同类二次根式,∴3a-8=17-2a,解得:a=5.36.解:∵最简根式与是同类二次根式,∴,解得:,∴ab=1.37.解:①×===4;②-=2-=.38.解:原式=2-3=-.39.解:原式=2-=.故答案为:.40.解:原式=3-4+=0.41.解:原式=2+=3.42.解:原式=4-=3.43.(2010•聊城)化简:-+=.44.解:原式=2-=.45.解:原式=-(-)=-(-)=-+=3≈3×1.732≈5.196≈5.2046.解:原式=-20=-14.47.解:原式=2-3=-.48.解:=5.49.解:原式=+5-=5.50.解:原式=2-+=2.。
21.3二次根式的加减法
班级 座号 姓名 成绩
一、填空与选择(每小题4分,共40分).
1.同类二次根式:几个二次根式化成最简二次根式后,如果被开方数 ,称这几个二次根式为同类二次根式.
2.二次根式的加减:①先把各个二次根式化成 ____________;②再把 _____________分别合并.
3.下列各式中,与2是同类二次根式的是 ( ).
A .23
B .6
C .8
D .10
4. 已知二次根式42-a 与3是同类二次根式,则的a 值可以是( ).
A .8
B .7
C .6
D .5
5.计算8-2的结果是( ).
A .6
B .6
C .2
D .2
6. 下列计算正确的是( )
A
3= B .532=+ C .
= D .224=-
7.化简:3+(5-3)=_____________.
8
.计算:计算:_____________
9.如果两个最简二次根式3213+-a a 与能合并,那么=a ________
10.如图是由边长为1m 的正方形地砖铺设的地面示意图,小明沿图中所
示的折线从A →B →C 所走的路程为_______m .(结果保留根号)
二、计算与解答(60分).
11.(20分)计算:
(1)481227+- (2)
()()
1515-+
(3)22521332+- (4)22)2332()2332(--+
12.(8分)若3的整数部分为x ,小数部分为y ,求53xy -的值.
13. (10分)先化简再求值: 215),6()3)(3(+=
--+-a a a a a 其中
14.(提升与拓展)(10分)计算
211++321++431++…+100
991+
15.(提升与拓展)(12分)如图,菱形ABCD 的对角线AC =472,472-=+BD ,求菱形的边长和面积.。